中考数学计算题训练含答案
- 格式:doc
- 大小:168.50 KB
- 文档页数:5
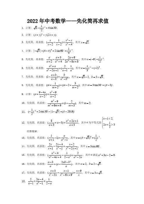
2022年中考数学——先化简再求值1.计算11()4sin 30.2-+2.计算: 2()(2).x y y x y +-+ 3.先化简, 再求值: 221(),224x x x x x x --÷---其中x = 4.计算: 011|(4)2sin 60().4π---++5.先化简, 再求值: 22326,24288a a a a a a a ++-÷+--+ 其中11|6|().2a -=-- 6.先化简, 再求值: 2221(),211a a a a a a+÷--+- 其中101()(2).3a -=-- 7.先化简, 再求值: 22(1),a b b ab a b+-÷-- 其中2, 5a b ==- 8.先化简, 再求值: 13()(2),22m m m m +÷-+++ 其中3tan 30(3).m π=+- 9.计算: 2949().22a a a a a --+÷-- 10.先化简, 再求值: 2292(1),693m m m m -÷-+++ 其中 2.m = 11.21()2cos30|13|(2019)2π--+--+- 12.先化简, 再求值: 2821(3),33a a a a a +++-÷++ 其中a 为不等式组12,1232a a -<⎧⎪⎨+>⎪⎩ 的整数解.13.先化简, 再求值:21(1),11a a a -÷+- 其中011(().2a π-=+ 14.先化简, 再求值: 222242,1121x x x x x x x ---÷+--+ 其中3cos60.x = 15.先化简, 再求值: 222412()4422a a a a a a--÷-+--, 其中a 满足2320a a +-=. 16.先化简, 再求值: 22()a b ab b a a a--÷-, 其中2, 2a b ==-. 17.先化简, 再求值: 22319()369x xx x x x x x +---÷--+, 其中3x =+ 18.22241112a a a a-÷+---19.22)+20.先化简, 再求值: 22222(),2111x x x x x x x --+÷-+-- 其中113tan 30()3x -=-【参考答案】 一、计算题1. 解: 1242=+⨯=原式 2. 解: 222222.x xy y xy y x =++--=原式3. 解: 2211(2)(2)2.242(1)x x x x x x x x x x x x x---+-+=÷=⋅=----原式当x =, 212+===+原式 4. 解: 124 3.=+=原式5. 解: 2232(3)3(2)2(2)(2)2(2)2(2)(2)(3)22 .222a a a a a a a a a a a a a a a a a a a +++-=-÷=-⋅++--++-+-=-=+++原式 当11|6|()6242a -=--=-= 时, 21.423==+原式6. 解: 2222(1)21(1)1[](1)(1)(1)(1)(1)(1)(1) .(1)11a a a a a a a a a a a a a a a a a a a a a a a +-++=÷-=÷-----+-=⋅=-+-原式 当101()(2)3123a -=--=-=时, 22 4.21==-原式7. 解: 222()()22.a b a b a b b a b a b a b a b b a b b------+=⋅=⋅=----原式当2, 5a b ==-,2)2(5410 6.=---=--+=-原式8. 解: 222222143212()22221(1)21 .2(1)(1)1m m m m m m m m m m m m m m m m m m +-++++=+÷=⋅++++-+++=⋅=++--原式33tan 30(3)311,3m π=+-=⨯+=3133+∴====+原式或9. 解: 22294(3)(3)(3)23().2222(3)(2)3a a a a a a a a a a a a a a a ---+---=+÷=⋅=-----++原式10. 解: 2(3)(3)1333.(3)3311m m m m m m m m m m m +-+-+-=÷=⋅=+++++原式 11. 解: 421162=+⨯+=原式12. 解: 22228(3)(3)389(1)(1)1.3(1)(1)(1)1a a a a a a a a a a a a +-+++-+--=⋅===+++++原式 解不等式12,a -< 得3,a < 解不等式123,2a +>得5,4a > 5 3.4a ∴<< ∴ 此不等式的整数解为 2.a = 当2a =时, 211.213-==+原式13. 解: 11(1)(1)(1)(1)1.11a a a a a a a a a a a--+--+-=⋅=⋅=-++原式011(()12 3.213 2.a π-=+=+=∴=-=-原式14. 解: 222(2)(1)2222.1(1)(1)2111x x x x x x x x x x x x ---=-⋅=-=++--+++原式 133cos 60=3=,2224.3512x =⨯==+当时原式15. 解: 22(2)(2)1(2)21(2)=[+]()(2)222223(2)3 .222a a a a a a a a a a a a a a a a a +--+-⋅=+⋅----+-+=⋅=-原式 22320, 32, ==1.2a a a a a +-=∴+=∴满足原式16. 解: 22221()a b a ab b a b a a a a a b a b--+-=÷=⋅=--原式.当2, 2a b ==时, 3===原式.17. 解: 22222231(3)(3)(1)[][](3)(3)9(3)(3)9(3)(3)(1)91 (3)9(3)9(3)x x x x x x x x x x x x x x x x x x x x x x x x x x x x x x x +-+--=-⋅=-⋅------+----=⋅=⋅=-----原式当3x =+, 13==原式18. 解: 2(1)(1)11112(2)2222a a a a a a a a a a +-+=⋅-=-=------原式 19. 解: 3463473=-+⨯=-+=原式20. 解: 2(1)222(1)(1)[]()(1)1(1)(1)1122(1)(1) 1.12x x x x x x x x x x x x x x x x x x x --+-=-÷=-⋅--+-----+-=⋅=+--原式。
..初中数学计算题大全(一)计算下列各题1 .36)21(60tan 1)2(100+-----π 2. 431417)539(524----3.)4(31)5.01(14-÷⨯+-- 4.5.++ 6.7112238. (1)03220113)21(++-- (2)23991012322⨯-⨯10.11.(1)- (2)÷(3)1---+42338-()232812564.0-⨯⨯⎪⎭⎫ ⎝⎛-÷⎪⎭⎫⎝⎛-+601651274312.418123+-13.⎛ ⎝14..x x x x 3)1246(÷- 15.61)2131()3(2÷-+-;16.20)21()25(2936318-+-+-+-17.(1))3127(12+- (2)()()6618332÷-+-18.()24335274158.0--+⎪⎭⎫ ⎝⎛+-⎪⎭⎫ ⎝⎛---1911()|2|4-- 20.())120131124π-⎛⎫---+ ⎪⎝⎭。
21.. 22.112812623-+23.2+参考答案1.解=1-|1-3|-2+23 =1+1-3-2+23 =3【解析】略2.5【解析】原式=14-9=53.87-【解析】解:)4(31)5.01(14-÷⨯+--⎪⎭⎫⎝⎛-⨯⨯--=4131231811+-=87-=先算乘方,再算乘除,最后算加减,有括号的先算括号里面的。
注意:41-底数是4,有小数又有分数时,一般都化成分数再进行计算。
4.==.【解析】略5.3 6.4【解析】主要考查实数的运算,考查基本知识和基本的计算能力,题目简单,但易出错,计算需细心。
1、+ +=232=3+-252=42⨯⨯ 722【解析】试题分析:先化简,再合并同类二次根式即可计算出结果.11223432223232332考点: 二次根式的运算.8.(1)32(2)9200 【解析】(1)原式=4+27+1 =32(2)原式=23(1012-992) (1分)=23(101+99)(101-99)(2分)=232200⨯⨯=9200 (1分) 利用幂的性质求值。
中考数学计算题大全及参考答案(一)2+3=1,再平方得18.(1)-2+33+20=51,(2)231012-99223=0解析】略9、(1)-23+(-37)-(-12)+45=-23-37+12+45= -3;(2)(212-1/2)×(-6)2=-212×36= -7632解析】略10.(1)(24-1/2)÷6×(11-2×x)=2x-15,解得x=3/2;(2)212÷3+4-1260÷60=74解析】略11.(1)(375-1)/4-60/11=5/44,(2)(6x-1111+2x)÷3x=8/3解析】略15.-3/4解析】(-3)2+(-1)/4-(-2)2=9-1/4-4= -15/416.18-(-2+3)+(-1)2=20解析】略17.-15解析】12-(27+(-15))=12-12=0,再减去-15=-1518.-7.5解析】(-0.8)-(-5)+7/3=(-0.8)+5+2.333=6.533,再减去12=-5.467,约等于-7.519.-2.25解析】12-(3-π)×38/4=12-28.5=-16.5,再减去(-18)=-2.5,约等于-2.2520.-2解析】(-1)-(-2)+3×(20-3+π)/4=1+3(20-3+3.14)/4=23.55/4,约等于5.89,再减去8=-2.11,约等于-222.-3解析】28-(11+12)/2=28-11.5=16.5,再减去19.5=-323.-4解析】(3-2)+(5-3)×(5+3)=1+2×8=17,再减去21=-4解析】试题分析:(1)直接代入计算即可;(2)先化简二次根式,再利用乘法分配律计算.