第二学期线性代数第3次作业
- 格式:docx
- 大小:45.61 KB
- 文档页数:6
第三章 习题与答案 习题 A1.求向量123(4,1,3,2),(1,2,3,2),(16,9,1,3)T T T=--=-=-ααα的线性组合12335.+-ααα 解 12341161293535331223⎛⎫⎛⎫⎛⎫ ⎪ ⎪ ⎪ ⎪ ⎪ ⎪+-=+- ⎪ ⎪ ⎪-- ⎪ ⎪ ⎪-⎝⎭⎝⎭⎝⎭ααα1251613109491512561037⎛⎫⎛⎫⎛⎫⎛⎫⎪ ⎪ ⎪ ⎪ ⎪⎪ ⎪ ⎪=+-= ⎪ ⎪ ⎪ ⎪--- ⎪ ⎪ ⎪ ⎪--⎝⎭⎝⎭⎝⎭⎝⎭. 2.从以下方程中求向量α1233()2()5()-++=+αααααα,其中123(2,5,1,3),(10,1,5,10),(4,1,1,1).TT T ===-ααα 解 由方程得1233322550-++--=αααααα,1232104651112632532515118310124⎛⎫⎛⎫⎛⎫⎛⎫⎪ ⎪ ⎪ ⎪ ⎪ ⎪ ⎪ ⎪=+-=+-= ⎪ ⎪ ⎪ ⎪- ⎪ ⎪ ⎪ ⎪⎝⎭⎝⎭⎝⎭⎝⎭αααα故1234⎛⎫ ⎪ ⎪= ⎪ ⎪⎝⎭α,即(1,2,3,4)T =α.3.求证:向量组12i s α,α,,α,α 中的任一向量i α可以由这个向量组线性表出. 证 120010(1,2,,)i i s i s =+++++= ααααα4.证明: 包含零向量的向量组线性相关.证 设向量组为1211α,α,,α,0,α,,αi i s -+ ,则有12110α0αα00α0α0,0i i s k k -++++++++=≠而0,0,,0,,0,,0k 不全为0,故向量组线性相关.5.设有m 个向量12α,α,,αm ,证明: 若αα()i j i j =≠,则向量组12α,α,,αm 线性相关. 证 显然有1210α0αα0α()α0α0,0i i j m k k k +++++++-++=≠ , 而0,,0,,0,,0,,0,,0k k - 不全为0.故向量组线性相关.6.判断下列向量组的线性相关性(1) (1,1,0),(0,1,1,),(3,0,0,); (2) (2,0),(0,-1);(3) (-4,-5,2,6),(2,-2,1,3),(6,-3,3,9),(4,-1,5,6);(4) (1,0,0,2,5),(0,1,0,3,4),(0,0,1,4,7),(2,-3,4,11,12).解 (1)设有三个数123,,k k k ,使123(1,1,0)(0,1,1,) (3,0,0,)=(0,0,0)k k k ++则有方程组131223000k k k k k +=⎧⎪+=⎨⎪=⎩,因为系数行列式10311030010D =≠.方程组仅有零解,所以三个向量线性无关. (2)设有两个数12,k k 使12(2,0)(0,-1)=(0,0)k k + 则有方程组12200k k =⎧⎨-=⎩,由此解得120k k ==,所以两个向量线性无关.另外,也可由其分量不成比例看出两个向量线性无关. (3)设有四个数1234,,,k k k k ,使1234(-4,-5,2,6)(2,-2,1,3)(6,-3,3,9)(4,-1,5,6)=(0,0,0,0)k k k k +++,则有方程组1234123412341234426405230235063960k k k k k k k k k k k k k k k k +++=⎧⎪----=⎪⎨+++=⎪⎪+++=⎩,其系数行列式42645231021356396D ----==,所以方程组有非零解,向量组线性相关.(4) 设有四个数1234,,,k k k k ,使1234(1,0,0,2,5)(0,1,0,3,4)(0,0,1,4,7)(2,-3,4,11,12)=(0,0,0,0)k k k k +++则有方程组14243412341234203040234110547120k k k k k k k k k k k k k k +=⎧⎪-=⎪⎪+=⎨⎪+++=⎪⎪+++=⎩由前三个方程得1424342,3,4k k k k k k =-==-,代入第五个方程得4140k -=, 即40k =,从而1230k k k ===,所以向量组线性无关.7.设123α,α,α线性无关,证明:122331αα,αα,αα+++也线性无关. 证 设有三个数123,,k k k ,使()()()112223331αααααα0k k k +++++=, 则()()()131122233ααα0k k k k k k +++++=,因123α,α,α线性无关,故13122300k k k k k k +=⎧⎪+=⎨⎪+=⎩,因系数行列式10111020011D ==≠,所以只有1230k k k ===, 由此知122331αα,αα,αα+++线性无关.8.设12α,α,,αn 线性无关,问向量组122311αα,αα,,αα,ααn n n -++++ 是线性相关,还是线性无关?并给出证明. 解 设有n 个数12,,,,n k k k 使()()()()112223111αααααααα0n n n n n k k k k --++++++++= ,则得方程组1122310000n n n k k k k k k k k -+=⎧⎪+=⎪⎪+=⎨⎪⎪+=⎪⎩ 其系数行列式11000011100000110001(1),000110000011n n D +==+-可见,当n 为奇数时,20n D =≠,方程组仅有零解,向量组线性无关, 当n 为偶数时,0n D =,方程组有非零解,向量组线性相关.9.设12α(,,,)(1,2,,)i i i in a a a i n == ,证明:向量组12α,α,,αn 线性相关的充分必要条件是det()0ij a =.证 必要性:设12α,α,,αn 线性相关,则存在不全为0的n 个数12,,,,n k k k 使1122ααα0n n k k k +++= ,即有方程组()11121211212222112200*0n n n nn n nn n a k a k a k a k a k a k a k a k a k +++=⎧⎪+++=⎪⎨⎪⎪+++=⎩ 该方程组有非零解,故系数行列式0n D =,即det()0ij a =,充分性: 对于方程组(*)当det()0ij a =时,系数行列式0n D =,所以有非零解,即存在不全为0的12,,,,n k k k 使1122ααα0n n k k k +++= 成立,故12α,α,,αn 线性相关.10.设12α,α,,αn 是一组n 维向量.已知n 维标准单位向量组12e ,e ,,e n 能由它们线性表出,证明: 12α,α,,αn 线性无关.证 设12α(,,,)(1,2,,)i i i in a a a i n == ,则有1122αe e e ,i i i in n a a a =+++可见12α,α,,αn 也能由12e ,e ,,e n 线性表出,从而两个向量组等价. 因为12e ,e ,,e n 线性无关,所以12α,α,,αn 也线性无关.11.设12α,α,,αn 是一组n 维向量.证明:它们线性无关的充分必要条件是:任一n 维向量都可由它们线性表出.证 必要性:设12α,α,,αn 线性无关,β为任一n 维向量,则12α,α,,αn ,β必线性相关.(个数大于维数),因此β可由12α,α,,αn 线性表出.充分性:设任一n 维向量β都可由12α,α,,αn 线性表出.因此12α,α,,αn 与12e ,e ,,e n 等价,从而12α,α,,αn 线性无关.12.判断下列向量是否线性相关,并求出一个极大线性无关组.(1)123α(1,2,1,4),α(9,100,10,4),α(2,4,2,8);T T T =-==--- (2) 123α(1,1,0),α(0,2,0),α(0,0,3);T T T ===(3) 1234α(1,2,1,3),α(4,1,5,6),α(1,3,4,7),α(2,1,1,0);T T T T ==---=---=- 解 (1)19221004A 1102448-⎛⎫ ⎪-⎪= ⎪- ⎪-⎝⎭ 192082001900320-⎛⎫ ⎪ ⎪→ ⎪ ⎪-⎝⎭192010000000-⎛⎫ ⎪ ⎪→ ⎪ ⎪⎝⎭102010000000-⎛⎫⎪ ⎪→⎪ ⎪⎝⎭, 向量组的秩为2, 12α,α为一个极大线性无关组.(2) 100A 120003⎛⎫ ⎪= ⎪ ⎪⎝⎭100020003⎛⎫ ⎪→ ⎪ ⎪⎝⎭向量组的秩为3, 123α,α,α为一个极大线性无关组.(3) 14122131A 15413670⎛⎫ ⎪--⎪= ⎪--- ⎪--⎝⎭141209530953018106⎛⎫ ⎪--- ⎪→ ⎪--- ⎪---⎝⎭1412095300000000⎛⎫ ⎪--- ⎪→ ⎪ ⎪⎝⎭向量组的秩为2, 12α,α为一个极大线性无关组.13.求一个秩是4的方阵,它的两个行向量是(1,0,3,0,0),(1,1,0,0,0)--. 解 所求方阵可写成1030011000A 001000001000000⎛⎫ ⎪-- ⎪ ⎪= ⎪ ⎪ ⎪⎝⎭,则1030001300A 00100000100000⎛⎫⎪- ⎪⎪→⎪⎪ ⎪⎝⎭显然(A)4R =.14.