(完整版)高中数学必修5公式大全
- 格式:doc
- 大小:1.02 MB
- 文档页数:14
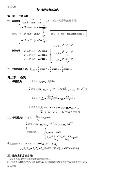
精品文档高中数学必修五公式第一章 三角函数一.正弦定理:2(sin sin sin a b cR R A B C===为三角形外接圆半径)变形:2sin (sin )22sin (sin )22sin (sin )2a a R A A R b b R B B R c c R C C R ⎧==⎪⎪⎪==⎨⎪⎪==⎪⎩推论:::sin :sin :sin a b c A B C =二.余弦定理:三.三角形面积公式:111sin sin sin ,222ABC S bc A ac B ab C ∆===第二章 数列一.等差数列: 1.定义:a n+1-a n =d (常数)2.通项公式:()d n a a n •-+=11或()d m n a a m n •-+=3.求和公式:()()d n n n n a a a S n n 21211-+=+=4.重要性质(1)a a a a q p n m q p n m +=+⇒+=+ (2)m,2m,32m m m S S S S S --仍成等差数列二.等比数列:1.定义:)0(1≠=+q q a a nn 2.通项公式:q a a n n 11-•=或q a a mn m n -•=3.求和公式: )(1q ,1==na S n)(1q 11)1(11≠--=--=qq a a q q a S n n n4.重要性质(1)a a a a q p n m q p n m =⇒+=+(2)()m,2m,32q 1m m m m S S S S S --≠-仍成等比数列或为奇数三.数列求和方法总结:1.等差等比数列求和可采用求和公式(公式法).2.非等差等比数列可考虑(分组求和法) ,(错位相减法)等转化为等差或等比数列再求和, 2222222222cos 2cos 2cos a b c bc Ab ac ac B c a b ab C =+-=+-=+-222222222cos 2cos 2cos 2b c a A bca cb B aca b c C ab+-=+-=+-=精品文档若不能转化为等差或等比数列则采用(拆项相消法)求和.注意(1):若数列的通项可分成两项之和(或三项之和)则可用(分组求和法)。
高中数学必修五知识点汇总第一章 解三角形 一、知识点总结 正弦定理:1.正弦定理:2sin sin sin a b cR A B C=== (R 为三角形外接圆的半径).步骤1.证明:在锐角△ABC 中,设BC=a,AC=b,AB=c 。
作CH ⊥AB 垂足为点H CH=a ·sinB CH=b ·sinA ∴a ·sinB=b ·sinA得到b ba a sin sin =同理,在△ABC 中, bbc c sin sin =步骤2.证明:2sin sin sin a b cR A B C===如图,任意三角形ABC,作ABC 的外接圆O. 作直径BD 交⊙O 于D. 连接DA.因为直径所对的圆周角是直角,所以∠DAB=90°因为同弧所对的圆周角相等,所以∠D 等于∠C.所以C RcD sin 2sin ==故2sin sin sin a b c R A B C ===2.正弦定理的一些变式:()sin sin sin i a b c A B C ::=::;()sin ,sin ,sin 22a bii A B C R R==2c R =;()2sin ,2sin ,2sin iii a R A b R B b R C ===;(4)R CB A cb a 2sin sin sin =++++ 3.两类正弦定理解三角形的问题:(1)已知两角和任意一边,求其他的两边及一角.(2)已知两边和其中一边的对角,求其他边角.(可能有一解,两解,无解) 4.在ABC ∆中,已知a,b 及A 时,解得情况: 解法一:利用正弦定理计算解法二:分析三角形解的情况,可用余弦定理做,已知a,b 和角A ,则由余弦定理得 即可得出关于c 的方程:0cos 2222=-+-a b Ac b c 分析该方程的解的情况即三角形解的情况 ①△=0,则三角形有一解 ②△>0则三角形有两解 ③△<0则三角形无解 余弦定理:1.余弦定理: 2222222222cos 2cos 2cos a b c bc A b a c ac B c b a ba C ⎧=+-⎪=+-⎨⎪=+-⎩2.推论: 222222222cos 2cos 2cos 2b c a A bc a c b B ac b a c C ab ⎧+-=⎪⎪+-⎪=⎨⎪⎪+-=⎪⎩.设a 、b 、c 是C ∆AB 的角A 、B 、C 的对边,则: ①若222a b c +=,则90C =; ②若222a b c +>,则90C <; ③若222a b c +<,则90C >.3.两类余弦定理解三角形的问题:(1)已知三边求三角.(2)已知两边和他们的夹角,求第三边和其他两角. 面积公式:已知三角形的三边为a,b,c,1.111sin ()222a S ah ab C r a b c ===++(其中r 为三角形内切圆半径)2.设)(21c b a p ++=,))()((c p b p a p p S ---=(海伦公式)例:已知三角形的三边为,、、c b a 设)(21c b a p ++=,求证:(1)三角形的面积))()((c p b p a p p S ---=; (2)r 为三角形的内切圆半径,则pc p b p a p r ))()((---=(3)把边BC 、CA 、AB 上的高分别记为,、、c b h h a h 则))()((2c p b p a p p ah a ---=))()((2c p b p a p p b h b ---=))()((2c p b p a p p ch c ---=证明:(1)根据余弦定理的推论:222cos 2a b c C ab+-=由同角三角函数之间的关系,sin C ==代入1sin 2S ab C =,得12S ====记1()2p a b c =++,则可得到1()2b c a p a +-=-,1()2c a b p b +-=-,1()2a b c p c +-=-代入可证得公式(2)三角形的面积S 与三角形内切圆半径r 之间有关系式122S p r pr =⨯⨯=其中1()2p a b c =++,所以S r p == 注:连接圆心和三角形三个顶点,构成三个小三角形,则大三角形的面积就是三个小三角形面积的和 故得:pr cr br ar S =++=212121(3)根据三角形面积公式12a S a h =⨯⨯所以,2a S h a =a h =同理b h c h 【三角形中的常见结论】(1)π=++C B A (2) sin()sin ,A B C +=cos()cos ,A B C +=-tan()tan ,A B C +=-2cos 2sinC B A =+,2sin 2cos CB A =+;A A A cos sin 22sin ⋅=, (3)若⇒>>C B A c b a >>⇒C B A sin sin sin >> 若C B A sin sin sin >>⇒c b a >>⇒C B A >> (大边对大角,小边对小角)(4)三角形中两边之和大于第三边,两边之差小于第三边 (5)三角形中最大角大于等于 60,最小角小于等于 60(6) 锐角三角形⇔三内角都是锐角⇔三内角的余弦值为正值⇔任两角和都是钝角⇔任意两边的平方和大于第三边的平方.钝角三角形⇔最大角是钝角⇔最大角的余弦值为负值 (7)ABC ∆中,A,B,C 成等差数列的充要条件是 60=B .(8) ABC ∆为正三角形的充要条件是A,B,C 成等差数列,且a,b,c 成等比数列. 二、题型汇总:题型1:判定三角形形状判断三角形的类型(1)利用三角形的边角关系判断三角形的形状:判定三角形形状时,可利用正余弦定理实现边角转化,统一成边的形式或角的形式.(2)在ABC ∆中,由余弦定理可知:222222222是直角ABC 是直角三角形是钝角ABC 是钝角三角形是锐角a b c A a b c A a b c A =+⇔⇔∆>+⇔⇔∆<+⇔⇔ABC 是锐角三角形∆(注意:是锐角A ⇔ABC 是锐角三角形∆) (3) 若B A 2sin 2sin =,则A=B 或2π=+B A .例1.在ABC ∆中,A b c cos 2=,且ab c b a c b a 3))((=-+++,试判断ABC ∆形状.题型2:解三角形及求面积一般地,把三角形的三个角A,B,C 和它们的对边a,b,c 叫做三角形的元素.已知三角形的几个元素求其他元素的过程叫做解三角形.例2.在ABC ∆中,1=a ,3=b ,030=∠A ,求的值例3.在ABC ∆中,内角C B A ,,对边的边长分别是c b a ,,,已知2=c ,3π=C .(Ⅰ)若ABC ∆的面积等于3,求a ,b(Ⅱ)若A A B C 2sin 2)(sin sin =-+,求ABC ∆的面积.题型3:证明等式成立证明等式成立的方法:(1)左⇒右,(2)右⇒左,(3)左右互相推.例4.已知ABC ∆中,角C B A ,,的对边分别为c b a ,,,求证:B c C b a cos cos +=.题型4:解三角形在实际中的应用考察:(仰角、俯角、方向角、方位角、视角)例5.如图所示,货轮在海上以40km/h 的速度沿着方位角(从指北方向顺时针转到目标方向线的水平转角)为140°的方向航行,为了确定船位,船在B 点观测灯塔A 的方位角为110°,航行半小时到达C 点观测灯塔A 的方位角是65°,则货轮到达C 点时,与灯塔A 的距离是多少?三、解三角形的应用 1.坡角和坡度:坡面与水平面的锐二面角叫做坡角,坡面的垂直高度h 和水平宽度l 的比叫做坡度,用i 表示,根据定义可知:坡度是坡角的正切,即tan i α=.lhα2.俯角和仰角:如图所示,在同一铅垂面内,在目标视线与水平线所成的夹角中,目标视线在水平视线的上方时叫做仰角,目标视线在水平视线的下方时叫做俯角.3. 方位角从指北方向顺时针转到目标方向线的水平角,如B点的方位角为 .注:仰角、俯角、方位角的区别是:三者的参照不同。
高中数学必修五公式第一章 三角函数一.正弦定理:2(sin sin sin a b cR R A B C===为三角形外接圆半径)变形:2sin (sin )22sin (sin )22sin (sin )2a a R A A R b b R B B R c c R C C R ⎧==⎪⎪⎪==⎨⎪⎪==⎪⎩推论:::sin :sin :sin a b c A B C =二.余弦定理:三.三角形面积公式:111sin sin sin ,222ABC S bc A ac B ab C ∆===第二章 数列一.等差数列: 1.定义:a n+1-a n =d (常数)2.通项公式:()d n a a n •-+=11或()d m n a a m n •-+=3.求和公式:()()d n n n n a a a S n n 21211-+=+=4.重要性质(1)a a a a q p n m q p n m +=+⇒+=+(2)m,2m,32m m m S S S S S --仍成等差数列二.等比数列:1.定义:)0(1≠=+q q a a nn 2.通项公式:q a a n n 11-•=或qa a mn m n -•=3.求和公式: )(1q ,1==na S n)(1q 11)1(11≠--=--=qqa a q q a S n n n4.重要性质(1)a a a a q p n m q p n m =⇒+=+(2)()m,2m,32q 1m m m m S S S S S --≠-仍成等比数列或为奇数三.数列求和方法总结:1.等差等比数列求和可采用求和公式(公式法).2.非等差等比数列可考虑(分组求和法) ,(错位相减法)等转化为等差或等比数列再求和, 若不能转化为等差或等比数列则采用(拆项相消法)求和.注意(1):若数列的通项可分成两项之和(或三项之和)则可用(分组求和法)。
(2)若一个等差数列与一个等比数列的对应相乘构成的新数列求和,采用(错位相减法). 过程:乘公比再两式错位相减(3)若数列的通项可拆成两项之差,通过正负相消后剩有限项再求和的方法为(拆项相消法).2222222222cos 2cos 2cos a b c bc Ab ac ac B c a b ab C =+-=+-=+-222222222cos 2cos 2cos 2b c a A bca cb B aca b c C ab+-=+-=+-=常见的拆项公式:111)1(1.1+-=+n n n n四.数列求通项公式方法总结:1..找规律(观察法).2..若为等差等比(公式法)3.已知Sn,用(Sn 法)即用公式()()⎩⎨⎧≥-==-2111n S S n S a n nn4. 叠加法5.叠乘法等第三章:不等式一.解一元二次不等式三部曲:1.化不等式为标准式ax 2+bx+c>0或 ax 2+bx+c<O (a>0)。
