实验二 一般信道容量迭代算法
- 格式:doc
- 大小:55.00 KB
- 文档页数:3
信道容量迭代计算实验报告王升10271051信科1002信道容量迭代计算实验报告一、实验目的:了解信道容量的定义和计算方法,能编写出正确的程序进行迭代计算得出信道容量。
二、实验要求:1)输入:输入信源个数、信宿个数和信道容量的精度,程序能任意生成随机的信道转移概率矩阵。
2)输出:输出最佳信源分布和信道容量。
三、实验环境:Matlab四、实验原理:五、源程序代码:clear;r=input('输入信源个数:');s=input('输入信宿个数:');deta=input('输入信道容量的精度:');Q=rand(r,s); %创建m*n随机分布矩阵A=sum(Q,2);B=repmat(A,1,s);disp('信源转移概率矩阵:'),p=Q./B %信源转移概率矩阵i=1:1:r;q(i)=1/r;disp('原始信源分布:'),qc=-10e-8;C=repmat(q',1,s);for k=1:1:100000m=p.*C; %后验概率的分子部分a=sum(m); %后验概率的分母部分su1=repmat(a,r,1);t=m./su1; %后验概率矩阵D=exp(sum(p.*log(t),2)); %信源分布的分子部分su2=sum(D); %信源分布的分母部分q=D/su2; %信源分布C=repmat(q,1,s);c(k+1)=log(sum(exp(sum(p.*log(t),2))))/log(2);kk=abs(c(k+1)-c(k))/c(k+1);if(kk<=0.000001)break;endenddisp('最大信道容量时的信源分布:q='),disp(q') disp('最大信道容量:c='),disp(c(k+1))六、实验结果:。
实验二信道容量迭代算法一、实验目的:了解信道容量的计算方法二、实验内容与原理:内容:1.令pe1=pe2=0.1和pe1=pe2=0.01,分别计算该对称信道的信道容量和最佳分布;2.令pe1=0.15,pe2=0.1和pe1=0.075pe2=0.01,分别计算该信道的信道容量和最佳分布;信道容量是信息传输率的极限,当信息传输率小于信道容量时,通过信道编码,能够实现几乎无失真的数据传输;当数据分布满足最佳分布时,实现信源与信道的匹配,使得信息传输率能够达到信道容量。
本实验利用信道容量的迭代算法,使用计算机完成信道容量的计算。
三、程序代码#include<stdio.h>#include<math.h>int main(){double Pe1,Pe2,Pa1_=0,Pa2_=0; double b1a1,b2a1,b1a2,b2a2;double Pa1=0,Pa2=0;double I=0,max=0;//平均互信息量,最大平均互信息量int count=0;printf("输入信道容量参数Pe1:");scanf("%lf",&Pe1);printf("输入信道容量参数Pe2:");scanf("%lf",&Pe2);printf("信道容量参数:Pe1=%lf Pe2=%f\n",Pe1,Pe2);b1a1=1-Pe1;b2a1=Pe1;b1a2=Pe2;b2a2=1-Pe2;for(Pa1=0.01;Pa1<=1;Pa1=Pa1+0.01){ Pa2=1-Pa1;count=count+1;I=Pa1*b1a1*( log( b1a1/(Pa1*b1a1+Pa2*b1a2) )/log(2) )+Pa1*b2a1*( log(b2a1/(Pa1*b2a1+Pa2*b2a2) )/log(2) )+Pa2*b1a2*( log(b1a2/(Pa1*b1a1+Pa2*b1a2) )/log(2) )+Pa2*b2a2*( log(b2a2/(Pa1*b2a1+Pa2*b2a2) )/log(2) );printf("%10lf",I);if (I>max){max=I;Pa1_=Pa1,Pa2_=Pa2;}elsecontinue;}printf("\n");printf(" 一共计算机了:%d\n",count);printf(" 最大互信息量为:%lf\n",max);printf(" 最大互信息量的P(a1)=%lf;P(a2)=%lf\n",Pa1_,Pa2_); }四、运行结果。
