(完整版)2019考研数学三真题及参考答案解析
- 格式:doc
- 大小:572.11 KB
- 文档页数:11
2019考研数学三真题答案解析(完整版)1.3tan 3x x x --若要x - tan x 与x b 同阶无穷小,\ k = 3\选C2.54()5()5501f x x x k f x x x '=-+=-==±(1,1)()0,(),(,1)(1,),()0x f x f x x f x ''∈-<↓∈-∞-⋃+∞>,()f x ↑极大值(1)154f k k -=-++=+极小值(1)154f k k =-+=-lim ();lim ()x x f x f x →-∞→+∞=-∞=+∞若要550x x k -+=有3个不同的实根∴(1)0(1)04040f f k k -><+>-<即∴44(4,4)k -<<-即选D 。
3.解:∵通解为12()e e xxy C C x -=++∴e ,e 0x x x y ay by --'''++=为的两个解.即1λ=-为重根.22010402,1,a b a b a b a b λλ++=⇒-+=∆=-=⇒==∴e x 为e x y ay by c '''++=的特解:2exy y y c '''++=将e x y =代入e 2e e e 4x x x x c c ++=⇒=∴2,1,4a b c ===∴选D.4.1n n nu ¥=å 绝对收敛,1nn v n ¥=å 条件收敛n n u nu £ 1n n u ¥=\å绝对收敛.nv n有界.不妨设n v M n <n n nu v M u \£1n n M u ¥=å 收敛1n n n u v ¥=\å绝对收敛.故选B5.0Ax = 的基础解系中只有2个向量()24()n r A r A \-==-()0r A *\=\选A6.选(C )解:由22A A E +=得22λλ=+,λ为A 的特征值,2λ=-或1,又1234A =λλλ=,故1232,1,λλλ==-=规范形为222123y y y --,选(C )7.选(C )解:法一:()()()P AB P A P AB =-()()()P B A P B P AB =-()()()()P A P B P AB P B A =\=选(C )法二排除法(A )A B ==W 时排除(A )(B )若A 、B 互斥,且0()1,0()1,P A P x <<<<排除(B )(D )若A B ==W ,则()()1,()()0P AB P P AB P =W ==F =,排除(D)8.解:因为22(,)(,)X N u Y N u s s X 与Y 相互独立2(0,2)X Y N s \-{}11121222X Y P X Y Pss s -÷ç\-<=<=F -÷ç÷ç\与u 无关,即与2a 有关选择(A )9.11lim 12(1)nx n n +¥÷ç÷++ç÷ç÷×+11lim eenn x -++¥==10.3sin 2cos 22y x x x x p p ÷ç=+-<<÷ç÷çsin cos 2sin cos sin y x x x x x x x¢=+-=-令()cos sin cos sin 0y x x x x x x x =--=-=得0,x x p==0x <时,()0y x <0x >时,()0y x <不为拐点.0x p <<时,()0y x <32x pp >>时,()0y x >拐点为(),2p -11.解析:()()()1201201130113130104034120()d d 1d 31|311)341211(1)|1)1231818x f x xx t xt xx t x xx x ===-=-⋅+=-⋅+=-=-⎰⎰⎰⎰⎰⎰⎰⎰12.解析:2222(2)5002(2)5002A AA A AAA B A A B B A A B A A B B P Q Q P P P P P P P P P P P P P P P h ¶=-×¶=-×----++=-+故10,20A B P P ==时,10404000.45001002008001000h ´===--+13.解析:2221010()111101110101010010101010110011A b a a a a a a -⎛⎫ ⎪=- ⎪ ⎪-⎝⎭--⎛⎫⎛⎫ ⎪ ⎪→→ ⎪ ⎪⎪ ⎪---⎝⎭⎝⎭当a =1时()()23r A r A b ==< ,Ax =b 有无穷多解.14.X 的概率密度为,02()20,else xx f x ⎧<<⎪=⎨⎪⎩3222210022221184d d |2223630()024121{()1}{()}{2}2}32d 2243xx EX x x x x x x F x x x P F X EX P F X P X P X x P X x x =⋅====<⎧⎪⎪=≤<⎨⎪≥⎪⎩≥-=≥=≥=<⎫=<<=⎬⎭==⎰⎰15.解:当0x >时22ln 2ln ()e ()e (2ln 2)x x x x x f x x f x x ¢===+当0x <时()e e x xf x x ¢=+当0x =时0000()(0)e 11lim ()lim lim lim e 10x xx x x x f x f x f x x x-----+-====-2000()(0)11lim ()lim lim 0x x x x f x f x f x x x----+-==-不存在\有()f x 在0x =点不可导.于是2ln e (2ln 2)0(),0e +e ,0x x x x x xf x x x x ,不存在ìï+>ïïï¢==íïïï<ïî令()0f x ¢=得121,1,ex x ==-于是有下列表x (,1)-¥--1(-1,0)010,e ÷ç÷ç÷ç1e1,e÷ç+¥÷ç÷ç()f x ¢-0+不存在-0+()f x ¯极小值极大值¯极小值于是有()f x 的极小值为2e 11(1)1,e e ef f -÷ç-=-=÷ç÷ç,极大值为(0)1f =16.解析:(,)(,)g x y xy f x y x y =-+-''2""""2''2""""22""""(,)(,)1u v uu uv vu vvu v uu vv vu vv uu uv vu vvgy f x y x y f x y x y x g f f f f x gx f f yg f f f f yx g f f f f x y∂=-+--+-∂∂=----∂∂=-+∂∂=-++-∂=-+-+∂∂所以:22""""212uu uu vv uu g g xg f f f f x x y y ∂∂∂++=---+-∂∂∂∂""13uu vvf f =--17.解析:(1)22x y xy ¢-=)2222222d d 22222ee d e e d e ex x x xx xx x x x y x C x C x C C通解--÷ç÷ç=×+÷ç÷÷ç÷ç÷ç=×+÷ç÷÷ç÷ç=+÷ç÷ç=òòò由(f C =+0C =所以22(e x f x (2)()22222221221222411e d e d e d e =e -e 222x x x x x V x x x x p p p p p ÷÷=÷÷÷=×==òòò18.[)2,2x k k p p p Î+时()(21)12(21)2(21)(21)22(21)2(21)(21)22(21)21(21)2e sin d sin de sin e e cos d e cos d =e cos d cos e +e (sin )d e e1e e 2k x k k xk k k x x x k k k x k k k x x k k k k k k S x x x x x x x xx xx x xS x p pp pp p ppp pp p ppppp p +-+-++---+-++---+--+-==-=-×+=-=+-=+òòòòò[)22,22x k k p p p Î++(22)22(22)(22)22(21)21)(22)2(21)2(22)(21)2(22)e sin d sin e -e cos d =-ecos d cos e -e (sin )d e e 1e e 2k x k k k x x k k k k k xx x k k k k k k S x xx x xx x x x xS p p pp p pp pp p pp ppp pp p p +-+++--++++---+++-+-+-+==-=+-=-+--=+òò((21)k p -+ùúû面积为(())()12(21)2(22)02202212e e e 21=12e e e 211e 112e e 21e 2e 1k k k k k k k SS p p p p pp p p p p p ¥=¥-+--+=¥---=----ù=++úû+++=++=--ååå19.设1(0,1,2,)n a x n ==⎰…(1)证明:数列{}n a 单调减少,且21(2,3,);2n n n a a n n --==+ (2)求1lim.nn n a a →∞-解析(1)111110(1)0.n n n n a a xxx x ----=-=-<⎰⎰⎰则{}n a 单调递减.1/2/222201sin sin cos sin (1sin ),2n n n n n n a x dxx t t tdt t t dt I I I n ππ+=-⋅=⋅-=-=+⎰⎰⎰则2222111,.(2)(2)n n n n n n n a I a a I n n n n ------===++则(2)由(1)知,{}n a 单调递减,则211111, 1.222n n n n n a n n n a a a n n n a ------=><<+++即由夹逼准则知,1lim1.nn n a a →∞-=20.解:123123(,,,,,)αααβββ2222111101102123443313111101011022001111a a a a r a a a a ⎛⎫ ⎪= ⎪ ⎪++-+⎝⎭⎛⎫⎪- ⎪ ⎪----⎝⎭①若a =1,则123123123123(,,)(,,)(,,,,,)r r r αααβββαααβββ==此时向量组(Ⅰ)与(Ⅱ)等价,令123(,,)A ααα=则31023()01120000A β⎛⎫⎪→-- ⎪⎪⎝⎭此时3123(32)(2)k k k βααα=-+-++②若a =-1,则()2(,)3r A r A B =≠=,向量组(Ⅰ)与(Ⅱ)不等价.③若1,1a ≠-,31001()01010011A β⎛⎫⎪→- ⎪⎪⎝⎭3123βααα=-+21.2212102201000200A x B y --⎡⎤⎡⎤⎢⎥⎢⎥=-=-⎢⎥⎢⎥⎢⎥⎢⎥-⎣⎦⎣⎦与相似(1)1231~413()()242210(2)010(1)(2)(2)00021,2,21211211201242000001210001001000022A Bx yx tr A tr B y x y E B x x A E A E λλλλλλλλλξλ∴-=+=⎧∴=⇒⇒⎨=-+=-⎩---=+=++-=-=-=-=---⎡⎤⎡⎤⎡⎤⎢⎥⎢⎥⎢⎥=-+=-→→⎢⎥⎢⎥⎢⎥⎢⎥⎢⎥⎢⎥-⎣⎦⎣⎦⎣⎦=-+=T 时, =(-,,)时,()2311321410440125201050211240000000004212122102221200100112004000000211,122040A E P ξλξξξξ-⎡⎤⎡⎤⎡⎤⎢⎥⎢⎥⎢⎥-→-→-⎢⎥⎢⎥⎢⎥⎢⎥⎢⎥⎢⎥⎣⎦⎣⎦⎣⎦---⎡⎤⎡⎤⎡⎤⎢⎥⎢⎥⎢⎥=-=-→→⎢⎥⎢⎥⎢⎥⎢⎥⎢⎥⎢⎥-⎣⎦⎣⎦⎣⎦---⎡⎤⎢⎥==⎢⎥⎢⎥⎣⎦TT =(-,,)时, =(-,,0), 111122P AP --⎡⎤⎢⎥=-⎢⎥⎢⎥⎣⎦1223310310100000113000100041010022010010001000000010010322030001100004000B E x B E x B E x λλλ⎡⎤⎡⎤⎢⎥⎢⎥=-+=→=⎢⎥⎢⎥⎢⎥⎢⎥-⎣⎦⎣⎦⎡⎤⎡⎤⎢⎥⎢⎥=-+=→=⎢⎥⎢⎥⎢⎥⎢⎥⎣⎦⎣⎦⎡⎤⎡⎤⎢⎥⎢⎥=-=-→=⎢⎥⎢⎥⎢⎥⎢⎥-⎣⎦⎣⎦TT时, (-,,)时, (,,)时, (,,121232212212121211221()22122()1211030122001040130111212004101100()3000006100011011000P x x x P BP B P P B P P A PP P PP P iE -----⎡⎤⎢⎥==-⎢⎥⎢⎥⎣⎦-⎡⎤⎢⎥=-⎢⎥⎢⎥⎣⎦=-=---⎡⎤⎡⎤⎢⎥⎢⎥=⎢⎥⎢⎥⎢⎥⎢⎥⎣⎦⎣⎦---⎡⎤⎢⎥⎢⎥⎢⎥⎣⎦-⎡⎤⎢⎥=⎢⎥⎢⎥⎣⎦--→T) 故=03310010001101100010001100100311000030100011001103⎡⎤⎢⎥⎢⎥⎢⎥⎣⎦⎡⎤⎢⎥--⎢⎥→⎢⎥⎢⎥⎢⎥⎣⎦⎡⎤⎢⎥⎢⎥→⎢⎥⎢⎥⎢⎥⎣⎦22.