必修五数学公式概念第一章 解三角形1.1 正弦定理和余弦定理1.1.1 正弦定理1、正弦定理:在一个三角形中,各边和它所对角的正弦的比相等,即sin sin sin a b cA B C==. 正弦定理推论:①2sin sin sin a b cR A B C===〔R 为三角形外接圆的半径〕 ②2sin ,2sin ,2sin a R A b R B c R C === ③sin sin sin ,,sin sin sin a A b B a Ab Bc C c C===④::sin :sin :sin a b c A B C = ⑤sin sin sin sin sin sin a b c a b cA B C A B C++===++ 2、解三角形的概念:一般地,我们把三角形的各个角即他们所对的边叫做三角形的元素。
任何一个三角形都有六个元素:三条边),,(c b a 和三个内角),,(C B A .在三角形中,三角形的几个元素求其他元素的过程叫做解三角形。
3、正弦定理确定三角形解的情况图 形关 系 式 解 的 个 数A为 锐 角①sin a b A = ②a b ≥一 解sin b A a b <<两 解sin a b A <无 解A为钝角或直角b a >一 解b a ≤无 解4、任意三角形面积公式为:1.1.2 余弦定理5、余弦定理:三角形中任何一边的平方等于其他两边的平方的和减去这两边与它们的夹角的余弦的积的两倍,即2222cos a b c bc A =+-,2222cos b a c ca B =+-,2222cos c a b ab C =+-.余弦定理推论:222cos 2b c a A bc +-=,222cos 2a c b B ac +-=,222cos 2a b c C ab+-=6、不常用的三角函数值15°75°105°165°αsin426- 426+ 426+ 426- αcos426+ 426- 426+- 426+-αtan32- 32+ 32-- 32+-1.2 应用举例1、方位角:如图1,从正北方向顺时针转到目标方向线的水平角。
高中数学必修5知识点第一章解三角形(一)解三角形:1、正弦定理:在C ∆AB 中,a 、b 、c 分别为角A 、B 、C 的对边,,则有2sin sin sin a b c RC ===A B (R 为C ∆AB 的外接圆的半径)2、正弦定理的变形公式:①2sin a R =A ,2sin b R =B ,2sin c R C =;②sin 2a R A =,sin 2b R B =,sin 2c C R=;③::sin :sin :sin a b c C =A B ;3、三角形面积公式:111sin sin sin 222C S bc ab C ac ∆A B =A ==B .4、余弦定理:在C ∆AB 中,有2222cos a b c bc =+-A ,推论:222cos 2b c abc+-A =第二章数列1、数列中n a 与n S 之间的关系:11,(1),(2).n n n S n a S S n -=⎧=⎨-≥⎩注意通项能否合并。
2、等差数列:⑴定义:如果一个数列从第2项起,每一项与它的前一项的差等于同一个常数,即n a -1-n a =d ,(n≥2,n∈N +),那么这个数列就叫做等差数列。
⑵等差中项:若三数a A b 、、成等差数列2a bA +⇔=⑶通项公式:1(1)()n m a a n d a n m d=+-=+-或(n a pn q p q =+、是常数).⑷前n 项和公式:()()11122n n n n n a a S na d -+=+=⑸常用性质:①若()+∈ +=+N q p n m q p n m ,,,,则q p n m a a a a +=+;②下标为等差数列的项() ,,,2m k m k k a a a ++,仍组成等差数列;③数列{}b a n +λ(b ,λ为常数)仍为等差数列;④若{}n a 、{}n b 是等差数列,则{}n ka 、{}n n ka pb +(k 、p 是非零常数)、*{}(,)p nq a p q N +∈、,…也成等差数列。
高中数学必修5全部公式高中学生学习数学必修5课本内容牢记公式很重要。
那么数学必修5公式有哪些呢?下面店铺为大家整理高中数学必修5公式,希望对大家有所帮助!高中数学必修5公式高中数学提分技巧循序渐进,防止急躁由于学生年龄较小,阅历有限,为数不少的高中学生容易急躁,有的同学贪多求快,有的同学想靠几天“冲刺”一蹴而就,有的取得一点成绩便洋洋自得,遇到挫折又一蹶不振.学习是一个长期的巩固旧知识、发现新知识的积累过程,决非一朝一夕可以完成,为什么高中要上三年而不是三天!许多优秀的同学能取得好成绩,其中一个重要原因是他们的基本功扎实,他们的阅读、书写、运算技能达到了自动化或半自动化的熟练程度.学习上要学会积极归因,树立自信心,如:取得一点成绩及时体会成功,强化学习能力;遇到挫折及时调整学习方法、策略,更加努力改变挫折。
学习是一项循序渐进,长期积累的过程,要有恒心、决心,有一颗拼搏的心,要防止急躁心里,这样才能取得最后的成功。
研究学科特点,寻找最佳学习方法数学学科担负着培养学生运算能力、逻辑思维能力、空间想象能力,以及运用所学知识分析问题、解决问题的能力的重任.它的特点是具有高度的抽象性、逻辑性和广泛的适用性,对能力要求较高.学习数学一定要讲究“活”,只看书不做题不行,埋头做题不总结积累不行,对课本知识既要能钻进去,又要能跳出来,结合自身特点,寻找最佳学习方法.华罗庚先生倡导的“由薄到厚”和“由厚到薄”的学习过程就是这个道理.方法因人而异,但学习的五个环节:预习、上课、复习、作业、总结是少不了的.多交流,多反思解疑,化解分化点高中数学中易分化的地方多,这些地方一般都有方法新、难度大、灵活性强等特点.对易分化的地方要采用多次反复解疑,认真反思,总结规律,多阅读参考书等方法,多和同学交流,多向老师请教,多开展变式练习,化解分化点,以达到灵活掌握知识、运用知识的目的。
只要学习科学得法,有恒心,有信心,有拼搏心,克服急躁心里,克服“小聪明”,多交流,多反思,养成良好的学习习惯,就能顺利度过高中数学学习适应期,就能在今后的数学成绩图飞猛进。
圆学子梦想铸金字品牌高中数学必修五公式方法总结第一章解三角形a b c一.正弦定理:2R (R为三角形外接圆半径)sin A sin B sin Caa 2Rsin A (sin A )2R变形:bb 2Rsin B (sin B )2R推论:a: b:c sin A :sin B :sin Ccc 2Rsin C(sin C )2R二.余弦定理:cos A2 2 2b c a2bc2 2 2a b c 2bc c os A2 2 2b ac 2ac cos B cosB2 2 2a c b2ac2 2 2c a b 2ab cosC cosC2 2 2a b c2ab三.三角形面积公式: 1 1 1 S bc s in A ac sin B ab s in C, ABC2 2 2第二章数列一.等差数列: 1.定义:a n+1- a n=d(常数)2.通项公式:a a 或n 1 n 1 da n a m n m d3.求和公式:S n a a n a n n d11 nn 1 224.重要性质(1) a a a am n p qm n p q(2) S S S S S 仍成等差数列m, 2m m, 3 m 2ma二.等比数列:1.定义:( 0)n 1 q qan2.通项公式:a a q n 11 ? 或 a a qnnn ?mm3.求和公式: S na ,q 1n 1na (1 q ) a a q1 1 nS ,q 1n1 q 1 q4.重要性质(1) a a a am n p qm n p q- 1 -圆学子梦想 铸金字品牌(2)S m, S 2m S m, S 3m S 2m 仍成等比数列 q 1或m 为奇数三.数列求和方法总结:1.等差等比数列求和可采用求和公式(公式法 ).2.非等差等比数列可考虑分组求和法、错位相减法等转化为等差或等比数列再求和,1.常见的拆项公式 :1 n(n 1) 1 n 1n 1 2. 1 n(n k) 1 k ( 1 n n1 )k3. (2n 1 1)( 2n 1) 1 2 ( 1 2n 1 1 2n ) 14. n(n 1 1)( n 2) 1 2 [ n( 1n 1) ( n 1 1)( n 2)] 15.( n 1n)nn 1第三章:不等式221.化不等式为标准式 axbx c0或ax bx c O(a 0)。
高中数学常用公式及常用结论1. 元素与集合的关系U x A x C A ∈⇔∉,U x C A x A ∈⇔∉. 2.德摩根公式();()U U U U U U C A B C A C B C A B C A C B == .3.包含关系A B A A B B =⇔= U U A B C B C A ⇔⊆⇔⊆U A C B ⇔=Φ U C A B R ⇔=4.容斥原理()()card A B cardA cardB card A B =+-()()card A B C cardA cardB cardC card A B =++-()()()()card A B card B C card C A card A B C ---+ .5.集合12{,,,}n a a a 的子集个数共有2n个;真子集有2n–1个;非空子集有2n–1个;非空的真子集有2n–2个.6.二次函数的解析式的三种形式 (1)一般式2()(0)f x ax bx c a =++≠; (2)顶点式2()()(0)f x a x h k a =-+≠; (3)零点式12()()()(0)f x a x x x x a =--≠.7.解连不等式()N f x M <<常有以下转化形式()N f x M <<⇔[()][()]0f x M f x N --<⇔|()|22M N M N f x +--<⇔()0()f x NM f x ->- ⇔11()f x N M N>--. 8.方程0)(=x f 在),(21k k 上有且只有一个实根,与0)()(21<k f k f 不等价,前者是后者的一个必要而不是充分条件.特别地, 方程)0(02≠=++a c bx ax 有且只有一个实根在),(21k k 内,等价于0)()(21<k f k f ,或0)(1=k f 且22211k k a b k +<-<,或0)(2=k f 且22122k ab k k <-<+. 9.闭区间上的二次函数的最值二次函数)0()(2≠++=a c bx ax x f 在闭区间[]q p ,上的最值只能在abx 2-=处及区间的两端点处取得,具体如下: (1)当a>0时,若[]q p a bx ,2∈-=,则{}min max max ()(),()(),()2b f x f f x f p f q a=-=; []q p abx ,2∉-=,{}max max ()(),()f x f p f q =,{}min min ()(),()f x f p f q =. (2)当a<0时,若[]q p a b x ,2∈-=,则{}m i n ()m i n (),()f x f p f q =,若[]q p ab x ,2∉-=,则{}ma x ()m a x (),()f x f p f q =,{}min ()min (),()f x f p f q =. 10.一元二次方程的实根分布依据:若()()0f m f n <,则方程0)(=x f 在区间(,)m n 内至少有一个实根 . 设q px x x f ++=2)(,则(1)方程0)(=x f 在区间),(+∞m 内有根的充要条件为0)(=m f 或2402p q p m ⎧-≥⎪⎨->⎪⎩;(2)方程0)(=x f 在区间(,)m n 内有根的充要条件为()()0f m f n <或2()0()0402f m f n p q p m n >⎧⎪>⎪⎪⎨-≥⎪⎪<-<⎪⎩或()0()0f m af n =⎧⎨>⎩或()0()0f n af m =⎧⎨>⎩;(3)方程0)(=x f 在区间(,)n -∞内有根的充要条件为()0f m <或2402p q p m ⎧-≥⎪⎨-<⎪⎩ .11.定区间上含参数的二次不等式恒成立的条件依据(1)在给定区间),(+∞-∞的子区间L (形如[]βα,,(]β,∞-,[)+∞,α不同)上含参数的二次不等式(,)0f x t ≥(t 为参数)恒成立的充要条件是min (,)0()f x t x L ≥∉.(2)在给定区间),(+∞-∞的子区间上含参数的二次不等式(,)0f x t ≥(t 为参数)恒成立的充要条件是(,)0()man f x t x L ≤∉.(3)0)(24>++=c bx ax x f 恒成立的充要条件是000a b c ≥⎧⎪≥⎨⎪>⎩或2040a b ac <⎧⎨-<⎩.12.13.14.四种命题的相互关系15.充要条件(1)充分条件:若p q ⇒,则p 是q 充分条件.(2)必要条件:若q p ⇒,则p 是q 必要条件.