信道容量的计算方法信道容量的计算方法:1、对于离散无记忆信道,香农公式是计算信道容量的重要方法。
香农公式为C = W log₂(1 + S/N),其中C表示信道容量,W表示信道带宽,S表示信号功率,N表示噪声功率。
2、在计算信道容量时,先确定信道带宽W的值。
例如,在一个无线通信系统中,经过测量或者根据通信标准规定,信道带宽可能是20MHz。
3、接着确定信号功率S。
信号功率可以通过功率测量仪器得到,比如在一个发射机输出端测量到的功率为10W。
4、然后确定噪声功率N。
噪声功率的确定需要考虑多种因素,如热噪声、干扰噪声等。
热噪声功率可以根据公式N₀= kT₀B计算,其中k是玻尔兹曼常数,T₀是绝对温度,B是等效噪声带宽。
在常温下,假设T₀= 290K,若等效噪声带宽与信道带宽相同为20MHz,可算出热噪声功率,再加上其他干扰噪声功率得到总的噪声功率N。
5、将确定好的W、S、N的值代入香农公式计算信道容量C。
6、对于离散有记忆信道,计算信道容量会更复杂。
需要考虑信道的记忆特性,通常采用马尔可夫链来描述信道状态的转移概率。
7、构建马尔可夫链的状态转移矩阵,矩阵中的元素表示从一个状态转移到另一个状态的概率。
8、通过求解马尔可夫链的稳态分布,结合输入符号的概率分布,利用信息论中的互信息公式来计算信道容量。
9、在多输入多输出(MIMO) 系统中,信道容量的计算又有不同。
需要考虑多个发射天线和多个接收天线之间的信道矩阵H。
10、利用矩阵H的特征值等信息,根据MIMO信道容量公式C = log₂det(I + ρHH*)计算信道容量,其中ρ是信噪比,I是单位矩阵,H*是H的共轭转置矩阵。
信道容量的计算方法研究
信道容量是指在某个给定的带宽和信噪比条件下,传输信息的最大速率。
信道容量通常用单位时间内传输的比特数(比特每秒)来表示。
计算信道容量的公式为:
C = B × log2(1 + S/N)
其中,C表示信道容量,B表示信道带宽,S表示信号功率,N 表示噪声功率。
此公式在120年前由德国数学家Hartley提出,称为哈特利公式。
它用于描述在理想信道条件下的信息传输限制。
该公式表示,在频带B内、噪声功率为N的情况下,传输速率C理论上最高为
C=B*log2(1+S/N)。
这个公式是通过链路的信道特性分析来得出的,实际链路中应用时需要估计 S/N 的值。
重点是最大值的计算,信道容量很大程度上反映了信道的质量,在无线通信系统中,信道容量的提高是很重要的一个方面,因为它能够提高系统的使用效率和可靠性,从而增加系统的吞吐量和容量。
此外,还可以通过其他信源不同于离散和连续的信源,或者利用其他编码方法和调制技术等等方法,提高信道容量。
实验一 信道容量的迭代算法一、 实验目的1、掌握信道容量的概念。
2、了解迭代法计算信道容量的流程。
3、熟悉Matlab 程序的设计和调试方法。
二、 实验要求1、学习Matlab 软件编程和调试方法;2、输入:任意一个信道转移概率矩阵。
包括信源符号个数、信宿符号个数、信道转移概率,在程序运行时从键盘输入;3、输出:输入的信道矩阵、信道容量C 。
三、 算法描述1. 初始化信源分布),,,,,(21)0(r i p p p p p ⋅⋅⋅⋅⋅⋅= (一般初始化为均匀分布),置迭代计数器0=k ,设信道容量相对误差门限为,0,>δδ可设-∞=)0(C ; 2. r i p pp p i k i ij k i ij k ji ,,2,1)()()(⋅⋅⋅==∑ϕ;s j ,,1⋅⋅⋅= 3. r i p p p i j k ji ij j k ji ij k i ,,1ln exp ln exp )()()1(⋅⋅⋅=⎪⎭⎪⎬⎫⎪⎩⎪⎨⎧⎥⎦⎤⎢⎣⎡⎥⎦⎤⎢⎣⎡=∑∑∑+ϕϕ 4. ⎪⎭⎪⎬⎫⎪⎩⎪⎨⎧⎥⎦⎤⎢⎣⎡=∑∑+i j k ji ij k p C )()1(ln exp ln ϕ 5. 如果,)1()()1(δ≤-++k k k C C C 转向76. 置迭代序号k k →+1,转向27. 输出)1(+k i p 和)1(+k C 的结果8. 停止四、 实验报告内容1、画出信道容量迭代算法流程图;2、给出实验结果的截图(输入信道矩阵和信道容量计算结果);3、对各种情况的实验结果进行分析和检验。
