总表-四方学院2012届毕业生考研录取情况统计表
- 格式:xls
- 大小:28.50 KB
- 文档页数:4
2012年硕士研究生报名录取情况统计表招生学院专业名称报考数录取数(001)国际经济贸易学院(020202)区域经济学54 6(001)国际经济贸易学院(020203)财政学75 7(001)国际经济贸易学院(020204)金融学667 99(001)国际经济贸易学院(020205)产业经济学105 8(001)国际经济贸易学院(020206)国际贸易学650 76(001)国际经济贸易学院(020209)数量经济学64 10(001)国际经济贸易学院(020104)西方经济学68 12(001)国际经济贸易学院(020106)人口、资源和环境经济学 5 2(001)国际经济贸易学院(025100)金融硕士229 87(001)国际经济贸易学院(025400)国际商务硕士103 85(002)金融学院(020204)金融学886 86(002)金融学院(025100)金融硕士290 104(003)国际商学院(120201)会计学608 70(003)国际商学院(125300)会计硕士627 84(003)国际商学院(120202)企业管理202 33(003)国际商学院(120204)技术经济及管理22 7(003)国际商学院(125100)工商管理硕士1085 276(004)信息学院(020204)金融学75 12(004)信息学院(020205)产业经济学125 30(005)法学院(030101)法学理论 4 3(005)法学院(030103)宪法学与行政法学 2 3(005)法学院(030105)民商法学126 15(005)法学院(030106)诉讼法学23 3(005)法学院(030107)经济法学136 12(005)法学院(030109)国际法学454 48(005)法学院(035101)法律硕士(非法学)298 47(005)法学院(035102)法律硕士(法学)90 67(006)英语学院(050211)外国语言学及应用语言学725 41 (006)英语学院(050201)英语语言文学156 7(006)英语学院(055101)英语笔译420 61(006)英语学院(055102)英语口译614 77(007)外语学院(050202)俄语语言文学56 6(007)外语学院(050203)法语语言文学42 6(007)外语学院(050204)德语语言文学40 5(007)外语学院(050205)日语语言文学184 10(007)外语学院(050207)西班牙语语言文学36 6(007)外语学院(050208)阿拉伯语语言文学21 8(007)外语学院(050209)欧洲语言文学20 2(007)外语学院(050210)亚非语言文学120 8(008)公共管理学院(120401)行政管理174 32(008)公共管理学院(120403)教育经济与管理13 4(008)公共管理学院(120404)社会保障7 3(008)公共管理学院(125200)公共管理硕士370 65(009)保险学院(020204)金融学296 53(009)保险学院(025500)保险硕士48 69(010)中国世界贸易组织研究院(020201)国民经济学58 10 (010)中国世界贸易组织研究院(020105)世界经济28 6(011)国际经济研究院(020105)世界经济146 27(012)国际关系学院(030202)中外政治制度8 4(012)国际关系学院(030207)国际关系41 9(012)国际关系学院(030208)外交学13 4(001)国际经济贸易学院(020206)国际贸易学(单考) 11 7合计:10720 1822关于凯程:凯程考研成立于2005年,国内首家全日制集训机构考研,一直致力于高端全日制辅导,由李海洋教授、张鑫教授、卢营教授、王洋教授、杨武金教授、张释然教授、索玉柱教授、方浩教授等一批高级考研教研队伍组成,为学员全程高质量授课、答疑、测试、督导、报考指导、方法指导、联系导师、复试等全方位的考研服务。
2012考研国家线和34高校分数线大汇总 大家可以参考安排复试或调剂:2012年全国硕士研 2012考研国家线已公布,详情如下:。
究生招生考试考生进入复试的初试成绩基本要求(学术型学位类)学科门类(专业)名称 A 类考生*B 类考生*备 注总分 单科(满分=100分)单科(满分>100分)总分单科(满分=100分) 单科(满分>100分) 哲学 290 38 57 280 35 53*A 类考生:报考地处一区招生单位的考生。
*B 类考生:报考地处二区招生单位的考生。
