药物合成反应(闻韧 第三版)课后答案第六章
- 格式:doc
- 大小:314.50 KB
- 文档页数:7
药物合成技术课后习题答案药物合成技术课后习题答案在药物合成技术的学习过程中,课后习题是巩固知识、检验理解的重要环节。
下面是一些常见的药物合成技术习题及其答案,希望能够对大家的学习有所帮助。
一、简答题1. 请简要介绍药物合成技术的基本原理。
答:药物合成技术是指通过一系列化学反应,将原料转化为目标药物的过程。
其基本原理包括反应物的选择、反应条件的控制、反应路径的设计等。
2. 药物合成中,为什么需要选择合适的溶剂?答:合适的溶剂在药物合成中起到溶解反应物、促进反应、调节反应速率等作用。
合适的溶剂应具备与反应物相容性好、溶解度高、反应条件稳定等特点。
3. 请简述药物合成中常见的保护基团策略。
答:保护基团策略是指在合成过程中,对某些易受损害的官能团进行保护,以避免其在反应中发生意外的化学变化。
常见的保护基团策略包括酯化、酰化、醚化等。
4. 请简要介绍药物合成中的催化剂的作用。
答:催化剂在药物合成中起到加速反应速率、提高产率、改善选择性等作用。
催化剂能够通过降低反应的活化能,促进反应的进行,同时在反应结束后能够恢复原状,不参与反应。
二、计算题1. 已知反应A+B→C的摩尔配比为2:1,若反应中A的摩尔数为10mol,求反应中B的摩尔数和C的摩尔数。
答:根据反应的摩尔配比,A与B的摩尔比为2:1,即B的摩尔数为10/2=5mol。
由于A与B的摩尔比为1:1,所以C的摩尔数也为5mol。
2. 已知反应A→B的反应物A的摩尔数为20mol,B的摩尔数为15mol,求反应的转化率。
答:转化率是指反应物转化为产物的摩尔数与反应物初始摩尔数之比。
根据题目中的数据,反应物A转化为产物B的摩尔数为20-15=5mol,所以转化率为5/20=0.25,即25%。
三、综合题1. 请设计一种合成药物X的反应路径,并标注关键反应步骤。
答:药物X的合成反应路径可以包括以下几个关键反应步骤:(1)反应1:化合物A与化合物B发生酯化反应,得到中间产物C。
药物合成反应习题及答案一、举例解释下列概念:1,官能团保护;为什么保护?当分子中有多个官能团,想在某一官能团进行转换反应,为了不使其他官能团影响反应,需对这些官能团进行衍生化,这就是官能团的保护。
达到反应目的后再还原这些官能团。
理想保护基:试剂易得、无毒,保护基稳定,引入和脱去反应选择性好,收率高。
2,相转移催化剂; 一种与水相中负离子结合的两性物质,可以把亲核试剂转移到有机相进行亲核反应。
相转移催化剂优点:克服溶剂化作用;不需无水操作;可用无机碱代替有机金属碱;降低反应温度。
3,重排反应;重排反应是指在同一分子内,某一原子或基团从一个原子迁移至另一原子而形成新分子的反应。
按反应机理可分为亲电重排、亲核重排、自由基重排和协同重排。
4,合成子;合成子:组成靶分子或中间体骨架的各个单元结构的活性形式.包括:离子合成子、自由基或周环反应所需的中性分子。
离子合成子:包括 d 合成子和a合成子d 合成子: 亲核性的离子合成子d---donor of electrond 合成子等价试剂a合成子:氧化性或亲电性的离子合成子a合成子:等价试剂5,协同反应协同反应:在反应过程中,若有两个或两个以上的化学键破裂和形成时,都必须相互协调地在同一步骤中完成。
6, 非均相催化氢化: 催化剂、反应物、试剂和氢供体在两项或多项中反应,催化剂自成一相,称为非均相催化氢化。
催化剂自成一相称为非均相催化剂如Pd/C为催化剂,氢气为氢供体,在反应液中还原双键的反应。
1) DMAP2) DMF3) DCC4) TBAF1) Aromatic Electrophilic Substitution; 芳香亲电取代2) Phase-transfer catalyst; 相转移催化剂3) Carbocations; 碳负离子4) trifluoroacetic anhydride.三氟乙酸酐Ryoji Noyori was awarded the Nobel Prize in 2001, What did he discover?Ryoji Noyori日本名古屋大学的野伊良治因在手性催化氢化反应方面做出了突出贡献而被授予2001年Nobel化学奖。
1、About 216–224 g. (1.62–1.68 moles) of powdered anhydrous aluminum chloride is added to a 1Lthree-necked flask.在1L的三口烧瓶中加入大约216-224g(1.62–1.68 moles)的无水三氯化铝。
While the free-flowing catalyst is stirred (Note 3), 81 g. (0.67 mole) of acetophenone is added from the dropping funnel in a slow stream over a period of 20–30 minutes. 自由流动的催化剂边搅拌边用滴液漏斗缓慢滴加81g苯乙酰。
Considerable heat is evolved, and, if the drops of ketone are not dispersed, darkening or charring occurs. 放热反应,假如滴加的酮不能被分散,就会变黑或是碳化。
When about one-third of the acetophenone has been added, the mixture becomes a viscous ball-like mass that is difficult to stir.当三分之一的乙酰苯被滴加,反应混合物变成一个很难搅拌的粘性的球状团块。
Turning of the stirrer by hand or more rapid addition of ketone is necessary at this point. 在这时,改用手动搅拌或快速滴加酮是非常必要的。
The addition of ketone, however, should not be so rapid as to produce a temperature above 180°. 然而,速度不能太快,当反应温度超过180℃时。
1、stream over a period of 20–30 minutes、自由流动得催化剂边搅拌边用滴液漏斗缓慢滴加81g苯乙酰。
Considerable heat is evolved, and, if the drops of ketone are not dispersed, darkening or charring occurs、放热反应,假如滴加得酮不能被分散,就会变黑bees a viscous ball-like mass that is difficult to stir、当三分之一得乙酰苯被滴加,反应混合物变成一个很难搅拌得粘性得球状团块。