试题解析:(1)原式=(3)(1)213+2=52)原式=22222 222 222 2 22 2222222222 2 2 2 2 2 2 2 2 2 2 2 2 2 2 2 2 2 2 22 2 2 2 2 2 2 2 2 2 2 2 2 2 2 2 2 2 2 22 2 2 2 2 2 2 2 2 2 2 2 2 2 2 2 2 2 2 22 2 2 2 2 2 2 2 2 2 2 2 2 2 2 2 2 2 2 22 2 2 2 2 2 2 2 2 2 2 2 2 2 2 2 2 2 2 22 2 2 2 2 2 2 2 2 2 2 2 2 2 2 2 2 2 2 22 2 2 2 2 2 2 2 2 2 2 2 2 2 2 2 2 2 2 22 2 2 2 2 2 2 2 2 2 2 2 2 2 2 2 2 2 2 22 2 2 2 2 2 2 2 2 2 2 2 2 2 2 2 2 2 2 22 2 2 2 2 2 2 2 2 2 2 2 2 2 2 2 2 2 2 22 2 2 2 2 2 2 2 2 2 2 2 2 2 2 2 2 2 2 22 2 2 2 2 2 2 2 2 2 2 2 2 2 2 2 2 2 2 22 2 2 2 2 2 2 2 2 2 2 2 2 2 2 2 2 2 2 22 2 2 2 2 2 2 2 2 2 2 2 2 2 2 2 2 2 2 22 2 2 2 2 2 2 2 2 2 2 2 2 2 2 2 2 2 2 22 2 2 2 2 2 2 2 2 2 2 2 2 2 2 2 2 2 2 22 2 2 2 2 2 2 2 2 2 2 2 2 2 2 2 2 2 2 22 2 2 2 2 2 2 2 2 2 2 2 2 2 2 2 2 2 2 22 2 2 2 2 2 2 2 2 2 2 2 2 2 2 2 2 2 2 22 2 2 2 2 2 2 2 2 2 2 2 2 2 2 2 2 2 2 22 2 2 2 2 2 2 2 2 2 2 2 2 2 2 2 2 2 2 22 2 2 2 2 2 2 2 2 2 2 2 2 2 2 2 2 2 2 22 2 2 2 2 2 2 2 2 2 2 2 2 2 2 2 2 2 2 22 2 2 2 2 2 2 2 2 2 2 2 2 2 2 2 2 2 2 22 2 2 2 2 2 2 2 2 2 2 2 2 2 2 2 2 2 2 22 2 2 2 2 2 2 2 2 2 2 2 2 2 2 2 2 2 2 22 2 2 2 2 2 2 2 2 2 2 2 2 2 2 2 2 2 2 22 2 2 2 2 2 2 2 2 2 2 2 2 2 2 2 2 2 2 22 2 2 2 2 2 2 2 2 2 2 2 2 2 2 2 2 2 2 22 2 2 2 2 2 2 2 2 2 2 2 2 2 2 2 2 2 2 22 2 2 2 2 2 2 2 2 2 2 2 2 2 2 2 2 2 2 22 2 2 2 2 2 2 2 2 2 2 2 2 2 2 2 2 2 2 22 2 2 2 2 2 2 2 2 2 2 2 2 2 2 2 2 2 2 22 2 2 2 2 2 2 2 2 2 2 2 2 2 2 2 2 2 2 22 2 2 2 2 2 2 2 2 2 2 2 2 2 2 2 2 2 2 22222222222222222218.解析:计算原式,先进行分数的通分,然后进行加减法运算,最后化简即可得到答案。
1 .23621601214314175395243 40431511454233862328125647--8123220113212399101232210601651274311121241318123214 1531246612131321620212529363181712312712661833218243352741581920112|4120131124212223231|1|3333325=14-9=5387431511441312318118741-44011536414233832527------813229200121012-992(101-99)21220091-3;210121-23+-37--12+45410-30=-45-606512743606560127604335+50=-3011121212121312131431323157.21113262969276161212233633231212122312231712233411851451424334155275424335274155424335274158019-2.+2-=-2.1. 2.201212352122232------------------------------------------------------------------63253--------71 220130 3|1|012013567 8 10 111213+|3|+1 151612120130+||222+412 17112013|7|+0121819122012302452211|3|+162320130222122312+124122512+12612272829201322012420113011一.解答题(共3011211+12121211101220130+1+13|1|01201312+1111212451141144362744421811139210+31111111212原式第一项利用立方根的定义化简,第二项利用负数的绝对值等于它的相反数计算法则计算,第四项利用负指数幂法则计算,第五项利用1181311321132132214 3.140+|3|+120131415221612120130+||222+412121122424242+4 17112013|7|+01211211115218原式第一项利用立方根的定义化简,第二项利用二次根式的化简公式化简,第三项利用零指数幂法则计算,1451912121114+1+|12|142121112012302452121222311416314211|3|+16232013021)原式第一项利用负数的绝对值等于它的相反数计算,第二项先计算乘方运算,再计算除法运算,第2131234622212121121313122312+11)原式第一项利用负数的绝对值等于它的相反数计算,第二项利用特殊角的三212172+1+324121)原式第一项利用绝对值的代数意义化简,第二项利用零指数幂法则计算,第三项利用负指数幂法则21+13+3213212512+112112+126121)原式第一项利用特殊角的三角函数值化简,第二项利用零指数幂法则计算,212211118272282129201322012420112011201122420112242011+522420110301819126-6 3020151351251513 223113415322 2215113656 709422023432852213222330 920121451012456011 ---3622337956347181213343144201232221113.解方程(本小题共61 2532436431.60.20.5140||6015 233218342101216241940 17582818 192221121276521223201120+|4|×0.5+21 21 49322922121212423424 25 0116033230148 31|4|201634232212117538131383171. 2. 3. 4. 5.62-36:-363-17.=-1+1-9-8=-174172312x-2=3x+5 2x-3x=2+5x=-7262(2x+1)-(5x-1)=6x=-354113【解析】先把第二个方程去分母得3x-4y=-2,4113622114211222212221117363236322182323931410123211212111-192-111=-9÷9-18=-1-18=-192753796418=-28+30-27+14=-111221311326313 1532436112171217129128122121543326452431.60.20.529362762732661361263616220561235414试题分析:原式第一项利用零指数幂法则计算,第二项利用绝对值的代数意义化简,第三项利用特殊角的三角函数值计算,最后一项利用立方根定义化简计算即可得到2. 3.153222123x-3+6≥2x332181-3x+3-8+x 0-23223421012122221161747 189190 2021-40--19-24=-40+19-24=-45 2-5-8--28 3-1256712=6+10-74-22--22-23-12011=-4-4+85-32+|-4|×0.52+2-12942912=-4+1+521 312124234 712166 102244124322421 1212423412166224001160341313200116034131322425 =2-1+230-76=-48+8-36=-76316412 95。
中考数学计算题100道练习1. 解方程组:{x 3−y 2=15x +3y =82. 解下列方程组:(1){4a +b =153b −4a =13(2){2(x −y)3−x +y 4=−16(x +y)−4(2x −y)=163. 解下列方程组(1){3x +5y =112x −y =3 (2){x 2−y+13=13(x +2)=−2y +124. 解下列方程组:(1){4x −3y =11y =13−2x; (2){x 4+y 3=33x −2(y −1)=11.5. 解下列方程(组)(1) 2−x x−3+3=23−x (2){2x −y =57x −3y =206. 解下列方程:(1)1−2x−56=3−x 4;(2)1.7−2x 0.3=1−0.5+2x 0.6.7. 解下列方程12[x −12(x −1)]=23(x −1)8. 2x−112−3x−24=19.解方程:(1)5(x+8)=6(2x−7)+5(2)0.1x−0.20.02−x+10.5=310.(1)化简:(x+y)(x−y)−(2x−y)(x+3y);(2)解方程:(3x+1)(3x−1)−(3x+1)2=−8.11.解方程:(1)(x−1)2=4;(2)xx+1=2x3x+3+1.12.解方程:(1)x2=3x.(2)3x2−8x−2=0.13.x2−2(√2x−2)=2.14.解方程:(1)(x−3)(x−1)=3.(2)2x2−3x−1=0.15.解方程:(1)x2−121=0(2)2(x−1)2=33816.解方程(1)x2−2x−6=0;(2)(2x−3)2=3(2x−3).17.解方程:(1)3(x−2)2=x(x−2);(2)3x2−6x+1=0(用配方法).18. 用适当的方法解下列方程:(1)x 2−12x −4=0(2)x(3−2x)= 4 x −619. 计算:(1)|−2|+(sin36°−12)0−√4+tan45°;(2)用配方法解方程:4x 2−12x −1=0.20. 解分式方程x x−1−1=3x 2−121. 解分式方程:2x 2−4=1−x x−2.22. 解下列方程:(1)x x−1−2x−1x 2−1=1(2)2−x x −1+11−x =123.解方程(1)23+x3x−1=19x−3(2)xx2−4+2x+2=1x−224.解方程(1)x2x−5+55−2x=1(2)8x2−1+1=x+3x−125.解下列分式方程:(1)1x−2+3=1−x2−x;(2)x+1x−1−4x2−1=1.26.解方程1x−3+1=4−xx−3.27.解下列方程:(1)3x−1−1=11−x;(2)xx+1−2x2−1=1.28.解方程:5−xx−4=1−34−x.29.解方程:16x2−4−x+2x−2=−1.30.(1)计算:(√7−1)0−(−12)−2+√3tan30∘;(2)解方程:x+1x−1+41−x2=1.31.解方程:2(x+1)x−1−x−1x+1=1.32.解分式方程:(1)1x−4=1−x−34−x.(2)810.9x−661.1x=4033.解方程:(1)3x+2=43x−1(2)xx+1−2x2−1=134.解分式方程:1x +3x−3=23x−x235.(1)分解因式:3a3−27a;(2)解方程:2x =3x−2.36.解分式方程:(1)3x−2+2=x2−x.(2)2x−1=4x2−1.37.计算:(1)(a−2b)2+(a−2b)(a+2b)(2)解分式方程3x−2=3+x2−x38.解方程:x−12−x −2=3x−2.39.解答下列各题(1)解方程:x24−x2=1x+2−1.(2)先化简,再求值:a−33a2−6a ÷(a+2−5a−2),其中a2+3a−1=0.40.