已知12α,α,,αs 的秩为r ,证明: 12α,α,,αs 中任意r 个线性无关的向量都构成它的一个极大线性无关组.证 设12α,α,,α,r i i i 为12α,α,,αs 中任意r 个线性无关的向量,因为向量组的秩为r ,故1212α,α,,α,α,(,,)r i i i i r i i i i ≠ 线性相关.可见12α,α,,αs 中的每个向量都可由12α,α,,α,r i i i 线性表出.因此, 12α,α,,α,r i i i 是12α,α,,αs 的一个极大线性无关组.15.用初等变换化下列矩阵为阶梯形,并判断其秩.(1)001010100⎛⎫ ⎪ ⎪ ⎪⎝⎭; (2)1234110215610-⎛⎫ ⎪- ⎪ ⎪⎝⎭;(3)023*********-⎛⎫ ⎪- ⎪ ⎪--⎝⎭;(4)1725314353759413254759413420253248⎛⎫⎪⎪⎪⎪⎝⎭.解 (1) 001010100⎛⎫ ⎪ ⎪ ⎪⎝⎭131********r r ↔⎛⎫ ⎪→ ⎪ ⎪⎝⎭,秩为3.(2) 1234110215610-⎛⎫ ⎪- ⎪ ⎪⎝⎭2131123403360336r r r r+-⎛⎫ ⎪→ ⎪ ⎪⎝⎭32123403360000r r -⎛⎫ ⎪→ ⎪ ⎪⎝⎭,秩为2.(3)023*********-⎛⎫ ⎪- ⎪⎪--⎝⎭12011203430471r r ---⎛⎫⎪→- ⎪ ⎪--⎝⎭213134011200130039r r r r ++--⎛⎫ ⎪→-- ⎪ ⎪--⎝⎭323011*********r r ---⎛⎫⎪→-- ⎪ ⎪⎝⎭, 秩为2.(4)1725314353759413254759413420253248⎛⎫ ⎪ ⎪ ⎪ ⎪⎝⎭213143317253143201330153015r r r r r r ---⎛⎫ ⎪ ⎪→ ⎪ ⎪⎝⎭433217253143201310020000r r r r --⎛⎫⎪⎪→⎪ ⎪⎝⎭1310022013172531430000r r ↔⎛⎫ ⎪⎪→ ⎪ ⎪⎝⎭2131217100200110253190000r r r r --⎛⎫ ⎪- ⎪→ ⎪ ⎪⎝⎭23100202531900110000r r ↔⎛⎫⎪ ⎪→ ⎪- ⎪⎝⎭,秩为3. 16.证明: 两个矩阵和的秩不超过这两个矩阵秩的和,即 (A B)(A)(B)R R R +≤+.证 设1A (α,,α),(A),n R r == 1α,,αr 为一个极大线性无关组,1B (β,,β),(B),n R s == 1β,,βs 为一个极大线性无关组, 1A B (r ,,r )n += .因为1r ,,r n 可由1α,,αn ,1β,,βn 线性表出,从而也可由1α,,αr ,1β,,βs 线性表出.故()1A B (r ,,r )n R R +=≤ ()11α,,α,β,,βr s R r s =+=(A)(B)R R +.17.设A 与B 可乘,且AB 0=,证明: (A)(B)A R R +≤的列数. 证法一 设A 为m n ⨯矩阵,B 为n l ⨯矩阵 由AB 0=,有11111111n l m mn n nl m n n l a a b b a a b b ⨯⨯⎛⎫⎛⎫ ⎪ ⎪ ⎪ ⎪ ⎪ ⎪⎝⎭⎝⎭ 0000m l⨯⎛⎫ ⎪= ⎪ ⎪⎝⎭ 比较等式两边对应元素,有111111111100n n m mn n a b a b a b a b ++=⎧⎪⎨⎪++=⎩,11121211220,0n n m mn n a b a b a b a b ++=⎧⎪⎨⎪++=⎩ ,11111100l n nl m lmn nl a b a b a b a b ++=⎧⎪⎨⎪++=⎩ . 可见B 的列向量组为上述l 个齐次线性方程组的解向量,因此有 (B)(A)R n R ≤-, 移项得(A)(B)R R n +≤(A 的列数).证法二 设A 为m n ⨯矩阵,B 为n l ⨯矩阵, 12(A),(B)R r R r ==,因为1(A)R r =,则A 的标准形可写成1E 000r ⎛⎫⎪⎝⎭,即存在可逆阵P,Q 使得 PAQ 1E 000r ⎛⎫=⎪⎝⎭.又设()111B Q B B r m n r m ⨯--⨯⎛⎫= ⎪ ⎪⎝⎭, 则10(AB)(PAB)(PAQQ B)R R R -===,但()111111B E 0B PAQQ B Q B B 000r m r r m n r m ⨯⨯---⨯⎛⎫⎛⎫⎛⎫=== ⎪⎪ ⎪ ⎪⎝⎭⎝⎭⎝⎭, 可见11(B )(PAQQ B)0r m R R -⨯==,又因为12(Q B)(B)R R r -==,所以()12(B )n r m R r -⨯=,而()1B n r m -⨯共1n r -行,因此12n r r -≥,即12r r n +≤或(A)(B)R R n +≤.习题 B1.证明: 12α,α,,αs (其中1α0≠)线性相关的充要条件是至少有一个α(1)i i s <≤可被121α,α,,αi - 线性表出.证 必要性:设12α,α,,αs 线性相关(1α0≠),则存在不全为0的s 个数12,,,s k k k 使1122ααα0s s k k k +++= ,设i k 是12,,,s k k k 中最后一个不为零的数,即0i k ≠,而10i s k k +=== ,则1122ααα0i i k k k +++= ,因为1α0≠,所以1i >,即1i s <≤,(否则120,0s k k k ≠=== 则1α0k =不能成立),于是1111αααi i i i ik k k k --=--- ,即αi 可由121α,α,,αi - 线性表出.充分性:如果1111αααi i i k k --=++ ,则11111ααα0αα0i i i i s k k --+++-+++= ,而11,,,1,0,,0i k k -- 不全为0,所以12α,α,,αs 线性相关.2.证明:一个向量组的任一线性无关组都可扩充为一个极大线性无关组. 证 设有向量组12α,α,,αn 秩为s ,12α,α,,αr i i i 是它的任意一个线性无关组,如果r s =,则它就是12α,α,,αn 的一个极大线性无关组.如果r s <,则12α,α,,αn 的其余向量中一定可以选出向量1αr i +,使12α,α,,αr i i i ,1αr i +线性无关(否则与12α,α,,αn 秩s r >矛盾),只要1r s +<,重复上述过程,直到r i s +=时为止.这样121α,α,,α,α,,αr r s i i i i i + 就是由12α,α,,αr i i i 扩充成的一个极大线性无关组.3.已知两向量组有相同的秩,且其中之一可被另一个线性表出,证明:这两个向量组等价. 证 设12A :α,α,,α;s 12B:β,β,,βt 为两个秩为r 的向量组, 1212α,α,,α;β,β,,βr r 分别为A,B 极大线性无关组,设B 可由A 线性表出,则有()()1212β,β,,βα,α,,αTr r K = ,其中K 为组合系数构成的r 阶方阵,因为1212α,α,,α;β,β,,βr r 线性无关,所以K 可逆,()()11212α,α,,αβ,β,,βr r K -= ,从而12α,α,,αr 可由12β,β,,βr 线性表出,从而可由12β,β,,βt 线性表出,又12α,α,,αs 可由12α,α,,αr 线性表出,所以12α,α,,αs 可由12β,β,,βt 线性表出,即A 可由B 线性表出,因此向量组A ,B 等价.4.设向量组12α,α,,αs 的秩为r ,在其中任取m 个向量12α,α,,αm i i i ,证明:{}12α,α,,αm i i i R r m s ≥+- .证 设12α,α,,αm i i i 的秩为t ,从它的一个极大线性无关组(含t 个向量)可扩充为12α,α,,αs 的一个极大线性无关组(含r 个向量),所扩充向量的个数为r t -个.但12α,α,,αs 中除了12α,α,,αm i i i 外,还有s m -个向量,故r t s m -≤-,即t r m s ≥+-.5.设n m ⨯阶矩阵A 的秩为r ,证明:存在秩为r 的n r ⨯阶矩阵P 及秩为r 的r m ⨯阶矩阵Q ,使A PQ =.证 因(A)R r =,故可经有限次初等行变换和初等列变换化为标准形,即存在m 阶可逆阵F 和n 阶可逆阵G ,使得 E 0GAF 00r ⎛⎫=⎪⎝⎭,即11E 0A GF ,00r--⎛⎫= ⎪⎝⎭记111212122G G G ,G G -⎛⎫= ⎪⎝⎭111212122F F F F F -⎛⎫= ⎪⎝⎭,其中1111G ,F 均为r 阶方阵,则111211121121222122G G F F E0E 0A G F GG F F 0000rr--⎛⎫⎛⎫⎛⎫⎛⎫== ⎪ ⎪ ⎪ ⎪⎝⎭⎝⎭⎝⎭⎝⎭111112212122G 0F F G 0F F ⎛⎫⎛⎫ ⎪⎪⎝⎭⎝⎭=1111111221212122G F G F G F G F ⎛⎫ ⎪⎝⎭()11112121G F F G ⎛⎫= ⎪⎝⎭, 记1121G P G ⎛⎫=⎪⎝⎭,则P 为n r ⨯矩阵且(P )R r =(因1G -可逆,故其前r 列线性无关), ()1121Q F F =,则Q 为r m ⨯矩阵且(Q)R r =(因1F -可逆,故其前r 列线性无关),而A PQ =.。