附:实验用Matlab 源程序。
(如果使用了非给定源程序)实验报告提交:电子文档(邮箱:yangxiaoping2004@ )实验过程:结果出来时,请实验老师检查并做记录(1个结果即可)。
实验二 唯一可译码判决准则一、 实验目的1、了解唯一可译码的概念。
2、掌握唯一可译码判决准则。
3、掌握Matlab 程序调试方法。
§4.2信道容量的计算这里,我们介绍一般离散信道的信道容量计算方法,根据信道容量的定义,就是在固定信道的条件下,对所有可能的输入概率分布)(x P 求平均互信息的极大值。
前面已知()Y X I ;是输入概率分布的上凸函数,所以极大值一定存在。
而);(Y X I 是r 个变量)}(),(),({21r x p x p x p 的多元函数。
并且满足1)(1=∑=ri i x p 。
所以可用拉格朗日乘子法来计算这个条件极值。
引入一个函数:∑-=iix p Y X I )();(λφ解方程组0)(])();([)(=∑∂-∂∂∂i ii i x p x p Y X I x p λφ1)(=∑iix p (4.2.1)可以先解出达到极值的概率分布和拉格朗日乘子λ的值,然后在解出信道容量C 。
因为)()(log)()();(11i i i i i ri sj i y p x y Q x y Q x p Y X I ∑∑===而)()()(1i iri ii x yQ x p y p ∑==,所以e e y p y p i i i i i x y Q i x p i x p log log ))(ln ()(log )()()(==∂∂∂∂。
解(4.2.1)式有0log )()()()()()(log )(111=--∑∑∑===λe y p x y Q x y Q x p y p x y Q x y Q ii i i i r i s j i i i i sj i i (对r i ,,2,1 =都成立) 又因为)()()(1j k krk ky p x yQ x p =∑=ri x y Q sj i j,,2,1,1)(1==∑=所以(4.2.1)式方程组可以转化为),,2,1(log )()(log)(1r i e y p x y Q x y Q j i j sj i j =+=∑=λ1)(1=∑=ri ix p假设使得平均互信息);(Y X I 达到极值的输入概率分布},,{21r p p p 这样有e y p x y Q x y Q x p j i j i j r i sj i log )()(log)()(11+=∑∑==λ从而上式左边即为信道容量,得 e C log +=λ 现在令)()(log)();(1j i j sj i j i y p x y Q x y Q Y x I ∑==式中,);(Y x I i 是输出端接收到Y 后获得关于i x X =的信息量,即是信源符号i x X =对输出端Y 平均提供的互信息。
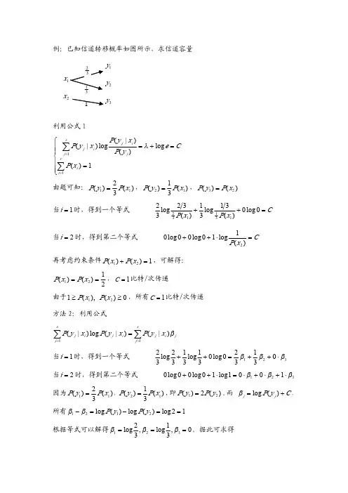
例:已知信道转移概率如图所示,求信道容量利用公式1⎪⎪⎩⎪⎪⎨⎧==+=∑∑==1)(log )()|(log )|(11r i i j i j s j i j x P C e y P x y P x y P λ由题可知:)(32)(11x P y P =,)(31)(12x P y P =,)()(23x P y P =当1=i 时,得到一个等式C x P x P =++0log 0)(31log 31)(32log 32131132当2=i 时,得到第二个等式C x P =⋅++)(1log 10log 00log 02再考虑约束条件1)()(21=+x P x P ,可解得:21)()(21==x P x P ,1=C 比特/次传递由于0)()(121≥≥x P x P ,,所有1=C 比特/次传递方法2:利用公式j sj i j i j s j i j x y P x y P x y P β)|()|(log )|(11∑∑===当1=i 时,得到一个等式321031320log 031log 3132log 32βββ⋅++=++当2=i 时,得到第二个等式3211001log 10log 00log 0βββ⋅+⋅+⋅=⋅++因为)(32)(11x P y P =,)(31)(12x P y P =,即)(2)(21y P y P =。
