乘法公式测试题
- 格式:doc
- 大小:181.00 KB
- 文档页数:2
整式的乘除与因式分解测试题(有答案)乘法公式是整式乘法的特殊情形,是在学习了一般的整式乘法知识的基础上学习的,运用乘法公式能简化一些特定类型的整式相乘的运算问题。
因式分解是解析式的一种恒等变形,因式分解不但在解方程等问题中极其重要,在数学科学其他问题和一般科学研究中也具有广泛应用,是重要的数学基础知识。
因式分解的方法一般包括提公因式法、公式法、分组分解法、十字相乘法、待定系数法等第十五章整式的乘除与因式分解阶段测试(有答案)整式的乘法测试题(总分:100分时间:60分钟)班级姓名学号得分一、填空题(每小题2分,共28分)1.计算(直接写出结果)①abull;a3=.③(b3)4=.④(2ab)3=.⑤3x2ybull; =.2.计算: = .3.计算: = .4.( ) =__________.5. ,求 = .6.若,求 = .7.若x2n=4,则x6n=___.8.若,,则 = .9.-12 =-6abbull;().10.计算:(2× )×(-4× )=.11.计算: = .12.①2a2(3a2-5b)=.②(5x+2y)(3x-2y)=.13.计算: = .14.若15.化简的结果是()A.0B. C. D.16.下列计算中,正确的是()A. B. C. D.17.下列运算正确的是()(A) (B)(C) (D)18.计算: bull; 等于().(A)-2(B)2(C)- (D)19.(-5x)2bull; xy的运算结果是().(A)10 (B)-10 (C)-2x2y(D)2x2y20.下列各式从左到右的变形,正确的是().(A) -x-y=-(x-y)(B)-a+b=-(a+b)(C) (D)21.若的积中不含有的一次项,则的值是()A.0B.5C.-5D.-5或522.若,则的值为()(A)-5(B)5(C)-2(D)223.若,,则等于()(A)-5(B)-3(C)-1(D)124.如果,,,那么()(A) gt; gt; (B) gt; gt; (C) gt; gt; (D) gt; gt;三、解答题:25.计算:(每小题4分,共8分)(1) ;(2) ;26.先化简,再求值:(每小题5分,共10分)(1)x(x-1)+2x(x+1)-(3x-1)(2x-5),其中x=2.(2) ,其中 =27.解方程(3x-2)(2x-3)=(6x+5)(x-1)+15.(5分)28.①已知求的值,(4分)②若值.(4分)29.若,求的值.(6分)30.说明:对于任意的正整数n,代数式n(n+7)-(n+3)(n-2)的值是否总能被6整除.(7分)31.整式的乘法运算(x+4)(x+m),m为何值时,乘积中不含x项?m为何值时,乘积中x项的系数为6?你能提出哪些问题?并求出你提出问题的结论.(8分)参考答案:一.填空题:1.a4,b4,8a3b3,-6x5y3;2.0;3.-12x7y9;4.a18;5.2;6.1;7.64;8.180;9.2ab4c;10.-8×108,11. ;12.6a4-10a2b;15x2-4xy-4y2;13.2x-40;14.4二.选择题:15.C;16.D;17C;18.A;19.A;20.C;21.B;22.C;23.B;24.B;三.解答题:25.(1)x2y+3xy;(2)6a3-35a2+13a;26.(1)-3x2+18x-5,19;(2)m9,-512;27.x=- ;28.① ;②56;29.8;30.6(n+1);31.m=-4;m=2,可以提出多种问题..初二数学下册期末测试题及答案苏州市初二第二学期期末数学试题及答案初二数学第八章分式及分式方程单元复习题。
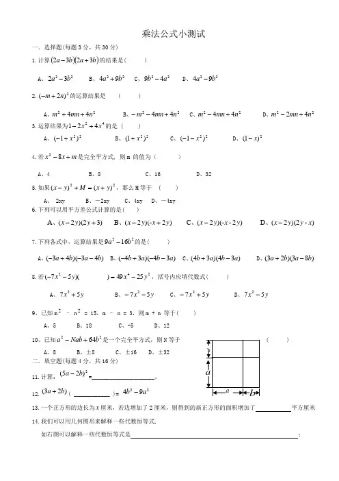
乘法公式小测试一.选择题(每题3分,共30分)1.计算()()b a b a 3232+-的结果是( )A 、2232b a -B 、2294b a +C 、2249a b -D 、2294b a -2.2)2(n m +-的运算结果是 ( )A 、2244n mn m ++B 、2244n mn m +--C 、2244n mn m +-D 、2242n mn m +-3.运算结果为42421x x +-的是 ( )A 、22)1(x +-B 、22)1(x +C 、22)1(x --D 、2)1(x -4.若m x x +-82是完全平方式, 则m 的值为( )A 、4B 、8C 、16D 、325.如果22)()(y x M y x +=+-,那么M 等于 ( )A 、 2xyB 、-2xyC 、4xyD 、-4xy6.下列可以用平方差公式计算的是( )A 、)32)(2(+-y y xB 、)2-)(2(y x y x +-C 、)2--)(2(y x y x -D 、)-2)(2(x y y x -7.下列各式中,运算结果是22169b a -的是( )A 、)43)(43(b a b a --+-B 、)34)(34(a b a b --+-C 、)34)(34(a b a b -+D 、)83)(23(b a b a -+8.若2422549))(________57(y x y x -=--,括号内应填代数式( )A 、y x 572+B 、y x 572--C 、y x 572+-D 、y x 572-9、已知m 2 – n 2 = 15,m – n = 3,则m + n 等于( )A 、5B 、18C 、-5D 、1210、已知2264b Nab a +-是一个完全平方式,则N 等于( ) A 、8 B 、±8 C 、±16 D 、±32二.填空题(每题4分,共16分)11.计算:2)25(b a -=_____________________。
整式的乘法测试1.列各式中计算结果是x2-6x+5的是( )A.(x-2)(x-3)B.(x-6)(x+1)C.(x-1)(x-5)D.(x+6)(x-1)2.下列各式计算正确的是( )A.2x+3x=5B.2x•3x=6C.(2x)3=8D.5x6÷x3=5x23.下列各式计算正确的是( )A.2x(3x-2)=5x2-4xB.(2y+3x)(3x-2y)=9x2-4y2C.(x+2)2=x2+2x+4D.(x+2)(2x-1)=2x2+5x-24.要使多项式(x2+px+2)(x-q)展开后不含x的一次项,则p与q的关系是( )A.p=qB.p+q=0C.pq=1D.pq=25.若(y+3)(y-2)=y2+my+n,则m、n的值分别为( )A.m=5,n=6B.m=1,n=-6C.m=1,n=6D.m=5,n=-66.计算:(x-3)(x+4)=_____.7.若x2+px+6=(x+q)(x-3),则pq=_____.8.先观察下列各式,再解答后面问题:(x+5)(x+6)=x2+11x+30;(x-5)(x-6)=x2-11x+30;(x-5)(x+6)=x2+x-30;(1)乘积式中的一次项系数、常数项与两因式中的常数项有何关系?(2)根据以上各式呈现的规律,用公式表示出来;(3)试用你写的公式,直接写出下列两式的结果;①(a+99)(a-100)=_____;②(y-500)(y-81)=_____.9.(x-y)(x2+xy+y2)=_____;(x-y)(x3+x2y+xy2+y3)=_____根据以上等式进行猜想,当n是偶数时,可得:(x-y)(x n+x n-1y+y n-2y2+…+x2y n-2+xy n-1+y n)=_____.10.三角形一边长2a+2b,这条边上的高为2b-3a,则这个三角形的面积是_____.11.若(x+4)(x-3)=x2+mx-n,则m=_____,n=_____.12.整式的乘法运算(x+4)(x+m),m为何值时,乘积中不含x项?m为何值时,乘积中x项的系数为6?你能提出哪些问题?并求出你提出问题的结论.13.如图,正方形卡片A类,B类和长方形卡片C类若干张,如果要拼一个长为(a+2b),宽为(a+b)的大长方形,则需要C类卡片()张.14.计算:(1)(5mn2-4m2n)(-2mn)(2)(x+7)(x-6)-(x-2)(x+1)15.试说明代数式(2x+1)(1-2x+4x2)-x(3x-1)(3x+1)+(x2+x+1)(x-1)-(x-3)的值与x无关.参考答案1.答案:C解析:【解答】A、(x-2)(x-3)=x2-6x+6,故本选项错误;B、(x-6)(x+1)=x2-5x-6,故本选项错误;C、(x-1)(x-5)=x2-6x+5,故本选项正确;D、(x+6)(x-1)=x2+5x-6,故本选项错误;故选C.【分析】根据多项式乘以多项式的法则,可表示为(a+b)(m+n)=am+an+bm+bn,进行计算即可得出正确答案.2.答案:A解析:【解答】A、2x+3x=5x,故A选项正确;B、2x•3x=6x2,故B选项错误;C、(2x)3=8x3,故C选项错误;D、5x6÷x3=5x3,故D选项错误;故选A.【分析】根据整式乘法和幂的运算法则.3.答案:B解析:【解答】A、2x(3x-2)=6x2-4x,故本选项错误;B、(2y+3x)(3x-2y)=9x2-4y2,故本选项正确;C、(x+2)2=x2+4x+4,故本选项错误;D、(x+2)(2x-1)=2x2+3x-2,故本选项错误.故选B.【分析】根据整式乘法的运算法则、平方差公式、完全平方公式的知识求解,即可求得答案.注意排除法在解选择题中的应用.4.答案:D解析:【解答】(x2+px+2)(x-q)=x3-qx2+px2-pqx+2x-2q=x3+(p-q)x2+(2-pq)x-2q,∵多项式不含一次项,∴pq-2=0,即pq=2.故选D【分析】利用多项式乘以多项式法则计算,合并同类项得到最简结果,由结果中不含x的一次项,令一次项系数为0即可列出p与q的关系.5.答案:B解析:【解答】∵(y+3)(y-2)=y2-2y+3y-6=y2+y-6,∵(y+3)(y-2)=y2+my+n,∴y2+my+n=y2+y-6,∴m=1,n=-6.故选B.【分析】先根据多项式乘以多项式的法则计算(y+3)(y-2),再根据多项式相等的条件即可求出m、n的值.6.