高一函数奇偶性练习及答案
- 格式:doc
- 大小:66.50 KB
- 文档页数:2
绝密★启用前1.判断下列函数的奇偶性:(1)f(x)=x 3-1x ; (2)f(x)=|2|2x +-; (3)f(x)=(x -(4)f(x). 【答案】(1)奇函数(2)奇函数(3)既不是奇函数也不是偶函数(4)既是奇函数也是偶函数解析:(1)定义域是(-∞,0)∪(0,+∞),关于原点对称,由f(-x)=-f(x),所以f(x)是奇函数.(2)去掉绝对值符号,根据定义判断.由210|2|20x x ⎧≥⎨≠⎩-,+-,得1104x x x ≤≤⎧⎨≠≠⎩-,且-. 故f(x)的定义域为[-1,0)∪(0,1],关于原点对称,且有x +2>0.从而有f(x)=22x x=+-, 这时有f(-x)=21(x x --)-=-f(x),故f(x)为奇函数. (3)因为f(x)定义域为[-1,1),所以f(x)既不是奇函数也不是偶函数.(4)因为f(x)定义域为{,所以f(x)=0,则f(x)既是奇函数也是偶函数2.下列函数是奇函数的是( )A .()||f x x =-B .()22x x f x -=+C .()lg(1)lg(1)f x x x =+--D .3()1f x x =-【答案】C 解析:对于B ,()22()x x f x f x --=+=,函数()f x 为偶函数,所以B 错;对于C ,由1010x x +>⎧⎨->⎩,故11x -<<,关于原点对称,又()lg(1)lg(1)()f x x x f x -=--+=-对于D ,33()()11()()f x x x f x f x -=--=--≠≠-,函数()f x 既不是奇函数,也不是偶函数,3.已知函数)(x f y =是奇函数,当0>x 时,,lg )(x x f =则( )C.2lgD.-2lg 【答案】D.解析:4.已知函数(1)f x +是奇函数,(1)f x -是偶函数,且(0)2,(4)则f f ==( )A .-2B .0C .2D .3【答案】A 解析:因为函数(1)f x +是奇函数,所以)(x f 的对称中心为(1,0),因为(1)f x -是偶函数,所以)(x f 的对称轴为x=-1。
...函数的奇偶性问题一、选择题1.已知函数f (x )=ax 2+bx +c (a ≠0)是偶函数,那么g (x )=ax 3+bx 2+cx () A .奇函数 B .偶函数 C .既奇又偶函数 D .非奇非偶函数 解析:f (x )=ax 2+bx +c 为偶函数,x x =)(ϕ为奇函数,∴g (x )=ax 3+bx 2+cx =f (x )·)(x ϕ满足奇函数的条件. 答案:A2.已知函数f (x )=ax 2+bx +3a +b 是偶函数,且其定义域为[a -1,2a ],则() A .31=a ,b =0 B .a =-1,b =0 C .a =1,b =0 D .a =3,b =0 解析:由f (x )=ax 2+bx +3a +b 为偶函数,得b =0.又定义域为[a -1,2a ],∴a -1=2a ,∴31=a .故选A .3.已知f (x )是定义在R 上的奇函数,当x ≥0时,f (x )=x 2-2x ,则f (x )在R 上的表达式是( )A .y =x (x -2)B .y =x (|x |-1)C .y =|x |(x -2)D .y =x (|x |-2) 解析:由x ≥0时,f (x )=x 2-2x ,f (x )为奇函数,∴当x <0时,f (x )=-f (-x )=-(x 2+2x )=-x 2-2x =x (-x -2). ∴(2)(0)()(2)(0),,x x x f x x x x ⎧⎨⎩-≥=--<即f (x )=x (|x |-2)答案:D4.已知f (x )=x 5+ax 3+bx -8,且f (-2)=10,那么f (2)等于( ) A .-26 B .-18 C .-10 D .10 解析:f (x )+8=x 5+ax 3+bx 为奇函数,f (-2)+8=18,∴f (2)+8=-18,∴f (2)=-26. 答案:A5.函数1111)(22+++-++=x xx x x f 是()A .偶函数B .奇函数C .非奇非偶函数D .既是奇函数又是偶函数 解析:此题直接证明较烦,可用等价形式f (-x )+f (x )=0. 