反常积分练习题
- 格式:ppt
- 大小:401.00 KB
- 文档页数:5
第十一章 反常积分一、单选题(每题2分)1、广义积分dxx x ⎰∞+-1211=( )A 、0B 、2πC 、4πD 、发散2、广义积分dx x x ⎰∞+-+2221=( ) A 、 B 、0 C 、4ln 31 D 、发散3、广义积分⎰+-20234x x dx =( )A 、3ln 1-B 、32ln 21 C 、 D 、发散 4、下列广义积分收敛的是( )A 、⎰∞+edx x xln B 、⎰∞+e x x dx ln C 、⎰∞+e x x dx 2)(ln D 、⎰∞+ex x dx21)(ln5、下列广义积分发散的是( )A 、⎰∞-0dxe xB 、⎰π2cos x dx C 、⎰-202x dx D 、⎰∞+-0dx e x6、下列积分中( )是收敛的A 、⎰∞+∞-xdx sin B 、⎰-222sin ππx dx C 、⎰∞+0dx e x D 、⎰-101x dx 7、下列广义积分发散的是( )A 、⎰-11sin x dx B 、⎰--1121x dx C 、⎰∞+-02dx xe x D 、⎰∞+22)(ln x x dx 8、⎰=-10121dx e x x( )A 、e 1B 、11-eC 、e 1-D 、∞9、已知2sin 0π=⎰∞+dx x x ,则=⎰∞+dx x x x 0cos sin ( )A 、0B 、4πC 、 2πD 、10、广义积分=+⎰∞+∞-dx x 211( )A 、0B 、2πC 、2π-D 、11、下列积分中绝对收敛的是( )A 、dx x x ⎰∞+12sin B 、dx x x ⎰∞+1sin C 、dx x ⎰∞+12sin D 、dx x x ⎰∞+14sin12、已知广义积分dxx ⎰∞+∞-sin ,则下列答案中正确的是( )A 、因为在()+∞∞-,上是奇函数,所以0sin =⎰∞+∞-dx xB 、dxx ⎰∞+∞-sin =()()()[]0cos cos cos =∞--∞+-=∞-∞+-xC 、dx x ⎰∞+∞-sin =()0cos cos lim sin lim =+-=⎰-+∞→+∞→b b xdx bbb bD 、dxx ⎰∞+∞-sin 发散13、设广义积分dxe kb ⎰∞+-0收敛,则k ( )A 、B 、C 、D 、答案:BCDCB DAABD ADB二、判断题(每题2分)1、当10<<λ时,无穷积分dx x x⎰∞+1cos λ条件收敛; ( )2、当10<<λ时,无穷积分dx x x⎰∞+1sin λ绝对收敛; ( )3、若无穷积分()⎰∞+adxx f 收敛,而函数在[)+∞,a 单调有界, 则无穷积分()()⎰∞+adxx x f ϕ收敛; ( )4、若()⎰∞+adxx f 收敛,则()0lim =+∞→x f x ; ( )5、若在[)+∞,a 无界,则()⎰∞+adxx f 发散; ( ) 6、若()x f x +∞→lim 不存在,则()⎰∞+adxx f 发散; ( )7、若单调,()⎰∞+adxx f 收敛,则()0lim =+∞→x f x ; ( )8、若()⎰∞+a dxx f 收敛,则()⎰∞+adxx f 2收敛; ( )9、若()⎰∞+adxx f 2,()⎰∞+adxx g 2收敛,则()()⎰∞+adxx g x f 收敛; ( )10、如果()⎰∞+adxx f 收敛,在[)+∞,a 上有界,则()()⎰∞+adxx g x f 收敛;( )11、若()⎰∞+adxx f 收敛,()0lim =+∞→x f x ,则()⎰∞+adxx f 2收敛; ( )12、如果()⎰∞+adxx f 绝对收敛,()1lim =+∞→x g x ,则()()⎰∞+adxx g x f 