数值分析习题-李庆杨 第五章习题
- 格式:ppt
- 大小:87.01 KB
- 文档页数:5
数值分析第五章答案【篇一:数值分析第五版计算实习题】第二章2-1程序:clear;clc;x1=[0.2 0.4 0.6 0.8 1.0];y1=[0.98 0.92 0.81 0.64 0.38];n=length(y1);c=y1(:);or j=2:n %求差商for i=n:-1:jc(i)=(c(i)-c(i-1))/(x1(i)-x1(i-j+1));endendsyms x df d;df(1)=1;d(1)=y1(1);for i=2:n %求牛顿差值多项式df(i)=df(i-1)*(x-x1(i-1));d(i)=c(i)*df(i);enddisp(4次牛顿插值多项式);p4=vpa(collect((sum(d))),5) %p4即为4次牛顿插值多项式,并保留小数点后5位数 pp=csape(x1,y1, variational);%调用三次样条函数 q=pp.coefs;disp(三次样条函数);for i=1:4s=q(i,:)*[(x-x1(i))^3;(x-x1(i))^2;(x-x1(i));1];s=vpa(collect(s),5)endx2=0.2:0.08:1.08;dot=[1 2 11 12];figureezplot(p4,[0.2,1.08]);hold ony2=fnval(pp,x2);x=x2(dot);y3=eval(p4);y4=fnval(pp,x2(dot));plot(x2,y2,r,x2(dot),y3,b*,x2(dot),y4,co);title(4次牛顿插值及三次样条);结果如下:4次牛顿插值多项式p4 = - 0.52083*x^4 + 0.83333*x^3 - 1.1042*x^2 + 0.19167*x + 0.98 三次样条函数x∈[0.2,0.4]时, s = - 1.3393*x^3 + 0.80357*x^2 - 0.40714*x + 1.04 x∈[0.4,0.6]时,s = 0.44643*x^3 - 1.3393*x^2 + 0.45*x +0.92571 x∈[0.6,0.8]时,s = - 1.6964*x^3 + 2.5179*x^2 - 1.8643*x + 1.3886 x∈[0.8,1.0]时,s =2.5893*x^3 - 7.7679*x^2 + 6.3643*x - 0.80571 输出图如下2-3(1)程序:clear;clc;x1=[0 1 4 9 16 25 36 49 64];y1=[0 1 2 3 4 5 6 7 8];%插值点n=length(y1);a=ones(n,2);a(:,2)=-x1;c=1;for i=1:nc=conv(c,a(i,:));endq=zeros(n,n);r=zeros(n,n+1);for i=1:n[q(i,:),r(i,:)]=deconv(c,a(i,:));%wn+1/(x-xk)enddw=zeros(1,n);for i=1:ndw(i)=y1(i)/polyval(q(i,:),x1(i));%系数endp=dw*q;syms x l8;for i=1:nl8(i)=p(n-i+1)*x^(i-1);enddisp(8次拉格朗日插值);l8=vpa(collect((sum(l8))),5)xi=0:64;yi=polyval(p,xi);figureplot(xi,yi,x1,y1,r*);hold ontitle(8次拉格朗日插值);结果如下:8次拉格朗日插值l8 =- 3.2806e-10*x^8 + 6.7127e-8*x^7 - 5.4292e-6*x^6 +0.00022297*x^5 - 0.0049807*x^4 + 0.060429*x^3 - 0.38141*x^2 +1.3257*x输出图如下:第五章4-1(3)程序:clc;clear;y= @(x) sqrt(x).*log(x);a=0;b=1;tol=1e-4;p=quad(y,a,b,tol);fprintf(采用自适应辛普森积分结果为: %d \n, p);结果如下:采用自适应辛普森积分结果为: -4.439756e-01第九章9-1(a)程序:clc;clear;a=1;b=2;%定义域h=0.05;%步长n=(b-a)/h;y0=1;%初值f= @(x,y) 1/x^2-y/x;%微分函数xn=linspace(a,b,n+1);%将定义域分为n等份 yn=zeros(1,n);%结果矩阵yn(1)=y0;%赋初值%以下根据改进欧拉公式求解for i=1:nxn=xn(i);xnn=xn(i+1);yn=yn(i);yp=yn+h*f(xn,yn);yc=yn+h*f(xnn,yp);yn=(yp+yc)/2;yn(i+1)=yn;endxn=yn;%以下根据经典四阶r-k法公式求解for i=1:nxn=xn(i);yn=yn(i);k1=f(xn,yn);k2=f(xn+h/2,yn+h/2*k1);k3=f(xn+h/2,yn+h/2*k2);k4=f(xn+h,yn+h*k3);yn=yn+h/6*(k1+2*k2+2*k3+k4);yn(i+1)=yn;enddisp(改进欧拉法四阶经典r-k法); disp([xn yn])结果如下:改进欧拉法四阶经典r-k法 110.998870.998850.99577 0.99780.991140.996940.985320.996340.978570.996030.971110.996060.963110.996450.95470.997230.945980.998410.9370510.92798 1.0020.91883 1.00440.90964 1.00730.90045 1.01060.89129 1.01430.88218 1.01840.87315 1.02290.86421 1.02780.85538 1.03310.84665 1.0388(b)程序:clc;clear;a=0;b=1;%定义域h=[0.1 0.025 0.01];%步长y0=1/3;%初值f= @(x,y) -50*y+50*x^2+2*x;%微分函数 xi=linspace(a,b,11);y=1/3*exp(-50*xi)+xi.^2;%准确解 ym=zeros(1,11);for j=1:3【篇二:数值分析(第五版)计算实习题第五章作业】题:lu分解法:建立m文件function h1=zhijielu(a,b)%h1各阶主子式的行列式值[n n]=size(a);ra=rank(a);if ra~=ndisp(请注意:因为a的n阶行列式h1等于零,所以a不能进行lu 分解。
第一章 绪论(12)1、设0>x ,x 的相对误差为δ,求x ln 的误差。
[解]设0*>x 为x 的近似值,则有相对误差为δε=)(*x r ,绝对误差为**)(x x δε=,从而x ln 的误差为δδεε=='=*****1)()(ln )(ln x x x x x ,相对误差为****ln ln )(ln )(ln x x x x rδεε==。
2、设x 的相对误差为2%,求n x 的相对误差。
[解]设*x 为x 的近似值,则有相对误差为%2)(*=x r ε,绝对误差为**%2)(x x =ε,从而nx 的误差为nn x x n x n x x n x x x **1***%2%2)()()()(ln *⋅=='=-=εε,相对误差为%2)()(ln )(ln ***n x x x nr==εε。
3、下列各数都是经过四舍五入得到的近似数,即误差不超过最后一位的半个单位,试指出它们是几位有效数字:1021.1*1=x ,031.0*2=x ,6.385*3=x ,430.56*4=x ,0.17*5⨯=x 。
[解]1021.1*1=x 有5位有效数字;0031.0*2=x 有2位有效数字;6.385*3=x 有4位有效数字;430.56*4=x 有5位有效数字;0.17*5⨯=x 有2位有效数字。
4、利用公式(3.3)求下列各近似值的误差限,其中*4*3*2*1,,,x x x x 均为第3题所给的数。
(1)*4*2*1x x x ++;[解]3334*4*2*11***4*2*1*1005.1102110211021)()()()()(----=⨯=⨯+⨯+⨯=++=⎪⎪⎭⎫⎝⎛∂∂=++∑x x x x x f x x x e n k k kεεεε;(2)*3*2*1x x x ; [解]52130996425.010********.2131001708255.01048488.2121059768.01021)031.01021.1(1021)6.3851021.1(1021)6.385031.0()()()()()()()()(3333334*3*2*1*2*3*1*1*3*21***3*2*1*=⨯=⨯+⨯+⨯=⨯⨯+⨯⨯+⨯⨯=++=⎪⎪⎭⎫⎝⎛∂∂=-------=∑x x x x x x x x x x x f x x x e n k k kεεεε;(3)*4*2/x x 。
1. 过点),(),...,,(),,(551100y x y x y x 的插值多项式P(x)是()次的多项式 A. 6 B. 5 C. 4 D. 3 考查知识点:插值多项式的基本概念 答案:B2. 通过点),(),,(1100y x y x 的拉格朗日插值基函数)(),(10x l x l 满足() A. 0)(,0)(1100==x l x l B. 1)(,0)(1100==x l x l C. 0)(,1)(1100==x l x l D. 1)(,1)(1100==x l x l 考查知识点:拉格朗日插值基函数的性质 答案:D3. 设)(x L 和)(x N 分别是)(x f 满足同一插值条件的n 次拉格朗日和牛顿插值多项式,它们的插值余项分别是)(x r 和)(x e ,则(B.) 考查知识点:插值多项式的存在唯一性 A.)()(),()(x e x r x N x L =≠ B.)()(),()(x e x r x N x L == C.)()(),()(x e x r x N x L ≠=D.)()(),()(x e x r x N x L ≠≠解析:插值多项式存在唯一性定理可知,满足同一插值条件的拉格朗日插值多项式和牛顿插值实际上是同一个多项式,故,余项也相同。
4. =∇+∆k k y y _______ 考查知识点:差分的概念 答案:11-+-k k y y5. ]2,,2,2[]2,,2,2[,13)(817147f f x x x x f 和则+++=为 与[][]!80!8)(22221!7!7!7)(222)8(8710)7(710===⋯⋯===⋯⋯ξξf f f f ,,,,,,,根据差商和导数关系6. 的二次插值多项式为则时当)(4,3,0)(2,1,1x f ,x ,f x -=-= (拉格朗日插值) 解: 4,3,2,1,110210=-===-=y y x x x ,Lagrange 这里插值公式利用二次得,42=y)()()()(2211002x l y x l y x l y x L ++=3723653)1)(1(406)2)(1(32-+=-+⨯++--⨯-=x x x x x x7. 设2)(x x f =,则)(x f 关于节点2,1,0210===x x x 的二阶向前差分为_2_。