(1)随机变量X 的分布函数为⎩⎨⎧<≥-=-0,00,1)(x x e x F x X {}{}{}{}())(1)()1(1,1,)(z F p z F p Y z X P Y z X P z XY P z Z P z F XXZ --+-=-=-≥+=≤=≤=≤=当0<z 时,()zX Z pe z F p z F =--=)(1)(当0≥z 时,()pe p z F p z F p z F z X X Z +--=--+-=-)1)(1()(1)()1()(则⎩⎨⎧≤>-=-0,0,)1()(z pe z e p z f z zZ (2)p EY EX XY E EZ EX 21)(,1-=⋅===()())21(221)()()()()(222p p EX DX Y E X E Y X E XZ E -=-+===当())()(2Z E XE XZ E =时,Z X ,不相关.即)21(221p p -=-,可得21=p .(3)因为{}{}01,1,11,1=≥-=≤=-≤≤X Y X P Z X P 又{}111--=≤e X P ,{}11-=-≤peZ P 则{}{}{}111,1-≤⋅≤≠-≤≤Z P X P Z X P ,故不独立.23.(1)由1222222222)(2)(==-=⎰⎰∞+----∞+πσμσμσμσμμA x deA dx eAx x 可得:π2=A .(2)设n x x x ,,,21 为样本值,似然函数为()()⎪⎩⎪⎨⎧>∑⎪⎪⎭⎫ ⎝⎛==--elsex x x e L n x nn ni i ,0,,,,2121212122μπσσμσ当μ>n x x x ,,,21 时,()()()()2122221ln 2ln 2ln 2ln ∑----==n i i x n n L μσσπσ令()()()0)(2112ln 1222222=∑-+-==n i i x n d L d μσσσσ,可得()nx ni ∑=-=1212μσ故2σ的最大似然估计量为()nXni ∑=-=1212μσ .。
全国硕士研究生入学统一考试数学试题全国硕士研究生入学统一考试数学试题一、填空题:本题共6小题,每小题4分,共24分,请将答案写在答题纸指定位置上.(1) 极限xx x 20)]1ln(1[lim ++→=. (2)dx ex x x⎰--+11)(=.(3) 设0a >,,x a x g x f 其他若,10,0,)()(≤≤⎩⎨⎧== 而D 表示全平面,则⎰⎰-=Ddxdy x y g x f I )()(=.(4) 设,A B 均为三阶矩阵,E 是三阶单位矩阵. 已知2AB A B =+, 202040202B ⎡⎤⎢⎥=⎢⎥⎢⎥⎣⎦,则1)(--E A =.(5) 设n 维向量0,),0,,0,(<=a a a T Λα;E 为n 阶单位矩阵,矩阵T E A αα-=, T aE B αα1+=,其中A 的逆矩阵为B ,则a = .(6) 设随机变量X 和Y 的相关系数为0.5,0EX EY == ,222==EY EX , 则2)(Y X E += .二、选择题:本题共6小题,每小题4分,共24分,下列每小题给出的四个选项中,只有一项符合题目要求,把所选项前的字母填在题后的括号内.(1) 曲线21x xe y = ( )(A) 仅有水平渐近线. (B) 仅有铅直渐近线.(C) 既有铅直又有水平渐近线. (D) 既有铅直又有斜渐近线. (2) 设函数)(1)(3x x x f ϕ-=,其中)(x ϕ在1x =处连续,则0)1(=ϕ是()f x 在1x =处可导的 ( )(A) 充分必要条件. (B)必要但非充分条件.(C) 充分但非必要条件 . (D) 既非充分也非必要条件. (3) 设可微函数(,)f x y 在点),(00y x 取得极小值,则下列结论正确的是 ( )(A) ),(0y x f 在0y y =处的导数等于零. (B)),(0y x f 在0y y =处的导数大于零.(C) ),(0y x f 在0y y =处的导数小于零. (D) ),(0y x f 在0y y =处的导数不存在.(4) 设矩阵⎥⎥⎥⎦⎤⎢⎢⎢⎣⎡=001010100B .已知矩阵A 相似于B ,则秩(2)A E -与秩()A E -之和等于( )(A) 2. (B) 3. (C) 4. (D) 5. (5) 对于任意二事件A 和B ( )(A) 若φ≠AB ,则,A B 一定独立. (B) 若φ≠AB ,则,A B 有可能独立.(C) 若φ=AB ,则,A B 一定独立. (D) 若φ=AB ,则,A B 一定不独立.(6) 设随机变量X 和Y 都服从正态分布,且它们不相关,则 ( )(A) X 与Y 一定独立. (B) (X ,Y )服从二维正态分布. (C) X 与Y 未必独立. (D) X +Y 服从一维正态分布.设 ).1,21[,)1(1sin 11)(∈--+=x x x x x f πππ试补充定义(1)f 使得()f x 在]1,21[上连续.四 、(本题满分8分)设(,)f u v 具有二阶连续偏导数,且满足12222=∂∂+∂∂vfu f ,又)](21,[),(22y x xy f y x g -=,求.2222y g x g ∂∂+∂∂ 五 、(本题满分8分) 计算二重积分.)sin(22)(22dxdy y x e I Dy x+=⎰⎰-+-π其中积分区域22{(,)}.D x y x y π=+≤ 六、(本题满分9分)设1a >,at a t f t -=)(在),(+∞-∞内的驻点为).(a t 问a 为何值时,()t a 最小?并求出最小值.七、(本题满分9分)设()y f x =是第一象限内连接点(0,1),(1,0)A B 的一段连续曲线,(,)M x y 为该曲线上任意一点,点C 为M 在x 轴上的投影,O 为坐标原点. 若梯形OCMA 的面积与曲边三角形CBM 的面积之和为3163+x ,求()f x 的表达式. 八、(本题满分8分)设某商品从时刻0到时刻t 的销售量为kt t x =)(,).0(],,0[>∈k T t 欲在T 时将数量为A 的该商品销售完,试求(1) t 时的商品剩余量,并确定k 的值;(2) 在时间段[0,]T 上的平均剩余量. 九、(本题满分13分)设有向量组(I):T )2,0,1(1=α,T )3,1,1(2=α,T a )2,1,1(3+-=α和向量组(II):T a )3,2,1(1+=β,T a )6,1,2(2+=β,.)4,1,2(3T a +=β 试问:当a 为何值时,向量组(I)与(II)等价?当a 为何值时,向量组(I)与(II)不等价?设矩阵⎥⎥⎥⎦⎤⎢⎢⎢⎣⎡=a A 11121112可逆,向量⎥⎥⎥⎦⎤⎢⎢⎢⎣⎡=11b α是矩阵*A 的一个特征向量,λ是α对应的特征值,其中*A 是矩阵A 的伴随矩阵. 试求,a b 和λ的值. 十一、(本题满分13分)设随机变量X 的概率密度为;],8,1[,0,31)(32其他若∈⎪⎩⎪⎨⎧=x x x f()F X 是X 的分布函数. 求随机变量()Y F X =的分布函数.十二、(本题满分13分)对于任意二事件A 和B ,1)(0,1)(0<<<<B P A P , )()()()()()()(B P A P B P A P B P A P AB P -=ρ称作事件A 和B 的相关系数.(1) 证明事件A 和B 独立的充分必要条件是其相关系数等于零;(2) 利用随机变量相关系数的基本性质,证明.1≤ρ2003年全国硕士研究生入学统一考试数学四试题解析一、填空题 (1)【答案】2e【详解】方法1:xx x 20)]1ln(1[lim ++→,属于∞1型未定式极限,可以考虑利用重要极限求解.首先凑成重要极限形式:()200002ln(1)1ln(1)2ln(1)2lim lim 2lim[1ln(1)]lim 1ln(1)xx x x x x x x x xx xx x e e e →→→→+⋅++=++=++==方法2:xx x 20)]1ln(1[lim ++→=2ln[1ln(1)]0lim x x x e++→=2ln[1ln(1)]2ln(1)limlim2x x x x xxeee →→+++==(注意:l n[1ln(1)]ln(1)x x +++:)(2)【答案】)21(21--e【分析】对称区间上的定积分,有0()2()()()0()a a aaaf x dx f x dxf x f x dx f x --⎧=⎪⎨⎪=⎩⎰⎰⎰当为偶函数当为奇函数【详解】dx ex x x⎰--+11)(=dx xedx ex xx⎰⎰----+1111=dx ex x--⎰11+012x xe dx -=⎰102x xde -=-⎰112[]xx xe e dx --=--⎰=)21(21--e .(3)【答案】2a【详解】本题积分区域为全平面,但只有当10,10≤-≤≤≤x y x 时,被积函数才不为零,则二重积分只需在积分区域与被积函数不为零的区域的公共部分商积分即可,因此实际上只需在满足此不等式的区域内积分即可.⎰⎰-=Ddxdy x y g x f I )()(=20101x y x a dxdy ≤≤≤-≤⎰⎰=1120x xa dx dy+⎰⎰1220[(1)]a x x dx a =+-=⎰(4)【答案】⎥⎥⎥⎦⎤⎢⎢⎢⎣⎡001010100 【详解】 应先化简,从2AB A B =+中确定1)(--E A .2AB A B =+⇒222AB B A E E -=-+⇒E E A B E A 2)(2)(=---⇒E E B E A 2)2)((=--⇒E E B E A =-⋅-)2(21)(,所以 1)(--E A =)2(21E B -=⎥⎥⎥⎦⎤⎢⎢⎢⎣⎡001010100.(5) 【答案】-1【详解】这里T αα为n 阶矩阵,而22a T =αα为数,直接通过E AB =进行计算并注意利用乘法的结合律即可.由题设,有)1)((T T a E E AB αααα+-==T T T T a a E αααααααα⋅-+-1111()T T T T E a a αααααααα=-+-=T T T a a E αααααα21-+-1(12)T E a E aαα=+--+=,于是有0121=+--a a ,即0122=-+a a ,解得.1,21-==a a 已知0a <,故1a =-.(6)【答案】6【分析】本题的核心是逆向思维,利用协方差公式()cov(,)()()E XY X Y E X E Y =+. 涉及公式:(1)22()()[()]D X E X E X =-,(2)()()()2cov(,)D X Y D X D Y X Y +=++(3)XY ρ=【详解】方法1:由方差定义的公式和相关系数的定义22()()[()]D X E X E X =-202,=-= 同理()2D Y =,1cov(,)212XY X Y ρ==⨯=.所以 222()()[()]()()E X Y D X Y E X Y D X Y EX EY +=+++=+++()()()2cov(,) 6.D X Y D X D Y X Y =+=++=方法2:由数学期望的线性可加性()()()E aX bY aE X bE Y +=+得:222()(2)E X Y E X XY Y +=++222()EX E XY EY =++42()E XY =+再利用()()()(,)E XY Cov X Y E X E Y =+⋅,得2)(Y X E +()()42[(,)]Cov X Y E X E Y =++⋅由方差定义的公式,有22()()[()]D X E X E X =-202,=-= 同理()2D Y =,再由相关系数的定义XY ρ=得,cov(,)XY X Y ρ=2)(Y X E +42420.52 6.XY ρ=+=+⨯⨯=二、选择题 (1)【答案】()D【分析】按照铅直、水平、斜渐近线三种情况分别考虑:先考虑是否有水平渐近线:lim (),()x f x c c →±∞=为常数,y c =为曲线的一条水平渐近线;若无水平渐近线应进一步考虑是否存在斜渐近线:()()lim,lim [()]x x x x x x yk b f x kx x →∞→∞→+∞→+∞→-∞→-∞==-,y kx b =+为曲线的一条斜渐近线;而是否存在铅直渐近线,应看函数是否存在无定义点,且00lim ,lim x x x x y y +-→→=∞=∞,则0x x =为曲线的一条垂直渐近线.