答案:x2+x-12解析:【解答】(x-3)(x+4)=x2+4x-3x-12=x2+x-12【分析】根据(a+b)(m+n)=am+an+bm+bn展开,再合并同类项即可.7.答案:10解析:【解答】∵(x+q)(x-3)=x2+(-3+q)x-3q,∴x2+px+6=x2+(-3+q)x-3q,∴p=-3+q,6=-3q,∴p=-5,q=-2,∴pq=10.故答案是10.【分析】等式的右边根据多项式乘以多项式的法则,可表示为(a+b)(m+n)=am+an+bm+bn 进行计算,再根据等式的性质可得关于p、q的方程组,求解即可.8.答案:①a2-a-9900;②y2-581y+40500.解析:【解答】(1)两因式中常数项的和等于乘积中的一次项系数,常数项的积等于乘积中的常数项;(2)(x+a)(x+b)=x2+(a+b)x+ab.(3)①(a+99)(a-100)=a2-a-9900;②(y-500)(y-81)=y2-581y+40500.【分析】(1)根据乘积式中的一次项系数、常数项与两因式中的常数项之间的规律作答;(2)根据(1)中呈现的规律,列出公式;(3)根据(2)中的公式代入计算.9.答案:x3-y3;x4-y4;x n+1-y n+1.解析:【解答】原式=x3+x2y+xy2-x2y-xy2-y3=x3-y3;原式=x4+x3y+x2y2+xy3-x3y-x2y2-xy3-y4=x4-y4;原式=x n+1+x n y+xy n-2+x2y n-1+xy n-x n y-x n-1y2-y n-1y2-…-x2y n-1-xy n-y n+1=x n+1-y n+1,【分析】根据多项式与多项式相乘的法则:多项式与多项式相乘,先用一个多项式的每一项乘另外一个多项式的每一项,再把所得的积相加.10.答案:-3a2+2b2-ab.解析:【解答】∵三角形一边长2a+2b,这条边上的高为2b-3a,∴这个三角形的面积为:(2a+2b)(2b-3a)÷2=(a+b)(2b-3a)=-3a2+2b2-ab.【分析】根据三角形的面积=底×高÷2列出表示面积是式子,再根据多项式乘以多项式的法则计算即可.11.答案:1,12.解析:【解答】∵(x+4)(x-3)=x2-3x+4x-12=x2+x-12=x2+mx-n,∴m=1,-n=-12,即m=1,n=12.【分析】将已知等式左边利用多项式乘以多项式法则计算,根据多项式相等的条件得出m 与n的值,代入所求式子中计算,即可求出值.12.答案:-4,2解析:【解答】∵(x+4)(x+m)=x2+mx+4x+4m若要使乘积中不含x项,则∴4+m=0∴m=-4若要使乘积中x项的系数为6,则∴4+m=6∴m=2提出问题为:m为何值时,乘积中不含常数项?若要使乘积中不含常数项,则∴4m=0∴m=0【分析】把式子展开,若要使乘积中不含x项,则令含x项的系数为零;若要使乘积中x项的系数为6,则令含x项的系数为6;根据展开的式子可以提出多个问题.13.答案:3张.解析:【解答】(a+2b)(a+b)=a2+3ab+2b2.则需要C类卡片3张.【分析】拼成的大长方形的面积是(a+2b)(a+b)=a2+3ab+2b2,即需要一个边长为a的正方形,2个边长为b的正方形和3个C类卡片的面积是3ab.14.答案:(1)10m2n3+8m3n2;(2)2x-40.解析:【解答】(1)原式=-10m2n3+8m3n2;(2)原式=x2-6x+7x-42-x2-x+2x+2=2x-40.【分析】(1)原式利用单项式乘以多项式法则计算,合并即可得到结果;(2)原式两项利用多项式乘以多项式法则计算,去括号合并即可得到结果.15.答案:代数式的值与x无关解析:【解答】原式=2x-4x2+8x3+1-2x+4x2-9x3-x+x3-1+x-3=-3,则代数式的值与x无关.【分析】原式利用多项式乘以多项式法则计算,去括号合并得到最简结果,即可做出判断.。
整式的乘法运算精编版 MQS system office room 【MQS16H-TTMS2A-MQSS8Q8-MQSH16898】整式的乘法1.计算:(1)(-x)·x2·(-x)6; (2)(-13x3y2z3)3;(3)(y4)2+(y2)3·y2; (4)(-ab2c3)2·(-a2b)3;(5)2(a3)2·a3-(3a3)3+(5a)2·a7; (6)x4·x3·x+(x4)2+(-2x2)4;(7)a3·(-b3)2+(-2ab2)3; (8)(-x)2·x3·(-2y)3+(2xy)2·(-x)3·y.2.计算:(1)(5mn2-4m2n)·(-2mn); (2)(3a2b-5ab-1)·(-2ab2);(3)x(x-1)+2x(x+1)-3x(2x-5); (4)(x+7)(x-6)-(x-2)(x+1);(5)3(2x-1)(x+6)-5(x-3)(x+3); (6)5x2-(x-2)(3x+1)-2(x+1)(x -5).3.计算:(1)(-3)2 016×(-13)2 017; (2)(2x+1)(3x-2);(3)2x(x+3)-3(2x-1)(3x+2); (4)-2(3x-1)(3x+1)+3(x+3)(x-3).(5)(2x-7y2)2. (6)(2m-3n)2;(7)(a+3)(a-3)(a2+9).(8)(a+b)2-(a-b)2-4ab; (9)[(x+2)(x-2)]2;4.先化简,再求值:(1)3a(2a2-4a+3)-2a2(3a+4),其中a=-2;(2)2x(x-1)+3(x-2)(x+2),其中x=-3;(3)(x+3)(x-2)+(x-1)(x+3)-2(x2-x+8),其中x=5.5.若2x=3,4y=2,求2x+2y的值。
整式的乘法测试1.列各式中计算结果是x2-6x+5的是( )A.(x-2)(x-3)B.(x-6)(x+1)C.(x-1)(x-5)D.(x+6)(x-1)2.下列各式计算正确的是( )A.2x+3x=5B.2x•3x=6C.(2x)3=8D.5x6÷x3=5x23.下列各式计算正确的是( )A.2x(3x-2)=5x2-4xB.(2y+3x)(3x-2y)=9x2-4y2C.(x+2)2=x2+2x+4D.(x+2)(2x-1)=2x2+5x-24.要使多项式(x2+px+2)(x-q)展开后不含x的一次项,则p与q的关系是( )A.p=qB.p+q=0C.pq=1D.pq=25.若(y+3)(y-2)=y2+my+n,则m、n的值分别为( )A.m=5,n=6B.m=1,n=-6C.m=1,n=6D.m=5,n=-66.计算:(x-3)(x+4)=_____.7.若x2+px+6=(x+q)(x-3),则pq=_____.8.先观察下列各式,再解答后面问题:(x+5)(x+6)=x2+11x+30;(x-5)(x-6)=x2-11x+30;(x-5)(x+6)=x2+x-30;(1)乘积式中的一次项系数、常数项与两因式中的常数项有何关系?(2)根据以上各式呈现的规律,用公式表示出来;(3)试用你写的公式,直接写出下列两式的结果;①(a+99)(a-100)=_____;②(y-500)(y-81)=_____.9.(x-y)(x2+xy+y2)=_____;(x-y)(x3+x2y+xy2+y3)=_____根据以上等式进行猜想,当n是偶数时,可得:(x-y)(x n+x n-1y+y n-2y2+…+x2y n-2+xy n-1+y n)=_____.10.三角形一边长2a+2b,这条边上的高为2b-3a,则这个三角形的面积是_____.11.若(x+4)(x-3)=x2+mx-n,则m=_____,n=_____.12.整式的乘法运算(x+4)(x+m),m为何值时,乘积中不含x项?m为何值时,乘积中x项的系数为6?你能提出哪些问题?并求出你提出问题的结论.13.如图,正方形卡片A类,B类和长方形卡片C类若干张,如果要拼一个长为(a+2b),宽为(a+b)的大长方形,则需要C类卡片()张.14.计算:(1)(5mn2-4m2n)(-2mn)(2)(x+7)(x-6)-(x-2)(x+1)15.试说明代数式(2x+1)(1-2x+4x2)-x(3x-1)(3x+1)+(x2+x+1)(x-1)-(x-3)的值与x无关.参考答案1.答案:C解析:【解答】A、(x-2)(x-3)=x2-6x+6,故本选项错误;B、(x-6)(x+1)=x2-5x-6,故本选项错误;C、(x-1)(x-5)=x2-6x+5,故本选项正确;D、(x+6)(x-1)=x2+5x-6,故本选项错误;故选C.【分析】根据多项式乘以多项式的法则,可表示为(a+b)(m+n)=am+an+bm+bn,进行计算即可得出正确答案.2.答案:A解析:【解答】A、2x+3x=5x,故A选项正确;B、2x•3x=6x2,故B选项错误;C、(2x)3=8x3,故C选项错误;D、5x6÷x3=5x3,故D选项错误;故选A.【分析】根据整式乘法和幂的运算法则.3.答案:B解析:【解答】A、2x(3x-2)=6x2-4x,故本选项错误;B、(2y+3x)(3x-2y)=9x2-4y2,故本选项正确;C、(x+2)2=x2+4x+4,故本选项错误;D、(x+2)(2x-1)=2x2+3x-2,故本选项错误.故选B.【分析】根据整式乘法的运算法则、平方差公式、完全平方公式的知识求解,即可求得答案.注意排除法在解选择题中的应用.4.答案:D解析:【解答】(x2+px+2)(x-q)=x3-qx2+px2-pqx+2x-2q=x3+(p-q)x2+(2-pq)x-2q,∵多项式不含一次项,∴pq-2=0,即pq=2.故选D【分析】利用多项式乘以多项式法则计算,合并同类项得到最简结果,由结果中不含x的一次项,令一次项系数为0即可列出p与q的关系.5.答案:B解析:【解答】∵(y+3)(y-2)=y2-2y+3y-6=y2+y-6,∵(y+3)(y-2)=y2+my+n,∴y2+my+n=y2+y-6,∴m=1,n=-6.故选B.【分析】先根据多项式乘以多项式的法则计算(y+3)(y-2),再根据多项式相等的条件即可求出m、n的值.6.答案:x2+x-12解析:【解答】(x-3)(x+4)=x2+4x-3x-12=x2+x-12【分析】根据(a+b)(m+n)=am+an+bm+bn展开,再合并同类项即可.7.