答案:B 6.若)(x ϕ,g (x )都是奇函数,2)()(++=x bg a x f ϕ在(0,+∞)上有最大值5,则f (x )在(-∞,0)上有( )A .最小值-5B .最大值-5C .最小值-1D .最大值-3解析:)(x ϕ、g (x )为奇函数,∴()2()()f x a x bg x φ-=+为奇函数. 又f (x )在(0,+∞)上有最大值5, ∴f (x )-2有最大值3. ∴f (x )-2在(-∞,0)上有最小值-3, ∴f (x )在(-∞,0)上有最小值-1. 答案:C 二、填空题 7.函数2122)(xx x f ---=的奇偶性为____奇函数____(填奇函数或偶函数) .8.若y =(m -1)x 2+2mx +3是偶函数,则m =____0_____. 解析:因为函数y =(m -1)x 2+2mx +3为偶函数,∴f (-x )=f (x ),即(m -1)(-x )2+2m (-x )+3=(m —1)x 2+2mx +3,整理,得m =0.9.已知f (x )是偶函数,g (x )是奇函数,若11)()(-=+x x g x f ,则f (x )的解析式为____11)(2-=xx f ___.解析:由f (x )是偶函数,g (x )是奇函数,...可得11)()(--=-x x g x f ,联立11)()(-=+x x g x f ,∴11)1111(21)(2-=----=x x x x f . 10.已知函数f (x )为偶函数,且其图象与x 轴有四个交点,则方程f (x )=0的所有实根之和为___0 _____. 三、解答题11.设定义在[-2,2]上的偶函数f (x )在区间[0,2]上单调递减,若f (1-m )<f (m ),求实数m 的取值范围.(21<m ) 12.已知函数f (x )满足f (x +y )+f (x -y )=2f (x )·f (y )(x ∈R ,y ∈R ),且f (0)≠0,试证f (x )是偶函数.证明:令x =y =0,有f (0)+f (0)=2f (0)·f (0),又f (0)≠0,∴可证f (0)=1.令x =0,∴f (y )+f (-y )=2f (0)·f (y )⇒f (-y )=f (y ),故f (x )为偶函数.13.已知函数f (x )是奇函数,且当x >0时,f (x )=x 3+2x 2—1,求f (x )在R 上的表达式.解析:本题主要是培养学生理解概念的能力.f (x )=x 3+2x 2-1.因f (x )为奇函数,∴f (0)=0.当x <0时,-x >0,f (-x )=(-x )3+2(-x )2-1=-x 3+2x 2-1, ∴f (x )=x 3-2x 2+1.因此,.)0()0()0(12012)(,,2323<=>+--+=⎪⎩⎪⎨⎧x x x x x x x x f 点评:本题主要考查学生对奇函数概念的理解及应用能力.14.f (x )是定义在(-∞,-5]Y [5,+∞)上的奇函数,且f (x )在[5,+∞)上单调递减,试判断f (x )在(-∞,-5]上的单调性,并用定义给予证明. 解析:任取x 1<x 2≤-5,则-x 1>-x 2≥-5.因f (x )在[5,+∞]上单调递减,所以f (-x 1)<f (-x 2)⇒f (x 1)<-f (x 2)⇒f (x 1)>f (x 2),即单调减函数.点评:此题要注意灵活运用函数奇偶性和单调性,并及时转化.15.设函数y =f (x )(x ∈R 且x ≠0)对任意非零实数x 1、x 2满足f (x 1·x 2)=f (x 1)+f (x 2),求证f (x )是偶函数.解析:由x 1,x 2∈R 且不为0的任意性,令x 1=x 2=1代入可证, f (1)=2f (1),∴f (1)=0. 又令x 1=x 2=-1,∴f [-1×(-1)]=2f (1)=0, ∴(-1)=0.又令x 1=-1,x 2=x ,∴f (-x )=f (-1)+f (x )=0+f (x )=f (x ),即f (x )为偶函数. 点评:抽象函数要注意变量的赋值,特别要注意一些特殊值,如,x 1=x 2=1,x 1=x 2=-1或x 1=x 2=0等,然后再结合具体题目要求构造出适合结论特征的式子即可.。