【详解】1.y x ±∞→lim 极限均不存在,故曲线不存在水平渐近线;2.1lim lim 21==∞→∞→x x x e x y ,2221212001lim()lim1lim 0u u x x u u e u xe x u x e u uu -→∞→→--=-=:, 所以曲线有斜渐近线y x =.3.在0x =处21xxe y =无定义,且1222111ln 000lim lim lim lim xxx e xx xx x x x xe ee e ++++→→→→====∞,故 0x =为铅直渐近线.故曲线21x xe y =既有铅直又有斜渐近线,应选()D .(2)【答案】()A【详解】被积函数中含有绝对值,应当作分段函数看待,利用()f x 在1x =处左右导数定义讨论即可.32111()(1)1lim lim ()lim(1)()3(1)11x x x f x f x x x x x x x ϕϕϕ+++→→→--=⋅=++⋅=--, 32111()(1)1lim lim ()lim(1)()3(1)11x x x f x f x x x x x x x ϕϕϕ---→→→--=-⋅=-++⋅=---, 由于()f x 在1x =处可导的充分必要条件是左、右导数相等,所以.0)1()1(3)1(3=⇔-=ϕϕϕ故应选()A .(3)【答案】()A【详解】由函数(,)f x y 在点),(00y x 处可微,知函数(,)f x y 在点),(00y x 处的两个偏导数都存在,又由二元函数极值的必要条件即得(,)f x y 在点),(00y x 处的两个偏导数都等于零. 从而有000(,)(,)(,)0y y x y x y df x y f dyy==∂==∂选项()A 正确.(4)【答案】(C)【分析】 利用相似矩阵有相同的秩计算,秩(2)A E -与秩()A E -之和等于秩(2)B E -与秩()B E -之和.【详解】因为矩阵A 相似于B , 又1B P AP -=,所以()111222P A E P P AP P EP B E ----=-=-,于是,矩阵(2)A E -与矩阵(2)B E -相似. 同理有()111P A E P P AP P EP B E ----=-=-所以,矩阵A E -与矩阵B E -相似. 又因为相似矩阵有相同的秩,而秩(2)B E -=秩3201010102=⎥⎥⎥⎦⎤⎢⎢⎢⎣⎡---,秩()B E -=秩1101000101=⎥⎥⎥⎦⎤⎢⎢⎢⎣⎡--, 所以有秩(2)A E -+秩()A E -= 秩(2)B E -+秩()B E -=4,故应选(C).(5)【答案】B【详解】本题考查独立与互斥事件之间的关系,事实上,独立与互斥事件之间没有必然的互推关系.当{}{}0,0P A P B ≠≠时,若,A B 相互独立,则一定有{}{}{}0P AB P A P B =≠,从而有AB ≠∅. 可见,当,A B 相互独立时,往往,A B 并不是互斥的.AB ≠∅推不出{}{}{}P AB P A P B =⋅, 因此推不出,A B 一定独立,排除(A);若AB =∅,则{}0P AB =,但{}{}P A P B 是否为零不确定,{}{}{}P AB P A P B ≠. 因此(C),(D) 也不成立,故正确选项为(B).(6)【答案】C .【分析】本题考查正态分布的性质以及二维正态分布与一维正态分布之间的关系.只有(,)X Y 服从二维正态分布时,不相关与独立才是等价的.有结论如下:① 若X Y 与均服从正态分布且相互独立,则(,)X Y 服从二维正态分布.如果X Y 与都服从正态分布,甚至X Y 与是不相关,也并不能推出(,)X Y 服从二维正态分布.② 若X Y 与均服从正态分布且相互独立,则bY aX +服从一维正态分布. ③ 若(,)X Y 服从二维正态分布,则X Y 与相互独立⇔X Y 与不相关. 【详解】只有当(,)X Y 服从二维正态分布时,X Y 与不相关⇔X Y 与独立,本题仅仅已知X Y 与服从正态分布,因此,由它们不相关推不出X Y 与一定独立,排除(A);若X Y 与都服从正态分布且相互独立,则(,)X Y 服从二维正态分布,但题设并不知道,X Y 是否独立,可排除(B);同样要求X Y 与相互独立时,才能推出X Y +服从一维正态分布,可排除(D).故正确选项为(C).三【详解】为使函数()f x 在1[,1]2上连续,只需求出函数()f x 在1x =的左极限)(lim 1x f x -→,然后定义(1)f 为此极限值即可.11111lim ()lim[]sin (1)x x f x x x x πππ--→→=+-- 1111lim[]sin (1)x x x πππ-→=+--11(1)sin lim (1)sin x x xx xπππππ-→--=+- 令1u x =-,则当1x -→时,0u +→,所以1lim ()x f x -→01sin (1)lim sin (1)u u u u u πππππ+→--=+-1sin (1)lim (sin cos cos sin )u u u u u u ππππππππ+→--=+⋅⋅-⋅01sin (1)limsin u u u u uπππππ+→--=+⋅ 2201sin (1)lim u u u u ππππ+→--+等201cos (1)lim2u u uπππππ+→+-+洛 2201sin (1)lim 2u u ππππ+→-+洛110ππ+== 定义π1)1(=f ,从而有11lim ()(1)x f x f π-→==,()f x 在1x =处连续. 又()f x 在)1,21[上连续,所以()f x 在]1,21[上连续.四【详解】由复合函数[(,),(,)]z f x y x y ϕψ=的求导法则,得221()()2x y g f xy f x u x v x ⎛⎫∂- ⎪∂∂∂∂⎝⎭=+∂∂∂∂∂f f y x u v ∂∂=+∂∂ 221()()2x y g f xy f y u y v x ⎛⎫∂- ⎪∂∂∂∂⎝⎭=+∂∂∂∂∂.f f x y u v∂∂=-∂∂ 从而2222222222222222g f f f f f y y x x y x x u u v v u v v f f f f y xy x u u v v v ⎡⎤⎡⎤∂∂∂∂∂∂=⋅+⋅++⋅+⋅⎢⎥⎢⎥∂∂∂∂∂∂∂∂⎣⎦⎣⎦∂∂∂∂=+++∂∂∂∂∂2222222222222222g f f f f f x x y y x y y u u v v u v v f f f f x xy y u u v v v⎡⎤⎡⎤∂∂∂∂∂∂=⋅-⋅--⋅-⋅⎢⎥⎢⎥∂∂∂∂∂∂∂∂⎣⎦⎣⎦∂∂∂∂=-+-∂∂∂∂∂所以 222222222222222222()()()()g g f f f f x y x y x y x y u v u v∂∂∂∂∂∂+=+++=++∂∂∂∂∂∂=.22y x +五【详解】从被积函数与积分区域可以看出,应利用极坐标进行计算.作极坐标变换:设θθsin ,cos r y r x ==,有2222222()22()22222220sin()sin()sin sin sin .2xy xy DDt r r r t I e x y dxdy e e x y dxdye e d r rdr d r dr e e tdt ππππππππθθπ-+--+=---=+=+=⋅==⎰⎰⎰⎰⎰⎰⎰记tdt e A t sin 0⎰-=π,则000sin cos cos cos ttt t A e tdt e d t e t e tdt ππππ----⎡⎤==-=-+⎢⎥⎣⎦⎰⎰⎰ 0001sin 1sin sin t t t e e d t e e t e tdt πππππ-----⎡⎤=---+=+--⎢⎥⎣⎦⎰⎰=.1A e -+-π因此 )1(21π-+=e A ,).1(2)1(2πππππe e e I +=+=-六【详解】()f t 的驻点即满足()f t 的一阶导数为零的点,它是关于a 的函数.由0ln )(=-='a a a t f t ,得唯一驻点.ln ln ln 1)(aa a t -= 求()t a 的最小值,即求函数aaa t ln ln ln 1)(-=在1a >时的最小值, 22211111ln ln ln ln ln 1ln ln ln ()0(ln )(ln )(ln )a a aa a a a a a t a a a a a ⋅---'=-=-=-=得唯一驻点.e e a =当e e a >时,lnln 0,1lnln 0a a >-<,从而0)(>'a t ,这时()t a 单调递增;当e e a <时,lnln 0,1lnln 0a a <->,从而0)(<'a t ,这时()t a 单调递减. 因此当e a e =时()t a 为最小值,此时ee t e 11)(-=为极小值,也是最小值.七【分析】梯形OCMA 的面积可直接用梯形面积公式计算得到,曲边三角形CBM 的面积可用定积分计算,再由题设,梯形OCMA 的面积与曲边三角形CBM 的面积之和为3163+x ,可得一含有变限积分的等式,两边求导数,可转化为一阶线性微分方程,然后用通解公式计算即可. 【详解】由题意得1[1()]2OCMA S x f x =+,1()CBM x S f t dt =⎰ 所以 316)()](1[213+=++⎰x x dt t f x f x . 两边关于x 求导2111[1()]()()222f x xf x f x x '++-=,即21()()2().f x xf x f x x '++-= 化简,当0≠x 时,得211()()x f x f x x x -'-=,即211.dy x y dx x x--⋅=利用一阶线性非齐次微分方程()()dyP x y Q x dx+=的通解公式 ()()()P x dx P x dx y e Q x e dx C -⎛⎫⎰⎰=⋅+ ⎪⎝⎭⎰ 所以此方程为标准的一阶线性非齐次微分方程,其通解为 y]1[)(121C dx e xx ex f dx x dxx+⎰-⎰=---⎰ =]1[ln 2ln C dx e xx ex x+--⎰ =)1(22C dx xx x +-⎰ Bx=.12Cx x ++曲线过点(1,0)B ,故0f =(1),代入,故有20C +=,从而2C =-. 所以.)1(21)(22-=-+=x x x x f八【详解】(1) 在时刻t 的剩余量()y t 可用总量A 减去销量()x t 得到,即)()(t x A t y -==kt A -, ].,0[T t ∈再T 时刻将数量为A 的该商品销售完,得0A kT -=,即Ak T=.因此, ,)(t TAA t y -= ].,0[T t ∈ (2) 由于()y t 随时间连续变化,因此在时间段[0,]T 上的平均剩余量,即函数平均值可用积分⎰Tdt t y T 0)(1表示(函数()f x 在[,]a b 上的平均值记为⎰-ba dx x f ab .)(1). 所以,)(t y 在[0,]T 上的平均值为⎰=T dt t y T y 0)(1=2-20011()()()22TT A A A T A t dt At t T T T T T T T -=-=-⎰牛莱公式=.2A 因此在时间段[0,]T 上的平均剩余量为.2A九【分析】两个向量组等价也即两个向量组可以相互线性表示;而两个向量组不等价,只需其中一组有一个向量不能由另一组线性表示即可.而线性表示问题又可转化为对应非齐次线性方程组是否有解的问题,这可通过化增广矩阵为阶梯形来判断.