七年级数学上第三章单元测试题及答案
- 格式:doc
- 大小:189.50 KB
- 文档页数:5
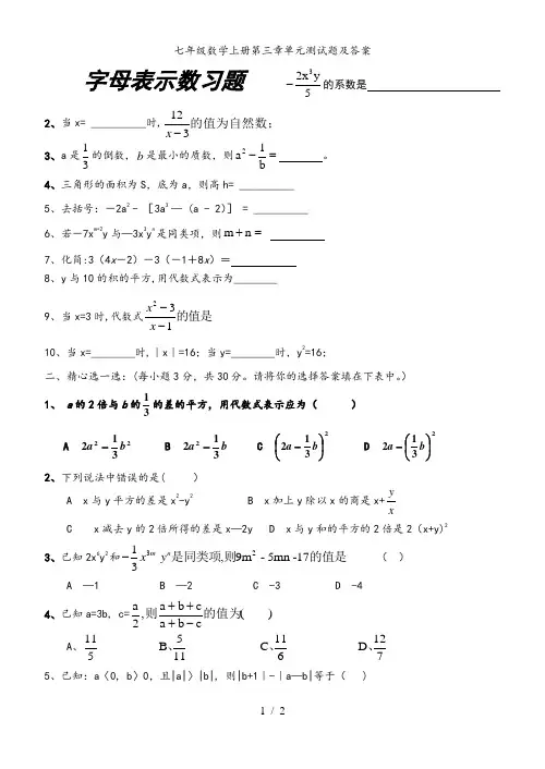
字母表示数习题 32x y 5-的系数是 2、当x= __________时,的值为自然数;312-x 3、a 是13的倒数,b 是最小的质数,则21a b -= 。
4、三角形的面积为S ,底为a ,则高h= __________5、去括号:-2a 2 - [3a 3— (a - 2)] = __________6、若-7x m+2y 与—3x 3y n 是同类项,则m n +=7、化简:3(4x -2)-3(-1+8x )=8、y 与10的积的平方,用代数式表示为________ 9、当x=3时,代数式________132的值是--x x 10、当x=________时,|x |=16;当y=________时,y 2=16;二、精心选一选:(每小题3分,共30分。
请将你的选择答案填在下表中。
)1、 a 的2倍与b 的31的差的平方,用代数式表示应为( ) A 22312b a - B b a 3122- C 2312⎪⎭⎫ ⎝⎛-b a D 2312⎪⎭⎫ ⎝⎛-b a 2、下列说法中错误的是( )A x 与y 平方的差是x 2-y 2B x 加上y 除以x 的商是x+xy C x 减去y 的2倍所得的差是x —2y D x 与y 和的平方的2倍是2(x+y)23、已知2x 6y 2和321,9m - 5mn -173m n x y -是同类项则的值是 ( ) A —1 B —2 C -3 D -44、已知a=3b, c=) (cb ac b a ,2a 的值为则-+++ A 、712D 611C 115B 511、、、 5、已知:a 〈0, b 〉0,且|a|〉|b|, 则|b+1|-|a —b|等于( )A 、2b-a+1B 。
1+a C.a —1 D 。
-1-a6、上等米每千克售价为x 元,次等米每千克售价为y 元,取上等米a 千克和次等米b 千克,混合后的大米每千克售价为( ) A a b x y ++ B ax by ab + C ax by a b++ D x y 2+ 7、 小华的存款是x 元小林的存款比小华的一半还多2元,则小林的存款是( ) A )2(21+x B )2(21-x C 221+x D 221-x 8、m-[n —2m-(m-n )]等于( )A -2mB 2mC 4m —2nD 2m-2n9、若k 为有理数,则|k|-k 一定是( )A 0B 负数C 正数D 非负数10、已知长方形的周长是45㎝,一边长是a ㎝,则这个长方形的面积是( )A 、平方厘米、平方厘米245a B 2)45(a a - C 、平方厘米、平方厘米-a)-245a( D a)245( 三、化简题(每小题4分,共24分)1、2222(835)(223)a ab b a ab b ----+2、)231(34x xy xy -+-3、)(2)2(333c b a c b a b a ---+ 4、 ()⎪⎭⎫ ⎝⎛++-+--13431354b a b a 5、2223[723()1]a a a a a ----+ 6、2222(876)[8()]x y xy xy xy x y y x -+---+1、523531411()[2()()][()()]2323x y x y x y x y x y +++-+-+-+,其中3x y += (5分 2、2225[(53)6()]a a a a a a -+---,其中12a =- (5分) 3、已知:2(2)10x y +++=,求222225{2[3(42)]}xy xy xy xy x y ----的值. (6分)。
第三章 《一元一次方程》阶段测评 (时间90分钟,满分100分)一、细心选择(每题3分,共30分) 1. 下列方程中,一元一次方程一共有( ) ①;②;③;④1315123x x x -=-()A .1个B .2个C .3个D .4个 2. 下列方程的解是3x =的有( ) ①260x --=②25x +=③()()310x x --= ④123x x =- A .1个 B .2个C .3D .4个3. 若代数式154m +与154m ⎛⎫- ⎪⎝⎭的值互为相反数,则m 的值为( ) A .0 B .320 C .120 D .1104. 下列变形中正确的是( )A.由25-=x 得25--=xB.由05=y 得51=yC.由23-=x 得23-=x D.由532+=x x 得x x 235-=-5. 对有理数a b 、,规定运算☆的意义是:a b a b a b =⨯++☆,则方程1352x =☆的解是( ) A .0B .1C .2D .36. 小华在某月的日历上圈出相邻的四个数,算出这四个数的和是36,那么这个数阵的形式可能是( )7. 甲乙两个超市为了促销一种定价相等的商品,甲超市连续两次降价10%,乙超市一次性降价20%,在哪家超市购买同样的商品最合算( )A .甲B .乙C .相同D .和商品的价格有关8. 足球比赛记分规则为:胜一场得3分,平一场得1分,负一场得0分,一个队进行了14场比赛,其中负5场,共得分19分,若设胜场次数为x 场,则可列方程为( )A. 31(14-)19x x +=B. 31(145)19x x +--=C. 31(14-)0(145)19x x x ++--=D. 319x x +=9. 小华在做解方程作业时,不小心将方程中的一个常数污染了看不清楚,被污染的方程是1133y y -=-■,怎么办呢?小明想了一想,便翻看了书后的答案,此方程的解是:6y =-,小华很快补好了这个常数,并迅速完成了作业,这个常数是( )A .243- B .233C .143- D .14310.《个人所得税条例》规定,公民题资薪水每月不超过800元者不必纳税,超过800元的部分按超过金额分段纳税,详细税率如下图,某人12月份纳税80元,则该人月薪为( )…………A .1900元B .1200元C .1600元D .1050元 二、耐心填空(每题3分,共24分)11. 在梯形面积公式()h b a S +=21中,若24=S ,6=a ,3=h ,则=b ____.12. 已知方程23252x x -+=-的解也是方程72x b -=的解,则b =_______. 13. 若单项式26x a b --与3312y a b -是同类项,则代数式()()23x y y x ---的值为____.14. 把方程50.2 1.6310.3 1.2y y--=-中的小数化为整数得_______________.15. 方程513211264x x x +---=去分母时,方程的两边应同时乘以______,则得到的方程是___________. 16. 如图3-1,小红将一个正方形纸片剪去一个宽为4厘米的长条后,再从剩下的长方形纸片上剪去一个宽为5厘米的长条,且剪下的两个长条的面积相等.问这个正方形的边长应为多少cm? 设正方形边长为xcm,则可列方程________________.17. 一列火车以30里/时的等速行驶,进入一个比列车长两倍的隧道,由第一节车箱进入隧道时刻到最后离开这个隧道的时刻,总共用去6分钟,这列火车的长度是______.18. 某时刻钟表在10点和11点之间,在这个时刻再过6分钟的分针和这个时刻3分钟前的时针正好方向相反且在同一直线上,那么钟表这个时刻为_________. 三、用心解答(共46分) 19. 解下列方程 (1)(本题5分)12225y y y -+-=-(2)(本题7分)519x -=20. (本题6分)已知()2310a b-++=,代数式22b a m-+的值比12b a m-+多1,求m.21.(本题6分)某件商品的价格是按获利润25%计算出的,后因库存积压和急需加收资金,决定降价出售,如果每件商品仍能获得10%的利润,试问应按现售价的几折出售(减价到原标价的百分之几就叫做几折,例如标价一元的商品售价七角五分,叫做“七五折”)?22.(本题7分)售货员:“快来买啦,特价鸡蛋,原价每箱14元,现价每箱12元,每箱有鸡蛋30个.”顾客甲:“我店里买了一些这种特价鸡蛋,花的钱比按原价买同样多鸡蛋花的钱的2倍少96元.”乙顾客:“我家买了两箱相同特价的鸡蛋,结果18天后,剩下的20个鸡蛋全坏了.”请你根据上面的对话,解答下面的问题:(1)顾客乙买的两箱鸡蛋合算吗?说明理由.(2)请你求出顾客甲店里买了多少箱这种特价鸡蛋,假设这批特价鸡蛋的保质期还有18天,那么甲店里平均每天要消费多少个鸡蛋才不会浪费?23.(本题7分)有一列数,按一定规律排列成:1248163264,,,,,,,…,其中有三个相邻的和为1224,这种----说法对吗?请说明理由.24.(本题8分)李红为班级购买笔记本作晚会上的奖品,回来时向生活委员刘磊交账时说:“共买了36本,有两种规格,单价分别为1.80元和2.60元,去时我领了100元,现在找回27.60元”刘磊算了一下说:“你一定搞错了”李红一想,发觉的确不对,因为他把自己口袋里原有的2元钱一起当作找回的钱款交给了刘磊,请你算一算两种笔记本各买了多少?想一想有没有可能找回27.60元,试用方程的知识给予解释.第三章 《一元一次方程》阶段测评1.A ;2. C ;3. D ;4. D ;5. B ;6.C ;7. B ;8. B ;9. D ;10. C ;11. 10;12. 7;13. 20;14.50216301312y y--=-; 15. 12,2(51)123(32)x x x -+-=-;16. 45(-4) x x =;17. 1里; 18. 10点15分; 19. (1)117(2)若∵510x -≥ ∴ 519x -= 即2x =若∵510x -< ∴ (51)9x --= 即85x =-20. 0m =.21. 解:设将决定按x 折出售每件商品.根据题意得:化简方程,,折扣数为88%,答:应按现售价的八八折出售.22. 解:(1)顾客乙买两箱鸡蛋节省的钱2(1412)4⨯-=顾客乙丢掉的20个坏鸡蛋浪费的钱20128⨯=30因为4元<8元,所以顾客乙买的两箱鸡蛋不合算.(2)设顾客甲买了x箱鸡蛋.由题意得:1221496=⨯-.x x解这个方程得:6x=,6301810⨯÷=(个)答:略23. 解:设第一个数字为x,则第二、三个数字依次为24x x-、.根据题意可得:(2)41224+-+=x x x解得:408=、-=x=,则291641832x x但这三个数字却不在以上数列中,所以按规律排列的三个数字和为1224,这种说法是错误的.24. 解:购买单价1.80元的笔记本24本,单价2.60元的笔记本12本.如果按李红原来报的价格,那么设购买单价1.80元的笔记本x本,列方程可得:1.8x+2.6·(36-x)=100-27.60,解之得x=2.60不符合实际问题的意义,所以没有可能找回27.60元.专项训练二概率初步一、选择题1.(徐州中考)下列事件中的不可能事件是( )A.通常加热到100℃时,水沸腾 B.抛掷2枚正方体骰子,都是6点朝上C.经过有交通信号灯的路口,遇到红灯 D.任意画一个三角形,其内角和是360°2.小张抛一枚质地均匀的硬币,出现正面朝上的可能性是( )A.25% B.50% C.75% D.85%3.(2016·贵阳中考)2016年5月,为保证“中国大数据产业峰会及中国电子商务创新发展峰会”在贵阳顺利召开,组委会决定从“神州专车”中抽调200辆车作为服务用车,其中帕萨特60辆、狮跑40辆、君越80辆、迈腾20辆,现随机从这200辆车中抽取1辆作为开幕式用车,则抽中帕萨特的概率是( )A.110B.15C.310D.254.(金华中考)小明和小华参加社会实践活动,随机选择“打扫社区卫生”和“参加社会调查”其中一项,那么两人同时选择“参加社会调查”的概率为( )A.14B.13C.12D.345.在一个不透明的袋中装着3个红球和1个黄球,它们只有颜色上的区别,随机从袋中摸出2个小球,两球恰好是一个黄球和一个红球的概率为( )A.12B.13C.14D.166.现有两枚质地均匀的正方体骰子,每枚骰子的六个面上都分别标有数字1、2、3、4、5、6.同时投掷这两枚骰子,以朝上一面所标的数字为掷得的结果,那么所得结果之和为9的概率是( )A.13B.16C.19D.1127.分别转动图中两个转盘一次,当转盘停止转动时,两个指针分别落在某个数所表示的区域,则两个数的和是2的倍数或3的倍数的概率等于( )A.316B.38C.58D.1316第7题图第8题图8.(2016·呼和浩特中考)如图,△ABC 是一块绿化带,将阴影部分修建为花圃,已知AB =15,AC =9,BC =12,阴影部分是△ABC 的内切圆,一只自由飞翔的小鸟将随机落在这块绿化带上,则小鸟落在花圃上的概率为( )A.16B.π6C.π8D.π5二、填空题9.已知四个点的坐标分别是(-1,1),(2,2),⎝ ⎛⎭⎪⎫23,32,⎝ ⎛⎭⎪⎫-5,-15,从中随机选取一个点,在反比例函数y =1x 图象上的概率是________.10.(黄石中考)如图所示,一只蚂蚁从A 点出发到D ,E ,F 处寻觅食物.假定蚂蚁在每个岔路口都可能随机选择一条向左下或右下的路径(比如A 岔路口可以向左下到达B 处,也可以向右下到达C 处,其中A ,B ,C 都是岔路口).那么,蚂蚁从A 出发到达E 处的概率是________.11.(贵阳中考)现有50张大小、质地及背面图案均相同的《西游记》任务卡片,正面朝下放置在桌面上,从中随机抽取一张并记下卡片正面所绘人物的名字后原样放回,洗匀后再抽.通过多次试验后,发现抽到绘有孙悟空这个人物卡片的频率约为0.3.估计这些卡片中绘有孙悟空这个人物的卡片张数约为________.12.(荆门中考)荆楚学校为了了解九年级学生“一分钟内跳绳次数”的情况,随机选取了3名女生和2名男生,则从这5名学生中,选取2名同时跳绳,恰好选中一男一女的概率是________.13.(重庆中考)点P 的坐标是(a ,b ),从-2,-1,0,1,2这五个数中任取一个数作为a 的值,再从余下的四个数中任取一个数作为b 的值,则点P (a ,b )在平面直角坐标系中第二象限内的概率是________.14.★从-1,1,2这三个数字中,随机抽取一个数记为a ,那么,使关于x 的一次函数y =2x +a 的图象与x 轴、y 轴围成的三角形的面积为14,且使关于x 的不等式组⎩⎨⎧x +2≤a ,1-x ≤2a有解的概率为________.三、解答题15.(南昌中考)在一个不透明的袋子中装有仅颜色不同的10个小球,其中红球4个,黑球6个.(1)先从袋子中取出m (m >1)个红球,再从袋子中随机摸出1个球,将“摸出黑球”记为事件A ,请完成下列表格:(2)先从袋子中取出m 个红球,再放入m 个一样的黑球并摇匀,随机摸出1个黑球的概率等于45,求m 的值.16.(菏泽中考)锐锐参加我市电视台组织的“牡丹杯”智力竞答节目,答对最后两道单选题就顺利通关,第一道单选题有3个选项,第二道单选题有4个选项,这两道题锐锐都不会,不过锐锐还有两个“求助”可以用(使用“求助”一次可以让主持人去掉其中一题的一个错误选项).(1)如果锐锐两次“求助”都在第一道题中使用,那么锐锐通关的概率是________;(2)如果锐锐两次“求助”都在第二道题中使用,那么锐锐通关的概率是________;(3)如果锐锐将每道题各用一次“求助”,请用树状图或者列表来分析他顺利通关的概率.17.(丹东中考)甲、乙两人进行摸牌游戏.现有三张形状大小完全相同的牌,正面分别标有数字2,3,5.将三张牌背面朝上,洗匀后放在桌子上.(1)甲从中随机抽取一张牌,记录数字后放回洗匀,乙再随机抽取一张.请用列表法或画树状图的方法,求两人抽取相同数字的概率;(2)若两人抽取的数字之和为2的倍数,则甲获胜;若抽取的数字之和为5的倍数,则乙获胜.这个游戏公平吗?请用概率的知识加以解释.18.一只不透明的袋子中装有4个质地、大小均相同的小球,这些小球分别标有数字3,3,5,x,甲、乙两人每次同时从袋中各随机摸出1个球,并计算摸出的这2个球上数字之和,记录后将小球放回袋中搅匀,进行重复实验.实验数据如下表:(1)如果实验继续进行下去,根据上表数据,出现“和为8”的频率稳定在它的概率附近,估计出现“和为8”的概率是________;(2)如果摸出的这两个小球上数字之和为9的概率是13,那么x的值可以取4吗?请用列表法或画树状图法说明理由;如果x的值不可以取4,请写出一个符合要求的x的值.参考答案与解析1.D 2.B 3.C 4.A 5.A 6.C 7.C8.B 解析:∵AB =15,BC =12,AC =9,∴AB 2=BC 2+AC 2,∴△ABC 为直角三角形,∴△ABC 的内切圆半径为12+9-152=3,∴S △ABC =12AC ·BC =12×12×9=54,S 圆=9π,∴小鸟落在花圃上的概率为9π54=π6.9.12 10.12 11.15 12.35 13.15 14.13 15.解:(1)4 2或3 (2)根据题意得6+m 10=45,解得m =2,所以m 的值为2. 16.解:(1)14 解析:第一道肯定能对,第二道对的概率为14,所以锐锐通关的概率为14;(2)16 解析:锐锐两次“求助”都在第二道题中使用,则第一道题对的概率为13,第二道题对的概率为12,所以锐锐能通关的概率为12×13=16;(3)锐锐将每道题各用一次“求助”,分别用A ,B 表示剩下的第一道单选题的2个选项,a ,b ,c 表示剩下的第二道单选题的3个选项,树状图如图所示.共有6种等可能的结果,锐锐顺利通关的只有1种情况,∴锐锐顺利通关的概率为16.17.解:(1)所有可能出现的结果如下表,从表格可以看出,总共有9种结果,每种结果出现的可能性相同,其中两人抽取相同数字的结果有3种,所以两人抽取相同数字的概率为13;(2)不公平.从表格可以看出,两人抽取数字之和为2的倍数有5种,两人抽取数字之和为5的倍数有3种,所以甲获胜的概率为59,乙获胜的概率为13.∵59>13,∴甲获胜的概率大,游戏不公平.2 3 52 2 23 2 5 2 3 2 3 3 3 5 3 52 53 5 5 518.解:(1)0.33(2)图略,当x 为4时,数字和为9的概率为212=16≠13,所以x 不能取4;当x =6时,摸出的两个小球上数字之和为9的概率是13.。
