格构锚杆计算
- 格式:pdf
- 大小:782.12 KB
- 文档页数:97
锚杆重量计算公式(一)锚杆重量计算公式作为一名资深的创作者,我将为大家介绍锚杆重量计算公式的相关内容。
在本文中,我将使用Markdown格式并采用标题副标题的形式来详细讲解,帮助大家更好地理解和运用这些计算公式。
概述锚杆是一种常用于地质工程和建筑工程中的一种固定装置,用于增加和提供结构的稳定性。
为了设计和施工的需要,我们需要计算锚杆的重量。
下面是锚杆重量计算公式的相关内容。
公式一:锚杆体积计算公式锚杆的重量与其体积密切相关。
下面是锚杆体积计算的公式:V = πr^2h其中,V表示锚杆的体积,π为圆周率,r为锚杆的半径,h为锚杆的高度。
举例说明举一个具体的例子来说明锚杆体积计算公式的应用场景。
假设有一根直径为10cm,高度为2m的锚杆,那么我们可以利用上述公式进行计算:V = * ()^2 * 2 = m^3所以,这根锚杆的体积为立方米。
公式二:锚杆材料密度计算公式锚杆的重量还与其材料的密度相关。
下面是锚杆材料密度计算的公式:ρ = m / V其中,ρ表示锚杆材料的密度,m表示锚杆的质量,V表示锚杆的体积。
举例说明继续以上述锚杆为例,假设该锚杆采用钢材制造,钢材的密度为7850 kg/m^3,那么我们可以利用上述公式进行计算:假设锚杆的质量为100 kg,则锚杆的体积为:V = 100 / 7850 = m^3所以,钢制锚杆的体积为立方米。
公式三:锚杆重量计算公式锚杆的重量可以通过上述两个公式进行计算得出。
下面是锚杆重量计算的公式:W = ρV = ρπr^2h其中,W表示锚杆的重量,ρ表示锚杆材料的密度,V表示锚杆的体积,π为圆周率,r为锚杆的半径,h为锚杆的高度。
举例说明综合以上的例子和公式,假设我们仍然使用前面的例子,该锚杆采用钢材制造,钢材的密度为7850 kg/m^3,直径为10cm,高度为2m 的锚杆。
通过计算,我们可以得到:W = 7850 * * ()^2 * 2 = kg所以,该锚杆的重量为千克。
一、锚索设计承载力钢绞线直径为φ15.24mm 时230kN ,钢绞线直径为φ17.8mm 时320kN ,钢绞线直径为φ21.6mm 时454kN 。
二、锚索设计破断力 钢绞线直径为φ15.24mm 时260kN ,钢绞线直径为φ17.8mm 时355kN ,钢绞线直径为φ21.6mm 时504kN 。
三、按悬吊理论计算锚杆参数:1、锚杆长度计算:L = KH + L1 + L2式中:L — 锚杆长度m ;H — 冒落拱高度m ;K — 安全系数,一般取K=2;L1 — 锚杆锚入稳定岩层的深度,一般按经验取0.5m ; L2 — 锚杆在巷道中的外露长度,一般取0.1m ; 其中:H =f B2式中:B — 巷道开掘宽度;f —岩石坚固性系数,砂岩取 ;则L=2、锚杆间排距计算,通常间排距相等,取a :a =KHr Q式中:a — 锚杆间排距,m ;Q — 锚杆设计锚固力, KN/根;H —冒落拱高度,取m;r —被悬吊砂岩的重力密度,取KN/m3;K —安全系数,一般取K=2;3、锚杆锚固长度计算:L0 = LD21 /(D2-D22)式中:L--锚固剂长度,为500mm。
D--钻孔直径,为32mm。
D1—树脂锚固剂直径,为28mmD2--锚杆内径,为20mm .四、锚索间排距的确定:L=nF2/[BHγ-(2F1sinθ)/L1]式中:L—锚索排距,m;B—巷道最大冒落宽度,m;H—巷道冒落高度,按最严重冒落高度取米;γ—岩体容重,取KN/m3 ;L1—锚杆排距,米;F1—锚杆锚固力,取KN;F2 —单根锚索的极限破断力,取210KN;θ—角锚杆与巷道顶板的夹角,85o;n—锚索排数,取;考虑巷道宽度,间距取米,排距取米,符合理论计算要求。
五、1、锚索长度确定:L=L1+L2+L3+L4 式中L ——锚索总长度L1——锚索深入到较稳定岩层的锚固长度,m; L2——需要悬吊的不稳定岩层,取 mL3——上托盘及锁具的厚度,取0.2mL4——需要外露的张拉长度,取0.35m 按GB J86—1985要求2、锚索锚固长度L1按下式确定:L1≥K ×2411f f D 式中 K ——安全系数 取K=2D1——锚索钢绞线直径 取 mmf1——钢绞线抗拉强度, N /mm 2f2——锚索与锚固剂的粘合强度,取10N /mm 23、锚索数目的确定 N=K ×1P W 式中 N ——锚索数目K ——安全系数P1——锚索的最低破断率286.5kNW ——被吊岩石的自重,kN4、W=B ×∑h ×∑r ×D 式中B ——巷道掘进宽度,取最大宽度 m 计算∑h——悬吊岩石厚度,取m∑r——悬吊岩石平均容重kN/m2D——锚索间排距,取不大于锚索长度的1/2 取m。