解方程:3x+1=x2x+2+141.(1)分解因式:(a−b)(x−y)−(b−a)(x+y)(2)分解因式:5m(2x−y)2−5mn2(3)解方程:2x+1−2x1−x2=1x−142.解方程:x2+1x2−2(x+1x)−1=0.43.解方程xx−2+6x+2=144. 解分式方程(1)3x+2=2x−3 (2)8x 2−4−x x−2=−145. 求不等式组{2x −1≤13x −3<4x 的整数解.46. 解不等式组:{3(x +1)>x −1x+92>2x47. 解不等式组{2x +3≤x +112x+53−1>2−x .48. 解不等式组:{2x −1>x +13(x −2)−x ≤449. 解下列方程:(1)解方程:x 2+4x −2=0;(2)解不等式组:{x −3(x −2)≥24x −2<5x +1.50. (1)计算:(π−2)0+√8−4×(−12)2(2)解不等式组:{3(x −2)≤4x −55x−24<1+12x51. 解不等式:1−x 2>−1.52. 解下列不等式,并把解集在数轴上表示出来:(1)5x−13−2x >3; (2)x−12−x+43>−2.53. 解不等式组{2x −1⩽x +2x−23<x 2+1,并把解在数轴上表示出来.54.解不等式组:{x+1>05−4(x−1)<155.解不等式4(x−1)+3≤2x+5,并把它的解集在数轴上表示出来.56.解不等式组{2x≥−4①12x+1<32②,并把不等式组的解集表示在数轴上.57.因式分解:(1)24ax2−6ay2;(2)(2a−b)2+8ab 58.因式分解(1)2x2−4x59. 分解因式:8ab −8b 2−2a 2 60. (1)分解因式:2x 2−18(2)解不等式组{5m −3≥2(m +3)13m +1>12m61. 因式分解:(1)16m (m −n )2+56(n −m )3;(2)(2a +3b )(a −2b )−(3a +2b )(2b −a ).62. 因式分解:(1)4a 2−9 (2)x 3−2x 2y +xy 263.分解因式:(1)6m2n−15n2m+30m2n2;(2)x(x−y)2−y(x−y).64.因式分解:(1)x(x−12)+4(3x−1).(2)m3n−4m2n+4mn65.因式分解:(x2−5)2+8(x2−5)+1666.分解因式:(1)x3−3x2−28x(2)12x2−x−2067.化简:(1)(x+y)2−(x−2y)(x+y)(2)(2x+1x2−4x+4−1x−2)÷x+3x2−4(1)√12−|−3|−3tan30∘+(−1+√2)0 (2) (x +1)(x −1)−(x −2)269. 计算:(1)√643+|√2−1|−π0+(12)−1;(2)(2x −1)2−(3x +1)(3x −1)+5x(x −1).70. (1)计算: |−3|−4cos60°+(2019−2020)0.(2)先化简,再求值:(x +2)2−x (x −2),其中x =2.71. 化简:(√3+√2)2019⋅(√3−√2)2020.72. 解下列各题:(1)计算:(x +2)2+(2x +1)(2x −1)−4x(x +1)(2)分解因式:−y 3+4xy 2−4x 2y73. 先化简,再求值:[a (a 2b 2−ab )−b (a 2−a 3b )]÷2a 2b ,其中a =−12,b =13.74. 计算:(1)(−2)2×|−3|−(√6)0 (2)(x +1)2−(x 2−x)75. 计算(1)|−1|+(3−π)0+(−2)3−(13)−2(2)(x 4)3+(x 3)4−2x 4⋅x 876. 计算:(1)(2x 2)3−x 2·x 4;(2)−22+(12)−2−2−1×(−12)0.77. 计算:①(−2020)0+√−83+tan45∘;②(a +b)(a −b)+b(b −2).78.(1)计算:x(x−9y)−(x−8y)(x−y)(2)计算:(−12a5b3+6a2b−3ab)÷(−3ab)−(−2a2b)2.)−279.计算:|√3−2|+(π−2019)0+2cos30∘−(−13)−1+|1−2cos45°|80.√2×(−1)2017−(1281.计算:cos245∘−2sin60∘−|√3−2|.)−2−(2019+π)0−|2−√5|82.计算:(−12)0;83.(1)计算:−24−√12+|1−4sin60°|+(π−23(2)解方程:2x2−4x−1=0.)−2−|√3−2|84.计算√27−3tan 30∘+(−12)−3.85.计算:√3×(−√6)+|−2√2|+(123−√(−5)2+(π−3.14)0+|1−√2|.86.计算:√273−√1+9;(2)√(−2)2+|√2−1|−(√2−1) 87.计算(1)√16+√−2788. 计算:(12)−1+(−2019)0−√9+√27389. 计算:(−2)−1−12√8−(5−π)0+4cos45∘90. 计算:(12)−1−(√2−1)0+|1−√3|+√1291. (1)计算(−12)−1+√16−(π−3.14)0−|√2−2|(2)化简:(2m m+2−m m−2)÷m m 2−4.92. 计算下列各题.(1)√4+(π−3.14)0−|−√3|+(13)−1 (2)√−83+(√3)2+√(−3)2+|1−√2|93. 计算:|1−√2|−√6×√3+(2−√2)0.94. 计算:(√12+√3)×√6−4√32÷√395. 计算:12×(√3−1)2√2−1−(√22)−1.96. 已知a =2+√3,求1−2a+a 2a−1−√a 2−2a+1a 2−a 的值.97. √(1−√3)2−√24×√122−√398. 计算:(1)√32−√8+√12×√3 (2)|√3−2|+(√3)−1−(√2−1)099. 计算:(1)2√45+3√15+√(2−√5)2; √2√6−2√3(√6−√2).100.先化简,再求值:1−a−2a ÷a 2−4a 2+a ,请从−2,−1,0,1,2中选择一个合适的数,求此分式的值.答案和解析1.【答案】解:{x 3−y 2=1①5x +3y =8②,①×6,得2x −3y =6③②+③,得7x =14,解得x =2,把x =2代入②,得10+3y =8,解得y =−23,∴原方程组的解为{x =2y =−23.【解析】本题主要考查二元一次方程组的解法,可利用加减消元法求解,将①×6得③,再利用②+③解得x 值,再将x 值代入②求解y 值,即可得解.2.【答案】解:(1){4a +b =15 ①3b −4a =13 ②, ①+②得,4b =28,解得:b =7,把b =7代入①得:4a +7=15,解得:a =2, 则方程组的解为{a =2b =7; (2)将原方程组变形得{5x −11y =−12①x −5y =−8②, ②×5−①得:−14y =−28,解得:y =2,把y =2代入②得:x =2, 则方程组的解为{x =2y =2.【解析】此题考查了解二元一次方程组,利用了消元的思想,消元的方法有:代入消元法与加减消元法.(1)方程组利用加减消元法求出解即可;(2)方程组整理后,利用加减消元法求出解即可.3.【答案】 解:(1){3x +5y =11①2x −y =3②, ①+②×5,得:13x =26,解得:x =2,将x =2代入②,得:4−y =3,解得:y =1,所以方程组的解为{x =2y =1; (2)将方程组整理成一般式为{3x −2y =8①3x +2y =6②, ①+②,得:6x =14,解得:x =73,将x =73代入①,得:7−2y =8,解得:y =−12,所以方程组的解为{x =73y =−12.【解析】此题考查了解二元一次方程组,利用了消元的思想,消元的方法有:代入消元法与加减消元法.(1)方程组利用加减消元法求出解即可;(2)方程组整理后,利用加减消元法求出解即可.4.【答案】解:(1)原方程可化为{4x −3y =11①2x +y =13②, ②×2−①得:5y =15,解得:y =3,把y =3代入②得:x =5,所以方程组的解为{x =5y =3; (2)整理原方程组得{3x +4y =36①3x −2y =9②, ①−②得:6y =27,解得:y =92,把y =92代入②得:x =6,所以方程组的解为{x =6y =92.【解析】本题主要考查了解二元一次方程组,利用了消元的思想,消元的方法有:代入消元法与加减消元法.(1)方程组利用加减消元法求出解即可;(2)方程组整理后,利用加减消元法求出解即可.5.【答案】解:(1)去分母得:2−x +3(x −3)=−2,解得:x =2.5,经检验x =2.5为原分式方程的解;(2){2x −y =5①7x −3y =20②, ②−①×3得:x =5,把x =5代入①得:y =5,则方程组的解为{x =5y =5.【解析】此题考查了解分式方程,利用了转化的思想,解分式方程时注意要检验.(1)分式方程去分母转化为整式方程,求出整式方程的解得到x 的值,经检验即可得到分式方程的解;(2)方程组利用加减消元法求出方程组的解即可.6.【答案】解:(1)去分母,得12−4x +10=9−3x ,移项、合并同类项,得−x =−13;系数化为1,得x =13;(2)去分母得:3.4−4x =0.6−0.5−2x ,移项合并得:2x =3.3,解得:x =1.65.【解析】本考查了解一元一次方程,其步骤为:去分母,去括号,移项合并,把x 系数化为1,求出解;方程整理后,去分母,去括号,移项合并,把x 系数化为1,即可求出解.7.【答案】12[x −12(x −1)]=23(x −1)解:12x −14(x −1)]=23(x −1)6x −3(x −1)]=8(x −1)6x −3x +3=8x −86x −3x −8x =−8−3−5x =−11x =115【解析】此题考查了解一元一次方程,去括号,去分母,再去括号,移项合并,把未知数系数化为1,求出解.8.【答案】解:去分母,得2x −1−3(3x −2)=12,去括号,得2x −1−9x +6=12,移项,得2x −9x =12+1−6,合并同类项,得−7x =7,系数化成1,得x =−1.【解析】本题主要考查了解一元一次方程,注意在去分母时,方程两端同乘各分母的最小公倍数时,不要漏乘没有分母的项,同时要把分子(如果是一个多项式)作为一个整体加上括号.先去分母,再去括号,最后移项,合并同类项,化系数为1,从而得到方程的解.9.【答案】解:(1)原方程去括号得5x +40=12x −42+5,移项可得:12x −5x =40+42−5,合并同类项可得:7x =77,解得:x =11.(2)原方程去分母得5x −10−2(x +1)=3,去括号得5x −10−2x −2=3,移项合并可得:3x =15,解得:x=5.【解析】本题考查的是解一元一次方程有关知识.(1)首先对该方程去括号变形,然后再进行合并,最后再解答即可;(2)首先对该方程去分母变形,然后再解答即可.10.【答案】解:(1)原式=x2−y2−(2x2+5xy−3y2)=−x2−5xy+2y2;(2)去括号,得9x2−1−(9x2+6x+1)=−8,9x2−1−9x2−6x−1=−8,合并,得−6x−2=−8,解得x=1.【解析】(1)先根据平方差公式和多项式乘多项式法则计算,再合并同类项即可求解;(1)先根据平方差公式和完全平方公式计算,再合并同类项得到−6x−2=−8,再解一元一次方程即可求解.本题考查了平方差公式,多项式乘多项式,完全平方公式,解一元一次方程,解一元一次方程的一般步骤:去分母、去括号、移项、合并同类项、系数化为1,这仅是解一元一次方程的一般步骤,针对方程的特点,灵活应用,各种步骤都是为使方程逐渐向x=a 形式转化.11.