一个向量1β是否可由321,,ααα线性表示,只需用初等行变换化增广矩阵(1321,,βααα)为阶梯形讨论,而一组向量321,,βββ是否可由321,,ααα线性表示,则可结合起来对矩阵(321321,,,,βββααα)同时作初等行变换化阶梯形,然后类似地进行讨论即可.【详解】矩阵(321321,,,,βββααα)作初等行变换,有),,,,(321321βββαααM =⎥⎥⎥⎦⎤⎢⎢⎢⎣⎡++++-463232112110221111a a a a M M M (第一行乘以-1加到第三行,第二行乘以-1 加到第三行)⎥⎥⎥⎦⎤⎢⎢⎢⎣⎡-+-+--→111100112110111201a a a a M M M . (1) 当1-≠a 时,有行列式12310a ααα=+≠,秩(3),,321=ααα,故线性方程组)3,2,1(332211==++i x x x i βααα均有唯一解. 所以321,,βββ可由向量组(I)线性表示.同样,行列式12360βββ=≠,秩(3),,321=βββ,故321,,ααα可由向量组(II)线性表示.因此向量组(I)与(II)等价.(2) 当1a =-时,有),,,,(321321βββαααM ⎥⎥⎥⎦⎤⎢⎢⎢⎣⎡----→202000112110111201M M M . 由于秩(321,,ααα )≠秩(),,1321βαααM ,线性方程组1332211βααα=++x x x 无解,故向量1β不能由321,,ααα线性表示. 因此,向量组(I)与(II)不等价. 【评注1】涉及到参数讨论时,一般联想到利用行列式判断,因此,本题也可这样分析:因为行列式1,,321+=a ααα,06,,321≠=βββ,可见(1) 当1-≠a 时,秩3),,(),,(321321==βββαααr r ,因此三维列向量组321,,ααα与321,,βββ等价,即向量组(I)与(II)等价.(2) 当1a =-时,秩2),,(321=αααr ,而行列式04,,132≠=βαα,可见2),,(321=αααr ≠1231(,,,)r αααβ =3, 因此线性方程组1332211βααα=++x x x 无解,故向量1β不能由321,,ααα线性表示. 即向量组(I)与(II)不等价.【评注2】 向量组(I)与(II)等价,相当于321,,ααα与321,,βββ均为整个向量组321321,,,,,βββααα的一个极大线性无关组,问题转化为求向量组321321,,,,,βββααα的极大线性无关组,这可通过初等行变换化阶梯形进行讨论.十【分析】 题设已知特征向量,应想到利用定义:λαα=*A . 又与伴随矩阵*A 相关的问题,应利用E A AA =*进行化简.【详解】 矩阵*A 属于特征值λ的特征向量为α,由于矩阵A 可逆,故*A 可逆.于是0≠λ,0≠A ,且λαα=*A .两边同时左乘矩阵A ,得αλαA AA =*⇒αλαAA =,即⎥⎥⎥⎦⎤⎢⎢⎢⎣⎡=⎥⎥⎥⎦⎤⎢⎢⎢⎣⎡⎥⎥⎥⎦⎤⎢⎢⎢⎣⎡111111121112b A b a λ,由此,得方程组⎪⎪⎪⎩⎪⎪⎪⎨⎧=++=+=+.1,22,3λλλA b a b A b A b )3()2()1(由式(1),(2)解得1=b 或2-=b ;由式(1),(3)解得 2.a =因此42311121112=-==a aA ,根据(1)式知,特征向量α所对应的特征值.343bbA +=+=λ 所以,当1=b 时,1=λ;当2-=b 时,.4=λ【评注】本题若先求出*A ,再按特征值、特征向量的定义进行分析,则计算过程将非常复杂.一般来说,见到*A ,首先应想到利用公式E A AA =*进行化简.十一【分析】先求出分布函数()F x 的具体形式,从而可确定()Y F X = ,然后按定义求Y 的分布函数即可.注意应先确定()Y F x =的值域范围)1)(0(≤≤X F ,再对y 分段讨论.【详解】易见,当1x <时,()0F x =; 当8x >时,()1F x =.对于]8,1[∈x ,有.131)(3132-==⎰x dt t x F x设()G y 是随机变量()Y F x =的分布函数. 显然,当0<y 时,()G y =0;当1≥y 时,()G y =1. 对于)1,0[∈y ,有})({}{)(y X F P y Y P y G ≤=≤=31}{(1)}P y P X y =≤=≤+3[(1)].F y y =+=于是,()Y F x =的分布函数为0,0,(),01,1, 1.y G y y y y <⎧⎪=≤<⎨⎪≥⎩若若若十二【分析】A 和B 独立的充要条件是{}{}{}P AB P A P B =⋅,由此可以直接证明问题(1);对于问题(2),应先构造随机变量,不难看出与事件A 和A 联系的应是随机变量1, ,0, .A X A ⎧=⎨⎩若出现若不出现 随机变量X 和Y 的相关系数为XY E XY E X E Y ρ-==,需将P AB P A P B ρ-=转化为用随机变量表示. 显然,若有(){}E XY P AB =,(){}(){},E X P AE Y P B ==以及=,=即可,这只需定义1,,0, .A X A ⎧=⎨⎩ 若出现若不出现 1,0, .B Y B ⎧=⎨⎩若出现,若不出现 【详解】 (1) 由题给ρ的定义,可见0=ρ当且仅当{}{}{}0P AB P A P B ==,而这恰好是二事件A 和B 独立的定义,即0=ρ是A 和B 独立的充分必要条件.(2) 考虑随机变量X 和Y :1,0,A X A ⎧=⎨⎩若出现若不出现 1,0,B Y B ⎧=⎨⎩若出现若不出现由条件知,X 和Y 都服从01-分布:{}{}01~X P A P A ⎛⎫ ⎪ ⎪⎝⎭,{}{}01~.Y P B P B ⎛⎫ ⎪⎝⎭ 由离散型随机变量的数字特征,(){}1ni i i i E X x P X x ==⋅=∑,()()()22D X E X EX =-易见 (){}E X P A =,(){}E Y P B =;(){}{}D X P A P A =, (){}{}D Y P B P B =; 由协方差的定义()()(){}{}{}(,).Cov X Y E XY E X E Y P AB P A P B =-=-因此,事件A 和B 的相关系数就是随机变量X 和Y 的相关系数.于是由二随机变量相关系数的基本性质1ρ≤,所以题目中定义的 .1≤ρ。
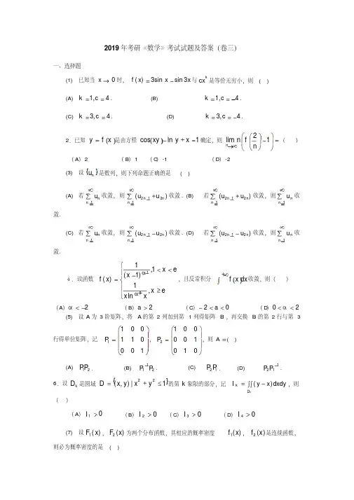
2019年考研《数学》考试试题及答案(卷三)一、选择题(1) 已知当0x 时,()3sin sin 3f x xx 与kcx 是等价无穷小,则( )(A) 1,4k c . (B) 1,4k c .(C) 3,4kc.(D)3,4kc.2.已知x f y 是由方程1ln cos x yxy 确定,则12lim nfn n()(A )2 (B )1 (C )-1(D )-2(3) 设n u 是数列,则下列命题正确的是( )(A) 若1n n u 收敛,则2121()nn n u u 收敛. (B)若2121()nn n u u 收敛,则1n n u 收敛.(C) 若1n n u 收敛,则2121()nn n u u 收敛. (D)若2121()nn n u u 收敛,则1n n u 收敛.4.设函数exxx ex x x f ,ln11,)1(1)(11,且反常积分dx x f 收敛,则()(A )2(B )2a(C )02a (D )20(5) 设A 为3阶矩阵,将A 的第2列加到第1列得矩阵B ,再交换B 的第2行与第3行得单位矩阵,记1100110001P ,210000101P ,则A ( )(A) 12PP .(B)112P P .(C)21P P . (D)121P P .6.设k D 是圆域1|),(22yx y x D的第k 象限的部分,记kD kdxdy x yI )(,则()(A )01I (B )2I (C )3I (D )4I (7) 设1()F x ,2()F x 为两个分布函数,其相应的概率密度1()f x ,2()f x 是连续函数,则必为概率密度的是( )(A) 12()()f x f x . (B) 212()()f x F x .(C)12()()f x F x .(D)1221()()()()f x F x f x F x .8.矩阵1111aa b a a 与矩阵00000002b 相似的充分必要条件是(A )2,0b a (B )0a ,b 为任意常数(C )0,2ba(D )2a,b 为任意常数二、填空题(9~14小题,每小题4分,共24分,请将答案写在答题纸...指定位置上.)(9) 设0lim 13xtt f xx t ,则f x.10.设函数dt e x f x t11)(,则)(x f y的反函数)(1y fx 在0y 处的导数|ydydx .(11) 曲线tan4yx ye 在点0,0处的切线方程为 .12.曲线上21ln arctan t yt x 对应于1t 处的法线方程为.(13) 设二次型123,,Tfx x x x Ax 的秩为1,A 的各行元素之和为3,则f 在正交变换xQ y 下的标准形为.14.设ij a A是三阶非零矩阵,A 为其行列式,ij A 为元素ij a 的代数余子式,且满足)3,2,1,(0j i a A ijij ,则A =.三、解答题(15~23小题,共94分.请将解答写在答题纸...指定位置上,解答应写出文字说明、证明过程或演算步骤.)(15) (本题满分10分) 求极限012sin 1limln 1xx x x x.16.(本题满分10分)设D 是由曲线3x y,直线a x )0(a及x 轴所转成的平面图形,y x V V ,分别是D 绕x。
2019年全国硕士研究生入学统一考试数学(三)试题参考答案一、选择题:1~8小题,每小题4分,共32分.下列每题给出的四个选项中,只有一个选项是符合题目要求的.1、当0x →时,若tan x x −与kx 是同阶无穷小,则k =()A. 1. B. 2.C. 3. D.4.【答案】 C.【解析】当0x →时,31tan 3x xx −−,则=3k .2.已知方程550x x k −+=有3个不同的实根,则k 的取值范围为()A 、 (,4)−∞− B 、(4,)+∞C 、{}4,4−D 、(4,4)−【答案】 D.【解析】令5()5f x x x k =−+,由()0f x '=得1x =±,当1x <−时,()0f x '>,当11x −<<时,()0f x '<,当1x >时,()0f x '>,又由于lim ()x f x →−∞=−∞,lim ()x f x →+∞=+∞,方程要有三个不等实根,只需要(1)=40f k −+>,(1)4<0f k =−+,因此k 的取值范围为44k −<<.3.已知微分方程e x y ay by c '''++=的通解为12()e e xx y C C −=++,则,,a b c 依次为( )A 、1,0,1B 、 1,0,2C 、2,1,3D 、2,1,4【答案】 D.【解析】由通解形式知,121λλ==−,故特征方程为221=21=0λλλ+++(),所以2,1a b ==,又由于e x y =是+2x y y y ce '''+=的特解,代入得4c =.4、若1n n nu ∞=∑绝对收敛,1nn v n ∞=∑条件收敛,则( ) A 、1n nn u v∞=∑条件收敛B 、1n nn u v∞=∑绝对收敛C 、1()nn n uv ∞=+∑收敛D 、1()nn n uv ∞=+∑发散【答案】 B. 【解析】由1n n v n∞=∑条件收敛知,lim 0nn v n →∞=,故当n 充分大时,1n v n . 所以,nn n n n vu v nu nu n=⋅,由于1n n nu ∞=∑绝对收敛,所以1n n n u v ∞=∑绝对收敛.5、设A 是四阶矩阵,*A 是A 的伴随矩阵,若线性方程组=Ax 0的基础解系中只有2个向量,则*A 的秩是( ) A.0 B.1 C.2D.3【答案】 A.【解析】由于方程组基础解系中只有2个向量,则()2r A =,()3r A <,()0r A *=. 6、设A 是3阶实对称,E 是3阶单位矩阵,若2=2A +A E 且4=A ,则二次型T x Ax 的规范形为( )A. 222123y y y ++ B.222123y y y +− C.222123y y y −− D.222123y y y −−−【答案】 C.