高一数学函数奇偶性练习题及答案解析读书是一门人生的艺术,因为读书,人生才更精彩!数学函数奇偶性练习题及答案解析1.下列命题中,真命题是()A.函数y=1x是奇函数,且在定义域内为减函数B.函数y=x3(x-1)0是奇函数,且在定义域内为增函数C.函数y=x2是偶函数,且在(-3,0)上为减函数D.函数y=ax2+c(ac ne;0)是偶函数,且在(0,2)上为增函数解析:选C.选项A中,y=1x在定义域内不具有单调性;B 中,函数的定义域不关于原点对称;D中,当a<0时,y=ax2+c(ac ne;0)在(0,2)上为减函数,故选C.2.奇函数f(x)在区间[3,7]上是增函数,在区间[3,6]上的最大值为8,最小值为-1,则2f(-6)+f(-3)的值为()A.10B.-10C.-15D.15解析:选C.f(x)在[3,6]上为增函数,f(x)max=f (6)=8,f(x)min=f(3)=-1. there4;2f(-6)+f(-3)=-2f(6)-f(3)=-2x8+1=-15.3.f(x)=x3+1x的图象关于()A.原点对称B.y轴对称C.y=x对称D.y=-x对称解析:选A.x ne;0,f(-x)=(-x)3+1-x=-f(x),f (x)为奇函数,关于原点对称.4.如果定义在区间[3-a,5]上的函数f(x)为奇函数,那么a=________.解析:∵f(x)是[3-a,5]上的奇函数,there4;区间[3-a,5]关于原点对称,there4;3-a=-5,a=8.答案:81.函数f(x)=x的奇偶性为()A.奇函数B.偶函数C.既是奇函数又是偶函数D.非奇非偶函数解析:选D.定义域为{x|x ge;0},不关于原点对称.2.下列函数为偶函数的是()A.f(x)=|x|+xB.f(x)=x2+1xC.f(x)=x2+xD.f(x)=|x|x2解析:选D.只有D符合偶函数定义.3.设f(x)是R上的任意函数,则下列叙述正确的是()A.f(x)f(-x)是奇函数B.f(x)|f(-x)|是奇函数C.f(x)-f(-x)是偶函数D.f(x)+f(-x)是偶函数解析:选D.设F(x)=f(x)f(-x)则F(-x)=F(x)为偶函数.设G(x)=f(x)|f(-x)|,则G(-x)=f(-x)|f(x)|.there4;G(x)与G(-x)关系不定.设M(x)=f(x)-f(-x),there4;M(-x)=f(-x)-f(x)=-M(x)为奇函数.设N(x)=f(x)+f(-x),则N(-x)=f(-x)+f(x). N(x)为偶函数.4.已知函数f(x)=ax2+bx+c(a ne;0)是偶函数,那么g(x)=ax3+bx2+cx()A.是奇函数B.是偶函数C.既是奇函数又是偶函数D.是非奇非偶函数解析:选A.g(x)=x(ax2+bx+c)=xf(x),g(-x)=-x bull;f(-x)=-x bull;f(x)=-g(x),所以g(x)=ax3+bx2+cx是奇函数;因为g(x)-g(-x)=2ax3+2cx不恒等于0,所以g(-x)=g(x)不恒成立.故g(x)不是偶函数.5.奇函数y=f(x)(x isin;R)的图象必过点()A.(a,f(-a))B.(-a,f(a))C.(-a,-f(a))D.(a,f(1a))解析:选C.∵f(x)是奇函数,there4;f(-a)=-f(a),即自变量取-a时,函数值为-f(a),故图象必过点(-a,-f(a)).6.f(x)为偶函数,且当x ge;0时,f(x) ge;2,则当x le;0时()A.f(x) le;2B.f(x) ge;2C.f(x) le;-2D.f(x) isin;R解析:选B.可画f(x)的大致图象易知当x le;0时,有f(x) ge;2.故选B.7.若函数f(x)=(x+1)(x-a)为偶函数,则a=________.解析:f(x)=x2+(1-a)x-a为偶函数,there4;1-a=0,a=1.答案:18.下列四个结论:①偶函数的图象一定与纵轴相交;②奇函数的图象一定通过原点;③f(x)=0(x isin;R)既是奇函数,又是偶函数;④偶函数的图象关于y轴对称.其中正确的命题是________.解析:偶函数的图象关于y轴对称,不一定与y轴相交,①错,④对;奇函数当x=0无意义时,其图象不过原点,②错,③对.答案:③④9.①f(x)=x2(x2+2);②f(x)=x|x|;③f(x)=3x+x;④f(x)=1-x2x.