七年级上册数学第三单元测试卷【含答案】专业课原理概述部分一、选择题(每题1分,共5分)1. 下列哪个数是质数?A. 21B. 23C. 27D. 302. 如果一个三角形的两边长分别是8厘米和15厘米,那么第三边的长度可能是多少?A. 3厘米B. 10厘米C. 23厘米D. 17厘米3. 一个长方体的长、宽、高分别是10厘米、6厘米和4厘米,那么它的体积是多少?A. 240立方厘米B. 120立方厘米C. 60立方厘米D. 48立方厘米4. 下列哪个数是偶数?A. 101B. 102C. 103D. 1045. 下列哪个图形是平行四边形?A. 正方形B. 长方形C. 梯形D. 圆形二、判断题(每题1分,共5分)1. 两个质数相乘的结果一定是合数。
()2. 一个等腰三角形的两个底角相等。
()3. 一个长方体的六个面都是长方形。
()4. 0是最小的自然数。
()5. 平行四边形的对边相等且平行。
()三、填空题(每题1分,共5分)1. 最大的两位数是______。
2. 一个等边三角形的三个角都是______度。
3. 一个长方体的体积是长×宽×______。
4. 6是______和______的公倍数。
5. 两条平行线的特点是对边______且______。
四、简答题(每题2分,共10分)1. 请简述质数和合数的区别。
2. 请解释等腰三角形的特点。
3. 请列举三个不同的长方体物品。
4. 请简述平行四边形的性质。
5. 请解释因数和倍数的概念。
五、应用题(每题2分,共10分)1. 一个长方体的长是10厘米,宽是6厘米,高是4厘米,求它的体积。
2. 一个等腰三角形的底边长是8厘米,腰长是10厘米,求它的周长。
3. 一个数的因数有1、2、3、4、6,请找出这个数。
4. 两个质数相乘,积是35,请找出这两个质数。
5. 一个平行四边形的对边分别是8厘米和12厘米,求它的面积。
六、分析题(每题5分,共10分)1. 请分析一个长方体和正方体的相同点和不同点。
人教版七年级数学上册第三章《一元一次方程》单元测试题(含答案)姓名: 考号: 分数:一、单选题(共 24 分)1 .下列各选项是一元一次方程的是( )A .3x 2 + 4 = 5B .m + 2n = 0C .2y +1 = 一3D .4x + 2 > 3 2 .下列运用等式的性质,变形不正确的是( )A .若a = b ,则 a + c = b + cB .若a = b ,则 a 一 3 = b + 3C .若a = b ,则 a 尝 5 = b 尝 5D .若a = b ,则 一2a = 一2b3 .已知方程(k 一 4)x |k|一3 + 5 = 6 是关于x 的一元一次方程,则k 的值为( )A .4B .一4C .4 或一4D .11 4 .如果单项式 x 2m y 与2x 4 y n +3 是同类项,那么n m = ( )A .一9B .9C .一4D .45 .已知x = 1 是关于 x 的方程ax + 2x 一 3 = 0 的解,则 a 的值为( )A .一1B .1C .一3D .36 .若代数式 —1一2x 的值是 1,则 x 的值是( ) 3A .一1B .0C .1D .27 .将一个周长为 42cm 的长方形的长减少 3cm ,宽增加 2cm ,能得到一个正方形.若设长 方形的长为 x cm ,根据题意可列方程为( )A .x + 2 = (42 一 x )一 3B .x 一 3 = (42 一 x )+ 2C .x + 2 = (21一 x )一 3D .x 一 3 = (21一 x )+ 28 .一套仪器由一个 A 部件和三个 B 部件构成,用1m 3 钢材可做 40 个 A 部件或 240 个 B 部 件。
现要用6m 3 钢材制作这种仪器,为了使制作的 A 、B 部件恰好配套,设应用xm 3 钢材制 作 A 部件,则可列方程为( )A .40x 根 3 = 240 根 (6 一 x )B .40x = 240 根 (6 一 x )根 3C .4=40 根 (6 一 x )根 3 = 240xD .40 根 (6 一 x )= 240x 根 33二、填空题(共24 分)9 .若x = 1 是关于x 的方程2x + a = 1 的解,则a = .10 .若代数式2(x - 3) 的值与9 - x 的值互为相反数,x 的值为.11 .如果a + 1 + b - 2 = 0 ,则a -(-b)= .12 .用符号※定义一种新运算a※b =ab+2(a﹣b),若3※x =2021,则x 的值为.13 .已知a:b:c=2:3:5 ,a -b + c = 36 ,则2a +b - 2c = .14 .若方程2x-m =1 和方程3x =2(x-1)的解相同,则m 的值为.15 .某商品标价100 元,现在打6 折出售仍可获利25% ,则这件商品的进价是元.16 .两船从同一港口同时出发反向而行,甲船顺水,乙船逆水,两船在静水中的速度都是30 千米/时,3 小时后甲船能比乙船多航行60 千米,设水流速度是x 千米/时,则可列方程.__________三、解答题(共72 分)17 .解下列方程:(1)16x - 40 = 9x +16 ;(2)4x = 20 x + 16 ;3(3)2(3 - x) = -4(x + 5) ;(4)3(-2x - 5) + 2x = 9 ;(5)1(x - 4) - (3x + 4) = -15;(6)x - 7 - 5x + 8 = 1 .2 2 4 318 .已知 x =2 是方程6x mx + 4 = 0 的解,求m 2 2m 的值.19 .若方程2x 1 = 3 和方程4x a = 2 的解相同,求 a 的值.20 .关于 x 的方程1 ax = 2x + 2a 的解比方程2x 3 =1 的解小 3,求 a 的值.3x 121 .关于 x 的一元一次方程 ── + m = 3 ,其中 m 是正整数.2 (1)当m =2 时,求方程的解;(2)若方程有正整数解,求 m 的值.22 .把一些图书分给某班学生阅读,如果每人分 3 本则剩余 20 本;如果每人分 4 本,则还缺 25 本.这个班有多少学生?23.制作一张桌子需要一个桌面和四个桌腿,1m3 木材可制作20 个桌面或制作400 条桌腿,现有12m3 的木材,应怎样计划才能使桌面和桌腿刚好配套?能制成多少套桌椅?24 .某校为承办县初中学校内涵建设,需制作一块活动展板,请来师徒两名工人.已知师傅单独完成需4 天,徒弟单独完成需6 天.(1)两个人合作需要多少天完成?(2)现由徒弟先做1 天,师徒两人再合作完成这项工作,问:徒弟共做了几天?25 .如图,在数轴上点A 表示数a ,点B 表示数b ,并且a ,b 满足a +13 +(5 -b)2 = 0 .(1)求点A ,B 之间的距离;(2)点C 在点A 的右侧,点D 在点B 的左侧,AC 为15 个单位长度,BD 为8 个单位长度,求点C ,D 之间的距离;(3)动点P 以3 个单位长度/秒的速度从点A 出发沿数轴正方向运动,同时点Q 以2 个单位长度/秒的速度从点 B 出发沿数轴负方向运动,则它们几秒钟相遇?相遇点E 表示的数是多少?参考答案1 .C2 .B3 .B4 .D5 .B6 .A7 .D8 .A9 ._110 ._311 .112 .201513 ._2714 .-515 .4816 .3(30 + x)_ 3 (30 _ x)= 60317 .(1)x = 8 ;(2)x = _6 ;(3)x = _13 ;(4)x = _6 ;(5)x = ;(6)518 .4819 .a = 620 .321 .(1) x=1(2) m=222 .这个班有45 名学生.23 .用10 立方米做桌面,用2 立方米做桌腿,可以配成200 套桌椅.1224 .(1)两个人合作需要—天完成5(2)3 天25 .(1)18(2)518 (3) 5 ;11565x = _ -17。
人教版七年级数学上册第三章《一元一次方程》单元测试一、选择题(本题共计 10 小题,每题 3 分,共计30分,)1. 已知x=1是方程x−2k3=12−32x的解,则k的值是()A.−2B.2C.0D.−12. 某商品打七折后价格为a元,则原价为( )A.a元B.107a元 C.30%a元 D.710a元3. 在①2x+1;②1+7=15−8+1;③1−12x=x−1;④x+2y=3中,方程共有()A.1个B.2个C.3个D.4个4. 若关于x的方程3x+(2a+1)=x−(3a+2)的解为x=0,则a的值等于( )A.15B.35C.−15D.−355. 将一根长为acm的铁丝首尾相接围成一个正方形,若要将它按如图所示的方式向外等距扩大1cm得到新的正方形,则这根铁丝需增加()A.4cmB.8cmC.(a+4)cmD.(a+8)cm6. 七年级(1)班有30人会下象棋或围棋,已知会下象棋的人数比会下围棋的人数多5人,两种棋都会下的有17人,问只会下围棋的有多少人?设只会下围棋的有x人,可得方程()A.x+(x−5)+17=30B.x+(x+5)+17=30C.x+(x−5)−17=30D.x+(x+5)−17=307. 如图是某月份的日历表,任意框出同一列上的三个数,则这三个数的和不可能是()A.39B.43C.57D.668. 解方程x3−x−12=1时,去分母后,正确的是( )A.3x−2(x−1)=1B.2x−3(x−1)=1C.3x−2(x−1)=6D.2x−3(x−1)=69. 运用等式性质进行的变形,正确的是()A.如果a=b,那么a+c=b−cB.如果ac =bc,那么a=bC.如果a=b,那么ac =bcD.如果a2=3a,那么a=310. 已知x=2是方程5Xm+10=30的解,则m的值为( )A.2B.4C.6D.10二、填空题(本题共计 4 小题,每题 4 分,共计16分,)11. 当代数式2x−2与3+x的值相等时,x=________.12. 已知:(m−2)x−1=0是关于x的一元一次方程,则m________.13. 在等式5x−8=7−9x的两边同时________,得14x=15,这是根据________.14. 李大叔去年承包了10亩地种植甲、乙两种蔬菜,共获利18000元,其中甲种蔬菜每亩获利2000元,乙种蔬菜每亩获利1500元,李大叔的承包地去年甲种蔬菜有________亩.三、解答题(本题共计 5 小题,共计74分,)15.(20分) 解下列方程:(1)8(a+1)−2(3a−4)=13;(2)2x−13=2x+16−1;(3)y−y−12=2−y+25;(4)2x0.3+223=1.4−3x0.2.16.(12分) 列方程.(1)甲班有学生58人,乙班有学生46人,要使甲、乙两班的人数相等,应如何调动?(2)某推销员,卖出全部商品的2后,得到400元,卖出全部商品共得到多少元?517. (14分) “五一”期间,某电器城按成本价提高30%后标价,再打8折(标价的80%)销售,售价为2080元,该电器的成本价为多少元?(只列方程)18. (14分)一个长方形的周长为28cm,将此长方形的长减少2cm,宽增加4cm,就可成为一个正方形,那么原长方形的长和宽分别是多少?19.(14分) 某公园门票价格规定如下表:某校七年级(1)(2)两个班共102人去游园,其中(1)班有40多人,不足50人.经计算,如果两个班都以班为单位购票,则一共应付1320元.问:(1)如果两班联合起来,作为一个团体购票,可省多少钱?(2)两班各有多少名学生?参考答案与试题解析一、选择题(本题共计 10 小题,每题 3 分,共计30分)1.【答案】B【考点】一元一次方程的解【解析】把x=1代入方程,即可得出一个关于k的一元一次方程,求出方程的解即可.【解答】把x=1代入方程x−2k3=12−32x得:1−2k3=12−32×1,解得:k=2,2.【答案】B【考点】一元一次方程的应用——打折销售问题【解析】此题暂无解析【解答】解:设该商品原价为:x元,∵ 某商品打七折后价格为a元,∵ 0.7x=a,则x=107a(元),故选B.3.【答案】B方程的定义【解析】方程是含有未知数的等式,是等式但不含未知数不是方程,含未知数不是等式也不是方程.【解答】(1)2x+1,含未知数但不是等式,所以不是方程.(2)1+7=15−8+1,是等式但不含未知数,所以不是方程.x=x−1,是含有未知数的等式,所以是方程.(3)1−12(4)x+2y=3,是含有未知数的等式,所以是方程.故有所有式子中有2个是方程.故选:B.4.【答案】D【考点】方程的解【解析】此题暂无解析【解答】解:∵ x=0是方程3x+(2a+1)=x−(3a+2)的解,∵ 2a+1=−(3a+2),,解得:a=−35故选D.5.【答案】B【考点】一元一次方程的应用——其他问题列代数式根据题意得出原正方形的边长,再得出新正方形的边长,继而得出答案.【解答】解:∵ 原正方形的周长为acm,cm,∵ 原正方形的边长为a4∵ 将它按图的方式向外等距扩1cm,+2)cm,∵ 新正方形的边长为(a4+2)=(a+8)(cm),则新正方形的周长为4(a4因此需要增加的长度为a+8−a=8(cm).故选B.6.【答案】B【考点】由实际问题抽象出一元一次方程【解析】设只会下围棋的有x人,则只会下象棋的有(x+5)人,根据该班有30人会下象棋或围棋且两种棋都会下的有17人,即可得出关于x的一元一次方程,此题得解.【解答】设只会下围棋的有x人,则只会下象棋的有(x+5)人,依题意,得:x+(x+5)+17=30.7.【答案】B【考点】一元一次方程的应用——其他问题解一元一次方程【解析】可设中间的数为x,根据竖列上相邻的数相隔7可得其余2个数,相加等于各选项中数字求解即可.【解答】解:A、设中间的数为x,则最小的数为x−7,最大的数为x+7.x+(x−7)+(x+7)=39,解得:x=13,故此选项错误;B、设中间的数为x,则最小的数为x−7,最大的数为x+7.x+(x−7)+(x+7)=43,解得:x=433,故此选项符合题意;C、设中间的数为x,则最小的数为x−7,最大的数为x+7.x+(x−7)+(x+7)=57,解得:x=19,故此选项错误;D、设中间的数为x,则最小的数为x−7,最大的数为x+7.x+(x−7)+(x+7)=66,解得:x=22,故此选项错误;故选B.8.【答案】D【考点】解一元一次方程【解析】方程两边乘以6去分母得到结果,即可做出判断.【解答】解:方程x3−x−12=1,等式两边同时乘6得:2x−3(x−1)=6.故选D.9.【答案】B【考点】等式的性质【解析】利用等式的性质对每个等式进行变形即可找出答案.【解答】解:A、利用等式性质1,两边都加c,得到a+c=b+c,所以A不成立,故A选项错误;B、利用等式性质2,两边都乘以c,得到a=b,所以B成立,故B选项正确;C、成立的条件c≠0,故C选项错误;D、成立的条件a≠0,故D选项错误.故选B.10.【答案】A【考点】解一元一次方程【解析】把X=2代入方程得到一个关于m的方程,求出方程的解即可【解答】解得:m=2,故选A.二、填空题(本题共计 4 小题,每题 4 分,共计16分)11.【答案】5【考点】解一元一次方程【解析】此题暂无解析【解答】解:由已知得:2x−2=3+x,移项合并得:x=5,故答案为:5.12.【答案】m≠2【考点】一元一次方程的定义【解析】依据一元一次方程的定义可知m−2≠0,从而可求得m的取值范围.【解答】解:∵ (m−2)x−1=0是关于x的一元一次方程,∵ m−2=0.∵ m≠2.故答案为:m≠2.13.【答案】9x+8,等式的性质1【考点】等式的性质【解析】根据等式的基本性质即可解答.【解答】解:两边同时加上9x得:5x+9x−8=7,两边再同时加上8得:14x=5,故5x−8=7−9x两边同时加上9x+8,得到14x=15,根据是:等式的性质1.故答案是:9x+8,等式的性质1.14.【答案】6【考点】一元一次方程的应用——工程进度问题【解析】可设甲种蔬菜种植了x亩,则乙种蔬菜种植了(10−x)亩,等量关系为:甲种蔬菜总获利+乙种蔬菜总获利=18000.【解答】解:设甲种蔬菜种植了x亩,则乙种蔬菜种植了(10−x)亩,依题意得2000x+1500(10−x)=18000,解得x=6,答:甲种蔬菜种植了6亩.故答案为6.三、解答题(本题共计 5 小题,共计74分)15.【答案】去括号得:8a+8−6a+8=13,移项得:8a−6a=13−8−8,合并得:2a=−3,解得:a=−1.5;去分母得:2(2x−1)=2x+1−6,去括号得:4x−2=2x+1−6,移项得:4x−2x=1−6+2,合并得:2x=−3,解得:x=−1.5;去分母得:10y−5(y−1)=20−2(y+2),去括号得:10y−5y+5=20−2y−4,移项得:10y−5y+2y=20−4−5,合并得:7y=11,解得:y=117;方程整理得:20x3+83=7−15x,去分母得:20x+8=21−45x,移项得:20x+45x=21−8,合并得:65x=13,解得:x=0.2.【考点】解一元一次方程【解析】(1)方程去括号,移项合并,把a系数化为1,即可求出解;(2)方程去分母,去括号,移项合并,把x系数化为1,即可求出解;(3)方程去分母,去括号,移项合并,把y系数化为1,即可求出解;(4)方程整理后,去分母,去括号,移项合并,把x系数化为1,即可求出解.【解答】去括号得:8a+8−6a+8=13,移项得:8a−6a=13−8−8,合并得:2a=−3,解得:a=−1.5;去分母得:2(2x−1)=2x+1−6,去括号得:4x−2=2x+1−6,移项得:4x−2x=1−6+2,合并得:2x=−3,解得:x=−1.5;去分母得:10y−5(y−1)=20−2(y+2),去括号得:10y−5y+5=20−2y−4,移项得:10y−5y+2y=20−4−5,合并得:7y=11,解得:y=117;方程整理得:20x3+83=7−15x,去分母得:20x+8=21−45x,移项得:20x+45x=21−8,合并得:65x=13,解得:x=0.2.16.【答案】解:(1)设从甲班调x人到乙班,则:58−x=46+x;(2)设卖出全部商品共得到x元,则:25x=400.【考点】由实际问题抽象出一元一次方程【解析】(1)根据要使甲、乙两班的人数相等,表示出两班的人数即可得出等式;后,得到400元”,得出等式即可.(2)根据“卖出全部商品的25【解答】解:(1)设从甲班调x人到乙班,则:58−x=46+x;(2)设卖出全部商品共得到x元,则:2x=400.517.【答案】解:设该电器的成本价为x元,依题意有x(1+30%)×80%=2080.【考点】由实际问题抽象出一元一次方程【解析】设该电器的成本价为x元,根据成本价×(1+30%)×80%=售价为2080元可列出方程.【解答】解:设该电器的成本价为x元,依题意有x(1+30%)×80%=2080.18.【答案】长方形的长为10cm,宽为4cm.【考点】一元一次方程的应用——工程进度问题【解析】设长方形的长是xcm,根据正方形的边长相等即可列出方程求解.【解答】解:设长方形的长是xcm,则宽为(14−x)cm,根据题意得:x−2=(14−x)+4,解得:x=10,14−x=14−10=4.19.【解析】(1)根据题意得出两个班联合购票比分别购票的差值即可;(2)设(1)班有xx人,根据题意列出方程解答即可.【解答】解:(1)(1)1320−102×10=1320−102×10=300300(元)答:两个班联合购票比分别购票要省300300元.(2)(2)设(1)(1)班有xx人,因为(1)(1)班有4040多人,不足5050人,所以(2)(2)班人数必定大于5050,则:14x+12(102−x)=132014x+12(102−x)=1320,解得:x=48x=48,102−48=54102−48=54.答:(1)(1)班有4848人,(2)(2)班有5454人.【答案】解:(1)(1)1320−102×10=1320−102×10=300300(元)答:两个班联合购票比分别购票要省300300元.(2)(2)设(1)(1)班有xx人,因为(1)(1)班有4040多人,不足5050人,所以(2)(2)班人数必定大于5050,则:14x+12(102−x)=132014x+12(102−x)=1320,解得:x=48x=48,102−48=54102−48=54.答:(1)(1)班有4848人,(2)(2)班有5454人.。