收敛;( )答案:××× ××× ×三、填空题(每题2分)1、若无穷积分()⎰∞+a dx x f 收敛,则()=⎰∞++∞→dx x f pp lim;2、若无穷积分()⎰∞+adxx f 收敛,则时,无穷积分()⎰∞+bdxx f ;3、设(]b a x ,∈∀,函数()0≥x f ,a 是其瑕点,且极限())0()(lim +∞≤≤=-+→d d x f a x ax λ,若+∞≤<≥d 0,1λ,则瑕积分()⎰ba dx x f ;4、设[)+∞∈∀,a x ,函数()0≥x f ,,且极限())0(lim +∞≤≤=+→d d x f x ax λ,若+∞<≤>d 0,1λ,则无穷积分()⎰∞+a dx x f ;5、若()⎰∞+adxx f 收敛,则无穷积分()⎰∞+adxx f ;6、当时,无穷积分dx x x⎰∞+1cos λ ;7、当时,瑕积分⎰10px dx ;8、若()⎰∞+adxx f 收敛,且存在极限()Ax f x =+∞→lim ,则 ;9、=+⎰∞+12)1(x x dx ;=⎰∞+e x x dx 2ln ;10、设⎰∞-∞→=⎪⎭⎫ ⎝⎛+at axx dtte x x 1lim ,则常数 ;11、如果广义积分dxx p ⎰∞++11收敛,则 ;12、如果广义积分dxx p ⎰-11发散,则 ;答案:1、0 2、收敛 3、发散 4、收敛 5、绝对收敛 6、绝对收敛7、发散 8、0 9、2ln 21;1 10、2 11、 12、四、计算题(每题5分) 1、⎰∞+++0284x x dx解:⎰∞+++0284x x dx =)022arctan 21(lim 4)2(lim 02u x x dx u u u +=+++∞→+∞→⎰=8)42(21)422(arctan 21limππππ=-=-++∞→u u 2、dxx x 1sin 122⎰∞+π解:设x t 1=,则dt t dx 21-=,有dx x x 1sin 122⎰∞+π=120cos sin 02==-⎰ππt tdt 3、⎰∞+-+222x x dx解:⎰∞+-+222x x dx =221ln 31lim )2111(31lim 2u x x dx x x u u u ⎪⎭⎫ ⎝⎛+-=+--+∞→+∞→⎰ =2ln 32)2ln 221ln lim (31=-+-+∞←u u u4、⎰1ln xdx解:⎰1ln xdx =()1)ln 1(lim 1ln lim ln lim 0100-=+--=-=+++→→→⎰εεεεεεεεx x x xdx5、⎰--1121x dx解:⎰--1121x dx=⎰⎰-→+-→-+-++εεεε10200121lim 1lim x dxx dx =)01arcsin 10(arcsin lim 0εεε-++-+→x x))1arcsin()1arcsin((lim 0εεε-++--=+→=πππ=+226、()⎰--112x x dx 解:因为()C x C t t dtt x x x dx+--=+-=+-=---⎰⎰1arctan 2arctan 2121122所以()⎰--1012x x dx=01)1arctan 2(lim 1)2(lim 010εεεε---=--++→-→⎰x xx dx=2)4arctan lim (20ππεε=--+→7、⎰∞+++04211dx x x解:由Cxxxxxxddxxxxdxxx+-=+--=++=++⎰⎰⎰21arctan212)1()1(111112222342得⎰∞+++04211dxxx=221arctan21lim11lim242πεεεε=-=++⎰++→+∞→→+∞→uxxdxxx uuu8、())0(ln>⎰∞+axxdxa p解:时,+∞===+∞→∞++∞→⎰⎰auxxxdxxdxuuaa ulnlnlimlnlnlimln时,()()auxpxxdxxdxpuua