答案:10解析:【解答】∵(x+q)(x-3)=x2+(-3+q)x-3q,∴x2+px+6=x2+(-3+q)x-3q,∴p=-3+q,6=-3q,∴p=-5,q=-2,∴pq=10.故答案是10.【分析】等式的右边根据多项式乘以多项式的法则,可表示为(a+b)(m+n)=am+an+bm+bn 进行计算,再根据等式的性质可得关于p、q的方程组,求解即可.8.答案:①a2-a-9900;②y2-581y+40500.解析:【解答】(1)两因式中常数项的和等于乘积中的一次项系数,常数项的积等于乘积中的常数项;(2)(x+a)(x+b)=x2+(a+b)x+ab.(3)①(a+99)(a-100)=a2-a-9900;②(y-500)(y-81)=y2-581y+40500.【分析】(1)根据乘积式中的一次项系数、常数项与两因式中的常数项之间的规律作答;(2)根据(1)中呈现的规律,列出公式;(3)根据(2)中的公式代入计算.9.答案:x3-y3;x4-y4;x n+1-y n+1.解析:【解答】原式=x3+x2y+xy2-x2y-xy2-y3=x3-y3;原式=x4+x3y+x2y2+xy3-x3y-x2y2-xy3-y4=x4-y4;原式=x n+1+x n y+xy n-2+x2y n-1+xy n-x n y-x n-1y2-y n-1y2-…-x2y n-1-xy n-y n+1=x n+1-y n+1,【分析】根据多项式与多项式相乘的法则:多项式与多项式相乘,先用一个多项式的每一项乘另外一个多项式的每一项,再把所得的积相加.10.答案:-3a2+2b2-ab.解析:【解答】∵三角形一边长2a+2b,这条边上的高为2b-3a,∴这个三角形的面积为:(2a+2b)(2b-3a)÷2=(a+b)(2b-3a)=-3a2+2b2-ab.【分析】根据三角形的面积=底×高÷2列出表示面积是式子,再根据多项式乘以多项式的法则计算即可.11.答案:1,12.解析:【解答】∵(x+4)(x-3)=x2-3x+4x-12=x2+x-12=x2+mx-n,∴m=1,-n=-12,即m=1,n=12.【分析】将已知等式左边利用多项式乘以多项式法则计算,根据多项式相等的条件得出m 与n的值,代入所求式子中计算,即可求出值.12.答案:-4,2解析:【解答】∵(x+4)(x+m)=x2+mx+4x+4m若要使乘积中不含x项,则∴4+m=0∴m=-4若要使乘积中x项的系数为6,则∴4+m=6∴m=2提出问题为:m为何值时,乘积中不含常数项?若要使乘积中不含常数项,则∴4m=0∴m=0【分析】把式子展开,若要使乘积中不含x项,则令含x项的系数为零;若要使乘积中x项的系数为6,则令含x项的系数为6;根据展开的式子可以提出多个问题.13.答案:3张.解析:【解答】(a+2b)(a+b)=a2+3ab+2b2.则需要C类卡片3张.【分析】拼成的大长方形的面积是(a+2b)(a+b)=a2+3ab+2b2,即需要一个边长为a的正方形,2个边长为b的正方形和3个C类卡片的面积是3ab.14.答案:(1)10m2n3+8m3n2;(2)2x-40.解析:【解答】(1)原式=-10m2n3+8m3n2;(2)原式=x2-6x+7x-42-x2-x+2x+2=2x-40.【分析】(1)原式利用单项式乘以多项式法则计算,合并即可得到结果;(2)原式两项利用多项式乘以多项式法则计算,去括号合并即可得到结果.15.答案:代数式的值与x无关解析:【解答】原式=2x-4x2+8x3+1-2x+4x2-9x3-x+x3-1+x-3=-3,则代数式的值与x无关.【分析】原式利用多项式乘以多项式法则计算,去括号合并得到最简结果,即可做出判断.。
专题04 乘法公式【真题测试】一、选择题(本大题共6题,每题3分,满分18分)1.(浦东四署2020期末4)下列各多项式中,能用平方差公式分解因式的是( )A.216x -+;B. 29x +;C. 24x --;D.2x y -2.2.(莘松中学2019期中4)下列整式乘法能够运用完全平方公式计算的是( )A. (a+b)(ab)B. (ab)(ba)C. (a+b)(a+b)D. (ab)(a+b) 3.(2019宝教院附中10月考6)如图(1)所示,在边长为a 的正方形纸板中挖掉一个边长为b 的小正方形(a b >),把余下的部分剪成一个矩形(如图(2)),通过计算两个图形的阴影部分的面积,验证了一个等式,则这个等式是( )A.222()2a b a ab b -=-+;B. 22()()a b a b a b -=+-;C. 22(2)()2a b a b a ab b +-=+-;D.222()2a b a ab b +=++.(2)(1)4.(张江2019期中23)多项式22225122451x xy y x y -++-+的最小值为( ) A. 41 B. 32C. 15D. 12 5.(浦东南片2020期末2)下列等式中,能成立的是( )A. ()222a b a ab b +=++B. ()22224a b a b -=-C. ()22244a a a +=++D. ()()2444a a a +-=- 6.(延安中学2019期中19)已知多项式214x +,把它加上下列单项式后不可以用完全平方公式进行因式分解的是( )A.x;B.x;C.x 4;D.x 4.二、填空题(本大题共9题,每题3分,满分27分)7.(嘉定区2020期末10)计算:1122x x ⎛⎫⎛⎫+-= ⎪⎪⎝⎭⎝⎭_____________. 8.(莘松中学2019期中12)计算:1410-955⎛⎫⨯= ⎪⎝⎭____________.9.(西南模2019期中7)计算:(﹣a +2b ﹣c )2= .10.(2019徐汇中学10月考8)计算:(2)(2)x y z z x y +--+= .11.(卢湾中学2020期末10)如果多项式219x +加上一个单项式后,能成为一个整式的完全平方式,那么加上的单项式可以是________(填上两个你认为正确的答案即可).12.(西延安2019期中14)已知:2246130x y x y +-++=则xy =_________.13.(张江2019期中13)已知5a b +=,3ab =,代数式(1)(1)(1)(1)a b a b ++--的值是__________ 14.(张江2019期中17)已知实数a 、b 满足221a b +=,则2227a b +的最小值是__________ 15.(西延安2019期中26)填空:已知多项式24x x ++________是一个完全平方.(请在横线上填上所以的适当的单项式.)三、解答题(本大题共8题,第16~19题每题6分,第20~21题每题7分,第22题8分,第23题9分,满分55分)16.(川中南2019期中23)利用乘法公式计算:101999999⨯⨯.17.(西延安2019期中204)计算:2625859.9⨯-(简便运算)18.(浦东南片联合2019期中22)计算:(2)(2)a b c a b c --+-.19.(2019宝教院附中10月考24)计算:2(2)(2)(2)a b a b b a ---+.20.(浦东南片联合2019期中27)已知:22()17,()13a b a b +=-=,求22ab a b +和的值.21.(张江2019期中33)已知:22(2019)(2020)5x x -+-=,求(2019)(2020)x x --的值.22.(浦东南片联合2019期中25)先化简,后求值:222111[(1)(1)](2)222a a a ++-⋅-,其中2a =.23.(2019徐汇中学10月考31)如图,已知线段AB=2,点P 是线段AB 上一点,分别以AP 、BP 为边作两个正方形.(1)如果AP=x , 求两个正方形的面积之和S ;S;(2)当点P是AB的中点时,求两个正方形的面积之和1S的大小. (3)当点P不是AB的中点时,比较(1)中的S与(2)中1。
07~08 上学年八年级数学同步调查测试三整式的乘除(13.3乘法公式)一、 选择(3分×8=24分)1、下列各式中,运算结果为2236y x -的是 ( ) A 、()()x y x y --+-66 B 、()()x y y -+-616C 、()()x y x y +-+94D 、()()x y x y ---662、若M x y y x ()3942-=-2,那么代数式M 应是 () A 、-+()32x y B 、 -+y x 23 C 、 32x y + D 、 32x y -3、乘积等于22b a -的式子为 () A 、()()b a b a -- B 、()()b a b a ---C 、()()a b b a ---D 、()()b a b a +-+4、下列各式是完全平方式的是 () A 、x xy y 2224++ B 、 251022m mn n ++C 、 a ab b 22++D 、 x xy y 22214-+5、下列等式中正确的为 () A 、()2222b ab a b a +--=+- B 、()222242b ab a b a +-=-C 、22224121n mn m n m +-=⎪⎭⎫ ⎝⎛- D 、()()22b a c c b a --=-+6、若()2221243by xy x y ax +-=+,则b a ,的值分别为 () A 、2, 9 B 、2, -9 C 、-2 ,9 D 、-4, 97、要使等式()()22b a M b a +=+-成立,则M 是 () A 、ab 2 B 、ab 4 C 、-ab 4 D 、-ab 28、两个个连续奇数的平方差一定是 ( )A 、3的倍数B 、5的倍数C 、8的倍数D 、16的倍数二、 填空(3分×10=30分)9、⎪⎭⎫ ⎝⎛-⎪⎭⎫ ⎝⎛+y x y x 4141= , ()232y x -= 。
乘法,最简单的理解就是几个几(比如3 x 6,就可以理解为3个6加在一起的和是多少。
在此基础上,配以背诵9x9乘法公式,学起乘法来就轻松的多了)乘法的初步认识习题一、判断1、5+5 写成乘法算式是 5×5。