而C y P j j +=)(log β,所有12log )(log )(log 2121==−=−y P y P ββ根据等式可以解得0,31log ,32log 321===βββ。
据此可求得1)13132log()2log(1=++==∑=s j j C β比特/次传递信道输出符号的概率分布为C j j y P −=β2)(得31222)(31log 132log 11====−C y P β,6122)(131log 22===−−C y P β,2122)(033===−C y P β。
实验二---一般信道容量迭代算法.doc实验二一般信道容量迭代算法1.实验目的掌握一般离散信道的迭代运算方法。
2.实验要求1)理解和掌握信道容量的概念和物理意义2)理解一般离散信道容量的迭代算法3)采用Matlab 编程实现迭代算法4)认真填写试验报告3.算法步骤①初始化信源分布),,,,,(21)0(p p p p P ri =(一般初始化为均匀分布) ,置迭代计数器k=0 ,设信道容量相对误差门限为δ ,δ>0 ,可设-∞=C )0(;②∑=i k i ij k i ij k ji p p p p )()()(? s j r i ,??=??=,1;,,1 ③∑∑∑??=+i k ji j ij k ji j ij k i p p p ??)()()1(ln exp ln exp r i ,,1??= ④??=∑∑+ik ji j ij k p C ?)()1(ln exp ln ⑤如果δ≤-++C C Ck k k )1()()1( ,转向⑦;⑥置迭代序号k k →+1,转向②;⑦输出p k i )1(+和C k )(1+的结果;⑧停止。
4.代码P=input('转移概率矩阵P=')e=input('迭代精度e=')[r,s]=size(P);n=0;C=0;C_k=0;C_k1=0;X=ones(1,r)/r;A=zeros(1,r);B=zeros(r,s);%初始化各变量while(1)n=n+1;for i=1:rfor j=1:sB(i,j)=log(P(i,j)/(X*P(:,j))+eps); if P(i,j)==0B(i,j)=0;elseendendA(1,i)=exp(P(i,:)*B(i,:)');endC_k=log2(X*A');C_k1=log2(max(A));if (abs(C_0-C_1)。
C语言方法实现,源程序如下:#include <stdio.h>#include <math.h>#include<stdlib.h>#define N 4#define M 4 /*转移矩阵行数为N,列数为M,自行调整*/ void Init(double *Pa); /* 输入概率分布初始化函数*/void Input(double *Pa,double *a); /*迭代输入概率分布重新调整函数*/void Output(double *Pa,double P[N][M],double *Pb); /*输出概率分布函数*/void Infor(double *Pb,double P[N][M],double *a); /*计算a(i)的函数*/double capacity1(double *Pa,double *a); /*计算C(n+1,n)*/double capacity2(double *a); /*计算C'(n+1,n)的函数*/void main(){ double c1,c2,s,temp;double Pa[N],a[N],Pb[M];double P[N][M];int i,j,count=0; /*count记录迭代次数*/for(i=0;i<N;i++)for(j=0;j<M;j++){ printf("please input P[%d][%d]:",i+1,j+1);scanf("%lf",&P[i][j]);} /*输入转移概率矩阵P*/for(i=0;i<N;i++){ temp=0.0;for(j=0;j<M;j++)temp+=P[i][j];if(temp!