pua p-+∞→+∞→∞+-==⎰⎰1)(ln11limlnlnlimln=⎪⎩⎪⎨⎧<∞>--11)(ln111ppapp故当时,()⎰∞+a pxxdxln=()pap--1ln11时,()⎰∞+a pxxdxln发散;9、⎰20)ln(sinπdxx解:⎰20)ln(sinπdxx=⎰+→2sinlnlimπεxdx⎰+→=422sinlnlim2πεεtdttx=⎰+++→42)coslnsinln2(lnlim2πεεdttt=⎰⎰++⋅44cosln2sinln242ln2πππtdttdt=⎰⎰+=++4422ln2cosln2sinln22ln2ππππIxdxxdx由此求得2ln2π-=I10、⎰∞+-∈=)(NndxexI xnn解:当时,⎰∞+-==1dxeI x当时,dxxenuxedxxeI u nxunxuu nxun⎰⎰--+∞→-+∞→-+∞→+-==1 0lim)(limlim=⎰---+∞→=un n x u nI dx x e n 011lim则 !12)1(0n I n n I n =⋅⋅-= 五、证明题(每题5分) 1、证明01ln 02=+⎰∞+dx x x证:令t x 1=,则 ⎰⎰⎰∞-∞+∞++-=⎪⎭⎫ ⎝⎛⋅+=+00222021ln 1111ln1ln dt t t dt tt t dx x x =⎰∞++-021ln dxx x则有 01ln 02=+⎰∞+dx x x2、证明dx x x⎰∞++01cos 收敛,且11cos 0≤+⎰∞+dx x x证:dx x x ⎰∞++01cos =dx x x x x ⎰∞+++∞++02)1(sin 01sin =dxx x⎰∞++02)1(sin又()22111sin x x x+≤+)(,而dxx ⎰∞++02)1(1收敛,所以dx x x ⎰∞++02)1(sin 收敛dxx x ⎰∞++01cos 收敛而≤+=+⎰⎰∞+∞+02)1(sin 1cos dx x xdx xx1011)1(102=∞++-=+⎰∞+x dx x3、证明:若在()+∞∞-,上连续,且()⎰∞+∞-dx x f 收敛,则对任何()+∞∞-∈,x ,有()()⎰∞-=x x f dt t f dx d , ()()⎰∞+-=x x f dt t f dx d ,证:由条件()10J dx x f =⎰∞-,()⎰∞+=02J dx x f 都存在;再由连续可得()()()⎰⎰∞-=⎪⎭⎫ ⎝⎛+=x x a x f dt t f J dx d dt t f dx d ,1()()()⎰⎰∞+-=⎪⎭⎫ ⎝⎛+=x ax x f J dt t f dx d dt t f dx d ,24、 设()⎰∞+adxx f 收敛,证明:(1)若极限()x f x +∞→lim 存在,则()0lim =+∞→x f x(2)若在[)∞+a 上为单调函数,则()0lim =+∞→x f x 证:(1)设()A x f x =+∞→lim 。
第五章 习题二换元法与分部积分法,反常积分一.选择题1.设2]2,0[)(C x f ∈,0)0(=f ,4)2(=f ,2)2(='f ,则=''⎰dx x f x )2(10( A ) (A)0; (B)1; (C)2; (D)4. 2.设)(x f 连续,则=+⎰ba dy y x f dxd )(( B ) (A)⎰+'ba dy y x f )(;(B))()(a x fb x f +-+;(C))(a x f +;(D))(b x f +. 3.下列反常积分中收敛的是( D ) (A)dx x⎰∞+11; (B)dx x ⎰1031; (C)dx x ⎰101; (D)dx x ⎰∞+121. 4.下列反常积分中收敛的是( C )(A)⎰∞+e dx x x ln ; (B)⎰∞+e dx xx ln 1; (C)⎰∞+e dx x x 2)(ln 1; (D)⎰∞+e dx x x 21)(ln 1. 