第一章 绪论(12)欧阳家百(2021.03.07)1、设0>x ,x 的相对误差为δ,求x ln 的误差。
[解]设0*>x 为x 的近似值,则有相对误差为δε=)(*x r ,绝对误差为**)(x x δε=,从而x ln 的误差为δδεε=='=*****1)()(ln )(ln x xx x x ,相对误差为****ln ln )(ln )(ln xxx x rδεε==。
2、设x 的相对误差为2%,求n x 的相对误差。
[解]设*x 为x 的近似值,则有相对误差为%2)(*=x r ε,绝对误差为**%2)(x x =ε,从而nx 的误差为nn x x nxn x x n x x x **1***%2%2)()()()(ln *⋅=='=-=εε,相对误差为%2)()(ln )(ln ***n x x x nr==εε。
3、下列各数都是经过四舍五入得到的近似数,即误差不超过最后一位的半个单位,试指出它们是几位有效数字:1021.1*1=x ,031.0*2=x ,6.385*3=x ,430.56*4=x ,0.17*5⨯=x 。
[解]1021.1*1=x 有5位有效数字;0031.0*2=x 有2位有效数字;6.385*3=x 有4位有效数字;430.56*4=x 有5位有效数字;0.17*5⨯=x 有2位有效数字。
4、利用公式(3.3)求下列各近似值的误差限,其中*4*3*2*1,,,x x x x 均为第3题所给的数。
(1)*4*2*1x x x ++;[解]3334*4*2*11***4*2*1*1005.1102110211021)()()()()(----=⨯=⨯+⨯+⨯=++=⎪⎪⎭⎫⎝⎛∂∂=++∑x x x x x f x x x e nk k kεεεε;(2)*3*2*1x x x ; [解]52130996425.010********.2131001708255.01048488.2121059768.01021)031.01021.1(1021)6.3851021.1(1021)6.385031.0()()()()()()()()(3333334*3*2*1*2*3*1*1*3*21***3*2*1*=⨯=⨯+⨯+⨯=⨯⨯+⨯⨯+⨯⨯=++=⎪⎪⎭⎫⎝⎛∂∂=-------=∑x x x x x x x x x x x f x x x e n k k kεεεε;(3)*4*2/x x 。
第一章 绪论(12)1、设0>x ,x 的相对误差为δ,求x ln 的误差。
[解]设0*>x 为x 的近似值,则有相对误差为δε=)(*x r ,绝对误差为**)(x x δε=,从而x ln 的误差为δδεε=='=*****1)()(ln )(ln x xx x x ,相对误差为****ln ln )(ln )(ln xxx x rδεε==。
2、设x 的相对误差为2%,求n x 的相对误差。
[解]设*x 为x 的近似值,则有相对误差为%2)(*=x r ε,绝对误差为**%2)(x x =ε,从而nx 的误差为nn x x n x n x x n x x x **1***%2%2)()()()(ln *⋅=='=-=εε,相对误差为%2)()(ln )(ln ***n x x x nr==εε。
3、下列各数都是经过四舍五入得到的近似数,即误差不超过最后一位的半个单位,试指出它们是几位有效数字:1021.1*1=x ,031.0*2=x ,6.385*3=x ,430.56*4=x ,0.17*5⨯=x 。
[解]1021.1*1=x 有5位有效数字;0031.0*2=x 有2位有效数字;6.385*3=x 有4位有效数字;430.56*4=x 有5位有效数字;0.17*5⨯=x 有2位有效数字。
4、利用公式(3.3)求下列各近似值的误差限,其中*4*3*2*1,,,x x x x 均为第3题所给的数。
(1)*4*2*1x x x ++;[解]3334*4*2*11***4*2*1*1005.1102110211021)()()()()(----=⨯=⨯+⨯+⨯=++=⎪⎪⎭⎫⎝⎛∂∂=++∑x x x x x f x x x e n k k kεεεε;(2)*3*2*1x x x ; [解]52130996425.010********.2131001708255.01048488.2121059768.01021)031.01021.1(1021)6.3851021.1(1021)6.385031.0()()()()()()()()(3333334*3*2*1*2*3*1*1*3*21***3*2*1*=⨯=⨯+⨯+⨯=⨯⨯+⨯⨯+⨯⨯=++=⎪⎪⎭⎫⎝⎛∂∂=-------=∑x x x x x x x x x x x f x x x e nk k kεεεε;(3)*4*2/x x 。
第一章 绪论(12)1、设0>x ,x 的相对误差为δ,求x ln 的误差。
[解]设0*>x 为x 的近似值,则有相对误差为δε=)(*x r ,绝对误差为**)(x x δε=,从而xln 的误差为δδεε=='=*****1)()(ln )(ln x xx x x ,相对误差为****ln ln )(ln )(ln xxx x rδεε==。
2、设x 的相对误差为2%,求n x 的相对误差。
[解]设*x 为x 的近似值,则有相对误差为%2)(*=x r ε,绝对误差为**%2)(x x =ε,从而nx 的误差为nn x x nxn x x n x x x **1***%2%2)()()()(ln *⋅=='=-=εε,相对误差为%2)()(ln )(ln ***n x x x nr==εε。
3、下列各数都是经过四舍五入得到的近似数,即误差不超过最后一位的半个单位,试指出它们是几位有效数字:1021.1*1=x ,031.0*2=x ,6.385*3=x ,430.56*4=x ,0.17*5⨯=x 。
[解]1021.1*1=x 有5位有效数字;0031.0*2=x 有2位有效数字;6.385*3=x 有4位有效数字;430.56*4=x 有5位有效数字;0.17*5⨯=x 有2位有效数字。
4、利用公式(3.3)求下列各近似值的误差限,其中*4*3*2*1,,,x x x x 均为第3题所给的数。
(1)*4*2*1x x x ++;[解]3334*4*2*11***4*2*1*1005.1102110211021)()()()()(----=⨯=⨯+⨯+⨯=++=⎪⎪⎭⎫⎝⎛∂∂=++∑x x x x x f x x x e nk k kεεεε;(2)*3*2*1x x x ; [解]52130996425.010********.2131001708255.01048488.2121059768.01021)031.01021.1(1021)6.3851021.1(1021)6.385031.0()()()()()()()()(3333334*3*2*1*2*3*1*1*3*21***3*2*1*=⨯=⨯+⨯+⨯=⨯⨯+⨯⨯+⨯⨯=++=⎪⎪⎭⎫⎝⎛∂∂=-------=∑x x x x x x x x x x x f x x x e nk k kεεεε;(3)*4*2/x x 。
矩阵与数值分析课后答案【篇一:李庆扬-数值分析第五版第5章习题答案(20130808)】>【篇二:李庆扬-数值分析第五版第5章与第7章习题答案】>【篇三:数值分析习题】(1) 为便于算法在计算机上实现,必须将一个数学问题分解为 (2) 在数值计算中为避免损失有效数字,尽量避免两个数作减法运算;为避免误差的扩大,也尽量避免分母的绝对值分子的绝对值; (3) 误差有四大来源,数值分析主要处理其中的; (4) 有效数字越多,相对误差越2. 用例1.4的算法计算,迭代3次,计算结果保留4位有效数字.3. 推导开平方运算的误差限公式,并说明什么情况下结果误差不大于自变量误差.4. 以下各数都是对准确值进行四舍五入得到的近似数,指出它们的有效数位、误差限和相对误差限.x1?0.3040, x2?5.1?109, x3?400, x4?0.003346,x5?0.875?10?55. 证明1.2.3之定理1.1.6. 若钢珠的的直径d的相对误差为1.0%,则它的体积v的相对误差将为多少。
(假定钢珠为标准的球形)7. 若跑道长的测量有0.1%的误差,对400m成绩为60s的运动员的成绩将会带来多大的误差和相对误差.8. 为使20的近似数相对误差小于0.05%,试问该保留几位有效数字.9. 一个园柱体的工件,直径d为10.25?0.25mm,高h为40.00?1.00mm,则它的体积v的近似值、误差和相对误差为多少. 10 证明对一元函数运算有?r(f(x))?k??r(x), 其中k?xf?(x)f(x)并求出f(x)?tanx,x?1.57时的k值,从而说明f(x)?tanx在x?11. 定义多元函数运算?2时是病态问题.s??cixi,其中?ci?1,?(xi)??,i?1i?1nn求出?(s)的表达式,并说明ci全为正数时,计算是稳定的,ci有正有负时,误差难以控制. 12. 下列各式应如何改进,使计算更准确:(1) y?11?x?,1?2x1?x(x?1)(x?1)1-cos2x(3) y?,(x?1)x(2) y?(4) y?p,(p?0,q?0,p?q)习题21. 填空题(1) gauss消元法求解线性方程组的的过程中若主元素为零会发生 ;. 主元素的绝对值太小会发生 ;(2) gauss消元法求解线性方程组的计算工作量以乘除法次数计大约为平方根法求解对称正定线性方程组的计算工作量以乘除法次数计大约为;(3) 直接lu分解法解线性方程组时的计算量以乘除法计为追赶法解对角占优的三对角方程组时的计算量以乘除法计为; (4) a????11??,a1?, a2?, ?(a)?; ??02??t0???,t?1 ?(a)cond2(a)?0t??(5) a????a???b(6) a???,c?b?a?0 ?(a)cond2(a)?; ?c???2.用gauss消元法求解下列方程组ax?b?11?1???(1)a??12?2?,??211????4??1????3b??0?, (2)a??2?1?????1?321??1????432??1?,b? ???343?1?????1?234????3.用列主元消元法解下列方程组ax?b.??326???(1)a??10?70?,?5?15???4. 用gauss-jordan消元法求:01??02?0??????4???2232????2?b??7?(2)a??,b????7?4?301?6????????61?6?5??6??????11?1????210? ?1?10???5.用直接lu分解方法求1题中两个矩阵的lu分解,并求解此二方程组. 6.用平方根法解方程组ax?b?321??4?????a??221?,b??3??111??6?????7.用追赶法解三对角方程组ax?b?1?2?1000??1???????12?100??0?a??0?12?10?,b??0? ?????00?12?1??0??000?12??0?????8.证明:(1)单位下三角阵的逆仍是单位下三角阵.(2)两个单位下三角阵的乘积仍是单位下三角阵.9.由l?l1l2?ln?1,(见(2.18)式),证明:?1?1?1?1??l211?ll3231?l?????????l?n1ln210.