一区系北京、天津、河北、山西、辽宁、吉林、黑龙江、上海、江苏、浙江、安徽、福建、江西、山东、河南、湖北、湖南、广东、重庆、四川、陕西等经济学 340 50 75 330 47 71 法学315 4263 305 39 59教育学(不含体育学) 300 40120 290 37 111 文学 345 52 78 335 49 74历史学 285 38 114 275 35 105 理学290 3857280 3553工学(不含工学照顾专业) 290 38 572803553农学255 33502453045医学(不含中医类照顾专业) 295 38 11428535105军事学 300 41 62 290 38 57 管理学 340 50 75 330 47 71 艺术学 315 34 51 305 31 47 体育学265 341022553193工学照顾专业* 275 37 56 265 34 5121省(市);二区系内蒙古、广西、海南、贵州、云南、西藏、甘肃、青海、宁夏、新疆等10省(区)。
*工学照顾专业:力学[0801]、冶金工程[0806]、动力工程及工程热物理[0807]、水利工程[0815]、地质资源与地质工程[0818]、矿业工程[0819]、船舶与海洋工程[0824]、航空宇航科学与技术[0825]、兵器科学与技术[0826]、核科学与技术[0827]、农业工程[0828]。
520510500490480470以上以上以上以上以上以上(5850)吉林医药学院109(5995)郑州大学(中外合作办学)1475747(6000)郑州大学7001322236(6001)郑州大学(软件职业技术学院)7602892(6010)河南农业大学5503053 (6012)河南农业大学(中外合作办学)52535(6015)河南中医学院140407110 (6022)新乡医学院(中外合作办学和通识教育)12089(6035)洛阳师范学院1101905 (6040)许昌学院283181(6055)商丘师范学院8098(6060)周口师范学院120136(6075)南阳理工学院475309(6077)南阳理工学院(软件类专业)2531421(6078)南阳理工学院(中外合作办学)8524(6080)河南财经政法大学70151(6082)河南财经政法大学(中外合作办学)172262(6085)河南科技大学4002432(6092)郑州航空工业管理学院(中外合作办学)20536(6097)华北水利水电学院(中外合作办学)210682012年各学院专科录取情况计划总数(6105)河南36042313工业大学(6107)河南工业大学(中47064外合作办学)(6110)郑州430234轻工业学院(6115)中原707891工学院(6119)中原28017工学院(中外合作办学)(6125)平顶38574山学院(6135)安阳5552831工学院(6140)河南12028814警察学院(6150)黄淮600219学院(6155)河南219451051375工程学院(6160)洛阳1620398125175理工学院(6165)新乡9156622学院(6170)郑州747115820师范学院(6172)郑州师范学院(中6018外合作办学)(6213)郑州124020591514127电力高等专科学校(6214)河南37094654142机电高等专科学校(6216)河南1089199156财政税务高等专科学校(6217)河南财政税务高16027等专科学校(中外合作办学)(6218)河南1554285675商业高等专科学校(6219)河南商业高等专30045科学校(中外合作办学)(6221)郑州牧业工程高2300112415等专科学校(6223)信阳农业高等专2422233科学校(6231)郑州幼儿师范高2804962等专科学校幼儿师范高7038等专科学校(6235)焦作师范高等专12876962科学校(6237)漯河医学高等专172018327科学校(6238)商丘医学高等专1905132513科学校(6239)南阳17241720111医学高等专科学校(6250)中州16972777325大学(6252)开封20272335二本线16大学(6253)开封大学(办学地1004点在河南省医药学校)(6256)焦作15581194大学(6258)黄河水利职业技294623601326术学院(6261)河南2198277015职业技术学院(6262)河南368516772工业职业技术学院(6265)郑州197236203652铁路职业技术学院(6266)河南化工职业学20186院(6270)郑州16405791信息科技职业学院(6271)平顶2192142916山工业职业技术学院(6272)濮阳523911职业技术学院(6273)鹤壁职业技术学732218院(6275)三门1220462峡职业技术学院(6276)许昌167910002职业技术学院(6277)漯河职业技术学1237252院职业技术学1092396院(6280)济源职业技术学11403471院(6281)河南经贸职业学120412604院(6282)河南农业职业学19505362院(6283)河南129522162交通职业技术学院(6284)郑州280821旅游职业学院(6285)郑州406754职业技术学院(6288)信阳3861041职业技术学院(6291)新乡48951职业技术学院(6293)驻马94647店职业技术学院(6311)河南12587524教育学院(6317)河南8907121卫生职工学院(6331)焦作师范高等专10科学校(中外合作办学)(6336)郑州铁路职业技50061术学院(中外合作办学)(6341)郑州电力高等专250164科学校(中外合作办学)(6347)商丘职业技术学552院(软件类专业)(7002)上海7765医药高等专科学校注:灰色背景表示院校第一志愿缺档。