5.对于反常积分⎰∞+1ln xx dxp,下列结论正确的是( D ) (A)当1>p 时收敛; (B)p 取任意实数都收敛; (C)当1<p 时收敛; (D)p 取任意实数都发散. 6.下列反常积分中发散的是( A ) (A)⎰-11x dx;(B)⎰--111xdx ;(C)⎰∞+-02dx e x ;(D)⎰∞+22ln 1dx x x . 7.设()f x 连续,则下列选项中必有偶函数的是( D )(A )20()xf t dt ⎰(B )20()xf t dt ⎰(C )0[()()]xt f t f t dt --⎰(D )0[()()]xt f t f t dt +-⎰ 8.设()F x 是连续函数()f x 的一个原函数,则必有( A )(A )()F x 是偶函数()f x ⇔是奇函数 (B )()F x 是奇函数()f x ⇔是偶函数(C )()F x 是周期函数()f x ⇔是周期函数 (D )()F x 是单调函数()f x ⇔是单调函数 二.填空题1.3252465_________________sin 01x xdx x x x-=+++⎰。
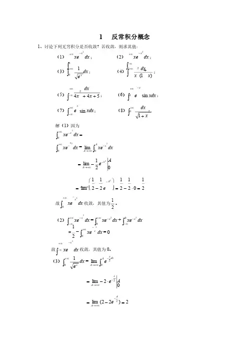
1 反常积分概念1、讨论下列无穷积分是否收敛?若收敛,则求其值:、讨论下列无穷积分是否收敛?若收敛,则求其值:(1)dx xex 220-¥+ò; (2)dx xex2-¥+¥-ò;(3)dx e xò+¥1; (4)òò+¥+12)1(x x dx ; (5)ò+¥¥-++5442x x dx; (6)xdx e x sin 0-+¥ò;(7)xdx e xsin ò+¥¥-; (8)ò+¥+021xdx解(1)因为)因为ò+¥-=02dx xe xòò+¥-+¥®-=022limAxA x dx xedx xe021lim 2Ae x A -+¥®-=21021212121lim 22=×-=÷øöçèæ-=-+¥®A A e 故dx xex 2-¥+ò收敛,其值为21。
(2)òòò¥+¥----¥+¥-+=00222dx xe dx xe dx xe x x x=ò+¥-=-00212dx xe x故dx xe x 22-¥+¥-ò收敛,其值为0。
(3)òò¥+-+¥®=02lim1Adx xA xedx e2lim 2A ex A -+¥®×-= 2)22(lim 2=-=-+¥®A A e故dx exò+¥1收敛,其值为2。
测试一一、名词解释1.自由水2.束缚水3.水势4.压力势5.渗透势6.衬质势7.渗透作用8.水通道蛋白9.根压10.吐水现象11.伤流现象12.蒸腾作用13.蒸腾拉力14.蒸腾速率15.蒸腾效率16.蒸腾系数17.吸胀作用18.水分临界期二、填空题1. 植物散失水分的方式有种,即和。
2. 植物细胞吸水的三种方式是、和。
3. 植物根系吸水的两种方式是和。
前者的动力是,后者的动力是。
4. 设甲乙两个相邻细胞,甲细胞的渗透势为- 16 × 10 5 Pa ,压力势为9 × 10 5 Pa ,乙细胞的渗透势为- 13 × 10 5 Pa ,压力势为9 × 10 5 Pa ,水应从细胞流向细胞,因为甲细胞的水势是,乙细胞的水势是。
5. 某种植物每制造10 克干物质需消耗水分5000 克,其蒸腾系数为,蒸腾效率为。
6. 把成熟的植物生活细胞放在高水势溶液中细胞表现,放在低水势溶液中细胞表现,放在等水势溶液中细胞表现。
7. 写出下列吸水过程中水势的组分吸胀吸水,Ψ w = ;渗透吸水,Ψ w = ;干燥种子吸水,Ψ w = ;分生组织细胞吸水,Ψ w =;一个典型细胞水势组分,Ψ w = ;成长植株吸水,Ψ w = 。