人教版七年级数学上册第三章《一元一次方程》单元测试题(含答案)一、单选题1.一商店在某一时间以每件120元的价格卖出两件衣服,其中一件盈利20%,另一件亏损20%,在这次买卖中,这家商店( )A .不盈不亏B .盈利20元C .亏损10元D .亏损30元2.下列方程中,一元一次方程一共有( )①9x+2;②12x =;③(1-x)(1+x)=3;④()1113352x x x -=- A .1个 B .2个 C .3个 D .4个3.(古代数学问题)今有共买物,人出八,盈三;人出七,不足四.问人数、物价各几何?意思是:几个人一起去买某物品,如果每人出8钱,则多了3钱;如果每人出7钱,则少了4钱.问有多少人,物品的价格是多少?设有x 人,则根据题意列出方程正确的是( ) A .8x+3=7x ﹣4B .8x ﹣3=7x+4C .8x ﹣3=7x ﹣4D .8x+3=7x+44.下图是某超市中“飘柔”洗发水的价格标签,一服务员不小心将墨水滴在标签上,使得原价看不清楚,请帮忙第一算,该洗发水的原价是:( )A .22元B .23元C .24元D .25元5.若关于x 的方程321(32)x a x a ++=-+的解是0,则a 的值为( )A .15B .35C .15- D .356.下列方程:21126740.343492x x x x x x x +=-=+=-=①;②;③;④;0x =⑤;328x y -=⑥;112x =⑦;12x=⑧中是一元一次方程的个数是( ) A .6个 B .5个 C .4个 D .3个7.下列运用等式的性质,变形正确的是( )A .若x ﹣m =y +m ,则x =yB .若a =b ,则ac =bcC .若x =y ,则x ﹣m =y +mD .若ac =bc ,则a =b8. 下列方程中,属于一元一次方程的是( ).A .021=+xB .2y 432=+x C .22x 3x =+x D .x 31232=++x x9.某书店把一本新书按标价的八折出售,仍获利20%,若该书进价为20元,则标价( ) A .24元 B .26元 C .28元 D .30元10.方程3x ﹣6=0的解是( )A .x =3B .x =﹣3C .x =2D .x =﹣2第II 卷(非选择题)二、填空题11.关于x 的方程a 2x+x=1的解是__.12.某学校组织八年级6个班参加足球比赛,如果采用单循环制,一共安排______场比赛 13.某商品进价为40元,若按标价的8折出售仍可获利20%,则按标价出售可获利______元.14.当x=4时,式子5(x+b )﹣10与bx+4x 的值相等,则b=_____.15.我国古代数学著作《孙子算经》中记载了这样一个有趣的数学问题“今有五等诸侯,共分橘子60颗,人别加三颗,问五人各得几何?”题目大意是:诸侯5人,共同分60个橘子,若后面的人总比前一个人多分3个,问每个人各分得多少个橘子?若设中间的那个人分得x 个,依题意可列方程得_____.16.一个两位数,个位数字与十位数字的和是9,如果将个位数字与十位数字对调后所得的新数比原数大9,则原来的两位数是____.17.若293x +=2,且x y =94,则x =______,y =_______. 18.当a =____时,关于x 的方程314x -=-与方程562a x -=-的解相同.三、解答题19.解方程:x ﹣3=﹣12x ﹣4. 20.解方程:(1)5(x-1)+2=3-x(2)2121 1=63x x-+ -21.某纺织厂收购某种特色棉花,若直接转卖这种特色棉花,则每吨可获得的利润为500元.若经过B级加工再转卖,则每吨可获得的利润为1000元;若经过A级加工再转卖,则每吨可获得的利润为2000元.已知该纺织厂对棉花进行B级加工,每天可加工16吨;进行A级加工,每天可加工6吨,且这两种等级的加工不能同时进行.若该纺织厂收购了140吨这种特色棉花,决定15天内加工完,且有如下三种可行方案:方案一:将所收购的特色棉花直接转卖.方案二:将尽可能多的特色棉花进行A级加工,余下的部分直接转卖.方案三:一部分进行A级加工,另一部分进行B级加工,恰好15天完成.若你是该纺织厂负责人,想要获利最多,你决定使用哪套方案?请说明理由.22.一列客车和一列货车同时从甲、乙两个城市相对开出,已知客车每小时行55千米,客车速度与货车速度的比是11:9,两车开出后5小时相遇,甲、乙两城市间的铁路长多少千米?23.阅读理解:若A、B、C为数轴上三点,若点C到A的距离是点C到B的距离2倍,我们就称点C是(A,B)的好点.例如,如图1,点A表示的数为-1,点B表示的数为2,表示1的点C到点A的距离是2,到点B的距离是1,那么点C是(A,B)的好点;又如,表示0的点D到点A的距离是1,到点B的距离是2,那么点D就不是(A,B)的好点,但点D是(B,A)的好点.知识运用:(1)如图2,M,N为数轴上两点,点M所表示的数为-2,点N所表示的数为4.①在点M和点N中间,数_______所表示的点是(M,N)的好点:②在数轴上,数________和数_________所表示的点都是(N,M)的好点;(2)如图3,A、B为数轴上两点,点A所表示的数为-20,点B所表示的数为40,现有一只电子蚂蚁P从点B出发,以2个单位每秒的速度向左运动,到达点A停止,当t为何值时,P,A和B中恰有一个点为其余两点的好点?24.某电影院某日某场电影的票价是:成人票30元,学生票15元,满40人可以购买团体票(不足40人可按40人计算,票价打9折).某班在4位老师带领下去电影院看电影,学生人数为x人.(1)若学生人数为31人,该班买票至少应付多少元?(2)若学生人数为32人,该班买票至少应付多少元?(3)请用含x的代数式表示该班买票至少应付多少元.25.小明在学习了《展开与折叠》这一课后,明白了很多几何体都能展开成平面图形.于是他在家用剪刀展开了一个长方体纸盒,可是一不小心多剪了一条棱,把纸盒剪成了两部分,即图中的①和②.根据你所学的知识,回答下列问题:(1)小明总共剪开了______条棱.(2)现在小明想将剪断的②重新粘贴到①上去,而且经过折叠以后,仍然可以还原成一个长方体纸盒,你认为他应该将剪断的纸条粘贴到①中的什么位置?请你帮助小明在①上补全.(3)小明说:他所剪的所有棱中,最长的一条棱是最短的一条棱的5倍.现在已知这个长方体纸盒的底面是一个正方形,并且这个长方体纸盒所有棱长的和是880cm,求这个长方体纸盒的体积.26.一队学生去校外进行军事野营训练,他们以6千米/时的速度行进,在他们走了一段时间后,学校要将一个紧急通知传给队长,通讯员从学校出发,以10千米/时的速度按原路追上去,用了15分钟追上了学生队伍,问通讯员出发前,学生走了多少时间?27.如图,已知A、B、C是数轴上的三点,点C表示的数为6,BC=4,AB=14,动点P、Q分别从A、C同时出发,点P以每秒3个单位的速度沿数轴向右匀速运动,点Q以每秒1个单位的速度沿数轴向左匀速运动,M为AP的中点,点N在线段CQ上,且CQ=3CN.设运动的时间为t(t>0)秒.(1)写出点A表示的数,点B表示的数;(2)求MN的长(用含t的式子表示);(3)t为何值时,原点O恰为线段PQ的中点.参考答案1.C2.A3.B4.C5.D6.C7.B8.C9.D10.C11.211a.12.1513.2014.615.(x﹣6)+(x﹣3)+x+(x+3)+(x+6)=60.16.45.17.-32218.-319.x=-2320.(1)x=1;(2)x=5621.选方案二.理由见解析22.500.23.①2,②0或-8;(2)10秒、15秒或20秒24.(1)585;(2)594;(3)若0<x≤31时,该班买票至少应付(120+15x)元;若32≤x≤36时,该班买票至少应付594元;若x>36时,该班买票至少应付(108+13.5x)元.25.(1)8;(2)答案见解析:(3)200000立方厘米26.1627.(1)A:-12,B:2;(2) 18−116t;。
人教版七年级数学上册第三单元测试卷(第三章 一元一次方程)(时间:120分钟 满分:120分)一、选择题(每小题3分,共30分)1.下列方程中,是一元一次方程的是( D )A .5x -2y =9B .x 2-5x +4=0 C.5x +3=0 D.x 5-1=32.当1-(3m -5)2取得最大值时,关于x 的方程5m -4=3x +2的解是( A ) A.79 B.97 C .-79 D .-973.下列方程变形中,正确的是( D )A .方程3x -2=2x +1,移项,得3x -2x =-1+2B .方程3-x =2-5(x -1),去括号,得3-x =2-5x -1C .方程23t =32,未知数系数化为1,得t =1D .方程x -10.2-x0.5=1化成3x =6 4.用“”“”“”分别表示三种不同的物体,如图所示,前两架天平保持平衡,若要使第三架天平也平衡,那么“?”处应放“”的个数为( A )A .5个B .4个C .3个D .2个5.将方程0.9+0.5x -0.20.2=1.5-5x0.5变形正确的是( D )A .9+5x -22=15-50x 5B .0.9+5x -22=15-5x5C .9+5x -22=15-5x 5D .0.9+5x -22=3-10x6.下列运用等式的性质,变形不正确的是( D )A .若x =y ,则x +5=y +5B .若a =b ,则ac =bcC .若a c =b c ,则a =bD .若x =y ,则x a =y a7.已知关于x 的方程(2a +b)x -1=0无解,那么ab 的值是( D ) A .负数 B .正数 C .非负数 D .非正数8.超市店庆促销,某种书包原价每个x 元,第一次降价打“八折”,第二次降价每个又减10元,经两次降价后售价为90元,则得到方程( A )A .0.8x -10=90B .0.08x -10=90C .90-0.8x =10D .x -0.8x -10=909.当x =1时,代数式12ax 3-3bx +4的值是7,则当x =-1时,这个代数式的值是( C )A .7B .3C .1D .-710.有m 辆客车及n 个人,若每辆客车乘40人,则还有10人不能上车;若每辆客车乘43人,则只有1人不能上车.有下列四个等式:①40m +10=43m -1;②n +1040=n +143;③n -1040=n -143;④40m +10=43m +1.其中正确的是( D )A .①②B .②④C .②③D .③④ 二、填空题(每小题3分,共24分)11.方程(a -2)x |a|-1+3=0是关于x 的一元一次方程,则a =__-2__. 12.已知x -2y +3=0,则代数式-2x +4y +2017的值为__2023__.13.轮船沿江从A 港顺流行驶到B 港,比从B 港返回A 港少用3小时,若船速为26千米/小时,水速为2千米/小时,则A 港和B 港相距__504__千米.14.已知x -42与25互为倒数,则x 等于__9__.15.王大爷用280元买了甲、乙两种药材,甲种药材每千克20元,乙种药材每千克60元,且甲种药材比乙种药材多买了2千克,则甲种药材买了__5__千克.16.已知a 5=b 7=c8,且3a -2b +c =9,则2a +4b -3c =__14__.17.对于实数a ,b ,c ,d ,规定一种数的运算:错误!))=ad -bc ,那么当错误!))=10时,x =__-1__.18.某车间原计划13小时生产一批零件,后来每小时多生产了10件,用了12小时不但完成了任务,而且还多生产了60件.设原计划每小时生产y 个零件,则可列方程为__12(y +10)=13y +60__.三、解答题(共66分) 19.(10分)解下列方程:(1)x -12=4x 3+1; (2)0.1x -0.20.02-x +10.5=3.解:x =-95解:x =520.(8分)已知方程2-3(x +1)=0的解与关于x 的方程k +x2-3k -2=2x 的解互为倒数,求k 的值.解:解方程2-3(x +1)=0,得x =-13,则k +x 2-3k -2=2x 的解为x =-3,代入得k -32-3k -2=-6,解得k =121.(8分)已知x =3是方程3[(x 3+1)+m (x -1)4]=2的解,m ,n 满足关系式|2n +m|=1,求m +n的值.解:把x =3代入方程3[(x3+1)+m (x -1)4]=2,得m =-83,将m =-83代入|2n +m|=1,得|2n -83|=1,解得n =116或56,所以m +n =-56或-11622.(8分)小明在做家庭作业时发现练习册上一道解方程的题目被墨水污染了:x +12-5x -□3=-12,“□”是被污染的数,他很着急,翻开书后面的答案,这道题的解是x =2,你能帮他补上“□”的数吗?解:设“□”的数为m ,因为所给方程的解是x =2,所以2+12-5×2-m 3=-12,解得m =4.所以“□”的数为423.(10分)甲、乙两人同时从相距25千米的A 地去B 地,甲骑车乙步行,甲的速度是乙的速度的3倍,甲到达B 地停留40分钟,然后从B 地返回A 地,在途中遇见乙,这时距他们出发的时间恰好3小时,求两人的速度各是多少?解:设乙的速度为x 千米/小时,则甲的速度为3x 千米/小时,依题意得(3-4060)×3x +3x =25×2,解得x =5,所以3x =15,答:甲、乙两人的速度分别为15千米/小时和5千米/小时24.(10分)某工厂第一车间人数比第二车间人数的45少30人,如果从第二车间调10人到第一车间,那么第一车间人数就是第二车间人数的34,求原来每个车间的人数.解:设原来第二车间有x 人,则第一车间有(45x -30)人,依题意得45x -30+10=34(x -10),解得x =250,所以45x -30=170,答:原来第一车间有170人,第二车间有250人25.(12分)“中国竹乡”安吉县有着丰富的毛竹资源,某企业已收购毛竹52.5吨.根据市场信息,将毛竹直接销售,每吨可获得100元;如果对毛竹进行粗加工,每天可加工8吨,每吨可获得1000元;如果进行精加工,每天可加工0.5吨,每吨可获得5000元.由于受条件限制,在同一天中只能采用一种方式加工,并且必须在一个月(30天)内将这批毛竹全部销售.为此研究了两种方案:方案一:将毛竹全部粗加工后销售,则可获利__1000×52.5=52500__元;方案二:30天时间都进行精加工,未来得及加工的毛竹,在市场上直接销售,则可获利__0.5×30×5000+(52.5-0.5×30)×100=78750__元.问:是否存在第三种方案,将部分毛竹精加工,其余毛竹粗加工,并且恰好在30天内完成?若存在,求销售后所获利润;若不存在,请说明理由.解:存在,方案三:设粗加工x天,则精加工(30-x)天,依题意得8x+0.5(30-x)=52.5,解得x =5,所以30-x=25,则1000×5×8+5000×25×0.5=102500(元),答:销售后所获利润为102500元人教版七年级数学上册第四单元测试卷(第四章几何图形初步)(时间:120分钟满分:120分)一、选择题(每小题3分,共30分)1.将一副三角板按如图所示位置摆放,其中∠α与∠β一定互余的是( C)2.在灯塔O处观测到轮船A位于北偏西54°的方向,同时轮船B在南偏东15°的方向,那么∠AOB 的度数为( C)A.69° B.111° C.141° D.159°,第2题图) ,第3题图),第4题图)3.如图,点A,B,C顺次在直线l上,点M是线段AC的中点,点N是线段BC的中点,若想求出MN 的长度,那么只需条件( A)A.AB=12 B.BC=4 C.AM=5 D.CN=24.如图,将4×3的网格图剪去5个小正方形后,图中还剩下7个小正方形,为了使余下的部分 (小正方形之间至少有一条边相连)恰好能折成一个正方体,需要再剪去1个小正方形,则应剪去的小正方形的编号是( C)A.7 B.6 C.5 D.45.