(3)充要条件:若p q ⇒,且q p ⇒,则p 是q 充要条件.注:如果甲是乙的充分条件,则乙是甲的必要条件;反之亦然. 16.函数的单调性(1)设[]2121,,x x b a x x ≠∈⋅那么[]1212()()()0x x f x f x -->⇔[]b a x f x x x f x f ,)(0)()(2121在⇔>--上是增函数;[]1212()()()0x x f x f x --<⇔[]b a x f x x x f x f ,)(0)()(2121在⇔<--上是减函数. (2)设函数)(x f y =在某个区间内可导,如果0)(>'x f ,则)(x f 为增函数;如果0)(<'x f ,则)(x f 为减函数.17.如果函数)(x f 和)(x g 都是减函数,则在公共定义域内,和函数)()(x g x f +也是减函数; 如果函数)(u f y =和)(x g u =在其对应的定义域上都是减函数,则复合函数)]([x g f y =是增函数.18.奇偶函数的图象特征奇函数的图象关于原点对称,偶函数的图象关于y 轴对称;反过来,如果一个函数的图象关于原点对称,那么这个函数是奇函数;如果一个函数的图象关于y 轴对称,那么这个函数是偶函数.19.若函数)(x f y =是偶函数,则)()(a x f a x f --=+;若函数)(a x f y +=是偶函数,则)()(a x f a x f +-=+.20.对于函数)(x f y =(R x ∈),)()(x b f a x f -=+恒成立,则函数)(x f 的对称轴是函数2ba x +=;两个函数)(a x f y +=与)(x b f y -= 的图象关于直线2ba x +=对称. 21.若)()(a x f x f +--=,则函数)(x f y =的图象关于点)0,2(a 对称; 若)()(a x f x f +-=,则函数)(x f y =为周期为a 2的周期函数.22.多项式函数110()n n n n P x a x a x a --=+++ 的奇偶性多项式函数()P x 是奇函数⇔()P x 的偶次项(即奇数项)的系数全为零. 多项式函数()P x 是偶函数⇔()P x 的奇次项(即偶数项)的系数全为零. 23.函数()y f x =的图象的对称性(1)函数()y f x =的图象关于直线x a =对称()()f a x f a x ⇔+=-(2)()f a x f x ⇔-=.(2)函数()y f x =的图象关于直线2a bx +=对称()()f a mx f b mx ⇔+=- ()()f a b mx f mx ⇔+-=.24.两个函数图象的对称性(1)函数()y f x =与函数()y f x =-的图象关于直线0x =(即y 轴)对称. (2)函数()y f mx a =-与函数()y f b mx =-的图象关于直线2a bx m+=对称. (3)函数)(x f y =和)(1x f y -=的图象关于直线y=x 对称.25.若将函数)(x f y =的图象右移a 、上移b 个单位,得到函数b a x f y +-=)(的图象;若将曲线0),(=y x f 的图象右移a 、上移b 个单位,得到曲线0),(=--b y a x f 的图象.26.互为反函数的两个函数的关系a b f b a f =⇔=-)()(1.27.若函数)(b kx f y +=存在反函数,则其反函数为])([11b x f ky -=-,并不是)([1b kx f y +=-,而函数)([1b kx f y +=-是])([1b x f ky -=的反函数. 28.几个常见的函数方程(1)正比例函数()f x cx =,()()(),(1)f x y f x f y f c +=+=.(2)指数函数()xf x a =,()()(),(1)0f x y f x f y f a +==≠.(3)对数函数()log a f x x =,()()(),()1(0,1)f xy f x f y f a a a =+=>≠. (4)幂函数()f x x α=,'()()(),(1)f xy f x f y f α==.(5)余弦函数()cos f x x =,正弦函数()sin g x x =,()()()()()f x y f x f y g x g y -=+,()(0)1,lim1x g x f x→==. 29.几个函数方程的周期(约定a>0)(1))()(a x f x f +=,则)(x f 的周期T=a ; (2)0)()(=+=a x f x f ,或)0)(()(1)(≠=+x f x f a x f , 或1()()f x a f x +=-(()0)f x ≠,或[]1(),(()0,1)2f x a f x +=+∈,则)(x f 的周期T=2a ; (3))0)(()(11)(≠+-=x f a x f x f ,则)(x f 的周期T=3a ;(4))()(1)()()(212121x f x f x f x f x x f -+=+且1212()1(()()1,0||2)f a f x f x x x a =⋅≠<-<,则)(x f 的周期T=4a ;(5)()()(2)(3)(4)f x f x a f x a f x a f x a +++++++()()(2)(3)(4)f x f x a f x a f x a f x a =++++,则)(x f 的周期T=5a ; (6))()()(a x f x f a x f +-=+,则)(x f 的周期T=6a.30.分数指数幂(1)m na =0,,a m n N *>∈,且1n >). (2)1m nm naa-=(0,,a m n N *>∈,且1n >).31.根式的性质 (1)n a =.(2)当na =; 当n,0||,0a a a a a ≥⎧==⎨-<⎩.32.有理指数幂的运算性质 (1) (0,,)r s r s a a a a r s Q +⋅=>∈. (2) ()(0,,)r s rsa a a r s Q =>∈.(3)()(0,0,)rr rab a b a b r Q =>>∈.注: 若a >0,p 是一个无理数,则a p表示一个确定的实数.上述有理指数幂的运算性质,对于无理数指数幂都适用. 33.指数式与对数式的互化式log b a N b a N =⇔=(0,1,0)a a N >≠>.34.对数的换底公式log log log m a m NN a=(0a >,且1a ≠,0m >,且1m ≠, 0N >).推论 log log m na a nb b m =(0a >,且1a >,,0m n >,且1m ≠,1n ≠, 0N >).35.对数的四则运算法则若a >0,a ≠1,M >0,N >0,则 (1)log ()log log a a a MN M N =+;(2) log log log aa a MM N N =-; (3)log log ()na a M n M n R =∈.36.设函数)0)((log )(2≠++=a c bx ax x f m ,记ac b 42-=∆.若)(x f 的定义域为R ,则0>a ,且0<∆;若)(x f 的值域为R ,则0>a ,且0≥∆.对于0=a 的情形,需要单独检验.37. 对数换底不等式及其推广若0a >,0b >,0x >,1x a ≠,则函数log ()ax y bx = (1)当a b >时,在1(0,)a 和1(,)a+∞上log ()ax y bx =为增函数.,(2)当a b <时,在1(0,)a 和1(,)a+∞上log ()ax y bx =为减函数.推论:设1n m >>,0p >,0a >,且1a ≠,则 (1)log ()log m p m n p n ++<. (2)2log log log 2a a a m nm n +<. 38. 平均增长率的问题如果原来产值的基础数为N ,平均增长率为p ,则对于时间x 的总产值y ,有(1)x y N p =+. 39.数列的同项公式与前n 项的和的关系11,1,2n n n s n a s s n -=⎧=⎨-≥⎩( 数列{}n a 的前n 项的和为12n n s a a a =+++ ). 40.等差数列的通项公式*11(1)()n a a n d dn a d n N =+-=+-∈;其前n 项和公式为1()2n n n a a s +=1(1)2n n na d -=+ 211()22d n a d n =+-. 41.等比数列的通项公式1*11()n nn a a a q q n N q-==⋅∈; 其前n 项的和公式为11(1),11,1n n a q q s q na q ⎧-≠⎪=-⎨⎪=⎩或11,11,1n n a a qq q s na q -⎧≠⎪-=⎨⎪=⎩.42.等比差数列{}n a :11,(0)n n a qa d a b q +=+=≠的通项公式为1(1),1(),11n n n b n d q a bq d b q d q q -+-=⎧⎪=+--⎨≠⎪-⎩;其前n 项和公式为(1),(1)1(),(1)111n n nb n n d q s d q db n q q q q +-=⎧⎪=-⎨-+≠⎪---⎩. 43.分期付款(按揭贷款)每次还款(1)(1)1nnab b x b +=+-元(贷款a 元,n 次还清,每期利率为b ). 44.常见三角不等式 (1)若(0,)2x π∈,则sin tan x x x <<.(2) 若(0,)2x π∈,则1sin cos x x <+≤(3) |sin ||cos |1x x +≥.45.同角三角函数的基本关系式22sin cos 1θθ+=,tan θ=θθcos sin ,tan 1cot θθ⋅=. 46.正弦、余弦的诱导公式212(1)sin ,sin()2(1)s ,nn n co απαα-⎧-⎪+=⎨⎪-⎩212(1)s ,s()2(1)sin ,nn co n co απαα+⎧-⎪+=⎨⎪-⎩47.和角与差角公式sin()sin cos cos sin αβαβαβ±=±;cos()cos cos sin sin αβαβαβ±= ;tan tan tan()1tan tan αβαβαβ±±=. 22sin()sin()sin sin αβαβαβ+-=-(平方正弦公式);22cos()cos()cos sin αβαβαβ+-=-.sin cos a b αα+)αϕ+(辅助角ϕ所在象限由点(,)a b 的象限决定,tan baϕ=). 48.二倍角公式sin 22sin cos ααα=.2222cos 2cos sin 2cos 112sin ααααα=-=-=-.22tan tan 21tan ααα=-.49. 三倍角公式3sin 33sin 4sin 4sin sin()sin()33ππθθθθθθ=-=-+.3cos34cos 3cos 4cos cos()cos()33ππθθθθθθ=-=-+.323tan tan tan 3tan tan()tan()13tan 33θθππθθθθθ-==-+-. 50.三角函数的周期公式函数sin()y x ωϕ=+,x ∈R 及函数cos()y x ωϕ=+,x ∈R(A,ω,ϕ为常数,且A ≠0,ω>0)的周期2T πω=;函数tan()y x ωϕ=+,,2x k k Z ππ≠+∈(A,ω,ϕ为常数,且A ≠0,ω>0)的周期T πω=. 51.正弦定理2sin sin sin a b cR A B C===. 52.余弦定理2222cos a b c bc A =+-; 2222cos b c a ca B =+-; 2222cos c a b ab C =+-.53.面积定理(1)111222a b c S ah bh ch ===(a b c h h h 、、分别表示a 、b 、c 边上的高). (2)111sin sin sin 222S ab C bc A ca B ===.(3)OAB S ∆=54.三角形内角和定理在△ABC 中,有()A B C C A B ππ++=⇔=-+222C A B π+⇔=-222()C A B π⇔=-+. 55. 简单的三角方程的通解sin (1)arcsin (,||1)k x a x k a k Z a π=⇔=+-∈≤. s 2arccos (,||1)co x a x k a k Z a π=⇔=±∈≤.tan arctan (,)x a x k a k Z a R π=⇒=+∈∈.特别地,有sin sin (1)()k k k Z αβαπβ=⇔=+-∈.s cos 2()co k k Z αβαπβ=⇔=±∈.tan tan ()k k Z αβαπβ=⇒=+∈.56.