()错,5+5,也就是两个五相加,写成乘法版式应该是5x2.2、3个 4 相加的和写成乘法算式是 3×4(),写成加法算式是 3+4 ()第一个是对,第二个是错,应该写成4+4+43、3 与 4 的和写成加法算式是 3+4,写成乘法算式是 3×4 ()错,3与4相加,没法写成乘法算式二、选择1、4 个 6 相加列式是(A )。
A.4×6 B.6×4 C.4+62、5 与 6 相加列式是(C )。
A.5×6 B.6×5 C.5+6三、填空1、6×3 读作(6 )乘以 (3 ),3x6表示(3 )个(6 )相加。
2、0 和任何数相乘都得(0 )。
如 0×5=(0 )3、6×3 读作(6 )乘以(3 ),表示(6 )个(3 )连加。
4、3×6 读作(3 )乘以( 6),表示(3 )个(6 )连加。
四、把下面的加法算式改写成乘法算式,并计算。
3+3+3+3=4x3=125+5+5=3 x 5=151+1+1+1+1+1=1 x 6=60+0+0+0+0+0+0=0 x 7=7五、乘法改写成加法算式并计算。
(1)2×4 = 4+4 =8(2)3×5 = 5+5+5 =15六、应用1、一辆小车需要 4 个轮子,算一算 3 辆小车需要几个轮子(4 )+(4 )+ (4 )=(12 ) ,也可以写成(4 )×(3 )=(12 )个2、一只小鸟 2 条腿,算一算 5 只小鸟几条腿(5 )×(2 )=(10 )条七、用简便方法计算下面各题。
(1) 4+4+4+4+4+5=4 x 5 +5 =25(2)3+3+3+3-4=3x 4-4 =8八、测试题把一根绳子对折后,再对折,实际上是把这根绳子平均分成了 4 份,每折长 6 米,求原来绳子长多少米6x4=24(米)。
第九章从面积到乘法公式综合测试题(A )(满分150分,时间100分钟)一、选择题(每题3分,满分30分)1.计算8a 3b 3·(-2ab)3的结果是( )(A)0 (B)-16a 6b 6 (C)-64 a 6b 6 (D) -16a 4b 62.下列各式计算正确的是( )(A)a 3+a 3=a 6 (B)(3x)2=6x 2 (C)(x+y) 2= x 2+y 2 (D)(-x-y)(y-x)=x 2-y 23.下列各式可以用平方差公式计算的是( )(A)(-a+4c)(a-4c)(B)(x-2y)(2x+y) (C)(-3a-1)(1-3a) (D)(-0.5x-y)(0.5x+y)4.方程(3x-2)(x-6)=3x(x-4)的解为( )(A)-3 (B)1.5 (C)-1.5 (D)35.多项式x 3y 2 -2x 2y 3+4xy 4z 的公因式是( )(A)xy 2 (B) 4xy (C)xy 2z (D)xyz6.下列各式可以用完全平方公式分解因式的是( )(A)x 2-4x+4 (B)1+4x 2 (C)4y 2+4y-1 (D)x 2+xy+y 27.计算2m 2-m(2m-5n)-n(5m-n)的结果是( )(A)-n 2 (B)n 2 (C)-10mn+n 2 (D)10mn+n 28.如果(x+a)(x+b)的积中不含x 的一次项,那么a 、b 一定是( )(A)ab=1 (B)a+b=0 (C)a=0或b=0 (D)ab=09.如果(ax-b)(x-3)=x 2-9,那么( )(A)a=1,b=3 (B) a=-1,b=-3 (C) a=1,b=-3 (D) a=-1,b=310.若x 2-6xy+N 是一个完全平方式,那么N 是( )(A)9y 2 (B)y 2 (C)3y 2 (D) 6y 2二、填空题(每题3分,满分30分)11.( )·533186b a ab -=.12.多项式3ma 2+12mab 中,应提取的公因式是_______.13.分解因式:3ax-6xy=_________.14.(2x-y)( )=4x 2-y 2.15.x 2-8x+______=(______ )2.16.计算:832+83×34+172=________.17.①a 2-4a+4,②a 2+a+14,③4a 2-a+14,•④4a 2+4a+1,•以上各式中属于完全平方式的有_______(填序号).18.分解因式:a 2b 2-b 2=________.19.如果x+y=-1,x-y=-3,那么x 2-y 2= .20.若x -y=2,则12(x 2+y 2)-xy=_________.三、解答题(满分40分)21.(每小题5分,满分66分)计算:(1)21abc ·(-21ab 2) (2)-x(x 2+xy-1) ;(3) 4(x-y)2-(2x+y)(-y+2x) (4)(3m+4n)(3m-4n)(9m2+16n2)22.(每小题5分,满分20分)分解因式:(1)-4x 2+16x (2) 16x 2-9y 2;(3)-4x 3y+16x 2y 2-16xy 3. (4))3()3(2a a -+-23.(每小题6分,满分12分)先化简,再求值:(1)-21a 2bc ·4ab 2c 3,其中a=-1,b=1,c =-21(2)(a+2b)(a-2b)-(2a-b)(-2a-b),其中a=8,b=-824.(满分6分)某商场有三层,第一层有商品a(a+b)种,第二层有商品b(a+b)种,第三层有商品 (a+b)2种,问这个商场共有多少种商品?25.(满分8分)已知(m+n)2=7,(m-n)2=3,求下列各式的值:(1)mn ; (2)m 2+n 2.四、新题推荐(满分24分)26.(满分10分)小明是个爱动脑筋的孩子,他探究发现:两个连续奇数的积加上1,一定是一个偶数的平方.比如,3×5+1=16=42,11×13+1=144=122,…可小明不知道能不能推广到更一般的情况,于是他打电话给数学老师问了一下,老师提示说,你忘了连续奇数可以用代数式表示吗,表示出来后可以运用完全平方公式进行说明了.小明若有所悟,在老师的提示下,很快从一般意义上给出了这个发现的说明,你能做一做吗?27.(满分14分)根据以下10个乘积式,回答问题:11×29;12×28;13×27;14×26;15×25;16×24;17×23;18×22;19×21;20×20.(1)试将以上乘积式分别写成一个“□2-○2”(两数平方差)的形式,并写出其中一个的思考过程;(2)将以上10个乘积式的运算结果按从大到小的顺序排列;(3)试由(1)、(2)猜测一个一般性的结论(不要求说明理由).。
14.2乘法公式专题一乘法公式1.下列各式中运算错误的是()A.a2+b2=(a+b)2-2ab B.(a-b)2=(a+b)2-4abC.(a+b)(-a+b)=-a2+b2D.(a+b)(-a-b)=-a2-b2 2.代数式(x+1)(x-1)(x2+1)的计算结果正确的是()A.x4-1 B.x4+1 C.(x-1)4D.(x+1)43.计算:(2x+y)(2x-y)+(x+y)2-2(2x2-xy)(其中x=2,y=3).专题二乘法公式的几何背景4.请你观察图形,依据图形面积之间的关系,不需要连其他的线,便可得到一个你非常熟悉的公式,这个公式是()A.(a+b)(a-b)=a2-b2 B.(a+b)2=a2+2ab+b2C.(a-b)2=a2-2ab+b2 D.(a+b)2=a2+ab+b25.如图,你能根据面积关系得到的数学公式是()A.a2-b2=(a+b)(a-b) B.(a+b)2=a2+2ab+b2C.(a-b)2=a2-2ab+b2 D.a(a+b)=a2+ab6.我们在学习完全平方公式(a+b)2=a2+2ab+b2时,了解了一下它的几何背景,即通过图来说明上式成立.在习题中我们又遇到了题目“计算:(a+b+c)2”,你能将知识进行迁移,从几何背景说明(大致画出图形即可)并计算(a+b+c)2吗?状元笔记【知识要点】1.平方差公式(a+b)(a-b)=a2-b2,两个数的和与这两个数的差的积,等于这两个数的平方差.2.完全平方公式(a±b)2=a2±2ab+b2,两个数的和(或差)的平方,等于它们的平方和,加上(或减去)它们的积的2倍.【温馨提示】1.不要将平方差公式和完全平方公式相混淆,注意它们项数和符号的不同.2.完全平方公式中,中间项是左边两个数的和的2倍,注意系数的特点.【方法技巧】1.公式中的字母a、b可以是具体的数,也可以是单项式、多项式.只要符合公式的结构特征,就可以利用公式.2.有些题目往往不能直接应用公式求解,但稍做适当的变形后就可以用乘法公式求解.如:位置变化,符号变化,数字变化,系数变化,项数变化等.参考答案:1.D 解析:A中,由完全平方公式可得(a+b)2-2ab=a2+2ab+b2-2ab=a2+b2,故A正确;B中,由完全平方公式可得(a-b)2=a2-2ab+b2,(a+b)2-4ab=a2+2ab+b2-4ab=a2-2ab+b2,故B正确;C中,由平方差公式可得(a+b)(-a+b)=(a+b)(b-a)=b2-a2=-a2+b2,故C正确;D中,(a+b)(-a-b)=-(a+b)2=-a2-2ab-b2,故D错误.2.A 解析:原式=(x2-1)(x2+1)=(x2)2-1=x4-1.3.解:原式=4x2-y2+x2+2xy+y2-4x2+2xy=x2+4xy,当x=2,y=3时,原式=22+4×2×3=4+24=28.4.B 解析:这个图形的整体面积为(a+b)2;各部分的面积的和为a2+2ab+b2;所以得到公式(a+b)2=a2+2ab+b2.故选B.5.C 解析:从图中可知:阴影部分的面积是(a-b)2和b2,剩余的矩形面积是(a-b)b和(a-b)b,即大阴影部分的面积是(a-b)2,∴(a-b)2=a2-2ab+b2,故选C.6.解:(a+b+c)2的几何背景如图,整体的面积为:(a+b+c)2,用各部分的面积之和表示为:(a+b+c)2=a2+b2+c2+2ab+2ac+2bc,所以(a+b+c)2=a2+b2+c2+2ab+2ac+2bc.人教版七年级上册期末测试卷一、选择题(每题3分,共30分)1.某天的最高气温是8℃,最低气温是-3℃,那么这天的温差是( )A.-3℃B.8℃C.-8℃D.11℃2.下列立体图形中,从上面看能得到正方形的是( )3.