锚杆工程量计算规则锚杆是一种常见的地下工程支护材料,广泛应用于隧道、地铁、地下室等工程中。
在进行锚杆工程施工前,需要对锚杆的工程量进行准确计算,以保证施工的质量和进度。
下面将介绍锚杆工程量计算的规则和步骤。
一、锚杆长度的计算锚杆长度是指锚杆的实际使用长度,需要根据具体工程情况进行计算。
通常情况下,锚杆的长度等于锚杆的埋置深度加上锚杆的伸出长度。
埋置深度是指锚杆从地面或结构物表面到锚固点的垂直距离,伸出长度是指锚杆从锚固点到锚杆外露部分的长度。
根据实际工程需要,锚杆长度可以根据需要进行调整。
二、锚杆直径的计算锚杆直径是指锚杆截面的直径,需要根据锚杆的受力情况和工程要求进行计算。
一般情况下,锚杆直径可以根据构造物的要求和设计规范进行确定。
锚杆直径的计算需要考虑锚杆的受力情况、锚固长度、锚杆材料等因素,以保证锚杆的承载能力和稳定性。
三、锚杆间距的计算锚杆间距是指相邻两个锚杆之间的距离,需要根据锚杆的受力情况和工程要求进行计算。
一般情况下,锚杆间距可以根据构造物的要求和设计规范进行确定。
锚杆间距的计算需要考虑锚杆的受力情况、锚固长度、锚杆材料等因素,以保证锚杆的承载能力和稳定性。
四、锚杆总数量的计算锚杆总数量是指施工现场所需的锚杆的总数,需要根据施工现场的具体情况进行计算。
一般情况下,锚杆的总数量可以根据工程的要求和设计规范进行确定。
锚杆总数量的计算需要考虑施工现场的具体情况、锚杆的长度、直径和间距等因素,以保证施工的顺利进行。
五、锚杆材料的计算锚杆材料是指用于制作锚杆的材料,一般为钢筋或钢束。
锚杆材料的计算需要根据锚杆的长度、直径和间距等因素进行确定。
一般情况下,锚杆的材料可以根据工程的要求和设计规范进行选择。
锚杆材料的计算需要考虑材料的强度、耐久性和施工的要求,以保证锚杆的质量和稳定性。
锚杆工程量的计算规则包括锚杆长度的计算、锚杆直径的计算、锚杆间距的计算、锚杆总数量的计算和锚杆材料的计算。
在进行锚杆工程施工前,需要对锚杆的工程量进行准确计算,以保证施工的质量和进度。
锚杆、锚索参数计算过程一、锚杆支护参数计算1、锚杆长度计算:L=KH+L1+L2式中:L-锚杆长度; K-安全系数,一般取2;H-冒落拱高度,m;L1-锚杆锚入稳定岩层的厚度,取0.5m;L2-锚杆外露长度,一般取0.1m。
其中:H=B/2f=4.6/(2×4.0)=0.575B-巷道掘进跨度,取4.6m; f-普氏岩石坚固性系数,取4.0。
则:L=2×0.575+0.5+0.1=1.75m ,计算得数为1.75m,所以锚杆施工时的长度取整数值2m。
2、锚杆直径的确定:(1)(巷道断面按4.6m计算)根据材料力学计算锚杆直径为:D=√4.6P/πJb=√4.6×70×103/3.14×380=16.43mm式中:D-锚杆直径,mm; P-锚杆截面载荷,取70KN;Jb-螺纹钢锚杆屈服点,取380MPa。
通过计算得数为16.43mm,所以锚杆施工时的直径取整数值20mm。
(2)(巷道断面按3.2m计算)根据材料力学计算锚杆直径为:D=√3.2P/πJb=√3.2×70×103/3.14×380=13.7mm式中:D-锚杆直径,mm; P-锚杆截面载荷,取70KN;Jb-螺纹钢锚杆屈服点,取380MPa。
通过计算得数为13.7mm,所以锚杆施工时的直径取整数值20mm。
3、锚杆间、排距计算:a=√Q/KHγ=√65.7/2×0.575×24.5= 1.527m式中:a-锚杆间、排距,m;Q-锚杆设计锚固力,Q=16.43f=65.72KN;γ-被悬吊石灰岩的重力密度,取24.5KN/m3。
通过计算得数为0.763m,所以锚杆施工时取间距0.8m,排距0.8m。
二、锚索长度计算:1、(锚索直径按17.8的计算)L=L a+L b+L c+L d=1.575+2+0.1+0.3=3.975m式中:L-锚索长度,m;L a-锚索锚入到较稳定岩层的锚固长度,1.575m;L b-需要悬挂的不稳定岩层厚度,取2m;L c-上托盘及锚具的厚度,取0.1m;L d-锚索外露长度,取0.3m。