Turning of the stirrer by hand or more rapid addition of ketone is necessary at this point、在这时,改用手动搅拌或快速滴加酮就是非常必要得。
The addition of ketone, however, should not be so rapid as to produce a temperature above 180°、然而,速度不能太快,当反应温度超过180℃时。
Near the end of the addition, the mass bees molten and can be stirred easily without being either明苯乙酰已经与三氯化铝混合完全,颜色也逐渐从黄褐色变为棕色。
Bromine (128 g、, 0、80 mole) is added dropwise to the well-stirred mixture over a period of 40 minutes (Note 4)、在40分钟内在搅拌下把溴缓慢滴加到混合物中。
After all the bromine has been added, the molten mixture is stirred at 80–85° on a steam bath for 1 hour、溴滴加完后,熔融混合物在80-85℃蒸气浴下搅拌1小时。
1、About 216–224 g. (1.62–1.68 moles) of powdered anhydrous aluminum chloride is added to a 1Lthree-necked flask.在1L的三口烧瓶中加入大约216-224g(1.62–1.68 moles)的无水三氯化铝。
While the free-flowing catalyst is stirred (Note 3), 81 g. (0.67 mole) of acetophenone is added from the dropping funnel in a slow stream over a period of 20–30 minutes. 自由流动的催化剂边搅拌边用滴液漏斗缓慢滴加81g苯乙酰。
Considerable heat is evolved, and, if the drops of ketone are not dispersed, darkening or charring occurs. 放热反应,假如滴加的酮不能被分散,就会变黑或是碳化。
When about one-third of the acetophenone has been added, the mixture becomes a viscous ball-like mass that is difficult to stir.当三分之一的乙酰苯被滴加,反应混合物变成一个很难搅拌的粘性的球状团块。
Turning of the stirrer by hand or more rapid addition of ketone is necessary at this point. 在这时,改用手动搅拌或快速滴加酮是非常必要的。
The addition of ketone, however, should not be so rapid as to produce a temperature above 180°. 然而,速度不能太快,当反应温度超过180℃时。
1、216-224g(1.62–1.68 moles)的无水三氯化铝。
While the free-flowing catalyst isfunnel in a slow stream over a period of 20–30 minutes. 自由流动的催化剂边搅拌边用滴液漏斗缓慢滴加81g苯乙酰。
Considerable heat is evolved, and, if the drops of ketone are not dispersed, darkening or charring occurs. 放热反应,假如滴加的酮不能被分散,mixture becomes a viscous ball-like mass that is difficult to stir.当三分之一的乙酰苯被滴加,反应混合物变成一个很难搅拌的粘性的球状团块。
Turning of the stirrer by hand or more rapid addition of ketone is necessary at this point. 在这时,改用手动搅拌或快速滴加酮是非常必要的。
The addition of ketone, however, should not be so rapid as to produce a temperature above 180°. 然而,速度不能太快,当反应温度超过180℃时。
Near the end of the addition, the mass becomes molten and can be stirred easily时,团块开始融化,表明苯乙酰已经和三氯化铝混合完全,颜色也逐渐从黄褐色变为棕色。
Bromine (128 g., 0.80 mole) is added dropwise to the well-stirred mixture over a period of 40 minutes (Note 4). 在40分钟内在搅拌下把溴缓慢滴加到混合物中。
《药物合成反应(闻韧主编第三版)》人名反应整理一、卤化反应1、Hunsdriecke反应(汉斯狄克反应):羧酸银盐和溴或碘反应,脱去二氧化碳,生成比原反应物少一个碳原子的卤代烃。
☆☆☆☆☆2、Sandmeyer反应(桑德迈尔反应):用氯化亚铜或溴化亚铜在相应的氢卤酸存在下,将芳香重氮盐转化成卤代芳烃。
☆☆3、Gattermann反应(加特曼反应):将Sandmeyer反应条件改为铜粉和氢卤酸。
☆☆4、Schiemann反应(席曼反应):将芳香重氮盐转化成不溶性的重氮氟硼酸盐或氟磷酸盐,或直接将芳胺用亚硝酸钠和氟硼酸进行重氮化,此重氮盐再经热分解(有时在氟化钠或铜盐存在下加热),就可以制得较好收率的氟代芳烃。
☆二、烃化反应5、Willamson合成(威廉姆森合成):醇在碱(钠、氢氧化钠、氢氧化钾等)存在下与卤代烃反应生成醚的反应。
☆☆☆☆6、Gabriel合成(盖布瑞尔合成):将氨先制备成邻苯二甲酰亚胺,利用氮上氢的酸性,先与氢氧化钾形成钾盐,然后与卤代烃作用,得N-烃基邻苯二甲酰亚胺,再经过肼解或酸水解即可得纯伯胺。