下列方程是一元一次方程的是( )A.x-y=6 B.x-2=xC.x2+3x=1 D.1+x=34.今年某市约有108 000名应届初中毕业生参加中考,108 000用科学记数法表示为( ) A.0.108×106B.10.8×104C.1.08×106D.1.08×1055.下列计算正确的是( )A.3x2-x2=3 B.3a2+2a3=5a5C.3+x=3x D.-0.25ab+14ba=06.已知ax=ay,下列各式中一定成立的是( )A.x=y B.ax+1=ay-1C.ax=-ay D.3-ax=3-ay7.某商品每件标价为150元,若按标价打8折后,再降价10元销售,仍获利10%,则该商品每件的进价为( )A.100元B.105元C.110元D.120元8.如果一个角的余角是50°,那么这个角的补角的度数是( )A.130°B.40°C.90°D.140°9.如图,C,D是线段AB上的两点,点E是AC的中点,点F是BD的中点,EF=m,CD=n,则AB的长是( )A .m -nB .m +nC .2m -nD .2m +n10.下列结论: ①若a +b +c =0,且abc ≠0,则a +c 2b =-12; ②若a +b +c =0,且a ≠0,则x =1一定是方程ax +b +c =0的解;③若a +b +c =0,且abc ≠0,则abc >0;④若|a |>|b |,则a -b a +b>0. 其中正确的结论是( )A .①②③B .①②④C .②③④D .①②③④二、填空题(每题3分,共24分)11.-⎪⎪⎪⎪⎪⎪⎪⎪-23的相反数是________,-15的倒数的绝对值是________. 12.若-13xy 3与2x m -2y n +5是同类项,则n m =________. 13.若关于x 的方程2x +a =1与方程3x -1=2x +2的解相同,则a 的值为________.14.一个角的余角为70°28′47″,那么这个角等于____________.15.下列说法:①两点确定一条直线;②两点之间,线段最短;③若∠AOC =12∠AOB ,则射线OC 是∠AOB 的平分线;④连接两点之间的线段叫做这两点间的距离;⑤学校在小明家南偏东25°方向上,则小明家在学校北偏西25°方向上,其中正确的有________个.16.在某月的月历上,用一个正方形圈出2×2个数,若所圈4个数的和为44,则这4个日期中左上角的日期数值为________.17.规定一种新运算:a △b =a ·b -2a -b +1,如3△4=3×4-2×3-4+1=3.请比较大小:(-3)△4________4△(-3)(填“>”“=”或“<”).18.如图是小明用火柴棒搭的1条“金鱼”、2条“金鱼”、3条“金鱼”……则搭n条“金鱼”需要火柴棒__________根.三、解答题(19,20题每题8分,21~23题每题6分,26题12分,其余每题10分,共66分) 19.计算:(1)-4+2×|-3|-(-5);(2)-3×(-4)+(-2)3÷(-2)2-(-1)2 018.20.解方程:(1)4-3(2-x )=5x ;(2)x -22-1=x +13-x +86.21.先化简,再求值:2(x 2y +xy )-3(x 2y -xy )-4x 2y ,其中x =1,y =-1.22.有理数b在数轴上对应点的位置如图所示,试化简|1-3b|+2|2+b|-|3b-2|.23.如图①是一些小正方体所搭立体图形从上面看得到的图形,方格中的数字表示该位置的小正方体的个数.请在如图②所示的方格纸中分别画出这个立体图形从正面看和从左面看得到的图形.24.已知点O是直线AB上的一点,∠COE=90°,OF是∠AOE的平分线.(1)当点C,E,F在直线AB的同侧时(如图①所示),试说明∠BOE=2∠COF.(2)当点C与点E,F在直线AB的两侧时(如图②所示),(1)中的结论是否仍然成立?请给出你的结论,并说明理由.25.为鼓励居民节约用电,某市电力公司规定了电费分段计算的方法:每月用电不超过100度,按每度电0.50元计算;每月用电超过100度,超出部分按每度电0.65元计算.设每月用电x度.(1)当0≤x≤100时,电费为________元;当x>100时,电费为____________元.(用含x的整式表示)(2)某用户为了解日用电量,记录了9月前几天的电表读数.该用户9月的电费约为多少元?(3)该用户采取了节电措施后,10月平均每度电费0.55元,那么该用户10月用电多少度?26.如图,O为数轴的原点,A,B为数轴上的两点,点A表示的数为-30,点B表示的数为100.(1)A,B两点间的距离是________.(2)若点C也是数轴上的点,点C到点B的距离是点C到原点O的距离的3倍,求点C表示的数.(3)若电子蚂蚁P从点B出发,以6个单位长度/s的速度向左运动,同时另一只电子蚂蚁Q恰好从点A出发,以4个单位长度/s的速度向左运动,设两只电子蚂蚁同时运动到了数轴上的点D,那么点D表示的数是多少?(4)若电子蚂蚁P从点B出发,以8个单位长度/s的速度向右运动,同时另一只电子蚂蚁Q恰好从点A出发,以4个单位长度/s的速度向右运动.设数轴上的点N到原点O的距离等于点P到原点O 的距离的一半(点N在原点右侧),有下面两个结论:①ON+AQ的值不变;②ON-AQ的值不变,请判断哪个结论正确,并求出正确结论的值.(第26题)答案一、1.D 2.A 3.D 4.D 5.D 6.D7.A 8.D 9.C 10.B二、11.23;5 12.-8 13.-514.19°31′13″15.3 16.717.> 18.(6n+2)三、19.解:(1)原式=-4+2×3+5=-4+6+5=7;(2)原式=12+(-8)÷4-1=12-2-1=9.20.解:(1)去括号,得4-6+3x=5x.移项、合并同类项,得-2x=2.系数化为1,得x=-1.(2)去分母,得3(x-2)-6=2(x+1)-(x+8).去括号,得3x-6-6=2x+2-x-8.移项、合并同类项,得2x=6.系数化为1,得x=3.21.解:原式=2x2y+2xy-3x2y+3xy-4x2y=(2x2y-3x2y-4x2y)+(2xy+3xy)=-5x2y+5xy. 当x=1,y=-1时,原式=-5x2y+5xy=-5×12×(-1)+5×1×(-1)=5-5=0.22.解:由题图可知-3<b<-2.所以1-3b>0,2+b<0,3b-2<0.所以原式=1-3b-2(2+b)+(3b-2)=1-3b-4-2b+3b-2=-2b-5.23.解:如图所示.24.解:(1)设∠COF=α,则∠EOF=90°-α.因为OF是∠AOE的平分线,所以∠AOE=2∠EOF=2(90°-α)=180°-2α.所以∠BOE=180°-∠AOE=180°-(180°-2α)=2α. 所以∠BOE=2∠COF.(2)∠BOE=2∠COF仍成立.理由:设∠AOC=β,则∠AOE=90°-β,又因为OF是∠AOE的平分线,所以∠AOF =90°-β2.所以∠BOE =180°-∠AOE =180°-(90°-β)=90°+β,∠COF =∠AOF +∠AOC =90°-β2+β=12(90°+β).所以∠BOE =2∠COF .25.解:(1)0.5x ;(0.65x -15)(2)(165-123)÷6×30=210(度),210×0.65-15=121.5(元).答:该用户9月的电费约为121.5元.(3)设10月的用电量为a 度.根据题意,得0.65a -15=0.55a ,解得a =150.答:该用户10月用电150度.26.解:(1)130(2)若点C在原点右边,则点C表示的数为100÷(3+1)=25;若点C在原点左边,则点C表示的数为-[100÷(3-1)]=-50.故点C表示的数为-50或25.(3)设从出发到同时运动到点D经过的时间为t s,则6t-4t=130,解得t=65.65×4=260,260+30=290,所以点D表示的数为-290.(4)ON-AQ的值不变.设运动时间为m s,则PO=100+8m,AQ=4m.由题意知N为PO的中点,得ON=12PO=50+4m,所以ON+AQ=50+4m+4m=50+8m,ON-AQ=50+4m-4m=50.故ON-AQ的值不变,这个值为50.。
2009~2010学年(下)七年级数学《乘法公式》测试卷班级 姓名 座号 成绩一、耐心填一填:(每小题2分,共20分)1.请用含x 、y 的字母表示平方差公式: ;2.请用含m 、n 的字母表示完全平方差公式: ; 3.计算:(23)(23)______________x y x y +-=; 4.计算:2(25)____________________a b +=; 5.4))(________2(2-=+x x 6.22()()____________a b a b +=-+ 7.计算:98×102 = ;8. +x 5( )2= 22530x x ++ ;9.计算:2()()()a b a b a b +-+-= ;10.若4x 2+mx +49是一个完全平方式,则m = ; 二、选择题:(每小题3分,共30分)11.下列多项式乘法中不能用平方差公式计算的是( ) (A ) ))((3333b a b a -+ (B ) ))((2222a b b a -+ (C ) 22(21)(21)x y x y +- (D ) 22(2)(2)x y y x -- 12.下列多项式乘法中可以用平方差公式计算的是 ( ) (A ) ))((b a b a -+- (B ))2)(2(x x ++ (C ) )31)(31(x y y x -+ (D ) )1)(2(+-x x13.下列计算不正确的是( )(A ) 222)(y x xy = (B ) 22211()x x xx-=-(C ) 22))((b a a b b a -=+- (D ) 2222)(y xy x y x ++=--14.下列计算中正确的是( )A.222)(b a b a +=+B. 222)(b a b a -=-C.22224)2(y xy x y x +-=-D.25541)521(22++=+x x x15.