【答案】解:(1)(x−1)2=4,两边直接开平方得:x−1=±2,∴x−1=2或x−1=−2,解得:x1=3,x2=−1;(2)xx+1=2x3x+3+1方程两边都乘3(x+1),得:3x=2x+3(x+1),解得:x=−32,经检验x=−32是方程的解,∴原方程的解为x=−32.【解析】本题主要考查了一元二次方程的解法和分式方程的解法,解分式方程的关键是去分母,将分式方程转化为整式方程,注意解分式方程要检验.(1)先两边直接开平方,然后转化为两个一元一次方程,解之即可;(2)先在方程两边同时乘以3(x+1),去掉分母,然后解整式方程,最后检验即可.12.【答案】解:(1)x2=3xx2−3x=0x(x−3)=0x 1=0 ,x 2=3(2)3x 2−8x −2=0∵△=64−4×3×(−2)=88∴x =8±√886=4±√223 x 1=4+√223 ,x =4−√223【解析】本题考查一元二次方程的解法,熟练应用各种解法是解题的关键.(1)先把方程化为一元二次方程的一般形式,用因式分解法解方程即可;(2)用公式法解方程,先求出△的值,然后运用一元二次方程的求根公式求出方程的根即可.13.【答案】解:∵x 2−2(√2x −2)=2,∴x 2−2√2x +4=2,∴x 2−2√2x +2=0,∴(x −√2)2=0,解得:x 1=x 2=√2.【解析】本题主要考查的是直接开平方法解一元二次方程的有关知识,先将给出的方程进行变形为(x −√2)2=0,然后直接开平方求解即可.14.【答案】解:(1)原式化简得x 2−4x =0,因式分解得x(x −4)=0,即x =0或x −4=0,解得x 1=0,x 2=4;(2)2x 2−3x −1=0,∵a =2,b =−3,c =−1,则b 2−4ac =9+8=17>0,则x = 3±√174 , 则x 1= 3+√174 ,x 2= 3−√174 .【解析】本题考查了一元二次方程的解法,解一元二次方程常用的方法有直接开平方法,配方法,公式法,因式分解法,要根据方程的特点灵活选用合适的方法.(1)先化简,提取公因式x 可得x(x −4)=0,然后解两个一元一次方程即可;(2)直接运用公式法来解方程.15.【答案】解:(1)x 2=121,x =±11,x 1=11,x 2=−11;(2)(x −1)2=169,x −1=±13,x 1=14, x 2=−12.【解析】略16.【答案】解:(1)x 2−2x −6=0,x 2−2x =6,x 2−2x +1=7,(x −1)2=7,x −1=±√7,∴x 1=1+√7,x 2=1−√7;(2)(2x −3)2=3(2x −3).(2x −3)2−3(2x −3)=0,(2x −3)(2x −3−3)=0,∴2x −3=0或2x −6=0,∴x 1=32,x 2=3.【解析】本题主要考查了一元二次方程的解法,解一元二次方程常用的方法有:直接开平方法,因式分解法,配方法,公式法,解答时应根据方程的特征选择恰当的方法.(1)根据方程的特征可用直接开平方法解答,解答时先将常数项移项到方程的右边将方程变为x 2−2x =6,然后方程两边同时加上1分解可得(x −1)2=7,再用直接开平方法解答即可;(2)先移项,然后分解因式可得(2x −3)(2x −6)=0,可得2x −3=0或2x −6=0,然后解之即可.17.【答案】解:(1)原方程可变形为(x −2)(3x −6−x )=0,∴x −2=0或2x −6=0,解得:x 1=2,x 2=3(2)∵3(x 2−2x +1−1)+1=0,∴3(x −1)2−3+1=0,∴3(x −1)2=2,∴x −1=±√63, ∴x 1=1+√63,x 2=1−√63【解析】本题考查的是解一元二次方程有关知识.(1)首先对该方程进行因式分解,然后再进行解答即可;(2)首先对该方程进行配方,然后再解答.18.【答案】解:(1)∵a =1,b =−12,c =−4,∴Δ=144+16=160,∴x =12±4√102, x 1=6+2√10,x 2=6−2√10;(2)x(3−2x)+2(3−2x)= 0,(x +2)(3−2x)= 0,x 1=−2,x 2=32.【解析】本题考查利用公式法和因式分解法求一元二次方程的解.(1)按公式法,先求出判别式的值,再代入公式求解;(2)将方程右边移项到左边,提取公因式后,利用因式分解法求解.19.【答案】解:(1)原式=2+1−2+1=2(2)原方程化为x 2−3x =14x 2−3x +(32)2=104 (x −32)2=±√102∴原方程的根x 1=3+√102,x 2=3−√102.【解析】本题主要考查了实数的运算和解一元二次方程,关键是熟练掌握特殊角的三角函数值和配方法解方程的方法.(1)利用零指数幂公式、绝对值和算术平方根、特殊角的三角函数值计算,最后计算加减可得结果;(2)利用配方法进行解方程即可.20.【答案】解:x x−1−1=3(x−1)(x+1),x(x +1)−(x −1)(x +1)=3,解得,x =2,经检验:当x =2时,(x −1)(x +1)≠0,∴x =2是原分式方程的解.【解析】本题考查了解分式方程,解分式方程的基本思想是转化,把分式方程转化为整式方程求解,解分式方程一定注意要验根;先把分式方程去分母,注意没有分母的项也要乘以公分母(x −1)(x +1),求出整式方程的解得到x 的值,经检验即可得到分式方程的解.21.【答案】解:等号两边同乘(x +2)(x −2)得:2=x 2−4−x 2−2x ,2x =−6,解得:x =−3,检验,当x =−3时,(x +2)(x −2)≠0,所以x =−3是原方程的解.【解析】此题考查了解分式方程,利用了转化的思想,解分式方程注意要检验.分式方程去分母转化为整式方程,求出整式方程的解得到x 的值,经检验即可得到分式方程的解.22.【答案】解:(1)方程两边同时乘以x 2−1得:x (x +1)−2x +1=x 2−1, 解得:x =2,经检验,x =2是原方程的解;(2)方程两边同时乘以x −1得:2−x −1=x −1,解得:x =1,经检验,x =1是增根,∴原方程无解.【解析】本题考查了解分式方程,解分式方程的基本思想是“转化思想”,把分式方程转化为整式方程求解,注意解分式方程一定要验根.(1)方程两边同时乘以x 2−1去分母,转化为整式方程x (x +1)−2x +1=x 2−1,求出整式方程的解得到x 的值,经检验即可得到分式方程的解;(2)方程两边同时乘以x −1去分母,转化为整式方程2−x −1=x −1,求出整式方程的解得到x 的值,经检验即可得到分式方程的解.23.【答案】解:(1)23+x3x−1=19x−3,两边同乘以3(3x−1)得,2(3x−1)+3x=1,去括号得,6x−2+3x=1,移项合并得,9x=3,系数化为1得,x=13,检验:当x=13时,3(3x−1)=0,∴x=13时原方程的增根,原方程无解;(2)xx2−4+2x+2=1x−2方程两边同乘以(x+2)(x−2)得,x+2(x−2)=x+2,去括号得,x+2x−4=x+2,移项合并得,2x=6,系数化为1得,x=3,当x=3时,(x+2)(x−2)≠0,所以原方程的解为x=3.【解析】本题主要考查了解分式方程,熟练掌握解分式方程的方法是解题的关键,两分式方程去分母转化为整式方程,求出整式方程的解得到x的值,经检验即可得到分式方程的解.(1)方程两边同乘以3(3x−1)转化为整式方程2(3x−1)+3x=1,解出x并检验即可;(2)方程两边同乘以(x+2)(x−2)转化为整式方程x+2(x−2)=x+2,解出x并检验即可.24.【答案】解:(1)去分母,得x−5=2x−5,移项,得x−2x=−5+5,解得x=0,检验:把x=0代入2x−5≠0,所以x=0是原方程的解;(2)去分母,得8+x2−1=(x+3)(x+1),去括号,得8+x2−1=x2+4x+3,解得x=1,把x=1代入(x+1)(x−1)=0,所以x=1是原方程的增根,所以原方程无解.【解析】此题考查了解分式方程,解分式方程的基本思想是“转化思想”,把分式方程转化为整式方程求解.解分式方程一定注意要验根.(1)分式方程去分母转化为整式方程,求出整式方程的解得到x的值,经检验即可得到分式方程的解;(2)分式方程去分母转化为整式方程,求出整式方程的解得到x的值,经检验即可得到结论.25.【答案】解:(1)原方程可变形为1+3(x−2)=x−1,整理可得:2x=4,解得:x=2,经检验:x=2是原方程的增根,所以原方程无解;(2)原方程可变形为(x+1)2−4=x2−1,整理可得:2x=2,解得:x=1,经检验:x=1是原方程的增根,所以原方程无解;【解析】本题考查的是解分式方程有关知识.(1)首先对该方程变形,然后再进行解答即可;(2)首先对该方程变形,然后再进行解答即可.26.【答案】解:去分母得1+x−3=4−x解得x=3.经检验x=3是原方程的增根.∴原方程无解【解析】此题考查了解分式方程,解分式方程的基本思想是“转化思想”,把分式方程转化为整式方程求解.解分式方程一定注意要验根.分式方程去分母转化为整式方程,求出整式方程的解得到x的值,经检验是原方程的增根,所以原方程无解.27.【答案】解:(1)方程两边同时乘以(x−1)得3−x+1=−1,解得x=5,经检验x=5是分式方程的解;(2)方程两边同时乘以(x2−1)得x(x−1)−2=x2−1解得x=−1,经检验x=−1是方程的增根,∴原分式方程无解.【解析】本题考查解分式方程,关键是熟练分式方程的解法步骤.(1)先将分式方程转化为整式方程,解得x的值进行检验即可得出方程的解;(2)先将分式方程转化为整式方程,解得x的值进行检验即可得出方程的解.28.【答案】解:方程两边同时乘以最简公分母(x−4),得5−x=x−4+3,整理,得−2x=−6,解得x=3,检验:当x=3时,x−4≠0,所以原分式方程的根是x=3.【解析】本题考查的知识点是解分式方程,在解分式方程去分母时,两边同时乘以最简公分母,每一项都要乘,不能漏乘某一项,本题易出现如下错解:方程两边同时乘以最简公分母(x−4),得5−x=1+3,解得x=1,检验:当x=1时,x−4≠0,所以原分式方程的根是x=1,错误的原因是去分母时,常数项漏乘最简公分母,故一定要注意不能漏乘.29.【答案】解:16x2−4−x+2x−2=−1,16−(x+2)2=4−x2,16−x2−4x−4−4+x2=0,16−4x−8=0,x=2,经检验,x=2为增根,此方程无解.【解析】本题综合考查了解分式方程的解法.注意,分式方程需要验根.先去分母,然后移项、合并同类项,最后化未知数系数为1.30.【答案】解:(1)原式=1−4+√3×√33=1−4+1=−2;(2)x+1x−1+41−x2=1整理得:x+1x−1−4x2−1=1,去分母得:(x+1)2−4=x2−1,去括号得:x2+2x+1−4=x2−1,移项得:2x=−1−1+4,合并同类项得:2x=2,系数化为1得:x=1,经检验:x=1时,x−1=0,∴此方程无解.【解析】此题考查了解分式方程,以及实数的运算,熟练掌握运算法则是解本题的关键.(1)原式利用零指数幂、负整数指数幂法则,以及特殊角的三角函数值计算即可求出值;(2)分式方程去分母转化为整式方程,求出整式方程的解得到x的值,经检验即可得到分式方程的解.31.【答案】解:去分母,得2(x+1)2−(x−1)2=x2−1,化简,得6x=−2,解得x=−13.经检验,x=−13是原方程的根.所以原方程的根为x=−13.【解析】本题考查了解分式方程,根据解分式方程的步骤,去分母,去括号,化简x系数为1,即可求得答案.(注意,一定要验根)32.