☆☆☆☆☆7、Delepine反应(德勒频反应):用卤代烃与环六亚甲基四胺(乌洛托品Methenamine)反应得季铵盐,然后水解即可得伯胺。
8、Leuckart-Wallach反应(鲁卡特-瓦拉赫反应):用甲酸及其铵盐可对醛酮进行还原烃化,得各类胺。
☆9、Ullmann反应(沃尔曼反应):卤代芳烃与芳香伯胺在铜或碘化铜及碳酸钾存在并加热的条件下可得二苯胺及其同系物。
三、酰化反应10、Friedel-Crafts反应(傅列德尔-克拉夫茨反应,也称傅-克酰基化反应):羧酸及羧酸衍生物在质子酸或Lewis酸的催化下,对芳烃进行亲电取代生成芳酮的反应。
☆☆☆☆☆11、Hoesch反应(赫施反应):腈类化合物与氯化氢在Lewis酸催化剂ZnCl2等的存在下与烃基或烷氧基取代的芳烃进行反应可生成相应的酮亚胺,再经水解则得到羟基或烷氧基取代的芳香酮。
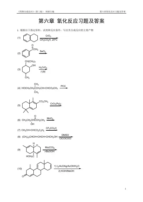
第六章 氧化反应习题及答案1. 根据以下指定原料、试剂和反应条件,写出其合成反应的主要产物(1)32o 3(2)CCH 3O SeO 2(3)H 2CrO 4OHCH 3CH(CH 3)2丙酮(4)HOCH 2CH 2CCH 2CH=CHCO 2CH 3CH 3CH 3PCC(5)CO 2CH 332(6)CH 3CH 2CHCCH 2CH 3OHOMnO 2(7)CH 3CH=CHCO 2C 2H 533(8)(CH 3)2CHCH=CHCH=CHCH 2OHDMSO(9)OHHOH 2C6(10)O222) KOH/MeOH(11)2) NaOHCOOH222(12)OH 3CCH 3HH 3C H 2SO 4(13)22333(14)KMnO 4(15)NO322. 在下列指定原料和产物的反应式中分别填入必需的化学试剂(或反应物)和反应条件。
(1)ClCH 3ClCOOH(2)PhCH=CHCH 2OHPhCH=CHCH=O(3)O(4)C HCH 2CO 2CH 3H C(CH 3)2HC HCH 2CO 2CH 3HCH CHO(5)CH H 3CO 2CH 3CO 2C(6)OHOCH 3OOCH 3(7)2H(8)CONH 2CH(CH 3)2CONH 2CH(CH 3)2O(9)OHOH(10)H 2C=CHCH(OC 2H 5)2H 2CCHCH(OC 2H 5)2OH OH(11)CH2CHCH2CH2OCPh3CH3OCHCH2CH2OCPh3CH3(12)Ph OCH2CH2OPh Ph COCH CHOPh2. 在下列指定原料和产物的反应式中分别填入必需的化学试剂(或反应物)和反应条件。
(参考答3. 阅读(翻译)以下有关反应操作的原文,请在理解基础上写出:(1)此反应的完整反应式(原料、试剂和主要反应条件);(2)此反应的反应机理(历程)。
(1) Dipyridine chromium(VI) oxide (Note 1).A dry, 1-l., three-necked flask fitted with a sealed mechanical stirrer, a thermometer, and a drying tube, is charged with 500 ml. of anhydrous pyridine (Note 2), which is stirred and cooled to approximately 15°(Note 3) with an ice bath. The drying tube is periodically removed and 68 g. (0.68 mole) of anhydrous chromium(VI) oxide (Note 4) is added in portions through the neck of the flask over a 30-minute period. The chromium trioxide should be added at such a rate that the temperature does not exceed 20° and in such a manner that the oxide mixes rapidly with the pyridine and does not adhere to the side of the flask (Note 5). As the chromium trioxide is added, an intensely yellow, flocculent precipitate separates from the pyridine and the viscosity of the mixture increases. When the addition is complete, the mixture is allowed to warm slowly to room temperature with stirring. Within one hour the viscosity of the mixture decreases and the initially yellow product changes to a deep red, macrocrystalline form that settles to the bottom of the flask when stirring is discontinued. The supernatant pyridine is decanted from the complex and the crystals are washed several times by decantation with 250-ml. portions of anhydrous petroleum ether. The product is collected by filtration on a sintered glass funnel and washed with anhydrous petroleum ether, avoiding contact with the atmosphere as much as possible. The complex is dried at 10 mm. until it is free-flowing,leaving 150–160 g. (85–91%) of dipyridine chromium(VI) oxide3 as red crystals. The product is extremely hygroscopic; contact with moisture converts it rapidly to the yellow dipyridinium dichromate.4 It is stored at 0° in a brown bottle (Note 6).