2012本科第一批文史类部分院校录取情况
本科第一批文史类部分院校录取情况
时间:2012年07月17日
本科第一批文史类部分院校录取情况
时间:2012年07月18日
本科第二批文史类部分院校录取情况
本科第二批文史类部分院校录取情况
本科第三批文史类部分院校录取情况
本科第三批文史类部分院校录取情况
本科第二批文史类部分院校录取情况
本科第三批文史类部分院校录取情况
高职(专科)提前批文史类部分院校录取情况
高职(专科)一阶段文史类部分院校录取情况
高职(专科)一阶段文史类部分院校录取情况
高职(专科)二阶段文史类部分院校录取情况。
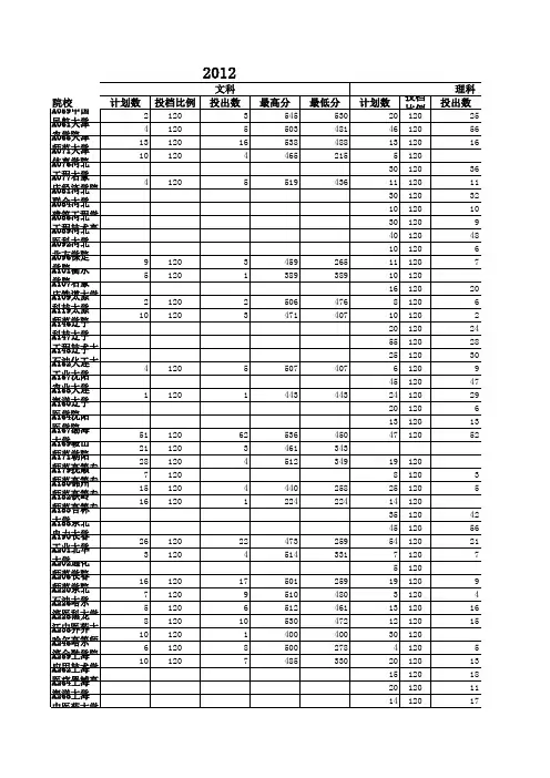
批次:2本科一批投档志愿:1一志愿院校文科理科计划数投档比例投出数最高分最低分计划数投档比例投出数最高分最低分A001北京大学22 10924 684 663 2410826 725 698A002中国人民大学42 1042 662 586 391039 697 672A003清华大学 5 126 686 668 751079 728 695A004北京交通大学 5 105 639 617 12710127 675 598A005北京工业大学 4 121 590 590 331238 654 589A006北京航空航天大学10 1010 642 634 12610128 688 674A007北京理工大学12 1013 634 619 12110121 677 660A008北京科技大学23 1023 628 617 12910132 669 633A009北方工业大学11 126 594 575 481258 629 602A010北京化工大学13 10515 615 602 120105126 657 627A011北京工商大学12 1216 638 597 521263 648 602A013北京邮电大学10 1010 645 619 10510106 683 657A019中国农业大学140 12162 635 573 28312304 666 582A022北京林业大学13 10316 638 616 115103121 677 625A025首都医科大学33 1236 673 582A026北京中医药大学9 129 643 597 3610538 672 620A028首都师范大学14 1117 619 599 141110 623 586A030北京外国语大学11 107 655 575 101212 681 665A031北京第二外国语学院161016 644 611 181018 645 612A032北京语言大学15 1015 635 623 211226 649 592A033中国传媒大学14 1117 645 624 331137 666 635A034中央财经大学22 10423 654 642 6110267 690 674A036对外经济贸易大学33 1033 659 641 341036 685 674A038首都经济贸易大学 4 104 615 603 241025 649 625A043北京体育大学12 1215 622 584 251230 635 592A052中央民族大学25 1230 637 614 371247 660 620A053中国政法大学47 10250 650 637 2910230 673 651A054华北电力大学(北京) 12 10513 630 610 8110587 678 644A055南开大学38 1038 652 634 571057 689 671A056天津大学7 129 636 619 12111136 681 656A059中国民航大学8 1210 605 581 17612208 664 582A060天津理工大学17 1227 619 596A062天津医科大学32 1240 662 641A063天津中医药大学21 1227 638 591A068天津外国语大学33 1225 630 576 241221 638 591A070天津财经大学26 1129 628 593 301133 648 624A079华北电力大学(保定) 7 1056 606 577 8910594 668 582A080河北工业大学60 1165 641 583A089河北医科大学 4 104 637 621A107石家庄铁道大学15 12 3 584 576 95 1288 631 5820 0A110中北大学18 1210 587 574 20412236 616 582A112太原理工大学12 1211 584 573 8812104 629 583A114山西医科大学 