最简单的三角不等式及其解集sin (||1)(2arcsin ,2arcsin ),x a a x k a k a k Z πππ>≤⇔∈++-∈.sin (||1)(2arcsin ,2arcsin ),x a a x k a k a k Z πππ<≤⇔∈--+∈. cos (||1)(2arccos ,2arccos ),x a a x k a k a k Z ππ>≤⇔∈-+∈.cos (||1)(2arccos ,22arccos ),x a a x k a k a k Z πππ<≤⇔∈++-∈.tan ()(arctan ,),2x a a R x k a k k Z πππ>∈⇒∈++∈.tan ()(,arctan ),2x a a R x k k a k Z πππ<∈⇒∈-+∈.57.实数与向量的积的运算律 设λ、μ为实数,那么(1) 结合律:λ(μa )=(λμ)a ;(2)第一分配律:(λ+μ)a =λa +μa; (3)第二分配律:λ(a +b )=λa +λb . 58.向量的数量积的运算律: (1) a ·b= b ·a (交换律); (2)(λa )·b= λ(a ·b )=λa ·b = a ·(λb ); (3)(a +b )·c= a ·c +b ·c. 59.平面向量基本定理如果e 1、e 2是同一平面内的两个不共线向量,那么对于这一平面内的任一向量,有且只有一对实数λ1、λ2,使得a=λ1e 1+λ2e 2.不共线的向量e 1、e 2叫做表示这一平面内所有向量的一组基底. 60.向量平行的坐标表示设a =11(,)x y ,b =22(,)x y ,且b ≠0,则a b(b ≠0)12210x y x y ⇔-=. 53. a 与b 的数量积(或内积) a ·b =|a ||b |cos θ. 61. a ·b 的几何意义数量积a ·b 等于a 的长度|a |与b 在a 的方向上的投影|b |cos θ的乘积. 62.平面向量的坐标运算(1)设a =11(,)x y ,b =22(,)x y ,则a+b=1212(,)x x y y ++.(2)设a =11(,)x y ,b =22(,)x y ,则a-b=1212(,)x x y y --.(3)设A 11(,)x y ,B 22(,)x y ,则2121(,)AB OB OA x x y y =-=--.(4)设a =(,),x y R λ∈,则λa=(,)x y λλ.(5)设a =11(,)x y ,b =22(,)x y ,则a ·b=1212()x x y y +.63.两向量的夹角公式cos θ=(a =11(,)x y ,b =22(,)x y ).64.平面两点间的距离公式,A B d =||AB ==11(,)x y ,B 22(,)x y ).65.向量的平行与垂直设a =11(,)x y ,b =22(,)x y ,且b ≠0,则A ||b ⇔b =λa 12210x y x y ⇔-=. a ⊥b(a ≠0)⇔a ·b=012120x x y y ⇔+=. 66.线段的定比分公式设111(,)P x y ,222(,)P x y ,(,)P x y 是线段12PP 的分点,λ是实数,且12PP PP λ=,则121211x x x y y y λλλλ+⎧=⎪⎪+⎨+⎪=⎪+⎩⇔121OP OP OP λλ+=+ ⇔12(1)OP tOP t OP =+- (11t λ=+). 67.三角形的重心坐标公式△ABC 三个顶点的坐标分别为11A(x ,y )、22B(x ,y )、33C(x ,y ),则△ABC 的重心的坐标是123123(,)33x x x y y y G ++++. 68.点的平移公式''''x x h x x h y y k y y k⎧⎧=+=-⎪⎪⇔⎨⎨=+=-⎪⎪⎩⎩''OP OP PP ⇔=+ . 注:图形F 上的任意一点P(x ,y)在平移后图形'F 上的对应点为'''(,)P x y ,且'PP的坐标为(,)h k .69.“按向量平移”的几个结论(1)点(,)P x y 按向量a =(,)h k 平移后得到点'(,)P x h y k ++.(2) 函数()y f x =的图象C 按向量a =(,)h k 平移后得到图象'C ,则'C 的函数解析式为()y f x h k =-+. (3) 图象'C 按向量a =(,)h k 平移后得到图象C ,若C 的解析式()y f x =,则'C 的函数解析式为()y f x h k =+-. (4)曲线C :(,)0f x y =按向量a =(,)h k 平移后得到图象'C ,则'C 的方程为(,)0f x h y k --=. (5) 向量m =(,)x y 按向量a =(,)h k 平移后得到的向量仍然为m =(,)x y . 70. 三角形五“心”向量形式的充要条件设O 为ABC ∆所在平面上一点,角,,A B C 所对边长分别为,,a b c ,则(1)O 为ABC ∆的外心222OA OB OC ⇔== .(2)O 为ABC ∆的重心0OA OB OC ⇔++=.(3)O 为ABC ∆的垂心OA OB OB OC OC OA ⇔⋅=⋅=⋅.(4)O 为ABC ∆的内心0aOA bOB cOC ⇔++=.(5)O 为ABC ∆的A ∠的旁心aOA bOB cOC ⇔=+.71.常用不等式:(1),a b R ∈⇒222a b ab +≥(当且仅当a =b 时取“=”号).(2),a b R +∈⇒2a b+≥当且仅当a =b 时取“=”号). (3)3333(0,0,0).a b c abc a b c ++≥>>>(4)柯西不等式22222()()(),,,,.a b c d ac bd a b c d R ++≥+∈(5)b a b a b a +≤+≤-. 72.极值定理已知y x ,都是正数,则有(1)若积xy 是定值p ,则当y x =时和y x +有最小值p 2; (2)若和y x +是定值s ,则当y x =时积xy 有最大值241s . 推广 已知R y x ∈,,则有xy y x y x 2)()(22+-=+ (1)若积xy 是定值,则当||y x -最大时,||y x +最大; 当||y x -最小时,||y x +最小.(2)若和||y x +是定值,则当||y x -最大时, ||xy 最小; 当||y x -最小时, ||xy 最大.73.一元二次不等式20(0)ax bx c ++><或2(0,40)a b ac ≠∆=->,如果a 与2ax bx c ++同号,则其解集在两根之外;如果a 与2ax bx c ++异号,则其解集在两根之间.简言之:同号两根之外,异号两根之间.121212()()0()x x x x x x x x x <<⇔--<<;121212,()()0()x x x x x x x x x x <>⇔--><或.74.含有绝对值的不等式 当a> 0时,有22x a x a a x a <⇔<⇔-<<.22x a x a x a >⇔>⇔>或x a <-.75.无理不等式 (1()0()0()()f x g x f x g x ≥⎧⎪>⇔≥⎨⎪>⎩. (22()0()0()()0()0()[()]f x f x g x g x g x f x g x ≥⎧≥⎧⎪⇔≥⎨⎨<⎩⎪>⎩或. (32()0()()0()[()]f x g x g x f x g x ≥⎧⎪⇔>⎨⎪<⎩. 76.指数不等式与对数不等式 (1)当1a >时,()()()()f x g x a a f x g x >⇔>;()0log ()log ()()0()()a a f x f x g x g x f x g x >⎧⎪>⇔>⎨⎪>⎩.(2)当01a <<时,()()()()f x g x a a f x g x >⇔<;()0log ()log ()()0()()a a f x f x g x g x f x g x >⎧⎪>⇔>⎨⎪<⎩77.斜率公式2121y y k x x -=-(111(,)P x y 、222(,)P x y ).78.直线的五种方程(1)点斜式 11()y y k x x -=- (直线l 过点111(,)P x y ,且斜率为k ). (2)斜截式 y kx b =+(b 为直线l 在y 轴上的截距).(3)两点式112121y y x x y y x x --=--(12y y ≠)(111(,)P x y 、222(,)P x y (12x x ≠)).(4)截距式 1x ya b+=(a b 、分别为直线的横、纵截距,0a b ≠、)(5)一般式 0Ax By C ++=(其中A 、B 不同时为0).79.两条直线的平行和垂直(1)若111:l y k x b =+,222:l y k x b =+ ①121212||,l l k k b b ⇔=≠; ②12121l l k k ⊥⇔=-.(2)若1111:0l A x B y C ++=,2222:0l A x B y C ++=,且A 1、A 2、B 1、B 2都不为零, ①11112222||A B C l l A B C ⇔=≠;②1212120l l A A B B ⊥⇔+=; 80.夹角公式(1)2121tan ||1k k k k α-=+.(111:l y k x b =+,222:l y k x b =+,121k k ≠-)(2)12211212tan ||A B A B A A B B α-=+.(1111:0l A x B y C ++=,2222:0l A x B y C ++=,12120A AB B +≠). 直线12l l ⊥时,直线l 1与l 2的夹角是2π.81. 1l 到2l 的角公式(1)2121tan 1k k k k α-=+.(111:l y k x b =+,222:l y k x b =+,121k k ≠-)(2)12211212tan A B A B A A B B α-=+.(1111:0l A x B y C ++=,2222:0l A x B y C ++=,12120A AB B +≠). 直线12l l ⊥时,直线l 1到l 2的角是2π.82.四种常用直线系方程(1)定点直线系方程:经过定点000(,)P x y 的直线系方程为00()y y k x x -=-(除直线0x x =),其中k 是待定的系数; 经过定点000(,)P x y 的直线系方程为00()()0A x x B y y -+-=,其中,A B 是待定的系数.(2)共点直线系方程:经过两直线1111:0l A x B y C ++=,2222:0l A x B y C ++=的交点的直线系方程为111222()()0A x B y C A x B y C λ+++++=(除2l ),其中λ是待定的系数. (3)平行直线系方程:直线y kx b =+中当斜率k 一定而b 变动时,表示平行直线系方程.与直线0Ax By C ++=平行的直线系方程是0Ax By λ++=(0λ≠),λ是参变量.(4)垂直直线系方程:与直线0Ax By C ++= (A ≠0,B ≠0)垂直的直线系方程是0Bx Ay λ-+=,λ是参变量.83.点到直线的距离d =(点00(,)P x y ,直线l :0Ax By C ++=).84. 0Ax By C ++>或0<所表示的平面区域设直线:0l Ax By C ++=,则0Ax By C ++>或0<所表示的平面区域是:若0B ≠,当B 与Ax By C ++同号时,表示直线l 的上方的区域;当B 与Ax By C ++异号时,表示直线l 的下方的区域.简言之,同号在上,异号在下.若0B =,当A 与Ax By C ++同号时,表示直线l 的右方的区域;当A 与Ax By C ++异号时,表示直线l 的左方的区域. 简言之,同号在右,异号在左.85. 111222()()0A x B y C A x B y C ++++>或0<所表示的平面区域设曲线111222:()()0C A x B y C A x B y C ++++=(12120A A B B ≠),则 111222()()0A x B y C A x B y C ++++>或0<所表示的平面区域是: 111222()()0A x B y C A x B y C ++++>所表示的平面区域上下两部分; 111222()()0A x B y C A x B y C ++++<所表示的平面区域上下两部分.86. 圆的四种方程(1)圆的标准方程 222()()x a y b r -+-=.(2)圆的一般方程 220x y Dx Ey F ++++=(224D E F +->0).(3)圆的参数方程 cos sin x a r y b r θθ=+⎧⎨=+⎩.(4)圆的直径式方程 1212()()()()0x x x x y y y y --+--=(圆的直径的端点是11(,)A x y 、22(,)B x y ).87. 圆系方程(1)过点11(,)A x y ,22(,)B x y 的圆系方程是1212112112()()()()[()()()()]0x x x x y y y y x x y y y y x x λ--+--+-----=1212()()()()()0x x x x y y y y ax by c λ⇔--+--+++=,其中0ax by c ++=是直线AB 的方程,λ是待定的系数.