如图,点O在直线l上,∠1与∠2互余,∠α=116°,则∠β的度数是( C)A.144° B.164° C.154° D.150°,第5题图) ,第6题图) ,第7题图)6.(2016·凉山州)如图,是由若干个大小相同的正方体搭成的几何体,从不同方向看所得到的平面图形,该几何体所用的正方体的个数是( A)A.6个 B.4个 C.3个 D.2个7.如图,田亮同学用剪刀沿直线将一片平整的树叶剪掉一部分,发现剩下树叶的周长比原树叶的周长要小,能正确解释这一现象的数学知识是( D)A.垂线段最短 B.经过一点有无数条直线C.经过两点,有且仅有一条直线 D.两点之间,线段最短8.已知线段AB=10 cm,点C是直线AB上一点,BC=4 cm,若M是AC的中点,N是BC的中点,则线段MN的长度是( D)A.7 cm B.3 cm C.7 cm或3 cm D.5 cm9.钟表在8:25时,时针与分针的夹角是( B)度.A.101.5 B.102.5 C.120 D.12510.如果∠1与∠2互补,∠2与∠3互余,那么∠1与∠3的关系是( C)A.∠1=∠3 B.∠1=180°-∠3 C.∠1=90°+∠3 D.以上都不对二、填空题(每小题3分,共24分)11.用“度分秒”来表示:8.31度=__8__度__18__分__36__秒.12.一个角的余角比这个角的补角的一半小40°,则这个角为__80__度.13.已知A,B,C三点在同一条直线上,M,N分别为线段AB,BC的中点,且AB=60,BC=40,则MN 的长为__50或10__.14.如图,点O在直线AB上,射线OC平分∠DOB,若∠COB=35°,则∠AOD=__110__°.,第14题图) ,第15题图) ,第17题图) ,第18题图)15.如图,两块三角板的直角顶点O重叠在一起,且OB恰好平分∠COD,则∠AOD的度数是__135__度.16.平面内三条直线两两相交,最多有a个交点,最少有b个交点,则a+b=__4__.17.把一张长方形纸条按如图的方式折叠后,量得∠AOB′=110°,则∠B′OC=__35°__.18.如图,OA的方向是北偏东15°,OC的方向是北偏西40°,若∠AOC=∠AOB,则OB的方向是__北偏东70°__.三、解答题(共66分)19.(8分)根据下列语句,画出图形.已知四点A,B,C,D.①画直线AB;②连接AC,BD,相交于点O;③画射线AD,BC,交于点P.解:略20.(8分)一个角的余角比这个角的12少30°,请你计算出这个角的大小.解:设这个角为x ,则它的余角为(90°-x ),依题意得12x -(90°-x )=30°,解得x =80°,答:这个角是80°21.(8分)如图,点M 是线段AC 的中点,点B 在线段AC 上,且AB =4 cm ,BC =2AB ,求线段MC 和线段BM 的长.解:因为AB =4 cm ,BC =2AB ,所以BC =8 cm ,所以AC =AB +BC =12 cm ,因为M 是线段AC 中点,所以MC =AM =12AC =6 cm ,所以BM =AM -AB =2 cm22.(8分)如图,已知线段AB 和CD 的公共部分BD =13AB =14CD ,线段AB ,CD 的中点E ,F 之间的距离是10 cm ,求AB ,CD 的长.解:设BD =x cm ,则AB =3x cm ,CD =4x cm ,AC =6x cm ,因为点E ,F 分别为AB ,CD 的中点,所以AE =12AB =1.5x cm ,CF =12CD =2x cm ,所以EF =AC -AE -CF =6x -1.5x -2x =2.5x (cm ),因为EF =10 cm ,所以2.5x =10,解得x =4,所以AB =12 cm ,CD =16 cm23.(10分)如图,已知直线AB 和CD 相交于点O ,∠COE 是直角,OF 平分∠AOE ,∠COF =34°,求∠BOD 的度数.解:因为∠COE 是直角,∠COF =34°,所以∠EOF =56°,又因为OF 平分∠AOE ,所以∠AOF =∠EOF =56°.因为∠COF =34°,所以∠AOC =∠AOF -∠COF =22°,所以∠BOD =∠AOC =22°24.(12分)如图,点C 在线段AB 上,AC =8 cm ,CB =6 cm ,点M ,N 分别是AC ,BC 的中点.(1)求线段MN 的长;(2)若C 为线段AB 上任意一点,满足AC +CB =a cm ,其他条件不变,你能猜想出MN 的长度吗?并说明理由;(3)若C 在线段AB 的延长线上,且满足AC -CB =b cm ,点M ,N 分别为AC ,BC 的中点,你能猜想出MN 的长度吗?请画出图形,写出你的结论,并说明理由.解:(1)因为点M ,N 分别是AC ,BC 的中点,所以MC =12AC =4 cm ,NC =12BC =3 cm ,所以MN =MC +NC =7 cm (2)MN =MC +NC =12AC +12BC =12AB =12a cm (3)图略,MN =12b cm.理由:MN =MC -NC =12AC -12BC =12(AC -BC )=12b cm25.(12分)如图,OM 是∠AOC 的平分线,ON 是∠BOC 的平分线.(1)如图①,当∠AOB 是直角,∠BOC =60°时,∠MON 的度数是多少? (2)如图②,当∠AOB =α,∠BOC =60°时,猜想∠MON 与α的数量关系;(3)如图③,当∠AOB =α,∠BOC =β时,猜想∠MON 与α,β有数量关系吗?如果有,写出你的结论,并说明理由.解:(1)∠MON =∠MOC -∠NOC =12∠AOC -12∠BOC =12(∠AOC -∠BOC )=12∠AOB =45° (2)∠MON =∠MOC -∠NOC =12∠AOC -12∠BOC =12(∠AOC -∠BOC )=12∠AOB =12α (3)∠MON =12α.理由:∠MON =∠MOC-∠NOC =12(α+β)-12β=12α。
北师大版七年级上册数学第三章《整式及其加减》单元综合测试卷(含答案)一、选择题(每题3分,共30分)1.下列式子符合书写规范的是( )A .-1xB .115xyC .0.3÷xD .-52a 2.下列各式中,是单项式的是( )A .x 2-1B .a 2b C.πa +b D.x -y 3 3.单项式-π3a 2b 的系数和次数分别是( ) A .π3,3 B .-π3,3 C .-13,4 D.13,4 4.下列单项式中,与a 2b 是同类项的是( )A .2a 2bB .a 2b 2C .ab 2D .3ab5.如果多项式(a -2)x 4-12x b +x 2-3是关于x 的三次多项式,那么( ) A .a =0,b =3 B .a =1,b =3 C .a =2,b =3 D .a =2,b =16.下列去括号正确的是( )A .(a -b )-(c -d )=a -b -c -dB .-a -2(b -c )=-a -2b +2cC .-(a -b )+c =-a -b +cD .-2(a -b )-c =-2a +b -c7.【2021·台州】将x 克含糖10%的糖水与y 克含糖30%的糖水混合,混合后的糖水含糖( )A.20% B.x+y2×100% C.x+3y20×100% D.x+3y10x+10y×100%8.如图①是一个长为2m、宽为2n的长方形,其中m>n,先用剪刀沿图中虚线(对称轴)剪开,将它分成四个形状和大小都一样的小长方形,再将这四个小长方形拼成一个如图②的正方形,则中间空白部分的面积是( )A.2mn B.(m+n)2 C.(m-n)2 D.m2-n29.代数式2a2+3a+1的值是6,那么代数式6a2+9a+5的值是( ) A.20 B.18 C.16 D.1510.【教材P104复习题T16变式】【2020·德州】如图是用黑色棋子摆成的美丽图案,按照这样的规律摆下去,第10个这样的图案需要黑色棋子的个数为( )A.148 B.152 C.174 D.202二、填空题(每题3分,共24分)11.用代数式表示“比a的平方的一半小1的数”是____________.12.若单项式-2x3yn与4x m+2y5合并后的结果还是单项式,则m+n=________.13.【教材P101复习题T2变式】按照如图所示的步骤操作,若输入x的值为-4,则输出的值为________.14.在山东部分地区,大年初一常常包上几个装有硬币的饺子,吃到“钱馅”饺子的人,寓意新的一年财源滚滚、大吉大利.因为怕弄坏牙齿,朵朵的奶奶就把花生放在饺子里代替硬币,朵朵家有6口人,奶奶按照每人n 粒花生的规则包饺子(每个饺子包1粒),那么有花生的饺子有________个.15.若多项式2x 3-8x 2+x -1与多项式3x 3+2mx 2-5x +3的和不含x 2项,则m =________.16.某同学计算一个多项式加上xy -3yz -2xz 时,误认为减去此式,计算出的错误结果为xy -2yz +3xz ,则正确的结果是__________.17.已知有理数a ,b ,c 在数轴上对应点的位置如图所示,化简|a +c |-|c -b |-|a +b |的结果为________.18.【2021·怀化】观察等式:2+22=23-2,2+22+23=24-2,2+22+23+24=25-2……已知按一定规律排列的一组数:2100,2101,2102,…,2199,若2100=m ,用含m 的代数式表示这组数的和是__________.三、解答题(19,21,22题每题10分,其余每题12分,共66分)19.先去括号,再合并同类项:(1)2a -(5a -3b )+(4a -b ); (2)3x 2y -⎣⎢⎡⎦⎥⎤2xy 2-2⎝ ⎛⎭⎪⎫xy -32x 2y +xy +3xy 2.20.先化简,再求值:(1)7a 2b +(-4a 2b )-(2a 2b -2ab ),其中a =-2,b =1;(2)2x 2-⎣⎢⎡⎦⎥⎤3⎝ ⎛⎭⎪⎫-13x 2+23xy -2y 2-2(x 2-xy +2y 2),其中x =12,y =-1.21.【教材P 102复习题T 9变式】已知代数式A =2x 2+3xy -2x -1,B =-x 2+xy -1.(1)当x =y =-1时,求2A +4B 的值;(2)若2A +4B 的值与x 的取值无关,求y 的值.22.如图,某纪念馆要在两块紧挨在一起的长方形荒地上修建一个半圆形花圃,尺寸如图所示(单位:m).(1)求阴影部分的面积(用含x的代数式表示);(2)当x=9,π取3时,求阴影部分的面积.23.比较两个数的大小时,我们可以用“作差法”.它的基本思路是求a与b两数的差,当a-b>0时,a>b;当a-b<0时,a<b;当a-b=0时,a=b.试运用“作差法”解决下列问题:(1)比较2a+1与2(a+1)的大小;(2)比较a+b与a-b的大小.24.某家具厂生产一种课桌和椅子,课桌每张定价200元,椅子每把定价80元,厂方在开展促销活动期间,向客户提供两种优惠方案:方案一:每买一张课桌就赠送一把椅子;方案二:课桌和椅子都按定价的80%付款.某校计划添置100张课桌和x把椅子.(1)若x=100,请计算哪种方案划算;(2)若x>100,请用含x的代数式分别把两种方案的费用表示出来;(3)若x=300,如果两种方案可以同时使用,请帮助学校设计一种最省钱的方案.参考答案一、1.D 2.B 3.B 4.A 5.C 6.B 7.D8.C 9.A10.C点思路:根据图案知,第1个图案有12个棋子,第2个图案有22个棋子,第3个图案有34个棋子,…第n 个图案有2[1+2+…+(n +1)+(n +2)]+2(n -1)=(n +2)(n +3)+2(n -1)(个)棋子.故第10个这样的图案需要黑色棋子的个数为(10+2)(10+3)+2×(10-1)=174.二、11.12a 2-1 12.6 13.-6 14.6n 15.4 16.3xy -8yz -xz 点拨:由题意可知原多项式为(xy -2yz +3xz )+(xy -3yz-2xz )=2xy -5yz +xz ,则正确的结果为(2xy -5yz +xz )+(xy -3yz -2xz)=3xy -8yz -xz .17.2b -2c 点拨:由题图可知a +c <0,c -b >0,a +b <0,所以原式=-(a+c)-(c -b)-[-(a +b)]=-a -c -c +b +a +b =2b -2c.18.m 2-m点技巧:由题中规律,得2100+2101+2102+…+2199=(2+22+23+...+2199)-(2+22+23+ (299)=(2200-2)-(2100-2)=(2100)2-2100.因为2100=m ,所以原式=m 2-m .三、19.解:(1)原式=2a -5a +3b +4a -b =a +2b ;(2)原式=3x 2y -(2xy 2-2xy +3x 2y +xy )+3xy 2=3x 2y -2xy 2+2xy -3x 2y -xy +3xy 2=xy +xy 2.20.解:(1)7a 2b +(-4a 2b )-(2a 2b -2ab )=7a 2b -4a 2b -2a 2b +2ab =a 2b +2ab .把a =-2,b =1代入,得原式=(-2)2×1+2×(-2)×1=0.(2)2x 2-[3(-13x 2+23xy )-2y 2]-2(x 2-xy +2y 2)=2x 2-(-x 2+2xy -2y 2)-(2x 2-2xy +4y 2)=2x 2+x 2-2xy +2y 2-2x 2+2xy -4y 2=x 2-2y 2.把x =12,y =-1代入,得原式=⎝ ⎛⎭⎪⎫122-2×(-1)2=-74. 21.解:(1)2A +4B =2(2x 2+3xy -2x -1)+4(-x 2+xy -1)=4x 2+6xy -4x -2-4x 2+4xy -4=10xy -4x -6.当x =y =-1时,原式=10×(-1)×(-1)-4×(-1)-6=10+4-6=8.(2)2A +4B =10xy -4x -6=(10y -4)x -6.因为2A +4B 的值与x 的取值无关,所以10y -4=0,解得y =0.4.22.解:(1)由题图中各个部分面积之间的关系可得,阴影部分的面积=2(x -2)+4(x -2-2)-12π·⎝ ⎛⎭⎪⎫2+422=2x -4+4x -16-92π=⎝ ⎛⎭⎪⎫6x -20-92πm 2. (2)当x =9,π取3时,阴影部分的面积为54-20-272=412(m 2). 23.解:(1)因为2a +1-2(a +1)=2a +1-2a -2=-1<0,所以2a +1<2(a +1).(2)(a+b)-(a-b)=a+b-a+b=2b.①当b>0时,a+b>a-b;②当b<0时,a+b<a-b;③当b=0时,a+b=a-b.24.解:(1)当x=100时,方案一:100×200=20 000(元);方案二:100×(200+80)×80%=22 400(元).因为20 000<22 400,所以方案一划算.(2)当x>100时,方案一:100×200+80(x-100)=80x+12 000(元);方案二:(100×200+80x)×80%=64x+16 000(元).(3)当x=300时,①按方案一购买:80×300+12 000=36 000(元);②按方案二购买:64×300+16 000=35 200(元);③先按方案一购买100张课桌,同时送100把椅子,再按方案二购买200把椅子:100×200+80×200×80%=32 800(元),36 000>35 200>32 800,即先按方案一购买100张课桌,同时送100把椅子,再按方案二购买200把椅子最省钱。