8. 当细胞处于初始质壁分离时,Ψ P = ,Ψ w = ;当细胞充分吸水完全膨胀时,Ψ p = ,Ψ w =;在初始质壁分离与细胞充分吸水膨胀之间,随着细胞吸水,Ψ S ,Ψ P ,Ψ w 。
9. 蒸腾作用的途径有、和。
10. 细胞内水分存在状态有和。
11. 常用的蒸腾作用指标有、和。
12. 影响蒸腾作用的环境因子主要有、、和。
13. 水分在植物体内的运输,一部分是通过的长距离运输,另一部分是通过活细胞的短距离径向运输,包括水分由根毛到根部导管,主要经过和,由叶脉到气孔腔要经过。
14. 将Ψ P = 0 的细胞放入等渗透溶液中,其体积。
三、选择题()1. 有一充分饱和细胞,将其放入比细胞浓度低10 倍的溶液中,则细胞体积A.不变B.变小C.变大D.不一定()2. 将一个生活细胞放入与其渗透势相等的糖溶液中,则会发生A.细胞吸水B.细胞失水C.细胞既不吸水也不失水D.既可能失水也可能保持动态平衡()3. 已形成液泡的成熟细胞,其衬质势通常忽略不计,原因是A.衬质势不存在B.衬质势等于压力势C.衬质势绝对值很大D.衬质势绝对值很小()4. 在萌发条件下、苍耳的不休眠种子开始 4 小时的吸水是属于A.吸胀吸水B.代谢性吸水C.渗透性吸水D.上述三种吸水都存在()5. 水分在根及叶的活细胞间传导的方向决定于A.细胞液的浓度B.相邻活细胞的渗透势大小C.相邻活细胞的水势梯度D.活细胞压力势的高低()7. 一般说来,越冬作物细胞中自由水与束缚水的比值A.大于1B.小于1C.等于1D.等于零()9. 植物的水分临界期是指A.植物需水量多的时期B.植物对水分利用率最高的时期C.植物对水分缺乏最敏感的时期D.植物对水分的需求由低到高的转折时期()10. 用小液流法测定植物组织水势时,观察到小液滴下降观象,这说明A.植物组织水势等于外界溶液水势。
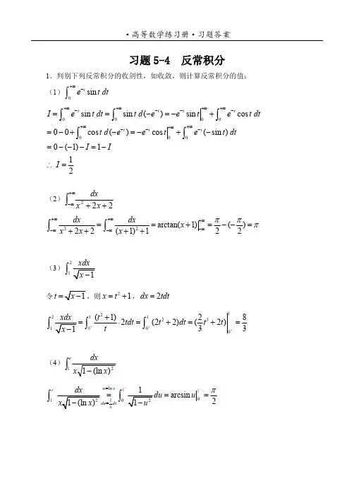
第十一章 反常积分习题课一 概念叙述 1.叙述()dx x f a⎰+∞收敛的定义.答:()dx x f a⎰+∞收敛⇔()()lim+∞→+∞=⎰⎰uaau f x dx f x dx 存在.⇔()lim0+∞→+∞=⎰uu f x dx .⇔()()0,0,,εε+∞∀>∃>∀>-<⎰⎰uaaM u M f x dx f x dx 有⇔()0,0,,εε+∞∀>∃>∀><⎰uM u M f x dx 有2.叙述()baf x dx ⎰(a 是暇点)收敛的定义.答:()baf x dx ⎰收敛⇔()()lim +→=⎰⎰bbuau af x dx f x dx 存在.⇔0,0,εδ∀>∃>当δ<<+a u a ,有()()ε-<⎰⎰bbuaf x dx f x dx .3. 叙述()dx x f a⎰+∞收敛的柯西准则.答:无穷积分()dx x f a⎰+∞收敛的柯西准则是:任给0ε>,存在0M >,只要12,u u M >,便有()()()2121u u u aau f x dx f x dx f x dx ε-=<⎰⎰⎰.4. 叙述()b af x dx ⎰(a 是暇点)收敛的柯西准则.答:瑕积分()dx x f ba ⎰(瑕点为a )收敛的充要条件是:任给0ε>,存在0δ>,只要()12,,u u a a ∈+δ,总有()()()2121b bu u u u f x dx f x dx f x dx -=<ε⎰⎰⎰.二 疑难问题1.试问⎰+∞adx x f )(收敛与0)(lim =+∞→x f x 有无联系?答:首先,0)(lim =+∞→x f x 肯定不是⎰+∞adx x f )(收敛的充分条件,例如01lim=+∞→xx ,但⎰+∞11dx x发散.那么0)(lim =+∞→x f x 是否是⎰+∞a dx x f )(收敛的必要条件呢?也不是!