(2)过直线l :0Ax By C ++=与圆C:220x y Dx Ey F ++++=的交点的圆系方程是22()0x y Dx Ey F Ax By C λ+++++++=,λ是待定的系数.(3) 过圆1C :221110x y D x E y F ++++=与圆2C :222220x y D x E y F ++++=的交点的圆系方程是2222111222()0x y D x E y F x y D x E y F λ+++++++++=,λ是待定的系数.88.点与圆的位置关系点00(,)P x y 与圆222)()(r b y a x =-+-的位置关系有三种若d =d r >⇔点P 在圆外;d r =⇔点P 在圆上;d r <⇔点P 在圆内.89.直线与圆的位置关系直线0=++C By Ax 与圆222)()(r b y a x =-+-的位置关系有三种:0<∆⇔⇔>相离r d ; 0=∆⇔⇔=相切r d ; 0>∆⇔⇔<相交r d .其中22BA C Bb Aa d +++=.90.两圆位置关系的判定方法设两圆圆心分别为O 1,O 2,半径分别为r 1,r 2,d O O =21条公切线外离421⇔⇔+>r r d ; 条公切线外切321⇔⇔+=r r d ;条公切线相交22121⇔⇔+<<-r r d r r ; 条公切线内切121⇔⇔-=r r d ; 无公切线内含⇔⇔-<<210r r d .91.圆的切线方程(1)已知圆220x y Dx Ey F ++++=.①若已知切点00(,)x y 在圆上,则切线只有一条,其方程是0000()()022D x xE y y x x y yF ++++++=. 当00(,)x y 圆外时, 0000()()022D x xE y y x x y yF ++++++=表示过两个切点的切点弦方程. ②过圆外一点的切线方程可设为00()y y k x x -=-,再利用相切条件求k ,这时必有两条切线,注意不要漏掉平行于y 轴的切线.③斜率为k 的切线方程可设为y kx b =+,再利用相切条件求b ,必有两条切线.(2)已知圆222x y r +=.①过圆上的000(,)P x y 点的切线方程为200x x y y r +=;②斜率为k的圆的切线方程为y kx =±92.椭圆22221(0)x y a b a b +=>>的参数方程是cos sin x a y b θθ=⎧⎨=⎩.93.椭圆22221(0)x y a b a b+=>>焦半径公式)(21c a x e PF +=,)(22x ca e PF -=.94.椭圆的的内外部(1)点00(,)P x y 在椭圆22221(0)x y a b a b +=>>的内部2200221x y a b⇔+<.(2)点00(,)P x y 在椭圆22221(0)x y a b a b +=>>的外部2200221x y a b⇔+>.95. 椭圆的切线方程(1)椭圆22221(0)x y a b a b+=>>上一点00(,)P x y 处的切线方程是00221x x y y a b +=.(2)过椭圆22221(0)x y a b a b+=>>外一点00(,)P x y 所引两条切线的切点弦方程是00221x x y ya b+=. (3)椭圆22221(0)x y a b a b +=>>与直线0Ax By C ++=相切的条件是22222A aB b c +=.96.双曲线22221(0,0)x y a b a b -=>>的焦半径公式21|()|a PF e x c =+,22|()|a PF e x c=-.97.双曲线的内外部(1)点00(,)P x y 在双曲线22221(0,0)x y a b a b -=>>的内部2200221x y a b ⇔->. (2)点00(,)P x y 在双曲线22221(0,0)x y a b a b-=>>的外部2200221x y a b⇔-<. 98.双曲线的方程与渐近线方程的关系(1)若双曲线方程为12222=-by a x ⇒渐近线方程:22220x y a b -=⇔x a by ±=.(2)若渐近线方程为x a by ±=⇔0=±b y a x ⇒双曲线可设为λ=-2222by a x .(3)若双曲线与12222=-b y a x 有公共渐近线,可设为λ=-2222by a x (0>λ,焦点在x 轴上,0<λ,焦点在y 轴上).99. 双曲线的切线方程(1)双曲线22221(0,0)x y a b a b-=>>上一点00(,)P x y 处的切线方程是00221x x y y a b -=.(2)过双曲线22221(0,0)x y a b a b-=>>外一点00(,)P x y 所引两条切线的切点弦方程是00221x x y ya b-=. (3)双曲线22221(0,0)x y a b a b-=>>与直线0Ax By C ++=相切的条件是22222A aB b c -=.100. 抛物线px y 22=的焦半径公式抛物线22(0)y px p =>焦半径02p CF x =+.过焦点弦长p x x px p x CD ++=+++=212122.101.抛物线px y 22=上的动点可设为P ),2(2 y py 或或)2,2(2pt pt P P (,)x y ,其中 22y px = .102.二次函数2224()24b ac b y ax bx c a x a a -=++=++(0)a ≠的图象是抛物线:(1)顶点坐标为24(,)24b ac b a a--;(2)焦点的坐标为241(,)24b ac b a a -+-;(3)准线方程是2414ac b y a--=. 103.抛物线的内外部(1)点00(,)P x y 在抛物线22(0)y px p =>的内部22(0)y px p ⇔<>. 点00(,)P x y 在抛物线22(0)y px p =>的外部22(0)y px p ⇔>>.(2)点00(,)P x y 在抛物线22(0)y px p =->的内部22(0)y px p ⇔<->. 点00(,)P x y 在抛物线22(0)y px p =->的外部22(0)y px p ⇔>->. (3)点00(,)P x y 在抛物线22(0)x py p =>的内部22(0)x py p ⇔<>. 点00(,)P x y 在抛物线22(0)x py p =>的外部22(0)x py p ⇔>>. (4) 点00(,)P x y 在抛物线22(0)x py p =>的内部22(0)x py p ⇔<>. 点00(,)P x y 在抛物线22(0)x py p =->的外部22(0)x py p ⇔>->. 104. 抛物线的切线方程(1)抛物线px y 22=上一点00(,)P x y 处的切线方程是00()y y p x x =+.(2)过抛物线px y 22=外一点00(,)P x y 所引两条切线的切点弦方程是00()y y p x x =+. (3)抛物线22(0)y px p =>与直线0Ax By C ++=相切的条件是22pB AC =.105.两个常见的曲线系方程(1)过曲线1(,)0f x y =,2(,)0f x y =的交点的曲线系方程是12(,)(,)0f x y f x y λ+=(λ为参数).(2)共焦点的有心圆锥曲线系方程22221x y a k b k+=--,其中22max{,}k a b <.当22min{,}k a b >时,表示椭圆; 当2222min{,}max{,}a b k a b <<时,表示双曲线.106.直线与圆锥曲线相交的弦长公式 AB =1212||||AB x x y y ==-=-(弦端点A ),(),,(2211y x B y x ,由方程⎩⎨⎧=+=0)y ,x (F b kx y 消去y 得到02=++c bx ax ,0∆>,α为直线AB 的倾斜角,k 为直线的斜率). 107.圆锥曲线的两类对称问题(1)曲线(,)0F x y =关于点00(,)P x y 成中心对称的曲线是00(2-,2)0F x x y y -=. (2)曲线(,)0F x y =关于直线0Ax By C ++=成轴对称的曲线是22222()2()(,)0A Ax By C B Ax By C F x y A B A B++++--=++. 108.“四线”一方程对于一般的二次曲线220Ax Bxy Cy Dx Ey F +++++=,用0x x 代2x ,用0y y 代2y ,用002x y xy +代xy ,用02x x+代x ,用02y y+代y 即得方程 0000000222x y xy x x y yAx x B Cy y D E F ++++⋅++⋅+⋅+=,曲线的切线,切点弦,中点弦,弦中点方程均是此方程得到.109.证明直线与直线的平行的思考途径(1)转化为判定共面二直线无交点; (2)转化为二直线同与第三条直线平行; (3)转化为线面平行; (4)转化为线面垂直; (5)转化为面面平行.110.证明直线与平面的平行的思考途径 (1)转化为直线与平面无公共点; (2)转化为线线平行; (3)转化为面面平行.111.证明平面与平面平行的思考途径 (1)转化为判定二平面无公共点; (2)转化为线面平行; (3)转化为线面垂直.112.证明直线与直线的垂直的思考途径 (1)转化为相交垂直; (2)转化为线面垂直;(3)转化为线与另一线的射影垂直; (4)转化为线与形成射影的斜线垂直.113.证明直线与平面垂直的思考途径(1)转化为该直线与平面内任一直线垂直; (2)转化为该直线与平面内相交二直线垂直; (3)转化为该直线与平面的一条垂线平行; (4)转化为该直线垂直于另一个平行平面; (5)转化为该直线与两个垂直平面的交线垂直. 114.证明平面与平面的垂直的思考途径 (1)转化为判断二面角是直二面角; (2)转化为线面垂直.115.空间向量的加法与数乘向量运算的运算律 (1)加法交换律:a +b =b +a .(2)加法结合律:(a +b )+c =a +(b +c ). (3)数乘分配律:λ(a +b )=λa +λb .116.平面向量加法的平行四边形法则向空间的推广始点相同且不在同一个平面内的三个向量之和,等于以这三个向量为棱的平行六面体的以公共始点为始点的对角线所表示的向量.117.共线向量定理对空间任意两个向量a 、b (b ≠0 ),a ∥b ⇔存在实数λ使a =λb .P A B 、、三点共线⇔||AP AB ⇔AP t AB = ⇔(1)OP t OA tOB =-+.||AB CD ⇔AB 、CD共线且AB CD 、不共线⇔AB tCD = 且AB CD 、不共线.118.共面向量定理向量p 与两个不共线的向量a 、b 共面的⇔存在实数对,x y ,使p ax by =+.推论 空间一点P 位于平面MAB 内的⇔存在有序实数对,x y ,使MP xMA yMB =+,或对空间任一定点O ,有序实数对,x y ,使OP OM xMA yMB =++.119.对空间任一点O 和不共线的三点A 、B 、C ,满足OP xOA yOB zOC =++(x y z k ++=),则当1k =时,对于空间任一点O ,总有P 、A 、B 、C 四点共面;当1k ≠时,若O ∈平面ABC ,则P 、A 、B 、C 四点共面;若O ∉平面ABC ,则P 、A 、B 、C 四点不共面.C A B 、、、D 四点共面⇔AD 与AB 、AC 共面⇔AD xAB yAC =+⇔ (1)OD x y OA xOB yOC =--++(O ∉平面ABC ).120.空间向量基本定理如果三个向量a 、b 、c 不共面,那么对空间任一向量p ,存在一个唯一的有序实数组x ,y ,z ,使p =x a +y b +z c .推论 设O 、A 、B 、C 是不共面的四点,则对空间任一点P ,都存在唯一的三个有序实数x ,y ,z ,使O P x O A y O B z O C =++.121.射影公式已知向量AB =a 和轴l ,e 是l 上与l 同方向的单位向量.作A 点在l 上的射影'A ,作B 点在l 上的射影'B ,则''||cos A B AB = 〈a ,e 〉=a ·e122.向量的直角坐标运算设a =123(,,)a a a ,b =123(,,)b b b 则 (1)a +b =112233(,,)a b a b a b +++; (2)a -b =112233(,,)a b a b a b ---; (3)λa =123(,,)a a a λλλ (λ∈R); (4)a ·b =112233a b a b a b ++; 123.设A 111(,,)x y z ,B 222(,,)x y z ,则 AB OB OA =-= 212121(,,)x x y y z z ---.124.