=1) { printf("Error!\n");exit(0);}} /*检查输入的转移概率矩阵是否正确:各行之和为1,则继续进行;否则退出程序*/printf("请输入精度:\n");scanf("%lf",&s);Init(Pa);while(1){ count++;Output(Pa,P,Pb);Infor(Pb,P,a);c1=capacity1(Pa,a);c2=capacity2(a);if(fabs(c1-c2)<s) break;else Input(Pa,a);}printf("迭代次数=%d次\n",count);printf("信道容量C=%fbit/符号\n",(1.0/log(2))*c1);printf("输入概率分布为:\n");for(i=0;i<M;i++){ printf("%10f",Pa[i]);if(i==N-1) printf("\n");}}void Init(double *Pa){ double s=N;int i;for(i=0;i<N;i++)Pa[i]=1.0/s;}void Input(double *Pa,double *a){ int i; double temp=0.0;for(i=0;i<N;i++)temp+=Pa[i]*a[i];for(i=0;i<N;i++)Pa[i]=(Pa[i]*a[i])/temp;}void Output(double *Pa,double P[N][M],double *Pb) { int i,j;double temp=0.0;for(j=0;j<M;j++){ for(i=0;i<N;i++)temp+=Pa[i]*P[i][j];Pb[j]=temp;temp=0.0;}}void Infor(double *Pb,double P[N][M],double *a) { int i,j;double temp=0.0;for(i=0;i<N;i++){ for(j=0;j<M;j++)if(P[i][j]==0)temp+=0;else temp+=P[i][j]*log(P[i][j]/Pb[j]);a[i]=exp(temp);temp=0.0;}}double capacity1(double *Pa,double *a){ int i; double temp=0.0;for(i=0;i<N;i++)temp+=Pa[i]*a[i];temp=log(temp);return temp;}double capacity2(double *a){ int i;double max;max=a[0];for(i=1;i<N;i++)if(max<a[i])max=a[i];max=log(max);return max;}实际运行结果如下:1、如果输入的转移概率矩阵不正确:2、正确输入转移概率矩阵:MATLAB语言方法实现,源程序如下:1、M-程序如下(命名为capacity.m):clear;P=input('请输入信道矩阵P='); %输入信道矩阵[r,s]=size(P);e=input('请输入迭代精度:'); %输入迭代精度for i=1:rPa(i)=1.0/r;end %初始概率为均匀分布count=0; %迭代次数while 1Pb=Pa*P; %计算输出概率分布for i=1:ra(i)=0;for j=1:sif P(i,j)==0a(i)=a(i)+0;elsea(i)=a(i)+P(i,j)*log(P(i,j)/Pb(j));endenda(i)=exp(a(i));end %计算a(i)temp=Pa*a'; %计算ΣPa(i)*a(i)C1=log(temp); %计算C(n+1,n)C2=log(max(a)); %计算C'(n+1,n)count=count+1;if abs(C1-C2)<eC=log2(exp(1))*C1;break;elsePa=(Pa.