格构式锚杆挡墙验算计算项目:格构式锚杆挡墙1计算时间:2014-02-28 15:07:18 星期五执行规范:[1] 《建筑边坡工程技术规范》(GB50330-2002),本文简称《边坡规范》[2] 《建筑结构荷载规范》(GB50009-2001),本文简称《荷载规范》[3] 《建筑抗震设计规范》(GB50011-2010),本文简称《抗震规范》[4] 《混凝土结构设计规范》(GB50010-2010),本文简称《混凝土规范》----------------------------------------------------------------------[ 简图]--------------------------------------------------------------------------------------------------------------------------------------------[ 已知条件]----------------------------------------------------------------------1. 基本信息2. 锚杆(索)4. 荷载信息(1) 自重+暴雨工况---------------------------------------------------------------------- [ 计算内容]---------------------------------------------------------------------- (1)墙身力系计算(2)格构梁内力及位移计算(3)格构梁配筋及裂缝计算(4)整体稳定验算(5)锚杆(索)设计计算---------------------------------------------------------------------- [ 计算结果]---------------------------------------------------------------------- 一、【自重+暴雨工况】(一) 岩土压力计算(1) 合力按《边坡规范》公式(6.2.3)计算主动土压力:Ea=180.840(kN) Ex=168.647(kN) Ey=-65.278(kN) 作用点高度Zy=4.600(m)(2) 分布岩土压力分布见左侧结果图。
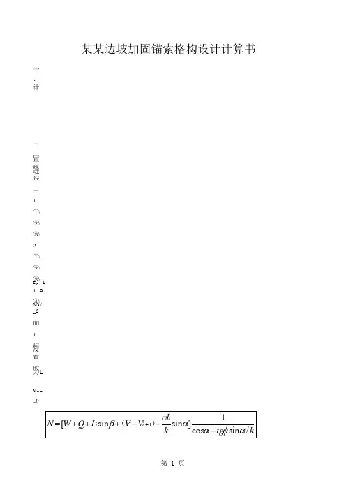
某某边坡加固锚索格构设计计算书一、计算说明二、计算依据由《边坡工程处治技术》(赵明阶、何光春、王多垠编著,人民交通出版社)中“第7章格构加固边坡的设计与施工”和《公路路基设计规范》(JTG D30-2004)和地质勘察资料进行边坡格构加固设计计算。
三、计算所需基本资料1、计算锚固荷载所需的计算参数①稳定系数:取Fs=1.2;②滑动面(带)容重γ值:取γ=19KN/m3(饱和容重为23.47KN/m3);③滑面强度参数c、φ值:取c=7.2KPa,φ=29°。
2、格构的结构设计与计算①两锚索之间的格构梁的长度ι:取ι=4m;②格构梁尺寸:取b×h=60mm×60mm;③C25混凝土:弯曲抗压强度设计值f cm=13.5×103KN/m2,轴心抗压强度设计值f c=11.9×103KN/m2;④钢筋受拉、压设计强度:Ⅰ级钢筋f y=f y'=210×103KN/m2,Ⅱ级钢筋f y =f y'=300×103 KN/m2。
四、计算1、锚固荷载的计算根据实际情况,本边坡具有连续的潜在滑动面,所以采用条分法稳定性进行锚固荷载反算。
取一个条块作为独立分析单元,其上的作用力包括坡面荷载Q、条块重力W、锚索预应力L、剪切面反力N、抗滑力S以及条间作用力E和V。
根据竖向平衡可以得到:Ncosαi-W-Q-(V i-V i+1)-L i sinβ+Ssinαi=0 (公式1)式中的抗滑力S可以表示为抗剪强度与安全系数的比,因此可以解出滑面的法向力:边坡的安全系数:为了简化计算,忽略条间作用力;如果坡面荷载为0,则上式变为:mα=cosαi+tgφi sinαi/kαi——条块滑面倾角;b i——条块滑面长度;β——锚索倾角;c i,φi——滑面强度参数,通常假定原整个滑面是均匀分布的。
取出滑坡剖面,分为两个条块,计算模型如下图1由滑坡剖面计算模型图1,将各参数代入公式4,反算锚固荷载L见下表1。
格构式锚杆挡墙验算计算项目:格构式锚杆挡墙 1计算时间:2007-12-07 01:44:37 星期五执行规范:[1] 《建筑边坡工程技术规范》(GB50330-2002),本文简称《边坡规范》[2] 《建筑结构荷载规范》(GB50009-2001),本文简称《荷载规范》[3] 《建筑抗震设计规范》(GB50011-2001),本文简称《抗震规范》[4] 《混凝土结构设计规范》(GB50010-2002),本文简称《混凝土规范》---------------------------------------------------------------------- [ 简图 ]-------------------------------------------------------------------------------------------------------------------------------------------- [ 已知条件 ]---------------------------------------------------------------------- 1. 