3 124 627 615A125山西财经大学56 1241 611 573 581265 630 582A126内蒙古大学30 1216 589 574 11212100 617 582A140辽宁大学32 1137 616 594 201125 625 607A141大连理工大学19 1226 618 599 17412212 669 636A145东北大学19 1223 620 575 13912169 659 625A146辽宁科技大学29 127 588 583批次:2本科一批投档志愿:1一志愿院校文科理科计划数投档比例投出数最高分最低分计划数投档比例投出数最高分最低分A151大连海事大学23 120 28 632 596 196 120 236 661 614 A157沈阳农业大学50 120 3 593 587 A159中国医科大学45 120 54 655 610 A161大连医科大学48 120 59 642 614 A162辽宁中医药大学10 120 12 600 582 A163沈阳药科大学65 120 68 633 582 A173东北财经大学26 100 27 647 573 29 100 29 665 626 A183吉林大学58 105 65 644 617 486 103 518 669 630 A184延边大学24 120 17 591 573 64 120 79 612 585 A186长春理工大学17 120 2 587 586 128 120 120 620 582 A188东北电力大学31 120 6 593 577 117 120 117 644 582 A200东北师范大学46 120 56 624 580 77 120 95 636 608 A213哈尔滨工业大学10 105 10 621 577 79 105 88 679 661 A214哈尔滨理工大学103 109 67 618 582A216燕山大学18 120 15 606 573 111 120 134 629 601 A217哈尔滨工程大学13 110 5 601 581 202 110 227 656 610 A224东北农业大学8 120 80 120 46 605 582 A225东北林业大学32 100 35 601 582 307 105 341 636 594 A226哈尔滨医科大学40 120 48 652 610 A228黑龙江中医药大学 6 100 1 588 588 A246复旦大学10 100 11 663 658 33 100 34 696 688 A247同济大学13 105 15 633 628 116 105 124 696 584 A248上海交通大学 4 100 4 650 643 50 100 50 696 685 A251华东理工大学25 120 33 628 605 160 120 197 662 632 A252上海理工大学17 120 21 602 588 78 120 94 635 609 A254上海海事大学14 120 7 615 580 72 120 60 644 582 A255东华大学110 120 133 651 623 A256上海电力学院15 120 6 583 573 60 120 43 635 582 A268上海中医药大学18 105 19 636 600 A269华东师范大学14 120 17 637 630 37 120 47 669 649 A271上海外国语大学 6 120 8 641 630 11 120 7 658 582 A272上海财经大学10 100 10 652 583 30 100 30 688 647 A273上海对外贸易学院 6 120 8 614 595 14 120 17 657 622 A276华东政法大学37 120 45 637 580 41 120 51 659 588 A280上海大学12 120 16 625 609 72 120 87 647 583 A284南京大学28 100 34 655 645 52 100 52 695 680 A285苏州大学14 120 18 631 615 51 120 63 652 620 A286东南大学16 120 21 634 624 113 120 136 681 649 A287南京航空航天大学13 100 13 612 600 149 100 149 669 583 A288南京理工大学11 100 12 608 596 132 115 159 658 635 A289江苏科技大学9 100 3 588 576 56 100 51 624 582 A290中国矿业大学43 120 52 612 582 461 120 584 643 615 A291南京工业大学10 120 12 594 584 50 120 62 624 606 A292常州大学9 120 6 589 573 27 120 18 612 582 A293南京邮电大学 6 110 5 593 578 50 110 46 