*a)/temp; %重新调整输入概率分布endenddisp('输入分布:');Padisp('信道矩阵为:');Pdisp('迭代次数');countdisp('信道容量');C2、命令窗口指令如下:>> capacity请输入信道矩阵P=[0.5,0.25,0,0.25;0,1,0,0;0,0,1,0;0.25,0,0.25,0.5]请输入迭代精度:0.00000001输入分布:Pa =0.1333 0.3667 0.3667 0.1333 信道矩阵为:P =0.5000 0.2500 0 0.25000 1.0000 0 00 0 1.0000 00.2500 0 0.2500 0.5000 迭代次数count =16信道容量C =1.3219>>。
一般信道的信道容量求解组员:文枝传李红井任富绳马增敏指导教师:张坤老师一:实验目的使学生学会利用Matlab求解信道容量及最佳概率分布,帮助学生巩固所学知识,同时拓展学生的知识。
二:实验内容已知信道的转移矩阵P_YX为3.03.01.03.01.01.01.07.03.0 2.04.0 1.009.02.065.006 .03.03.02.02.027.04.023.01.0求该信道的信道容量和最佳概率输入分布。
三:实验步骤及编码方法(1) 建立一个名为contmax的文件,输入以下内容:%任意信道的信道容量C及最佳输入分布P_X源程序function [P_X,C,N]=contmax(P_YX,e)% 计算任意信道的信道容量C及最佳输入分布P_X% P_X -------最佳概率输入分布% C----------信道容量N----------迭代次数% P_YX-----DMC信道的转移矩阵e-----------精度if length(find(P_YX<0)~=0)error('Not a probable vector.Negtive component');endif abs(sum(P_YX')-1)>10e-10error('Not a probable vector,Component do not add up to "1" '); end% 变量初始化C1=1;C=0;N=0;r=size(P_YX);P_X=ones(1,r(1))/r(1);% 调整P_YX的零元素值Pyx=(P_YX==0).*eps;P_YX=P_YX+Pyx;% 迭代求解while (abs(C1-C))>eP_Y=P_X*P_YX;I1=sum((P_YX.*log2(P_YX))');I2=log2(P_Y)*(P_YX'); BETA=exp(I1-I2);B=P_X*(BETA');C1=log(B);C=log(max(BETA));P_X=P_X.*BETA/B;N=N+1;(2) 在命令窗口输入信道的转移矩阵P_YX>> P_YX=[0.1 0.23 0.4 0.27;0.2 0.2 0.3 0.3;0.06 0.65 0.2 0.09;0.1 0.4 0.2 0.3;0.7 0.1 0.1 0.1;0.3 0.1 0.3 0.3]P_YX =0.1000 0.2300 0.4000 0.27000.2000 0.2000 0.3000 0.30000.0600 0.6500 0.2000 0.09000.1000 0.4000 0.2000 0.30000.7000 0.1000 0.1000 0.10000.3000 0.1000 0.3000 0.3000四:实验结果[P_X,C,N]=contmax(P_YX,0.01)P_X =0.1495 0.0005 0.4101 0.0021 0.4299 0.0080C =0.4290N =37>> [P_X,C,N]=contmax(P_YX,0.001)P_X =0.1647 0.0000 0.4037 0.0001 0.4304 0.0011C =0.4215N =64五:实验分析由上比较分析得,当精度e=0.01时,P_X为最佳概率输入分布,即P_X =0.1495 0.0005 0.4101 0.0021 0.4299 0.0080此时,信道容量C = 0.4290(bit/符号)。