证明向量范数有下列等价性质:1???1ln3?ln,n?1????? ???1??(1)(2)(3)x2?x1?nxxx??2?x1?nx???x2?nx11.求下列矩阵的a1,a2,a?,??a?.?1??13?a???;?12???2??513???a??1102?.?326???12.求cond2?a??10099?1a?????;?9998?13.证明:?cos?2a?????sin??sin???. cos??(1)若a是正交矩阵,即ata?i, 则cond2?a??1;(2)若a是对称正定阵,?1是a的最大特征值,?n是最小特征值,则cond2?a???1. ?n习题31. 填空题:(1) 当a具有严格对角线优势或具有对角优势且ax=b用jacobi迭代法和gauss-seidel迭代法均收敛;(2) 当线性方程组的系数矩阵a对称正定时.(3) 线性方程组迭代法收敛的充分必要条件是迭代矩阵的小于1; sor法收敛的必要条件是 ;(4) 用迭代法求解线性方程组,若q = ? (b), q, q接近时收敛较快, q接近时收敛较慢; (5)?11?a???,bj?;bs?; ??bj????bs???12?2.用jacobi迭代法和gauss-seidel迭代法求解方程组?210??x1??3???????(1) ?121??x2????5?;(2)?012??x??4????3???1??x1??1???81??????1?51???x2???16? ?1????1?4????x3??7?各分量第三位稳定即可停止.3.用sor法解方程组,取??0.9,与取??1 (即gauss-seidel法)作比较.?321??x1???5????????573???x2???13?. ?2?57??x??3??? ?3???性?521????12?(1)?132?; (2)??32??;???112???00???21??212??0??1?21??(3)?121?;(4)?; ?01?21??212??????001?2????5???1(5)??1???1?5.方程组?1?1?1?1??1122?10?1?1??11?1; (6)2?. ?2?15?1??111??????1?110??a11a12??x1??b1????a???x?????b??a?2122??2??2?,a11?0,a22?0证明用jacobi迭代法收敛的充要条件是:r?6.设a12a21?1. a11a22?1aa???a??a1a?,a为实数;?aa1???(1)若a正定,a的取值范围;(2)若jacobi迭代法收敛,a的取值范围.习题41. 填空题:(1) 幂法主要用于求一般矩阵的jacobi旋转法用于求对称矩阵的特征值;(2) 古典的jacobi法是选择的一对元素将其消为零;(3) qr方法用于求特征值的和求出对应的. 2.用幂法求矩阵. ?621???4140?????⑴?231?,⑵??5130???102??111?????按模最大的特征值和对应的特征向量,精确到小数三位. ??11111???9?2? 3.已知: a??11?1?213???。
WORD格式.分享第5章复习与思考题1、用高斯消去法为什么要选主元?哪些方程组可以不选主元?k答:使用高斯消去法时,在消元过程中可能出现a的情况,这时消去法无法进行;即kkk时主元素0和舍入增长a,但相对很小时,用其做除数,会导致其它元素数量级的严重kk计误差的扩散,最后也使得计算不准确。
因此高斯消去法需要选主元,以保证计算的进行和算的准确性。
当主对角元素明显占优(远大于同行或同列的元素)时,可以不用选择主元。
计算时一般选择列主元消去法。
2、高斯消去法与LU分解有什么关系?用它们解线性方程组Ax=b有何不同?A要满足什么条件?答:高斯消去法实质上产生了一个将A分解为两个三角形矩阵相乘的因式分解,其中一个为上三角矩阵U,一个为下三角矩阵L。
用LU分解解线性方程组可以简化计算,减少计算量,提高计算精度。
A需要满足的条件是,顺序主子式(1,2,⋯,n-1)不为零。
3、楚列斯基分解与LU分解相比,有什么优点?楚列斯基分解是LU分解的一种,当限定下三角矩阵L的对角元素为正时,楚列斯基分解具有唯一解。
4、哪种线性方程组可用平方根法求解?为什么说平方根法计算稳定?具有对称正定系数矩阵的线性方程可以使用平方根法求解。
,切对角元素恒为正数,因此,是一个稳定的平方根法在分解过程中元素的数量级不会增长算法。
5、什么样的线性方程组可用追赶法求解并能保证计算稳定?对角占优的三对角方程组6、何谓向量范数?给出三种常用的向量范数。
向量范数定义见p53,符合3个运算法则。
正定性齐次性三角不等式x为向量,则三种常用的向量范数为:(第3章p53,第5章p165)设n||x|||x|1ii11n22||x||(x)2ii1||x||max|x i|1in7、何谓矩阵范数?何谓矩阵的算子范数?给出矩阵A=(a ij)的三种范数||A||1,||A||2,精品.资料WORD格式.分享||A||∞,||A||1与||A||2哪个更容易计算?为什么?向量范数定义见p162,需要满足四个条件。
第一章 绪论(12)之阳早格格创做1、设0>x ,x 的相对付缺面为δ,供x ln 的缺面.[解]设0*>x 为x 的近似值,则有相对付缺面为δε=)(*x r ,千万于缺面为**)(x x δε=,进而xln 的缺面为δδεε=='=*****1)()(ln )(ln x xx x x ,相对付缺面为****ln ln )(ln )(ln xxx x rδεε==.2、设x 的相对付缺面为2%,供n x 的相对付缺面.[解]设*x 为x 的近似值,则有相对付缺面为%2)(*=x r ε,千万于缺面为**%2)(x x =ε,进而nx 的缺面为nn x x n x n x x n x x x **1***%2%2)()()()(ln *⋅=='=-=εε,相对付缺面为%2)()(ln )(ln ***n x x x nr==εε.3、下列各数皆是通过四舍五进得到的近似数,即缺面不超出末尾一位的半个单位,试指出它们是几位灵验数字:1021.1*1=x ,031.0*2=x ,6.385*3=x ,430.56*4=x ,0.17*5⨯=x .[解]1021.1*1=x 有5位灵验数字;0031.0*2=x 有2位灵验数字;6.385*3=x 有4位灵验数字;430.56*4=x 有5位灵验数字;0.17*5⨯=x 有2位灵验数字.4、利用公式(3.3)供下列各近似值的缺面限,其中*4*3*2*1,,,x x x x 均为第3题所给的数.(1)*4*2*1x x x ++;[解]3334*4*2*11***4*2*1*1005.1102110211021)()()()()(----=⨯=⨯+⨯+⨯=++=⎪⎪⎭⎫⎝⎛∂∂=++∑x x x x x f x x x e nk k kεεεε;(2)*3*2*1x x x ;[解]52130996425.010********.2131001708255.01048488.2121059768.01021)031.01021.1(1021)6.3851021.1(1021)6.385031.0()()()()()()()()(3333334*3*2*1*2*3*1*1*3*21***3*2*1*=⨯=⨯+⨯+⨯=⨯⨯+⨯⨯+⨯⨯=++=⎪⎪⎭⎫⎝⎛∂∂=-------=∑x x x x x x x x x x x f x x x e n k k kεεεε;(3)*4*2/x x . [解]53232323*42*4*2*2*41***4*2*1088654.01021)430.56(461.561021)430.56(461.561021)430.56(031.01021430.561)()()(1)()/(-----=⨯≈⨯⨯=⨯⨯=⨯⨯+⨯⨯=+=⎪⎪⎭⎫⎝⎛∂∂=∑x x x x x x x f x x e n k k kεεε. 5、预计球体积要使相对付缺面限为1%,问度量半径R 允许的相对付缺面是几? [解]由3*3**3**)(34))(34())(34(%1R R R r ππεπε==可知,)()(4)()(34)(34%1))(34(**2***3*3*3**R R R R R R επεπππε⨯='⎥⎦⎤⎢⎣⎡=⨯=, 进而***31%1)(R R ⨯=ε,故300131%1)()(*****=⨯==RR R r εε.6、设280=Y ,按递推公式),2,1(78310011 =-=-n Y Y n n 预计到100Y ,若与982.27783≈(五位灵验数字,)试问预计100Y 将有多大缺面?[解]令n Y 表示n Y 的近似值,n n n Y Y Y e -=)(*,则0)(0*=Y e ,而且由982.2710011⨯-=-n n Y Y ,78310011⨯-=-n n Y Y 可知, )783982.27(100111-⨯--=---n n n n Y Y Y Y ,即=-⨯-=-⨯-=--)783982.27(1002)()783982.27(1001)()(2*1**n n n Y e Y e Y e ,进而982.27783)783982.27()()(0*100*-=--=Y e Y e ,而31021982.27783-⨯≤-,所以3100*1021)(-⨯=Y ε. 7、供圆程01562=+-x x 的二个根,使它起码具备四位灵验数字(982.27783≈)[解]由78328±=x 与982.27783≈(五位灵验数字)可知,982.55982.2728783281=+=+=x (五位灵验数字).而018.0982.2728783282=-=-=x ,惟有二位灵验数字,不切合题意.然而是22107863.1982.55178328178328-⨯==+=-=x .8、当N 充分大时,何如供⎰++1211N N dx x? [解]果为N N dx xN Narctan )1arctan(1112-+=+⎰+,当N 充分大时为二个相近数相减,设)1arctan(+=N α,N arctan =β,则αtan 1=+N ,βtan =N ,进而11)1(1)1(tan tan 1tan tan )tan(2++=++-+=+-=-N N N N N N βαβαβα,果此11arctan 11212++=-=+⎰+N N dx x N Nβα. 9、正圆形的边少约莫为100cm ,应何如丈量才搞使其里积缺面不超出12cm ?[解]由)(2)(])[())((*****2*2**l l l l l εεε='=可知,若央供1))((2**=l ε,则2001100212))(()(*2****=⨯==l l l εε,即边少应谦脚2001100±=l .10、设221gt S =,假定g 是准确的,而对付t 的丈量有1.0±秒的缺面,道明当t 减少时S 的千万于缺面减少,而相对付缺面却缩小.[道明]果为******1.0)()()()(gt t gt t dtdS S ===εεε,***2******51)(2)(21)()()(t t t t g t gt S S S r====εεεε,所以得证.11、序列{}n y 谦脚递推闭系),2,1(1101 =-=-n y y n n ,若41.120≈=y (三位灵验数字),预计到10y 时缺面有多大?那个预计历程宁静吗?