基本信息边坡类型土质边坡边坡等级一级墙高(m 30.000 梁容重(kN/m3 25.00 坡度(1:m 0.200 梁砼等级C30竖梁道数 3 梁纵筋级别HRB335 ├间距(m 2.500 梁箍筋级别HPB235 ├截面宽(m 0.400 梁钢筋直径(mm 20└截面高(m 0.500 梁as(mm 50平梁道数12 梁抗扭计算ζ值 1.200 ├截面宽(m 0.400 支座约束弹性├截面高(m 0.500├左悬长度(m 1.250└右悬长度(m 1.250挡板√板砼等级C30板计算模型简支板板纵筋级别HRB335 板搭接长度(m 0.200 板as(mm 35板荷载折减系数 1.000板厚(mm 2002. 锚杆(索锚杆锚杆竖向间入射角自由段锚固段锚固体锚杆预加锚杆刚度筋浆强度号类型距(m (度长度(m长度(m直径(mm力(kN(MN/m fb(kPa1 锚杆 2.50015.0012.50 5.001250.00018.922700.002 锚杆 2.50015.0011.50 6.001250.00025.892700.003 锚杆 2.50015.0010.508.001250.00040.582700.004 锚杆 2.50015.009.509.501250.00044.152700.005 锚杆 2.50015.008.509.501250.00048.402700.006 锚杆 2.50015.007.509.501250.00053.562700.007 锚杆 2.50015.00 6.509.501250.00059.942700.008 锚杆 2.50015.00 5.509.001250.00068.062700.009 锚杆 2.50015.00 5.008.001250.00073.002700.0010 锚杆 2.50015.00 5.007.001250.00071.962700.0011 锚杆 2.50015.00 5.00 6.001250.00071.962700.0012 锚杆 2.50015.00 5.00 5.001250.00036.942700.00 3. 岩土信息背侧坡线数2面侧坡线数---背侧坡线水平投影长竖向投影长坡线长坡线仰角荷载数序号(m(m(m(度17.000 2.0007.28015.9450 210.0000.00010.0000.0001坡线荷载类型距离宽度荷载值荷载序号(m(m(kPa,kN/m2-1满布均载------20.000面侧坡线水平投影长竖向投影长坡线长坡线仰角序号(m(m(m(度1------------2------------地面上地层数1地面下地层数1墙后稳定地面角(度78.690填土与稳定面摩擦角(度0.000填土与结构摩擦角(度0.000地面上地层厚重度粘聚力内摩擦角摩阻力frb浮重度地层序号(m(kN/m3(kPa(度(kPa(kN/m3 130.00017.00040.00024.00085.000---地面下地层厚重度粘聚力内摩擦角摩阻力frb浮重度地层序号(m(kN/m3(kPa(度(kPa(kN/m3 110.00017.00040.00024.00085.000---4. 荷载信息地震烈度不考虑场地环境一般抗震地区土压力计算方法库仑主动岩土压力增大系数 1.200有限范围填土土压力ㄨ岩土压力分布上三角下矩形荷载组合数1序号组合名称1基本组合1(1 基本组合1序号荷载名称荷载类型是否参与分项系数1挡墙结构自重永久荷载√ 1.3502墙背侧岩土侧压力永久荷载√ 1.3503墙背侧地表荷载引起岩土侧压力可变荷载√ 1.350 5. 整体稳定是否计算整体稳定√稳定计算目标给定圆心、半径计算安全系数圆心X坐标(m-43.880圆心Y坐标(m16.213半径(m59.754条分法的土条宽度(m 1.000筋带对稳定的作用筋带力沿圆弧切向土条切向分力与滑动方向反向时当下滑力对待----------------------------------------------------------------------[ 计算内容 ]----------------------------------------------------------------------(1)墙身力系计算(2)格构梁内力及位移计算(3)格构梁配筋及裂缝计算(4)挡土板内力及配筋计算(5)整体稳定验算(6)锚杆(索)设计计算----------------------------------------------------------------------[ 