空间的线线平行或垂直设111(,,)a x y z =r ,222(,,)b x y z =r,则a b r r P ⇔(0)a b b λ=≠r r r r ⇔121212x x y y z zλλλ=⎧⎪=⎨⎪=⎩;a b ⊥r r ⇔0a b ⋅=r r⇔1212120x x y y z z ++=.125.夹角公式设a =123(,,)a a a ,b =123(,,)b b b ,则 cos 〈a ,b 〉.推论 2222222112233123123()()()a b a b a b a a a b b b ++≤++++,此即三维柯西不等式.126. 四面体的对棱所成的角四面体ABCD 中, AC 与BD 所成的角为θ,则2222|()()|cos 2AB CD BC DA AC BDθ+-+=⋅.127.异面直线所成角cos |cos ,|a b θ=r r=||||||a b a b ⋅=⋅r rr r (其中θ(090θ<≤o o)为异面直线a b ,所成角,,a b r 分别表示异面直线a b ,的方向向量) 128.直线AB 与平面所成角sin ||||AB m arc AB m β⋅= (m为平面α的法向量). 129.若ABC ∆所在平面若β与过若AB 的平面α成的角θ,另两边AC ,BC 与平面α成的角分别是1θ、2θ,A B 、为ABC ∆的两个内角,则2222212sin sin (sin sin )sin A B θθθ+=+.特别地,当90ACB ∠=时,有22212sin sin sin θθθ+=.130.若ABC ∆所在平面若β与过若AB 的平面α成的角θ,另两边AC ,BC 与平面α成的角分别是1θ、2θ,''A B 、为ABO ∆的两个内角,则222'2'212tan tan (sin sin )tan A B θθθ+=+.特别地,当90AOB ∠=时,有22212sin sin sin θθθ+=. 131.二面角l αβ--的平面角cos ||||m n arc m n θ⋅= 或cos ||||m narc m n π⋅-(m ,n 为平面α,β的法向量).132.三余弦定理设AC 是α内的任一条直线,且BC ⊥AC ,垂足为C ,又设AO 与AB 所成的角为1θ,AB 与AC 所成的角为2θ,AO 与AC 所成的角为θ.则12cos cos cos θθθ=.133. 三射线定理若夹在平面角为ϕ的二面角间的线段与二面角的两个半平面所成的角是1θ,2θ,与二面角的棱所成的角是θ,则有22221212sin sin sin sin 2sin sin cos ϕθθθθθϕ=+- ; 1212||180()θθϕθθ-≤≤-+ (当且仅当90θ= 时等号成立).134.空间两点间的距离公式若A 111(,,)x y z ,B 222(,,)x y z ,则,A B d=||AB ==. 135.点Q 到直线l 距离h =(点P 在直线l 上,直线l 的方向向量a =PA ,向量b =PQ ).136.异面直线间的距离||||CD n d n ⋅=(12,l l 是两异面直线,其公垂向量为n ,C D 、分别是12,l l 上任一点,d 为12,l l 间的距离).137.点B 到平面α的距离||||AB n d n ⋅=(n 为平面α的法向量,AB 是经过面α的一条斜线,A α∈). 138.异面直线上两点距离公式d .d =d ='E AA F ϕ=--).(两条异面直线a 、b 所成的角为θ,其公垂线段'AA 的长度为h.在直线a 、b 上分别取两点E 、F ,'A E m =,AF n =,EF d =). 139.三个向量和的平方公式2222()222a b c a b c a b b c c a ++=+++⋅+⋅+⋅ 2222||||cos ,2||||cos ,2||||cos ,a b c a b a b b c b c c a c a =+++⋅+⋅+⋅140. 长度为l 的线段在三条两两互相垂直的直线上的射影长分别为123l l l 、、,夹角分别为123θθθ、、,则有 2222123l l l l =++222123cos cos cos 1θθθ⇔++=222123sin sin sin 2θθθ⇔++=.(立体几何中长方体对角线长的公式是其特例). 141. 面积射影定理'cos S S θ=.(平面多边形及其射影的面积分别是S 、'S ,它们所在平面所成锐二面角的为θ). 142. 斜棱柱的直截面已知斜棱柱的侧棱长是l ,侧面积和体积分别是S 斜棱柱侧和V 斜棱柱,它的直截面的周长和面积分别是1c 和1S ,则 ①1S c l =斜棱柱侧. ②1V S l =斜棱柱.143.作截面的依据三个平面两两相交,有三条交线,则这三条交线交于一点或互相平行. 144.棱锥的平行截面的性质如果棱锥被平行于底面的平面所截,那么所得的截面与底面相似,截面面积与底面面积的比等于顶点到截面距离与棱锥高的平方比(对应角相等,对应边对应成比例的多边形是相似多边形,相似多边形面积的比等于对应边的比的平方);相应小棱锥与小棱锥的侧面积的比等于顶点到截面距离与棱锥高的平方比.145.欧拉定理(欧拉公式)2V F E +-=(简单多面体的顶点数V 、棱数E 和面数F).(1)E =各面多边形边数和的一半.特别地,若每个面的边数为n 的多边形,则面数F 与棱数E 的关系:12E nF =; (2)若每个顶点引出的棱数为m ,则顶点数V 与棱数E 的关系:12E mV =. 146.球的半径是R ,则其体积343V R π=, 其表面积24S R π=.147.球的组合体(1)球与长方体的组合体:长方体的外接球的直径是长方体的体对角线长. (2)球与正方体的组合体:正方体的内切球的直径是正方体的棱长, 正方体的棱切球的直径是正方体的面对角线长, 正方体的外接球的直径是正方体的体对角线长.(3) 球与正四面体的组合体:棱长为a ,. 148.柱体、锥体的体积13V Sh =柱体(S 是柱体的底面积、h 是柱体的高).13V Sh =锥体(S 是锥体的底面积、h 是锥体的高).149.分类计数原理(加法原理) 12n N m m m =+++ . 150.分步计数原理(乘法原理) 12n N m m m =⨯⨯⨯ . 151.排列数公式mnA =)1()1(+--m n n n =!!)(m n n -.(n ,m ∈N *,且m n ≤).注:规定1!0=. 152.排列恒等式(1)1(1)m m n nA n m A -=-+; (2)1mmn n n A A n m -=-; (3)11m m n n A nA --=;(4)11n n n n n n nA A A ++=-; (5)11m m m n n n A A mA -+=+.(6) 1!22!33!!(1)!1n n n +⋅+⋅++⋅=+- . 153.组合数公式m n C=m n mmA A =m m n n n ⨯⨯⨯+-- 21)1()1(=!!!)(m n m n -⋅(n ∈N *,m N ∈,且m n ≤). 154.组合数的两个性质(1)m n C =mn n C - ; (2) m n C +1-m n C =m n C 1+.注:规定10=n C .155.组合恒等式(1)11mm n n n m C C m --+=; (2)1m mn n n C C n m -=-; (3)11mm n n n C C m--=;(4)∑=nr r nC0=n2;(5)1121++++=++++r n r n r r r r r rC C C C C . (6)n n n r n n n n C C C C C 2210=++++++ .(7)14205312-+++=+++n n n n n n n C C C C C C .(8)1321232-=++++n nn n n n n nC C C C .(9)rn m rn rm n r m n rm C C C C C C C +-=+++011. (10)nn n n n n n C C C C C 22222120)()()()(=++++ . 156.排列数与组合数的关系m mn nA m C =⋅! . 157.单条件排列以下各条的大前提是从n 个元素中取m 个元素的排列. (1)“在位”与“不在位”①某(特)元必在某位有11--m n A 种;②某(特)元不在某位有11---m n m n A A (补集思想)1111---=m n n A A (着眼位置)11111----+=m n m m n A A A (着眼元素)种.(2)紧贴与插空(即相邻与不相邻)①定位紧贴:)(n m k k ≤≤个元在固定位的排列有km k n k k A A --种.②浮动紧贴:n 个元素的全排列把k 个元排在一起的排法有k k k n k n A A 11+-+-种.注:此类问题常用捆绑法;③插空:两组元素分别有k 、h 个(1+≤h k ),把它们合在一起来作全排列,k 个的一组互不能挨近的所有排列数有k h h h A A 1+种.(3)两组元素各相同的插空m 个大球n 个小球排成一列,小球必分开,问有多少种排法?当1+>m n 时,无解;当1+≤m n 时,有n m n nn m C A A 11++=种排法.(4)两组相同元素的排列:两组元素有m 个和n 个,各组元素分别相同的排列数为nn m C +.158.分配问题(1)(平均分组有归属问题)将相异的m 、n 个物件等分给m 个人,各得n 件,其分配方法数共有mnn n n n n mn n n mn n mn n mn C C C C C N )!()!(22=⋅⋅⋅⋅⋅=-- . (2)(平均分组无归属问题)将相异的m ·n 个物体等分为无记号或无顺序的m 堆,其分配方法数共有 mn nn n n n mn n n mn n mn n m mn m C C C C C N )!(!)!(!...22=⋅⋅⋅⋅=--. (3)(非平均分组有归属问题)将相异的) 12m P(P=n +n ++n 个物体分给m 个人,物件必须被分完,分别得到1n ,2n ,…,m n 件,且1n ,2n ,…,m n 这m 个数彼此不相等,则其分配方法数共有!!...!!!!...21211m n n nn p n p n n n m p m C C C N mm=⋅⋅=-. (4)(非完全平均分组有归属问题)将相异的) 12m P(P=n +n ++n 个物体分给m 个人,物件必须被分完,分别得到1n ,2n ,…,m n 件,且1n ,2n ,…,m n 这m 个数中分别有a 、b 、c 、…个相等,则其分配方法数有!...!!! (2)11c b a m C C C N m mn n n n p n p ⋅⋅=-12!!!!...!(!!!...)m p m n n n a b c =.(5)(非平均分组无归属问题)将相异的) 12m P(P=n +n ++n 个物体分为任意的1n ,2n ,…,m n 件无记号的m 堆,且1n ,2n ,…,m n 这m 个数彼此不相等,则其分配方法数有!!...!!21m n n n p N =.(6)(非完全平均分组无归属问题)将相异的) 12m P(P=n +n ++n 个物体分为任意的1n ,2n ,…,m n 件无记号的m 堆,且1n ,2n ,…,m n 这m 个数中分别有a 、b 、c 、…个相等,则其分配方法数有!...)!!(!!...!!21c b a n n n p N m =.(7)(限定分组有归属问题)将相异的p (2m p n n n = 1+++)个物体分给甲、乙、丙,……等m 个人,物体必须被分完,如果指定甲得1n 件,乙得2n 件,丙得3n 件,…时,则无论1n ,2n ,…,m n 等m 个数是否全相异或不全相异其分配方法数恒有!!...!! (212)11m n n n n p n p n n n p C C C N m m=⋅=-.159.“错位问题”及其推广贝努利装错笺问题:信n 封信与n 个信封全部错位的组合数为1111()![(1)]2!3!4!!n f n n n =-+-+- . 推广: n 个元素与n 个位置,其中至少有m 个元素错位的不同组合总数为 1234(,)!(1)!(2)!(3)!(4)!(1)()!(1)()!m m m m ppmm mmf n m n C n C n C n C n C n p C n m =--+---+--+--++--12341224![1(1)(1)]p m p m m m m m m mp m n n n n n nC C C C C C n A A A A A A =-+-+-+-++- .。