下列各式中,运算结果是22169b a -的是( )A 、)43)(43(b a b a --+-B 、)34)(34(a b a b --+-C 、)34)(34(a b a b -+D 、)83)(23(b a b a -+ 16.如果226x x m ++是完全平方式,那么m 的值一定是( ) A. 9 B. ±9 C.3 D. ±3 17、如果22)()(y x M y x +=+-,那么M 等于 ( ) A 、 2xy B 、-2xy C 、4xy D 、-4xy 18、能用完全平方公式公式计算的是( )A.)32)(32(b a b a ---B.)2)(2(b a b a +--C.)2)(2(b a b a --D.)2)(2(b a b a ++-19、一个长方形的面积为x 2-y 2,以它的长边为边长的正方形的面积为( )A. x 2+y 2B. x 2-2xy +y 2C. x 2+2xy +y 2D.以上都不对 20、若3=+y x ,1=xy ,则2)(y x -得值为( ) A. 9 B. 1 C.4 D. 5三、解答题:(共50分,必须写出必要的解答过程) 21.计算:(每小题4分,共24分)(1))3)(3(y x y x ++- (2)()()a b c a b c ---+(3)21(2)2x y - (4)2(34)x y -+(5)2(2)(4)(2)t t t -++ (6)22()()x y x y +--22.利用乘法公式计算: (每小题4分,共8分) (1)10.29.8⨯ (2)210423.计算: 222)1()1)(1)(1(--+-+a a a a ;(4分)第3页(共4页)24.解方程:22(3)(3)(21)3x x x x +-=+- (4分)25、如图1,是一个机器零件,大圆的半径为r+2,小圆的半径为r -2,求阴影部分的面积. (答案用π表示)(5分)图126、 已知:2()10a b +=,2()6a b -= ,求22a b +与a b 的值(5分)。
章节测试题1.【题文】已知:a+b=3,ab=2,求的值.【答案】5.【分析】把a+b=3两边平方,再利用完全平方公式展开,再把ab=2代入进行计算即可得解.【解答】解:∵a+b=3,∴(a+b)2=9,即a2+2ab+b2=9,∵ab=2,∴a2+b2=9-2ab=9-2×2=5.2.【题文】考古学家从幼发拉底河附近的一座寺庙里,发掘出数千块泥板书,他们从泥板书中发现美索不达米亚的祭祀已经知道平方表的用法,并能够利用平方表算出任意两个自然数的乘积.例如:计算乘以,祭祀们会按下面的流程操作:第一步:加上,将和除以得;第二步:减去,将差除以得;第三步:查平方表,得的平方是;第四步:查平方表,得的平方是;第五步:减去,得到答案.于是他们便得出.请你利用所学的代数知识,设两个自然数分别为、,对泥板书计算两个自然数乘积的合理性做出解释.【答案】见解析【分析】按照题中所给的步骤进行推导即可.【解答】解:.3.【题文】计算:.【答案】【分析】先利用平方差公式进行计算,然后再利用完全平方公式进行计算即可.【解答】解:原式.4.【题文】已知:a+b=3,ab=2,求的值.【答案】5.【分析】把a+b=3两边平方,再利用完全平方公式展开,再把ab=2代入进行计算即可得解.【解答】解:∵a+b=3,∴(a+b)2=9,即a2+2ab+b2=9,∵ab=2,∴a2+b2=9-2ab=9-2×2=5.5.【题文】计算:(m-n)(m+n)+(m+n)2-2m2.【答案】2mn【分析】原式第一项利用平方差根式化简,第二项利用完全平方公式展开,计算即可得到结果.【解答】解:(m-n)(m+n)+(m+n)2-2m2=m2-n2+m2+2mn+n2-2m2=2mn.6.【题文】用乘法公式计算:99.82.【答案】9960.04.【分析】把99.8写成(100-0.2),然后利用完全平方公式计算即可得解;【解答】解:99.82=(100﹣0.2)2=1002﹣2×100×0.20+22=9960.04.7.【题文】已知(x+y)2=25,xy=,求x﹣y的值.【答案】±4【分析】首先,根据完全平方公式将(x+y)2打开,并根据xy的值求出x2+y2;然后,根据完全平方公式求出(x-y)2的值,开平方即可求解.【解答】解:∵(x+y)2=25,∴x2+2xy+y2=25,又∵xy=94,∴x2+y2=412,∴(x-y)2=x2-2xy+y2=412-2×94=16,∴x-y=±4.8.【题文】现有边长分别为a,b的正方形Ⅰ号和Ⅱ号,以及长为a,宽为b的长方形Ⅲ号卡片足够多,我们可以选取适量的卡片拼接成几何图形.(卡片间不重叠、无缝隙)尝试解决:(1)图1是由1张Ⅰ号卡片、1张Ⅱ号卡片、2张Ⅲ号卡片拼接成的正方形,那么这个几何图形表示的等式是______;(2)小聪想用几何图形表示等式(a+b)(2a+b)=2a2+3ab+b2,图2给出了他所拼接的几何图形的一部分,请你补全图形;(3)小聪选取1张Ⅰ号卡片、3张Ⅱ号卡片、4张Ⅲ号卡片拼接成一个长方形,那么拼接的几何图形表示的等式是______;拓展研究:(4)如图3,大正方形的边长为m,小正方形的边长为n,若用m、n表示四个直角三角形的两直角边边长(b>a),观察图案,以下关系式中正确的有______.(填写序号)①ab=;②a+b=m;③a2+b2=m2;④a2+b2=.【答案】(1)(a+b)2=a2+2ab+b2;(2)答案见解析;(3)(a+b)(a+3b)=a2+4ab+3b2;(4)①③.【分析】(1)根据图形,有直接求和间接求两种方法,列出等式即可;(2)根据已知等式画出相应的图形,如图所示;(3)根据题意列出关系式,分解因式后即可得到结果.根据完全平方公式判断即可.【解答】解:(1)这个几何图形表示的等式是(2)如图:(3)拼接的几何图形表示的等式是根据图③得:∴∵∴∴①③正确,故答案为:①③9.【题文】已知,,求下列代数式的值:(1);(2).【答案】(1)10;(2)±8.【分析】(1)把两边平方,利用完全平方公式化简,再将代入计算即可求出值;(2)利用完全平方公式及平方根定义求出的值,原式利用平方差公式分解后,将各自的值代入计算即可求出值.【解答】解:(1)把x+y=4两边平方得:将xy=3代入得:(2)∵∴∴x−y=2或x−y=−2,则原式=(x+y)(x−y)=8或−8.10.【题文】利用我们学过的知识,可以导出下面这个形式优美的等式:a2+b2+c2-ab-bc-ac= [(a-b)2+(b-c)2+(c-a)2],该等式从左到右的变形,不仅保持了结构的对称性,还体现了数学的和谐、简洁美.(1)请你检验这个等式的正确性;(2)若a=2 016,b=2 017,c=2 018,你能很快求出a2+b2+c2-ab-bc-ac的值吗?【答案】(1)详见解析;(2)3.【分析】(1)已知等式右边利用完全平方公式化简,整理即可作出验证;(2)把a,b,c的值代入已知等式右边,求出值即为所求式子的值.解:(1)等式右边= (a2-2ab+b2+b2-2bc+c2+a2-2ac+c2)= (2a2+2b2+2c2-2ab-2bc-2ac)=a2+b2+c2-ab-bc-ac=等式左边,所以等式是成立的.(2)原式= [(2 016-2 017)2+(2 017-2 018)2+(2 018-2 016)2]=3.11.【题文】计算:(2x﹣1)2﹣2(x+3)(x﹣3).【答案】2x2﹣4x+19.【分析】用完全平方公式和平方差公式展开后,再合并同类项.【解答】解:(2x﹣1)2﹣2(x+3)(x﹣3)=4x2﹣4x+1﹣2x2+18=2x2﹣4x+19.12.【题文】已知,,求下列代数式的值.(1);(2).【答案】(1)30;(2)8.【分析】(1)原式提取5,利用完全平方公式变形,将x+y与xy的值代入计算即可求出值;(2)原式利用完全平方公式变形,将x+y与xy的值代入计算即可求出值.【解答】解:(1)∵x+y=2,xy=﹣1,∴5x2+5y2=5(x2+y2)=5[(x+y)2﹣2xy]=5×[22﹣2×(﹣1)]=30;(2)∵x+y=2,xy=﹣1,∴(x﹣y)2=(x+y)2﹣4xy=22﹣4×(﹣1)=4+4=8.13.【题文】已知a-b=5,ab=,求a2+b2和(a+b)2的值.【答案】a2+b2=28,(a+b)2=31【分析】用完全平方公式变形解答即可.【解答】解:,∴=25+3=28,=28+3=31.14.【题文】阅读材料:若,求,的值.解:∵,∴,∴,∴,,∴,.根据你的观察,探究下面的问题:(),则__________,__________.()已知,求的值.()已知的三边长、、都是正整数,且满足,求的周长.(提示:三角形任意两边之和大于第三边,任意两边之差小于第三边)【答案】(1)a=3,b=1;(2)16(3)9【分析】(1) (2)(3) 将已知化为完全平方形式,利用非负性求值.【解答】解:()∵,,,∵,,∴,,,.(),,,∵,,∴,,,,∴,∴.(),,,∵,,∴,,,,∵,∴,,∴,∵、、为正整数,∴,∴周长.15.【题文】(1)计算:x(4x﹣1)﹣(2x﹣3)(2x+3)+(x﹣1)2;(2)已知实数a,b满足(a+b)2=1,(a﹣b)2=25,求a2+b2+ab的值.【答案】(1)原式=x2﹣3x+10;(2)a2+b2+ab=13﹣6=7.【分析】(1)x(4x﹣1)按照单项式乘多项式的法则计算,(2x﹣3)(2x+3)根据平方差公式计算,(x﹣1)2根据完全平方公式计算;(2)把(a+b)2=1,(a ﹣b)2=25的左边按照完全平方公式乘开,然后把两个式子相加可得a2+b2=13,把两个式子相减可得ab=﹣6.【解答】解:(1)原式=4x2﹣x﹣(4x2﹣9)+(x2﹣2x+1)=4x2﹣x﹣4x2+9+x2﹣2x+1=x2﹣3x+10;(2)∵(a+b)2=1,∴a2+2ab+b2=1①,∵(a﹣b)2=25,∴a2﹣2ab+b2=25②,由 ①+‚②得:a2+b2=13,由①•﹣②‚得:ab=﹣6,∴a2+b2+ab=13﹣6=7.16.【题文】我们知道对于一个图形,通过不同的方法计算图形的面积可以得到一个数学等式.例如:由图1可得到(a+b)²=a²+2ab+b².