【解析】22λλ+=,则λ只能为2−或1,又由于4=A ,则特征值分别为-2,-2,1,则二次型的规范形为222123y y y −−. 7、设,A B 为随机事件,则()()P A P B =充分必要条件是A.()()().P A B P A P B =+UB.()()().P AB P A P B =C.()().P AB P BA =D.()().P AB P AB =【答案】C【解析】()()()()()()()()P AB P BA P A P AB P B P AB P A P B =⇔−=−⇔=;选C.8、设随机变量X 和Y 相互独立,且都服从正态分布2(,)N μσ,则{1}P X Y −<A.与μ无关,而与2σ有关. B.与μ有关,而与2σ无关. C.与μ,2σ都有关. D.与μ,2σ都无关.【答案】A【解析】2~(0,2X Y N −σ,所以{1}21P X Y −<=Φ=Φ=Φ−;选A二、填空题:9~14小题,每小题4分,共24分.9、111lim 1223(1)nn n n →∞⎡⎤+++=⎢⎥⋅⋅+⎣⎦____________ 【答案】1e .−【解析】111+++1223(1)1nn n n n n ⎡⎤⎛⎫= ⎪⎢⎥⨯⨯⨯++⎝⎭⎣⎦L ,则1lim e .1nn n n −→∞⎛⎫= ⎪+⎝⎭10、曲线π3πsin 2cos ()22y x x x x =+−<<的拐点坐标为____________ 【答案】 π2−(,). 【解析】令sin0y x x ''=−=,可得πx =,因此拐点坐标为π2−(,). 11、已知1()f x t =⎰,则120()d xf x x =⎰____________【答案】1(118−.【解析】依题意,()f x '=(1)0f =.因此,11123310000111()d ()d ()(13318x f x x f x x x f x x x ⎡⎤==−=−⎢⎥⎣⎦⎰⎰⎰. 12、A 、B 两商品的价格分别为、,需求函数,, ,求A 商品对自身价格的需求弹性____________ .【答案】0.4. 【解析】因为d (2)d A A A AA A B A A AP Q PP P Q P Q η=−⋅=−⋅−−,将,,1000A Q =代入,可得104000.41000AA η=⋅=. 13、2101111011a −⎛⎫ ⎪=− ⎪ ⎪−⎝⎭A ,01a ⎛⎫⎪= ⎪ ⎪⎝⎭b ,=Ax b 有无穷多解,求____________ 【答案】1.【解析】因为=Ax b 由无穷多解,故()()3r r =<A A,b ,对矩阵()A,b 作初等行变换,因为P A P B Q A =500-P A 2-P A P B +2P B 2P A =10P B =20h AA =h >0()P A =10P B =20a =21010()01010011a a −⎛⎫ ⎪→ ⎪ ⎪−−⎝⎭A,b ,故2110a a −=−=,因此1a =.14、为连续型随机变量,概率密度为, 为的分布函数,为的期望,求{}()1P F X EX >−=____________【答案】2.3【解答】由条件可得224()d d 23x EX xf x x x +∞−∞===⎰⎰,且可求得分布函数20,0,(),02,41, 2.x xF x x x <⎧⎪⎪=<⎨⎪⎪⎩故可得12{()1}{()}.33P F X EX P F X >−=>=三、解答题:15~23小题,共94分.解答应写出文字说明、证明过程或演算步骤.15、(本题满分10分)已知2,0,()e 1,0.x x x x f x x x ⎧>=⎨+⎩求()f x ',并求()f x 的极值.【答案】f ′(x )={2x 2x (lnx +1);x >0e x (x +1);x <0,极大值f (0)=1.极小值1(1)1e f −=−,2e 1()e ef −=.【解析】解:当x >0时:f ′(x )=(e 2xlnx −1)′=(e 2xlnx )′=e 2xlnx (2lnx +2)=2x 2x (lnx +1)当x <0:f ′(x )=e x +xe x =e x (x +1)因此f ′(x )={2x 2x (lnx +1);x >0e x (x +1);x <0当x =0:X f (x )=x2,0<x <20,elseìíïîïF (x )X EX Xf +′(0)=lim x→0+f (x )−f(0)x =lim x→0+x 2x −1x =lim x→0+e 2xlnx −1x =lim x→0+2xlnxx=−∞f −′(0)=lim x→0+f (x )−f(0)x =lim x→0+xe x x=lim x→0+e x =0当x >0时,f ′(0)<0,f (x )单调递减,当x <0时,f ′(0)>0,f (x )单调递增因此f (x )在x =0处取得极大值,且f (0)=1.令()0f x '=得,1x =−及1e x =. 又1(1)0,()0e f f ''''−>>,故极小值为1(1)1ef −=−,2e 1()e ef −=. 16、(本题满分10分)已知(,)f u v 具有二阶连续偏导数,且(,)(,)g x y xy f x y x y =−+−,求22222g g gx x y y ∂∂∂++∂∂∂∂.【答案】112213.f f ''''−−【解析】依题意知,12(,)(,)gy f x y x y f x y x y x∂''=−+−−+−∂, 12(,)(,)gx f x y x y f x y x y y∂''=−+−++−∂. 因为(,)f u v 具有二阶连续偏导数,故1221f f ''''=,因此,2111221221112222()()2gf f f f f f f x ∂''''''''''''''=−+−+=−−−∂, 21112212211221()()1gf f f f f f x y∂''''''''''''=−−−−=−+∂∂, 2111221221112222()()2gf f f f f f f y∂''''''''''''''=−−+−=−+−∂. 所以,22211222213.g g gf f x x y y∂∂∂''''++=−−∂∂∂∂17、(本题满分10分)已知()y x 满足微分方程22ex y xy '−=,且满足(1)y =(1)求()y x ;(2)若{}(,)12,0()D x y x y y x =,求区域D 绕x 轴旋转所得旋转体的体积.【答案】(1)22()e x y x =. (2)【解析】(1)22d d 22()e e e e (x xx x x x y x C C −−−⎛⎫⎰⎰=+⋅=+ ⎪ ⎪⎝⎭⎰因为(1)y =0C =,所以22()e .x y x =(2)由旋转体体积公式,222224211ππe )d πe d (e e).2x x V x x x ===−⎰⎰18、(本题满分10分)求曲线()esin 0xy x x −=与x 轴之间图形的面积.解:设在区间[π,(1)π]n n +(0,1,2,)n =上所围的面积记为n u ,则(1)π(1)πππe |sin |d (1)e sin d n n xnx n n n u x x x x ++−−==−⎰⎰;记esin d xI x x −=⎰,则e d cos (e cos cos de )x x x I x x x −−−=−=−−⎰⎰ ecos e dsin e cos (e sin sin de )xx x x x x x x x x −−−−−=−−=−−−⎰⎰e (cos sin )x x x I −=−+−,所以1e (cos sin )2xI x x C −=−++;因此(1)π(1)πππ11(1)()e (cos sin )(e e )22n nxn n n n u x x +−−+−=−−+=+;(这里需要注意cos π(1)nn =−)因此所求面积为ππππ111e 11e 221e 2e 1n n n n u −∞∞−−===+=+=+−−∑∑. 19、(本题满分10分)设()10,1,2n a x x n ==⋅⋅⋅⎰(1)证明数列{}n a 单调递减;且()212,32n n n a a n n −−==⋅⋅⋅+(2)求1lim−∞→n nn a a .(1)证明:110(0n n n a a x x +−=−<⎰,所以{}n a 单调递减.1333111212212220011(1)[(1)(1)]33n n n n a x d x x x x dx −−−=−−=−−−−⎰⎰1220110021(131()31(),3n n n n n x x x n x x x x n a a −−−−=−−=−−=−⎰⎰⎰从而有()212,32n n n a a n n −−==⋅⋅⋅+; (2)因为211n n n n n na a a a a a −−<<=,而21lim lim12n n n n a n a n →∞→∞−−==+,由夹逼准则知 1lim1nn n a a →∞−=.20、(本题满分11分)已知向量组I :()()()21231,1,4,1,0,4,1,2,3TT Ta ===+αααII :()()()21231,1,3,0,2,1,1,3,3TTTa a a =+=−=+βββ若向量组I 与II 等价,求a 的取值,并将3β用123,,ααα线性表示.【答案】1a ≠−;1a =时,3123(3)(2)k k k =−+−++βααα(k 为任意常数);当1a ≠±时,3123=−+βααα.【解析】令123(,,)=A ααα,123(,,)=B βββ,所以,21a =−A ,22(1)a =−B .因向量组I 与II 等价,故()()(,)r r r ==A B A B ,对矩阵(,)A B 作初等行变换.因为2222111101111101(,)102123011022.443313001111a a a a a a a a ⎛⎫⎛⎫ ⎪ ⎪=→− ⎪ ⎪ ⎪ ⎪++−+−−−−⎝⎭⎝⎭A B 当1a =时,()()(,)2r r r ===A B A B ;当1a =−时,()()2r r ==A B ,但(,)3r =A B ;当1a ≠±时,()()(,)3r r r ===A B A B . 综上,只需1a ≠−即可. 因为对列向量组构成的矩阵作初等行变换,不改变线性关系.①当1a =时,12331023(,,,)01120000⎛⎫⎪→−− ⎪ ⎪⎝⎭αααβ,故3112233x x x =++βααα的等价方程组为132332,2.x x x x =−⎧⎨=−+⎩故3123(3)(2)k k k =−+−++βααα(k 为任意常数);②当1a ≠±时,12331001(,,,)01010011⎛⎫⎪→− ⎪ ⎪⎝⎭αααβ,所以3123=−+βααα.21、(本题满分11分)已知矩阵22122002A x −−⎛⎫ ⎪=− ⎪⎪−⎝⎭与21001000B y ⎛⎫⎪=− ⎪ ⎪⎝⎭相似.(1)求x ,y ;(2)求可逆矩阵P 使得1P AP B −=.解:(1)相似矩阵有相同的特征值,因此有2221,,x y −+−=−+⎧⎪⎨=⎪⎩A B 又2(42)x =−−A ,2y =−B ,所以3,2x y ==−.(2)易知B 的特征值为2,1,2−−;因此2102001000r⎛⎫⎪−⎯⎯→ ⎪ ⎪⎝⎭A E ,取T 1(1,2,0)ξ=−,120001000r⎛⎫ ⎪⎯⎯→ ⎪ ⎪⎝⎭A+E ,取T 2(2,1,0)ξ=−,4012021000r⎛⎫ ⎪⎯⎯→− ⎪ ⎪⎝⎭A+E ,取T3(1,2,4)ξ=−令1123(,,)P ξξξ=,则有111200010002P AP −⎛⎫⎪=− ⎪ ⎪−⎝⎭;同理可得,对于矩阵B ,有矩阵2110030001P −⎛⎫ ⎪= ⎪ ⎪⎝⎭,122200010002P BP −⎛⎫ ⎪=− ⎪ ⎪−⎝⎭,所以111122P AP P BP −−=,即112112B P P APP −−=,所以112111212004P PP −−−−⎛⎫⎪== ⎪ ⎪⎝⎭. 22、(本题满分11分)设随机变量X 与Y 相互独立,X 服从参数为1的指数分布,Y 的概率分布为(1)P Y p =−=,(1)1P Y p ==−,(01p <<),令Z XY =.