[解]设n y 为n y 的近似值,n n n y y y -=)(*ε,则由⎪⎩⎪⎨⎧-==-110210n ny y y 与 ⎩⎨⎧-==-11041.110n n y y y 可知,20*1021)(-⨯=y ε,)(1011---=-n n n n y y y y ,即 )(10)(10)(0*1**y y y n n n εεε==-,进而82100*1010*1021102110)(10)(⨯=⨯⨯==-y y εε,果此预计历程不宁静. 12、预计6)12(-=f,与4.12≈,利用下列公式预计,哪一个得到的截止最佳?6)12(1+,3)223(-,3)223(1+,27099-.[解]果为1*1021)(-⨯=f ε,所以对付于61)12(1+=f ,2417*11*10211054.61021)14.1(6)4.1()(---⨯<⨯=⨯⨯+='=e f f e ,有一位灵验数字; 对付于32)223(-=f ,1112*22*10211012.01021)4.123(6)4.1()(---⨯<⨯=⨯⨯⨯-='=e f f e ,不灵验数字; 对付于33)223(1+=f ,2314*33*10211065.21021)4.123(6)4.1()(---⨯<⨯=⨯⨯⨯+='=e f f e ,有一位灵验数字;对付于270994-=f ,111*44*10211035102170)4.1()(⨯<⨯=⨯⨯='=--e f f e ,不灵验数字. 13、)1ln()(2--=x x x f ,供)30(f 的值.若启仄圆用六位函数表,问供对付数时缺面有多大?若改用另一等价公式)1ln()1ln(22-+-=--x x x x 预计,供对付数时缺面有多大?[解]果为9833.298991302==-(六位灵验数字),4*1021)(-⨯=x ε,所以2442**11*102994.010219833.293011021)13030(1)()()(---⨯=⨯⨯-=⨯⨯---='=x e f f e ,6442**22*108336.010219833.29301102111)()()(---⨯=⨯⨯+=⨯⨯-+-='=x x x e f f e .14、试用消元法解圆程组⎩⎨⎧=+=+2101021102101x x x x ,假定惟有三位数预计,问截止是可稳当?[解]透彻解为110210,110101*********--=-=x x .当使用三位数运算时,得到1,121==x x ,截止稳当.15、已知三角形里积c ab s sin 21=,其中c 为弧度,20π<<c ,且丈量a ,b ,c 的缺面分别为c b a ∆∆∆,,,道明里积的缺面s ∆谦脚cc b b a a s s ∆+∆+∆≤∆. [解]果为c c ab b c a a c b x x f s nk k k ∆+∆+∆=∆∂∂=∆∑=cos 21sin 21sin 21)()(1, 所以cc b b c c c c b b c c c ab cc ab b c a a c b ss ∆+∆+∆≤∆+∆+∆=∆+∆+∆=∆tan sin 21cos 21sin 21sin 21. 第二章 插值法(40-42)1、根据(2.2)定义的范德受止列式,令⎥⎥⎥⎥⎥⎦⎤⎢⎢⎢⎢⎢⎣⎡=----nn n n n nn n x x xx xx x x x x x x x V21211020110111),,,,(,道明)(x V n 是n 次多项式,它的根是121,,,-n x x x ,且)())(,,,(),,,,(101101110------=n n n n n x x x x x x x V x x x x V .[道明]由∏∏∏∏-=---=-=-=--⋅=-⋅-=1110111010110)(),,,()()(),,,,(n j j n n n j j n i i j j i n n x x x x x V x x x x x x x x V 可得供证.2、当2,1,1-=x 时,4,3,0)(-=x f ,供)(x f 的二次插值多项式.[解]372365)1(34)23(21)12)(12()1)(1(4)21)(11()2)(1()3()21)(11()2)(1(0))(())(())(())(())(())(()(2221202102210120120102102-+=-++--=+-+-⨯+------⨯-+-+-+⨯=----+----+----=x x x x x x x x x x x x x x x x x x x y x x x x x x x x y x x x x x x x x y x L .3、给出x x f ln )(=的数值表用线性插值及二次插值预计54.0ln 的近似值.[解]若与5.00=x ,6.01=x , 则693147.0)5.0()(00-===f x f y ,510826.0)6.0()(11-===f x f y ,则 604752.182321.1)5.0(10826.5)6.0(93147.65.06.05.0510826.06.05.06.0693147.0)(010110101-=---=--⨯---⨯-=--+--=x x x x x x x x x y x x x x y x L ,进而6202186.0604752.19845334.0604752.154.082321.1)54.0(1-=-=-⨯=L . 若与4.00=x ,5.01=x ,6.02=x ,则916291.0)4.0()(00-===f x f y , 693147.0)5.0()(11-===f x f y ,510826.0)6.0()(22-===f x f y ,则217097.2068475.404115.2)2.09.0(5413.25)24.0(3147.69)3.01.1(81455.45)5.06.0)(4.06.0()5.0)(4.0()510826.0()6.05.0)(4.05.0()6.0)(4.0()693147.0()6.04.0)(5.04.0()6.0)(5.0(916291.0))(())(())(())(())(())(()(22221202102210120120102102-+-=+--+-⨯++-⨯-=----⨯-+----⨯-+----⨯-=----+----+----=x x x x x x x x x x x x x x x x x x x x x x y x x x x x x x x y x x x x x x x x y x L ,进而61531984.0217097.21969765.259519934.0217097.254.0068475.454.004115.2)54.0(22-=-+-=-⨯+⨯-=L .4、给出 900,cos ≤≤x x 的函数表,步少 )60/1(1='=h ,若函数具备5位灵验数字,钻研用线性插值供x cos 近似值时的总缺面界.[解]设插值节面为h x x x x +=<<010,对付应的x cos 值为10,y y ,函数表值为10,y y ,则由题意可知,5001021-⨯≤-y y ,5111021-⨯≤-y y ,近似线性插值多项式为01011011)(x x x x y x x x x y x L --+--=,所以总缺面为()100101110100100101110100101111,,)()())((2cos )()())((!2)()()()()()()()(x x x x x x y y x x x x y y x x x x x x x x y y x x x x y y x x x x f x L x L x L x f x L x f x R ∈---+---+---=---+---+--''=-+-=-=ξξξ,进而55555201051015100101110100101047.310211094.621102114400121102142110211021))((21))((cos 21)(-------⨯=⨯+⨯⨯=⨯+⨯=⨯+≤--⨯⨯+--⨯⨯+---≤---+---+--≤h x x x x x x x x x x x x x x x x y y x x x x y y x x x x x R ξ.5、设3,2,1,0=+=k kh x x k,供)(max 220x l x x x ≤≤.[解])3)()((max 21)()2()3)()((max))()(())()((max)(max 000300032120231023033030h x x h x x x x h h h h h x x h x x x x x x x x x x x x x x x x x l xx x xx x x x x x x x -----=------=------=≤≤≤≤≤≤≤≤.令)34()383()43()3)()(()(0220302020203000x h hx x x h h x x x h x x h x x h x x x x x f ++-++++-=-----=,则)383()43(23)(202002h h x x x h x x x f ++++-=',进而极值面大概为 hx h h x h h x x h x h x x 37437)43(6)383(12)43(4)43(2002020200±+=±+=++-+±+=,又果为30)20714(271375371374)374(h h h h h x f -=--⨯-⨯-=-+, 30)71420(271357371374)374(h h h h h x f +-=-⨯+⨯+=++, 隐然)374()374(00h x f h x f ++≤-+,所以277710)71420(27121)374(21)(max 3303230+=+=++=≤≤h h h x f h x l x x x . 6、设),,1,0(n j x j=为互同节面,供证:1)),,1,0()(0n k x x l x kn j j k j =≡∑=;2)),,2,1()()(0n k x x l x x knj j k j =≡-∑=;[解]1)果为左侧是k x 的n 阶推格朗日多项式,所以供证创制. 2)设k x y y f )()(-=,则左侧是k x y y f )()(-=的n 阶推格朗日多项式,令x y =,即得供证.7、设[]b a C x f ,)(2∈且0)()(==b f a f ,供证)(max )(81)(max 2x f a b x f b x a b x a ''-≤≤≤≤≤. [解]睹补充题3,其中与0)()(==b f a f 即得.8、正在44≤≤-x 上给出x e x f =)(的等距节面函数表,若用二次插值供x e 的近似值,要使截断缺面不超出610-,问使用函数表的步少h 应与几?[解]由题意可知,设x 使用节面h x x -=10,1x ,h x x +=12举止二次插值,则插值余项为()201112102,)],()[)](([6))()((!3)()(x x h x x x x h x x ex x x x x x f x R ∈+----=---'''=ξξξ,令)()3(3)]()[)](([)(2211221213111h x x x h x x x x h x x x x h x x x f -+-+-=+----=,则)3(63)(22112h x x x x x f -+-=',进而)(x f 的极值面为h x x 331±=,故3932)331()331(33)(max2h h h h x f xx x =-⋅+⋅=≤≤,而 343422739326)(max 6)(20h e h e x f e x R x x x =≤≤≤≤ξ,要使其不超出610-,则有63410273-≤h e ,即22226210472.010389.74863.310243---⨯=⨯≈⨯≤ee h . 