以上函数中的奇函数是________.解析:(1)∵x isin;R, there4;-x isin;R,又∵f(-x)=(-x)2[(-x)2+2]=x2(x2+2)=f(x),there4;f(x)为偶函数.(2)∵x isin;R, there4;-x isin;R,又∵f(-x)=-x|-x|=-x|x|=-f(x),there4;f(x)为奇函数.(3)∵定义域为[0,+ infin;),不关于原点对称,there4;f(x)为非奇非偶函数.(4)f(x)的定义域为[-1,0) cup;(0,1]即有-1 le;x le;1且x ne;0,则-1 le;-x le;1且-x ne;0,又∵f(-x)=1--x2-x=-1-x2x=-f(x).there4;f(x)为奇函数.答案:②④10.判断下列函数的奇偶性:(1)f(x)=(x-1) 1+x1-x;(2)f(x)=x2+x x<0-x2+x x>0.解:(1)由1+x1-x ge;0,得定义域为[-1,1),关于原点不对称, there4;f(x)为非奇非偶函数.(2)当x<0时,-x>0,则f(-x)=-(-x)2-x=-(-x2+x)=-f(x),当x>0时,-x<0,则f(-x)=(-x)2-x=-(-x2+x)=-f (x),综上所述,对任意的x isin;(- infin;,0) cup;(0,+ infin;),都有f(-x)=-f(x),there4;f(x)为奇函数.11.判断函数f(x)=1-x2|x+2|-2的奇偶性.解:由1-x2 ge;0得-1 le;x le;1.由|x+2|-2 ne;0得x ne;0且x ne;-4.there4;定义域为[-1,0) cup;(0,1],关于原点对称.∵x isin;[-1,0) cup;(0,1]时,x+2>0,there4;f(x)=1-x2|x+2|-2=1-x2x,there4;f(-x)=1--x2-x=-1-x2x=-f(x),there4;f(x)=1-x2|x+2|-2是奇函数.12.若函数f(x)的定义域是R,且对任意x,yisin;R,都有f(x+y)=f(x)+f(y)成立.试判断f(x)的奇偶性.解:在f(x+y)=f(x)+f(y)中,令x=y=0,得f(0+0)=f(0)+f(0),there4;f(0)=0.再令y=-x,则f(x-x)=f(x)+f(-x),即f(x)+f(-x)=0,there4;f(-x)=-f(x),故f(x)为奇函数.。
函数奇偶性练习题(内含答案)新希望培训学校资料数学函数奇偶性练(内含答案)一、选择题1.已知函数 $f(x)=ax+bx+c(a\neq0)$ 是偶函数,那么$g(x)=ax+bx-cx$ 是()A。
奇函数B。
偶函数C。
既奇又偶函数D。
非奇非偶函数2.已知函数 $f(x)=ax+bx+3a+b$ 是偶函数,且其定义域为$[a-1,2a]$,则()A。
$a=2,\ b=\frac{1}{3}$B。
$a=-1,\ b=-\frac{1}{3}$C。
$a=1,\ b=-\frac{1}{3}$D。
$a=3,\ b=\frac{1}{3}$3.已知 $f(x)$ 是定义在 $\mathbb{R}$ 上的奇函数,当$x\geq0$ 时,$f(x)=x-2x$,则 $f(x)$ 在 $\mathbb{R}$ 上的表达式是()A。
$y=x(x-2)$B。
$y=x(|x|-1)$C。
$y=|x|(x-2)$D。
$y=x(|x|-2)$4.已知 $f(x)=x+ax+bx-8$,且 $f(-2)=10$,那么 $f(2)$ 等于()A。
$-26$B。
$-18$C。
$-10$D。
$10$5.函数$f(x)=\frac{5x^2}{1+x^2}+\frac{x-1}{x+1}$ 是()A。
偶函数B。
奇函数C。
非奇非偶函数D。
既是奇函数又是偶函数6.若 $\phi(x),\ g(x)$ 都是奇函数,$f(x)=a\phi(x)+bg(x)+2$ 在 $(0,+\infty)$ 上有最大值 $5$,则$f(x)$ 在 $(-\infty,0)$ 上有()A。
最小值 $-5$B。
最大值 $-5$C。
最小值 $-1$D。
最大值 $-3$二、填空题7.函数 $f(x)=\frac{x-2}{1-x^2}$ 的奇偶性为(奇函数或偶函数)。