例如⎰+∞12sin dx x ,⎰+∞12cos dx x ,⎰+∞14sin dx x x 都收敛,因为前两个无穷积分经换元2t x =得到⎰+∞12sin dx x 1+∞=⎰,21cos x dx +∞=⎰=dt tt ⎰+∞12cos ,则⎰+∞12sin dx x ,⎰+∞12cos dxx 是条件收敛,对于第三个无穷积分,经换元2t x =而得⎰+∞14sin dx x x =⎰+∞12sin 21dt t ,它也是条件收敛的. 从这三个无穷积分的收敛性可以看到,当x →+∞时被积函数即使不趋于零,甚至是无界的,无穷积分仍有可能收敛.注:若lim ()0x f x A →+∞=≠,则⎰+∞ax x f d )(发散.注:1)若⎰+∞ax x f d )(收敛,且lim ()x f x A →+∞=存在, 则定有0)(lim =+∞→x f x ;2)若⎰+∞ax x f d )(收敛,且f 在[)+∞,a 上为单调,则0)(lim =+∞→x f x ;3)若⎰+∞a x x f d )(收敛,且f 在[)+∞,a 上一致连续,则0)(lim =+∞→x f x ;4)若⎰+∞ax x f d )(收敛,且()d af x x +∞'⎰收敛,则0)(lim =+∞→x f x .证:1)设A x f x =+∞→)(lim .若0≠A (不妨设0A >),则由极限保号性,M a ∃>,当x M ≥时满足()0.2Af x ≥> 于是有()()()uMuaaMf x dx f x dx f x dx =+⎰⎰⎰()()2MaAf x dx u M ≥+-⎰, 于是⎰+∞=+∞→uau dx x f .)(lim而这与⎰+∞ax x f d )(收敛相矛盾,故0A =.2)不妨f 在[)+∞,a 上单调增,若f 在[)+∞,a 上无上界,则0A ∀>,M a ∃>,当x M ≥时,使A x f ≥)(.类似于1)的证明,推知⎰+∞+∞=a dx x f )(,矛盾.所以f 在[)+∞,a 上单调增而有上界,于是由单调有界定理知A x f x =+∞→)(lim 存在.依据已证得的命题1),0)(li m =+∞→x f x .3)由f 在[)+∞,a 上一致连续,则0,0εδ∀>∃>,(设)δε≤[),,x x a '''∀∈+∞x x δ'''-<只要时,就有()()2f x f x ε'''-<.又因⎰+∞adx x f )(收敛,故对上述,M a δ∃>,当12,x x M >时,有212()2x x f x dx δ<⎰.现对任何x M >,取12,x x M >,且使1221,.x x x x x δ<<-=此时由⎰⎰⎰+-=212121)()()()(x x x x x x dt t f dt t f dt x f x f δ⎰⎰+-≤2121)()()(x x x x dt t f dt t f x f2,22εδδεδ<⋅+≤便得(),.f x x M ε<>这就证得.0)(lim =+∞→x f x4)因为()d af x x +∞'⎰收敛,则()()()lim ()d lim uau u f x x f u f a →+∞→+∞'=-⎰存在,于是()lim u f u →+∞存在,由1)得证.2.()af x dx +∞⎰收敛,与|()|af x dx +∞⎰收敛,2()af x dx +∞⎰收敛的关系?答:1)因为绝对收敛⇒收敛,反之不对,条件收敛的例子都是反例,则|()|af x dx +∞⎰收敛()af x dx +∞⎰收敛.2)()af x dx +∞⎰2()af x dx +∞⎰收敛,例1+∞⎰条件收敛,但 21111sin 1cos 21cos 2222xx x dx dx dx dx x x x x+∞+∞+∞+∞-==-⎰⎰⎰⎰,112dx x +∞⎰发散,1cos 22x dx x+∞⎰发散,则21sin x dx x +∞⎰发散. 