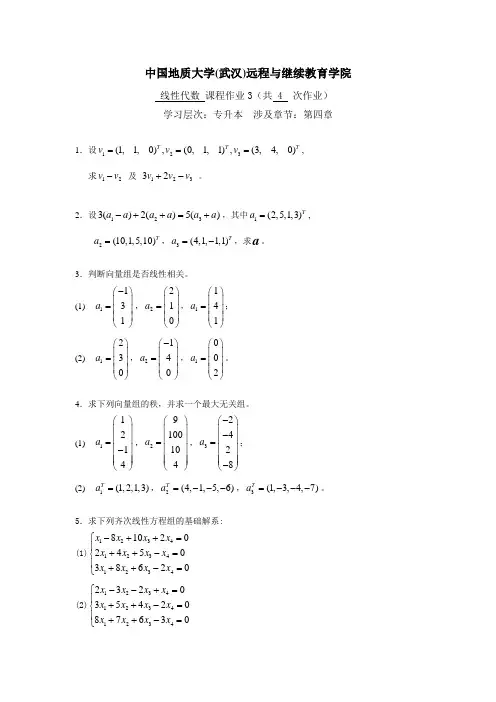
中国地质大学(武汉)远程与继续教育学院线性代数 课程作业3(共 4 次作业) 学习层次:专升本 涉及章节:第四章1.设123(1,1,0),(0,1,1),(3,4,0)T T T v v v ===,求12v v - 及 12332v v v +- 。
2.设1233()2()5()a a a a a a -++=+,其中1(2,5,1,3)T a =,2(10,1,5,10)T a =,3(4,1,1,1)T a =-,求a 。
3.判断向量组是否线性相关。
(1) 1131a -⎛⎫ ⎪= ⎪ ⎪⎝⎭,2210a ⎛⎫ ⎪= ⎪ ⎪⎝⎭,1141a ⎛⎫ ⎪= ⎪ ⎪⎝⎭;(2) 1230a ⎛⎫ ⎪= ⎪ ⎪⎝⎭,2140a -⎛⎫ ⎪= ⎪ ⎪⎝⎭,1002a ⎛⎫⎪= ⎪ ⎪⎝⎭。
4.求下列向量组的秩,并求一个最大无关组。
(1) 11214a ⎛⎫ ⎪ ⎪= ⎪- ⎪ ⎪⎝⎭,29100104a ⎛⎫ ⎪ ⎪= ⎪ ⎪ ⎪⎝⎭,32428a -⎛⎫ ⎪- ⎪= ⎪ ⎪ ⎪-⎝⎭; (2) 1(1,2,1,3)T a =,2(4,1,5,6)T a =---,3(1,3,4,7)Ta =---。
5.求下列齐次线性方程组的基础解系:(1)12341234123481020245038620x x x x x x x x x x x x -++=⎧⎪++-=⎨⎪++-=⎩(2)12341234123423203542087630x x x x x x x x x x x x --+=⎧⎪++-=⎨⎪++-=⎩6.设四元非齐次线性方程组的系数矩阵的秩为3,已知123,,ηηη 是它 的三个解向量.且12345η⎛⎫ ⎪ ⎪= ⎪ ⎪ ⎪⎝⎭,231234ηη⎛⎫ ⎪ ⎪+= ⎪ ⎪ ⎪⎝⎭求该方程组的通解。
7.求下列非齐次方程组的特解,对应的基础解系,通解。
(1)12123412345,221,53223;x x x x x x x x x x +=⎧⎪+++=⎨⎪+++=⎩ (2)12341234123452311,5361,242 6.x x x x x x x x x x x x -+-=⎧⎪++-=-⎨⎪+++=-⎩参考答案1.设123(1,1,0),(0,1,1),(3,4,0)T T T v v v ===, 求12v v - 及 12332v v v +- 。
线性代数练习册第三章部分答案(本)第三章⾏列式及其应⽤§3-1 ⾏列式的定义⼀、填空题。
1、⾏列式a bc d=__ad bc -___;112213141---=____-24____. 2、⾏列式111112121200000a a a ab bc cd d =______0_____. 3、已知⾏列式1111111111111111D -=-----,则32M =___4__;32A =___-4__. 4、已知排列2145697m n 为奇排列,则m =__8_;n =__3_. 5、4阶⾏列式中含1331a a 且符号为负的项是____13223144a a a a -____.⼆、选择题。
1、⽅程0110001x x x=的实根为__C___. (A )0; (B )1; (C )-1; (D )2.(A )18; (B )19; (C )20; (D )21 4、n 阶⾏列式00102000D n = 的值为__D ___.(A )!n ; (B )!n -; (C )(1)!nn -; (D )(1)2(1)!n n n --.5、⾏列式312111321111x x x x x--中4x 的系数为__A____.(A )-1; (B )1; (C )2; (D )3.三、计算下列⾏列式1、12110001- 解:3331212110(1)(1)111001r +--=-按展开2、1010120012301234解:44432101010112004(1)120123012312341014120243、1132101123011002-- 解:414113211310111013223012303100210001300133033c c --------=--按r 展开四、设排列12n a a a 的逆序数为k ,证明排列11n n a a a - 的逆序数为(1)2n n k --. 证明:设i a 在排列12n a a a 的逆序数为i k ,则12n k k k k +++= ,且i a 在排列11n n a a a - 的逆序数为i t ,则i i i k t n a +=-,所以,i i i t n a k =--,所以,排列11n n a a a - 的逆序数为12112122122(1)()()2n n n n n n a k n n n t t t n a k n a k a a k k a k k ---=--+++=--+--++++++++=-(另解:因为12n a a a 中的任两个不同的元素,i j a a 必在排列12n a a a或排列11n n a a a - 中构成逆序且只能在其中⼀个中构成逆序,所以排列12n a a a 和11n n a a a - 的逆序数之和等于从n 个元素中任取两个不同数的组合数kn C ,即11n n a a a - 的逆序数为(1)§3-2 ⾏列式的性质与计算⼀、填空题。
第三章 矩阵的初等变换与线性方程组1.把下列矩阵化为行最简形矩阵:(1) ⎪⎪⎪⎭⎫ ⎝⎛--340313021201; (2) ⎪⎪⎪⎭⎫⎝⎛----174034301320; (3) ⎪⎪⎪⎪⎭⎫⎝⎛---------12433023221453334311; (4) ⎪⎪⎪⎪⎭⎫⎝⎛------34732038234202173132.解 (1) ⎪⎪⎪⎭⎫ ⎝⎛--340313*********2)3()2(~r r r r -+-+⎪⎪⎪⎭⎫ ⎝⎛---020********* )2()1(32~-÷-÷r r ⎪⎪⎪⎭⎫ ⎝⎛--01003100120123~r r -⎪⎪⎪⎭⎫⎝⎛--300031001201 33~÷r ⎪⎪⎪⎭⎫ ⎝⎛--100031001201323~r r +⎪⎪⎪⎭⎫ ⎝⎛-1000010012013121)2(~r r r r +-+⎪⎪⎪⎭⎫ ⎝⎛100001000001(2) ⎪⎪⎪⎭⎫ ⎝⎛----1740343013201312)2()3(2~r r r r -+-+⨯⎪⎪⎪⎭⎫ ⎝⎛---31003100132021233~r r r r ++⎪⎪⎪⎭⎫ ⎝⎛000031001002021~÷r ⎪⎪⎪⎭⎫⎝⎛000031005010 (3) ⎪⎪⎪⎪⎭⎫⎝⎛---------12433023221453334311141312323~rr r r rr ---⎪⎪⎪⎪⎭⎫ ⎝⎛--------1010500663008840034311)5()3()4(432~-÷-÷-÷r r r ⎪⎪⎪⎪⎭⎫ ⎝⎛-----22100221002210034311 2423213~r r r r r r ---⎪⎪⎪⎪⎭⎫⎝⎛---000000000022********(4) ⎪⎪⎪⎪⎭⎫⎝⎛------34732038234202173132 242321232~r r r r rr ---⎪⎪⎪⎪⎭⎫ ⎝⎛-----1187701298804202111110141312782~rr r r rr --+⎪⎪⎪⎪⎭⎫⎝⎛--410004100020201111134221)1(~r r r r r --⨯↔⎪⎪⎪⎪⎭⎫⎝⎛----0000041000111102020132~rr +⎪⎪⎪⎪⎭⎫⎝⎛--000004100030110202012.设⎪⎪⎪⎭⎫ ⎝⎛=⎪⎪⎪⎭⎫ ⎝⎛⎪⎪⎪⎭⎫ ⎝⎛987654321100010101100001010A ,求A 。