七年级上册数学第三单元测试卷及答案人教版七年级数学上册第三单元测试题一、填空题(每题2分,共32分)1.在① ;② ;③ ;④ 中,等式有_______,方程有_______.(填入式子的序号)2.如果,那么a=,其根据是.3.方程的解是 _______.4.当x=时,代数式的值是 .5.已知等式是关于x的一元一次方程,则m=____________.6.当x=时,代数式与代数式的值相等.7.根据“ 的倍与的和比的小”,可列方程为______ _.8.若与有相同的解,那么 _______.9.关于方程的解为___________________________.10.若关于x的方程的解是,则代数式的值是_________.11.代数式与互为相反数,则 .12.已知三个连续奇数的和是,则中间的那个数是_______.13.某工厂引进了一批设备,使今年单位成品的成本较去年降低了 .已知今年单位成品的成本为元,则去年单位成品的成本为_______元.14.小李在解方程 (x为未知数)时,误将看作,解得方程的解,则原方程的解为___________________________.15.假定每人的工作效率都相同,如果个人天做个玩具熊,那么个人做个玩具熊需要______天.16.轮船沿江从A港顺流行驶到B港,比从B港返回A港少用3小时,若船速为26千米/小时,水速为2千米/时,则A港和B港相距______千米.二、解答题(共68分)17.解下列方程(每题2分,共8分)(1) ;Com](2)(3)(4)18.(6分)老师在黑板上出了一道解方程的题,小明马上举手,要求到黑板上做,他是这样做的:…………………①………………………②………………………③…………………………………④…………………………………⑤老师说:小明解一元一次方程的一般步骤都知道却没有掌握好,因此解题时有一步出现了错误,请你指出他错在_________(填编号);然后,你自己细心地解下面的方程:(1) (2)19.(3分)如果方程的解是,求的值.20. (3分)已知等式是关于的一元一次方程(即未知),求这个方程的解.21.(4分)初一学生王马虎同学在做作业时,不慎将墨水瓶打翻,使一道作业只能看到:甲、乙两地相距160千米,摩托车的速度为45千米/时,运货汽车的速度为35千米/时,_________________________________?请你将这道作业题补充完整并列出方程解答.22.( 4分)某人共收集邮票若干张,其中是2000年以前的国内外发行的邮票,是2001年国内发行的,是2002年国内发行的,此外尚有不足100张的国外邮票.求该人共有多少张邮票.23.(4分)某商场在元旦期间,开展商品促销活动.将某型号的电视机按进价提高后,打折另送元路费的方式销售,结果每台电视机仍获利元,问每台电视机的进价是多少元?24.(6分)某文艺团体为“希望工程”募捐组织了一场义演,共售出1000张票,筹出票款6920元,且每张成人票8元,学生票5元.(1)问成人票与学生票各售出多少张?(2)若票价不变,仍售出1000张票,所得的票款可能是7290元吗?为什么?25.(6分)你坐过出租车吗?请你帮小明算一算.杭州市出租车收费标准是:起步价( 千米以内) 元,超过千米的部分每千米元,小明乘坐了千米的路程.(1)请写出他应该去付费用的表达式;(2)若他支付的费用是元,你能算出他乘坐的路程吗?26.(6分)公园门票价格规定如下表:购票张数 1~50张 51~100张 100张以上每张票的价格 13元 11元 9元某校初一(1)、(2)两个班共104人去游公园,其中(1)班人数较少,不足5 0人.]经估算,如果两个班都以班为单位购票,则一共应付1240元,问:(1)两班各有多少学生?(2)如果两班联合起来,作为一个团体购票,可省多少钱?(3)如果初一(1)班单独组织去游公园,作为组织者的你将如何购票才最省钱?27.(9分)有一些相同的房间需要粉刷,一天3傅去粉刷8个房间,结果其中有40m2墙面未来得及刷;同样的时间内5名徒弟粉刷了9个房间的墙面.每傅比徒弟一天多刷30m2的墙面.(1)求每个房间需要粉刷的墙面面积;(2)张老板现有36个这样的房间需要粉刷,若请1傅带2名徒弟去,需要几天完成?(3)已知每傅,徒弟每天的工资分别是85元,65元,张老板要求在3天内完成,问如何在这8个人中雇用人员,才合算呢?28.(9分)某原料供应商对购买其原料的顾客实行如下优惠办法:(1)一次购买金额不超过1万元,不予优惠;(2)一次购买金额超过1万元,但不超过3万元,全部9折优惠;(3)一次购买的超过3万元,其中3万元9折优惠,超过3万元的部分8折优惠.某人因库容原因,第一次在供应商处购买原料付7800元,第二次购买付款26100元,如果他是一次购买同样数量的原料,则应付款多少元?可少付款多少元?人教版七年级数学上册第三单元测试题参考答案一、填空题1.②③④,②④2.,等号两边同时加3,等式仍然成立3.4.25.6.7.8.9.或10.11.12.1713.9.614.15.16.21二、解答题17.(1);(2);(3);(4)18.①,(1);(2)19.720.21.略22.152张23.1200元24.(1)成人票640张,学生票360张;(2)不可能25.(1);(2)13千米26:(1):初一(1)班48人,初一(2)班56人;(2):304元;(3):多买3张27.(1)50平方米;(2)5天;(3)师傅2人,徒弟6人28.应付32440元,少付1460元。
人教版七年级数学上册《第三章代数式》单元测试卷-附答案一、单选题1.下列各式中,符合代数式书写规则的是( )A .5x ⨯B .112xy C .2.5t D .1x y -÷2.当2m =-,5n =时,代数式()3m n -+的值是( )A .6B .6-C .9D .9-3.代数式()55y -的正确含义是( )A .5乘y 减5B .y 的5倍减去5C .y 与5的差的5倍D .5与y 的积减去54.小明家距离学校m p ,小明从家出发骑车h t 可到学校,若要提前1h 到校(1t >),则每小时需行驶( )A .1m p t ⎛⎫+ ⎪⎝⎭B .1m pt ⎛⎫- ⎪⎝⎭ C .m 1pt - D .m 1pt +5.已知5x =,2y =且x y x y +=--,则x y -的值为( )A .3±B .3±或7±C .3-或7D .3-或7-6.当2x =时,代数式31px qx ++的值为2024,则当2x =-时,代数式31px qx ++的值为( ) A .2022 B .2022- C .2021 D .2021-7.按如图所示的运算程序,能使运算输出的结果为1的是( )A .3x = 4y =B .=1x - 1y =-C .2x = 1y =-D .2x =- 3y =8.已知x ,y ()22310x y --=,则下列式子的值最大的是( ).A .x y +B .x y -C .xyD .y x9.如图所示的正方形是由四个等腰直角三角形拼成的,则阴影部分的面积为( )A .22m n +B .22m n -C .2mnD .4mn10.已知四个不同的整数a b c d 、、、满足等式()()()()2015122479a b c d ----=,则+++a b c d 的值为( )A .0B .2015C .2058D .2067二、填空题11.小明买单价p 元的商品3件,给卖家q 元,应找回 元.12.设a b 、互为相反数,、c d 互为倒数,则()2024a b cd +-值是 .13.学校买来20个足球,每个a 元,又买来b 个篮球,每个58元.2058a b +表示 ;当45a = 10b = 则2058a b += 元.14.如图,一个瓶身为圆柱体的玻璃瓶内装有高a 厘米的墨水,将瓶盖盖好后倒置,墨水水面高为h 厘米,则瓶内的墨水的体积约占玻璃瓶容积的 .三、解答题15.线段AB 上有一点C ,AC 的长度是BC 的3倍少2,若BC 的长度用x 表示,则表示出AB 的长度.16.已知有理数a ,b ,c ,d ,e 其中a ,b 互为倒数,c ,d 互为相反数,e 的绝对值为2,求1325c d ab e +++的值.17.若||2a =,b 既不是正数也不是负数,c 是最大的负整数.(1)分别求出a 、b 、c 的值;(2)求2022a b c +-的值.18.如图,是由长方形、正方形、三角形及圆组成的图形(长度单位:m ).(1)用式子表示图中阴影部分的面积:(2)按照图所示的尺寸设计并画出一个新的图形,使其面积等于参考答案1.C2.D3.C4.C5.D6.B7.D8.A9.C10.C11.()3q p -12.1-13. 买20个足球和b 个篮球一共的价钱 1480 14.a a b +/a b a + 15.42x -16.162或152- 17.(1)2a =± 0b = 1c =-;(2)3或1 18.(1)(2)。
第三章 一元一次方程 单元A 卷一、单选题(共10题;共50分)1. ( 5分 ) 若力程2x+1=-2与关于x 的方程1-2(x-a)=2的解相同,则a 的值是( ) A. 1 B. -1 C. -2 D. -2. ( 5分 ) 已知实数 a ,b 满足 a+1>b+1,则下列选项可能错误....的是( ) A. a>b B. -3a<-3b C. a+2>b+2 D. ac 2>bc 23. ( 5分 ) 如果am=an,那么下列等式不一定成立的是( )A. am-3=an-3B. 5+am=5+anC. m=nD. −12am =−12an4. ( 5分 ) 方程2-2x−43=x−76去分母得( )A. 2-2(2x -4)=-(x -7)B. 12-2(2x -4)=-x -7C. 12-4x -8=-(x -7)D. 12-2(2x -4)=x -7 5. ( 5分 ) 已知关于x 的方程7﹣kx=x+2k 的解是x=2,则k 的值为( )A. ﹣3B. 45 C. 1 D. 546. ( 5分 ) 已知5是关于x 的方程ax+b=0的解,则关于x 的方程a (x+3)+b=0的解是( ) A. ﹣3 B. 0 C. 2 D. 57. ( 5分 ) 一双运动鞋先按成本提高40%标价,再以8折(标价的80%)出售,结果获利27元,若设这双运动鞋的成本价是x 元,根据题意,可得到的方程是( )A. (1+40%)x•80%=x ﹣27B. (1+40%)x•80%=x+27C. (1﹣40%)x•80%=x -27D. (1﹣40%)x•80%=x+278. ( 5分 ) 某车间有26名工人,每人每天可以生产800个螺栓或1 000个螺母,1个螺栓需要配2个螺母,为使每天生产的螺栓和螺母刚好配套,设安排x 名工人生产螺栓,则下面所列方程正确的是( ) A. 2×1 000(26-x )=800x B. 1 000(13-x )=800x C. 1 000(26-x )=2×800x D. 1 000(26-x )=800x9. ( 5分 ) 当a 取什么范围时,关于x 的方程|x ﹣4|+2|x ﹣2|+|x ﹣1|+|x|=a 总有解?( ) A. a≥4.5 B. a≥5 C. a≥5.5 D. a≥610. ( 5分) 某市在“五水共治”中新建成一个污水处理厂.已知该厂库池中存有待处理的污水a吨,另有从城区流入库池的待处理污水(新流入污水按每小时b吨的定流量增加).若污水处理厂同时开动2台机组,需30小时处理完污水;若同时开动3台机组.需15小时处理完污水.现要求恰好用5个小时将污水处理完毕,则需同时开动的机组数为()A. 6台B. 7台C. 8台D. 9台二、填空题(共6题;共30分)11. ( 5分) 当x=________时,代数式x+12与x﹣3的值互为相反数.12. ( 5分) 若x=3是关于x的方程x−2a=7的解,则a=________.13. ( 5分) 一张方桌由一个桌面和四条桌腿组成,如果1立方米木料可制作方桌的桌面50个或制作桌腿300条,现有5立方米木料,设用x立方米木料做桌面,那么桌腿用木料(5-x)立方米,这里x应满足的方程是________.14. ( 5分) 如图是由若干个粗细均匀的铁环最大限度地拉伸组成的链条.已知铁环粗1厘米,每个铁环长5厘米.设铁环间处于最大限度的拉伸状态.若要组成2米长的链条,则需要________个铁环.15. ( 5分) 已知关于x的一元一次方程x2019+5=2019x+m的解为x=2018,那么关于y的一元一次方程5−y2019﹣5=2019(5﹣y)﹣m的解为________.16. ( 5分) 有理数a,b,c在数轴上的对应点如图所示,计算a-b+c________0(填“>”“<”或“=”).三、计算题(共1题;共8分)17. ( 8分) 解方程:(1)3−4x=2x−3(2)−12x+1=16x−3四、解答题(共2题;共16分)18. ( 8分) 制作一张桌子需要一个桌面和四个桌腿,1m3木材可制作20个桌面或制作400条桌腿,现有12m3的木材,应怎样计划才能使桌面和桌腿刚好配套?能制成多少套桌椅?19. ( 8分) 家具厂制作一张桌子需要一个桌面和3条桌腿,1立方米木材可制作20个桌面,或者制作360条桌腿,现有7立方米木材,应该用多少立方米木材生产桌面,才能使所有木材生产出的桌面与桌腿正好配套?五、综合题(共1题;共16分)20. ( 16分) 某中学开学初到商场购买A.B两种品牌的额温枪,购买A种品牌的额温枪50个,B种品牌的额温枪25个,共花费4500元,已知购买一个B种品牌的额温枪比购买两个A种品牌的额温枪少花20元.(1)如果购买一个A种品牌的额温枪a元,则购买一个B种品牌额温枪________元(用含a的式了表示).(2)求购买一个A种品牌的额温枪和一个B种品牌的额温枪各需多少元;(3)由于疫情比预计的时间要长,学校决定第二次购买A、B两种品牌额温枪共50个.正好赶上商场对商品价格进行调整,A种品牌额温枪售价比第一次购买时提高了8%,B种品牌额温枪按第一次购买时售价的九折出售.如果学校第二次购买A、B两种品牌额温枪的总费用是第一次购买额温枪总费用的70%,求学校第二次购买A种品牌的额温枪多少个.第三章一元一次方程单元A卷一、单选题(共10题;共50分)1. ( 5分) 若力程2x+1=-2与关于x的方程1-2(x-a)=2的解相同,则a的值是( )A. 1B. -1C. -2D. -【答案】B【考点】一元一次方程的解,解一元一次方程【解析】【解答】解:方程2x+1=-2,,解得:x= −32代入方程得:1+3+2a=2,解得:a=-1故答案为:B.【分析】求出第一个方程的解得到x的值,代入第二个方程计算即可求出a的值.2. ( 5分) 已知实数a,b 满足a+1>b+1,则下列选项可能错误....的是()A. a>bB. -3a<-3bC. a+2>b+2D. ac2>bc2【答案】D【考点】等式的性质【解析】【解答】解:A、∵ a+1>b+1∴a>b,故A不符合题意;B、∵a>b,∴ -3a<-3b ,故B不符合题意;C、∵a>b,∴ a+2>b+2 ,故C不符合题意;D、∵a>b,当c=0时则ac2=bc2,故D符合题意;故答案为:D.【分析】利用不等式的性质1,可得到a>b,可对A作出判断;利用不等式的性质3,可对B作出判断;利用不等式的性质2,可对C作出判断;利用不等式的性质2,分情况讨论当c=0和c≠0,可对D作出判断。
人教版七年级数学上册《第三章一元一次方程》单元测试题一.选择题(共10小题)1.下列方程中,不是一元一次方程的为()A.3x+2=6B.4x﹣2=x+1C.x+1=0D.5x+6y=12.若(m﹣2)x|2m﹣3|=6是一元一次方程,则m等于()A.1B.2C.1或2D.任何数3.把方程﹣=1去分母后,正确的是()A.3x﹣2(x﹣1)=1B.3x﹣2(x﹣1)=6C.3x﹣2x﹣1=12D.3x﹣2(x﹣1)=124.为了提倡节约用水,采用“阶梯水价”收费办法:每户用水不超过5方,每方水费x元,超过5方,超过部分每方加收2元,小张家今年3月份用水11方共交水费56元,根据题意列出关于x的方程,正确的是()A.5x+6(x﹣2)=56B.5x+6(x+2)=56C.11(x+2)=56D.11(x+2)﹣6×2=565.关于x的一元一次方程2x a﹣2+m=4的解为x=1,则a+m的值为()A.9B.8C.5D.46.下列等式变形错误的是()A.若a=b,则B.若a=b,则3a=3bC.若a=b,则ax=bxD.若a=b,则7.下列解方程去分母正确的是()A.由,得2x﹣1=3﹣3xB.由,得2x﹣2﹣x=﹣4C.由,得2 y﹣15=3yD.由,得3(y+1)=2 y+68.已知某座桥长800米,现有一列火车从桥上通过,测得火车从开始上桥到完全通过共用了1分钟,这列火车完全在桥上的时间为40秒,则火车的速度和车长分别是()A.20米/秒,200米B.18米/秒,180米C.16米/秒,160米D.15米/秒,150米9.某品牌服装店一次同时售出两件上衣,每件售价都是135元,若按成本计算,其中一件盈利25%,另一件亏损25%,则这家商店在这次销售过程中()A.盈利为0B.盈利为9元C.亏损为8元D.亏损为18元10.甲车队有汽车100辆,乙车队有汽车68辆,根据情况需要甲车队的汽车是乙车队的汽车的两倍,则需要从乙队调x辆汽车到甲队,由此可列方程为()A.100﹣x=2(68+x)B.2(100﹣x)=68+xC.100+x=2(68﹣x)D.2(100+x)=68﹣x二.填空题(共8小题)11.已知3m﹣11与5m﹣7是互为相反数,则m=.12.对于任意四个有理数a,b,c,d,可以组成两个有理数对(a,b)与(c,d).我们规定:(a,b)※(c,d)=ac﹣bd.例如:(1,2)※(3,4)=1×3﹣2×4=﹣5.若有理数对(2x,﹣3)※(1,x+1)=8,则x=.13.当x时,式子x+1与2x+5的值互为相反数.14.已知x=3是关于x方程mx﹣8=10的解,则m=.15.若关于x的方程(m﹣4)x|m|﹣3﹣2=0是一元一次方程,则m=.16.从一个内径为12cm的圆柱形茶壶向一个内径为6cm、内高为12cm的圆柱形茶杯中倒水,茶杯中的水满后,茶壶中的水下降了cm.17.五一期间,青年旅行社组织一个团;老师和学生共50人组成的旅行团到凤凰古城旅游,景区门票售票标准是:成人门票50元/张,学生门票20元/张,该旅行团购买门票共花费1800元,若设该团购买成人门票x张,则可列方程为:.18.有2020个数排成行,对于任意相邻的三个数,都有中间的数等于前后两数的和.如果第一个数是0,第二个数是1,那么前6个数的和是0,这2020个数的和是.三.解答题(共8小题)19.解方程(1)x﹣2(x﹣4)=3(1﹣x)(2)1﹣=20.有一组互相咬合的齿轮.(1)大齿轮有140个齿,小齿轮齿数是大齿轮齿数的,小齿轮有多少个齿?(2)大齿轮每分钟转80周,比小齿轮每分钟转的周数少,小齿轮每分钟转多少周?21.已知(m2﹣1)x2﹣(m﹣1)x+8=0是一元一次方程.(1)求代数式200(m+x)(x﹣2m)﹣18m的值;(2)求关于y的方程m|y﹣2|=x的解.22.学校要购入两种记录本,预计花费460元,其中A种记录本每本3元,B种记录本每本2元,且购买A种记录本的数量比B种记录本的2倍还多20本.(1)求购买A和B两种记录本的数量;(2)某商店搞促销活动,A种记录本按8折销售,B种记录本按9折销售,则学校此次可以节省多少钱?23.定义:若关于x的一元一次方程ax=b的解为b+a,则称该方程为“和解方程”,例如:2x=﹣4的解为x=﹣2,且﹣2=﹣4+2,则该方程2x=﹣4是和解方程.(1)判断﹣3x=是否是和解方程,说明理由;(2)若关于x的一元一次方程5x=m﹣2是和解方程,求m的值.24.列方程解应用题(1)某车间有24名工人,每人每天平均生产螺栓12个或螺母18个,两个螺栓配三个螺母.为了使每天的产品刚好配套,应该分配多少名工人生产螺栓,多少名工人生产螺母?(2)某校举行元旦汇演,七(01)、七(02)班各需购买贺卡70张,已知贺卡的价格如下:购买贺卡数不超过30张30张以上不超过50张50张以上每张价格3元 2.5元2元(ⅰ)若七(01)班分两次购买,第一次购买24张,第二次购买46张,七(02)班一次性购买贺卡70张,则七(01)班、七(02)班购买贺卡费用各是多少元?哪个班费用更节省?省多少元?(ⅱ)若七(01)班分两次购买贺卡共70张(第二次多于第一次),共付费150元,则第一次、第二次分别购买贺卡多少张?25.