信道容量的计算公式
信道容量,即为一个通信系统情况下,传输单位时间所能发出信号的承载最大
量大小。
它是由通道的有效利用率、带宽以及传输信噪比(SNR)等因素共同影响
的结果,可用下面的公式来表示:
C=B \cdot log_2(1+S/N)
其中C为信道容量,单位为bps,B为信道带宽,单位为Hz,S/N为信号和噪
声之间的功率比,它表示通过此信道可以得到的信噪比,即任何一个噪声功率均等或小于其功率水平的情况都可以忽略不计。
信道容量是在可接受的噪声环境下,最大化信号的传输率的一项指标。
它的确
定性取决于信道在被激发的情况下具有的带宽和信噪比,因此,原则上讲,若把带宽B和S/N调大,信道容量也会有所增加,而若把带宽B和S/N调小,则信道容量会减少,即信道容量与带宽B、S/N成正比。
信道容量可用来衡量音频、视频等数据流在某特定带宽限制和噪声环境下传输
的能力,从而能够定制合适的通信系统结构。
因此,若想要得到高质量的通信体验,就必须了解其信道容量的大小以及构建可靠、高效的通信系统。
信道容量的一般计算方法
信道容量是指在给定带宽条件下,信道可以传输的最大数据速率。
信道容量的计算是通过信道的带宽和信噪比之间的关系来确定的。
Step 1: 确定信道带宽(B)
信道带宽是指信道能够传输信号的频率范围,通常以赫兹(Hz)为单位。
确定信道带宽是计算信道容量的第一步。
Step 2: 确定信噪比(SNR)
信噪比是指信号和噪声的比例,以分贝(dB)为单位。
信噪比越高,信道传输的可靠性越高。
信噪比的计算需要根据具体信道的特性和环境条件进行。
Step 3: 计算信道的最大传输速率(C)
根据香农定理(Shannon's theorem),信道的最大传输速率(C)可以通过以下公式计算:
C = B * log2(1 + SNR)
其中,B为信道的带宽,SNR为信噪比。
这个公式表明,信道容量与信道带宽和信噪比的对数成正比。
Step 4: 优化信噪比以提高信道容量
为了提高信道容量,可以采取一些措施来优化信噪比,例如增加发射功率、减少噪声源、改善接收设备等。
Step 5: 考虑误码率和纠错编码
实际的信道容量还需要考虑误码率和纠错编码。
误码率是指在信道传
输过程中出现错误比特的概率,而纠错编码是一种冗余编码技术,可以在
接收端纠正部分错误。
综上所述,信道容量的计算方法主要包括确定信道带宽、信噪比和使
用香农定理计算最大传输速率。
通过优化信噪比和考虑误码率和纠错编码,可以进一步提高信道容量。
这些方法可以用于计算各种无线通信系统、光
纤通信系统等的信道容量,并对系统性能进行评估和优化。
信息理论与编码实验指导书《信息理论与编码》实验指导书武汉理工大学教材中心2009年7月实验一绘制二进熵函数曲线一、实验目的1.熟悉 Matlab 工作环境及工具箱;2.掌握 Matlab 绘图函数;3.理解熵函数表达式及其性质。
二、实验内容实验内容与要求内容:用 Matlab 软件绘制二进熵函数曲线。
要求:1. 提前预习实验,认真阅读教材及相应的参考书,熟悉实验原理;2. 遵守实验室规定,实验过程中服从实验室管理人员和实验指导老师的管理;3. 独立完成实验,认真做好实验记录;4. 实验结束后,认真填写实验报告。
知识要点1. 信源熵的概念及其性质。
参照教材及参考书。
2. 二进熵公式:????X??x1?0????x2?1??P(X)???????p????????1?p?,????0?p?1 ????H(X)??? p(xi)logp(xi)???[plogp?(1?p)log(1?p)]??H(p)i注意:虽然理论上定义 0 · log0 = 0 ,但是,在实际运算时,对数函数 logx 的变量 x 不能取 0 值,而应设置一个系统默认的最小值 eps 。
三、实验总结1、绘制二进熵函数曲线,观察曲线形状。
2、结合熵函数的性质,分析二进熵函数曲线的特点。
四、思考与提高1、绘制三元熵函数曲线,观察曲线形状。
2、结合熵函数的性质,分析三元熵函数曲线的特点。