第3章1. 34(30,10,20,16)γαβ=-=---.2. (1) 能,唯一一种表示:12323βααα=--. (2) 不能.(3) 能,很多种表示:123(21)(35)c c c βααα=-+-++,c 为任意常数. 3. 证明略,唯一表达式为:12123234344()()()b b b b b b b βαααα=-+-+-+. 4. (1) 线性无关. (2) 线性相关.(3) 线性相关,因为4个向量,每个向量维数3维. (4) 若a ,b ,c 均不相等,线性无关,否则线性相关. 5. (1) 线性无关 (2) 线性无关 (3) 线性相关.6. 解:设112223334441()()()()0k k k k αααααααα+++++++=,整理可得141122233344()()()()0k k k k k k k k αααα+++++++=,因为已知1234,,,αααα是线性无关的,故有 141223340,0,0,0,k k k k k k k k +=⎧⎪+=⎪⎨+=⎪⎪+=⎩系数矩阵1001100111000101011000110011000A ⎡⎤⎡⎤⎢⎥⎢⎥-⎢⎥⎢⎥=→⎢⎥⎢⎥⎢⎥⎢⎥⎣⎦⎣⎦,则()3r A =. 故12233441,,,αααααααα++++是线性相关的.7. 证:因为任意1n +个n 维向量必线性相关,故12,,,,n αααβ 线性相关,存在 不全为零的1n +个数121,,,n k k k + ,使得112210n n n k k k k αααβ+++++= . 若10n k +=,12,,,n ααα 线性相关,矛盾.所以10n k +≠,β可由12,,,n ααα 线 性表出.下证表达式唯一,类似于定理3.5的证明.8. 证:(反证法即得).假设1234,,,k k k k 不全为零,其中某个为零,其他的不为零.不妨假设10k =,则2233440k k k ααα++=,其中234,,k k k 均不为零,则可推出 234,,ααα是线性相关的,这与已知任意三个向量都线性无关矛盾,故假设不成 立.由假设的任意性可知112233440k k k k αααα+++=,其中1234,,,k k k k 全不为 零.9. 证:设前一向量组的秩为r ,则显然r s ≤,又后一组的秩也为r ,则有1r s s ≤<+,故后一向量组是线性相关的.若r s =,则前一组是线性无关 的,后一组是线性相关的,则由定理3.5知,β可由1α,2α, ,s α线性表出, 且表达式唯一.若r s <,则两组均是线性相关的,且两个向量组的秩是相等 的,也可推出β可由1α,2α, ,s α线性表出. 10. 证:因为12,,n εεε 能由12,,n a a a 线性表示, 所以 1212(,,,)(,,,)n n r r a a a εεε≤ ,而12(,,,)n r n εεε= ,12(,,,)n r a a a n ≤ ,所以12(,,,)n r a a a n = ,从而 12,,n a a a 线性无关.11. 证:因为任一向量β可由12,,,s ααα 线性表出,故n 维基本向量组12,,s εεε能由12,,,s ααα 线性表出,又知12,,,s ααα 可由基本向量组12,,s εεε 表出,故12,,,s ααα 与12,,s εεε 等价,所以12,,,s ααα 的秩为s ,即 12,,,s ααα 线性无关.12. 证:由于123,,ααα线性无关,而1234,,,αααα线性相关,故一定存在123,,k k k , 使得4112233k k k αααα=++.若其中某个i k 不为零,假定10k ≠,则1422331()/k k k αααα=--,知423,,ααα也是极大线性无关组,唯一性矛盾. 故一定有1230k k k ===,即40α=.13. 证:必要性.若12,,,s βββ 线性无关,则12,(,,)s r s βββ= ,又因为 12,12(,,)min{(),(,,,)}s s r r A r βββααα≤ ,而12(,,,)s r s ααα= ,故12,(,,)()s r s r A βββ=≤ ,又因为()r A s ≤,则一定有()r A s =,即矩阵A 可 逆.充分性,若矩阵A 可逆,则在等式两边左乘1A -,然后根据矩阵秩的不等 式可得11212,(,,,)min{(),(,,)}s s r r A r αααβββ-≤ ,显然有112(,,,)()s r s r A s ααα-=≤= ,可推出1212,(,,,)(,,)s s r s r αααβββ=≤ , 又12,(,,)s r s βββ≤ ,故只能12,(,,)s r s βββ= ,即12,,,s βββ 线性无关. 14. 证:因为向量组12,,,s ααα 的秩为1r ,则其中有1r 个线性无关的向量,设为 112,,,r c c c .向量组12,,,t βββ 的秩为2r ,则其中有2r 个线性无关的向量,设 为212,,,r d d d .则向量组1212,,,,,,s t αααβββ 中线性无关的向量一定在 121212,,,,,,r r c c c d d d 中选取,所以312r r r ≤+. 15. 定义即得.16. (例题)12(,,,)s r r ααα= ,且12,,,r i i i ααα 为其中r 个线性无关的向量.设 k α是向量组中任意一个向量,则12,,,,r i i i k αααα 线性相关,否则向量组的 秩会大于r .所以,由定理3.5,k α可由12,,,r i i i ααα 线性表出,故 12,,,r i i i ααα 为向量组的一个极大线性无关组.17. (1) 11311322601003000004000A ⎡⎤⎡⎤⎢⎥⎢⎥⎢⎥⎢⎥=→⎢⎥⎢⎥⎢⎥⎢⎥⎣⎦⎣⎦,故123()(,,)2r A r ααα==, 1α 2α 3α故一个极大线性无关组是1α,2α.(2) 24611231123100013691000012310000A ⎡⎤⎡⎤⎢⎥⎢⎥⎢⎥⎢⎥=→⎢⎥⎢⎥---⎢⎥⎢⎥⎣⎦⎣⎦,1234()(,,,)2r A r αααα==, 故一个极大线性无关组是1α,4α.(3) 12341234234501233456000045670000A ⎡⎤⎡⎤⎢⎥⎢⎥⎢⎥⎢⎥=→⎢⎥⎢⎥⎢⎥⎢⎥⎣⎦⎣⎦,1234()(,,,)2r A r αααα==, 故一个极大线性无关组是1α,2α.18. (1) 11511151112302743181000013970000A ----⎡⎤⎡⎤⎢⎥⎢⎥--⎢⎥⎢⎥=→⎢⎥⎢⎥-⎢⎥⎢⎥-⎣⎦⎣⎦,于是得阶梯形方程组 123423450,2740,x x x x x x x ⎧-+-=⎨-+=⎩方程组的一般解为:34343432722x x x x X x x ⎡⎤--⎢⎥⎢⎥⎢⎥-=⎢⎥⎢⎥⎢⎥⎢⎥⎣⎦. 可得方程组的一个基础解系为:137,,1,022Tη⎡⎤=-⎢⎥⎣⎦,[]21,2,0,1T η=--.通解为1122X k k ηη=+,1k ,2k 为常数.(3) 212112133112054736290010A ---⎡⎤⎡⎤⎢⎥⎢⎥=--→⎢⎥⎢⎥⎢⎥⎢⎥--⎣⎦⎣⎦,于是得阶梯形方程组12342343230,5470,0,x x x x x x x x ---=⎧⎪++=⎨⎪-=⎩方程组的一般解为44417,,0,55TX x x x ⎡⎤=-⎢⎥⎣⎦,可得方程组的一个基础解系:117,,0,155Tη⎡⎤=-⎢⎥⎣⎦,通解为11X k η=.(4) 方程组本身即为一个阶梯形方程组,其一般解为:()23423413,,,4TX x x x x x x ⎡⎤=-+-⎢⎥⎣⎦,可得方程组的一个基础解系:11,1,0,04Tη⎡⎤=-⎢⎥⎣⎦,23,0,1,04Tη⎡⎤=⎢⎥⎣⎦,31,0,0,14Tη⎡⎤=-⎢⎥⎣⎦.通解为112233X k k k ηηη=++,1k ,2k ,3k 为常数.19. 证:首先由定理3.9知AX O =的基础解系含有n r -个线性无关的解向量.设 12,,,r ηηη 是AX O =的任意n r -个线性无关的解向量,要证12,,,r ηηη 是 AX O =的基础解系,只需证AX O =的任一解向量β都可由12,,,r ηηη 线性 表出.事实上,12,,,,r ηηηβ 必线性相关(否则AX O =的基础解系至少含有 1n r -+个线性无关的解向量,与已知矛盾),所以β都可由12,,,r ηηη 线性 表出,故12,,,r ηηη 是AX O =的基础解系.20. 证:假定一个基础解系为12,,s ηηη ,向量组12,,,s βββ 与其等价,故也含 有s 个向量.已知向量组12,,,s βββ 满足线性无关性,又因为每一个解向量 都可以由12,,s ηηη 线性表出,而12,,s ηηη 和12,,,s βββ 是等价向量组, 根据线性表出的传递性,每个解向量都可以由12,,,s βββ 线性表出,故 12,,,s βββ 也是一个基础解系.21. 证:先证122331,,ηηηηηη+++线性无关.设存在123,,k k k ,使得 112223331()()()0k k k ηηηηηη+++++=,即131122233()()()0k k k k k k ηηη+++++=,又因为123,,ηηη线性无关,则1312230,0,0,k k k k k k +=⎧⎪+=⎨⎪+=⎩ 可得只能1230k k k ===,即122331,,ηηηηηη+++线性无关.由于112223331()()()X k k k ηηηηηη=+++++ 131122233()()()k k k k k k ηηη=+++++,可知任意一个向量都可由122331,,ηηηηηη+++线性表出, 即122331,,ηηηηηη+++也是AX O =的一个基础解系.22. 证:(1)反证法,若12,γγ线性相关,则12,γγ一定成倍数关系,不妨令12k γγ=. 又因为12γγ≠,故1k ≠.由于12γγ-为齐次线性方程组AX O =的解,并且 122(1)k γγγ-=-,所以有22(1)(1)A k k A O γγ-=-=,而1k ≠,则有2A O γ=, 这与2A γβ=矛盾,所以假设不成立,即12,γγ线性无关.