【答案】解:(1)去分母得:1=x−4+x−3,解得:x=4,检验:当x=4时,x−4=0,所以x=4是原方程的增根,原方程无解;(2)原方程整理得:90x −60x=40,去分母得:40x=30,解得:x=34,检验:当x=34时,0.99x≠0,所以x=34是原方程的根.【解析】本题主要考查的是解分式方程,解分式方程的基本思想是“转化思想”,把分式方程转化为整式方程求解.解分式方程一定注意要验根.(1)方程两边都乘以x−4,分式方程去分母转化为整式方程,求出整式方程的解得到x 的值,经检验即可得到分式方程的解;(2)先化简方程,然后方程两边都乘以x,分式方程去分母转化为整式方程,求出整式方程的解得到x的值,经检验即可得到分式方程的解.33.【答案】解:(1)方程两边乘(x+2)(3x−1),得3(3x−1)=4(x+2)解得x=115检验:当x=115时,(x+2)(3x−1)≠0是原分式方程的解,∴原分式方程的解为x=115;(2)方程两边乘(x+1)(x−1),得x(x−1)−2=(x+1)(x−1)解得x=−1检验:当x=−1时,(x+1)(x−1)=0∴x=−1不是原分式方程的解,∴原分式方程无解【解析】本题考查了分式方程的解法.解题关键是把分式方程转化为整式方程,掌握解分式方程的一般步骤,特别最后需要验根.(1)先找出最简公分母,去分母,把分式方程化为整式方程,解出整式方程后,再验根即可.(2)先把各分母分解因式,找出最简公分母,去分母,把分式方程化为整式方程,解出整式方程后,再验根即可.注意在去分母时不能漏乘不含分母的项“1”.34.【答案】解:原方程可化为1x +3x−3=−2x(x−3)方程两边同乘x(x−3),得x−3+3x=−2,4x=1,x=14,检验:当x=14时,x(x−3)≠0,∴x=14是原分式方程的解.【解析】本题考查了解分式方程,掌握解分式方程的步骤是解题的关键,属于基础题.方程的两边同时乘以x(x−3)化为x−3+3x=−2,解之即可,注意分式方程要检验.35.【答案】(1)解:原式=3a(a2−9)=3a(a+3)(a−3);(2)解:方程两边同乘x(x−2),得2(x−2)=3x2x−4=3x2x−3x=4−x=4x=−4检验:当x=−4时,x(x−2)≠0,∴原方程的解为x=−4.【解析】此题考查了解分式方程,以及提公因式法与公式法的综合运用,熟练掌握运算法则是解本题的关键.(1)原式提取3a,再利用平方差公式分解即可;(2)分式方程两边同乘x(x−2),转化为整式方程,求出整式方程的解得到x的值,经检验即可得到分式方程的解.36.【答案】解:(1)方程两边乘x−2,得3+2x−4=−x,−x−2x=−4+3,−3x=−1x=13,检验:x=13时,x−2≠0.∴原方程的根是x=1;3(2)方程两边乘(x+1)(x−1),得2(x+1)=4,2x+2=4,2x=2,解得x=1.检验:当x=1时,(x+1)(x−1)=0,x=1是增根.∴原方程无解.【解析】本题考查了解分式方程,解分式方程的基本思想是“转化思想”,把分式方程转化为整式方程求解;解分式方程一定注意要验根.(1)观察可得最简公分母是x−2,方程两边乘最简公分母,可以把分式方程转化为整式方程,求解即可;(2)观察可得最简公分母是(x+1)(x−1),方程两边乘最简公分母,可以把分式方程转化为整式方程,求解.37.【答案】解:(1)原式=a2−4ab+4b2+a2−4b2=2a2−4ab; (2)两边同乘以x−2得,3=3(x−2)−x,3=3x−6−x,2x=9,x=4.5,检验:当x=4.5时,x−2≠0,∴x=4.5是原方程的解,∴原分式方程的解为x=4.5.【解析】(1)此题考查了整式的混合运算,完全平方公式,平方差公式,掌握整式的混合运算法则是关键,先去括号再合并,即可得到答案.(2)此题考查了解分式方程,掌握解分式方程的步骤是关键,分式方程去分母转化为整式方程,求出整式方程的解得到x的值,检验后即可得到分式方程的解.38.【答案】解:x−1−2(2−x)=−3,x−1−4+2x=−3,3x=2,x=2,3时,2−x≠0,检验:当x=23∴x=2是原分式方程的解.3【解析】此题考查了分式方程的求解方法,此题难度不大,注意转化思想的应用,注意解分式方程一定要验根.本题的最简公分母是2−x,方程两边都乘以最简公分母转化为整式方程求解,最后要代入最简公分母验根.39.【答案】解:(1)方程两边都乘(2−x)(2+x),得x2=2−x−4+x2,解得:x=−2,检验:当x=−2时,(2−x)(2+x)=0,∴x=−2是增根,原方程无解;(2)原式=a−33a(a−2)÷(a+3)(a−3)a−2=a−33a(a−2)⋅a−2(a+3)(a−3)=13a(a+3),由a2+3a−1=0,得到a2+3a=a(a+3)=1,则原式=13.【解析】(1)分式方程去分母转化为整式方程,求出整式方程的解得到x的值,经检验即可得到分式方程的解;(2)原式括号中两项通分并利用同分母分式的减法法则计算,同时利用除法法则变形,约分得到最简结果,把已知等式变形后代入计算即可求出值.此题考查了分式的化简求值,以及解分式方程,熟练掌握运算法则是解本题的关键.40.【答案】解:去分母得:6=x+2x+2,移项合并得:3x=4,解得:x=43,经检验x=43是分式方程的解.【解析】分式方程去分母转化为整式方程,求出整式方程的解得到x的值,经检验即可得到分式方程的解.此题考查了解分式方程,解分式方程的基本思想是“转化思想”,把分式方程转化为整式方程求解.解分式方程一定注意要验根.41.【答案】解:(1)原式=(a−b)(x−y)+(a−b)(x+y)=(a−b)(x−y+x+y)=2x(a−b);(2)原式=5m[(2x−y)2−n2]=5m(2x−y+n)(2x−y−n);(3)方程两边都乘以(x+1)(x−1),得:2(x−1)+2x=x+1,解得:x=1,,检验:当x=1时,(x+1)(x−1)=0,则x=1是原分式方程的增根,所以分式方程无解.【解析】本题考查因式分解及其解分式方程,掌握运算法则是解题关键.(1)直接提取公因式(a−b)进行分解即可;(2)首先提取公因式5m,然后运用平方差公式进行分解即可;(3)首先方程两边都乘以(x+1)(x−1),得到整式方程2(x−1)+2x=x+1,解这个方程并检验即可.42.【答案】解:原方程可化为(x+1x )2−2−2(x+1x)−1=0即:(x+1x )2−2(x+1x)−3=0设x+1x=y,则y2−2y−3=0,即(y−3)(y+1)=0.解得y =3或y =−1.当y =3时,x +1x =3,即x 2−3x +1=0解得∴x 1=3+√52,x 2=3−√52; 当y =−1时,x +1x =−1无实数根.经检验,x 1=3+√52,x 2=3−√52都是原方程的根. ∴原方程的根为x 1=3+√52,x 2=3−√52.【解析】本题考查了换元法解分式方程,换元法解分式方程时常用方法之一,它能够把一些分式方程化繁为简,化难为易,对此应注意总结能用换元法解的分式方程的特点,寻找解题技巧.整理可知,方程的两个分式具备平方关系,设x +1x =y ,则原方程化为y 2−2y −3=0.用换元法解一元二次方程先求y ,再求x.注意检验. 43.【答案】解:x x−2+6x+2=1x (x +2)+6(x −2)=x 2−4x 2+2x +6x −12=x 2−48x =8x =1,经检验,x =1是分式方程的解.【解析】本题考查了解分式方程,先将分式方程化为整式方程,求得整式方程的解,然后进行检验即可.44.【答案】解:(1)3x+2=2x−3,3(x −3)=2(x +2)3x −9=2x +43x −2x =4+9x =13,检验:当x =13时,(x +2)(x −3)≠0,所以x =13是原方程的解;(2)2x 2−4+x x−2=12+x (x +2)=x 2−4 2+x 2+2x =x 2−42x =−6x =−3 检验:当x =−3时,(x +2)(x −2)≠0,所以x =−3是原方程的解.【解析】本题考查了解分式方程.注意验根.先去分母、去括号、合并同类项、称项、系数为1即可求出.45.【答案】解:解不等式2x −1≤1得x ≤1,解不等式3x −3<4x 得x > −3,则不等式组的解集是−3<x ≤1,则符合条件的整数解有−2、−1、0、1【解析】本题主要考查一元一次不等式组的整数解,熟练掌握解一元一次不等式组的方法是解决问题的关键.先求出每一个不等式的解集。
1 23 8 3 ﹣ ﹣1.计算:22+|﹣1|﹣ 9.2 计算:( 13)0 -( 2 )-2 + tan45°13.计算:2×(-5)+23-3÷2.4. 计算:22+(-1)4+(5-2)0-|-3|;5.计算: Sin 450 -+ 6.计算: - 2 + (-2)0 + 2 s in 30︒ .( 1)0 + ∣2 3∣ + 2sin 60° 7.计算 ,8.计算:a(a-3)+(2-a)(2+a)∣﹣5∣ + 22﹣( + 1)00 39.计算:10. 计算: -- (-2011) + 4 ÷(-2)11.解方程 x 2﹣4x+1=0.12.解分式方程2 =x + 23x - 23 13.解方程:x=2x-1.14.已知|a﹣1|+ab + 2=0,求方裎x+bx=1 的解.x 315.解方程:x2+4x-2=0 16.解方程:x - 1 - 1 - x = 2.{2x+3<9-x,) 17.(2011.苏州)解不等式:3﹣2(x﹣1)<1.18.解不等式组:2x-5>3x.⎧x - 2 6(x + 3) ⎧⎪x + 2 > 1, 19.解不等式组⎨( -1)- 6 ≥ 4(x +1) 20.解不等式组⎨x +1 < 2.⎩5 x ⎩⎪ 2初中计算题训练2 12 1 2 1 21 2 1 2答案1.解: 原式=4+1﹣3=22.解:原式=1-4+1=-2.3.解:原式=-10+8-6=-84.解:原式=4+1+1-3=3。
1 5.解:原式= -2 + 2 = 2 . 6. 解:原式=2+1+2× =3+1=4.2 27. 解:原式=1+2﹣ 3+2× 2 =1+2﹣ 3+ 3=3.8.解: a (a - 3)+ (2 - a )(2 + a )= a 2 - 3a + 4 - a 2 =4 - 3a9. 解:原式=5+4-1=810. 解:原式= 3 -1- 1=0.2211. 解:(1)移项得,x 2﹣4x=﹣1,配方得,x 2﹣4x+4=﹣1+4,(x ﹣2)2=3,由此可得 x ﹣2=± 3,x =2+3,x =2﹣ 3;(2)a=1,b=﹣4,c=1.b 2﹣4ac=(﹣4)2﹣4×1×1=12>0.4 ± 12x=2 =2± 3, x =2+ 3,x =2﹣ 3.12.解:x=-10 13.解:x=314. 解:∵|a﹣1|+1b + 2=0,∴a﹣1=0,a=1;b+2=0,b=﹣2.1 ∴x ﹣2x=1,得 2x 2+x ﹣1=0,解得 x =﹣1,x =2. 1 1经检验:x =﹣1,x =2是原方程的解.∴原方程的解为:x =﹣1,x =2. 15.解: x =-4 ±16 + 8 = -4 ± 2 6 = - 2 ± 2 216. 解:去分母,得 x +3=2(x -1) . 解之,得 x =5. 经检验,x =5 是原方程的解. 17. 解:3﹣2x+2<1,得:﹣2x <﹣4,∴x>2. 18.解:x <-519.解: x ≥ 1520. 解:不等式①的解集为 x >-1;不等式②的解集为 x +1<4 x <3故原不等式组的解集为-1<x <3.2 36。