(1)求Z 的概率密度;(2)p 为何值时,X 与Z 不相关;(3)X 与Z 是否相互独立?【答案】(1)e ,0,()(1)e ,0.z Z zp z f z p z −⎧<=⎨−⎩(2)12p =;(3)不独立.【解析】(1)Z 的分布函数为()()(1,)(1,)Z F z P XY z P Y X z P Y X z ===−−+=,因为X 与Y 相互独立,且X 的分布函数为1e ,0,()0,0.x X x F x x −⎧−>=⎨⎩因此,e ,0,()[1()](1)()(1)(1e ),0.z Z X X zp z F z p F z p F z p z −⎧<=−−+−=⎨−−⎩所以,Z 的概率密度为e ,0,()()(1)e ,0.z Z Z zp z f z F z p z −⎧<'==⎨−⎩(2)当22(,)()0Cov X Z EXZ EX EZ EX EY EX EY DX EY =−⋅=⋅−⋅=⋅=时,X 与Z 不相关. 因为1DX =,12EY p =−,故1.2p = (3)不独立. 因为(01,1)(01,1)(01)P X Z P X XY P X ==,而1(1)(1)(1)(1e )1Z P Z F p −==−−≠,故(01,1)(01)(1)P X Z P X P Z ≠⋅, 所以X 与Z 不独立. 23、(本题满分11分)设总体X 的概率密度为22()22e ,,(;)0,,x A x f x x μσμσσμ−−⎧⎪=⎨⎪<⎩μ是已知参数,0σ>是未知参数,A 是常数. 12,,,n X X X 是来自总体X 简单随机样本.(1)求A ;(2)求2σ的最大似然估计量. 【解答】(1)由密度函数的规范性可知()d 1f x x +∞−∞=⎰,即222222()2220ed ed d 12x t t AAx t t μσσσμσσ−−−−+∞+∞+∞−∞====⎰⎰⎰,得A =(2)设似然函数22()22211()(;)i x nni i i L f x μσσσ−−====∏,取对数22221()1ln ()ln ]22ni n x L μσσσ=−=−∑; 求导数2221224241()()d ln ()1[]d 2222nin i i i x x L nμμσσσσσσ==−−=−+=−+∑∑,令导数为零解得2211()ni i x n σμ==−∑,故2σ的最大似然估计量为2211()ni i X n σμ==−∑.。
2019年全国硕士研究生入学统一考试(数学三)试题及答案一、选择题:1~8小题,每小题4分,共32分。
下列每题给出的四个选项中,只有一个选项是符合题目要求的。
1.当0→x 时,若tan x x -与k x 是同阶无穷小,则k =( ) (A )1(B )2 (C )3 (D )42.已知方程550x x k -+=有3个不同的实根,则k 的取值范围是( ) (A ))4,(--∞(B )),4(+∞(C ))4,4(-(D )),44(-3.已知微分方程xce by y a y =+'+''的通解为x e e x C C y x++=-)(21,则a ,b ,c 依次为( )(A )1, 0, 1(B )1, 0, 2(C )2, 1, 3(D )2, 1, 44.若∑∞=1n n un 绝对收敛,1nn v n ∞=∑条件收敛,则( ) (A )∑∞=1n nn vu 绝对收敛(B )∑∞=1n nn vu 绝对收敛(C )∑∞=1n nn vu 收敛 (D )∑∞=1n nn vu 发散5.设A 是4阶矩阵,A*为A 的伴随矩阵,若线性方程组Ax=0的基础解系中只有2个向量,则=)(*A r ( ) (A )0(B )1(C )2(D )36.设A 是3阶实对称矩阵,E 是3阶单位矩阵,若E A A 22=+,且4=A ,则二次型Axx T的规范形为( ) (A )222123y y y ++ (B )232221y y y -+ (C )232221y y y --(D )232221y y y ---7.设A ,B 为随机事件,则P(A)=P(B)的充分必要条件是( ) (A )()()()P A B P A P B =+U (B ))()()(B P A P AB P = (C ))()(A B P B A P =(D ))()(AB P AB P =8.设随机变量X 和Y 相互独立,且都服从正态分布),(2σμN ,则=}1-P{<Y X ( ) (A )与μ无关,与σ2有关(B )与μ有关,与σ2无关(C )与μ、σ2都有关(D )与μ、σ2都无关二、填空题:9~14小题,每小题4分,共24分。
2019年考研数学三真题解析一、选择题 1—8小题.每小题4分,共32分.1.当0x →时,若tan x x -与k x 是同阶无穷小,则k =( )(A )1 (B )2 (C )3 (D )4【答案】(C )【详解】当0x →时,331tan ()3x x x o x =++,所以331tan ()3x x x o x -=-+,所以3k =. 2.已知方程550x x k -+=有三个不同的实根,则k 的取值范围是( )(A )(,4)-∞- (B )(4,)+∞ (C )(4,0)- (D )(4,4)-【答案】(D ) 【详解】设5()5f x x x k =-+,则42(),(),()555(1)(1)(1),f f f x x x x x '-∞=-∞+∞=+∞=-=++-令()0f x '=得121,1x x =-=且(1)20,(1)20f f ''''-=-=,也就是函数在11x =-处取得极大值(1)4f k -=+,在21x =处取得极小值(1)4f k =-;由于方程有三个不同实根,必须满足(1)40(1)20f k f k -=+>⎧⎨=-<⎩,也就得到(4,4)k ∈-.3.已知微分方程xy ay by ce '''++=的通解为12()x x y C C x e e -=++,则,,a b c 依次为( )(A )1,0,1 (B )1,0,2 (C )2,1,3 (D )2,1,4 【答案】(D )【详解】(1)由非齐次线性方程的通解可看出121r r ==-是特征方程20r ar b ++=的实根,从而确定2,1a b ==;(2)显然,*xy e =是非齐次方程的特解,代入原方程确定4c =. 4.若级数1n n nu ∞=∑绝对收敛,1nn v n∞=∑条件收敛,则( ) (A )1n nn u v∞=∑条件收敛 (B )1n nn u v∞=∑绝对收敛 (C )1n nn u v∞=∑收敛 (D )1n nn u v∞=∑发散(注:题目来自网上,我感觉选项(C )应该有误差,否则(A ),(B )选项显然没有(C )选项优越,若(A ),(B )中有一个正确,则(C )一定正确.题目就不科学了. 【答案】(B ) 【详解】由于1n n v n ∞=∑条件收敛,则lim 0nn v n →∞=,也就是有界; 从而,nn n n n v u v nu M nu n =⋅≤,由正项级数的比较审敛法,1n n n u v ∞=∑绝对收敛.5.设A 是四阶矩阵,*A 为其伴随矩阵,若线性方程组0Ax =基础解系中只有两个向量,则(*)r A =( )(A )0 (B )1 (C )2 (D )3【答案】(A )【详解】线性方程组0Ax =基础解系中只有两个向量,也就是4()2()213r A r A n -=⇒=<-=, 所以(*)0r A =.6.设A 是三阶实对称矩阵,E 是三阶单位矩阵,若22A A E +=,且4A =,则二次型T x Ax 的规范形是 ( )(A )222123y y y ++ (B )222123y y y +- (C )222123y y y -- (D )222123y y y ---【答案】(C )【详解】假设λ是矩阵A 的特征值,由条件22A A E +=可得220λλ+-=,也就是矩阵A 特征值只可能是1和2-.而1234A λλλ==,所以三个特征值只能是1231,2λλλ===-,根据惯性定理,二次型的规范型为222123y y y --.7. 设,A B 为随机事件,则()()P A P B =的充分必要条件是 ( )(A )()()()P A B P A P B =+U (B ) ()()()P AB P A P B = (C )()()P AB P B A = (D )()()P AB P AB =【答案】(C )【详解】选项(A )是,A B 互不相容;选项(B )是,A B 独立,都不能得到()()P A P B =; 对于选项(C ),显然,由()()(),()()()P AB P A P AB P B A P B P AB =-=-,()()()()()()()()P AB P B A P A P AB P B P AB P A P B =⇔-=-⇔=8.设随机变量X 与Y 相互独立,且均服从正态分布2(,)N μσ.则{1}P X Y -<( )(A )与μ无关,而与2σ有关 (B )与μ有关,而与2σ无关 (C )与μ,2σ都有关 (D )与μ,2σ都无关【答案】(A )【详解】由于随机变量X 与Y 相互独立,且均服从正态分布2(,)N μσ,则2~(0,2)X Y N σ-,从而{1}{11}21P X Y P X Y P -<=-≤-<=≤≤=Φ-只与2σ有关.二、填空题(本题共6小题,每小题4分,满分24分. 把答案填在题中横线上)9.111lim 1223(1)nn n n →∞⎛⎫+++= ⎪⨯⨯⨯+⎝⎭L . 【答案】1e -解: 11111lim lim 11223(1)1nnn n n n n e →∞→∞⎛⎫⎛⎫+++=-= ⎪ ⎪⨯⨯⨯++⎝⎭⎝⎭L10.曲线3sin 2cos ()22y x x x x ππ=+-<<的拐点坐标是( ) 【答案】(,2)π-【详解】sin 2cos y x x x =+,cos sin y x x x '=-,sin y x x ''=-,sin cos y x x x '''=--; 令sin 0y x x ''=-=得120,x x π==,且()0f π'''≠,所以(,2)π-是曲线的拐点; 而对于点(0,0),由于(0)0f '''=,而(4)(0)0f ≠,所以不是曲线的拐点.11.已知函数1()f x =⎰,则120()x f x dx =⎰ .【答案】118-. 【详解】(1)用定积分的分部积分:111233140000011111()()()|(1)3331218x f x dx f x dx x f x x x -==-=-+=⎰⎰⎰⎰ (2)转换为二重积分:1112221001()3tx f x dx x dx x dx t ==-=-=⎰⎰⎰⎰⎰⎰12.以,A B P P 分别表示,A B 两个商品的价格.设商品A 的需求函数225002A A A B B Q P P P P =--+,则当10,20A B P P ==时,商品A 的需求量对自身价格弹性(0)AA AA ηη>= .【答案】0.4【详解】225002A A A B B Q P P P P =--+,当10,20A B P P ==时,1000A Q =则边际需求2AA B AQ P P P ∂=--∂, 商品A 的需求量对自身价格弹性为10400.41000A A A AA A A A EQ P Q EP Q P η∂==⋅=⨯=∂.13.已知矩阵2101111,011A a -⎛⎫ ⎪=- ⎪ ⎪-⎝⎭01b a ⎛⎫⎪= ⎪ ⎪⎝⎭.若线性方程组Ax b =有无穷多解,则a = . 【答案】1.【详解】对线性方程组的增广矩阵进行初等行变换:222101010101010(,)1111010101010110110011A b a a a a a a ---⎛⎫⎛⎫⎛⎫ ⎪ ⎪ ⎪=-→→ ⎪ ⎪ ⎪ ⎪ ⎪ ⎪----⎝⎭⎝⎭⎝⎭显然,当且仅当1a =时,()(,)23r A r A b ==<线性方程组Ax b =有无穷多解.14.设随机变量X 的概率密度为,02()20,xx f x ⎧<<⎪=⎨⎪⎩其他,()F x 为其分布函数,()E X 其数学期望,则{()()1}P F X E X >-= .