为了鼓励节约用电,电业局规定:如果每月每户用电不超过150度,那么每度电0.5元;如果该月用电超过150度,那么超过部分每度电0.8元.(1)如果小明家一个月用电128度,那么这个月应缴纳电费多少元?(2)如果小明家一个月用电a度(a>150),那么这个月应缴纳电费多少元?(用含a 的代数式表示)(3)如果这个月小明家缴纳电费为87.8元,那么他们家这个月用电多少度?26.如图1,数轴上点A分别表示的数为﹣3,点B表示的数为3,若在数轴上存在点P,使得AP+BP=m,则称点P为点A和B的“m级精致点”,例如,原点O表示的数为0,则AO+BO=3+3=6,则称点O为点A和点B的“6级精致点”,根据上述规定,解答下列问题:(1)若点C在数轴上表示的数为﹣5,点C为点A和点B的“m级精致点”,则m=;(2)若点D是数轴上点A和点B的“8级精致点”,求点D表示的数;(3)如图2,数轴上点E和点F分别表示的数是﹣2和4,若点G是点E和点F的“m 级精致点”,且满足GE=3GF,求m的值.参考答案与试题解析一.选择题(共10小题)1.解:A.3x+2=6是一元一次方程;B.4x﹣2=x+1是一元一次方程;C.x+1=0是一元一次方程;D.5x+6y=1含有2个未知数,不是一元一次方程;故选:D.2.解:根据一元一次方程的特点可得,解得m=1.故选:A.3.解:去分母得:3x﹣2(x﹣1)=12,故选:D.4.解:依题意,得:5x+(11﹣5)×(x+2)=56,即5x+6(x+2)=56.故选:B.5.解:因为关于x的一元一次方程2x a﹣2+m=4的解为x=1,可得:a﹣2=1,2+m=4,解得:a=3,m=2,所以a+m=3+2=5,故选:C.6.解:根据等式的性质可知:A.若a=b,则=.正确;B.若a=b,则3a=3b,正确;C.若a=b,则ax=bx,正确;D.若a=b,则=(m≠0),所以原式错误.故选:D.7.解:A、由,得2x﹣6=3﹣3x,此选项错误;B、由,得2x﹣4﹣x=﹣4,此选项错误;C、由,得5y﹣15=3y,此选项错误;D、由,得3(y+1)=2y+6,此选项正确;故选:D.8.解:设火车的速度是x米/秒,根据题意得:800﹣40x=60x﹣800,解得:x=16,即火车的速度是16米/秒,火车的车长是:60×16﹣800=160(米),故选:C.9.解:设盈利的那件上衣的成本价为x元,亏损的那件上衣的成本为y元,依题意,得:135﹣x=25%x,135﹣y=﹣25%y,解得:x=108,y=180,∴(135﹣x)+(135﹣y)=(135﹣108)+(135﹣180)=﹣18(元).故选:D.10.解:设需要从乙队调x辆汽车到甲队,由题意得100+x=2(68﹣x),故选:C.二.填空题(共8小题)11.解:根据题意,得:3m﹣11+5m﹣7=0,则3m+5m=11+7,∴8m=18,解得m=,故答案为:.12.解:根据题中的新定义得:2x+3(x+1)=8,去括号得:2x+3x+3=8,解得:x=1,故答案为:113.解:根据题意得:x+1+2x+5=0,解得:x=﹣2,即当x=﹣2时,式子x+1与2x+5的值互为相反数,故答案为:=﹣2.14.解:将x=3代入mx﹣8=10,∴3m=18,∴m=6,故答案为:615.解:∵关于x的方程(m﹣4)x|m|﹣3﹣2=0是一元一次方程,∴|m|﹣3=1且m﹣4≠0,解得:m=﹣4.故答案为:﹣4.16.解:设茶壶中水的高度下降了xcm.9π×12=36π×x,解得x=3,∴茶壶中水的高度下降了3cm.故答案为:3.17.解:设该团购买成人门票x张,由题意得:50x+20(50﹣x)=1800,故答案为:50x+20(50﹣x)=1800.18.解:由题意可得,这列数为:0,1,1,0,﹣1,﹣1,0,1,1,…,∴前6个数的和是:0+1+1+0+(﹣1)+(﹣1)=0,∵2020÷6=336…4,∴这2020个数的和是:0×336+(0+1+1+0)=2,故答案为:2.三.解答题(共8小题)19.解:(1)去括号得:x﹣2x+8=3﹣3x,移项合并得:2x=﹣5,解得:x=﹣2.5;(2)去分母得:4﹣3x+1=6+2x,移项合并得:﹣5x=1,解得:x=﹣0.2.20.解:(1)140×=28(个),答:小齿轮有28个;(2)设小齿轮每分钟转x周,x(1﹣)=80,解得,x=400答:小齿轮每分钟转400周.21.解:(1)由题意可知:m2﹣1=0,m﹣1≠0,∴m=﹣1,将m=﹣1代入原方程可得:2x+8=0,∴x=﹣4,(1)将x=﹣4,m=﹣1代入原式可得:原式=200×(﹣5)×2﹣18×(﹣1)=2018.(2)当m=﹣1,x=﹣4时,∴﹣1|y﹣2|=﹣4,∴y=6或y=﹣2.22.解:(1)设购买B种记录本x本,则购买A种记录表(2x+20)本,依题意,得:3(2x+20)+2x=460,解得:x=50,∴2x+20=120.答:购买A种记录本120本,B种记录本50本.(2)460﹣3×120×0.8﹣2×50×0.9=82(元).答:学校此次可以节省82元钱.23.解:(1)∵﹣3x=,∴x=﹣,∵﹣3=﹣,∴﹣3x=是和解方程;(2)∵关于x的一元一次方程5x=m﹣2是和解方程,∴m﹣2+5=,解得:m=﹣.故m的值为﹣.24.解:(1)设分配x名工人生产螺栓,则分配(24﹣x)名工人生产螺母,依题意,得:=,解得:x=12,∴24﹣x=12.答:应该分配12名工人生产螺栓,12名工人生产螺母.(2)(i)七(01)班购买贺卡费用为3×24+2.5×46=187(元),七(02)班购买贺卡费用为2×70=140(元).187>140,187﹣140=47(元).答:七(01)班购买贺卡费用为187元,七(02)班购买贺卡费用为140元,七(02)班费用更节省,省47元.(ii)设第一次购买贺卡m张,则第二次购买贺卡(70﹣m)张.当0<m<20时,3m+2(70﹣m)=150,解得:m=10;当20<m≤30时,3m+2.5(70﹣m)=150,解得:m=﹣50(不合题意,舍去);当30<m<35时,2.5m+2.5(70﹣m)=175≠150,无解.答:第一次购买贺卡10张,第二次购买贺卡60张.25.解:(1)0.5×128=64(元)答:这个月应缴纳电费64元;(2)0.5×150+0.8(a﹣150)=75+0.8a﹣120=0.8a﹣45答:这个月应缴纳电费(0.8a﹣45)元;(3)∵87.8>150×0.5∴所用的电超过了150度设此时用电a度,根据题意得:0.5×150+0.8(a﹣150)=87.8∴75+0.8a﹣120=87.8∴a=166答:他们家这个月用电166度.26.解:(1)∵A表示的数为﹣3,B表示的数为3,点C在数轴上表示的数为﹣5,∴AC=﹣3﹣(﹣5)=2,BC=3﹣(﹣5)=8,∴m=AC+BC=2+8=10.(2)如图所示:∵点D是数轴上点A和点B的“8级精致点”,∴AD+BD=8,∵AB=3﹣(﹣3)=6,∴D在点A的左侧或在点A的右侧,设点D表示的数为x,则AD+BD=8,∴﹣3﹣x+3﹣x=8或x﹣3+x﹣(﹣3)=8,x=﹣4或4,∴点D表示的数为﹣4或4;(3)分三种情况:①当点G在FE延长线上时,∵不能满足GE=3GF,∴该情况不符合题意,舍去;②当点G在线段EF上时,可以满足GE=3GF,如下图,m=EG+FG=EF=4﹣(﹣2)=6;③当点G在EF延长线上时,∵GE=3GF,∴FG=EF=3,∴点E表示的数为7,∴n=EG+FG=9+3=12,综上所述:m的值为6或12.故答案为:10.11。
《一次方程与方程组》单元测试一.选择题(共12小题)1.玩具车间每天能生产甲种玩具零件24个或乙种玩具零件12个,若甲种玩具零件一个与乙种玩具零件2个能组成一个完整的玩具,怎样安排生产才能在60天内组装出最多的玩具设生产甲种玩具零件x天,乙种玩具零件y天,则有()A.B.C.D.2.如图,小明将一个正方形纸剪出一个宽为4cm的长条后,再从剩下的长方形纸片上剪去一个宽为5cm的长条,如果两次剪下的长条面积正好相等,那么每一个长条面积为()A.16cm2B.20cm2C.80cm2D.160cm23.有铅笔、练习本、圆珠笔三种学习用品,若购铅笔3支,练习本7本,圆珠笔1支共需3.15元;若购铅笔4支,练习本8本,圆珠笔2支共需4.2元,那么,购铅笔、练习本、圆珠笔各1件共需()A.1.2元B.1.05元C.0.95元D.0.9元4.方程|2x﹣1|﹣a=0恰有两个正数解,则a的取值范围是()A.﹣1<a<0 B.﹣1<a<1 C.0<a<1 D.<a<15.已知方程x2k﹣1+k=0是关于x的一元一次方程,则方程的解等于()A.﹣1 B.1 C.D.﹣6.将方程变形正确的是()A.9+B.0.9+C.9+D.0.9+=3﹣10x7.一个两位数,十位数字比个位数字的2倍大1,若将这个两位数减去36恰好等于个位数字与十位数字对调后所得的两位数,则这个两位数是()A.86 B.68 C.97 D.738.一宾馆有二人间、三人间、四人间三种客房供游客租住,某旅行团15人准备同时租用这三种客房共5间,如果每个房间都住满,租房方案有()A.4种 B.3种 C.2种 D.1种9.某工程甲单独完成要45天,乙单独完成要30天,若乙先单独干22天,剩下的由甲单独完成.问甲、乙一共用几天可以完成全部工作,若设甲、乙共用x 天完成,则符合题意的方程是()A.=1 B.=1C.=1 D.=110.若2x+5y+4z=0,3x+y﹣7z=0,则x+y﹣z的值等于()A.0 B.1 C.2 D.不能求出11.如图,将一条长为60cm的卷尺铺平后折叠,使得卷尺自身的一部分重合,然后在重合部分(阴影处)沿与卷尺边垂直的方向剪一刀,此时卷尺分为了三段,若这三段长度由短到长的比为1:2:3,则折痕对应的刻度的可能性有()A.2种 B.3种 C.4种 D.5种12.在3×3方格上做填字游戏,要求每行每列及对角线上三个方格中的数字和都等于S,又填在图中三格中的数字如图,若要能填成,则()A.S=24 B.S=30 C.S=31 D.S=39二.填空题(共4小题)13.“六一”前夕,市关工委准备为希望小学购进图书和文具若干套,已知2套文具和3套图书需104元,3套文具和2套图书需116元,则1套文具和1套图书需元.14.如果是方程6x+by=32的解,则b=.15.某学校要新购置一批课桌椅,现有甲、乙两种规格的课桌椅可供选择.已知购买甲种课桌椅3套比购买乙种2套共多60元;购买甲种5套和乙种3套,共需1620元.求甲、乙两种规格的课桌椅每套价格分别是多少元?若设甲、乙两种规格的课桌椅每套价格分别是x和y元,根据题意,可列方程组为.16.按照一定规律排列的n个数﹣2,4,﹣8,16,﹣32,64,…,若最后三个数的和为768,则n=.三.解答题(共7小题)17.一辆汽车从A地驶往B地,前路为普通公路,其余路段为高速公路,已知汽车在普通公路上行驶的速度为60km/h,在高速路上行驶的速度为100km/h,汽车从A地到B地一共行驶了2.2h,普通公路和高速公路各是多少km?18.随着“互联网+”时代的到来,一种新型打车方式受到大众欢迎,该打车方式的总费用由里程费和耗时费组成,其中里程费按x元/公里计算,耗时费按y元/分钟计算(总费用不足9元按9元计价).小明、小刚两人用该打车方式出行,按上述计价规则,其打车总费用、行驶里程数与打车时间如表:(1)求x,y的值;(2)如果小华也用该打车方式,打车行驶了11公里,用了14分钟,那么小华的打车总费用为多少?19.列方程或方程组解应用题:“地球一小时”是世界自然基金会在2007年提出的一项倡议.号召个人、社区、企业和政府在每年3月最后一个星期六20时30分﹣21时30分熄灯一小时,旨在通过一个人人可为的活动,让全球民众共同携手关注气候变化,倡导低碳生活.中国内地去年和今年共有119个城市参加了此项活动,且今年参加活动的城市个数比去年的3倍少13个,问中国内地去年、今年分别有多少个城市参加了此项活动.20.解下列方程:(1)2(x+3)=5(x﹣3)(2)=﹣x21.党的十九大提出,建设生态文明是中华民族永续发展的千年大计,某同学参加“加强生态环境保护,建设美丽中国”手工大赛,他用一种环保材料制作A、B 两种手工艺品,制作1件A种手工艺品和3件B种手工艺品需要环保材料5米,制作4件A种手工艺品和5件B种手工艺品需要环保材料13米,求制作一件A 种手工艺品和1件B种手工艺品各需多少米环保材料?22.下表中有两种移动电话计费方式.其中,月使用费固定收,主叫不超过限定时间不再收费,主叫超过部分加收超时费.(1)如果每月主叫时间不超过400min,当主叫时间为多少min时,两种方式收费相同?(2)如果每月主叫时间超过400min,选择哪种方式更省钱?23.如图,已知数轴上点A表示的数为8,B是数轴上位于点A左侧一点,且AB=22,动点P从A点出发,以每秒5个单位长度的速度沿数轴向左匀速运动,设运动时间为t(t>0)秒.(1)数轴上点B表示的数;点P表示的数(用含t的代数式表示)(2)若M为AP的中点,N为BP的中点,在点P运动的过程中,线段MN的长度是.(3)动点Q从点B出发,以每秒3个单位长度的速度沿数轴向右匀速运动,若点P、Q同时出发,问多少秒时P、Q之间的距离恰好等于2?(4)动点Q从点B出发,以每秒3个单位长度的速度沿数轴向左匀速运动,若点P、Q同时出发,问点P运动多少秒时追上点Q?参考答案与试题解析一.选择题(共12小题)1.玩具车间每天能生产甲种玩具零件24个或乙种玩具零件12个,若甲种玩具零件一个与乙种玩具零件2个能组成一个完整的玩具,怎样安排生产才能在60天内组装出最多的玩具设生产甲种玩具零件x天,乙种玩具零件y天,则有()A.B.C.D.【解答】解:根据总天数是60天,可得x+y=60;根据乙种零件应是甲种零件的2倍,可列方程为2×24x=12y.则可列方程组为.故选:C.2.如图,小明将一个正方形纸剪出一个宽为4cm的长条后,再从剩下的长方形纸片上剪去一个宽为5cm的长条,如果两次剪下的长条面积正好相等,那么每一个长条面积为()A.16cm2B.20cm2C.80cm2D.160cm2【解答】解:设原来正方形纸的边长是xcm,则第一次剪下的长条的长是xcm,宽是4cm,第二次剪下的长条的长是x﹣4c m,宽是5cm,则4x=5(x﹣4),去括号,可得:4x=5x﹣20,移项,可得:5x﹣4x=20,解得x=2020×4=80(cm2)答:每一个长条面积为80cm2.故选:C.3.有铅笔、练习本、圆珠笔三种学习用品,若购铅笔3支,练习本7本,圆珠笔1支共需3.15元;若购铅笔4支,练习本8本,圆珠笔2支共需4.2元,那么,购铅笔、练习本、圆珠笔各1件共需()A.1.2元B.1.05元C.0.95元D.0.9元【解答】解:设购一支铅笔,一本练习本,一支圆珠笔分别需要x,y,z元,根据题意得,②﹣①得x+y+z=1.05(元).故选:B.4.方程|2x﹣1|﹣a=0恰有两个正数解,则a的取值范围是()A.﹣1<a<0 B.﹣1<a<1 C.0<a<1 D.<a<1【解答】解:∵方程|2x﹣1|﹣a=0恰有两个正数解,∴,解得:0<a<1.故选:C.5.已知方程x2k﹣1+k=0是关于x的一元一次方程,则方程的解等于()A.﹣1 B.1 C.D.﹣【解答】解:由一元一次方程的特点得,2k﹣1=1,解得:k=1,∴一元一次方程是:x+1=0解得:x=﹣1.故选:A.6.将方程变形正确的是()A.9+B.0.9+C.9+D.0.9+=3﹣10x【解答】解:方程变形得:0.9+=3﹣10x,所以选D.7.一个两位数,十位数字比个位数字的2倍大1,若将这个两位数减去36恰好等于个位数字与十位数字对调后所得的两位数,则这个两位数是()A.86 B.68 C.97 D.73【解答】解:设这个两位数的十位数字为x,个位数字为y.则,解得.故选:D.8.一宾馆有二人间、三人间、四人间三种客房供游客租住,某旅行团15人准备同时租用这三种客房共5间,如果每个房间都住满,租房方案有()A.4种 B.3种 C.2种 D.1种【解答】解:设二人间x间,三人间y间,四人间(5﹣x﹣y)间,根据题意得:2x+3y+4(5﹣x﹣y)=15,2x+y=5,当y=1时,x=2,5﹣x﹣y=5﹣2﹣1=2,当y=3时,x=1,5﹣x﹣y=5﹣1﹣3=1,当y=5时,x=0,5﹣x﹣y=5﹣0﹣5=0,因为同时租用这三种客房共5间,则x>0,y>0,所以有二种租房方案:①租二人间2间、三人间1间、四人间2间;②租二人间1间,三人间3间,四人间1间;故选:C.9.某工程甲单独完成要45天,乙单独完成要30天,若乙先单独干22天,剩下的由甲单独完成.问甲、乙一共用几天可以完成全部工作,若设甲、乙共用x天完成,则符合题意的方程是()A.=1 B.=1C.=1 D.=1【解答】解:设甲、乙共用x天完成,则甲单独干了(x﹣22)天,本题中把总的工作量看成整体1,则甲每天完成全部工作的,乙每天完成全部工作的.根据等量关系列方程得:=1,故选:A.10.若2x+5y+4z=0,3x+y﹣7z=0,则x+y﹣z的值等于()A.0 B.1 C.2 D.不能求出【解答】解:根据题意得:,把(2)变形为:y=7z﹣3x,代入(1)得:x=3z,代入(2)得:y=﹣2z,则x+y﹣z=3z﹣2z﹣z=0.故选:A.11.如图,将一条长为60cm的卷尺铺平后折叠,使得卷尺自身的一部分重合,然后在重合部分(阴影处)沿与卷尺边垂直的方向剪一刀,此时卷尺分为了三段,若这三段长度由短到长的比为1:2:3,则折痕对应的刻度的可能性有()A.2种 B.3种 C.4种 D.5种【解答】解:设折痕对应的刻度为xcm,依题意有①x+x+x=60,解得x=20;②x+x+0.4x=60,解得x=25;③x+x﹣x=60,解得x=35;④x+x﹣x=60,解得x=40.综上所述,折痕对应的刻度有4种可能.故选:C.12.在3×3方格上做填字游戏,要求每行每列及对角线上三个方格中的数字和都等于S,又填在图中三格中的数字如图,若要能填成,则()A.S=24 B.S=30 C.S=31 D.S=39【解答】解:如图,∵每行每列及对角线上三个方格中的数字和都等于S.