(2)若()1r A n =-,则齐次线性方程组AX O =的基础解系中只有一个解向 量,又12()A O γγββ-=-=,故112()k γγ-即为基础解系,其中1k 为某个非 零常数,又已知η是齐次线性方程组AX O =的解,则一定有2112()k k ηγγ=-, 即说明12,,ηγγ是线性相关的.23. (1)[]27316121123522401151109417200000A β---⎡⎤⎡⎤⎢⎥⎢⎥=→-⎢⎥⎢⎥⎢⎥⎢⎥⎣⎦⎣⎦,于是得阶梯形方程组:123423422,11510,x x x x x x x --+=-⎧⎨+-=⎩取3x ,4x 为自由变量,则方程组一般解为:()()3434341129,105,,1111TX x x x x x x ⎡⎤=-+--+⎢⎥⎣⎦,可得一个特解为:0210,,0,01111Tη⎡⎤=-⎢⎥⎣⎦,一个基础解系为:115,,1,01111Tη⎡⎤=-⎢⎥⎣⎦,291,,0,11111Tη⎡⎤=-⎢⎥⎣⎦.则方程组的通解为:01122122191111111051111111010001X k k k k ηηη⎡⎤⎡⎤⎡⎤--⎢⎥⎢⎥⎢⎥⎢⎥⎢⎥⎢⎥⎢⎥⎢⎥⎢⎥-=++=++⎢⎥⎢⎥⎢⎥⎢⎥⎢⎥⎢⎥⎢⎥⎢⎥⎢⎥⎢⎥⎢⎥⎢⎥⎣⎦⎣⎦⎣⎦,其中1k ,2k 为常数. (2) []15231115231131425021131901170091475361100000A β----⎡⎤⎡⎤⎢⎥⎢⎥-----⎢⎥⎢⎥=→⎢⎥⎢⎥----⎢⎥⎢⎥--⎣⎦⎣⎦, 于是得阶梯形方程组:12342343452311,23,9147,x x x x x x x x x -+-=⎧⎪--+=⎨⎪-=⎩取4x 为自由变量,可得方程组一般解为:()444431751,,714,29189TX x x x x ⎡⎤=---+⎢⎥⎣⎦,可得一个特解为:01770,,,099Tη⎡⎤=-⎢⎥⎣⎦,一个基础解系为:13514,,,12189T η⎡⎤=--⎢⎥⎣⎦.则方程组的通解为:011X k ηη=+,其中1k 为常数.(3) []211331321451010407551132121000152A β---⎡⎤⎡⎤⎢⎥⎢⎥=--→-⎢⎥⎢⎥⎢⎥⎢⎥----⎣⎦⎣⎦,于是得阶梯形方程组:12342344324,75511,152,x x x x x x x x -+-+=⎧⎪-+=⎨⎪-=⎩取3x 为自由变量,可得方程组一般解为:333131552,,,1573715TX x x x ⎡⎤=++-⎢⎥⎣⎦,可得一个特解为:01352,,0,15315Tη⎡⎤=-⎢⎥⎣⎦,一个基础解系为:115,,1,077Tη⎡⎤=⎢⎥⎣⎦.则方程组的通解为:011X k ηη=+,其中1k 为常数. (4) 方程组本身即为一个阶梯形方程组,其一般解为: []2345234544236,,,,TX x x x x x x x x =+-+-, 可得一个特解为:[]04,0,0,0,0Tη=, 一个基础解系:[]14,1,0,0,0Tη=,[]22,0,1,0,0Tη=-,[]33,0,0,1,0Tη=,[]46,0,0,0,1Tη=- 通解为011223344X k k k k ηηηηη=++++,1k ,2k ,3k ,4k 为常数.24. 解:[]2211230112302325012112020000A βλλλλλ--⎡⎤⎡⎤⎢⎥⎢⎥=-→-⎢⎥⎢⎥⎢⎥⎢⎥-⎣⎦⎣⎦, 当20λλ-=,即0λ=或1λ=时有解. 当20λλ-≠,即0λ≠且1λ≠时无解.若有解,得阶梯形方程组:1234234230,2,x x x x x x x λ+-+=⎧⎨+-=⎩取3x ,4x 为自由变量,则方程组一般解为: []34343444,2,,TX x x x x x x λλ=-+--+, 可得一个特解为:[]0,,0,0Tηλλ=-,一个基础解系为:[]14,2,1,0Tη=-,[]24,1,0,1Tη=-. 则方程组的通解为:01122X k k ηηη=++,其中1k ,2k 为常数,0λ=或1λ=.25. 解:[]11321113211316301121151010001053115230002226A b b a a b β⎡⎤⎡⎤⎢⎥⎢⎥-⎢⎥⎢⎥=→⎢⎥⎢⎥--+⎢⎥⎢⎥---+--⎣⎦⎣⎦,若220a -+=且260b --≠时,即1a =且3b ≠-时,无解. 若1a ≠时,有唯一解为:263420,6,5,11Tb b X b b b a a ++⎡⎤=--+-+⎢⎥--⎣⎦. 若1a =且3b =-时,有无穷多解.此时阶梯形方程组为:12342343321,21,2,x x x x x x x x +++=⎧⎪-+=⎨⎪=⎩取4x 为自由变量,可得方程组一般解为: []448,32,2,TX x x =--, 可得一个特解为:[]08,3,2,0Tη=-, 一个基础解系为:[]10,2,0,1T η=-.则方程组的通解为:011X k ηη=+,其中1k 为常数 26. 证法1:单位矩阵E 的每一列都是AX O =的解,故A AE O ==. 证法2:假设A O ≠,则()0r A r =≠,所以AX O =只有n r -个线性无关的解, 显然矛盾.27.证:已知齐次线性方程组AX O =的系数矩阵的秩为()r r n <,则AX O =的基 础解系中含有n r -个线性无关的解向量.反证法假设12(,,,)t r n r ααα>- , 则其中有大于n r -个线性无关的解向量,并且其中每个解向量都可由这 12(,,,)t r ααα 个解向量线性表出,这说明AX O =的基础解系中含有大于 n r -个线性无关的解向量,这与已知矛盾,故假设不成立.则 12(,,,)t r n r ααα≤-28.证:(1)AX O =的基础解系中含有()n r A -个线性无关的解向量,BX O =的基 础解系中含有()n r B -个线性无关的解向量.若AX O =的解均为BX O =的解,即有()()n r A n r B -≤-,故()()r A r B ≥.(2)若AX O =与BX O =同解,通过(1)的结论,基础解系中含有相同个数的 线性无关的解向量,则()()n r A n r B -=-,故()()r A r B =. (3)略.(4)不能.只能说基础解系中含有相同个数的线性无关的解向量,但这些解向 量不一定相等.。
1.已知向量:112[5,1,3,2,4],34[3,7,17,2,8],T T ααα=--=-- 求1223αα+ 解:∵ 21{[3,7,17,2,8][15,3,9,6,12]}4T T α=----- 1[12,4,8,8,4][3,1,2,2,1]4T T=-----=-∴ 1223[10,2,6,4,8][9,3,6,6,3][19,1,0,10,11]TTTαα+=-+-=2.设 12[2,5,1,3],[10,1,5,10],T T αα==3123[4,1,1,1],3()2()5()0T ααααααα=--++-+=并且 求 α解:∵ 1236325αααα=+-[6,15,3,9][20,2,10,20][20,5,5,5][6,12,18,24],T T TT=+--=∴ [1,2,3,4].T α=3.判断下列命题是否正确,为什么? (1)如果当 120m k k k ==== 时, 11220m m k k k ααα+++= 成立, 则向量组12,,m ααα 线性相关解:不正确.如:[][]121,2,3,4T Tαα==,虽然 12000,αα+=但12,αα线性无关。
(2) 如果存在m 个不全为零的数12,,,,m k k k 使11220,m m k k k ααα+++≠ 则向量组12,,,m ααα 线性无关。
解: 不正确. 如[][]11121,2,2,4,1,2,TTk αα====存在k 使121220,,.αααα+≠但显然线性相关(3) 如果向量组12,,,m ααα 线性无关,则其中任何一个向量都不能由其余向量线性表出. 解: 正确。
(反证)如果组中有一个向量可由其余向量线性表示,则向量组 12,,,m ααα 线性相关,与题没矛盾。
(4) 如果向量组123,,ααα线性相关,则3α一定可由12,αα线性表示。
解:不正确。
例如:[][][]1230,0,0,0,1,0,0,0,1,TTTααα===向量组123,,ααα线性相关,但3α不能由12,αα线性表示。