9、若n n y 2=,供n y 4∆及n y 4δ.[解]nn n n n n nn n n n n n n n n j jn j j n j jn n y y y y y y j y E j y I E y 22282242322162242624244)1(34)1(24)1(14)1(04)1(4)1(4)1()(123441322314040440444=+⨯-⨯+⨯-⨯=+⨯-⨯+⨯-=⎪⎪⎭⎫ ⎝⎛-+⎪⎪⎭⎫ ⎝⎛-+⎪⎪⎭⎫ ⎝⎛-+⎪⎪⎭⎫ ⎝⎛-+⎪⎪⎭⎫ ⎝⎛-=⎪⎪⎭⎫ ⎝⎛-=⎪⎪⎭⎫ ⎝⎛-=-=∆++++++++=-+=-∑∑.22221221122413211204024024021)4(2142121422282242322162242624244)1(34)1(24)1(14)1(04)1(4)1(4)1(4)1()(--------++--++=-+=-=---=+⨯-⨯+⨯-⨯=+⨯-⨯+⨯-=⎪⎪⎭⎫ ⎝⎛-+⎪⎪⎭⎫ ⎝⎛-+⎪⎪⎭⎫ ⎝⎛-+⎪⎪⎭⎫ ⎝⎛-+⎪⎪⎭⎫ ⎝⎛-=⎪⎪⎭⎫ ⎝⎛-=⎪⎪⎭⎫ ⎝⎛-=⎪⎪⎭⎫ ⎝⎛-=-=∑∑∑n n n n n n n n n n n n n n n n j jn j j n j j j njj jn n y y y y y y j y E j y E Ej y E E y δ. 10、如果)(x f 是m 次多项式,记)()()(x f h x f x f -+=∆,道明)(x f 的k 阶好分)0()(m k x f k ≤≤∆是k m -次多项式,而且0)(=∆+x f l m (l 为正整数).[道明]对付k 使用数教归纳法可证. 11、道明k k k k k k g f g f g f ∆+∆=∆+1)(. [道明]kk k k k k k k k k k k k k k k k k k k k k k k g f g f g g f g f f g f g f g f g f g f g f g f ∆+∆=-+-=-+-=-=∆++++++++++1111111111)()()(.12、道明∑∑-=+-=∆--=∆11001n k k k n n n k kk f g g f g f g f .[道明]果为01111111111011)()]()([)(g f g f g f f g f f g g g f f g g f f g g fn n n k k k k k n k k k k k k k n k k k k k n k k k n k k k-=-=-+-=∆+∆=∆+∆∑∑∑∑∑-=++-=+++-=+-=+-=,故得证.13、道明:0102y y y n n j j∆-∆=∆∑-=.[道明]01112)(y y y y y n n j j j n j j ∆-∆=∆-∆=∆∑∑-=+-=.14、若n n n n x a x a x a a x f ++++=--1110)( 有n 个分歧真根n x x x ,,,21 ,道明⎩⎨⎧-=-≤≤='-=∑1,20,0)(11n k a n k x f x n nj j k j. [道明]由题意可设∏=-=---=ni i n n n x x a x x x x x x a x f 121)()())(()( ,故∏≠=-='nji i i j n j x x a x f 1)()(,再由好商的本量1战3可知:)!1()(1],,[1)()()1(1111-==-='-=≠==∑∏∑n x a x x x a x x a x xf x n k n n k n nj nj i i i j n k jnj j k j,进而得证.15、道明n 阶均好有下列本量:1)若)()(x cf x F =,则],,,[],,,[1010n n x x x cf x x x F =; 2)若)()()(x g x f x F +=,则],,,[],,,[],,,[101010n n n x x x g x x x f x x x F +=.[道明]1)],,,[)()()()()()(],,,[1000000010n nj nji i i jj nj nji i i jj nj nji i i jj n x x x cf x xx f c x xx cf x xx F x x x F =-=-=-=∑∏∑∏∑∏=≠==≠==≠=.2)],,,[],,,[)()()()()()()()()(],,,[10100000000010n n nj nji i i jj nj nji i i jj nj nji i i jj j nj nji i i jj n x x x g x x x f x xx g x xx f x xx g x f x xx F x x x F +=-+-=-+=-=∑∏∑∏∑∏∑∏=≠==≠==≠==≠=.16、13)(47+++=x x x x f ,供]2,,2,2[71f ,0!80!8)(]2,,2,2[)8(81===ξf f . [解]1!7!7!7)(]2,,2,2[)7(71===ξf f ,]2,,2,2[810 f .17、道明二面三次埃我米特插值余项是()1212)4(3,,!4/)())(()(++∈--=k k k k x x x x x x f x R ξξ,并由此供出分段三次埃我米特插值的缺面限. [解]睹P30与P33,缺面限为k nk f h h '+≤≤0max 278)(ω. 18、XXXXXXXXXX .19、供一个次数不下于4次的多项式)(x P ,使它谦脚0)0()0(='=P P ,1)1()1(='=P P ,1)2(=P .[解]设1223344)(a x a x a x a x a x P ++++=,则122334234)(a x a x a x a x P +++=',再由0)0()0(='=P P ,1)1()1(='=P P ,1)2(=P 可得:⎪⎪⎪⎩⎪⎪⎪⎨⎧++++==+++='=++++==='===012341234012*********)2(1234)(1)1(1)0(0)0(0a a a a a P a a a a x P a a a a a P a P a P 解得⎪⎪⎪⎪⎪⎪⎩⎪⎪⎪⎪⎪⎪⎨⎧==-===432141234900aa a a a .进而4)3()96(4492341)(2222234-=+-=+-=x x x x x x x x x P .20、设],[)(b a C x f ∈,把[]b a ,分为n 仄分,试构制一个台阶形的整次分段插值函数)(x n ϕ,并道明当∞→n 时,)(x n ϕ正在[]b a ,上普遍支敛到)(x f .[解]令n i x f x f x ii ii x x x x x xi ,,3,2,1,2)(inf)(sup )(11 =+=≤≤≤≤--ϕ.21、设)1/(1)(2x x f +=,正在55≤≤-x 上与10=n ,按等距节面供分段线性插值函数)(x I h ,预计各节面中面处的)(x I h 与)(x f 的值,并预计缺面.[解]由题意可知,1=h ,进而当[]1,+∈k k x x x 时,)(])1(1[1)()1(1)1(1111)(2121211211k k kk k k k k k k k k h x x k h x x k h x x x x k x x x x k l f l f x I -+++-+-=--+++--+=+=++++++.22、供2)(x x f =正在[]b a ,上的分段线性插值函数)(x I h ,并预计缺面.[解]设将[]b a ,区分为少度为h 的小区间b x x x a n =≤≤≤= 10,则当[]1,+∈k k x x x ,1,,2,1,0-=n k 时, 进而缺面为))(())((!2)()(112++--=--''=k k k k x x x x x x x x f x R ξ, 故4))(()(212h x x x x x R k k ≤--=+.23、供4)(x x f =正在[]b a ,上的分段埃我米特插值,并预计缺面. [解]设将[]b a ,区分为少度为h 的小区间b x x x a n =≤≤≤= 10,则当[]1,+∈k k x x x ,1,,2,1,0-=n k 时,)(4)(42121)()(121312113112141121141111++++++++++++++++-⎪⎪⎭⎫⎝⎛--+-⎪⎪⎭⎫ ⎝⎛--⎪⎪⎭⎫ ⎝⎛--+⎪⎪⎭⎫ ⎝⎛--+⎪⎪⎭⎫ ⎝⎛--+⎪⎪⎭⎫ ⎝⎛--='+'++=k k k kk k k k k k k k k k k kk k k kk kk k k k k k k k k k h x x x x x x x x x x x x x x x x x x xx x x x x x x x x x x x x x f f f f x I ββαα,进而缺面为212212)4(2)()()()(!4)()(++--=--=k k k k x x x x x x x x f x R ξ, 故16)()()(42122h x x x x x R k k ≤--=+.24、给定数据表如下:试供三次样条函数)(x S ,并谦脚条件: 1)6868.0)53.0(,0000.1)25.0(='='S S ; 2)0)53.0()25.0(=''=''S S .[解]由05.025.030.00=-=h ,09.030.039.01=-=h ,06.039.045.02=-=h ,08.045.053.03=-=h ,及(8.10)式)1,,1(,,111-=+=+=---n j h h h h h h jj j j jj j j μλ可知,14909.005.009.01011=+=+=h h h λ,5206.009.006.02122=+=+=h h h λ,7408.006.008.03233=+=+=h h h λ,14509.005.005.01001=+=+=h h h μ,5306.009.009.02112=+=+=h h h μ,7308.006.006.03223=+=+=h h h μ,由(8.11)式)1,1(]),[],[(311-=+=+-n j x x f x x f g j j j j j j jμλ可知,7541.2700019279)900768145500477149(3)30.039.05477.06245.014525.030.05000.05477.0149(3])()(145)()(149[3]),[],[(3121201012111011==⨯+⨯⨯=--⨯+--⨯⨯=--+--=+=x x x f x f x x x f x f x x f x x f g μλ.413.2100046332564)6004635390076852(3)39.045.06245.06708.05330.039.05477.06245.052(3])()(53)()(52[3]),[],[(3232312123222122=⨯+⨯=⨯+⨯⨯=--⨯+--⨯⨯=--+--=+=x x x f x f x x x f x f x x f x x f g μλ.0814.27001457140011894634)8004727360046374(3)45.053.06708.07280.07339.045.06245.06708.074(3])()(73)()(74[3]),[],[(3343423234333233==⨯+⨯=⨯+⨯⨯=--⨯+--⨯⨯=--+--=+=x x x f x f x x x f x f x x f x x f g μλ.