∴x+10+y=8+y+13,∴x=11,∵b+11+a=8+10+a,∴b=7,∴S=b+10+13=30.故选:B.二.填空题(共4小题)13.“六一”前夕,市关工委准备为希望小学购进图书和文具若干套,已知2套文具和3套图书需104元,3套文具和2套图书需116元,则1套文具和1套图书需44元.【解答】解:设1套文具x元,1套图书y元,根据题意得:,①+②,得:5x+5y=220,∴x+y=44.故答案为:44.14.如果是方程6x+by=32的解,则b=7.【解答】解:把x=3,y=2代入方程6x+by=32,得6×3+2b=32,移项,得2b=32﹣18,合并同类项,系数化为1,得b=7.15.某学校要新购置一批课桌椅,现有甲、乙两种规格的课桌椅可供选择.已知购买甲种课桌椅3套比购买乙种2套共多60元;购买甲种5套和乙种3套,共需1620元.求甲、乙两种规格的课桌椅每套价格分别是多少元?若设甲、乙两种规格的课桌椅每套价格分别是x和y元,根据题意,可列方程组为.【解答】解:设甲、乙两种规格的课桌椅每套价格分别是x和y元,根据题意可得:,故答案为:,16.按照一定规律排列的n个数﹣2,4,﹣8,16,﹣32,64,…,若最后三个数的和为768,则n=10.【解答】解:由题意,得第n个数为(﹣2)n,那么(﹣2)n﹣2+(﹣2)n﹣1+(﹣2)n=768,当n为偶数:整理得出:3×2n﹣2=768,解得:n=10;当n为奇数:整理得出:﹣3×2n﹣2=768,则求不出整数.故答案是:10.三.解答题(共7小题)17.一辆汽车从A地驶往B地,前路为普通公路,其余路段为高速公路,已知汽车在普通公路上行驶的速度为60km/h,在高速路上行驶的速度为100km/h,汽车从A地到B地一共行驶了2.2h,普通公路和高速公路各是多少km?【解答】解:设普通公路长为x(km),高速公路长为y(km).根据题意,得,解得,答:普通公路长为60km,高速公路长为120km.18.随着“互联网+”时代的到来,一种新型打车方式受到大众欢迎,该打车方式的总费用由里程费和耗时费组成,其中里程费按x元/公里计算,耗时费按y元/分钟计算(总费用不足9元按9元计价).小明、小刚两人用该打车方式出行,按上述计价规则,其打车总费用、行驶里程数与打车时间如表:(1)求x,y的值;(2)如果小华也用该打车方式,打车行驶了11公里,用了14分钟,那么小华的打车总费用为多少?【解答】解:(1)根据题意得:,解得:.(2)11×1+14×=18(元).答:小华的打车总费用是18元.19.列方程或方程组解应用题:“地球一小时”是世界自然基金会在2007年提出的一项倡议.号召个人、社区、企业和政府在每年3月最后一个星期六20时30分﹣21时30分熄灯一小时,旨在通过一个人人可为的活动,让全球民众共同携手关注气候变化,倡导低碳生活.中国内地去年和今年共有119个城市参加了此项活动,且今年参加活动的城市个数比去年的3倍少13个,问中国内地去年、今年分别有多少个城市参加了此项活动.【解答】解:设中国内地去年有x个城市参加了此项活动,今年有y个城市参加了此项活动.依题意,得,解得:,答:去年有33个城市参加了此项活动,今年有86个城市参加了此项活动.20.解下列方程:(1)2(x+3)=5(x﹣3)(2)=﹣x【解答】解:(1)2x+6=5x﹣1﹣3x=﹣21x=7(2)10x﹣5=12﹣9x﹣15x34x=17x=21.党的十九大提出,建设生态文明是中华民族永续发展的千年大计,某同学参加“加强生态环境保护,建设美丽中国”手工大赛,他用一种环保材料制作A、B两种手工艺品,制作1件A种手工艺品和3件B种手工艺品需要环保材料5米,制作4件A种手工艺品和5件B种手工艺品需要环保材料13米,求制作一件A 种手工艺品和1件B种手工艺品各需多少米环保材料?【解答】解:设制作一件A种手工艺品需x米环保材料,制作1件B种手工艺品需y米环保材料.根据题意,得,解得.答:制作一件A种手工艺品需2米环保材料,制作1件B种手工艺品需1米环保材料.22.下表中有两种移动电话计费方式.其中,月使用费固定收,主叫不超过限定时间不再收费,主叫超过部分加收超时费.(1)如果每月主叫时间不超过400min,当主叫时间为多少min时,两种方式收费相同?(2)如果每月主叫时间超过400min,选择哪种方式更省钱?【解答】解:(1)设每月主叫时间为x分钟.①当0≤x≤200时,方式一收费58元,方式二收费88元,故不存在两种方式收费相同;②当200<x≤400时,计费方式一收费58+0.2(x﹣200)=0.2x+18,计费方式二收费88元,∴0.2x+18=88,解得:x=350,∴当主叫时间为350min时,两种方式收费相同.(2)当x>400时,计费方式二收费88+0.25(x﹣400)=0.25x﹣12.根据题意得:0.2x+18=0.25x﹣12,解得:x=600,又∵0.25>0.2,∴当400<x<600时,选择计费方式二省钱;当x=600时,两种计费方式收费相同;当x>600时,选择计费方式一省钱.23.如图,已知数轴上点A表示的数为8,B是数轴上位于点A左侧一点,且AB=22,动点P从A点出发,以每秒5个单位长度的速度沿数轴向左匀速运动,设运动时间为t(t>0)秒.(1)数轴上点B表示的数﹣14;点P表示的数8﹣5t(用含t的代数式表示)(2)若M为AP的中点,N为BP的中点,在点P运动的过程中,线段MN的长度是11.(3)动点Q从点B出发,以每秒3个单位长度的速度沿数轴向右匀速运动,若点P、Q同时出发,问多少秒时P、Q之间的距离恰好等于2?(4)动点Q从点B出发,以每秒3个单位长度的速度沿数轴向左匀速运动,若点P、Q同时出发,问点P运动多少秒时追上点Q?【解答】解:(1)∵点A表示的数为8,B在A点左边,AB=22,∴点B表示的数是8﹣22=﹣14,∵动点P从点A出发,以每秒5个单位长度的速度沿数轴向左匀速运动,设运动时间为t(t>0)秒,∴点P表示的数是8﹣5t.(2)①当点P在点A、B两点之间运动时:MN=MP+NP=AP+BP=(AP+BP)=AB=×22=11,②当点P运动到点B的左侧时:MN=MP﹣NP=AP﹣BP=(AP﹣BP)=AB=11,∴线段MN的长度不发生变化,其值为11.(3)若点P、Q同时出发,设t秒时P、Q之间的距离恰好等于2.分两种情况:①点P、Q相遇之前,由题意得3t+2+5t=22,解得t=2.5;②点P、Q相遇之后,由题意得3t﹣2+5t=22,解得t=3.答:若点P、Q同时出发,2.5或3秒时P、Q之间的距离恰好等于2;(4)设点P运动x秒时,在点C处追上点Q,则AC=5x,BC=3x,∵AC﹣BC=AB,∴5x﹣3x=22,解得:x=11,∴点P运动11秒时追上点Q.故答案为:﹣14,8﹣5t;11.。
人教版七年级上册第三章一元一次方程单元测试卷(1)一、选择题1.下列方程是一元一次方程的是( )A.x2+x=2B.5x+2=5x+3C.x-9=3D.=2答案 C2.方程x-2=2-x的解是( )A.x=1B.x=-1C.x=2D.x=0答案 C3.如果5(x-2)与x-3互为相反数,那么x的值是( )A.7B.C.D.答案 B4.下列运用等式的性质,变形不正确的是( )A.若x=y,则x+5=y+5B.若a=b,则ac=bcC.若=,则a=bD.若x=y,则=答案 D5.如图所示,两个天平都平衡,则3个“球体”的重量等于个正方体的重量.( )A.3B.4C.5D.6答案 C6.下列变形正确的是( )A.由7x=4x-3移项,得7x-4x=3B.由-=1+-去分母,得2(2x-1)=1+3(x-3)C.由2(2x-1)-3(x-3)=1去括号,得4x-2-3x-9=1D.由2(x+1)=x+7去括号、移项、合并同类项,得x=5答案 D7.某品牌自行车1月份销售量为100辆,每辆车售价相同.2月份的销售量比1月份增加10%,每辆车的售价比1月份降低了80元,2月份与1月份的销售总额相同,则1月份的售价为( )A.880元B.800元C.720元D.1080元答案 A8.解方程4(x-1)-x=2,步骤如下:①去括号,得4x-4-x=2x+1.②移项,得4x+x-2x=1+4.③合并同类项,得3x=5.④系数化为1,得x=.经检验知,x=不是原方程的解,说明解题的四个步骤中有错误,其中做错的一步是( ) A.① B.② C.③ D.④答案 B9.服装店销售某款服装,一件服装的标价为300元,若按标价的八折销售,仍可获利60元,则这款服装每件的标价比进价多( )A.60元B.80元C.120元D.180元答案 C10.陈老师打算购买气球装扮学校“六一儿童节”活动会场,气球的种类有笑脸和爱心两种.两种气球的价格不同,但同一种气球的价格相同.由于会场布置的需要,购买时应以一束(4个气球)为单位,已知第一、二束气球的价格如图所示,则第三束气球的价格为( )A.19元B.18元C.16元D.15元答案 C11.一件夹克衫先按成本提高50%标价,再以8折(标价的80%)出售,结果获利28元,若设这件夹克衫的成本是x元,根据题意,可得到的方程是A.(1+50%)x×80%=x–28 B.(1+50%)x×80%=x+28C.(1+50%x)×80%=x–28 D.(1+50%x)×80%=x+28答案B12.七年级一班的马虎同学在解关于x的方程3a–x=13时,误将–x看成+x,得方程的解x=–2,则原方程正确的解为 A .–2B .2C .–D .答案B二、填空题13.一个数x 的2倍减去7,得36,列方程为 . 答案 2x-7=36 14.如果方程x 2m-1-3=0是关于x 的一元一次方程,那么方程的解为 .答案 x=315.如果方程6x+3a=22与方程3x+5=11的解相同,那么a= . 答案16.写出一个解为x=2的一元一次方程(只写一个即可) . 答案 x-2=0(答案不唯一)17.某市为提倡节约用水,采取分段收费.若每户每月用水不超过20 m 3,每立方米收费2元;若用水超过20 m 3,超过部分每立方米加收1元.小明家5月份交水费64元,则他家该月用水 m 3. 答案 2818.相邻的5个自然数的和为45,则这5个自然数分别为 . 答案 7、8、9、10、1119.用一根长18米的铁丝围成一个长是宽的2倍的长方形框架,其面积为 平方米. 答案 18 20.小明解方程-=-3,在去分母时,方程右边的-3忘记乘6,因而求出的解为x=2,则原方程正确的解为 . 答案 x=-13三、解答题21.解方程. (1)3x+1=9-x;1212(2)-=1-.答案(1)x=2.(2)x=.22.某种商品因换季准备打折出售,如果按标价的7.5折出售将赔25元,而按标价的9折出售将赚20元,问这种商品的标价是多少元?答案设该商品的标价为x元.根据题意得75%x+25=90%x-20,解得x=300.答:这种商品的标价为300元.23.小亮和他哥哥在离家2千米的同一所学校上学,小亮的哥哥以4千米/小时的速度步行去学校,小亮因找不到数学课本耽误了15分钟,然后骑自行车以12千米/小时的速度去追他哥哥.请问到校前小亮能追上他哥哥吗?若能,则小亮追上他哥哥时,他们距学校多远?若不能,请说明理由.答案 能追上.理由如下:设小亮走了x 个小时才追上他哥哥, 根据题意得4×+4x=12x,解得x=,即小亮走了个小时才追上他哥哥. 小亮追上他哥哥时走了12×=1.5(千米), 又因为1.5<2,所以到校前小亮能追上他哥哥. 此时他们距学校2-1.5=0.5(千米).24.贡江新区位于贡江南岸,由长征出发地体验区、文教体育综合区、贡江新城三大板块组成,与贡江北岸老城区相呼应,构建成“一江两岸”的城市新格局.为建设市民河堤漫步休闲通道,贡江新区现有一段长为180米的河堤整治任务由A 、B 两个工程队先后接力完成,A 工程队每天整治12米,B 工程队每天整治8米,共用时20天.(1)根据题意,甲、乙两个同学分别列出了尚不完整的方程如下: 甲:12x+8(20-x)=180;乙: + -=20. 根据甲、乙人教版七年级数学上册第三章一元一次方程单元测试(含答案)一、单选题1.下列方程是一元一次方程的是( ) A.4x+2y=3 B.y+5=0 C.x 2=2x ﹣l D.1y+y=2 2.在下列方程中①221x x +=,②139x x -=,③102x =,④123233-=,⑤2133y y -=+是一元一次方程的有( )个.A .1B .2C .3D .43.下列解方程过程中,变形正确的是( ) A.由5x ﹣1=3,得5x=3﹣1 B.由,得C.由,得D.由,得2x ﹣3x=14.下列选项中,移项正确的是( ) A .方程8x 6-=变形为x 68-=+ B .方程5x 4x 8=+变形为5x 4x 8-= C .方程3x 2x 5=+变形为3x 2x 5-=- D .方程32x x 7-=+变形为x 2x 73-=+ 5.方程23x +=的解是( ) A .1x =;B .1x =-;C .3x =;D .3x =-.6.若代数式32x +与代数式510x -的值互为相反数,则x 的值为( ) A.1B.0C.-1D.27.如果关于 的方程 - 无解,那么 满足( ). A. B.C. D.任意实数8.方程去分母后正确的结果是( )A. B. C.D.9.若 是方程 的解,则代数式 的值为( ) A.-5B.-1C.1D.510.有一道数学的题目如图所示,两个天平都平衡,则三个球体的重量等于几个正方体的重量?( )A.2B.3C.4D.511.一艘船在静水中的速度为25千米/时,水流速度为5千米/时,这艘船从甲码头到乙码头顺流航行,再返回到甲码头共用了6个小时,求甲、乙两个码头的距离,可设甲、乙两个码头的距离是x 千米,则列方程正确的是( ) A.()()254254x x +=- B.2556x x += C.6255x x += D.6255255x x+=+- 12.甲、乙两人去买东西,他们所带钱数的和为120元,甲花去30元,乙花去20元,两人余下的钱数之比为3:2,则甲、乙两人所带的钱数分别是 ( ) A .70,49 B .65,48C .72,48D .73,47二、填空题13.一个长方形周长是44cm ,长比宽的3倍少10cm ,则这个长方形的面积是______. 14.方程320x -+=的解为________.15.已知a 、b 、c 、d 为有理数,现规定一种新运算a b ad bc c d=-,如131(5)321125=⨯--⨯=--,那么当2422(1)7x =+时,则x 的值为_____.16.今有浓度分别为 3%、8%、11%的甲、乙、丙三种盐水 50 千克、70 千克、60 千克,现要用甲、乙、丙这三种盐水配制浓度为 7%的盐水 100 千克,则丙种盐水最多可用_________千克 三、解答题17.解方程:(1)8x-2=0;(2)2x-5=4x+3 18.解方程:(1)51312423-+--=x x x ;(2)30.4110.50.3---=x x 19.已知A =2x 2+mx ﹣m ,B =3x 2﹣mx +m . (1)求A ﹣B ;(2)如果3A ﹣2B +C =0,那么C 的表达式是什么?(3)在(2)的条件下,若x =4是方程C =20x +5m 的解,求m 的值.20.如图,在数轴上点O 为原点,A 点表示数a ,B 点表示数b ,且a 、b 满足|a+2|+|b-4|=0;(1)点A 表示的数为 ;点B 表示的数为 ;(2)如果M 、N 为数轴上两个动点.点M 从点A 出发,速度为每秒1个单位长度;点N 从点B出发,速度为点A的3倍,它们同时向左运动.①当运动2秒时,点M、N对应的数分别是、.②当运动t秒时,点M、N对应的数分别是、.(用含t的式子表示)③运动多少秒时,点M、N、O中恰有一个点为另外两个点所连线段的中点?(可以直接写出答案)21.某公司要生产若干件新产品,需要加工后才能投放市场.现有红星和巨星两个工厂都想加工这批产品,已知红星厂单独加工这批产品比巨星厂单独加工多用20天,红星厂每天可以加工16个,巨星厂每天可以加工24个.公司需付红星厂每天加工费80元,巨星厂每天加工费120元.(1)这家公司要生产多少件新产品?(2)公司制定产品加工方案如下:可由每个厂家单独完成,也可由两个厂共同合作完成.在加工过程中,公司需派一名工程师每天到厂家进行技术指导,并负担每天的补助费5元.请你帮公司选择一种既省钱又省时的加工方案人教版七年级上册数学第三章一元一次方程单元测试题(含答案)一、选择题1.在方程,,中一元一次方程的个数为()A. 1个B. 2个C. 3个D. 4个2.方程3x﹣7=5的解是()A. x=2B. x=3C. x=4D. x=53.如果a+1与互为相反数,那么a=( )A. B. 10 C. - D. -104.若x=1是关于x的方程ax+1=2的解,则a是()A. 1B. 2C. -1D. -25.设P=2y-2,Q=2y+3,有2P-Q=1,则y的值是()A. 0.4B. 4C. -0.4D. -2.56.某车间有技术工85人,平均每天每人可加工甲种部件16个或乙种部件10个,2个甲种部件和3个乙种部件配一套,问加工甲、乙部件各安排多少人才能使每天加工的甲、乙两种部件刚好配套?设安排x名工人加工甲部件,可列出方程为()A. 3×16x=2×10(85-x)B. 2×16x=3×10(85-x)C. 8×16x=5×10(85-x)D. 5×16x=8×10(85-x)7.下列方程中,解为x=2的方程是()A. 3x-2=3B. -x+6=2xC. 4-2(x-1)=1D.8.解方程时,去分母、去括号后,正确结果是()A. 4x+1﹣10x+1=1B. 4x+2﹣10x﹣1=1C. 4x+2﹣10x﹣1=6D. 4x+2﹣10x+1=69.下列说法正确的有()(1)若ac=bc,则a=b;(2)若,则a=﹣b;(3)若x2=y2,则﹣4ax2=﹣4by2;(4)若方程2x+5a=11﹣x与6x+3a=22的解相同,则a的值为0.A. 4B. 3C. 2D. 110.某书店把一本新书按标价的九折出售,仍可获利20%.若该书的进价为21元,则标价为( )A. 26元B. 27元C. 28元D. 29元二、填空题11.若(a﹣1)x|a|+3=6是关于x的一元一次方程,则a=________.12.写出一个以为解的一元一次方程________.13.已知x=3是方程ax﹣6=a+10的解,则a=________.14.在数轴上与表示-2的点相距5个单位长度的点所表示的数是________.15.若“★”是新规定的某种运算符号,设a★b=ab+a﹣b,则2★n=﹣8,则n=________.16.若关于x的方程3x﹣7=2x+a的解与方程4x+3=7的解相同,则a的值为 ________17.代数式的值是1,则k = ________.18.小明在做作业时,不小心把方程中的一个常数污染了看不清楚,被污染的方程为:■,怎么办?小明想了想,便翻看了书后的答案,此方程的解为,于是,他很快知道了这个常数,他补出的这个常数是________.19.某服装厂专门安排160名工人手工缝制衬衣,每件衬衣由2个衣袖、1个衣身组成,如果每人每天能够缝制衣袖10个或衣身15个,那么应安排________名工人缝制衣袖,才能使每天缝制出的衣袖、衣身正好配套。