【答案】2.3【详解】20,01(){},0241,2x F x P X x x x x <⎧⎪⎪=≤=≤<⎨⎪≥⎪⎩,2204()23x E X dx ==⎰.12{()()1}{()}{133P F X E X P F X P X >-=>=>=-=.三、解答题15.(本题满分10分)已知函数2,0()1,0xx xx f x xe x ⎧>⎪=⎨+≤⎪⎩,求()f x ',并求函数()f x 的极值.【详解】当0x >时,22ln ()xx x f x xe ==,2()2(ln 1)xf x x x '=+;当0x <时,()1xf x xe =+,()(1)xf x x e '=+;在0x =处,22000()(0)12(ln 1)(0)limlim lim 1x x x x x f x f x x x f x x ++++→→→---'====-∞,所以()f x 在0x =处不可导.综合上述:22(ln 1),0()(1),0x xx x x f x x e x ⎧+>⎪'=⎨+<⎪⎩; 令()0f x '=得到1211,x x e=-=.当1x <-时,()0f x '<,当10x -<<时,()0f x '>,当10x e <<时,()0f x '<,当1x e>时,()0f x '>; 故11x =-是函数的极小值点,极小值为1(1)1f e --=-;0x =是函数的极大值点,极大值为(0)1f =;21x e=是函数的极小值点,极小值为21()e f e e -=.16.(本题满分10)设函数(,)f u v 具有二阶连续的偏导数,函数(,)z xy f x y x y =-+-,求22222z z zx x y y∂∂∂++∂∂∂∂. 【详解】12(,)(,)zy f x y x y f x y x y x∂''=-+--+-∂,12(,)(,)z x f x y x y f x y x y y ∂''=-+-++-∂21112212211122222zf f f f f f f x∂''''''''''''''=----=---∂,211221z f f x y ∂''''=-+∂∂,211122222z f f f y ∂''''''=-+-∂; 22211222213z z zf f x x y y∂∂∂''''++=--∂∂∂∂. 17.(本题满分10分)设函数()y x 是微分方程22x y xy e '-=满足条件(1)y =(1)求()y x 的表达式;(2)设平面区域{(,)|12,0()}D x y x y y x =≤≤≤≤,求D 绕x 轴旋转一周所形成的旋转体的体积. 【详解】(1)这是一个一阶线性非齐次微分方程.先求解对应的线性齐次方程0y xy '-=的通解:22x y Ce =,其中C 为任意常数; 再用常数变易法求22x y xy e'-=通解,设22()x y C x e=为其解,代入方程,得2222(),()x x C x e e C x ''==,1()C x C ==,也就是通解为:221)x y C e =把初始条件(1)y =10C =,从而得到22().x y x xe =(2)旋转体的体积为2222411()()2x x V y x dx xe dx e e πππ===-⎰⎰.18.(本题满分10分)求曲线sin (0)xy e x x -=≥与x 轴之间形成图形的面积.【详解】先求曲线与x 轴的交点:令sin 0xex -=得,0,1,2,x k k π==L当2(21)k x k ππ<<+时,sin 0xy e x -=>;当2(22)k x k πππ+<<+时,sin 0x y e x -=<.由不定积分1sin (sin cos )2x xe xdx e x x C --=-++⎰可得 2221sin (1)2k x k k e xdx e e πππππ+---=+⎰,22221sin (1)2k x k k e xdx e e πππππππ+----+=-+⎰所求面积为22202200220022220sin sin sin 11(1)(1)2211111(1)(1)22121k k xxx k k k k k k k k k k S exdx e xdx e xdxe e e e e e e e e e ππππππππππππππππππ∞∞+∞++---+==∞∞-----==-∞-----===-=++++=+=+=--∑∑⎰⎰⎰∑∑∑19.(本题满分10分)设1(0,1,2,)n a x n ==⎰L(1)证明:数列{}n a 单调减少,且21(2,3,)2n n n a a n n --==+L ;(2)求极限1lim n n n a a →∞-. 【详解】(1)证明:1n a x =⎰,110(0,1,2,)n n a x n ++==⎰L当(0,1)x ∈时,显然有1n n x x +<,1110(0n n n n a a x x ++-=-<⎰,所以数列{}n a 单调减少;先设220sin cos ,0,1,2,nn n I xdx dx n ππ===⎰⎰L则当2n ≥时,12222202sin sin cos (1)sin cos (1)()nn n n n n I xdx xd x n x xdxn I I πππ---==-=-=--⎰⎰⎰也就是得到22,0,1,1n n n I I n n ++==+L 令sin ,[0,]2x t t π=∈,则122222201sin cos sin sin 2nnn n n n n a xt tdt dt tdt I I I n πππ++===-=-=+⎰⎰⎰⎰ 同理,2211n n n n a I I I n --=-=-综合上述,可知对任意的正整数n ,均有212n n a n a n --=+,即21(2,3,)2n n n a a n n --==+L ; (2)由(1)的结论数列{}n a 单调减少,且21(2,3,)2n n n a a n n --==+L2111111222n n n n n a n n n a a a n n a n ------=>⇒>>+++ 令n →∞,由夹逼准则,可知1lim 1nn n a a →∞-=.20.(本题满分11分)已知向量组Ⅰ:12321111,0,2443a ααα⎛⎫⎛⎫⎛⎫⎪ ⎪ ⎪=== ⎪ ⎪ ⎪ ⎪ ⎪ ⎪+⎝⎭⎝⎭⎝⎭;向量组Ⅱ:12321011,2,3313a a a βββ⎛⎫⎛⎫⎛⎫ ⎪ ⎪ ⎪=== ⎪ ⎪ ⎪ ⎪ ⎪ ⎪+-+⎝⎭⎝⎭⎝⎭.若向量组Ⅰ和向量组Ⅱ等价,求常数a 的值,并将3β用123,,ααα线性表示.【详解】向量组Ⅰ和向量组Ⅱ等价的充分必要条件是123123123123(,,)(,,)(,,;,,)r r r αααβββαααβββ==1231232222111101111101(,,;,,)102123011022443313001111a a a a a a a a αααβββ⎛⎫⎛⎫ ⎪ ⎪=→- ⎪ ⎪ ⎪ ⎪++-+----⎝⎭⎝⎭(1)当1a =时,显然, 123123123123(,,)(,,)(,,;,,)2r r r αααβββαααβββ===,两个向量组等价.此时,123311111023(,,;)0112011200000000αααβ⎛⎫⎛⎫ ⎪ ⎪→-→-- ⎪ ⎪ ⎪ ⎪⎝⎭⎝⎭, 方程组112233x x x αααβ++=的通解为123231210x x x k x -⎛⎫⎛⎫⎛⎫⎪ ⎪ ⎪==+- ⎪ ⎪ ⎪ ⎪ ⎪ ⎪⎝⎭⎝⎭⎝⎭,也就是3123(23)(2)k k k βααα=-++-+,其中k 为任意常数;(2)当1a ≠时,继续进行初等行变换如下:12312322111101111101(,,;,,)011022011022001111001111a a a a a a αααβββ⎛⎫⎛⎫ ⎪ ⎪→-→- ⎪ ⎪ ⎪ ⎪----+-+⎝⎭⎝⎭显然,当1a ≠-且1a ≠时,123123123(,,)(,,;,,)3r r ααααααβββ==,同时()123101101101,,02202201111101001a a a βββ⎛⎫⎛⎫⎛⎫ ⎪ ⎪ ⎪→→→ ⎪ ⎪ ⎪ ⎪ ⎪ ⎪-+-+⎝⎭⎝⎭⎝⎭,123(,,)3r βββ=,也就是 123123123123(,,)(,,)(,,;,,)2r r r αααβββαααβββ===,两个向量组等价.这时,3β可由123,,ααα线性表示,表示法唯一:3123βααα=-+.21.(本题满分11分)已知矩阵22122002A x -⎛⎫ ⎪=- ⎪ ⎪-⎝⎭与21001000B y ⎛⎫⎪=- ⎪ ⎪⎝⎭相似.(1)求,x y 之值;(2)求可逆矩阵P ,使得1P AP B -=.【详解】(1)由矩阵相似的必要条件可知:A BtrA trB ⎧=⎪⎨=⎪⎩,即2(24)241x y x y --+=-⎧⎨-+=+⎩,解得32x y =⎧⎨=-⎩.(2)解方程组221232(2)(2)(1)0002E A λλλλλλλ+--=--=+-+=+得矩阵A 的三个特征值1232,1,2λλλ==-=-;分别求解线性方程组()0(1,2,3)i E A x i λ-==得到分属三个特征值1232,1,2λλλ==-=-的线性无关的特征向量为:1231112,1,2004ξξξ-⎛⎫⎛⎫⎛⎫⎪ ⎪ ⎪=-=-= ⎪ ⎪ ⎪ ⎪ ⎪ ⎪⎝⎭⎝⎭⎝⎭.令()1123111,,212004P ξξξ-⎛⎫ ⎪==-- ⎪ ⎪⎝⎭,则1P 可逆,且11212P AP -⎛⎫ ⎪=- ⎪ ⎪-⎝⎭; 同样的方法,可求得属于矩阵B 的三个特征值1232,1,2λλλ==-=-的线性无关的特征向量为:1231100,3,00014ηηη-⎛⎫⎛⎫⎛⎫⎪ ⎪ ⎪=== ⎪ ⎪ ⎪ ⎪ ⎪ ⎪⎝⎭⎝⎭⎝⎭.令()2123110,,030001P ηηη-⎛⎫ ⎪== ⎪ ⎪⎝⎭,则2P 可逆,且12212P BP -⎛⎫⎪=- ⎪ ⎪-⎝⎭;由前面111122P AP P BP --=,可知令112111212004P PP --⎛⎫ ⎪==-- ⎪⎪⎝⎭,就满足1P AP B -=. 22.(本题满分11分)设随机变量,X Y 相互独立,X 服从参数为1的指数分布,Y 的概率分布为:{1}P Y p =-=,{1}1P Y p ==-,(01)p <<.令Z XY =.(1)求Z 的概率密度;(2)p 为何值时,,X Z 不相关;(3)此时,,X Z 是否相互独立.【详解】(1)显然X 的概率密度函数为,0()0,0x X e x f x x -⎧>=⎨≤⎩.先求Z XY =的分布函数:(){}{}{,1}{,1}(1){}{}1()(1())Z X X F z P Z z P XY z P X z Y P X z Y p P X z pP X z F z p F z =≤=≤=≤=+≥-=-=-≤+≥-=-+--()再求Z XY =的概率密度:,0()(())()(1)()0,0(1),0z Z Z X X z pe z f z F z pf z p f z z p e z -⎧<⎪'==-+-==⎨⎪->⎩(2)显然()1,()1;()12E X D X E Y p ===-;由于随机变量,X Y 相互独立,所以()()()()12E Z E XY E X E Y p ===-;22()()()()24E XZ E X Y E X E Y p ===-;(,)()()()12COV X Z E XZ E X E Z p =-=-;要使,X Z 不相关,必须(,)()()()120COV X Z E XZ E X E Z p =-=-=,也就是0.5p =时,X Z 不相关; (3),X Z 显然不相互独立,理由如下:设事件{1}A X =>,事件{1}B Z =<,则11(){1}x P A P X e dx e +∞--=>==⎰;11(){1}{1,1}{1,1}12P B P Z P X Y P X Y e -=<=>-=-+<==-;11(){1,1}{1,1}(1,}{1}{1}P AB P X Z P X XY P X Y P X P Y pe x -=><=><=><=>⋅=-=,当0.5p =时,显然()()()P AB P A P B ≠,也就是,X Z 显然不相互独立.23.(本题满分11分)设总体X 的概率密度为22()2,()0,x A e x f x x μσμσμ--⎧⎪≥=⎨⎪<⎩,其中μ是已知参数,σ是未知参数,A 是常数,12,,,n X X X L 是来自总体X 的简单随机样本. (1)求常数A 的值;(2)求2σ的最大似然估计量.【详解】(1)由()1f x dx +∞-∞=⎰可知222()201x Aedx ed μσμσ---+∞+∞===⎰⎰所以A =似然函数为212()22121,(,,;)(,)0,ni i X n n i n i n i A ex L X X X f x μσμσσσ=--=⎧∑⎪⎪≥==⎨⎪⎪⎩∏L 其他, 取对数,得22212211ln (,,,;)ln ln()()22nn ii n L X X X n A Xσσμσ==---∑L解方程221222221ln (,,,;)11()0()22()nn ii d L X X X n Xd σμσσσ==-+-=∑L ,得未知参数2σ的最大似然估计量为¶2211()n i i X n σμ==-∑.。