进而1)矩阵形式为:⎥⎥⎥⎦⎤⎢⎢⎢⎣⎡=⎥⎥⎥⎥⎥⎦⎤⎢⎢⎢⎢⎢⎣⎡⨯-⨯-=⎥⎥⎥⎦⎤⎢⎢⎢⎣⎡⎥⎥⎥⎥⎥⎥⎥⎦⎤⎢⎢⎢⎢⎢⎢⎢⎣⎡7871.1413.21112.26868.0730814.2413.20000.11497541.227405325201452321m m m ,解得⎥⎥⎥⎦⎤⎢⎢⎢⎣⎡=⎥⎥⎥⎦⎤⎢⎢⎢⎣⎡6570.08278.09078.0321m m m ,进而∑=+=nj j j j j x m x y x S 0)]()([)(βα.2)此为自然鸿沟条件,故862.2500477325.030.05000.05477.03)()(3],[30101100=⨯=--⨯=--⨯==x x x f x f x x f g ;145.2800572345.053.06708.07280.03)()(3],[3111=⨯=--⨯=--⨯==---n n n n n n n x x x f x f x x f g ,矩阵形式为:⎥⎥⎥⎥⎥⎥⎦⎤⎢⎢⎢⎢⎢⎢⎣⎡=⎥⎥⎥⎥⎥⎥⎦⎤⎢⎢⎢⎢⎢⎢⎣⎡⎥⎥⎥⎥⎥⎥⎥⎥⎥⎥⎥⎥⎦⎤⎢⎢⎢⎢⎢⎢⎢⎢⎢⎢⎢⎢⎣⎡145.20814.2413.27541.2862.227400732740005325200014521490001243210m m m m m ,不妨解得⎥⎥⎥⎥⎥⎥⎦⎤⎢⎢⎢⎢⎢⎢⎣⎡43210m m m m m ,进而∑=+=nj j j j j x m x y x S 0)]()([)(βα.25、若],[)(2b a C x f ∈,)(x S 是三次样条函数,道明 1)⎰⎰⎰⎰''-''''+''-''=''-''babababadx x S x f x S dx x S x f dx x S dx x f )]()()[(2)]()([)]([)]([222;2)若),,1,0()()(n i x S x f i i ==,式中ix 为插值节面,且b x x x a n =<<<= 10则)]()()[()]()()[()]()()[(a S a f a S b S b f b S dx x S x f x S ba '-'''-'-'''=''-''''⎰.[解]1)⎰⎰⎰⎰⎰⎰⎰⎰''-''=''-''=''-''''+''=''-''''+''-''=''-''''+''-''=''-''''+''-''bababab a ba b ababadxx S dx x f dxx S x f dx x S x f x S x f dxx S x f x S x S x f dxx S x f x S x S x f dxx S x f x S dx x S x f 222222)]([)]([)]([)]([)]()()][()([)]()()}[(2)]()({[)]()()[(2)]()([)]()()[(2)]()([.2)由题意可知,[]b a x A x S ,,)(∈=''',所以)]()()[()]()()[()]()([)]()()[()]()()[()]()([)]()()[()]()()[()()]()([)]}()()[({)]()()[(a S a f a S b S b f b S x S x f A a S a f a S b S b f b S dx x S x f A a S a f a S b S b f b S dxx S x S x f x S x f x S dx x S x f x S b a b ab ab aba'-'''-'-'''=--'-'''-'-'''='-'-'-'''-'-'''=''''-'-'-'''=''-''''⎰⎰⎰.补充题:1、令00=x ,11=x ,写出x e x y -=)(的一次插值多项式)(1x L ,并预计插值余项.[解]由1)(000===-e x y y ,111)(-==e x y y 可知,xe x e x x e x x x x x y x x x x y x L )1(1)1(0101011)(111010110101-+=+--=--⨯+--⨯=--+--=---,余项为()1,0),1(2))((!2)()(101∈-=--''=-ξξξx x e x x x x f x R , 故8141121)1(max max 21)(10101=⨯⨯=-⨯⨯≤≤≤-≤≤x x e x R x ξξ. 2、设4)(x x f =,试利用推格朗日插值余项定理写出以2,1,0,1-为插值节面的三次插值多项式. [解]由插值余项定理,有x x x x x x x x x x x x x x x x x x x f x R 22)1)(2()2)(1()1(!4!4))()()((!4)()(234223210)4(3+--=--=--+=----=ξ,进而x x x x x x x x x R x f x L 22)22()()()(23234433-+=+---=-=.3、设)(x f 正在[]b a ,内有二阶连绝导数,供证:)(max )(81)]()()()([)(max 2x f a b a x a b a f b f a f x f b x a bx a ''-≤---+-≤≤≤≤.[证]果为)()()()(a x ab a f b f a f ---+是以a ,b 为插值节面的)(x f 的线性插值多项式,利用插值多项式的余项定理,得到:))()((21)]()()()([)(b x a x f a x a b a f b f a f x f --''=---+-ξ,进而)(max )(81)(41)(max 21))((max )(max 21)]()()()([)(max 22x f a b a b f b x a x f a x a b a f b f a f x f b x a b a b x a ba b x a ''-=-⋅''=--⋅''≤---+-≤≤≤≤≤≤≤≤≤≤ξξξξ.4、设15)(37++=x x x f ,供好商]2,2[10f ,]2,2,2[210f ,]2,,2,2[710 f 战]2,,2,2[810 f .[解]果为7)1()2(0==f f ,1691252)2()2(371=+⨯+==f f ,167051454)4()2(372=+⨯+==f f ,所以162716912)1()2(]2,2[10=-=--=f f f ,826821691670524)2()4(]2,2[21=-=--=f f f ,27023162826822]2,2[]2,2[]2,2,2[02102121=-=--=f f f , 1!7!7!7)(]2,,2,2[)7(71===ξf f ,0!80!8)(]2,,2,2[)8(810===ξf f .5、给定数据表:5,4,3,2,1=i ,供4次牛顿插值多项式,并写出插值余项. [解]由好商表可得4次牛顿插值多项式为:)6)(4)(2)(1(1801)4)(2)(1(607)2)(1(65)1(34)6)(4)(2)(1(1801)4)(2)(1(607)2)(1(65)1(34)(4----+------+--=----+------+--=x x x x x x x x x x x x x x x x x x x x x N ,插值余项为()7,1),7)(6)(4)(2)(1(!5)()()5(4∈-----=ξξx x x x x f x R .6、如下表给定函数:4,3,2,1,0=i ,试预计出此列表函数的好分表,并利用牛顿背前插值公式给出它的插值多项式. [解]构制好分表:由好分表可得插值多项式为:32)1(3322)1(332)1()(2020004++=-++=⨯-++=+∆-+∆+=+t t t t t t t t f t t f t f th x N .第三章 函数迫近与预计(80-82)1、(a )利用区间变更推出区间为[]b a ,的伯恩斯坦多项式;(b )对付x x f sin )(=正在⎥⎦⎤⎢⎣⎡2,0π上供1次战3次伯恩斯坦多项式并绘出图形,并与相映的马克劳林级数部分战缺面搞出比较. [解](a )令t a b a x )(-+=,则[]1,0∈t ,进而伯恩斯坦多项式为∑=-=nk k n x P n k a b f x f B 0)())((),(,其中kn k k x a b x k n x P ---⎪⎪⎭⎫ ⎝⎛=)()(. (b )令t x 2π=,则[]1,0∈t ,进而伯恩斯坦多项式为∑==nk k n x P n kf x f B 0)()2(),(π,其中k n k k x x k n x P --⎪⎪⎭⎫ ⎝⎛=)2()(π. xx x x x x x f x x f x P kf x f B k k =+⎪⎭⎫⎝⎛-⨯=⨯+⎪⎭⎫ ⎝⎛-⨯=⎪⎭⎫⎝⎛-⎪⎪⎭⎫ ⎝⎛+⎪⎭⎫ ⎝⎛-⎪⎪⎭⎫ ⎝⎛==∑=202sin 20sin 211)2(201)0()()2(),(010101πππππππ;3223323223223223312213033)533(21)32(4383)2(233)4(23)2(233)2(232sin )2(33sin )2(36sin 20sin )2(33)2()2(23)3()2(13)6()2(03)0()()6(),(x x x x x x x x x x x x x x x x x x x x x x f x x f x x f x x f x P kf x f B k k ----=+-++-=+-+-=⨯+-⨯+-⨯+⎪⎭⎫⎝⎛-⨯=-⎪⎪⎭⎫ ⎝⎛+-⎪⎪⎭⎫ ⎝⎛+-⎪⎪⎭⎫ ⎝⎛+-⎪⎪⎭⎫ ⎝⎛==∑=πππππππππππππππππππππ.2、供证:(a )当Mx f m ≤≤)(时,M x f B m n ≤≤),(;(b )当x x f =)(时,x x f B n =),(.[道明](a )由∑==nk k n x P nk f x f B 0)()(),(及Mx f m ≤≤)(可知,∑∑∑∑====≤≤≤≤nk k nk k n n k k n k k x P M x MP x f B x mP x P m 0)()(),()()(,而1)]1([)1()(00=-+=-⎪⎪⎭⎫⎝⎛=∑∑=-=nnk k n k nk k x x x x k n x P ,进而得证. (b )当x x f =)(时,xx x x x x k n k n x x xx k n k n x x k n k n n k x x k n n k f x P n k f x f B n n k k n k n k k n k nk kn k f nk kn k nk k n =-+=----=------=--⨯==-⎪⎪⎭⎫ ⎝⎛==--=--=----=-==-=∑∑∑∑∑110)1(1)1()1(110)0(00)]1([)1()!1(!)