8.若 $y=(m-1)x+2mx+3$ 是偶函数,则 $m=$()。
9.已知 $f(x)$ 是偶函数,$g(x)$ 是奇函数,若$f(x)+g(x)=\frac{1}{x-1}$,则 $f(x)$ 的解析式为()。
高一数学函数的奇偶性试题1.若函数是偶函数,则的递减区间是【答案】【解析】偶函数的图像关于轴对称,故,则,则的递减区间是。
【考点】(1)偶函数图像的性质;(2)二次函数单调区间的求法。
2.设函数和分别是上的偶函数和奇函数,则下列结论恒成立的是A.是偶函数B.是奇函数C.是偶函数D.是奇函数【答案】A【解析】由设函数f(x)和g(x)分别是R上的偶函数和奇函数,我们易得到|f(x)|、|g(x)|也为偶函数,进而根据奇+奇=奇,偶+偶=偶,逐一对四个结论进行判断,即可得到答案.∵函数f(x)和g(x)分别是R上的偶函数和奇函数,则|g(x)|也为偶函数,则f(x)+|g(x)|是偶函数,故A满足条件;f(x)-|g(x)|是偶函数,故B不满足条件;|f(x)|也为偶函数,则|f(x)|+g(x)与|f(x)|-g(x)的奇偶性均不能确定故选A【考点】函数奇偶性的判断3.若函数的图像关于原点对称,则。
【答案】【解析】试题分析:由题意知恒成立,即即恒成立,所用【考点】奇函数的应用.4.已知函数为奇函数,且当时,,则()A.B.C.D.【答案】D【解析】∵为奇函数,∴.【考点】函数的性质.5.设函数是定义在上的偶函数,当时,.若,则实数的值为 .【答案】【解析】若,则由,得,,解得成立.若,则由,得,即,,得,即,所以.【考点】函数的奇偶性.6.已知偶函数满足,且当时,,则.【答案】2【解析】由知此函数周期 4,因为为偶函数,所以【考点】函数奇偶性周期性7.已知函数是定义在上的奇函数,当时,,则当时, .【答案】【解析】解:由题意得:当时,时,设时,则,又是定义在上的奇函数,时,【考点】本题考查了奇偶性的应用.8.函数为定义在R上的奇函数,当上的解析式为=.【答案】【解析】设,则,所以;因为函数是奇函数,所以所以,当时,【考点】函数奇偶性的性质.9.函数f(x)=x5+x3的图象关于()对称().A.y轴B.直线y=x C.坐标原点D.直线y=-x【答案】C【解析】∵,∴函数是奇函数,它的图象关于原点对称.图象关于y轴对称的函数是偶函数。
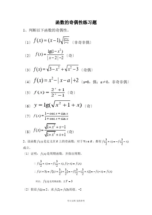
函数的奇偶性练习题1、判断以下函数的奇偶性。
〔1〕x xx x f -+-=11)1()(〔非奇非偶〕〔2〕 2|2|)1lg()(2---=x x x f 〔奇〕〔3〕33)(22-+-=x x x f 〔奇偶〕 〔4〕2||)(2+--=a x x x f 〔a=0,偶;a ≠0,非奇非偶〕 〔5〕1212)(-+=x x x f 〔奇〕 〔6〕)1lg(2x x y ++=〔奇〕 〔7〕1cos sin ()1cos sin x xf x x x-+=++ 〔8〕1()x f x +-=(奇)2、设函数)(x f 是定义在R 上的奇函数,对于R x ∈∀,都有)23()23(x f x f --=+成立。
〔1〕证明:)(x f 是周期函数,并指出周期。
)()()]23(23[]23)23[()3()()(),23()23(x f x f x f x f x f x f x f x f x f =--=+--=++=+∴=---=+ 所以,)(x f 是周期函数,且3=T 〔2〕假设2)1(=f ,求)3()2(f f +的值。
-23.设()f x 是定义在R 上的奇函数,当x ≤0时,()f x x x 2=2-,则()f 1=〔 A 〕A .-3B .-1C .1D .34.函数)(x f 的定义域为()()+∞⋃∞-,11,,且)1(+x f 为奇函数,当1>x 时, 16122)(2+-=x x x f ,则直线2=y 与函数)(x f 图象的所有交点的横坐标之和是〔 D 〕A .1B .2C .4D .5解:f(x+1)是奇函数所以 f(x+1)的图像关于(0,0)对称,且f(0+1)=0f(x+1)的图像向右平移1个单位,得到f(x)所以 f(x)的图像关于(1,0)对称, f(1)=0则当 x>1时〔1〕 2x²-12x+16=2x²-6x+7=0x=3±√2 两根都大于1即x>1时,y=2与函数f(x)图像交点的横坐标为3±√2〔2〕 2x²-12x+16=-2x²-6x+9=0x=3所以 x=3时,y=-2(3,-2)关于(1,0)的对称点为〔-1,2〕即 x<1时,y=2与函数f(x)图像交点的横坐标为-1所以 ,直线y=2与函数f(x)图象的所有交点的横坐标之和是3+√2+3-√2+(-1)=55.