648 584 A294河海大学21 105 24 614 596 174 105 188 669 622 A295江南大学53 120 65 621 606 275 120 352 645 617 A298南京林业大学8 120 11 591 579 70 120 84 625 584 A299江苏大学14 120 14 600 573 51 120 62 628 600批次:2本科一批投档志愿:1一志愿院校文科理科计划数投档投出数最高分最低分计划数投档投出数最高分最低分比例比例A300南京信息工程大学21 1118 598 574 591165 644 589A307南京农业大学34 1137 613 578 19011216 651 610A316中国药科大学 2 122 613 605 8912107 656 605A319南京师范大学11 1215 621 610 511265 654 613A327南京财经大学22 1229 621 603 281234 643 615A332苏州科技学院 5 123 583 583A335浙江大学14 1015 657 652 561061 694 682A336杭州电子科技大学20 1217 602 574 10012120 633 600A337浙江工业大学51 10554 627 586A338浙江理工大学18 1218 593 573 821299 621 595A343温州医学院 4 125 628 608A353浙江工商大学28 10229 621 599 6110267 635 608A356中国计量学院15 124 586 575 601258 619 582A357安徽大学50 1260 628 579 551266 630 609A358中国科学技术大学40 1041 693 681A359合肥工业大学13 129 584 573 22612273 639 617A366安徽医科大学 5 105 630 616A378安徽财经大学28 10535 603 589 4710554 620 606A384厦门大学30 10532 645 599 119105125 681 636A385华侨大学32 1239 602 577 10012101 639 582A386福州大学12 1215 612 598 59 1272 634 6100 0A395闽江学院 3 127125 635 584A403南昌大学53 1244 616 575 16612209 637 613A407江西理工大学22 125 588 583A421江西财经大学17 1222 620 601 251230 646 614A422山东大学348 10311 653 574 1841101826 678 582A423中国海洋大学190 10202 637 619 85910892 668 639A424山东科技大学446 12340 603 573 4304124544 631 582A425中国石油大学(华东) 122101134 621 607 9801011027 663 627A426青岛科技大学38 1219 591 573 2694122630 637 582A429青岛理工大学218 12188 601 573 1685121928 634 582A434山东农业大学469 12343 605 573 3516121151 625 582A441山东中医药大学210 12128 623 573 25012309 639 583A445山东师范大学2263 122586 620 573 3003123123 645 582A446曲阜师范大学270 1258 590 573 1901240 606 582A459郑州大学60 1275 619 593 19612240 652 602A475河南大学43 10528 596 573 6010550 615 582A486武汉大学39 1039 651 629 159106170 679 655A487华中科技大学22 1229 630 616 122102126 680 595A488武汉科技大学20 1112 596 576 115105108 619 583A491中国地质大学(武汉) 191122 604 586 16211179 645 588A497武汉理工大学31 10533 613 594 34310367 648 624A504华中农业大学35 1244 603 583 25212317 634 599A511华中师范大学45 1152 620 596 591167 640 616A512湖北大学 4 123 579 577 211220 616 582A520中南财经政法大学75 10277 641 576 8610288 671 634A530湘潭大学67 1177 601 574 9311108 614 585A532湖南大学25 1127 635 575 17611196 668 633A533中南大学23 10224 621 606 