习题三A 组1 •填空题.(1)设口 = (1,1,1), 6 = (-1,-1,-1),则ah x= _____________ , a vh= _________ro o>1 ](3)若么=(1, 2, 3), B — 1, —, — , A — a}d ,则 A n =I 2 3丿‘1 0⑷设A= 0 2J o解0.(5)设 a = (l, 0, -if ,矩阵 A=aa l \ 斤为正整数,贝 i\kE - A n解 k 2(k-2n ).(6)设昇为斤阶矩阵,且A =2,贝ij AA T= _________ , AA : = _______2(2)设八1-3 2),B =-3丿1 -13 1 3>则AB = (0 0丿(—3 -3丿2 13232 3 1 1)0 ,正整数 /7 > 2 ,则 A n -2A ,l ~' =2“+i2".(cos& -sin&\(7)、sin& cos& 丿cos& sin&\、一sin& cos& 丿0 0、2 0 ,则(A*y =4 5,解討丫2(10)设矩阵/二,矩阵B满足BA = B + 2E,则B二,B<-1 2(2 0(11)设/,〃均为三阶矩阵,AB = 2A + B f B= 0 4,2 0‘0 0 P解0 1 0b o oj(12)设三阶矩阵/满足|力|二*, (3A)~l-2A* =1627(13)设/为加阶方阵,B为兀阶方阵,同=Q,\B\ = b, C =°, 则\c\ =(8)设…®?工0 ,则、\Z曾丿1)a n1%■■1 1■色丿丿a lP(9)设A= 22、0 ,贝=2丿/0、0 ,矩阵〃满足关系式ABA =2BA ^E,其屮才'为力的伴随矩阵,则|B | =解*•解0.解一3・是nxp 矩阵,C 是pxm 矩阵,加、n 、p 互不相等,则下列运算没有(B) ABC ;解D.(2)设/是mxn 矩阵(m n), B 是nxm 矩阵,则下列解(一l)〃5b ・(15)设4阶矩阵/的秩为1,则其伴随矩阵/的秩为 (14)设三阶矩阵/ =R(4)解1.(17)设矩阵力'a 、b\ a }b 2■ ■a 2b 2 ■ • ■a n b2,其中匕・工0, (Z=l,2,•••,/?),则力的秩,且7?(J) = 3,则丘=0、 -2i,则将/可以表示成以下三个初等矩阵的乘积(D) AC T .的运算结果是n 阶力•阵.(A) AB ;解B.(B) A YBT;(C) B r A T ;(D) (4B)T.(16 )设?1 = •咕、 ・仇 ・ a n b n)解2.选择题.(1)设/是mxn 矩阵,(3) 设力」是斤阶方阵,AB = O,贝I 」有 ________ • (A) A = B = Ox(B) A + B = O ; (C)同=0或|同=0;(D)同 + 圖=0・解C ・(4) 设力,〃都是斤阶矩阵,则必有 _______ . (A) \A + B\ = \^ + \B\; (B) AB = BA ; (C) \AB\ = \BA\ ;(D) (/1 + B)T M /T + BT ・解C ・(5) 设/,B 是斤阶方阵,下列结论正确的是 __________ ・ (A)若均可逆,则A^B 可逆; (B)若力,〃均可逆,则力〃可逆; (C)若A + B 可逆,则A-B 可逆;(D)若A + B 可逆,则4〃均可逆.解B.(6) 设斤阶方阵A,B,C 满足关系式 ABC = E ,则必有 ___________ ・ (A) ACB = E ; (B) CBA = E ;(C) BAC = E ;(D) BCA = E .解D.(7) 设昇,B,力 + B, /T+BT 均为斤阶可逆矩阵,贝等于 ________________________ (A)(B) A + B ;(C) (D) g + 3)".解C.(8) 设£B,C 均为兀阶矩阵,若B = E + MB , C = A^CA.则B-C 为 ________________ . (A) E\ (B) —E ; (C) ; (D) —A.. 解A.(9) 设矩阵A = (a i .} 满足才其中才是/的伴随矩阵,川为昇的转置矩阵.若\ "3x3。
线性代数第三章练习册答案线性代数第三章综合自测题一、单项选择题(在四个备选答案中,只有一项是正确的,将正确答案前的字母填入下面横线上。
本题共10小题,每小题3分,共30分) 1. 如果向量β能由向量组m ααα,,,21 线性表示,则( D )。
(A )存在一组不全为零的数m k k k ,,,21 ,使得m m k k k αααβ+++= 2211 (B )对β的线性表示惟一(C )向量组m αααβ,,,,21 线性无关(D )存在一组数m k k k ,,,21 ,使得m m k k k αααβ+++= 2211 2. 向量组t ααα,,,21 线性无关的充分条件是(C )(A )t ααα,,,21 均为非零向量;(B )t ααα,,,21 的任意两个向量的分量不成比例;(C )t ααα,,,21 中任意部分向量组线性无关;(D )t ααα,,,21 中有一个部分向量组线性无关。
3. 若m ααα,,,21 线性相关,且0=+++m m k k k ααα 2211,则( D )。
(A )021====m k k k (B )m k k k ,,,21 全不为零(C )m k k k ,,,21 不全为零(D )上述情况都有可能4. 一个n m ?阶矩阵A 的秩为m ,则下列说法正确的是( A )(A )矩阵A 的行向量组一定线性无关;(B )矩阵A 的列向量组一定线性无关;(C )矩阵A 的行向量组一定线性相关;(D )矩阵A 的列向量组一定线性相关。
5. 两个n 维向量组A :s ααα,,,21 ,B :t βββ,,,21 ,且r B R A R ==)()(,于是有( C )(A )两向量组等价,也即可以相互线性表出;(B )s R ααα,,,(21 ,r t =),,,21βββ ;(C )当向量组A 能由B 线性表出时,两向量组等价;(D )当t s =时,两向量组等价。
第三章 课后习题及解答将1,2题中的向量α表示成4321,,,αααα的线性组合:1.()()()()().1,1,1,1,1,1,1,1,1,1,1,1,,1,1,11,,1,12,1T4T3T21T--=--=--===αααααT2.()()()()().1,1,1,0,0,0,1,1,1,3,1,2,1,0,1,1,1,0,0,04321--=====ααααα解:设存在4321,,,k k k k 使得44332211αααααk k k k +++=,整理得14321=+++k k k k24321=--+k k k k14321=-+-k k k k14321=+--k k k k解得.41,41,41,454321-=-===k k k k 所以432141414145ααααα--+=. 设存在 4321,,,k k k k 使得44332211αααααk k k k +++=,整理得02321=++k k k ,04321=+++k k k k ,0342=-k k ,1421=-+k k k .解得 .0,1,0,14321=-===k k k k 所以31ααα-=.判断3,4题中的向量组的线性相关性: 3. ()()().6,3,1,5,2,0,1,1,1T3T2T1===ααα4. ()().3,0,7,142,1,3,0,)4,2,1,1(T3T2T 1==-=βββ,解:3.设存在 321,,k k k 使得0332211=++αααk k k ,即⎪⎩⎪⎨⎧=++=++=+065032032132131k k k k k k k k ,由0651321101=,解得321,,k k k 不全为零, 故321,,ααα线性相关.4.设存在 321,,k k k 使得0332211=++βββk k k ,即⎪⎪⎩⎪⎪⎨⎧=++=++=+-=+0142407203033213212131k k k k k k k k k k 可解得321,,k k k 不全为零,故321,,βββ线性相关. 5.论述单个向量)(n a a a ,,,21 =α线性相关和线性无关的条件.解:设存在k 使得0=αk ,若0≠α,要使0=αk ,当且仅当0=k ,故,单个向量线性无关的充要条件是0≠α;相反,单个向量)(n a a a ,,,21 =α线性相关的充要条件是0=α.6.证明:如果向量组线性无关,则向量组的任一部分组都线性无关. 证:设向量组n n αααα,,,,121- 线性无关,利用反证法,假设存在该向量组的某一部分组)(,,,21n i r i i i r ≤ααα 线性相关,则向量组n n αααα,,,,121- 线性相关,与向量组n n αααα,,,,121- 线性无关矛盾, 所以该命题成立.7.证明:若21,αα线性无关,则2121,αααα-+也线性无关.证:方法一,设存在21,k k 使得0)()(212211=-++ααααk k ,整理得,0)()(221121=-++ααk k k k ,因为21,αα线性无关,所以⎩⎨⎧=-=+02121k k k k ,可解得021==k k ,故2121,αααα-+线性无关.方法二,因为=-+)(2121,αααα⎪⎪⎭⎫⎝⎛-1111,21)(αα, 又因为021111≠-=-,且21,αα线性无关,所以向量组2121,αααα-+的秩为2,故2121,αααα-+线性无关.8.设有两个向量组s ααα,,,21 和,,,,21s βββ 其中,13121111⎪⎪⎪⎪⎪⎪⎭⎫ ⎝⎛=k a a a a α,3222122⎪⎪⎪⎪⎪⎪⎭⎫ ⎝⎛=ks a a a a α ,,321⎪⎪⎪⎪⎪⎪⎭⎫ ⎝⎛=ks s s s s a a a a αs βββ,,,21 是分别在s ααα,,,21 的k 个分量后任意添加m 个分量mj j j b b b ,,,21),,2,1(s j =所组成的m k +维向量,证明:(1) 若s ααα,,,21 线性无关,则s βββ,,,21 线性无关; (2) 若s βββ,,,21 线性相关,则s ααα,,,21 线性相关.证:证法1,(1)设()s A ααα,,,21 =,()s B βββ,,,21 =,因为s ααα,,,21 线性无关,所以齐次线性方程0=AX 只有零解,即,)(s A r = 且s B r =)(,s βββ,,,21 线性无关.