汇总)初中数学中考计算题(最全)-含答案.doc1.解答题(共30小题)1.1 计算题:① 2+3=5;②解方程:x+5=10,解得x=5.1.2 计算:π+(π﹣2013)=2π-2013.1.3 计算:|1﹣|﹣2cos30°+(﹣)×(﹣1)2013|=|1-|-2cos30°+(-1)×(-1)2013||=|1-|-2×√3/2+1||=|1-√3+1|=|2-√3|。
1.4 计算:﹣(-2)+(-3)=1.1.5 计算:√(5+2√6)+√(5-2√6)=√2+√3.1.6 计算:(2+√3)(2-√3)=1.1.7 计算:(1+√2)²=3+2√2.1.8 计算:(1-√3)²=4-2√3.1.9 计算:(√2+1)²=3+2√2.1.10 计算:(√2-1)²=3-2√2.1.11 计算:(3+√5)(3-√5)=4.1.12 计算:(√3+1)(√3-1)=2.1.13 计算:(√2+√3)²=5+2√6.1.14 计算:﹣(π﹣3.14)+|﹣3|+(﹣1)2013+tan45°=0.1.15 计算:√3+√2-√6=√3-√2+√6.1.16 计算或化简:1)计算2﹣1﹣tan60°+(π﹣2013)+|﹣|=-tan60°-2011;2)(a﹣2)²+4(a﹣1)﹣(a+2)(a﹣2)=-3a²+10a-6.1.17 计算:1)(﹣1)2013﹣|﹣7|+(√2)﹣1=-√2-8;2)(2+√3)÷(√3-1)=1+√3.1.18 计算:(1+√2)(1-√2)=﹣1.1.19 解方程:x²+2x+1=0,解得x=-1.1.20 计算:1)tan45°+sin230°﹣cos30°•tan60°+cos245°=√2-1;2)(√2+1)²-(√2-1)²=4√2.1.211)|﹣3|+16÷(﹣2)³+(2013﹣)﹣tan60°=2010;2)解方程:(1-2x)²=3,解得x=√2﹣1.1.222)求不等式组:{x²-2x0},解得0<x<1.1.232)先化简,再求值:(√3+1)÷(√3-1)=2.1.241)计算:tan30°=√3/3;2)解方程:x²-2x+1=0,解得x=1.1.25 计算:1)√2-√3+√6=(√2-1)(√3-1);2)先化简,再求值:(√2+1)²+(√2-1)²=8.1.261)计算:(1-√2)÷(1+√2)=-1+√2;2)解方程:x²-2x+2=0,解得x=1-√3.1.27 计算:1)(√2+√3)²-(√2-√3)²=4√6;2)先化简,再求值:(x²+2x+1)÷(x²-1)=1+x。
初三计算题大全及答案以下是一些初三计算题的大全及答案,供同学们练习:一、四则运算1. 12 ÷ 3 × 4 + 6 = 222. (8 + 3)×(15 - 7) ÷ 4 = 333. 102 - 64 ÷ 8 + 2 × 3 = 834. 5 ÷(10 - 8) + 1= 25. 88 - 76 × 2 ÷ 4 + 10 = 346. (18+20)÷2×3-16+8 = 227. 12 ÷ (5 +1) × 8 - 4 = 128. (13 - 5)×2 ÷ 3 + 1 = 39. 24 ÷(2+4)×6-10= 2210. (4 + 5)×6 + 9 ÷ 3 = 51二、百分数1. 20% ÷ 0.2 = 1002. 90% × 0.6 = 543. 500 ÷ 80% = 6254. 3 ÷ 0.15 = 205. 40 × 125% = 506. 24 ÷ 80% = 307. 0.8 × 25% = 0.28. 1200 ÷ 75% = 16009. 150% × 0.75 = 112.510. 56.25 ÷ 75% = 75三、长度、面积和体积1. 长方形的长是15cm,宽是9cm,它的面积是多少?答案:135cm²2. 一个正方形的边长是7cm,它的周长是多少?答案:28cm3. 一个立方体的边长是3cm,它的表面积是多少?答案:54cm²4. 一个正方体的表面积是96cm²,它的边长是多少?答案:4cm5. 一个圆的直径是12cm,它的周长是多少?(π≈3.14)答案:37.68cm6. 一个正立方体的体积是64cm³,它的边长是多少?答案:4cm7. 一个长方体的长是5cm,宽是3cm,高是4cm,它的体积是多少?答案:60cm³8. 一个圆的半径是6cm,它的面积是多少?答案:113.04cm²9. 一个正六面体的表面积是150cm²,它的体积是多少?答案:125cm³10. 一个长方形的长是24cm,宽是18cm,如果它的周长增加了8cm,它的面积会变成多少?答案:720cm²以上就是初三计算题的大全及答案,同学们可以利用这些题目来提高自己的计算能力。
一.解答题(共30小题)1.计算题:①;②解方程:.2.计算:+(π﹣2013)0.3.计算:|1﹣|﹣2cos30°+(﹣)0×(﹣1)2013.4.计算:﹣.5.计算:.6..7.计算:.8.计算:.9.计算:.10.计算:.11.计算:.12..13.计算:.14.计算:﹣(π﹣3.14)0+|﹣3|+(﹣1)2013+tan45°.15.计算:.16.计算或化简:(1)计算2﹣1﹣tan60°+(π﹣2013)0+|﹣|.(2)(a﹣2)2+4(a﹣1)﹣(a+2)(a﹣2)17.计算:(1)(﹣1)2013﹣|﹣7|+×0+()﹣1;(2).18.计算:.(1)19.(2)解方程:.20.计算:(1)tan45°+sin230°﹣cos30°•tan60°+cos245°;(2).21.(1)|﹣3|+16÷(﹣2)3+(2013﹣)0﹣tan60°(1)计算:.22.(2)求不等式组的整数解.(1)计算:23.(2)先化简,再求值:(﹣)÷,其中x=+1.24.(1)计算:tan30°25.计算:(1)(2)先化简,再求值:÷+,其中x=2+1.26.(1)计算:;(2)解方程:.27.计算:.28.计算:.29.计算:(1+)2013﹣2(1+)2012﹣4(1+)2011.30.计算:.1.化简求值:,选择一个你喜欢且有意义的数代入求值.2.先化简,再求值,然后选取一个使原式有意义的x值代入求值.3.先化简再求值:选一个使原代数式有意义的数代入中求值.4.先化简,再求值:,请选择一个你喜欢的数代入求值.5.(2010•红河州)先化简再求值:.选一个使原代数式有意义的数代入求值.6.先化简,再求值:(1﹣)÷,选择一个你喜欢的数代入求值.7.先化简,再求值:(﹣1)÷,选择自己喜欢的一个x求值.8.先化简再求值:化简,然后在0,1,2,3中选一个你认为合适的值,代入求值.9.化简求值(1)先化简,再求值,选择你喜欢的一个数代入求值.(2)化简,其中m=5.10.化简求值题:(1)先化简,再求值:,其中x=3.(2)先化简,再求值:,请选一个你喜欢且使式子有意义的数字代入求值.(3)先化简,再求值:,其中x=2.(4)先化简,再求值:,其中x=﹣1.11.(2006•巴中)化简求值:,其中a=.12.(2010•临沂)先化简,再求值:()÷,其中a=2.13.先化简:,再选一个恰当的x值代入求值.14.化简求值:(﹣1)÷,其中x=2.15.(2010•綦江县)先化简,再求值,,其中x=+1.16.(2009•随州)先化简,再求值:,其中x=+1.17.先化简,再求值:÷,其中x=tan45°.18.(2002•曲靖)化简,求值:(x+2)÷(x﹣),其中x=﹣1.19.先化简,再求值:(1+)÷,其中x=﹣3.20.先化简,再求值:,其中a=2.21.先化简,再求值÷(x﹣),其中x=2.22.先化简,再求值:,其中.24.先化简代数式再求值,其中a=﹣2.25.(2011•新疆)先化简,再求值:(+1)÷,其中x=2.26.先化简,再求值:,其中x=2.27.(2011•南充)先化简,再求值:(﹣2),其中x=2.28.先化简,再求值:,其中a=﹣2.29.(2011•武汉)先化简,再求值:÷(x ﹣),其中x=3. 30.化简并求值:•,其中x=21. . 2。
中考数学试题及答案一、选择题1.下图是一个正方形,边长为10cm。
计算正方形的周长是多少? A.20cm B. 40cm C. 50cm D. 100cm2.已知正方形ABCD的边长为8cm,以A为圆心,以AD为半径画一个圆,求圆的面积是多少?A. 64π cm² B. 32π cm² C. 16π cm² D. 8π cm²3.若a:b=3:5,且a=15,则b的值是多少? A. 9 B. 25 C. 5 D. 754.小明参加马拉松比赛,他以每小时12km的速度比赛,若比赛用时3小时,他跑了多少公里? A. 36km B. 30km C. 24km D. 12km5.某天气预报显示,上午9点的温度为18℃,下午3点的温度为26℃,一天中温度的变化是多少? A. 8℃ B. 26℃ C. 44℃ D. 208℃二、填空题1.一条矩形围墙的长是12米,宽比长少2米,这条矩形围墙的宽是______米。
2.小明去商场买东西,他消费了100元,其中60%购买了一本书,剩下的钱他买了一件T恤,这件T恤的价格是______元。
3.已知函数y = 2x - 4,那么当x=5时,y的值是______。
4.一个矩形的面积是48平方厘米,长是6厘米,那么宽是______。
5.一块地的正方形面积是200平方米,那么它的边长是______米。
三、解答题1.现有一个蛋糕,小明吃了其中的1/4,小红吃了其中的1/3,小王吃了剩下的部分。
请问小王吃了蛋糕的几分之几?2.请计算:20 * (2 + 3) ÷ 4 - 6 = ______。
3.求方程2x + 4 = 10的解。
4.如果a + 8 = 20,求a的值。
5.简述三角形的直角边、斜边和角度之间的关系。
四、答案一、选择题:A、C、D、A、A二、填空题:10、40、6、8、14三、解答题: 1. 小王吃了蛋糕的1/2部分。
初中数学计算题大全(一)计算下列各题1 .36)21(60tan 1)2(100+-----π 2. 431417)539(524----3.)4(31)5.01(14-÷⨯+-- 4.5.+ + 6.78. (1)03220113)21(++-- (2)23991012322⨯-⨯10.11.(1)-(2)÷12.418123+- 13.⎛ ⎝14..x x x x 3)1246(÷- 15.61)2131()3(2÷-+-;16.20)21()25(2936318-+-+-+-17.(1))3127(12+- (2)()()6618332÷-+-18.()24335274158.0--+⎪⎭⎫ ⎝⎛+-⎪⎭⎫ ⎝⎛---1911()|2|4-+ 20. ())120131124π-⎛⎫---+- ⎪⎝⎭。
21..22.23.2+参考答案1.解=1-|1-3|-2+23 =1+1-3-2+23 =3【解析】略2.5【解析】原式=14-9=5 3.87-【解析】解:)4(31)5.01(14-÷⨯+-- ⎪⎫⎛-⨯⨯--=4131231811+-=87-=先算乘方,再算乘除,最后算加减,有括号的先算括号里面的。
注意:41-底数是4,有小数又有分数时,一般都化成分数再进行计算。
4.==. 【解析】略 5.3 6.4【解析】主要考查实数的运算,考查基本知识和基本的计算能力,题目简单,但易出错,计算需细心。