(2) General oxidation procedure for alcohols.A sufficient quantity of a 5% solution of dipyridine chromium(VI) oxide (Note 1) in anhydrous dichloromethane (Note 7) is prepared to provide a sixfold molar ratio of complex to alcohol, an excess usually required for complete oxidation to the aldehyde. The freshly prepared, pure complex dissolves completely in dichloromethane at 25° at 5% concentration, giving a deep red solution, but solutions usually contain small amounts of brown, insoluble material when prepared from crude complex (Note 8). The alcohol, either pure or as a solution in anhydrous dichloromethane, is added to the red solution in one portion with stirring at room temperature or lower. The oxidation of unhindered primary (and secondary) alcohols proceeds to completion within 5 to 15 minutes at 25°with deposition of brownish-black, polymeric, reduced chromium–pyridine products (Note 9). When deposition of reduced chromium compounds is complete (monitoring the reaction by GC or TLC is helpful), the supernatant liquid is decanted from the (usually tarry) precipitate, which is rinsed thoroughly with dichloromethane (Note 10). The combined dichloromethane solutions may be washed with dilute hydrochloric acid, sodium hydrogen carbonate solution, and water, or filtered directly through a filter aid, or passed through a chromatographic column to remove traces of pyridine and chromium salts. The product is obtained by removal of dichloromethane; any pyridine that remains can often be removed under reduced pressure.(3) Heptanal.A dry, 1-l. three-necked round-bottomed flask is equipped with a mechanical stirrer, and 650 ml. of anhydrous dichloromethane (Note 7) is added. Stirring is begun and 77.5 g. (0.300 mole) of dipyridine chromium(VI) oxide (Note 1) is added at room temperature, followed by 5.8 g. (0.050 mole) of 1-heptanol (Note 11) in one portion. After stirring for 20 minutes, the supernatant solution is decanted from the insoluble brown gum, which is washed with three 100-ml. portions of ether. The ether and dichloromethane solutions are combined and washed successively with 300 ml. of aqueous 5% sodium hydroxide, 100 ml. of 5% hydrochloric acid (Note 12), two 100-ml. portions of saturated aqueous sodium hydrogen carbonate, and, finally, with 100 ml. of saturated aqueous sodium chloride. The organic layer is dried over anhydrous magnesium sulfate, and the solvent is removed by distillation. Distillation of the residual oil at reduced pressure through a small Claisen head separates 4.0–4.8 g. (70–84%) of heptanal, b.p. 80–84° (65 mm.), n25D 1.4094 (Note 13).3. 阅读(翻译)以下有关反应操作的原文,请在理解基础上写出:(1)此反应的完整反应式(原料、试剂和主要反应条件);(2)此反应的反应机理(历程)。