!1()1()]!1()1[()!1()!1()1()!(!!)1()()()(),(.3、正在次数不超出6的多项式中,供x x f 4sin )(=正在[]π2,0的最佳普遍迫近多项式.[解]由[]π2,0,4sin ∈x x 可知,14sin 1≤≤-x ,进而最小偏偏好为1,接错面为ππππππππ815,813,811,89,87,85,83,8,此即为6)(H x P ∈的切比雪妇接错面组,进而)(x P 是以那些面为插值节面的推格朗日多项式,可得0)(=x P .4、假设)(x f 正在[]b a ,上连绝,供)(x f 的整次最佳普遍迫近多项式.[解]令)(infx f m bx a ≤≤=,)(sup x f M bx a ≤≤=,则2)(mM x f +=正在[]b a ,上具备最小偏偏好2m M -,进而为整次最佳迫近一次多项式.5、采用常数a ,使得ax x x -≤≤310max 达到极小,又问那个解是可唯一?[解]果为ax x -3是奇函数,所以ax x ax x x x -=-≤≤-≤≤311310max max ,再由定理7可知,当)34(4141333x x T ax x -==-时,坐即43=a ,偏偏好最小.6、供x x f sin )(=正在⎥⎦⎤⎢⎣⎡2,0π上的最佳一次迫近多项式,并预计缺面.[解]由πππ22sin 2sincos )()()(221=--=='=--=x x f ab a f b f a 可得π2arccos2=x ,进而最佳一次迫近多项式为ππππππππππππ2arccos1242)2arccos 21(224)22arccos0(2)]2sin(arccos 0[sin 21)2()]()([2122212--+=-+-=+-++=+-++=x x x x a x a x f a f y 7、供x e x f =)(正在[]1,0上的最佳一次迫近多项式.[解]由101)()()(01212-=--=='=--=e e e e xf a b a f b f a x 可得)1ln(2-=e x ,进而最佳一次迫近多项式为)1ln(212)1()]1ln(21)[1(2)2)1ln(0)(1(][21)2()]()([21)1ln(0212---+-=---+=-+--++=+-++=-e e e x e e x e e e x e e e x a x a x f a f y e .8、怎么样采用r ,使r x x p +=2)(正在[]1,1-上与整偏偏好最小?r 是可唯一?[解]由r r x x p x x +=+=≤≤-≤≤-1)(max )(max 21111,r r x x p x x =+=≤≤-≤≤-)(min )(min 21111可知当与整偏偏好最小时,r r =+1,进而21-=r .另解:由定理7可知,正在[]1,1-上与整偏偏好最小的二次多项式为21)12(21)(21222-=-=x x x T ,进而21-=r .9、设13)(34-+=x x x f ,正在[]1,0上供三次最佳迫近多项式. [解]设所供三次多项式为)(3x P ,则由定理7可知81)188(81)(21)()(2424433+-=+-==-x x x x x T x P x f ,进而893)81()13()81()()(232434243-+=+---+=+--=x x x x x x x x x f x P .10、令[]1,0),12()(∈-=x x T x T n n ,供)(*0x T 、)(*1x T 、)(*2x T 、)(3x T . [解]由[]1,0),12()(∈-=x x T x T n n 可知,令[]1,1,211-∈+=t t x ,则[]1,1),()121(-∈=+t t T t T n n ,进而⎪⎪⎩⎪⎪⎨⎧⎥⎦⎤⎢⎣⎡∈+⎥⎦⎤⎢⎣⎡-∈=1,21),121(21,1),()(00*x x T x x T x T n . 11、试证{})(*x T n 是正在[]1,0上戴权21xx -=ρ的正接多项式.?12、正在[]1,1-上利用插值极小化供x x f arctan )(=的三次近似最佳迫近多项式.[解]由题意可知,插值节面为)3,2,1(,812cos =-k k π,即ππππ87cos ,85cos ,83cos ,81cos 4321====x x x x ,则可供得)(3x L .13、设x e x f =)(正在[]1,1-上的插值极小化近似最佳迫近多项式为)(x L n ,若∞-nL f 有界,道明对付所有1≥n ,存留常数n n βα,,使得)11()()()()(11≤≤-≤-≤++x x T x L x f x T n n n n n βα.[道明]由题意可知,[]1,1),()!1(2)()()(1)1(-∈+=-++ξξx T n f x L x f n n n n ,进而与)!1(2)(min )1(11+=+≤≤-n x f nn x n α,)!1(2)(max )1(11+=+≤≤-n x f n n x n β,则可得供证.14、设正在[]1,1-上543238401653841524381211)(x x x x x x -----=ϕ,试将)(x ϕ落矮到3次多项式并预计缺面.[解]果为x x T x 16545161355-+=,8181244-+=x T x ,所以323232307254510241234096199310241029)16545(3840165)81(3841524381211)(~x x x x x x x x x x ---=-------=ϕ,缺面为0056.040962381384016516138415)(~)(≈=+≤-x x ϕϕ.15、正在[]1,1-利用幂级数项数俭朴供x x f sin )(=的3次迫近多项式,使缺面不超出0.005.[解]果为 ++-+++-=+)!12()1(!5!3sin 1253n x x x x x n n ,与前三项,得到!5!3)(535x x x x L +-=,缺面为0002.0!71)(sin 5≈≤-x L x ,又果为 x x T x 16545161355-+=,所以3次迫近多项式为3333227384383)16545(!51!3sin x x x x x x x +-=-+-=,此时缺面为005.010986.71611201!714<⨯≈⨯+-. 16、)(x f 是[]a a ,-上的连绝奇(奇)函数,道明不管n 是奇数大概奇数,)(x f 的最佳迫近多项式n n H x F ∈)(*也是奇(奇)函数. [解])(x f 的最佳迫近多项式是由切比雪妇多项式得到的,再由切比雪妇多项式的本量4即得.17、供a 、b 使⎰-+202]sin [πdx x b ax 为最小,并与1题及6题的一次迫近多项式缺面做比较. [解]由2120ππ=⎰dx ,8220ππ=⎰dx x ,243202ππ=⎰dx x ,1sin 200==⎰πxdx d ,1cos |)cos (sin 2020201=---==⎰⎰πππxdx x x xdx x d ,可得⎥⎦⎤⎢⎣⎡=⎥⎦⎤⎢⎣⎡⎥⎥⎥⎥⎦⎤⎢⎢⎢⎢⎣⎡1124882322a b ππππ,解得⎪⎪⎩⎪⎪⎨⎧=-==-=1148.0)3(86644.0)4(2423ππππb a . 18、],[)(),(1b a C x g x f ∈,定义 (a )()⎰''=aadx x g x f g f )()(,;(b )())()()()(,a g a f dx x g x f g f aa+''=⎰. 问它们是可形成内积?[解](a )果为()0)(0)]([,0)(2='⇔='=⇒=⎰x f dx x f f f x f ba ,然而反之不可坐,所以不形成内积. (b )形成内积.19、用许瓦兹不等式(4.5)预计⎰+161dx xx 的上界,并用积分中值定理预计共一积分的上下界,并比较其截止. [解]1961.026113121)131()11()()11(110131012612106≈==+-=+≤+⎰⎰⎰x x dxx dx xdx x x .果为[]1,0,12666∈≤+≤x x xx x ,所以7112141106106106=≤+≤=⎰⎰⎰dx x dx x x dx x . 20、采用a ,使下列积分与最小值:⎰-1022)(dx ax x ,⎰--112dx ax x .[解]481)45(51512131)2()(22142321022+-=+-=+-=-⎰⎰a a a dx x a ax x dx ax x ,进而45=a .当0=a 时,12121100111112=+=+-==-⎰⎰⎰⎰---xdx xdx dx x dx ax x ,当0≠a 时,由02=-ax x ,可得接面为ax 1=,若1>a ,则1323121316161)2131()2131()3121()2131()()()(222012310321123012102112112>+=++++-=-+-+-=-+-+-=----⎰⎰⎰⎰a a a aa a x ax ax x x ax dxx ax dx ax x dx x ax dx ax x a aa a,若01>≥a ,则1)2131()3121()()(012102112=----=-+-=-⎰⎰⎰--a a dx x ax dx ax x dx ax x .共理可知,当01<≤-a 时,1112=-⎰-dx ax x ,当1-<a 时,1112>-⎰-dx ax x ,进而当1≤a 时,积分博得最小.21、设{}x span ,11=ϕ,{}1011002,x x span =ϕ,分别正在21,ϕϕ上供一元素,使其为]1,0[2C x ∈的最佳仄圆迫近,并比较其截止.[解]由1110=⎰dx ,2110=⎰xdx ,31102=⎰dx x ,41103=⎰dx x 可知,⎥⎥⎥⎥⎦⎤⎢⎢⎢⎢⎣⎡=⎥⎦⎤⎢⎣⎡⎥⎥⎥⎥⎦⎤⎢⎢⎢⎢⎣⎡41313121211b a ,解得⎪⎩⎪⎨⎧=-=161b a ,即正在1ϕ上为⎪⎭⎫ ⎝⎛-1,61. 由201110100100=⋅⎰dx x x ,202110101100=⋅⎰dx x x ,203110101101=⋅⎰dx x x ,1031102100=⋅⎰dx x x ,1041102101=⋅⎰dx x x 可知, ⎥⎥⎥⎥⎦⎤⎢⎢⎢⎢⎣⎡=⎥⎦⎤⎢⎣⎡⎥⎥⎥⎥⎦⎤⎢⎢⎢⎢⎣⎡104110312031202120212011b a ,解得⎪⎪⎩⎪⎪⎨⎧-≈⨯⨯⨯-=≈⨯⨯⨯=148.37510310420320298243.37510410320220199b a ,即正在2ϕ上为()148.375,243.375-.22、x x f =)(正在[]1,1-上,供正在{}421,,1x x span =ϕ上的最佳仄圆迫近.[解]由1100111=+-=⎰⎰⎰--xdx xdx dx x ,2113013112=+-=⎰⎰⎰--dx x dx x dx x x ,。
第四版数值分析习题答案第一章 绪论习题参考答案1. ε(lnx )≈***()()r x x xεεδ==。
2.1******()()()()0.02n nnr nn n x x x n x x n xxxεεεε-=≈==。