图1 图2 图3(1)写出由图2所表示的数学等式:_____________________;写出由图3所表示的数学等式:_____________________;(2)利用上述结论,解决下面问题:已知a+b+c=11,bc+ac+ab=38,求a²+b²+c²的值.【答案】(a+b+c)2=a2+b2+c2+2ab+2ac+2bc (a-b-c)2=a2+b2+c2-2ab-2ac+2bc 45【分析】(1)根据数据表示出矩形的长与宽,再根据矩形的面积公式写出等式的左边,再表示出每一小部分的矩形的面积,然后根据面积相等即可写出等式.(2)根据利用(1)中所得到的结论,将a+b+c=11,bc+ac+ab=38,作为整式代入即可求出.【解答】解:(1)根据题意,大矩形的面积为:小矩形的面积为:(2)由(1)得17.【题文】已知,求:(1)的值;(2)的值;(3)的值.【答案】(1)-30;(2);(3)【分析】(1)提公因式,然后将a+b=5和ab=-6整体代入求值;(2)将原式利用配方法转化为两根的和与两根的积来解答;(3)将原式利用配方法转化为两根的和与两根的积来解答.【解答】解:(1)∵,∴;(2);(3),故.18.【题文】利用图形中面积的等量关系可以得到某些数学公式.例如,根据图甲,我们可以得到两数和的平方公式:(a+b)2=a2+2ab+b2.你根据图乙能得到的数学公式是怎样的?写出得到公式的过程.【答案】(a﹣b)2=a2﹣2ab+b2.【分析】根据图形,左上角正方形的面积等于大正方形的面积减去两个矩形的面积,然后加上多减去的右下角的小正方形的面积.【解答】解:∵大正方形的面积= a2还可以表示为19.【题文】已知a2+b2=1,a-b=,求a2b2与(a+b)4的值.【答案】【分析】把目标代数式化成包含已知代数式的形式. 【解答】解:因为a2+b2=1,a-b=,所以(a-b)2=a2+b2-2ab.所以ab=- [(a-b)2-(a2+b2)]=.所以a2b2=(ab)2=.因为(a+b)2=(a-b)2+4ab.=,所以(a+b)4=[(a+b)2]2=.20.【题文】请认真观察图形,解答下列问题:(1)根据图中条件,用两种方法表示两个阴影图形的面积的和(只需表示,不必化简);并由此得到怎样的等量关系?请用等式表示;(2)如果图中的a,b(a>b)满足a2+b2=53,ab=14,求:①a+b的值;②a-b 的值.【答案】(1)a2+b2=(a+b)2-2ab;(2)①9;②5.【分析】(1)两个阴影部分的面积可以用阴影部分面积相加和用总面积减去非阴影部分面积来表示。
2022-2023学年人教版八年级数学上册《14.2乘法公式》自主达标测试题(附答案)一.选择题(共11小题,满分33分)1.已知a=5+4b,则代数式a2﹣8ab+16b2的值是()A.16B.20C.25D.302.下列不能用平方差公式运算的是()A.(x+1)(x﹣1)B.(﹣x+1)(﹣x﹣1)C.(x+1)(﹣x+1)D.(x+1)(1+x)3.下列运算正确的是()A.x4•x3=x12B.(﹣xy3)3=﹣x3y9C.3x2+2x2=5x4D.(x﹣y)2=x2﹣y24.有两个正方形A,B.现将B放在A的内部得图甲,将A,B并列放置后,构造新的正方形得图乙.若图甲和图乙中阴影部分的面积分别为1和12,若三个正方形A和两个正方形B,如图丙摆放,则阴影部分的面积为()A.28B.29C.30D.315.关于﹣a﹣b进行的变形或运算:①﹣a﹣b=﹣(a+b);②(﹣a﹣b)2=(a+b)2;③|﹣a﹣b|=a﹣b;④(﹣a﹣b)3=﹣(a﹣b)3.其中不正确的是()A.①②B.③④C.①③D.②④6.若1052﹣210×5+52=k+992﹣1,则k的值是()A.100B.105C.200D.2057.若x2﹣6x+k是完全平方式,则k的值是()A.±9B.9C.±12D.128.若a+b=6,a2﹣b2=30,则a﹣b=()A.5B.6C.10D.159.(3+2)×(32+22)×(34+24)×(38+28)计算结果等于()A.1B.316﹣216C.332+232D.332﹣23210.如图是将正方形ABCD和正方形CEFG拼在一起的图形,点B,C,E在同一条直线上,连结BD,BF.若阴影部分△BDF的面积为8,则正方形ABCD的边长为()A.2B.3C.4D.611.小石将(2020x+2021)2展开后得到多项式a1x2+b1x+c1,小明将(2021x﹣2020)2展开后得到多项式a2x2+b2x+c2,若两人计算过程无误,则a1﹣a2的值为()A.﹣1B.﹣4041C.4041D.1二.填空题(共5小题,满分20分)12.已知(x﹣2020)2+(x﹣2022)2=18,则(x﹣2021)2的值是.13.若二次三项式9x2+ax+4是一个完全平方式,则常数a=.14.若关于x的多项式x2﹣(k﹣2021)x+9是完全平方式,则k的值为.15.若a+b=2,则2a2+4ab+2b2=.16.已知:x2﹣y2=4042且y﹣x=2021,则x+y=.三.解答题(共7小题,满分67分)17.我们将(a+b)2=a2+2ab+b2进行变形,如:a2+b2=(a+b)2﹣2ab,ab=等.根据以上变形解决下列问题:(1)已知a2+b2=8,(a+b)2=48,则ab=.(2)已知,若x满足(25﹣x)(x﹣10)=﹣15,求(25﹣x)2+(x﹣10)2的值.(3)如图,四边形ABED是梯形,DA⊥AB,EB⊥AB,AD=AC,BE=BC,连接CD,CE,若AC•BC=10,则图中阴影部分的面积为.18.计算:(1)(x+2)(4x﹣2).(2)(a+2b)(a2﹣4b2)(a﹣2b).19..20.计算(1)﹣2a•ab2•(2ab3c)2;(2)(﹣4a﹣3b)2.21.(1)已知a+b=6,a2+b2=26,求a﹣b的值;(2)已知多项式x2+nx+3与x2﹣3x+m的乘积中不含有x2和x3项,求m+n的值.22.在学习完全平方公式:后,我们对公式的运用进一步探讨.(1)若ab=30,a+b=10,则a2+b2的值为.(2)“若y满足(40﹣y)(y﹣20)=50,求(40﹣y)2+(y﹣20)2的值”.阅读以下解法,并解决相应问题.解:设40﹣y=a,y﹣20=b则a+b=(40﹣y)+(y﹣20)=20ab=(40﹣y)(y﹣20)=50这样就可以利用(1)的方法进行求值了.若x满足(40﹣x)(x﹣20)=﹣10,求(40﹣x)²+(x﹣20)²的值.(3)若x满足(30+x)(20+x)=10,求(30+x)²+(20+x)²的值.23.如图1所示,边长为a的正方形中有一个边长为b的小正方形,图2是由图1中阴影部分拼成的一个长方形,设图1中阴影部分面积为S1,图2中阴影部分面积为S2.(1)请直接用含a和b的代数式表示S1=,S2=;写出利用图形的面积关系所得到的公式:(用式子表达).(2)应用公式计算:.(3)应用公式计算:(2+1)(22+1)(24+1)(28+1)(216+1)(232+1)+1.参考答案一.选择题(共11小题,满分33分)1.解:∵a=5+4b,∴a﹣4b=5,∴a2﹣8ab+16b2=(a﹣4b)2=52=25.故选:C.2.解:A、(x+1)(x﹣1)能用平方差公式计算,故此选项不符合题意;B、(﹣x+1)(﹣x﹣1)能用平方差公式计算,故此选项不符合题意;C、(x+1)(﹣x+1)能用平方差公式计算,故此选项不符合题意;D、(x+1)(1+x)不能用平方差公式计算,故此选项符合题意;故选:D.3.解:A:原式=x7,∴不符合题意;B:原式=﹣x3y9,∴符合题意;C:原式=5x2,∴不符合题意;D:原式=x2﹣2xy+y2,∴不符合题意;故选:B.4.解:设正方形A,B的边长各为a、b(a>b),得图甲中阴影部分的面积为(a﹣b)2=a²﹣2ab+b²=1,解得a﹣b=1或a﹣b=﹣1(舍去),图乙中阴影部分的面积为(a+b)2﹣(a2+b2)=2ab=12,可得(a+b)²=a²+2ab+b²=a²﹣2ab+b²+4ab=(a﹣b)²+4ab=1+2×12=25,解得a+b=5或a+b=﹣5(舍去),∴图丙中阴影部分的面积为(2a+b)²﹣(3a²+2b²)=a²+4ab﹣b²=(a+b)(a﹣b)+2×2ab=5×1+2×12=5+24=29,故选:B.5.解:①﹣a﹣b=﹣(a+b),正确;②(﹣a﹣b)2=(a+b)2,正确;③|﹣a﹣b|=a+b,故原说法错误;④(﹣a﹣b)3=﹣(a+b)3,故原说法错误.其中不正确的有③④,故选:B.6.解:∵1052﹣210×5+52=(105﹣5)2=1002,k+992﹣1=k+(99+1)×(99﹣1)=k+100×98,∴k+100×98=1002,∴k=200.故选:C.7.解:∵x2﹣6x+k是完全平方式,∴k=32=9.故选:B.8.解:∵a+b=6,a2﹣b2=30,∴(a+b)(a﹣b)=30,∴a﹣b=30÷6=5,故选:A.9.解:(3+2)×(32+22)×(34+24)×(38+28)=(3﹣2)(3+2)×(32+22)×(34+24)×(38+28)=(32﹣22)×(32+22)×(34+24)×(38+28)=(34﹣24)×(34+24)×(38+28)=(38﹣28)×(38+28)=316﹣216.故选:B.10.解:如图,连接CF,∵四边形ABCD和四边形CGFE都是正方形,∴∠BDC=45°,∠GCF=45°,∴∠BDC=∠GCF,∴BD∥CF,∴S△BDF=S△BCD=8,∴S△BDF=BC×BC÷2=8.BC=4,故选:C.11.解:∵(2020x+2021)2展开后得到a1x2+b1x+c1;∴a1=20202,∵(2021x﹣2020)2展开后得到a2x2+b2x+c2,∴a2=20212,∴a1﹣a2=20202﹣20212=(2020+2021)(2020﹣2021)=﹣4041,故选:B.二.填空题(共5小题,满分20分)12.解:由题意可得,[(x﹣2021)+1]2+[(x﹣2021)﹣1]2=18,(x﹣2021)2+2(x﹣2021)+1+(x﹣2021)2﹣2(x﹣2021)+1=18,2(x﹣2021)2+2=18,(x﹣2021)2=8.