证法2,因为s ααα,,,21 线性无关,所以齐次线性方程0=AX 只有零解,再增加方程的个数,得0=BX ,该方程也只有零解,所以s βββ,,,21 线性无关.(2) 利用反证法可证得,即假设s ααα,,,21 线性无关,再由(1)得s βββ,,,21 线性无关,与s βββ,,,21 线性相关矛盾.9. 证明:133221,,αααααα+++线性无关的充分必要条件是321,,ααα线性无关.证:方法1,(133221,,αααααα+++)=(321,,ααα)⎪⎪⎪⎭⎫ ⎝⎛110011101因为321,,ααα线性无关,且02110011101≠=,可得133221,,αααααα+++的秩为3所以133221,,αααααα+++线性无关.线性无关;反之也成立.方法2,充分性,设321,,ααα线性无关,证明133221,,αααααα+++线性无关.设存在321,,k k k 使得0)()()(133322211=+++++ααααααk k k ,整理得,0)()()(332221131=+++++αααk k k k k k因为321,,ααα线性无关,所以⎪⎩⎪⎨⎧=+=+=+000322131k k k k k k ,可解得0321===k k k ,所以133221,,αααααα+++线性无关. 必要性,(方法1)设133221,,αααααα+++线性无关,证明321,,ααα线性无关,假设321,,ααα线性相关,则321,,ααα中至少有一向量可由其余两个向量线性表示,不妨设321,ααα可由线性表示,则向量组133221,,αααααα+++可由32,αα线性表示,且23>,所以133221,,αααααα+++线性相关,与133221,,αααααα+++线性无关矛盾,故321,,ααα线性无关.方法2,令133322211,,ααβααβααβ+=+=+=,设存在321,,k k k 使得0332211=++αααk k k ,由133322211,,ααβααβααβ+=+=+=得)()()(32133212321121,21,21βββαβββαβββα---=-+=+-=,代入 0332211=++αααk k k 得,0212121321332123211=++-+-+++-)()()(βββββββββk k k ,即 0)()()(332123211321=+-+++-+-+βββk k k k k k k k k因为321,,βββ线性无关,所以⎪⎩⎪⎨⎧=+-=++-=-+000321321321k k k k k k k k k可解得0321===k k k ,所以321,,ααα线性无关.10.下列说法是否正确?如正确,证明之;如不正确,举反例:(1)m ααα,,,21 )(2>m 线性无关的充分必要条件是任意两个向量线性无关; 解:不正确,必要条件成立,充分条件不成立,例:2维向量空间不在一条直线的3个向量,虽然两两线性无关,但这3个向量线性相关。
(0343)《线性代数》网上作业题及答案1:第一次作业2:第二次作业3:第三次作业4:第四次作业5:第五次作业1:[论述题]行列式部分主观题参考答案:主观题答案2:[单选题]8.已知四阶行列式D中第三行元素为(-1,2,0,1),它们的余子式依次分别为5,3,-7,4,则D的值等于A:5B:-10C:-15参考答案:C主观题答案3:[单选题]7.行列式A的第一行元素是(-3,0,4),第二行元素是(2,a,1),第三行元素是(5,0,3),则其中元素a的代数余子式是:A:29B:-29C:0参考答案:B主观题答案4:[单选题]6.排列3721456的逆序数是:A:6B:7C:8参考答案:C主观题答案5:[单选题]5.行列式A的第一行元素是(k,3,4),第二行元素是(-1,k,0),第三行元素是(0,k,1),如果行列式A的值等于0,则k的取值应是:A:k=3B:k=1C:k=3或k=1参考答案:C主观题答案6:[单选题]3.有三阶行列式,其第一行元素是(1,1,1),第二行元素是(3,1,4),第三行元素是(8,9,5),则该行列式的值是:A:4B:2C:5参考答案:C主观题答案7:[单选题]4.有三阶行列式,其第一行元素是(0,1,2),第二行元素是(-1,-1,0),第三行元素是(2,0,-5),则该行列式的值是:A:9B:-1C:1参考答案:B主观题答案8:[单选题]2.有二阶行列式,其第一行元素是(2,3),第二行元素是(3,-1),则该行列式的值是:A:-11B:7C:3参考答案:A主观题答案9:[单选题]1.有二阶行列式,其第一行元素是(1,3),第二行元素是(1,4),该行列式的值是:A:-1B:1C:7参考答案:B1.参考答案:《周易》对中国古代数学发展的影响主要表现在以下三个方面:第一,易数在各领域的广泛应用和发展;第二,《周易》对中国古代数学家知识结构的影响;第三,《周易》对中国古代数学思维方式的影响。
习题三 A 组1. 设1232()3()2()αααααα-++=+,求α,其中1110α⎛⎫ ⎪= ⎪⎪⎝⎭, 2011α⎛⎫ ⎪= ⎪⎪⎝⎭,3340α⎛⎫ ⎪= ⎪⎪⎝⎭。
解123103423221312430103αααα-⎛⎫⎛⎫⎛⎫⎛⎫ ⎪ ⎪ ⎪ ⎪=+-=+-=- ⎪ ⎪ ⎪ ⎪ ⎪ ⎪ ⎪ ⎪⎝⎭⎝⎭⎝⎭⎝⎭2. 判定下列向量组是线性相关还是线性无关。
(1)131-⎛⎫ ⎪ ⎪ ⎪⎝⎭,210⎛⎫ ⎪ ⎪⎪⎝⎭,141⎛⎫ ⎪ ⎪⎪⎝⎭;(2)230⎛⎫ ⎪⎪⎪⎝⎭,140-⎛⎫⎪⎪⎪⎝⎭,002⎛⎫ ⎪ ⎪⎪⎝⎭解(1)121121121101101314077011011011101022000000000-----⎛⎫⎛⎫⎛⎫⎛⎫⎛⎫⎪⎪ ⎪ ⎪ ⎪ ⎪ ⎪ ⎪ ⎪ ⎪ ⎪ ⎪ ⎪ ⎪ ⎪⎝⎭⎝⎭⎝⎭⎝⎭⎝⎭::::, R(A)=2,线性相关(2)210210*********00102002000002-⎛⎫-⎛⎫⎛⎫⎪ ⎪ ⎪⎪ ⎪ ⎪ ⎪ ⎪ ⎪⎪⎝⎭⎝⎭⎝⎭::, R(A)=3,线性无关 3. a 取什么值时,下列向量组线性相关?111a α⎛⎫ ⎪= ⎪ ⎪⎝⎭, 211a α-⎛⎫⎪= ⎪ ⎪⎝⎭,311a α⎛⎫ ⎪=- ⎪ ⎪⎝⎭ 解 (法一)求系数行列式3211112(1)(2)11a a a a a a a a-=-+=+-+,令其为0,得1a =-。
由此可知,当1a =-时,R(A)<3,即题给向量组线性相关。
(法二)()23121212311110110101,,111101101111111111r r r r r r a a a a a a a a a a a a a a a a a ααα-+--+-+-++⎛⎫⎛⎫⎛⎫⎛⎫ ⎪ ⎪ ⎪ ⎪=-------- ⎪ ⎪ ⎪ ⎪ ⎪ ⎪ ⎪ ⎪⎝⎭⎝⎭⎝⎭⎝⎭:::向量组线性相关,所以10a +=,即1a =-4. 设123,,ααα线性无关,证明:1α,12αα+,123ααα++也线性无关. 证明:设112123123()()0,k k k αααααα+++++=即123123233()()0.k k k k k k ααα+++++=由123,,ααα线性无关,有1232330,0,0.k k k k k k ++=⎧⎪+=⎨⎪=⎩ 所以1230k k k ===,即112123,,αααααα+++线性无关. 5.设1(1,1,1)α=,2(1,2,3)α=,3(1,3,)t α=,问: (1) t 为何值时向量组123,,ααα线性相关。
河海大学线性代数第3次作业答案朱永忠1、下列各式:①(x-2y)(2y+x);②(x-2y)(-x-2y);③(-x-2y)(x+2y);④(x-2y)(-x+2y).其中能用平方差公式计算的是()[单选题] *A. ①②(正确答案)B. ①③C. ②③D. ②④2、5.已知集合A={x|x=3k+1,k∈Z},则下列表示不正确的是( ) [单选题] *A.-2∈AB.2 022?AC.3k2+1?A(正确答案)D.-35∈A3、6.下列各图中,数轴画法正确的是()[单选题] *A.B.C.D.(正确答案)4、7.一条东西走向的道路上,小明向西走米,记作“米”,如果他向东走了米,则可记作()[单选题] *A-2米B-7米C-3米D+7米(正确答案)5、49、如图,在△ABC中,∠A=30°,∠ABC=50°,若△EDC≌△ABC,且A,C,D在同一条直线上,则∠BCE=()[单选题] *A.20°(正确答案)B.30°C.40°D.50°6、从3点到6点,分针旋转了多少度?[单选题] *90°960°-1080°(正确答案)-90°7、6.有15张大小、形状及背面完全相同的卡片,卡片正面分别画有正三角形、正方形、圆,从这15张卡片中任意抽取一张正面的图形既是轴对称图形,又是中心对称图形的概率是1/3?,则正面画有正三角形的卡片张数为()[单选题] *A.3B.5C.10(正确答案)D.158、下列各式计算正确的是()[单选题] *A. 2a2+3a2=5a?B. (-2ab)3=-6ab3C. (3a+b)(3a-b)=9a2-b2(正确答案)D. a3·(-2a)=-2a39、椭圆的离心率一定()[单选题] *A、等于1B、等于2(正确答案)C、大于1D、等于010、32.