283102289 675 632批次:2本科一批投档志愿:1一志愿院校文科理科计划数投档比例投出数最高分最低分计划数投档比例投出数最高分最低分A536长沙理工大学13 121 582 582 731294 615 590A538中南林业科技大学20 1021 582 582 7410210 619 582A541湖南中医药大学9 1213 622 586A542湖南师范大学40 10346 612 590 4910360 618 602A558中山大学45 1045 642 621 127105139 678 655A559暨南大学14 1217 629 617 141217 645 632A560汕头大学8 129 604 575 13127 607 583A561华南理工大学83 10591 662 643A564华南农业大学13 124 592 579 311227 609 582A572广州中医药大学7 127 599 573 13128 630 610A574华南师范大学8 125 611 575 101212 627 595A589海南大学48 1243 605 574 11912145 630 584A593广西大学44 1253 595 575 9612116 625 594A598广西医科大学 2 102 631 614A610四川大学32 1139 634 618 18711213 678 639A611重庆大学18 1122 623 608 167105180 670 633A613西南交通大学28 1132 615 579 271107290 647 614A614电子科技大学10 118 603 576 165104173 671 632A616成都理工大学27 1235 618 585A617重庆邮电大学36 1245 622 582A618重庆交通大学15 122 583 578 691267 611 582A624中国民用航空飞行学院2105510558 622 587A626四川农业大学60 1243 602 582A631重庆医科大学30 1030 647 619A633成都中医药大学 4 122 595 593 81210 614 594A635西南大学21 1226 614 594 8312102 628 608A650四川外语学院19 1212 592 574 161216 613 582A651西南财经大学29 1132 644 593 661174 670 649A652西南政法大学61 1273 632 584 581270 655 608A657贵州大学16 1216 599 573 501262 618 598A673云南大学47 1243 611 575 10312133 628 602A697西北大学17 1221 614 593 32 1236 635 5840 0A698西安交通大学 4 104 621 601 107105116 683 667A699西北工业大学10 1012 603 592 13110132 676 648A700西安理工大学68 1264 614 582A701西安电子科技大学14 1116 603 579 24811279 669 629A703西安建筑科技大学9 117 586 573 381142 658 583A704西安科技大学 2 121 580 580 321210 599 582A705西安石油大学14 1218 625 598A710长安大学16 1119 606 589 22711258 640 610A712西北农林科技大学29 11536 605 587 316115387 638 606A718陕西师范大学36 10538 608 582 5510560 619 601A726西北政法大学52 1263 622 583 191223 624 602A730兰州大学50 10754 624 597 118107130 648 622A743青海大学10 128 581 573 13412100 620 582A749宁夏大学21 1216 591 573 581247 607 582A755新疆大学 2 12611247 609 582A759石河子大学22 125 586 574 1241263 617 582A760新疆医科大学 1 122 613 608批次:2本科一批投档志愿:1一志愿院校文科理科计划数投档比例投出数最高分最低分计划数投档比例投出数最高分最低分B047上海立信会计学院18 1223 611 584 321239 634 607B065青岛大学669 12815 618 580 3818124564 655 582B117扬州大学13 1216 597 580 301236 613 586B149中华女子学院 2 121 574 574B287南京审计学院12 1115 628 604 121114 652 635B413中国矿业大学(北京) 8 117 613 592 791188 648 616B414中国石油大学(北京) 4 