1、+ +=232=3+- 252=42⨯⨯ 7.32-【解析】试题分析:先化简,再合并同类二次根式即可计算出结果.=- 考点: 二次根式的运算.8.(1)32(2)9200 【解析】(1)原式=4+27+1 =32(2)原式=23(1012-992) (1分)=23(101+99)(101-99)(2分) =232200⨯⨯=9200 (1分) 9.(1)-3;(2)10 【解析】 试题分析:(1)把有理数正负数分开相加即可;(2)先算乘方,再运用乘法分配律,要注意不要漏乘即可. 试题解析: 解:(1)-23+(-37)-(-12)+45 = —23—37+12+45 = —23—37+12+45 =-3;=24—6—8 =10考点:有理数的混合运算 10.-30 【解析】原式=)60()6512743(-⨯-+=)60(65)60(127)60(43-⨯--⨯+-⨯=-45-35+50=-30 11.(1(2. 【解析】试题分析:(1)先把二次根式化成最简二次根式之后,再合并同类二次根式即可求出答案;(2)先把二次根式化成最简二次根式之后,再进行二次根式的乘除法运算. 试题解析:(1)-+原式 24=--4=;(2)原式=310⨯考点: 二次根式的化简与计算.12.13.【解析】此题考查根式的计算解:12.原式13.原式答案:【小题1】【小题2】14.解:原式=313)23(=÷-xxx【解析】略15.7.【解析】试题分析:注意运算顺序.试题解析:2111(3)()326-+-÷=2969276-⨯=-=考点:有理数的混合运算.16.解:原式)12(1223)3633(23-++-+-=…………4分12121223-++--=…………………………6分1223-=………………………………………………8分【解析】略17.(1)334-(2)2【解析】试题分析:(1==(2312==考点:实数运算点评:本题难度较低,主要考查学生对平方根实数运算知识点的掌握。
中考数学计算题练习100道(2024年中考真题)一、计算(1) (24年北京中考) 计算:()052sin 30π-+︒+(2) (24年福建中考)计算:0(1)5-+-(3) (24年深圳中考)计算:()112cos 45 3.1414π-⎛⎫-⋅︒+-++ ⎪⎝⎭.(4) (24年广东中考)计算:011233-⨯-+-. (5) (24年广西中考)计算:()()2342-⨯+-(6) (24年贵州中考)在①22,①2-,①()01-,①122⨯中任选3个代数式求和.(7) (24年河南中考)计算(01(8) (24年湖北中考)计算:()201322024-⨯-(9) (24年湖南中考)计算:|3|cos602-+-+︒ ⎪⎝⎭(10) (24年苏州中考)计算:()042-+-(11) (24年扬州中考)计算:0|3|2sin 302)π-+︒-(12) (24年青海中考)计算0tan 45π︒+-.(13) (24年枣庄中考)计算1122-⎛⎫-- ⎪⎝⎭(14) (24年上海中考)计算:102|124(1++.(15) (24年云南中考)计算:12117sin3062-⎛⎫++--- ⎪⎝⎭(16) (24()02sin 602024 2.π︒--(17) (24年山西中考)计算:2(6)()[(3)(1)]32--⨯-+-+-(18) (24年陕西中考)计算0(7)(2)3-+-⨯.(19) (24年重庆中考)计算:011(3)()2π--+=_____.(20) (24年新疆中考)计算:201(3)1)-+-.(21) (24年呼伦贝尔中考)计算:301tan602(π2024)2-⎛⎫--+︒+- ⎪⎝⎭. (22) (24年泰安中考)212tan60()2-︒+-(23) (24年赤峰中考)计算()0π12sin 602++︒+(24) (24年滨州中考)计算:()11222-⎫⎛+-⨯- ⎪⎝⎭(25) (24年乐山中考)计算:()03π2024-+-.(26) (24年武威中考)计算(27) (24年盐城中考)计算:()0214sin30π--++︒(28) (24年广安中考)计算:01π132sin 60|2|22-⎛⎫⎛⎫-+︒+- ⎪ ⎪⎝⎭⎝⎭(29) (24年泸州中考)计算:()11π20242sin 602-⎛⎫+--︒+ ⎪⎝⎭.(30) (24年德阳中考)计算212cos602-⎛⎫-︒ ⎪⎝⎭(31) (24年宜宾中考)计算:()022sin302︒-+--(32) (24年通辽中考)计算022sin60(π)+︒--.(33) (24年达州中考)计算:()2012sin 60π20242-⎛⎫-︒-- ⎪⎝⎭(34) (24年遂宁中考)计算:11sin4512021-⎛⎫︒+ ⎪⎝⎭.(35) (24年泰安中考)计算:212tan 602-⎛⎫︒+-+⎪⎝⎭(36) (24年连云港中考)02(1)π-+-二、化简求值(37) (24年北京中考)已知10a b --=,求代数式()223232a b ba ab b-+-+的值.(38) (24年深圳中考)先化简,再求值: 2221111a a a a -+⎛⎫-÷⎪++⎝⎭,其中 1a = (39) (24年广东中考)计算:333a a a -=--_______. (40) (24年贵州中考)先化简,再求值:()21122x x -⋅+,其中3x =.(41) (24年河南中考)化简:231124a a a +⎛⎫+÷ ⎪--⎝⎭. (42) (24年黑龙江龙东地区中考)先化简,再求值:22222111m m m m m m ⎛⎫-+÷- ⎪-+⎝⎭,其中cos60m =︒.(43) (24年湖北中考)计算:111m m m +=++______. (44) (24年湖南中考)先化简,再求值:22432x x x x x-⋅++,其中3x =.(45) (24年吉林中考)先化简,再求值:()()2111a a a +-++,其中a =(46) (24年苏州中考)先化简,再求值:2212124x x xx x +-⎛⎫+÷ ⎪--⎝⎭.其中3x =-. (47) (24年扬州中考)化简:2(2)1x x x -÷-+. (48) (24年江西中考)化简:888x x x ---.(49) (24年包头中考)先化简,再求值:()()2121x x +-+,其中x =(50) (24年青海中考)先化简,再求值:11xy y x y x ⎛⎫⎛⎫-÷-⎪ ⎪⎝⎭⎝⎭,其中2x y =-. (51) (24年枣庄中考)先化简,再求值:212139a a a +⎛⎫-÷ ⎪+-⎝⎭,其中1a =. (52) (24年天津中考)计算3311x x x --- (53) (24年山西中考)化简:2112(111x x x x ++÷-+-). (54) (24年陕西中考)先化简,再求值:2()(2),x y x x y ++-其中1,2x y ==-(55) (24年重庆中考)计算:()()22x x y x y -++;(56) (24年重庆中考)计算:22111a a a a -⎛⎫+÷ ⎪+⎝⎭.(57) (24年新疆中考)22222a b a ba ab b a b--÷+++ (58) (24年长春中考)先化简,再求值:32222x x x x ---,其中x . (59) (24年呼伦贝尔中考)先化简,再求值:22422324x xx x x -⎛⎫+-÷+ ⎪+-⎝⎭,其中72x =-.(60) (24年泰安中考)化简:2211()x x x x x---÷. (61) (24年赤峰中考)已知230a a --=,求代数式2(2)(1)(3)a a a -+-+的值.(62) (24年武威中考)先化简,再求值:()()()22222a b a b a b b ⎡⎤+-+-÷⎣⎦,其中2a =,1b .(63) (24年盐城中考)先化简,再求值:22391a a a a a---÷+,其中4a =.(64) (24年广安中考)先化简2344111a a a a a ++⎛⎫+-÷⎪--⎝⎭,再从2-,0,1,2中选取一个适合的数代入求值.(65) (24年南充中考)先化简,再求值:()23(2)3x x x x +-+÷,其中2 x =-.(66) (24年泸州中考)化简:2222y x y x y x x ⎛⎫-+-÷ ⎪⎝⎭.(67) (24年宜宾中考)计算:2211111a a a ⎫⎛÷- ⎪--+⎝⎭(68) (24年通辽中考)先化简,再求值:()()()()224+--+-a b a b a b a b ,其中2==a b .(69) (24年达州中考)先化简:22224x x x x x x x +⎛⎫-÷ ⎪-+-⎝⎭,再从2-,1-,0,1,2之中选择一个合适的数作为x 的值代入求值.(70) (24年遂宁中考)先化简:2121121x x x x -⎛⎫-÷ ⎪--+⎝⎭,再从1,2,3中选择一个合适的数作为x 的值代入求值.(71) (24年泰安中考)化简:2211x x x x x --⎛⎫+÷⎪⎝⎭(72) (24年连云港中考)21211m m --- 三、分式方程(73) (24年福建中考)解方程:3122x x x +=+-. (74) (24年广州中考)解方程:1325x x=-. (75) (24年武汉中考)分式方程131x x x x +=--的解是______. (76) (24年包头中考)解方程:2244x xx x --=--. (77) (24年成都中考)132x x=- (78) (24年陕西中考)解方程:22111xx x +=--四、方程(组)(79) (24年广西中考)解方程组:2321x y x y +=⎧⎨-=⎩(80) (24年苏州中考)解方程组:27233x y x y +=⎧⎨-=⎩. (81) (24年上海中考)解方程组:2234026x xy y x y ⎧--=⎨+=⎩①②. (82) (24年乐山中考)解方程组:425x y x y +=⎧⎨-=⎩ (83) (24年新疆中考)解方程:2(1)3x x --=.(84) (24年滨州中考)解方程:21132x x -+= (85) (24年广州中考)关于x 的方程2240x x m -+-=有两个不等的实数根.(1)求m 的取值范围;(2)化简:2113|3|21m m m m m ---÷⋅-+.(86) (24年滨州中考)解方程:240x x -=.五、不等式(组)(87) (24年黑龙江龙东地区中考)关于x 的不等式组420102x x a -≥⎧⎪⎨->⎪⎩恰有3个整数解,则a 的取值范围是________.(88) (24年武汉中考)求不等式组3121x x x +>⎧⎨-≤⎩①②的整数解. (89) (24年扬州中考)解不等式组260412x x x -≤⎧⎪⎨-<⎪⎩,并求出它的所有整数解的和. (90) (24年天津中考)解不等式组213317x x x +≤⎧⎨-≥-⎩①② (91) (24年成都中考)解不等式组231,11.23x x x +≥-⎧⎪-⎨-<⎪⎩ (92) (24年重庆中考)若关于x 的不等式组()411321x x x x a -⎧<+⎪⎨⎪+≥-+⎩至少有2个整数解,且关于y的分式方程13211ay y-=---的解为非负整数,则所有满足条件的整数a的值之和为______.(93)(24年武威中考)解不等式组:()223122x xxx⎧-<+⎪⎨+<⎪⎩(94)(24年德阳中考)解不等式组:2351124xx x-+≤-⎧⎪⎨-<+⎪⎩①②(95)(24年达州中考)解不等式组32 312 2xxx--<-⎧⎪⎨-≤+⎪⎩(96)(24年北京中考)解不等式组:() 3142,92.5x xxx⎧-<+⎪⎨-<⎪⎩(97)(24年广西中考)不等式7551x x+<+的解集为______.(98)(24年安徽中考)解不等式53.3xx++<并把它的解集在数轴上表示出来.(99)(24年盐城中考)求不等式113xx+≥-的正整数解.