已知m=()﹣2,n=(﹣2)3,p=﹣(﹣)0,则m,n,p的大小关系()[单选题] *A.m<p<nB.n<m<pC.p<n<mD.n<p<m(正确答案)11、18.下列各对数中,互为相反数的是()[单选题] *A.﹣(+1)和+(﹣1)B.﹣(﹣1)和+(﹣1)(正确答案)C.﹣(+1)和﹣1D.+(﹣1)和﹣112、? 转化成角度为()[单选题] *A. 150°B. 120°(正确答案)C. 270°D. 90°13、25.从五边形的一个顶点出发,可以画出m条对角线,它们将五边形分成n个三角形.则m、n的值分别为()[单选题] *A.1,2B.2,3(正确答案)C.3,4D.4,414、6.过多边形的一个顶点能引出7条对角线,则这个多边形是()边形.[单选题]* A.七B.八C.九D.十(正确答案)15、若sinα<0,则α角是在()[单选题] *A、第一、二象限B、第三、四象限(正确答案)C、第一、三象限D、第二、四象限16、27.下列各函数中,奇函数的是()[单选题] *A. y=x^(-4)B. y=x^(-3)(正确答案)C .y=x^4D. y=x^(2/3)17、12.已知点P(m,n),且mn>0,m+n<0,则点P在() [单选题] *A.第一象限B.第二象限C.第三象限(正确答案)D.第四象限18、20.如图,OC是∠AOB的平分线,OD是∠BOC的平分线,那么下列各式中正确的是()[单选题] *21.A.∠COD=∠AOBB.∠AOD=∠AOBC.∠BOD=∠AODD.∠BOC=∠AOD(正确答案)19、24.已知点M在线段AB上,点N是线段MB的中点,若AN=6,则AM+AB的值为()[单选题] *A.10B.8C.12(正确答案)D.以上答案都不对20、16.若过多边形的每一个顶点只有6条对角线,则这个多边形是()[单选题] *A.六边形B.八边形C.九边形(正确答案)D.十边形21、-950°是()[单选题] *A. 第一象限角B. 第二象限角(正确答案)C. 第三象限角D. 第四象限角22、19、如果点M是第三象限内的整数点,那么点M的坐标是()[单选题] *(-2,-1)(-2,-2)(-3,-1)(正确答案)(-3,-2)23、2.线段是由线段平移得到的,点的对应点为,则点的对应点的坐标为()[单选题] *A.(2,9)B(5,3)C(1,2)(正确答案)D(-9,-4)24、下列语句中,描述集合的是()[单选题] *A、比1大很多的实数全体B、比2大很多的实数全体C、不超过5的整数全体(正确答案)D、数轴上位于原点附近的点的全体25、390°是第()象限角?[单选题] *第一象限(正确答案)第二象限第三象限第四象限26、已知a+b=3,则代数式(a+b)(a-b)+6b的值是(? ????) [单选题] *A. -3B. 3C. -9D. 9(正确答案)27、在0°~360°范围中,与-940°终边相同的角是()[单选题] * 140°(正确答案)500°-220°320°28、下列计算正确的是( ) [单选题] *A. (-a)·(-a)2·(-a)3=-a?B. (-a)·(-a)3·(-a)?=-a?C. (-a)·(-a)2·(-a)?=a?D. (-a)·(-a)?·a=-a?(正确答案)29、下列各角中与45°角终边相同的角是()[单选题] *A. 405°(正确答案)B. 415°C. -45°D. -305°30、f(x)=-2x+5在x=1处的函数值为()[单选题] *A、-3B、-4C、5D、3(正确答案)。
本次作业是本门课程本学期的第3次作业,注释如下:
一、单项选择题(只有一个选项正确,共8道小题)
1. 设A为n阶方阵,且A2+A−5E=0,则(A+2E)−1=( )。
(A) A−E
(B) A+E
(C) 1 3 ( A−E )
(D) 1 3 ( A+E )
正确答案:C
解答参考:A 2 +A−5E=0 ⇒A 2 +A−2E=3E⇒( A+2E )(A−E)=3E ⇒( A+2E ) −1 = 1 3 (A−E)
2. 若n维向量α 1 ,α 2 ,⋯, α n 线性相关,β为任一n维向量,则( )。
(A) α 1 , α 2 ,⋯, α n ,β线性相关;
(B) α 1 , α 2 ,⋯, α n ,β线性无关;
(C) β一定能由α 1 , α 2 ,⋯, α n 线性表示;
(D) α 1 , α 2 ,⋯, α n ,β的相关性无法确定。
正确答案:A
解答参考:
3. 设线性方程组{ 3 x 1 + x 2 =1, 3 x 1 +3 x 2 +3 x 3 =0 ,5 x 1 −3 x 2 −2 x 3 =1 }则此方程组。
(A) 有唯一解
(B) 有无穷多解
(C) 无解
(D) 有基础解系
正确答案:A
解答参考:
4. 设n维向量组α1,α2,⋯,αs,若任一维向量都可由这个向量组线性表出,必须有。
(A) s= n
(B) s< n
(C) s> n
(D) s≥ n
正确答案:D
解答参考:
5. 设α 1 , α 2 , α 3 ,β,γ 都是4维列向量,且4阶行列式| α 1 , α 2 , α 3 ,β |=a ,| γ, α 1 , α 2 , α 3 |=b ,则4阶行列式| α 1 , α 2 , α 3 ,β+γ |=
(A) a+b
(B) −a−b
(C) a−b
(D) b−a
正确答案:C
解答参考:
6. 设B,C 为4阶矩阵,A=BC , R(B)=4 , R(C)=2 ,且α 1 , α 2 , α 3 是线性方程组Ax=0 的解,则它们是
(A) 基础解系
(B) 线性相关的
(C) 线性无关的
(D) A,B,C都不对
正确答案:B
解答参考:
7. 设n维列向量α= ( 1 2 ,0,⋯,0, 1 2 ) T ,矩阵A=I−α α T ,B=I+2α α T ,则AB=
(A) 0
(B) −I
(C) I
(D) I+α α T
正确答案:C
解答参考:
8. 设矩阵A m×n 的秩r(A)=m< ,下述结论中正确的是>
(A) A的任意m个列向量必线性无关
(B) A的任意一个m阶子式不等于零
(C) 齐次方程组Ax=0只有零解
(D) 齐次方程组Ax=0只有零解
正确答案:D
解答参考:
二、判断题(判断正误,共5道小题)
9.设A ,B 是同阶方阵,则AB=BA 。
正确答案:说法错误
解答参考:
10.n维向量组{ α 1 , α 2 , α 3 , α 4 } 线性相关,则{ α 2 , α 3 , α 4 } 线性无关。
正确答案:说法错误
解答参考:
11.若方程组Ax=0 有非零解,则方程组Ax=b 一定有无穷多解。
正确答案:说法错误
解答参考:
12.若A ,B 均为n阶方阵,则当| A |>| B | 时,A ,B 一定不相似。
正确答案:说法正确
解答参考:相似矩阵行列式值相同
13.设A是m×n 阶矩阵且线性方程组Ax=b 有惟一解,则m≥n 。
正确答案:说法正确
解答参考:
(注意:若有主观题目,请按照题目,离线完成,完成后纸质上交学习中心,记录成绩。
在线只需提交客
观题答案。
)
三、主观题(共12道小题)
14.设A是m×n 矩阵, B是p×m 矩阵,则A T B T 是×阶矩阵。
参考答案:A T B T是n×p 阶矩阵。
15.由m个n维向量组成的向量组,当m n时,向量组一定线性相关。
参考答案:m>n时向量组一定线性相关
16.设A=( 2 −3 1 1 a 1 5 0 3 ) ,且秩R( A )=2 ,则a= _______________。
参考答案:
a=6
(R( A )=2⇒| A |=0)
17.已知η 1 , η 2 , η 3 是四元方程组Ax=b 的三个解,其中A的秩R( A )=3 ,η 1 =( 1 2 3 4 ),η 2 + η 3 =( 4 4 4 4 ) ,则方程组Ax=b 的通解为______________。
参考答案:( 1 2 3 4 ) T +k ( 2 0 −2 −4 ) T。
因为R( A )=3 ,原方程组的导出组的基础解系中只含有一个解向量,取为η 2+ η 3−2 η 1,由原方程组的通解可表为导出组的通解与其一个特解之和即得。
18.设方程组{ a x 1 + x 2 + x 3 =1 x 1 +a x 2 + x 3 =a x 1 + x 2 +a x 3 = a 2 则,当a= 时方程组无解,当a= 时方程组有无穷多个解,当a≠ 时方程组有唯一解。
参考答案:当a=−2 时方程组无解,当a=1 时方程组有无穷多个解,当a≠1,−2 时方程组有唯一解。
19.设矩阵A与B相似,B=( 1 2 3 0 4 5 0 0 6 ) ,则A的行列式| A |=
参考答案:24
20.设A=[ 1 −1 2 2 0 4 3 2 t ] ,若3阶非零方阵B满足AB=0 ,则t= _______
参考答案:t=6
21.
参考答案:
22.
参考答案:
23.
参考答案:
24.
已知方阵A=[ 1 b 0 −2 a 0 0 0 3 ] 的特征值为λ 1 = λ 2 =3 , λ 3 =0 .
(1)求a,b的值;(2)求可逆矩阵P及对角矩阵D,使得P −1 AP=D .
参考答案:
25.
参考答案:
(主观题请按照题目,离线完成,完成后纸质上交学习中心,记录成绩。
在线只需提交客观题答案。
)。