115 620 594 841175 671 587B415中国地质大学(北京) 9 1010 634 608 851087 665 610B417北京联合大学 5 123 586 575 712B646宁波大学10 1111 615 582 291133 627 597B664西安邮电大学 4 123 585 573 391248 638 598C121南方医科大学 6 123 586 573 341228 656 585F301宁波诺丁汉大学11 10512 615 584 2410526 665 607F302西交利物浦大学26 1024 609 573 561269 649 598F401北京师范大学-香港浸会大学联合国际学院8125 594 584 6125 605 582H001北京大学医学部18 1018 696 596H145东北大学秦皇岛分校140 12179 633 608H213哈尔滨工业大学(威海) 40 1146 605 586 570105627 651 623H248上海交通大学医学院13 1013 693 586H359合肥工业大学(宣城校区) 1131195 619 582H422山东大学威海分校253 11279 628 590 60311664 652 606Y001山东大学20 12 5 641 583。
法学院
信息学院
商学院
3月份的统考招生在
单考招生简章、西藏单考(简称援藏)招生简章。
2、招生专业详情等见年度硕士招生
、学术硕士不发布具体招生计划数,专业硕士发布具体招生计划数(含推免计划)。
5、推免招生录取9-10月进行,统考、单考招生发布的拟录取名单是最终确认名单,统考招生因此不固定。
7、初试成绩只是门槛,不代表最终结果,复试比例一般为120%—150%,
2、专业转移过来,故未来得及进行2012年度硕士推免招生,个别专业推免生招生在公共管理学院进行。
公共管理学院推免复试录取101人为公共管理学院实际复试录取人数77人。
3、部分院系推免招生人数有所增加,实际上有不少放弃资格的,可与往年数据进行比较
的分析化学和高分子化学与物理、理学院物理学习的原子与分子物理、理学院心理学系的基础心理学和应用心理学。
取消统考招生度理学院各院系进行专业调整和设置,新设若干专业,招生规模扩大。
3、教育学院2011年11月挂牌,公共管理学院的若干教育学类管理学院进行,3月份的统考招生在本学院进行。
2013年度正式独立进行硕士招生。
4、本年度推免人数相对增加。
明确说明。
不同的专业硕士学费各异,学费中有生活补贴一项,实际无意义,2013年起取消。
2、本年度专业硕士招生根据上一年度几个专业外,其余专业实际录取基本上与计划招生比较贴近。
3、本年度文学院的艺术硕士(电影)因为上一年度无人报考录取,本
育学院2011年招生。
4
2013。
2012年院校投档情况统计表批次:2本科一批投档志愿:征集志愿院校文科理科计划数投档比例投出数最高分最低分计划数投档比例投出数最高分最低分A005北京工业大学 3 100 3 624 619A009北方工业大学 5 100 5 619 615A019中国农业大学58 100 58 639 622 A028首都师范大学 4 100 4 656 637 A030北京外国语大学 4 100 4 638 635A068天津外国语大学10 100 10 628 621 5 100 5 646 636 A079华北电力大学(保定) 3 100 3 616 615A107石家庄铁道大学12 100 12 607 586 9 100 9 655 625 A110中北大学8 100 8 617 592A112太原理工大学 2 100 2 614 591A125山西财经大学20 100 20 617 606 9 100 9 637 622 A126内蒙古大学14 100 14 617 600 12 100 12 640 630 A146辽宁科技大学22 100 22 640 618 A157沈阳农业大学47 100 47 628 585 A173东北财经大学 5 100 5 622 617A184延边大学8 100 8 613 602A186长春理工大学15 100 15 608 575 12 100 12 641 613 A188东北电力大学25 100 10 611 573 12 100 12 638 626 A214哈尔滨理工大学39 100 39 643 627 A216燕山大学7 100 7 609 597A217哈尔滨工程大学8 100 8 617 610A224东北农业大学8 100 8 594 583 34 100 34 642 616 A228黑龙江中医药大学 5 100 5 642 617 A254上海海事大学7 100 7 625 620 15 100 15 662 637 A256上海电力学院9 100 9 610 593 17 100 17 645 635 A271上海外国语大学 4 100 4 667 658 A289江苏科技大学 6 100 6 615 598 5 100 