(100)(24年连云港中考)解不等式11 2xx-<+中考数学计算题练习100道答案(1)【答案】(2)【答案】4(3)【答案】4(4)【答案】2(5)【答案】8-(6)【答案】选择①,①,①和为7;选择①,①,①和为7;选择①,①,①和为6;选择①,①,①和为4(7)【答案】9(8)【答案】3(9)【答案】5 2(10)【答案】2(11)【答案】3π-(12)【答案】(13)【答案】3(14)【答案】(15)【答案】2(16)【答案】5(17)【答案】10-(18)【答案】2-(19) 【答案】3(20) 【答案】7(21) 【答案】11(22) 【答案】7(23) 【答案】6(24) 【答案】0(25) 【答案】1(26) 【答案】0(27) 【答案】3(28) 【答案】1(29) 【答案】3(30) 【答案】1(31)(32) 【答案】1(33) 【答案】3-(34) 【答案】2024(35) 【答案】7(36) 【答案】1-.(37) 【答案】3(38) 【答案】11a -,2(39) 【答案】1(40) 【答案】12x -,1 (41) 【答案】2a + (42) 【答案】1m -+,12 (43) 【答案】1(44) 【答案】1x x +,43(45) 【答案】22a ,6(46) 【答案】2x x +,13(47) 【答案】11x + (48) 【答案】1(49) 【答案】21x -,7(50) 【答案】1x y +,12(51) 【答案】3a -,2-(52) 【答案】3(53) 【答案】22x x + (54) 【答案】222,6x y +(55) 【答案】222x y +(56) 【答案】11a a +-. (57) 【答案】1(58) 【答案】2x ,2(59) 【答案】3x +,12- (60) 【答案】11x x -+ (61) 【答案】7(62) 【答案】2a b +,3(63) 【答案】23a +;27 (64) 【答案】22a a -+,0a =时,原式1=-,2a =时,原式0=. (65) 【答案】41x +,7-(66) 【答案】x y x y-+(67) 【答案】1(68) 【答案】3ab -,(69) 【答案】41x +,当1x =时,原式2=. (70) 【答案】1x -;2(71) 【答案】11x x -+. (72) 【答案】11m +. (73) 【答案】10x =.(74) 【答案】3x =(75) 【答案】3x =-(76) 【答案】3x =(77) 【答案】3x =(78) 【答案】3x =-是原分式方程的解.(79) 【答案】212x y =⎧⎪⎨=⎪⎩(80) 【答案】31x y =⎧⎨=⎩(81) 【答案】4x =,1y =或者6x =-,6y =.(82) 【答案】31x y =⎧⎨=⎩ (83) 【答案】5x =(84) 【答案】5x =(85) 【答案】(1)3m > (2)2-(86) 【答案】10x =,24x =.(87) 【答案】102a -≤< (88) 【答案】整数解为:1,0,1-(89) 【答案】132x <≤,整数和为6 (90) 【答案】31x -≤≤(91) 【答案】29.x -≤<(92) 【答案】16(93) 【答案】173x << (94) 【答案】46x ≤<(95) 【答案】15x -<≤(96) 【答案】17x -<<(97) 【答案】<2x -(98) 【答案】 2.x <-(99) 【答案】1,2. (100) 【答案】3x >-.。
初三数学计算题100道及答案1. 加减法1.34 + 47 = 812.96 - 28 = 683.74 + 25 = 994.63 - 19 = 445.82 + 67 = 1492. 乘除法1.28 × 3 = 842.72 ÷ 8 = 93.41 × 5 = 2054.96 ÷ 4 = 245.78 × 2 = 1563. 带有括号的四则运算1.(12 + 5) × 4 = 682.30 - (8 × 3) = 63.(16 + 2) × 5 - 36 ÷ 4 = 854.48 ÷ (8 - 3) = 125.24 × (7 - 2) ÷ 2 = 604. 混合运算1.25 + 14 - 6 × 2 = 272.32 × 5 - (16 ÷ 2) = 823.(48 ÷ 6 + 3) × 2 = 284.64 ÷ (8 - 4) + 3 × 2 = 175.20 × 3 - 16 ÷ 8 + 4 = 665. 百分数计算1.20% × 80 = 162.25% of 80 = 203.40 is what percent of 200? = 20%4.50% off $80 = $405.If the original price is $100 and the sale price is $75, what is the discount rate? = 25%6. 分数计算1.1/4 + 2/3 = 11/122.2/5 - 1/7 = 9/353.3/8 × 2/5 = 3/204.4/9 ÷ 2/3 = 2/35.2/3 + 1/6 × 3/4 = 13/187. 单位换算1. 2 km = 2000 m2.500 g = 0.5 kg3. 1 kg = 1000 g4. 1 liter = 1000 ml5. 1 hour = 60 minutes8. 几何形状1.计算正方形的面积,边长为5cm = 25 cm²2.计算矩形的周长,长为8 m,宽为3 m = 22 m3.计算三角形的面积,底为 10 cm,高为 6 cm = 30 cm²4.计算圆的周长,半径为 4 cm = 25.12 cm5.计算梯形的面积,上底为 6 cm,下底为 10 cm,高为 4 cm = 24 cm²9. 数据统计1.4, 7, 9, 5, 11, 2, 6, 8, 3, 10 的平均数 = 6.52.7, 5, 8, 10, 8, 6, 9, 7, 10, 6 的中位数 = 7.53.2, 3, 2, 5, 4, 6, 2, 4, 5, 3 的众数 = 24.12, 10, 14, 13, 11, 12, 14, 10, 12, 11 的范围 = 45.3, 6, 9, 12, 15, 18, 21, 24, 27, 30 的和 = 16510. 代数式计算1.如果 x = 3 和 y = 5,则计算表达式 2x + y 的值 = 112.如果 x = 4 和 y = 2,则计算表达式 x² - y 的值 = 143.如果 x = 6 和 y = 2,则计算表达式 (x + y)²的值 = 644.如果 x = 8 和 y = 3,则计算表达式 (x - y)³的值 = 1255.如果 x = 2 和 y = 4,则计算表达式x⁴ + y³ 的值 = 24以上是初三数学计算题100道及答案,希望对你的学习有所帮助!。
一.解答题(共30小题)1.计算题:①;②解方程:.2.计算:+(π﹣2013)0.3.计算:|1﹣|﹣2cos30°+(﹣)0×(﹣1)2013.4.计算:﹣.5.计算:.6..7.计算:.8.计算:.9.计算:.10.计算:.11.计算:.12..13.计算:.14.计算:﹣(π﹣3.14)0+|﹣3|+(﹣1)2013+tan45°.15.计算:.16.计算或化简:(1)计算2﹣1﹣tan60°+(π﹣2013)0+|﹣|.(2)(a﹣2)2+4(a﹣1)﹣(a+2)(a﹣2)17.计算:(1)(﹣1)2013﹣|﹣7|+×0+()﹣1;(2).18.计算:.(1)19.(2)解方程:.20.计算:(1)tan45°+sin230°﹣cos30°•tan60°+cos245°;(2).21.(1)|﹣3|+16÷(﹣2)3+(2013﹣)0﹣tan60°(1)计算:.22.(2)求不等式组的整数解.(1)计算:23.(2)先化简,再求值:(﹣)÷,其中x=+1.24.(1)计算:tan30°25.计算:(1)(2)先化简,再求值:÷+,其中x=2+1.26.(1)计算:;(2)解方程:.27.计算:.28.计算:.29.计算:(1+)2013﹣2(1+)2012﹣4(1+)2011.30.计算:.1.化简求值:,选择一个你喜欢且有意义的数代入求值.2.先化简,再求值,然后选取一个使原式有意义的x值代入求值.3.先化简再求值:选一个使原代数式有意义的数代入中求值.4.先化简,再求值:,请选择一个你喜欢的数代入求值.5.(2010•红河州)先化简再求值:.选一个使原代数式有意义的数代入求值.6.先化简,再求值:(1﹣)÷,选择一个你喜欢的数代入求值.7.先化简,再求值:(﹣1)÷,选择自己喜欢的一个x求值.8.先化简再求值:化简,然后在0,1,2,3中选一个你认为合适的值,代入求值.9.化简求值(1)先化简,再求值,选择你喜欢的一个数代入求值.10.化简求值题:(1)先化简,再求值:,其中x=3.(2)先化简,再求值:,请选一个你喜欢且使式子有意义的数字代入求值.(3)先化简,再求值:,其中x=2.(4)先化简,再求值:,其中x=﹣1.11.(2006•巴中)化简求值:,其中a=.12.(2010•临沂)先化简,再求值:()÷,其中a=2.13.先化简:,再选一个恰当的x值代入求值.14.化简求值:(﹣1)÷,其中x=2.15.(2010•綦江县)先化简,再求值,,其中x=+1.16.(2009•随州)先化简,再求值:,其中x=+1.17.先化简,再求值:÷,其中x=tan45°.18.(2002•曲靖)化简,求值:(x+2)÷(x﹣),其中x=﹣1.19.先化简,再求值:(1+)÷,其中x=﹣3.20.先化简,再求值:,其中a=2.21.先化简,再求值÷(x﹣),其中x=2.22.先化简,再求值:,其中.23.先化简,再求值:(﹣1)÷,其中x—.25.(2011•新疆)先化简,再求值:(+1)÷,其中x=2.26.先化简,再求值:,其中x=2.27.(2011•南充)先化简,再求值:(﹣2),其中x=2.28.先化简,再求值:,其中a=﹣2.29.(2011•武汉)先化简,再求值:÷(x ﹣),其中x=3. 30.化简并求值:•,其中x=21.. 2。
江苏中考数学计算题专项训练及答案题目1:已知数a、b分别是1和5的倍数,且a+b=96,求a和b的值。
解答:由题意得,a=1x,b=5y,其中x和y为整数。
又根据题意可得x+y=96/6=16解方程组得x=4,y=12所以a=1x=4,b=5y=60答案:a=4,b=60解答:由题意可知,EF垂直于CD,由矩形性质可知EF=BC=5cm答案:EF=5cm题目3:一个圆的周长是18πcm,求该圆的半径。
解答:由题意可知,L=2πr18π=2πrr=18/2=9所以该圆的半径为9cm答案:半径为9cm题目4:若甲、乙两个数的和是13,差是7,求甲、乙两个数。
解答:设甲、乙两个数分别为x、y,由题意可得x+y=13x-y=7解方程组得x=10,y=3答案:甲数为10,乙数为3题目5:啤酒原价每瓶10元,现在打九折售卖,现归纳后的一天卖出120瓶,求当天的收入。
解答:原价为10元的啤酒打九折,售价为10×0.9=9元。
一天卖出120瓶,收入为120×9=1080元。
答案:当天的收入为1080元。
题目6: 一正方体(边长为4cm)的表面积是多少cm²?解答:正方体的表面积是6个面积的总和。
每个面的面积是4×4=16cm²。
所以正方体的表面积是6×16=96cm²。
答案:表面积是96cm²。
题目7:已知a:b=5:6,且a+b=44,求a和b的值。
解答:将比例a:b=5:6化简为5a=6b。
由a+b=44得,5a+6a=11a=44,得到a=4代入6b=5a可得6b=5×4,得到b=20/6=10/3答案:a=4,b=10/3题目8: 一条船从A地到B地,上游航行28km,下游航行42km,所用时间相同。
若船的速度是18km/h,求水流的速度。
解答:上游航行的速度为船的速度减去水流的速度,下游航行的速度为船的速度加上水流的速度。