p=0.00001:0.00001:0.99999; h=-p.*log2(p)-(1-p).*log(1-p); plot(p,h); title('二进熵函数曲线'); ylabel('H(p,1-p)');p=linspace(eps,1-eps,100); q=linspace(eps,1-eps,100);[P,Q]=meshgrid(p,q); P_Q=P+Q; for n=1:100 for m=1:100 if P_Q(n,m)>=1Q(n,m)=nan; end end endH=-P.*log2(P)-Q.*log2(Q)-(1-P-Q).*log2(1-P-Q); mesh(P,Q,H);title('三维熵函数图像');实验二一般信道容量迭代算法一、实验目的1、熟悉 Matlab 工作环境及工具箱;2、掌握一般信道容量迭代算法的原理。
实验二 一般信道容量迭代算法
1. 实验目的
掌握一般离散信道的迭代运算方法。
2. 实验要求
1) 理解和掌握信道容量的概念和物理意义
2) 理解一般离散信道容量的迭代算法
3) 采用Matlab 编程实现迭代算法
4) 认真填写试验报告
3.算法步骤
①初始化信源分布),,,,,(21)0(p p p p P r
i ⋯⋯⋯⋯=(一般初始化为均匀分布),置迭代计数器k=0,设信道容量相对误差门限为δ,δ>0,可设-∞=C )0(; ②∑=i k i ij k i ij k ji p p p p )()
()
(ϕ s j r i ,⋯⋯=⋯⋯=,1;,,1 ③∑∑∑⎪⎭
⎪⎬⎫⎪⎩⎪⎨⎧⎥⎦⎤⎢⎣⎡⎥⎦⎤⎢⎣⎡=+i k ji j ij k ji j ij k i p p p ϕϕ)()()1(ln exp ln exp r i ,,1⋯⋯= ④⎪⎭
⎪⎬⎫⎪⎩⎪⎨⎧⎥⎦⎤⎢⎣⎡=∑∑+i
k ji j ij k p C ϕ)()1(ln exp ln ⑤如果δ≤-++C C C
k k k )1()()1(,转向⑦; ⑥置迭代序号k k →+1,转向②; ⑦输出p k i )
1(+和C k )(1+的结果;
⑧停止。
4.代码P=input('转移概率矩阵P=')
e=input('迭代精度e=')
[r,s]=size(P);
n=0;
C=0;
C_k=0;
C_k1=0;
X=ones(1,r)/r;
A=zeros(1,r);
B=zeros(r,s);%初始化各变量
while(1)
n=n+1;
for i=1:r
for j=1:s
B(i,j)=log(P(i,j)/(X*P(:,j))+eps);
if P(i,j)==0
B(i,j)=0;
else
end
end
A(1,i)=exp(P(i,:)*B(i,:)');
end
C_k=log2(X*A');
C_k1=log2(max(A));
if (abs(C_0-C_1)<e) C=C_0; %检验是否满足迭代精度 fprintf('迭代次数n=\n',n)%满足则输出相关的被求量
fprintf('信道容量:C=\n',C)
disp('最佳分布P(x)=');disp(X);
break; else %不满足则继续迭代
X=(X.*A)/(X*A');
continue;
end
end
5.计算下列信道的信道容量
例一:
0.980.02 0.050.95⎡⎤⎢⎥⎣⎦
P =
0.9800 0.0200
0.0500 0.950
e =
1.0000e-005
迭代次数: n=5
信道容量: C=0.785847比特/符号最佳分布P(x)=
0.5129 0.4871
例二:
0.60.4 0.010.99⎡⎤⎢⎥⎣⎦
P =
0.6000 0.4000
0.0100 0.9900
e =
1.0000e-005
迭代次数: n=17
信道容量: C=0.368768比特/符号最佳分布P(x)=
0.4238 0.5762
例三:
0.790.160.05 0.050.150.8⎡⎤⎢⎥⎣⎦
P =
0.7900 0.1600 0.0500
0.0500 0.1500 0.8000
e =1.0000e-005
迭代次数: n=6
信道容量: C=0.571215比特/符号
最佳分布P(x)=
0.5009 0.4991
.思考题:
迭代精度指的是什么?它对计算结果的影响?
迭代精度小数点的位数与迭代次数相同,迭代精度越小,信道容量越大。