计算结果 ]----------------------------------------------------------------------一、【基本组合1】(一岩土压力计算(1 合力按《边坡规范》公式(6.2.3计算主动土压力:Ea=1332.636(kN Ex=1306.757(kN Ey=-261.351(kN 作用点高度 Zy=10.000(m由于采用上三角形下矩形分布形式,作用点高度变为 Zy=13.214(m。
锚杆支护参数的确定一、锚杆长度L≥L1+L2+L3------------------------- ①=0.1+1.5+0.3=1.9m式中:L——锚杆总长度,m;L1 ——锚杆外露长度(包括钢带+托板+螺母厚度),取0.1m;L2 ——锚杆有效长度或软弱岩层厚度,m;L3——锚入岩(煤)层内深度(锚固长度),按经验L3≥300mm。
(一)锚杆外露长度L1L1=(0.1~0.15)m,[钢带+托板+螺母厚度+(0.02~0.03)](二)锚入岩(煤)层内深度(锚固长度)L31.经验取值法《在锚杆喷射混凝土支护技术规范》GBJ86-85“第三节锚杆支护设计”中、第3.3.3条第四款规定:第3.3.3条端头锚固型锚杆的设计应遵守下列规定:一、杆体材料宜用20锰硅钢筋或3号钢钢筋;二、杆体直径按表3.3.3选用;三、树脂锚固剂的固化时间不应大于10分钟,快硬水泥的终凝时间不应大于12分钟;四、树脂锚杆锚头的锚固长度宜为200~250毫米,快硬水泥卷锚杆锚头的锚固长度宜为300~400毫米;五、托板可用3号钢,厚度不宜小于6毫米,尺寸不宜小于150×150毫米;六、锚头的设计锚固力不应低于50千牛顿;七、服务年限大于5年的工程,应在杆体与孔壁间注满水泥砂浆。
一般取300mm ~400mm2. 理论估算法《在锚杆喷射混凝土支护技术规范》GBJ86-85“第三节 锚杆支护设计”中规定:第3.3.11条 局部锚杆或锚索应锚入稳定岩体。
水泥砂浆锚杆或预应力锚索的水泥砂浆胶结式内锚头锚入稳定岩体的长度,应同时满足下列公式:公式(3.3.11-1)、(3.3.11-2)见图形所示。
cs st f f d k l 412≥ (3.3.11-1)crst a f d f d k l 2214≥ (3.3.11-2) 式中la ——锚杆杆体或锚索体锚入稳定岩体的长度(cm );d1——锚杆钢筋直径走私或锚索体直径(cm );d2——锚杆孔直径(cm );f st ——锚杆钢筋或锚索体的设计抗拉强度(N/cm 2);f cs ——水泥砂浆与钢筋或水泥砂浆与锚索的设计粘结强度(N/cm 2);圆钢为2.5MPa ,螺纹钢为5MPa 。
(二)锚杆(索)设计根据现场地质条件和地形特征,斜坡体由于受到先期构造作用和后期风化作用强烈影响,出露基岩破碎,裂隙发育,且距交通要道较近的特点,拟采用锚杆(索)对局部卸荷裂隙发育、稳定性较差的危岩体进行锚固,以达到加固坡面,抑制风化剥落、崩塌的发生。
通过现场调查及三维激光扫描数据分析,半壁山危岩体主要失稳模式为倾倒式和滑移式。
1.倾覆推力计算:推力计算:式中:k-后缘裂隙深度(m)。
取11.1m;hv-后缘裂隙充水高度(m).取3.7m;H-后缘裂隙上端到未贯通段下端的垂直距离(m). 取15m;a-危岩带重心到倾覆点的水平距离(m),取3.4m;b-后缘裂隙未贯通段下端到倾覆点之间的水平距离(m),取6.8m;h0-危岩带重心到倾覆点的垂直距离(m),取7.2m;fk-危岩带抗拉强度标准值(kPa),根据岩石抗拉强度标准值乘以0.4折减系数确定暴雨工况下190kPa;θ-危岩带与基座接触面倾角(°),外倾时取正,内倾时取负值;β-后缘裂隙倾角(°);K-安全系数取1.5;2.锚杆计算(1)锚杆轴向拉力设计值计算公式:,式中Nak -锚杆轴向拉力标准值(kN);Na -锚杆轴向拉力设计值(kN);Htk -锚杆所受水平拉力标准值(kN);α-锚杆倾角(°),设计取值为15°;γa-荷载分项系数,可取1.30;(2) 锚杆钢筋截面图面积计算公式:锚杆截面积:As-锚杆钢筋或预应力钢绞线截面面积(m2);ξ2-锚杆抗拉工作条件系数,永久性锚杆取0.69,临时性锚杆取0.92;γ0-边坡工程重要系数,取1.0;fy-钢筋或预应力钢绞线的抗拉强度标准值(kN),取300N/ mm;(3) 锚杆锚固体与地层的锚固长度计算公式:(4) 锚杆钢筋与锚固砂浆间的锚固长度计算公式:锚固段长度按上述两个公式计算,并取其中的较大值。