药物化学第六章习题及答案第六章解热镇痛药和非甾体抗炎药一、单项选择题:6-1、下列药物中那个药物不溶于NaHCO3溶液中E.萘丁美酮6-2、下列环氧酶抑制剂中,哪一个对胃肠道的副作用较小C.塞来昔布6-3、下列非甾体抗炎药物中,那个药物的代谢物用做抗炎药物E.保泰松6-4、下列非甾体抗炎药物中,那个在体外无活性A.萘丁美酮6-5、临床上使用的布洛芬为何种异构体D.外消旋体D116-6、设计吲哚美辛的化学结构是依于D.赖氨酸6-7、芳基丙酸类药物最主要的临床作用是E.消炎镇痛6-8、下列哪种性质与布洛芬符合C.可溶于氢氧化钠或碳酸钠水溶液中6-9、对乙酰氨基酚的哪一个代谢产物可导致肝坏死?D.N-乙酰基亚胺醌6-10、下列哪一个说法是正确的D.COX-2抑制剂能避免胃肠道副反应三、比较选择题[6-26~6-30]A.Celecoxib B.Aspirin C.两者均是D.两者均不是6-26、非甾体抗炎作用C6-27、COX酶抑制剂C6-28、COX-2酶选择性抑制剂A6-29、电解质代谢作用D6-30、可增加胃酸的分泌B[6-31~6-35]A.Ibuprofen B.Naproxen C.两者均是D.两者均不是6-31、COX酶抑制剂C6-32、COX-2酶选择性抑制剂D6-33、具有手性碳原子C6-34、两种异构体的抗炎作用相同A6-35、临床用外消旋体A四、多项选择题6-36、下列药物中属于COX-2酶选择性抑制剂的药物有A.E.O OHONONHH2NNNFFF6-37、在下列水杨酸衍生物中那些是水溶性的?A.OOH3NONH3D.OH3NHNHO3O五、问答题1、根据环氧酶的结构特点,如何能更好的设计出理想的非甾体抗炎药物?依据COX-1和COX-2的结构,选择具有与塞利西布类似的分子结构,即其分子由三部分组成,五元环以及由五元环所连接的两个芳核。
分子中的两个苯核较为重要,特别是在苯核的4位以磺酰胺基或甲磺酰基取代活性最强,若其他取代基时,其活性较低。
第六章 氧化反应习题及答案1. 根据以下指定原料、试剂和反应条件,写出其合成反应的主要产物(1)32o 3(2)CCH 3O SeO 2(3)H 2CrO 4OHCH 3CH(CH 3)2丙酮(4)HOCH 2CH 2CCH 2CH=CHCO 2CH 3CH 3CH 3PCC(5)CO 2CH 332(6)CH 3CH 2CHCCH 2CH 3OHOMnO 2(7)CH 3CH=CHCO 2C 2H 533(8)(CH 3)2CHCH=CHCH=CHCH 2OHDMSO(9)OHHOH 2C6(10)O222) KOH/MeOH(11)2) NaOHCOOH222(12)OH 3CCH 3HH 3C H 2SO 4(13)22333(14)KMnO 4(15)NO322. 在下列指定原料和产物的反应式中分别填入必需的化学试剂(或反应物)和反应条件。
(1)ClCH 3ClCOOH(2)PhCH=CHCH 2OHPhCH=CHCH=O(3)O(4)C HCH 2CO 2CH 3H C(CH 3)2HC HCH 2CO 2CH 3HCH CHO(5)CH H 3CO 2CH 3CO 2C(6)OHOCH 3OOCH 3(7)2H(8)CONH 2CH(CH 3)2CONH 2CH(CH 3)2O(9)OHOH(10)H 2C=CHCH(OC 2H 5)2H 2CCHCH(OC 2H 5)2OH OH(11)CH2CHCH2CH2OCPh3CH3OCHCH2CH2OCPh3CH3(12)Ph OCH2CH2OPh Ph COCH CHOPh2. 在下列指定原料和产物的反应式中分别填入必需的化学试剂(或反应物)和反应条件。
(参考答3. 阅读(翻译)以下有关反应操作的原文,请在理解基础上写出:(1)此反应的完整反应式(原料、试剂和主要反应条件);(2)此反应的反应机理(历程)。
(1) Dipyridine chromium(VI) oxide (Note 1).A dry, 1-l., three-necked flask fitted with a sealed mechanical stirrer, a thermometer, and a drying tube, is charged with 500 ml. of anhydrous pyridine (Note 2), which is stirred and cooled to approximately 15°(Note 3) with an ice bath. The drying tube is periodically removed and 68 g. (0.68 mole) of anhydrous chromium(VI) oxide (Note 4) is added in portions through the neck of the flask over a 30-minute period. The chromium trioxide should be added at such a rate that the temperature does not exceed 20° and in such a manner that the oxide mixes rapidly with the pyridine and does not adhere to the side of the flask (Note 5). As the chromium trioxide is added, an intensely yellow, flocculent precipitate separates from the pyridine and the viscosity of the mixture increases. When the addition is complete, the mixture is allowed to warm slowly to room temperature with stirring. Within one hour the viscosity of the mixture decreases and the initially yellow product changes to a deep red, macrocrystalline form that settles to the bottom of the flask when stirring is discontinued. The supernatant pyridine is decanted from the complex and the crystals are washed several times by decantation with 250-ml. portions of anhydrous petroleum ether. The product is collected by filtration on a sintered glass funnel and washed with anhydrous petroleum ether, avoiding contact with the atmosphere as much as possible. The complex is dried at 10 mm. until it is free-flowing,leaving 150–160 g. (85–91%) of dipyridine chromium(VI) oxide3 as red crystals. The product is extremely hygroscopic; contact with moisture converts it rapidly to the yellow dipyridinium dichromate.4 It is stored at 0° in a brown bottle (Note 6).