2019全国研究生考试数学三真题及参考答案解析一、选择题1.()为同阶无穷小,则与时,若当=-→k xx x x ktan 0 A.0 B.1 C.2 D.3 2.的取值范围为()个不同的实根,则有已知k k x x 3055=+- A.()4-∞-, B.()∞+,4 C.]44[,- D.),(44- 3.c ,b ,a ,x C C y ce by y a y x -x x 则的通解为已知e )e (21++==+'+''的值为( )A.1,0,1B.1,0,2C.2,1,3D.2,1,44.的是()条件收敛,则下列正确绝对收敛,已知∑∑∞=∞=11n nn n nv nu A.条件收敛nn n v u ∑∞=1 B.绝对收敛∑∞=1n nn v uC.)收敛(nn nv u +∑∞=1D.)发散(nn nv u +∑∞=15个的基础解析有的伴随矩阵,且为阶矩阵,为已知204*=Ax A A A 线性无关的解,则) ()(=*A r A.0 B.1 C.2 D.36.设A 是3阶实对称矩阵,E 是3阶单位矩阵.若E A A 22=+,且4=A ,则二次型Ax x T 的规范形为A.232221y y y ++.B.232221y y y -+.C.232221y y y --.D.232221y y y ---.7.设B A ,为随机事件,则)()(B P A P =的充分必要条件是A.).()()(B P A P B A P +=YB.).()()(B P A P AB P =C.).()(A B P B A P =D.).()(B A P AB P =8.设随机变量X 与Y 相互独立,且都服从正态分布),(2σμN ,则{}1<-Y X P A.与μ无关,而与2σ有关. B.与μ有关,而与2σ无关. C.与2,σμ都有关. D.与2,σμ都无关.二.填空题,9~14小题,每小题4分,共24分.9.()=⎪⎪⎭⎫⎝⎛+++⨯+⨯∞→nn n n 11321211lim Λ 10. 曲线⎪⎭⎫⎝⎛-+=232cos 2sin ππ<<x x x y 的拐点坐标为 11. 已知()t t x f xd 114⎰+=,则()=⎰x x f x d 10212. A, B 两种商品的价格为A p ,B p ,A 商品的价格需求函数为222500B B A A p p p p +--,则当A p =10,B p =20时,A 商品的价格需求弹性AA η(0>AA η)=13. 设⎪⎪⎪⎭⎫ ⎝⎛---=1101111012a A ,⎪⎪⎪⎭⎫⎝⎛=a b 10,若b Ax =有无穷多解,则a= 14 设随机变量X 的概率密度为⎪⎩⎪⎨⎧<<=,其他,020,2)(x xx f )(x F 为X 的分布函数,X E 为X 的数学期望,则{}=->1X X F P E )( . 三、解答题15.已知函数⎩⎨⎧≤+>=010)(2x xe x x x f x x ,求的极值并求)(f )('f x x16.设)(v u f ,具有连续的2阶偏导数,求),,(),(y x y x f xy y x g -+-=22222y gy x g x g ∂∂+∂∂∂+∂∂ 17.)(x y 显微分方程2221'x e xxy y =-满足条件e y =)1(的特解.(1)求)(x y(2)区域D {})(0,21,x y y x y x ≤≤≤≤)(,D 绕轴旋转的旋转体的体积 18.求曲线)0(sin >=-x x e y x与x 轴之间图形的面积。
19.设dx x x a n n ⎰-=121,n=(0,1,2…)(1)证明数列{}n a 单调减少,且221-+-=n n a n n a (n=2,3…) (2)求1lim-∞→n nn a a .20.设向量组Ⅰ.,)3,1,1(,)3,2,1(,)4,0,1(,)4,1,1(42321TT T T a a +=+===αααα Ⅱ..)3,3,1(,)1,2,0(,)3,1,1(2321TT T a a a +=-=+=βββ若向量组Ⅰ与向量组Ⅱ等价,求a ,并将3β用321,,ααα表示21.已知矩阵相似与⎪⎪⎪⎭⎫ ⎝⎛-⎪⎪⎪⎭⎫ ⎝⎛----=y B x A 0001001220022122 (1)求y x ,,(2)求可逆矩阵,P 使得B AP P =-122.已知随机变量YX ,相互独立,X 服从参数为1的指数分布10,111~<<⎪⎪⎭⎫⎝⎛--p p p Y ,令XY Z =.x(1)Z 的概率密度 (2)不相关;,为何值,Z X p (3).Z ,X 是否独立23.设随机变量X 的概率密度为⎪⎩⎪⎨⎧<≥=-- ,0,),(222)(2μμσσσμx x e A x f xμ为已知参数,2σ为未知参数,A 常数,的简单随机样本为取自总体,,,X X X X n Λ21.(1)求A ;(2)求2σ的最大似然估计量2019年全国硕士研究生入学统一考试数学试题解析(数学三)1.D2.D3.D4.B5.A6.C7.C8.A9.1-e 10.)2,(-π 11.)221(181- 12.0.4 13.1 14.32 15. 解:当0x >时,()()()()()22ln 2ln 22ln 2=2ln 2x x x x x x f x xe e x x x '''===++. 当0x <时,()()()e 1e e 1e x x x xf x x x x ''=+=+=+.当=0x 时,()01f =,()22ln 000112ln 0lim lim lim x x x x x x x e x xf x x x++++→→→--'====-∞,()00110lim lim 1x xx x xe f e x---→→+-'===. 故()()()22ln 2 0=1e 0x xx x x f x x x ⎧+>⎪'⎨+<⎪⎩. 令()=0f x ',得112,1x e x -==-.(1)当()()()10,,0,x e f x f x -'∈<单调递减, 当()()()1,0,x e f x f x -'∈∞>,+单调递增,故()211=ef ee -⎛⎫ ⎪⎝⎭为极小值. (2)当()()()0,0,x f x f x '∈>-1,单调递增, 当()()()10,,0,x e f x f x -'∈<单调递减, 故()0=1f 为极大值.(3)当()()(),1,0,x f x f x '∈-∞-<单调递减, 当()()()0,0,x f x f x '∈>-1,单调递增, 故()11=1f e ---+为极小值.16. 解:),(),(y x y x f xy y x g -+-=)(),(v u v u f f x ygf f y xg '-'-=∂∂'+'-=∂∂ vv uv uu vv uv uv uuf f f f f f f xg''-''-''-=''+''+''+''-=∂∂2)(22 vv uu vv uv uv uuf f f f f f yx g''+''-=''-''+''-''-=∂∂∂1)(12 vv uv uu vv uv uv uuf f f f f f f yg''-''+''-=''+''-''-''-=∂∂2)(22 .3122222vv uuf f y gy x g x g ''-''-=∂∂+∂∂∂+∂∂17.18.19.20.解:()1231232222111101,,,,,10212344+331+3111101011022001111a a a a a a a a αααβββ⎡⎤⎢⎥=→⎢⎥⎢⎥+-⎣⎦⎡⎤⎢⎥-⎢⎥⎢⎥----⎣⎦(1)当210a -≠,即1a ≠±时,()()123123,,3,,,3r r αααβββ==,此时两个向量组必然等价,且3123=+βααα-.(2)当=1a 时,()123123111101,,,,,011022000000αααβββ⎡⎤⎢⎥→-⎢⎥⎢⎥⎣⎦此时两个向量组等价,()()3123=232+k k k βααα-++-.(3)当=1a -时,()123123111101,,,,,011022000220αααβββ⎡⎤⎢⎥→-⎢⎥⎢⎥-⎣⎦. 此时两个向量组不等价.21.(1)A 与B 相似,则()()tr A tr B =,A B =,即41482x y x y -=+⎧⎨-=-⎩,解得32x y =⎧⎨=-⎩(2)A 的特征值与对应的特征向量分别为1=2λ,11=20α⎛⎫ ⎪- ⎪ ⎪⎝⎭;2=1λ-,22=10α-⎛⎫ ⎪ ⎪ ⎪⎝⎭;3=2λ-,31=24α-⎛⎫⎪ ⎪⎪⎝⎭.所以存在()1123=P ααα,,,使得111212P AP -⎡⎤⎢⎥=Λ=-⎢⎥⎢⎥-⎣⎦. B 的特征值与对应的特征向量分别为1=2λ,11=00ξ⎛⎫ ⎪ ⎪⎪⎝⎭;2=1λ-,21=30ξ⎛⎫ ⎪- ⎪ ⎪⎝⎭;3=2λ-,30=01ξ⎛⎫⎪ ⎪ ⎪⎝⎭.所以存在()2123=P ξξξ,,,使得122212P AP -⎡⎤⎢⎥=Λ=-⎢⎥⎢⎥-⎣⎦. 所以112211=P AP P AP --=Λ,即1112112B P P APP P AP ---== 其中112111212004P PP --⎡⎤⎢⎥==--⎢⎥⎢⎥⎣⎦. 22.解:(1)Z 的分布函数(){}{}{}{}(){},1,11F z P XY z P XY z Y P XY z Y pP X z p P X z =≤=≤=-+≤==≥-+-≤承载梦想 启航为来 只为一次考上研 启航考研 从而当0z ≤时,()z F z pe =;当0z >时,()()()()1111z z F z p p e p e --=+--=--则Z 的概率密度为()(),01,0z z pe z f z p e z -⎧<⎪=⎨->⎪⎩. (2)由条件可得()()()()()()()()()22E XZ E X E Z E X E Y E X E Y D X E Y -=-=,又()()1,12D X E Y p ==-,从而当12p =时,(),0Cov X Z =,即,X Z 不相关. (3)由上知当12p ≠时,,X Z 相关,从而不独立;当12p =时,121111111111,,,,2222222222112P X Z P X XY P X X P X X F e -⎧⎫⎧⎫⎧⎫⎧⎫≤≤=≤≤=≤≥-+≤≤⎨⎬⎨⎬⎨⎬⎨⎬⎩⎭⎩⎭⎩⎭⎩⎭⎛⎫⎛⎫==- ⎪ ⎪⎝⎭⎝⎭而12112P X e -⎧⎫≤=-⎨⎬⎩⎭,121111112222222P Z P X P X e -⎛⎫⎧⎫⎧⎫⎧⎫≤=≤+≥-=-⎨⎬⎨⎬⎨⎬ ⎪⎩⎭⎩⎭⎩⎭⎝⎭,显然1111,2222P X Z P X P Z ⎧⎫⎧⎫⎧⎫≤≤≠≤≤⎨⎬⎨⎬⎨⎬⎩⎭⎩⎭⎩⎭,即,X Z 不独立. 从而,X Z 不独立. 23. 解:(1)由()2221x A e dx μσμσ--+∞=⎰t =2012t e dt +∞-==⎰,从而A =(2)构造似然函数()()22112212,,1,2,,,,,,0,n i i n x i n A e x i n L x x x μσμσσ=--⎧∑⎛⎫⎪≥= ⎪=⎨⎝⎭⎪⎩L L 其他,当时,取对数得()22211ln ln ln 22n i i n L n A x σμσ==---∑,求导并令其为零,可得()22241ln 1022n i i d L n x d μσσσ==-+-=∑,解得2σ的最大似然估计量为()211n i i x n μ=-∑. (答案仅供参考),1,2,,i x i n μ≥=L。