式中:la-锚杆锚固段长度(m);frb-锚固段注浆体与地层间的粘结强度标准值(kPa);fb-锚固段注浆体与筋体间的粘结强度标准值(kPa);D-锚杆锚固段的钻孔直径(m);d-锚杆钢筋直径(m);γ0-边坡工程重要系数,取1.0;ξ1-锚固体与地层粘结工作条件系数,对永久性锚杆取1.00,对临时性锚杆取1.33;ξ3-钢筋与砂浆粘结强度工作条件系数,对永久性取0.60,对临时性取0.72;通过计算,得出:;或:;锚杆设计长度均为4m,采用Φ32螺纹钢筋作为锚筋,钻孔直径为110mm,全孔段M30水泥砂浆固结,共计132根;锚索设计长度为12m,采用4根φ15.20-1860钢绞线,钻孔直径110mm,M30水泥砂浆固结,锚固段长度不小于4m,共计30根。
路堑高边坡锚杆格构施工计算方法说实话路堑高边坡锚杆格构施工计算方法这事,我一开始也是瞎摸索。
那时候就像没头的苍蝇似的,完全不知道从哪儿下手。
我最早就是按照书上的基本公式去套,你知道吧,那些公式摆在那看似简单,可真正用起来就不是那么回事了。
像锚杆拉力的计算,理论上有个公式是跟边坡土体参数有关的。
我就按部就班地找那些土的重度、内摩擦角啊之类的数据往里塞。
结果算出来的数值和实际工程现场观察到的感觉完全不一样。
后来我才意识到,书本上的数据很多是理想状态下的,而实际的岩土情况复杂得多。
比如说,在一个项目里,我在勘探岩土样本的时候,样本受扰动了,导致算出来的内摩擦角偏大,那算出的锚杆拉力自然就不准确了。
还有格构梁的内力计算,我曾经试着把它想象成一个简单的梁结构,像我们常见的房梁那样。
我以为只要按照普通梁的计算方法就行了,什么弯矩啦,剪力啦。
但是高边坡的格构梁跟普通房梁可太不一样了。
它受到的侧向压力、不均匀沉降的影响都很大。
有次我按普通梁的算法设计完格构梁,结果施工过程中梁就出现了裂缝。
这我才明白,必须要把边坡的坡度、格构梁与锚杆的协同作用等多方面因素考虑进去。
至于锚杆长度的计算呢,我试过很多方法。
开始有个比较粗糙的办法,就是简单地根据边坡高度来确定,比如说边坡高10米,那我可能就按经验先预估个锚杆长度。
但是这种估计往往偏差很大。
后来我就深入研究,要考虑锚杆锚固段在岩土中的剪切强度,这就得仔细地分析岩土的性质了。
比如说如果是土体,那就得考虑土体的黏聚力、摩擦系数这些参数;要是岩体呢,还得看岩石的完整性、强度等级等。
我现在意识到啊,一个比较靠谱的计算方法,就是要先进行详细的地质勘查,获取准确的岩土参数。
而且这个勘查不能是走过场,得真正达到能够反映实际情况的深度和广度。
就像你要了解一个人的身体状况,不能只看看外表,得深入查查内脏、血液啥的。
然后依据这些准确的岩土参数,再结合边坡工程规定的安全系数,进行综合的分析计算。
(二)锚杆(索)设计根据现场地质条件和地形特征,斜坡体由于受到先期构造作用和后期风化作用强烈影响,出露基岩破碎,裂隙发育,且距交通要道较近的特点,拟采用锚杆(索)对局部卸荷裂隙发育、稳定性较差的危岩体进行锚固,以达到加固坡面,抑制风化剥落、崩塌的发生。
通过现场调查及三维激光扫描数据分析,半壁山危岩体主要失稳模式为倾倒式和滑移式。
1•倾覆推力计算:推力计算:「cff式中:k-后缘裂隙深度(m )。
取11.1m ;hv-后缘裂隙充水高度(m。
•取3.7m ;H-后缘裂隙上端到未贯通段下端的垂直距离(m。
.取15m;a-危岩带重心到倾覆点的水平距离(m。
,取3.4m ;b-后缘裂隙未贯通段下端到倾覆点之间的水平距离(m。
,取6.8m;hO-危岩带重心到倾覆点的垂直距离(m。
,取7.2m;fk-危岩带抗拉强度标准值(kPa),根据岩石抗拉强度标准值乘以0.4折减系数确定暴雨工况下190kPa;9-危岩带与基座接触面倾角(°),外倾时取正,内倾时取负值;伕后缘裂隙倾角(°);K-安全系数取1.5 ;2•锚杆计算(1)锚杆轴向拉力设计值计算公式:式中Nak -锚杆轴向拉力标准值(kN );Na -锚杆轴向拉力设计值(kN);Htk -锚杆所受水平拉力标准值(kN );a-锚杆倾角(°),设计取值为15 ° ; Y a-荷载分项系数,可取1.30 ;(2)锚杆钢筋截面图面积计算公式:锚杆截面积:As-锚杆钢筋或预应力钢绞线截面面积(m2);0锚杆抗拉工作条件系数,永久性锚杆取0.69,临时性锚杆取0.92 ;Y-边坡工程重要系数,取1.0 ;fy-钢筋或预应力钢绞线的抗拉强度标准值(kN ),取300N/ mm ;⑶锚杆锚固体与地层的锚固长度计算公式:(4)锚杆钢筋与锚固砂浆间的锚固长度计算公式:锚固段长度按上述两个公式计算,并取其中的较大值。