高中数学必修5知识点(一)解三角形1、正弦定理:在C ∆A B 中,a 、b 、c 分别为角A 、B 、C 的对边,R 为C ∆A B 的外接圆的半径,则有2sin sin sin a b c R C===AB .正弦定理的变形公式:①2sin a R =A ,2sin b R =B ,2sin c R C =; ②sin 2a RA =,sin 2b RB =,sin 2c C R=;③::sin :sin :sin a b c C =A B ; ④sin sin sin sin sin sin a b c a b c CC ++===A +B +AB.2、三角形面积公式:111sin sin sin 222C S bc ab C ac ∆A B =A ==B .3、余弦定理:在C ∆A B 中,有2222cos a b c bc =+-A ,2222cos b a c ac =+-B ,2222cos c a b ab C =+-.4、余弦定理的推论:222cos 2b c abc+-A =,222cos 2a c bac+-B =,222cos 2a b cC ab+-=.5、射影定理:cos cos ,cos cos ,cos cos a b C c B b a C c A c a B b A =+=+=+6、设a 、b 、c 是C ∆A B 的角A 、B 、C 的对边,则:①若222a b c +=,则90C = ; ②若222a b c +>,则90C < ;③若222a b c +<,则90C > . (二)数列7、数列:按照一定顺序排列着的一列数. 8、数列的项:数列中的每一个数. 9、有穷数列:项数有限的数列. 10、无穷数列:项数无限的数列.11、递增数列:从第2项起,每一项都不小于它的前一项的数列.10n n a a +-> 12、递减数列:从第2项起,每一项都不大于它的前一项的数列.10n n a a +-< 13、常数列:各项相等的数列.14、摆动数列:从第2项起,有些项大于它的前一项,有些项小于它的前一项的数列. 15、数列的通项公式:表示数列{}n a 的第n 项与序号n 之间的关系的公式.16、数列的递推公式:表示任一项n a 与它的前一项1n a -(或前几项)间的关系的公式.17、如果一个数列从第2项起,每一项与它的前一项的差等于同一个常数,则这个数列称为等差数列,这个常数称为等差数列的公差.18、由三个数a ,A ,b 组成的等差数列可以看成最简单的等差数列,则A 称为a 与b 的等差中项.若2a cb +=,则称b 为a 与c 的等差中项.19、若等差数列{}n a 的首项是1a ,公差是d ,则()11n a a n d =+-. 20、通项公式的变形:①()n m a a n m d =+-;②()11n a a n d =--;③11n a a d n -=-;④11n a a n d-=+;⑤n m a a d n m-=-.21、若{}n a 是等差数列,且m n p q +=+(m 、n 、p 、*q ∈N ),则m n p q a a a a +=+;若{}n a 是等差数列,且2n p q =+(n 、p 、*q ∈N ),则2n p q a a a =+.22、等差数列的前n 项和的公式:①()12n n n a a S +=;②()112n n n S na d -=+.23、等差数列的前n 项和的性质:①若项数为()*2n n ∈N ,则()21n n n S n a a +=+,且S S nd -=偶奇,1n n S a S a +=奇偶.②若项数为()*21n n -∈N,则()2121n n Sn a -=-,且n S S a -=奇偶,1S n S n =-奇偶(其中n S na =奇,()1n S n a =-偶).24、如果一个数列从第2项起,每一项与它的前一项的比等于同一个常数,则这个数列称为等比数列,这个常数称为等比数列的公比.25、在a 与b 中间插入一个数G ,使a ,G ,b 成等比数列,则G 称为a 与b 的等比中项.若2G ab =,则称G 为a 与b 的等比中项.注意:a 与b 的等比中项可能是G ±26、若等比数列{}n a 的首项是1a ,公比是q ,则11n n a a q -=.27、通项公式的变形:①n mn m a a q -=;②()11n n a a q--=;③11n n a qa -=;④n mn ma qa -=.28、若{}n a 是等比数列,且m n p q +=+(m 、n 、p 、*q ∈N ),则m n p q a a a a ⋅=⋅;若{}n a 是等比数列,且2n p q =+(n 、p 、*q ∈N ),则2n p q a a a =⋅.29、等比数列{}n a 的前n 项和的公式:()()()11111111n n n na q S a q a a q q qq =⎧⎪=-⎨-=≠⎪--⎩.30、等比数列的前n 项和的性质:①若项数为()*2n n ∈N ,则S q S =偶奇.②n n m n m S S q S +=+⋅.③n S ,2n n S S -,32n n S S -成等比数列(0n S ≠). (三)不等式31、0a b a b ->⇔>;0a b a b -=⇔=;0a b a b -<⇔<.32、不等式的性质: ①a b b a >⇔<;②,a b b c a c >>⇒>;③a b a c b c >⇒+>+; ④,0a b c ac bc >>⇒>,,0a b c ac bc ><⇒<;⑤,a b c d a c b d >>⇒+>+; ⑥0,0a b c d ac bd >>>>⇒>;⑦()0,1n na b a b n n >>⇒>∈N >;⑧)0,1a b n n >>⇒>∈N >.33、一元二次不等式:只含有一个未知数,并且未知数的最高次数是2的不等式. 34、二次函数的图象、一元二次方程的根、一元二次不等式的解集间的关系:若二次项系数为负,先变为正 35、设a 、b 是两个正数,则2a b +称为正数a 、b a 、b 的几何平均数.36、均值不等式定理: 若0a >,0b >,则a b +≥,即2a b +≥.37、常用的基本不等式: ①()222,a b ab a b R +≥∈;②()22,2a b ab a b R +≤∈;③()20,02a b ab a b +⎛⎫≤>> ⎪⎝⎭;④()222,22a b a b a b R ++⎛⎫≥∈ ⎪⎝⎭.38、极值定理:设x 、y 都为正数,则有⑴若x y s +=(和为定值),则当x y =时,积xy 取得最大值24s .⑵若xy p =(积为定值),则当x y =时,和x y +取得最小值.。
必修2:一、直线与圆 1、斜率的计算公式:k = tanα=1212x x y y --(α ≠ 90°,x 1≠x 2)2、直线的方程(1)斜截式 y = k x + b,k 存在 ;(2)点斜式 y – y 0 = k ( x – x 0 ) ,k 存在; (3)两点式121121x x x x y y y y --=--(1212,x x y y ≠≠) ;4)截距式 1=+bya x (0,0ab ≠≠)(5)一般式0(,0Ax By c A B ++=不同时为) 3、两条直线的 位置关系:4、两点间距离公式:设P 1 ( x 1 , y 1 ) 、P 2 ( x 2 , y 2 ),则 | P 1 P 2 | =()()221221y y x x -+-5、点P ( x 0 , y 0 )到直线l :A x + B y + C = 0的距离:2200BA CBy Ax d +++=8.点与圆的位置关系点00(,)P x y 与圆222)()(r b y a x =-+-的位置关系有三种若d =则 d r >⇔点P 在圆外;d r =⇔点P 在圆上;d r <⇔点P 在圆内.9.直线与圆的位置关系(圆心到直线的距离为d)直线0=++C By Ax 与圆222)()(r b y a x =-+-的位置关系有三种:0<∆⇔⇔>相离r d ;0=∆⇔⇔=相切r d ;0>∆⇔⇔<相交r d .10.两圆位置关系的判定方法设两圆圆心分别为O 1,O 2,半径分别为r 1,r 2,d O O =21条公切线外离421⇔⇔+>r r d ; 条公切线外切321⇔⇔+=r r d ;条公切线相交22121⇔⇔+<<-r r d r r ; 条公切线内切121⇔⇔-=r r d ; 无公切线内含⇔⇔-<<210r r d .11.圆的切线方程(1)已知圆220x y Dx Ey F ++++=.①若已知切点00(,)x y 在圆上,则切线只有一条,其方程是0000()()022D x xE y y x x y yF ++++++=. 当00(,)x y 圆外时, 0000()()022D x xE y y x x y yF ++++++=表示过两个切点的切点弦方程.②过圆外一点的切线方程可设为00()y y k x x -=-,再利用相切条件求k ,这时必有两条切线,注意不要漏掉平行于y 轴的切线.③斜率为k 的切线方程可设为y kx b =+,再利用相切条件求b ,必有两条切线. (2)已知圆222x y r +=.①过圆上的000(,)P x y 点的切线方程为200x x y y r +=;②斜率为k 的圆的切线方程为y kx =±二、立体几何 (一)、线线平行判定定理:1、平行于同一条直线的两条直线互相平行。
高中数学必修五所有公式在学习数学的过程中,有许多关于几何形状、数轴、解方程等方面的公式,而高中数学必修五的公式更是应用十分广泛,这里我们就来简单介绍下这门课程中所包含的公式。
首先,三角形公式有三角形面积公式、勾股定理、余弦定理等,其中,三角形面积公式有:三角形的面积S=1/2ab*sinC,即两边的乘积乘以正切值;勾股定理 S=a*a+b*b,即长度的平方和;余弦定理c*c=a*a+b*b-2ab*cosC,即最长边的平方等于两边的平方减去两边乘以余弦值得到的积。
其次,立体几何公式有立体图形的表面积、体积公式,如三棱柱的表面积S=2l*(acosA+bcosB+acosC),即两侧面积乘以余弦值之和;三棱柱的体积V=abc*sinA,即三边长度的乘积乘以正切值。
此外,数轴上的公式有等差数列的公式、等比数列的公式,如等差数列的和公式有:等差数列的公差d,d=(b-a)/(n-1),即最大值减去最小值除以项数减一;等差数列的和S=n/2*(a+b),即项数除以二乘以最大值加最小值;等比数列的公比q,q=b/a,即后一项除以前一项;等比数列和Sn=a*(1-qn)/(1-q),即第一项乘以一减比的n次方除以一减比。
最后,解方程的公式有一元一次方程的公式、二元一次方程的公式、二元二次方程的公式等,其中,一元一次方程的解法,x=S/a,即等号右边除以等号左边的系数;二元一次方程的解法,x=(a*e-b*d)/(a*f-d*e),y=(b*f-d*c)/(a*f-d*e),即按照题中给出的方程式求得;二元二次方程的解法有二次公式,x1=(-b+Math.sqrt(b*b-4*a*c))/(2*a),x2=(-b-Math.sqrt(b*b-4*a*c))/(2*a),即先求出平方根,再除以2倍的系数即可。
以上就是高中数学必修五所容纳的所有公式,有了这些公式就可以解出无数的数学问题,学习这些公式就是让我们更深入地了解数学,更精确地解决数学问题,真是学习数学的得力助手。
2.2aeCM C=■ -CM<7高中数学必修五 正、余弦定理 知识要点:阑三角形中的边' 角的关系应(一)三角形中的角之间的关系函A+B^C=tr, un^A+B )=suiC(二)三角形中的边之间的关系窿】e+b>c, a-b<c ,直角三角形中:«a +i3= c a(三)三角形中边与角之间的关系击正弦定理1 O- 2Rmi. B.C -2AsuC上===七 =22!(破冽展I 醉色)2. sin 利 sxnB anCsinj4=-^-,sia 四=-^-,8血。
= -^-3.2R 2R 2R4. mA nnB :MC=a:b:c面积公式:= —ofrsii C = —Acsn Jl= —acsn B9 22 2余弦定理:1 / +^a -2fccGw^tA J = a a +c a -a»fWf = +4a -SifrwfC3 A a+d^-c 1 =2bcco«A.c a = 2ofrcocC.= 2«c«BJ •»»4.x=«r =/=/+£?-&;』=i2(r =/=/+/+&;5. A=9<r=/=8'M ;』是锐角od’s’+c’;日是钝角=>A 舟+<‘.J+«+C JF ■= 一22,an ---2C =co« —2, A+B . C cos --------- = aii —22,等比数列定义、公式及性质(注意类比等差)等差数列等比数列定义几何意义对等差数列,位于一条直线上.单调性与d有关,当rf>o时增;当<0时减,当时是常数列. 对正项等比数列人> "> °日g D,位于一条指数型曲线上.曲线的单调性与1有关,当»><时增;当时减.对于其它数列,炯数如' 12,部演» ,同样可以研究.中项若瓦&是,JBI州的等差中O = -----项,即2若成等比,则方叫的等比中项,即h3=ac非零三数成等比通项公式«i =,+("-胖.=<M*4前"项和公式耳=竺金=—+沁-8三类切造方循目的:",4=1败(1一/)=弦_ j [I I~法:定义(等比定理,叠加);错位减;1化简运算,消除差别,造出方程判定方法定义(证明);通项公式;前辞项和公式性质1、下标和若则a,,特别地,a»^+a»-i = 2a»若y则.%若下标成等差,则对应项也成等差若下标(项数)成等差,则对应项也成等比2、子数列A ,号一弓•母成等差思&-思压一瑶…成等比3、(子)数列和(二)等差、等比数列的定义、通项、中项、前n项和是数列的基础和重点内容,应注意:(1)通项公式与前n项和公式的灵活应用.如等差数列:a…=ai+ (nT) d=dn+ (a*) =a…,+ (n-m) d,耳=7彳^ =知心-知等.(2)公式条件,如等比数列qNl时,(3)公式的导出思想:倒序相加法、错位相减法、叠加法、迭乘法等.。