故答案为:8.13.解:∵关于x的二次三项式9x2+ax+4是一个完全平方式,∴a=±2×3×2=±12.故答案为:±12.14.解:∵多项式x2﹣(k﹣2021)x+9是完全平方式,∴x2﹣(k﹣2021)x+32=(x±3)2,∴当﹣(k﹣2021)=±6时,多项式x2﹣(k﹣2021)x+9是完全平方式,解得k=2027或k=2015.故答案为:2027或2015.15.解:2a2+4ab+2b2=2(a2+2ab+b2)=2(a+b)2,把a+b=2代入上式,得原式=2×22=8.16.解:∵x2﹣y2=(x+y)(x﹣y)=4042,y﹣x=2021,∴x+y=.故答案为:﹣2.三.解答题(共7小题,满分67分)17.(1)∵a2+b2=8,(a+b)2=48,∴ab===20,(2)设25﹣x=a,x﹣10=b,由(a+b)2=a2+2ab+b2进行变形得,a2+b2=(a+b)2﹣2ab,∴(25﹣x)2+(x﹣10)2=[(25﹣x)+(x﹣10)]²﹣2(25﹣x)(x﹣10)=15²﹣2×(﹣15)=225+30=255,(3)设AD=AC=a,BE=BC=b,则图中阴影部分的面积为(a+b)(a+b)﹣(a²+b²)=[(a+b)²﹣(a²+b²)]=×2ab=ab=1018.解:(1)原式=4x2﹣2x+8x﹣4=4x2+6x﹣4;(2)原式=(a+2b)(a﹣2b)(a2﹣4b2)=(a2﹣4b2)2=a4﹣8a2b2+16b4.19.解:原式=(x2+xy+y2)﹣(x2﹣xy+y2)=x2+xy+y2﹣x2+xy﹣y2=xy.20.解:(1)原式=﹣a2b2•4a2b6c2=﹣4a4b8c2.(2)原式=(﹣4a)2+24ab+(﹣3b)2=16a2+24ab+9b2.21.解:(1)∵a+b=6,∴(a+b)2=36.∴a2+b2+2ab=36.又∵a2+b2=26,∴26+2ab=36.∴ab=5.∴(a﹣b)2=a2+b2﹣2ab=26﹣10=16.∴a﹣b=±4.(2)(x2+nx+3)(x2﹣3x+m)=x4﹣3x3+mx2+nx3﹣3nx2+mnx+3x2﹣9x+3m=x4+(n﹣3)x3+(m﹣3n+3)x2+(mn﹣9)x+3m.∵多项式x2+nx+3与x2﹣3x+m的乘积中不含有x2和x3项,∴n﹣3=0,m﹣3n+3=0.∴m=6,n=3.∴m+n=6+3=9.22.解:(1)∵a+b=10,∴(a+b)2=100,即a2+2ab+b2=100,将ab=30,代入得:a2+b2+2×30=100,∴a2+b2=100﹣60=40,故答案为40.(2)设40﹣x=a,x﹣20=b,则(40﹣x)(x﹣20)=ab=﹣10,∵a+b=(40﹣x)+(x﹣20)=20,∴(40﹣x)2+(x﹣20)2=a2+b2=(a+b)2﹣2ab=202﹣2×(﹣10)=420.(3)设30+x=a,20+x=b,则(30+x)(20+x)=ab=10,∵a﹣b=(30+x)﹣(20+x)=10,∴(30+x)2+(20+x)2=a2+b2=(a﹣b)2+2ab=102+2×10=120.23.解:(1)图1中阴影部分的面积为大正方形与小正方形的面积差,即a2﹣b2,图2中阴影部分是长为(a+b),宽为(a﹣b)的长方形,因此面积为(a+b)(a﹣b),由图1和图2中阴影部分的面积相等可得,a2﹣b2=(a+b)(a﹣b),故答案为:a2﹣b2,(a+b)(a﹣b),a2﹣b2=(a+b)(a﹣b);(2)原式====;(3)原式=(2﹣1)(2+1)(22+1)(24+1)(28+1)(216+1)(232+1)+1=(22﹣1)(22+1)(24+1)(28+1)(216+1)(232+1)+1=(24﹣1)(24+1)(28+1)(216+1)(232+1)+1=(28﹣1)(28+1)(216+1)(232+1)+1=(216﹣1)(216+1)(232+1)+1=(232﹣1)(232+1)+1=264﹣1+1=264.。
高三数学独立事件与乘法公式试题1.省工商局于2003年3月份,对全省流通领域的饮料进行了质量监督抽查,结果显示,某种刚进入市场的x饮料的合格率为80%,现有甲、乙、丙3人聚会,选用6瓶x饮料,并限定每人喝2瓶.则甲喝2瓶合格的x饮料的概率是________.【答案】0.64【解析】记“第一瓶x饮料合格”为事件A1,“第二瓶x饮料合格”为事件A2,A1与A2是相互独立事件,“甲喝2瓶x饮料都合格就是事件A1、A2同时发生,根据相互独立事件的概率乘法公式得P(A1·A2)=P(A1)·P(A2)=0.8×0.8=0.64.2.甲、乙两地都位于长江下游,根据天气预报记录知,一年中下雨天甲市占20%,乙市占18%,假定在这段时间内两市是否降雨相互之间没有影响,则甲、乙两市同时下雨的概率为________.【答案】0.036【解析】设甲市下雨为事件A,乙市下雨为事件B,由题设知,事件A与B相互独立,且P(A)=0.2,P(B)=0.18,则P(AB)=P(A)P(B)=0.2×0.18=0.036.3.计算机考试分理论考试与实际操作考试两部分进行,每部分考试成绩只记“合格”与“不合格”,两部分考试都“合格”者,则计算机考试“合格“并颁发”合格证书“.甲、乙、丙三人在理论考试中“合格”的概率依次为,在实际操作考试中“合格”的概率依次为,所有考试是否合格相互之间没有影响。
(1)假设甲、乙、丙3人同时进行理论与实际操作两项考试,谁获得“合格证书”的可能性大?(2)求这3人进行理论与实际操作两项考试后,恰有2人获得“合格证书”的概率;(3)用X表示甲、乙、丙3人计算机考试获“合格证书”的人数,求X的分布列和数学期望EX。
【答案】(1)丙获得合格证书的可能性大;(11);(111)X的分布列为:X 0123.【解析】(1)记“甲获得合格证书”为事件A,“乙获得合格证书”为事件B,“丙获得合格证书”为事件C,利用概率的计算公式分别得到,由,得到结论丙获得合格证书的可能性大.)设3人考试后恰恰有2人获得“合格证书”为事件D,利用独立事件概率的计算公式可得.(3)由于.分别计算即得X的分布列为,进一步计算试题解析:(1)记“甲获得合格证书”为事件A,“乙获得合格证书”为事件B,“丙获得合格证书”为事件C,则因,所以丙获得合格证书的可能性大。
精选
一、选择题(每小题5分,共30分)
1、下列多项式乘法中,不能用平方差公式计算的是( )
A.(a+1)(2a -2)
B.(2x -3)(-2x+3)
C.(2y -
13)(1
3
+2y) D.(3m -2n)(-3m -2n) 2、下列多项式乘法中,可以用平方差公式计算的是( )
A .( 2m −3n)(3n − 2m)
B .(−5xy+4z)(−4z −5xy)
C .(−
21a −31b)( 31b+2
1
a) D .(b+c −a)(a −b −c) 3、下列运算正确的是( )
A.(a+3)2=a 2
+9 B.(
13x -y)2=16x 2-23
xy+y 2
C.(1-m)2=1-2m+m 2
D.(x 2
-y 2
)(x+y)(x -y)=x 4
-y 4
4、计算(x-y)(-y-x)的结果是( )
A.-x 2
+y 2
B. -x 2
-y 2
C. x 2
-y 2
D. x 2
+y 5、计算(−2y −x)2
的结果是( )
A .x 2−4xy+4y
2
B .−x 2
−4xy −4y
2
C .x 2+4xy+4y
2
D .−x 2+4xy −4y 2
6、计算(x+3y)2
-(3x+y)2
的结果是( )
A. 8x 2
-8y 2
B. 8y 2
-8x 2
C. 8(x+y)2
D. 8(x-y)2
7、化简(m 2+1)(m+1)(m-1) -(m 4
+1)的值是( ) A. -2m 2
B. 0
C.-2
D.-1
8、若x 2+mx +4是一个完全平方公式,则m 的值为( )
A.2 B.2或-2 C.2 D.4或-4
7、要使x 2-6x +a 成为形如(x -b )2
的完全平方式,则a ,b 的值(
)
A.a =9,b =9 B.a =9,b =3 C.a =3,b =3 D.a =-3,b =-2
9、若x 2-y 2
=100, x+y= -25,则x-y 的值是( )
A.5
B. 4
C. -4
D. 以上都不对 12、若(x -y )2
+N=x 2
+xy +y 2
,则N为( ) A .xy B 0 C.2xy D.3xy 二、填空题(每小题5分,共30分) 7、计算(3m+4)(4-3m)的结果是______
8、若x-y=2,x 2-y 2
=6,则x+y=________.
9、计算(2m+1)(4m 2
+1)(2m-1)=_____. 10、用简便方法计算:
503×497=_______;1.02×0.98=______
11、若(9+x 2)(x+3)·M=81-x 4
,则M=______.
10、若x -y =9,.则x 2
+y 2
=91, x ·y = . 11、如果x +
x 1=3,且x>x 1,则x -x
1
= . 12、观察下列各式:1×3=22
-1,3×5=42
-1,5×7=62
-1,……请你把发现的
规律用含n (n 为正整数)的等式表示为_________. 13、计算:
⑴(3a-2b)(9a+6b); ⑵(2y-1)(4y 2
+1)(2y+1)
14、计算:
⑴3(2a+1)(-2a+1)-(3
2
a-3)(3+
3
2
a) ⑵a4-(1-a)(1+a)(1+a2)(1+a)
(3)(a-2b+3c)(a+2b-3c).
15、用简便方法计算:
⑴
18
9089
99
⨯⑵99×101×10001
16、已知a+b=8,ab=4,求2
2b
a+的值。
17、计算1
1
2
1
2
1
2
1
28
4
2)+
+
)(
+
)(
+
)(
+
(
18.(1)已知x+y=6,xy=4,求①x2+y2,②(x-y)2,③x2+xy+y2的值.
(2)已知a(a-3)-(a2-3b)=9,求
22
2
a b
+
-ab的值.
精选。