式中:la-锚杆锚固段长度(m);frb-锚固段注浆体与地层间的粘结强度标准值(kPa);fb-锚固段注浆体与筋体间的粘结强度标准值(kPa);D-锚杆锚固段的钻孔直径(m);d-锚杆钢筋直径(m );Y -边坡工程重要系数,取1.0 ;3-锚固体与地层粘结工作条件系数,对永久性锚杆取 1.00,对临时性锚杆取1.33 ;3-钢筋与砂浆粘结强度工作条件系数,对永久性取0.60,对临时性取0.72 ;通过计算,得出:T _ N嵌1 _ _ 1 ;或:I = 住锚杆设计长度均为4m,采用①32螺纹钢筋作为锚筋,钻孔直径为110mm ,全孔段M30水泥砂浆固结,共计132根;锚索设计长度为12m,采用4根©15.20-1860钢绞线,钻孔直径110mm,M30水泥砂浆固结,锚固段长度不小于4m,共计30根。
格构式锚杆挡墙验算计算项目:格构式锚杆挡墙 1计算时间:2014-02-28 15:07:18 星期五执行规范:[1] 《建筑边坡工程技术规范》(GB50330-2002),本文简称《边坡规范》[2] 《建筑结构荷载规范》(GB50009-2001),本文简称《荷载规范》[3] 《建筑抗震设计规范》(GB50011-2010),本文简称《抗震规范》[4] 《混凝土结构设计规范》(GB50010-2010),本文简称《混凝土规范》---------------------------------------------------------------------- [ 简图 ]-------------------------------------------------------------------------------------------------------------------------------------------- [ 已知条件 ]-------------------------------------------------------------------------------------------------------------------------------------------- [ 计算内容 ]---------------------------------------------------------------------- (1)墙身力系计算(2)格构梁内力及位移计算(3)格构梁配筋及裂缝计算(4)整体稳定验算(5)锚杆(索)设计计算----------------------------------------------------------------------[ 计算结果 ]----------------------------------------------------------------------一、【自重+暴雨工况】(一) 岩土压力计算(1) 合力按《边坡规范》公式(6.2.3)计算主动土压力:Ea=180.840(kN) Ex=168.647(kN) Ey=-65.278(kN) 作用点高度 Zy=4.600(m)(2) 分布岩土压力分布见左侧结果图。
锚杆支护参数的确定一、锚杆长度L≥L1+L2+L3------------------------- ①=0.1+1.5+0.3=1.9m式中:L——锚杆总长度,m;L1 ——锚杆外露长度(包括钢带+托板+螺母厚度),取0.1m;L2 ——锚杆有效长度或软弱岩层厚度,m;L3——锚入岩(煤)层内深度(锚固长度),按经验L3≥300mm。
(一)锚杆外露长度L1L1=(0.1~0.15)m,[钢带+托板+螺母厚度+(0.02~0.03)](二)锚入岩(煤)层内深度(锚固长度)L31.经验取值法《在锚杆喷射混凝土支护技术规范》GBJ86-85“第三节锚杆支护设计”中、第3.3.3条第四款规定:第3.3.3条端头锚固型锚杆的设计应遵守下列规定:一、杆体材料宜用20锰硅钢筋或3号钢钢筋;二、杆体直径按表3.3.3选用;三、树脂锚固剂的固化时间不应大于10分钟,快硬水泥的终凝时间不应大于12分钟;四、树脂锚杆锚头的锚固长度宜为200~250毫米,快硬水泥卷锚杆锚头的锚固长度宜为300~400毫米;五、托板可用3号钢,厚度不宜小于6毫米,尺寸不宜小于150×150毫米;六、锚头的设计锚固力不应低于50千牛顿;七、服务年限大于5年的工程,应在杆体与孔壁间注满水泥砂浆。
一般取300mm ~400mm2. 理论估算法《在锚杆喷射混凝土支护技术规范》GBJ86-85“第三节 锚杆支护设计”中规定:第3.3.11条 局部锚杆或锚索应锚入稳定岩体。
水泥砂浆锚杆或预应力锚索的水泥砂浆胶结式内锚头锚入稳定岩体的长度,应同时满足下列公式:公式(3.3.11-1)、(3.3.11-2)见图形所示。