高中必修五数学公式总结2018广东省物理试卷答案高中数学必修五知识点●解三角形1. ?2.解三角形中的基本策略:角边或边角。
如,则三角形的形状?3.三角形面积公式 ,如三角形的三边是 ,面积是?4.求角的几种问题: ,求△面积是 ,求 . ,求cosc5.一些术语名词:仰角(俯角),方位角,视角分别是什么?6.三角形的三个内角a,b,c成等差数列,则三角形的三边a,b,c成等差数列,则三角形的三边a,b,c成等比数列,则 ,你会证明这三个结论么?数列2. 为等差为等比注:等比数列有一个非常重要的关系:所有的奇(偶)数项 .如{an}是等比数列,且①下标和相等的两项和相等,如是方程的两根,则②在等差数列中, ……成等差数列,如在等差数列中,③若一个项数为奇数的等差数列,则 , ------4.数列的最大项问题一定是要研究该数列是怎么变化的?(数列的单调性)——研究的大小。
数列的最大(小)和问题,如:等差数列中, ,则最大时的n= .等差数列中, ,则最大时的n=5.数列求和的方法:6.求通项的方法(一定要会) ,求●不等式1.不等式你会解么? 你会解么?如果是写解集不要忘记写成集合形式!2. 的解集是(1,3),那么的解集是什么?3.两类恒成立问题图象法——恒成立,则 =?4.线性规划问题(1)可行域怎么作(一定要用直尺和铅笔)定界——定域——边界(2)目标函数改写: (注意分析截距与z的关系)(3)平行直线系去画5.基本不等式的形式和变形形式如a,b为正数,a,b满足,则ab的范围是6.运用基本不等式求最值要注意:一正二定三相等!如的最小值是的最小值 (不要忘记交代是什么时候取到=!!)一个非常重要的函数——对勾函数的图象是什么?运用对勾函数来处理下面问题的最小值是和——倒数和(1的代换),如x,y为正数,且,求的最小值?和——积(直接用基本不等式),如x,y为正数,,则的范围是?不要忘记x ,xy,x2+y2这三者的关系!如x,y为正数,,则的范围是?如对任意的x∈[1,2]恒成立,求a的范围? 在[1,3]恒成立,则 =?(1)已知a,b为正常数,x、y为正实数,且,求x+y的最小值。
高中数学必修5公式大全1、正弦定理:在C ∆AB 中,a 、b 、c 分别为角A 、B 、C 的对边,R 为C ∆AB 的外接圆的半径,则有2sin sin sin a b cR C===A B . 2、正弦定理的变形公式:①2sin a R =A ,2sin b R =B ,2sin c R C =;②sin 2a R A =,sin 2b R B =,sin 2c C R =;③::sin :sin :sin a b c C =A B ; ④sin sin sin sin sin sin a b c a b cC C++===A +B +A B . (正弦定理主要用来解决两类问题:1、已知两边和其中一边所对的角,求其余的量。
2、已知两角和一边,求其余的量。
)⑤对于已知两边和其中一边所对的角的题型要注意解的情况。
(一解、两解、无解三中情况) 如:在三角形ABC 中,已知a 、b 、A (A 为锐角)求B 。
具体的做法是:数形结合思想 画出图:法一:把a 扰着C 点旋转,看所得轨迹以AD 有无交点:当无交点则B 无解、 当有一个交点则B 有一解、 当有两个交点则B 有两个解。
法二:是算出CD=bsinA,看a 的情况: 当a<bsinA ,则B 无解当bsinA<a ≤b,则B 有两解 当a=bsinA 或a>b 时,B 有一解注:当A 为钝角或是直角时以此类推既可。
3、三角形面积公式:111sin sin sin 222C S bc ab C ac ∆AB =A ==B . 4、余弦定理:在C ∆AB 中,有2222cos a b c bc =+-A ,2222cos b a c ac =+-B ,2222cos c a b ab C =+-.5、余弦定理的推论:222cos 2b c a bc +-A =,222cos 2a c b ac +-B =,222cos 2a b c C ab+-=.(余弦定理主要解决的问题:1、已知两边和夹角,求其余的量。
2、已知三边求角)6、如何判断三角形的形状:设a 、b 、c 是C ∆AB 的角A 、B 、C 的对边,则:①若222a b c +=,则90C =; ②若222a b c +>,则90C <;③若222a b c +<,则90C >. 正余弦定理的综合应用:如图所示:隔河看两目标A 、B,C 、D 两点, 并测得∠ACB=75O, ∠BCD=45O, ∠ADC=30O,∠ADB=45O(A 、B 、C 、D 在同一平面内),求两目标A 、B 之间的距离。
本题解答过程略附:三角形的五个“心”; 重心:三角形三条中线交点.外心:三角形三边垂直平分线相交于一点. 内心:三角形三内角的平分线相交于一点. 垂心:三角形三边上的高相交于一点. 7、数列:按照一定顺序排列着的一列数. 8、数列的项:数列中的每一个数. 9、有穷数列:项数有限的数列. 10、无穷数列:项数无限的数列.11、递增数列:从第2项起,每一项都不小于它的前一项的数列(即:a n+1>a n ). 12、递减数列:从第2项起,每一项都不大于它的前一项的数列(即:a n+1<a n ). 13、常数列:各项相等的数列(即:a n+1=a n ).14、摆动数列:从第2项起,有些项大于它的前一项,有些项小于它的前一项的数列. 15、数列的通项公式:表示数列{}n a 的第n 项与序号n 之间的关系的公式.16、数列的递推公式:表示任一项n a 与它的前一项1n a -(或前几项)间的关系的公式.17、如果一个数列从第2项起,每一项与它的前一项的差等于同一个常数,则这个数列称为等差数列,这个常数称为等差数列的公差.符号表示:1n n a a d +-=。
注:看数列是不是等差数列有以下三种方法: ① ),2(1为常数d n d a a n n ≥=--②211-++=n n n a a a (2≥n ) ③b kn a n +=(k n ,为常数18、由三个数a ,A ,b 组成的等差数列可以看成最简单的等差数列,则A 称为a 与b 的等差中项.若2a cb +=,则称b 为a 与c 的等差中项. 19、若等差数列{}n a 的首项是1a ,公差是d ,则()11naa n d =+-.20、通项公式的变形:①()n m a a n m d =+-;②()11n a a n d =--;③11n a a d n -=-;④11n a a n d-=+;⑤n m a a d n m -=-.21、若{}n a 是等差数列,且m n p q +=+(m 、n 、p 、*q ∈N ),则m n p q a a a a +=+;若{}n a 是等差数列,且2n p q =+(n 、p 、*q ∈N ),则2np q a a a =+. 22、等差数列的前n 项和的公式:①()12n n n a a S +=;②()112n n n S na d -=+.③12n n s a a a =+++23、等差数列的前n 项和的性质:①若项数为()*2n n ∈N ,则()21nn n S n a a +=+,且S S nd -=偶奇,1n n S aS a +=奇偶. ②若项数为()*21n n -∈N ,则()2121n n S n a -=-,且n S S a -=奇偶,1S nS n =-奇偶(其中n S na =奇,()1n S n a =-偶). 24、如果一个数列从第2项起,每一项与它的前一项的比等于同一个常数,则这个数列称为等比数列,这个常数称为等比数列的公比.符号表示:1n na q a +=(注:①等比数列中不会出现值为0的项;②同号位上的值同号)注:看数列是不是等比数列有以下四种方法:①)0,,2(1≠≥=-且为常数q n q a a n n ②112-+⋅=n n na a a (2≥n ,011≠-+n n n a a a ) ③n n cq a =(q c ,为非零常数).④正数列{n a }成等比的充要条件是数列{n x a log }(1 x )成等比数列.25、在a 与b 中间插入一个数G ,使a ,G ,b 成等比数列,则G 称为a 与b 的等比中项.若2G ab =,则称G 为a 与b 的等比中项.(注:由2G ab =不能得出a ,G ,b 成等比,由a ,G ,b ⇒2G ab =)26、若等比数列{}n a 的首项是1a ,公比是q ,则11n n a a q -=.27、通项公式的变形:①n m n m a a q -=;②()11n na a q --=;③11n na q a -=;④n m n m a q a -=.28、若{}n a 是等比数列,且m n p q +=+(m 、n 、p 、*q ∈N ),则m n p q a a a a ⋅=⋅;若{}n a 是等比数列,且2n p q =+(n 、p 、*q ∈N ),则2np q a a a =⋅.29、等比数列{}n a 的前n 项和的公式:①()()()11111111n n n na q S a q a a q q qq =⎧⎪=-⎨-=≠⎪--⎩.②12nn s a a a =+++30、对任意的数列{n a }的前n 项和n S 与通项n a 的关系:⎩⎨⎧≥-===-)2()1(111n s s n a s a n nn[注]: ①()()d a nd d n a a n -+=-+=111(d 可为零也可不为零→为等差数列充要条件(即常数列也是等差数列)→若d 不为0,则是等差数列充分条件).②等差{n a }前n 项和n d a n d Bn An S n ⎪⎭⎫ ⎝⎛-+⎪⎭⎫⎝⎛=+=22122 →2d可以为零也可不为零→为等差的充要条件→若d 为零,则是等差数列的充分条件;若d 不为零,则是等差数列的充分条件.③非零..常数列既可为等比数列,也可为等差数列.(不是非零,即不可能有等比数列) 附:几种常见的数列的思想方法:⑴等差数列的前n 项和为n S ,在0 d 时,有最大值. 如何确定使n S 取最大值时的n 值,有两种方法: 一是求使0,01 +≥n n a a ,成立的n 值;二是由n da n d S n )2(212-+=利用二次函数的性质求n 的值. 数列通项公式、求和公式与函数对应关系如下: 数列 通项公式对应函数等差数列(时为一次函数)等比数列(指数型函数)数列 前n 项和公式 对应函数等差数列(时为二次函数)等比数列(指数型函数)我们用函数的观点揭开了数列神秘的“面纱”,将数列的通项公式以及前n 项和看成是关于n 的函数,为我们解决数列有关问题提供了非常有益的启示。
例题:1、等差数列中,,则 .分析:因为是等差数列,所以是关于n 的一次函数,一次函数图像是一条直线,则(n,m ),(m,n),(m+n,)三点共线,所以利用每两点形成直线斜率相等,即,得=0(图像如上),这里利用等差数列通项公式与一次函数的对应关系,并结合图像,直观、简洁。
例题:2、等差数列中,,前n 项和为,若,n 为何值时最大?分析:等差数列前n 项和可以看成关于n 的二次函数=,是抛物线=上的离散点,根据题意,,则因为欲求最大值,故其对应二次函数图像开口向下,并且对称轴为,即当时,最大。
例题:3递增数列,对任意正整数n ,恒成立,求分析:构造一次函数,由数列递增得到:对于一切恒成立,即恒成立,所以对一切恒成立,设,则只需求出的最大值即可,显然有最大值,所以的取值范围是:。
构造二次函数,看成函数,它的定义域是,因为是递增数列,即函数为递增函数,单调增区间为,抛物线对称轴,因为函数f(x)为离散函数,要函数单调递增,就看动轴与已知区间的位置。
从对应图像上看,对称轴在的左侧也可以(如图),因为此时B 点比A 点高。
于是,,得⑵如果数列可以看作是一个等差数列与一个等比数列的对应项乘积,求此数列前n 项和可依照等比数列前n 项和的推倒导方法:错位相减求和. 例如:, (2)1)12,...(413,211n n -⋅ ⑶两个等差数列的相同项亦组成一个新的等差数列,此等差数列的首项就是原两个数列的第一个相同项,公差是两个数列公差21d d ,的最小公倍数.2. 判断和证明数列是等差(等比)数列常有三种方法:(1)定义法:对于n ≥2的任意自然数,验证)(11---n nn n a a a a 为同一常数。
(2)通项公式法。
(3)中项公式法:验证212-++=n n n a a a N n a a a n n n ∈=++)(221都成立。