例 211dx x +∞⎰收敛,但11dx x+∞⎰发散.3)()af x dx +∞⎰收敛2()af x dx +∞收敛,例 ()2441,10,1n n x n n f x n x n n ⎧≤<+⎪⎪=⎨⎪+≤<+⎪⎩,对ε∀,总存在1M >,使当n M >时,都有41221n n nn dx nε+=<⎰. 故但对于()2f x ,例302sin x dx x+∞⎰绝对收敛,即302sin x dx x+∞⎰收敛,因为133301222sin sin sin x x x dx dx dx xxx+∞+∞=+⎰⎰⎰312sin x dx x+∞⎰绝对收敛,即312sin x dx x+∞⎰收敛,而1302sin x dx x⎰,0是暇点,取12p =,则33022sin lim lim 1ppx x x x x x xx++→→==,因为112p =<收敛. 因为213333010sin 1cos 21cos 21cos 2222xx x x dx dx dx dx x x x x +∞+∞+∞---==+⎰⎰⎰⎰,311cos 22xdx x +∞-⎰收敛.1301cos 22x dx x -⎰,0是暇点,取1p = ,则23300141cos 22lim lim 122p p x x xx x x x x++→→-==, 因为1p =,则发散.例 211dx x +∞⎰收敛,但11dx x+∞⎰发散.3.()baf x dx ⎰(a 为瑕点)收敛,与|()|baf x dx ⎰收敛 ,2()baf x dx ⎰收敛的关系?答:1)|()|baf x dx ⎰收敛()baf x dx ⎰收敛.因为绝对收敛⇒收敛,反之不对,条件收敛的例子都是反例. 2)()baf x dx ⎰收敛2()baf x dx ⇒⎰收敛,()baf x dx ⎰收敛2()baf x dx ⇒⎰收敛.反例1⎰收敛,但101dx x ⎰发散.3)若2()b af x dx ⎰(a 为瑕点)收敛,则|()|baf x dx ⎰(a 为瑕点)收敛.证 因()()212f x f x +≤,则由比较原则,可得|()|b a f x dx ⎰收敛,从而()b a f x dx ⎰收敛.3.下列说法对吗?1)因为sin xx在0没有定义,则10sin x dx x ⎰是瑕积分;2)因为ln 1xx-在1x =没有定义,则1x =是10ln 1x dx x -⎰的暇点.答:若被积函数f 在点a 的近旁是无界的,这时点a 称为f 的瑕点. 1)错误,因为0sin lim 1x x x +→=,则sin xx在0的近旁有界,因此不是瑕点,10sin x dx x ⎰是定积分.若()x f 在(]b a ,上连续,()A x f ax =+→lim (常数),则()⎰badx x f 可看成正常积分,事实上,定义()()(]⎩⎨⎧∈==.,,,,b a x x f a x A x F 知()x F 在[]b a ,上连续,即()⎰b adx x F 存在,而()()()⎰⎰⎰-→-→++==ba ba badx x F dx x f dx x f εεεε0lim lim ,由于()x F 在[]b a ,上连续,知变下限函数()()⎰-=ba dx x F G εε在[]ab -,0上连续,有()()()⎰==+→badx x F G G 0lim 0εε,即()().⎰⎰=babadx x F dx x f 故()⎰badx x f 可看成正常积分。
第十二章反常积分习题12.1 反常积分的概念和计算⒈物理学中称电场力将单位正电荷从电场中某点移至无穷远处所做的功为电场在该点处的电位。
一个带电量+q 的点电荷产生的电场对距离r 处的单位正电荷的电场力为F kqr =2(k 为常数),求距电场中心x 处的电位。
解⎰+∞==xx kqdr rq kU 2。