3. *1x 有5位有效数字,*2x 有2位有效数字,*3x 有4位有效数字,*4x 有5位有效数字,*5x 有2位有效数字。
4.******4333124124()()()()0.5100.5100.510 1.0510x x x x x x εεεε----++≈++=⨯+⨯+⨯=⨯************123231132123()()()()0.214790825x x x x x x x x x x x x εεεε≈++=****62224***24441()()()8.85566810x x x x x x x εεε-≈-=⨯。
5.1()1()()()0.00333333r r r V R V V V εεεε=≈===。
6.33100111()100101010022Y ε--=⨯⨯⨯=⨯。
7.12855.982x =≈,21280.0178655.982x ==≈≈。
8. 21arc 12N dx tgN x π+∞=-+⎰9.121()()0.0052x S S εεε-=≈=。
10. ()()0.1S g t t g t εε≈=,2()2()0.2()12r g t t t S t t gt εεε≈==,故t 增加时S 的绝对误差增加,相对误差减小。
11. 1081001()10()102y y εε==⨯,计算过程不稳定。
12.61)0.005051f =≈,1.4=,则611)0.004096f ==,20.005233f ==,33(30.008f =-=,40.005125f ==,5991f =-=,4f 的结果最好。
13.(30) 4.094622f =-,开平方时用六位函数表计算所得的误差为41102ε-=⨯,分别代入等价公式)1x x (ln )x (f ),1x x (ln )x (f 2221++-=--=中计算可得411()ln(1(60103102f x εε--=+≈=+=⨯⨯=⨯,47211()ln(1108.3310602f ε--=+≈=⨯⨯=⨯。
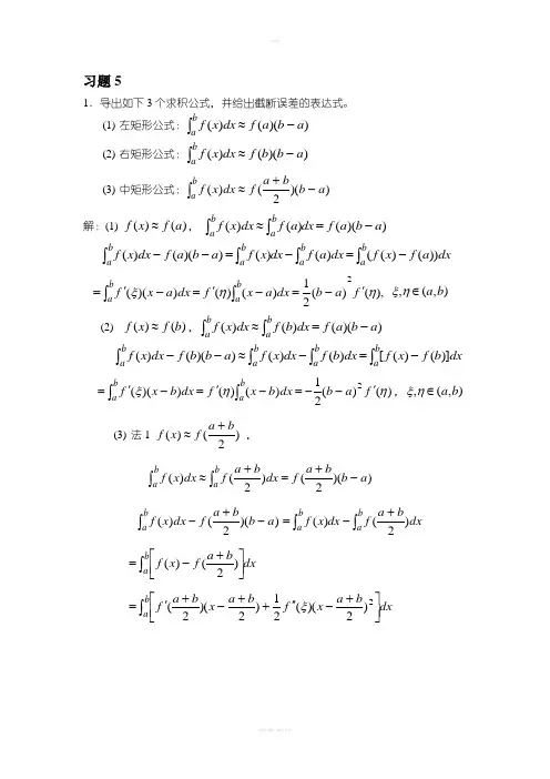
习题51.导出如下3个求积公式,并给出截断误差的表达式。
(1) 左矩形公式:⎰-≈ba ab a f dx x f ))(()((2) 右矩形公式:))(()(a b b f dx x f ba-≈⎰(3) 中矩形公式:⎰-+≈baa b ba f dx x f ))(2()( 解:(1) )()(a f x f ≈, )()()()(a b a f dx a f dx x f baba -=≈⎰⎰⎰⎰⎰⎰-=-=--ba ba ba ba dx a f x f dx a f dx x f ab a f dx x f ))()(()()())(()(),()(21)()()()(2ηηξf a b dx a x f dx a x f ba b a'-=-'=-'=⎰⎰),(,b a ∈ηξ(2) )()(b f x f ≈,⎰⎰-=≈b abaa b a f dx b f dx x f ))(()()(⎰⎰⎰⎰-=-≈--b a b a b a ba dxb f x f dx b f dx x f a b b f dx x f )]()([)()())(()()()(21)()()()(2ηηξf a b dx b x f dx b x f ba ba'--=-'=-'=⎰⎰,),(,b a ∈ηξ(3) 法1 )2()(ba f x f +≈ , ⎰⎰-+=+≈baba ab ba f dxb a f dx x f ))(2()2()(⎰-+-baa b b a f dx x f ))(2()(⎰⎰+-=b a b a dx b a f dx x f )2()( dx b a f x f b a ⎰⎥⎦⎤⎢⎣⎡+-=)2()( dx b a x f b a x ba fb a ⎰⎥⎦⎤⎢⎣⎡+-''++-+'=2)2)((21)2)(2(ξdx b a x f dx b a x b a f ba b a 2)2()(21)2()2(⎰⎰+-''++-+'=η 3))((241a b f -''=η 法2 可以验证所给公式具有1次代数精度。
第一章 绪论(12)欧阳引擎(2021.01.01)1、设0>x ,x 的相对误差为δ,求x ln 的误差。
[解]设0*>x 为x 的近似值,则有相对误差为δε=)(*x r ,绝对误差为**)(x x δε=,从而x ln 的误差为δδεε=='=*****1)()(ln )(ln x x x x x ,相对误差为****ln ln )(ln )(ln x x x x rδεε==。
2、设x 的相对误差为2%,求n x 的相对误差。
[解]设*x 为x 的近似值,则有相对误差为%2)(*=x r ε,绝对误差为**%2)(x x =ε,从而nx 的误差为nn x x n x n x x n x x x **1***%2%2)()()()(ln *⋅=='=-=εε,相对误差为%2)()(ln )(ln ***n x x x nr==εε。
3、下列各数都是经过四舍五入得到的近似数,即误差不超过最后一位的半个单位,试指出它们是几位有效数字:1021.1*1=x ,031.0*2=x ,6.385*3=x ,430.56*4=x ,0.17*5⨯=x 。
[解]1021.1*1=x 有5位有效数字;0031.0*2=x 有2位有效数字;6.385*3=x 有4位有效数字;430.56*4=x 有5位有效数字;0.17*5⨯=x 有2位有效数字。
4、利用公式(3.3)求下列各近似值的误差限,其中*4*3*2*1,,,x x x x 均为第3题所给的数。
(1)*4*2*1x x x ++;[解]3334*4*2*11***4*2*1*1005.1102110211021)()()()()(----=⨯=⨯+⨯+⨯=++=⎪⎪⎭⎫⎝⎛∂∂=++∑x x x x x f x x x e nk k kεεεε;(2)*3*2*1x x x ; [解]52130996425.010********.2131001708255.01048488.2121059768.01021)031.01021.1(1021)6.3851021.1(1021)6.385031.0()()()()()()()()(3333334*3*2*1*2*3*1*1*3*21***3*2*1*=⨯=⨯+⨯+⨯=⨯⨯+⨯⨯+⨯⨯=++=⎪⎪⎭⎫⎝⎛∂∂=-------=∑x x x x x x x x x x x f x x x e nk k kεεεε;(3)*4*2/x x 。
第一章 绪论(12)1、设0>x ,x 的相对误差为δ,求x ln 的误差。
[解]设0*>x 为x 的近似值,则有相对误差为δε=)(*x r ,绝对误差为**)(x x δε=,从而x ln 的误差为δδεε=='=*****1)()(ln )(ln x xx x x , 相对误差为****ln ln )(ln )(ln x x x x rδεε==。
2、设x 的相对误差为2%,求n x 的相对误差。
[解]设*x 为x 的近似值,则有相对误差为%2)(*=x r ε,绝对误差为**%2)(x x =ε,从而nx 的误差为nn x x nxn x x n x x x **1***%2%2)()()()(ln *⋅=='=-=εε,相对误差为%2)()(ln )(ln ***n x x x nr==εε。
3、下列各数都是经过四舍五入得到的近似数,即误差不超过最后一位的半个单位,试指出它们是几位有效数字:1021.1*1=x ,031.0*2=x ,6.385*3=x ,430.56*4=x ,0.17*5⨯=x 。
[解]1021.1*1=x 有5位有效数字;0031.0*2=x 有2位有效数字;6.385*3=x 有4位有效数字;430.56*4=x 有5位有效数字;0.17*5⨯=x 有2位有效数字。
4、利用公式(3.3)求下列各近似值的误差限,其中*4*3*2*1,,,x x x x 均为第3题所给的数。
(1)*4*2*1x x x ++;[解]3334*4*2*11***4*2*1*1005.1102110211021)()()()()(----=⨯=⨯+⨯+⨯=++=⎪⎪⎭⎫ ⎝⎛∂∂=++∑x x x x x f x x x e nk k k εεεε;(2)*3*2*1x x x ;[解]52130996425.010********.2131001708255.01048488.2121059768.01021)031.01021.1(1021)6.3851021.1(1021)6.385031.0()()()()()()()()(3333334*3*2*1*2*3*1*1*3*21***3*2*1*=⨯=⨯+⨯+⨯=⨯⨯+⨯⨯+⨯⨯=++=⎪⎪⎭⎫⎝⎛∂∂=-------=∑x x x x x x x x x x x f x x x e n k k kεεεε;(3)*4*2/x x 。
第一章 绪论(12)1、设0>x ,x 的相对误差为δ,求x ln 的误差。
[解]设0*>x 为x 的近似值,则有相对误差为δε=)(*x r ,绝对误差为**)(x x δε=,从而x ln 的误差为δδεε=='=*****1)()(ln )(ln x x x x x , 相对误差为****ln ln )(ln )(ln x x x x rδεε==。
2、设x 的相对误差为2%,求n x 的相对误差。
[解]设*x 为x 的近似值,则有相对误差为%2)(*=x r ε,绝对误差为**%2)(x x =ε,从而n x 的误差为nn x x nxn x x n x x x **1***%2%2)()()()(ln *⋅=='=-=εε,相对误差为%2)()(ln )(ln ***n x x x nr==εε。
3、下列各数都是经过四舍五入得到的近似数,即误差不超过最后一位的半个单位,试指出它们是几位有效数字:1021.1*1=x ,031.0*2=x ,6.385*3=x ,430.56*4=x ,0.17*5⨯=x 。
[解]1021.1*1=x 有5位有效数字;0031.0*2=x 有2位有效数字;6.385*3=x 有4位有效数字;430.56*4=x 有5位有效数字;0.17*5⨯=x 有2位有效数字。
4、利用公式(3.3)求下列各近似值的误差限,其中*4*3*2*1,,,x x x x 均为第3题所给的数。
(1)*4*2*1x x x ++; [解]3334*4*2*11***4*2*1*1005.1102110211021)()()()()(----=⨯=⨯+⨯+⨯=++=⎪⎪⎭⎫ ⎝⎛∂∂=++∑x x x x x f x x x e nk k k εεεε;(2)*3*2*1x x x ;[解]52130996425.010********.2131001708255.01048488.2121059768.01021)031.01021.1(1021)6.3851021.1(1021)6.385031.0()()()()()()()()(3333334*3*2*1*2*3*1*1*3*21***3*2*1*=⨯=⨯+⨯+⨯=⨯⨯+⨯⨯+⨯⨯=++=⎪⎪⎭⎫⎝⎛∂∂=-------=∑x x x x x x x x x x x f x x x e n k k kεεεε;(3)*4*2/x x 。