人教版七年级数学上册第三章一元一次方程单元测试 (含答案)一、单选题 1.若()1280m m x -++=是一元一次方程,则m 为( )A .2B .2-C .2±D .1-2.若是方程的解,则代数式的值为( )A.-5B.-1C.1D.53.下列方程中是一元一次方程的是( ) A.B.C.D.4.下列解方程过程中,变形正确的是( ) A.由5x ﹣1=3,得5x=3﹣1B.由,得C.由,得D.由,得2x ﹣3x=15.方程23x +=的解是( ) A .1x =;B .1x =-;C .3x =;D .3x =-.6.若代数式32x +与代数式510x -的值互为相反数,则x 的值为( ) A.1B.0C.-1D.27.若 x =0 是方程 3x -2m =1 的解,则 m 的值是( ) A.-B.2C.-2D.08.根据下列条件可列出一元一次方程的是( ) A .a 与l 的和的3倍 B .甲数的2倍与乙数的3倍的和 C .a 与b 的差的20%D .一个数的3倍是59.有一道数学的题目如图所示,两个天平都平衡,则三个球体的重量等于几个正方体的重量?( )A.2B.3C.4D.510.解方程5x-3=2x+2,移项正确的是( ) A.5x-2x=3+2 B.5x+2x=3+2 C.5x-2x=2-3D.5x+2x=2-311.一辆汽车从山南泽当饭店出发开往拉萨布达拉宫.如果汽车每小时行使千米,则小时可以到达,如果汽车每小时行使千米,那么可以提前到达布达拉宫的时间是( )小时. A.B.C.D.12.小明和爸爸妈妈三人玩跷跷板.三人的体重一共为千克,爸爸坐在跷跷板的一端,体重只有妈妈一半的小明和妈妈一同坐在跷跷板的另一端,这时爸爸那端仍然着地.那么小明的体重可能是( )A.千克B.千克C.千克D.千克二、填空题 13.已知()1240a a x--+=是关于x 的一元一次方程,则a =______.14.一列方程如下排列:1142x x -+=的解是2x =, 2162x x -+=的解是3x =, 3182x x -+=的解是4x =. ……根据观察所得到的规律,请你写出其中解是2019x =的方程是______.15.甲、乙、丙三数之比是2:3:4,甲、乙两数之和比乙、丙两数之和大30,则甲、乙、丙分别为________________________。
人教版七年级上册数学第三章单元测试卷满分100分建议时间:80分钟姓名:___________班级:___________学号:___________一.选择题(共10小题,满分30分,每小题3分)1.解方程时,去分母得()A.2(x+1)﹣3(2x﹣1)=6 B.3(x+1)﹣2(2x﹣1)=1C.3(x+1)﹣2(2x﹣1)=6 D.3(x+1)﹣2×2x﹣1=62.把方程x=1变形为x=2,其依据是()A.等式的性质1 B.等式的性质2 C.乘法结合律 D.乘法分配律3.下列解方程移项正确的是()A.由3x﹣2=2x﹣1,得3x+2x=1+2 B.由2x﹣1=3x﹣2,得2x﹣3x=1﹣2C.由x﹣1=2x+2,得x﹣2x=2﹣1 D.由2x+1=3﹣x,得2x+x=3+14.方程﹣2x=1的解是()A.﹣2 B.﹣C.2 D.5.解方程=12时,应在方程两边()A.同时乘B.同时乘4 C.同时除以D.同时除以6.下列是一元一次方程的是()A.2x+1 B.3+2=5 C.x+2=3 D.x2=07.一辆客车和一辆卡车同时从A地出发沿同一公路同方向行驶,客车的行驶速度是70km/h,卡车的行驶速度是60km/h,客车比卡车早1h经过B地.设A、B两地间的路程是xkm,由题意可得方程()A.70x﹣60x=1 B.﹣=1 C.﹣=1 D.60x﹣70x=18.已知a为整数,关于x的一元一次方程的解也为整数,则所有满足条件的数a的和为()A.0 B.24 C.36 D.489.一个乒乓球的价钱是一个羽毛球的价钱的,一个羽毛球的价钱是一个网球的价钱的,一个网球的价钱是16元,则一个乒乓球的价钱是()A.2元B.4元C.5元D.6元10.若x=1是方程﹣2mx+n﹣1=0的解,则2019+n﹣2m的值为()A.2018 B.2019 C.2020 D.2019或2020二.填空题(共6小题,满分18分,每小题3分)11.已知x=2是方程10﹣2x=ax的解,则a=.12.已知方程2x m+1+3=0是关于x的一元一次方程,则m的值是.13.解方程=2﹣,有下列步骤:①7x=16,②9x+3=12﹣2x+1,③9x﹣2x=12+1+3,④3(3x+1)=12﹣(2x﹣1),⑤x=,其中首先发生错误的一步是.14.若2x﹣3和1﹣4x互为相反数,则x的值是.15.若关于x的方程9x﹣14=ax+3的解为整数,那么满足条件的所有整数a的和为.16.某校组织七年级学生参加研学活动,如果单独租用45座车若干辆,则刚好坐满;如果单独租用60座客车,则可少租2辆,并且剩余15座.该校参加研学活动的有人.三.解答题(共7小题,满分52分)17.(6分)解方程:(1)(2)4x﹣3(20﹣x)+4=0.18.(6分)学校为给学生营造良好舒适的休息环境,决定改造校园内的一小花园,如图是该花园的平面示意图,它是由6个正方形拼成的长方形用以种植六种不同的植物,已知中间最小的正方形A的边长是2米,正方形C、D边长相等.请根据图形特点求出该花园的总面积.19.(6分)已知关于x的方程(m+3)x m﹣1+5=0是一元一次方程.(1)求m的值;(2)若原方程(m+3)x m﹣1+5=0的解也是关于x的方程的解,求n的值.20.(7分)已知a,b,c,d都是有理数,现规定一种新的运算:,例如:(1)计算;(2)若,求x的值.21.(9分)“水是生命之源”,某市自来水公司为了鼓励居民节约用水,规定按以下标准收取水费:用水量/月单价(元/m3)不超过20m3 2.8超过20m3的部分 3.8另:每立方米用水加收0.2元的城市污水处理费(1)根据上表,用水量每月不超过20m3,实际每立方米收水费元;如果1月份某用户用水量为19m3,那么该用户1月份应该缴纳水费元;(2)某用户2月份共缴纳水费80元,那么该用户2月份用水多少m3?(3)若该用户水表3月份出了故障,只有70%的用水量记入水表中,这样该用户在3月份只缴纳了58.8元水费,问该用户3月份实际应该缴纳水费多少元?22.(9分)如图,长方形ABCD中,AB=4cm,BC=8cm.点P从点A出发,沿AB匀速运动;点Q从点C出发,沿C→B→A→D→C的路径匀速运动.两点同时出发,在B点处首次相遇后,点P的运动速度每秒提高了3cm,并沿B→C→D→A的路径匀速运动;点Q保持速度不变,继续沿原路径匀速运动,3s后两点在长方形ABCD某一边上的E点处第二次相遇后停止运动.设点P原来的速度为xcm/s.(1)点Q的速度为cm/s(用含x的代数式表示);(2)求点P原来的速度.(3)判断E点的位置并求线段DE的长.23.(9分)已知,数轴上点A、C对应的数分别为a、c,且满足|a+7|+(c﹣1)2020=0,点B对应点的数为﹣3.(1)a=,c=;(2)若动点P、Q分别从A、B同时出发向右运动,点P的速度为3个单位长度/秒;点Q的速度为1个单位长度/秒,求经过多长时间P、Q两点的距离为;(3)在(2)的条件下,若点Q运动到点C立刻原速返回,到达点B后停止运动,点P运动至点C处又以原速返回,到达点A后又折返向C运动,当点Q停止运动点P随之停止运动.求在整个运动过程中,两点P,Q同时到达的点在数轴上表示的数.答案一.选择题1.C.2.B.3.B.4.B.5.D.6.C.7.C.8.C.9.A.10.D.二.填空题(共6小题,满分18分,每小题3分)11.3.12.0.13.③.14.﹣1.15.36.16.405.三.解答题(共7小题,满分52分)17.解:(1)去分母,可得:x﹣1﹣2(x+2)=3,去括号,可得:x﹣1﹣2x﹣4=3,移项,合并同类项,可得:x=﹣8.(2)去括号,可得:4x﹣60+3x+4=0,移项,合并同类项,可得:7x=56,系数化为1,可得:x=8.18.解:设图中最大正方形B的边长是x米,∵最小的正方形的边长是2米,∴正方形F的边长为(x﹣2)米,正方形E的边长为(x﹣4)米,正方形C的边长为米.∵MQ=PN,∴x﹣2+x﹣4=x+米,解得:x=14.则QM=12+10=22(米),PQ=12+14=26(米)故该花园的总面积=22×26=572(平方米).答:该花园的总面积是572平方米.19.解:(1)∵关于x的方程(m+3)x m﹣1+5=0是一元一次方程,∴m﹣1=1,解得:m=2;(2)把m=2代入原方程,得:5x+5=0,解得:x=﹣1,把x=﹣1代入方程﹣=1得:﹣=1,去分母得:2(﹣5+2n)﹣3(﹣n﹣3)=6,去括号得:﹣10+4n+3n+9=6,移项合并得:7n=7,解得:n=1.20.解:(1)根据题中的新定义得:原式=﹣2×5﹣3×5=﹣10﹣15=﹣25;(2)由题中的新定义化简得:2x﹣(﹣3)×(1﹣x)=6,去括号得:2x+3﹣3x=6,移项合并得:﹣x=3,解得:x=﹣3.21.解:(1)因为每立方米用水加收0.2元的城市污水处理费,则不超过20m3的水费为3元/m3,超过20m3的部分水费为4元/m3.如果1月份某用户用水量为19m3,那么该用户1月份应该缴纳水费3×19=57(元),故答案为:3、57;(2)设该用户2月份用水xm3,根据题意,得:20×3+(x﹣20)×4=80,解得:x=25,答:该用户2月份用水25m3.(3)设该用户3月份实际用水ym3,因为58.8<20×3,所以该用户上交水费的单价为3元/m3,由题意:70%y×3=58.8,解得y=28,所以该用户3月份实际应缴纳水费:20×3+4×(28﹣20)=92元,答:该用户3月份实际应该缴水费92元.22.解:(1)2x.故答案是:2x;(2)根据题意得:3(x+3)+3×2x=24(5分)解得x=答:点P原来的速度为cm/s;(3)此时点E在AD边上,且DE=2.23.解:(1)由非负数的性质可得:,∴a=﹣7,c=1,故答案为:﹣7,1.(2)设经过t秒两点的距离为由题意得:,解得或,答:经过秒或秒P,Q两点的距离为.(3)点P未运动到点C时,设经过x秒P,Q相遇,由题意得:3x=x+4,∴x=2,表示的数为:﹣7+3×2=﹣1,点P运动到点C返回时,设经过y秒P,Q相遇,由题意得:3y+y+4=2[1﹣(﹣7)],∴y=3,表示的数是:﹣3+3=0,当点P返回到点A时,用时秒,此时点Q所在位置表示的数是,设再经过z秒相遇,由题意得:,∴,∵+=<4+4,∴此时点P、Q均未停止运动,故z=还是符合题意.此时表示的数是:,答:在整个运动过程中,两点P,Q同时到达的点在数轴上表示的数分别是﹣1,0,﹣2.。
七年级数学(上)第三章 单元检测A 卷
第Ⅰ卷 选择题(共30分)
一、选择题(每小题3分.共30分)
1.下列代数式中,单项式共有 ( ) a+1,一2ab ,
3x ,x y +,22
x y +,一1,2312
ab c A .2个 B .3个 C .4个 D .5个
2.下列各式中,与2
x y 是同类项的是 ( ) A .2
xy B .2xy C .2
x y - D .2
2
3x y
3.下列去括号错误的共有 ( )
①()a b c ab c ++=+ ②()a b c d a b c d -+-=--+ ③2()2a b c a b c +-=+- ④[]2
2
()a a b a a b ---+=--
A .1个
B .2个
C .3个
D .4个
4.下列式子合并同类项正确的是 ( ) A .358x y xy += B .2
2
33y y -= C .15150ab ba -= D .3
2
76x x x -=
5.2
2
2
2
2
9736x x x x x -+-+-等于 ( ) A .2
x B .1 C .0 D .一2
x
6.下列语句:①一般情况下,一个代数式的值,与代数式中字母所取的值有关;②代数式
中的字母可以任意取值;③当a=2,b=0时,32322012a b -=-=,其中错误的有 ( )
A .0个
B .1个
C .2个
D .3个
7.圆柱底面半径为3 cm ,高为2 cm ,则它的体积为 ( ) A .97πcm 3 B .18π cm 3 C .3π cm 3 D .182
π cm 3
8.图1中表示阴影部分面积的代数式是 ( ) A .ab bc + B .()()c b d d a c -+- C .()ad c b d +- D .ab cd -
9.今天,和你一起参加全省课改实验区初中毕业学业考试的同学约有15 万人,其中男生约有a 万人,则女生约有 ( ) A .(15+a)万人 B .(15a -)万人
C .15a 万人
D .
15
a
万人 10.随着计算机技术的迅速发展,电脑价格不断降低,某品牌电脑按原价降低m 元后,又
降价20%,现售价为n 元,那么该电脑的原价为 ( )
A .4()5n m +元
B .5()4
n m +元 C .(5m+n)元 D .(5n+m)元
第Ⅱ卷 非选择题(共90分)
二、填空(每小题4分,共24分) 11.用代数式表示:
(1)x 的3倍与4的商: ; (2)x 与4的和的3倍: ; (3)a 与b 的差的相反数: .
12.(1)1打乒乓球有12只,n 打乒乓球有 只;
(2)自行车2小时行驶s 千米。
则它的速度是 千米/时; (3)小明的爸爸今年b 岁,他比小明大26岁,小明今年 岁.
13.七年级(2)班要添置新桌椅,使每人有一套桌椅,现有n 行,每行7人,还有一行8人,
需 套桌椅;当n=4时,共需 套桌椅. 14.化简:[]{
}4363(2)3(23)x x x y z z x y z ----+--+= .
15.去括号:43(2)5x x y y --++= . 16.观察下列顺序排列的等式:9011⨯+=
9×1+1=11 9×2+1=21 9×3+1=31 9×4+1=41 ……
猜想:第n 个等式(n 为正整数)应为 . 三、解答题(共66分) 17.合并同类项.(15分)
(1)[]324(3)b c a c b c ---+++ (2)[]22(3)3(2)x x y x y -+--
(3) [](52)235(23)2a b c a a b c --+-----
18.化简并求值.(12分)
(1) 2
21
4(1)2(1)(42)2
x x x x --+--,其中3x =-.
(2) 2
2
2
2
5(37)(25)x y xy y x -++-,其中x =0.1,y=0.2-.
19.“五一”期间,一旅客选择水路由武汉前往三峡旅游观光.已知所乘的轮船在静水中的
时速为a 千米/小时,水流速度为b 千米/小时(a>b),武汉到三峡之间的路程为s 千米,则该游客往返武汉和三峡之间路上所花的时间是多少?(10分)
20.某果品公司欲请汽车运输公司或火车货运站将60 t 水果从A 地运到B 地,已知汽车与
火车从A 地到B 地的运输运程均为s km ,这两家运输单位在运输过程中,除都要收运输中每吨每小时5元的冷藏费外,要收取的其他费用及有关运输资料由下表给出:(14分)
(1)请分别写出这两家运输单位运送这批水果所要收取的总费用y 1元和y 2元.(用含s 的 式子表示)
(2)若s=50,为减少费用,你认为果品公司应选择哪家运输单位运送这批水果更为合算? (说明:“1元/tkm ”表示每吨每千米l 元)
21.如图是由火柴拼出的一列图形,第n 个图形中由n 个正方形组成.(15分)
通过观察可以发现:
(1)第4个图形中火柴棒的根数是 ; (2)第2008个图形中火柴棒的根数是 ; (3)第n 个图形中火柴棒的根数是 .
参考答案
1.B 2.C 3.C 4.C 5.C 6.C 7.B 8.C 9.B 10.B
11.(1)
3
4
x (2)3(x +4) (3)一(a —b) 12.(1)12n (2) 2
s
(3)b —26
13.7n+8; 36 14.3x y z ++ 15.7x y -- 16.109n - 17.(I)原式= 324342b c a c b c a c -+--+=- (2)原式= 22636312x x y x y x y --+-=-
(3)原式=526102*********a b c a a b c a b c -+--+--+=---+
18.(1)原式= 2
2
2
44222456x x x x x x ----+=-+-,当3x =-时,原式=一36—15
—6=一57.
(2)当0.1,0.2y ==-时,原式=5×0.04—7× 0.1×(一0.2)=0.2+0.14=0.34 19.往返在路上所需的时间为(
)s s a b a b
+-+小时.
20.(1)
156********
50
s
y s =⨯⨯+⨯+
25602603310
80
s
y s =⨯⨯+⨯+
(2)当s=50时,
18800
y=
29597.5
y=,显然汽车更合算.21.(1)3×4+1=13(根) (2)3×2008+1=6025(根) (3)(3n+1)(根)。