5 630 627 A290中国矿业大学9 100 9 652 634 A292常州大学 3 100 3 605 598 9 100 9 633 622 A293南京邮电大学 1 100 1 612 612 4 100 4 658 641 A300南京信息工程大学 3 100 3 610 592A332苏州科技学院 2 100 2 654 628A336杭州电子科技大学 6 100 6 617 593A356中国计量学院11 100 11 615 598 5 100 5 637 628 A359合肥工业大学 4 100 4 618 604A395闽江学院 3 100 3 623 615 2 100 2 650 644 A403南昌大学9 100 9 622 609A407江西理工大学17 100 17 641 621 A422山东大学50 100 50 644 626 50 100 50 679 663 A424山东科技大学145 100 145 618 585A425中国石油大学(华东) 40 100 40 663 648 A426青岛科技大学19 100 19 616 581 427 100 427 659 621 A429青岛理工大学42 100 42 616 593 18 100 18 634 619A434山东农业大学126 100 126 625 580 2365100188646 582A441山东中医药大学82 100 73 616 5732012年院校投档情况统计表批次:2本科一批投档志愿:征集志愿院校文科理科计划数投档比例投出数最高分最低分计划数投档比例投出数最高分最低分A445山东师范大学46 100 46 642 622 A446曲阜师范大学212 100 113 621 573 150 100 108 642 582 A475河南大学16 100 16 621 606 14 100 14 637 625 A488武汉科技大学9 100 9 617 604 13 100 13 646 630 A512湖北大学 1 100 1 611 611 2 100 2 637 629 A520中南财经政法大学 2 100 2 621 620A532湖南大学 1 100 1 625 625A536长沙理工大学12 100 12 617 599A538中南林业科技大学19 100 19 602 587 64 100 64 640 616 A560汕头大学7 100 7 657 638 A564华南农业大学9 100 9 615 594 6 100 6 631 614 A572广州中医药大学 6 100 6 638 617 A574华南师范大学 3 100 3 617 612A589海南大学7 100 7 624 607A614电子科技大学 2 100 2 618 616A618重庆交通大学13 100 13 601 575 9 100 9 640 628 A624中国民用航空飞行学院 2 100 2 591 583A626四川农业大学19 100 19 636 618A633成都中医药大学 2 100 2 602 593A650四川外语学院7 100 7 616 608A657贵州大学 2 100 2 593 593A673云南大学7 100 7 621 610A700西安理工大学12 100 12 647 630A703西安建筑科技大学 3 100 3 586 584 7 100 7 643 630A704西安科技大学 1 100 1 578 578 23 100 23 644 626A743青海大学 2 100 1 575 575 45 100 45 641 616A749宁夏大学 5 100 5 604 586 13 100 13 633 608A755新疆大学 2 100 2 586 577 15 100 15 640 603A759石河子大学17 100 7 609 578 65 100 65 641 595B149中华女子学院 1 100 1 589 589B413中国矿业大学(北京) 1 100 1 624 624B414中国石油大学(北京) 9 100 9 667 660B417北京联合大学 2 100 2 615 613 7 100 7 640 623B664西安邮电大学 1 100 1 581 581C121南方医科大学 3 100 3 614 603 8 100 8 642 637F302西交利物浦大学 2 100 2 614 614F401北京师范大学-香港浸会大3 100 3 611 605 1 100 1 646 646 学联合国际学院H213哈尔滨工业大学(威海) 50 100 50 664 645H359合肥工业大学(宣城校区) 18 100 18 641 635H422山东大学威海分校50 100 50 627 618 100 100 100 674 642Y001山东大学15 100 15 646 620Y065山东大学威海分校16 100 16 617 575 25 100 25 642 621分数相同随机投档。