⒉证明:若⎰+∞a dx x f )(和⎰+∞a dx x g )(收敛,k k 12和为常数,则[]⎰+∞+a dx x g k x f k )()(21也收敛,且⎰⎰⎰+∞+∞+∞+=+aaadx x g k dx x f k dx x g k x f k )()()]()([2121。
证 设⎰+∞a dx x f )(⎰+∞→=Aa A dx x f )(lim ,⎰+∞a dx x g )(⎰+∞→=Aa A dx x g )(lim ,则 []⎰+∞+a dx x g k x f k )()(21[]⎰+=+∞→AaA dx x g k x f k )()(lim 21 ⎰+∞→=AaA dx x f k )(lim1⎰+∞→+AaA dx x g k )(lim2⎰⎰+∞+∞+=a a dx x g k dx x f k )()(21。
⒊计算下列无穷区间的反常积分(发散也是一种计算结果):⑴ e sin -+∞⎰205x xdx ;⑵ e cos -+∞⎰302x xdx ;⑶ 112x x dx ++-∞+∞⎰;⑷122220()()x a x b dx +++∞⎰)0,0(>>b a ;⑸ ⎰∞+∈0)(e 2R a dx x ax ;⑹ )(ln 12R ∈⎰∞+p dx xx p;∞ xq 图⑺ 11232()/x dx +-∞+∞⎰;⑻ 120(e e )x x dx +-+∞⎰; ⑼ 1140x dx ++∞⎰; ⑽ ln xx dx 12++∞⎰。
解(1)e sin -+∞⎰205x xdx ⎰∞+--=025cos e 51x d x ⎰∞+--=025cos e 5251xdx x⎰∞+--=025sin e 25251x d x ⎰∞+--=025sin e 25451xdx x , 所以e sin -+∞⎰205x xdx 295=。
反常积分例题这里的题目来自裴礼文《数学分析中的典型问题与方法》。
广义积分就是我刚才讲的知识内容,华东师范大学第四版数学分析第十一章。
本文主要考虑广义积分的计算问题。
粗略而言,反常积分是正常积分和极限工具的结合,所以定积分的计算方法:牛顿-莱布尼茨公式,换元积分,分部积分这些方法都是适用的。
4.5.1 反常积分的计算1. 计算反常积分 I=\int_{-\infty}^{+\infty}|t-x|^{1/2}\frac{y}{(t-x)^2+y^2}dt.解本题中 t-x 的形式有堆砌之嫌,个人以为不妨直接命题I=2\int_0^{+\infty}\frac{\sqrt uy}{u^2+y^2}dt.关键的步骤,令 \sqrt{u/y}=v ,则 I=4\sqrt y\int_0^{+\infty}\frac{v^2}{1+v^4}dv=4\sqrt y J ,下面计算 J=\int_0^1\frac{1}{1+v^4}dv +\int_1^{+\infty}\frac{1}{1+v^4}dv=J_1+J_2 .令 w=1/v ,得J_1=\int_1^{+\infty}\frac{w^2}{1+w^4}dw ,从而J=\int_1^{+\infty}\frac{1+w^2}{1+w^4}dw=\int_1^{+\inft y}\frac{1}{(v-1/v)^2+2}d(v-1/v)=\frac{\pi}{2\sqrt2} ,代入得到 I=\sqrt{2y}\pi .2. 证明I=\int_0^{+\infty}f(ax+\frac{b}{x})dx=\frac{1}{a}\int_ 0^{+\infty}f(\sqrt{t^2+4ab})dt, a, b>0 .证明由 ax+b/x=\sqrt{t^2+4ab} ,我们令 t=ax-b/x ,则x=\frac{1}{2a}(t+\sqrt{t^2+4ab}),dx=\frac{1}{2a}(1+\frac{t}{\sqrt{t^2+4ab}})dt, 代入可得结论。