(2) General oxidation procedure for alcohols.A sufficient quantity of a 5% solution of dipyridine chromium(VI) oxide (Note 1) in anhydrous dichloromethane (Note 7) is prepared to provide a sixfold molar ratio of complex to alcohol, an excess usually required for complete oxidation to the aldehyde. The freshly prepared, pure complex dissolves completely in dichloromethane at 25° at 5% concentration, giving a deep red solution, but solutions usually contain small amounts of brown, insoluble material when prepared from crude complex (Note 8). The alcohol, either pure or as a solution in anhydrous dichloromethane, is added to the red solution in one portion with stirring at room temperature or lower. The oxidation of unhindered primary (and secondary) alcohols proceeds to completion within 5 to 15 minutes at 25°with deposition of brownish-black, polymeric, reduced chromium–pyridine products (Note 9). When deposition of reduced chromium compounds is complete (monitoring the reaction by GC or TLC is helpful), the supernatant liquid is decanted from the (usually tarry) precipitate, which is rinsed thoroughly with dichloromethane (Note 10). The combined dichloromethane solutions may be washed with dilute hydrochloric acid, sodium hydrogen carbonate solution, and water, or filtered directly through a filter aid, or passed through a chromatographic column to remove traces of pyridine and chromium salts. The product is obtained by removal of dichloromethane; any pyridine that remains can often be removed under reduced pressure.(3) Heptanal.A dry, 1-l. three-necked round-bottomed flask is equipped with a mechanical stirrer, and 650 ml. of anhydrous dichloromethane (Note 7) is added. Stirring is begun and 77.5 g. (0.300 mole) of dipyridine chromium(VI) oxide (Note 1) is added at room temperature, followed by 5.8 g. (0.050 mole) of 1-heptanol (Note 11) in one portion. After stirring for 20 minutes, the supernatant solution is decanted from the insoluble brown gum, which is washed with three 100-ml. portions of ether. The ether and dichloromethane solutions are combined and washed successively with 300 ml. of aqueous 5% sodium hydroxide, 100 ml. of 5% hydrochloric acid (Note 12), two 100-ml. portions of saturated aqueous sodium hydrogen carbonate, and, finally, with 100 ml. of saturated aqueous sodium chloride. The organic layer is dried over anhydrous magnesium sulfate, and the solvent is removed by distillation. Distillation of the residual oil at reduced pressure through a small Claisen head separates 4.0–4.8 g. (70–84%) of heptanal, b.p. 80–84° (65 mm.), n25D 1.4094 (Note 13).3. 阅读(翻译)以下有关反应操作的原文,请在理解基础上写出:(1)此反应的完整反应式(原料、试剂和主要反应条件);(2)此反应的反应机理(历程)。