cs st f f d k l 412≥ (3.3.11-1)crst a f d f d k l 2214≥ (3.3.11-2) 式中la ——锚杆杆体或锚索体锚入稳定岩体的长度(cm ); d1——锚杆钢筋直径走私或锚索体直径(cm );d2——锚杆孔直径(cm );f st ——锚杆钢筋或锚索体的设计抗拉强度(N/cm 2);f cs ——水泥砂浆与钢筋或水泥砂浆与锚索的设计粘结强度(N/cm 2);圆钢为2.5MPa ,螺纹钢为5MPa 。
格构锚杆计算范文一、引言格构锚杆是一种常见的支护形式,被广泛应用于岩体工程中。
在设计格构锚杆时,需要进行计算以确定其安全性和可靠性。
本文将对格构锚杆的计算进行详细介绍,包括设计原则、计算方法和实例分析。
二、设计原则格构锚杆的设计应遵循以下原则:1.安全性原则:格构锚杆的设计要确保其在工作状态下不发生纵向滑移和拉拔、横向移位和变形,以及不能发生拉断、剪断和截面扭曲等失效形式。
2.取样原则:格构锚杆的取样应具有代表性,能够准确反映岩体的力学性质和变形特征。
取样过程中应避免损坏样品。
3.材料性能原则:格构锚杆的材料应具有足够的强度和刚度,以满足工程设计和施工要求。
常用的格构锚杆材料有钢筋、锚索等。
4.稳定性原则:格构锚杆的稳定性应得到保证,避免出现失稳、倾覆等情况。
在设计中应考虑岩体的地质条件和工程环境等因素。
5.经济性原则:格构锚杆的设计应经济合理,既要满足安全性和可靠性要求,又要尽量减少材料和成本的消耗。
三、计算方法格构锚杆的计算主要涉及以下几个方面:1.格构锚杆的受力分析:通过对格构锚杆受力的分析,可以确定其轴向力、剪力和弯矩等参数。
根据受力分析结果,可以选择合适的材料和尺寸。
2.格构锚杆的稳定性计算:格构锚杆的稳定性是指其在受到外力作用下不发生失稳、倾覆等形式的能力。
稳定性计算包括计算安全系数、控制要素和影响因素等。
3.格构锚杆的变形计算:格构锚杆的变形是指其在受到外力作用下发生的纵向滑移、纵向变形和横向移位等现象。
变形计算可以通过理论计算和实测数据进行。
四、实例分析以岩体工程为例,设计一组格构锚杆支护。
岩体的地质条件如下:岩体类型为花岗岩,岩性坚硬,存在节理和裂隙;岩体倾角为30°,岩体厚度为20m;设计标准为安全系数不小于2.0;工程环境复杂,存在地下水和动荷载。
根据岩体的地质条件和工程要求,选择适当的格构锚杆材料和尺寸。
假设选用的材料为钢筋,直径为25mm;选用的锚索为直径为15mm的钢丝绳。
锚杆支护参数的确定一、锚杆长度L≥L1+L2+L3------------------------- ①=0.1+1.5+0.3=1.9m式中:L——锚杆总长度,m;L1 ——锚杆外露长度(包括钢带+托板+螺母厚度),取0.1m;L2 ——锚杆有效长度或软弱岩层厚度,m;L3——锚入岩(煤)层内深度(锚固长度),按经验L3≥300mm。
(一)锚杆外露长度L1L1=(0.1~0.15)m,[钢带+托板+螺母厚度+(0.02~0.03)](二)锚入岩(煤)层内深度(锚固长度)L31.经验取值法《在锚杆喷射混凝土支护技术规范》GBJ86-85“第三节锚杆支护设计”中、第3.3.3条第四款规定:第3.3.3条端头锚固型锚杆的设计应遵守下列规定:一、杆体材料宜用20锰硅钢筋或3号钢钢筋;二、杆体直径按表3.3.3选用;三、树脂锚固剂的固化时间不应大于10分钟,快硬水泥的终凝时间不应大于12分钟;四、树脂锚杆锚头的锚固长度宜为200~250毫米,快硬水泥卷锚杆锚头的锚固长度宜为300~400毫米;五、托板可用3号钢,厚度不宜小于6毫米,尺寸不宜小于150×150毫米;六、锚头的设计锚固力不应低于50千牛顿;七、服务年限大于5年的工程,应在杆体与孔壁间注满水泥砂浆。
一般取300mm ~400mm2. 理论估算法《在锚杆喷射混凝土支护技术规范》GBJ86-85“第三节 锚杆支护设计”中规定:第3.3.11条 局部锚杆或锚索应锚入稳定岩体。
水泥砂浆锚杆或预应力锚索的水泥砂浆胶结式内锚头锚入稳定岩体的长度,应同时满足下列公式:公式(3.3.11-1)、(3.3.11-2)见图形所示。
cs st f f d k l 412≥ (3.3.11-1)crst a f d f d k l 2214≥ (3.3.11-2) 式中la ——锚杆杆体或锚索体锚入稳定岩体的长度(cm );d1——锚杆钢筋直径走私或锚索体直径(cm );d2——锚杆孔直径(cm );f st ——锚杆钢筋或锚索体的设计抗拉强度(N/cm 2);f cs ——水泥砂浆与钢筋或水泥砂浆与锚索的设计粘结强度(N/cm 2);圆钢为2.5MPa ,螺纹钢为5MPa 。