下面四个结论中,正确命题的个数是 ( A )①偶函数的图象一定与y 轴相交②奇函数的图象一定通过原点③偶函数的图象关于y 轴对称④既是奇函数,又是偶函数的函数一定是f 〔x 〕=0〔x ∈R 〕A.1B.2C.36.设f (x )是定义在R 上以2为周期的偶函数,已知x ∈(0,1)时,)1(log )(21x x f -=,则函数f (x )在(1,2)上( D )A .是增函数,且f (x )<0B .是增函数,且f (x )>0C .是减函数,且f (x )<0D .是减函数,且f (x )>07.已知函数)(x f y =,R x ∈,有以下4个命题:①假设)21()21(x f x f -=+,则)(x f 的图象关于直线1=x 对称;②)2(-x f 与)2(x f -的图象关于直线2=x 对称;③假设)(x f 为偶函数,且)()2(x f x f -=+,则)(x f 的图象关于直线2=x 对称;④假设)(x f 为奇函数,且)2()(--=x f x f ,则)(x f 的图象关于直线1=x 对称.其中正确命题的个数为 〔C 〕.A. 1个B. 2个C. 3个D. 4个 分析:①先用换元法将f 〔1+2x 〕=f 〔1-2x 〕转化,再由转化后的形式判断对称轴的方程.②y=f 〔x-2〕与y=f 〔2-x 〕的图象关于直线x=2对称可转化为证明y=f 〔x 〕与y=f 〔-x 〕的图象关于直线x=0对称的问题,再结合图象的平移知识进行判断.③用-x 换x ,由题设条件和偶函数的性质得,f 〔2-x 〕=-f 〔-x 〕=-f 〔x 〕=f 〔2+x 〕,故f 〔x 〕的图象关于直线x=2对称. ④用-x 换x ,由题设条件和奇函数的性质得,f 〔-x 〕=f 〔x-2〕,故y=f 〔x 〕的图象关于直线x=-1对称. 解答:解:①令t=1+2x ,可得2x=t-1,代入f 〔1+2x 〕=f 〔1-2x 〕得f 〔t 〕=f 〔2-t 〕由于|t-1|=|2-t-1|,故可知函数y=f 〔x 〕图象关于直线x=1对称即y=f 〔x 〕的图象关于直线x=1对称,故①是真命题.②由题设知y=f 〔2-x 〕=f[-〔x-2〕]由于函数y=f 〔x 〕与y=f 〔-x 〕的图象关于直线x=0对称,又y=f 〔x-2〕与y=f 〔2-x 〕的图象可由函数y=f 〔x 〕与y=f 〔-x 〕的图象右移动2个单位而得到, ∴y=f 〔x-2〕与y=f 〔2-x 〕的图象关于直线x=2对称,故②是真命题.③f 〔x 〕为偶函数,且f 〔2+x 〕=-f 〔x 〕,用-x 换x 得,f 〔2-x 〕=-f 〔-x 〕=-f 〔x 〕=f 〔2+x 〕 ∴f 〔x 〕的图象关于直线x=2对称,故③是真命题.④∵y=f 〔x 〕为奇函数,且f 〔x 〕=f 〔-x-2〕,用-x 换x 得,f 〔-x 〕=f 〔x-2〕,∴y=f 〔x 〕的图象关于直线x=-1对称,故④是假命题.故选C .8.设)(x f 是),(+∞-∞上的奇函数,),()2(x f x f -=+当10≤≤x 时,x x f =)(,则)5.7(f 等于〔 B 〕A.0.5B.C.D.9.设f (x )是连续的偶函数,且当x >0时是单调函数,则满足f (x )=f ⎝ ⎛⎭⎪⎫x +3x +4的所有x 之和为( C ) A .-3 B .3 C .-8 D .810.已知函数f (x )满足:f (1)=2,)(1)(1)1(x f x f x f -+=+,则f (2011)等于( C ) A .2 B .-3 C .-12 D.13[解析] 由条件知,f (2)=-3,f (3)=-12,f (4)=13,f (5)=f (1)=2,故f (x +4)=f (x ) (x ∈N *).∴f (x )的周期为4,故f (2011)=f (3)=-12.[点评] 严格推证如下:f (x +2)=1+f (x +1)1-f (x +1)=-1f (x ),∴f (x +4)=f [(x +2)+2]=f (x ).即f (x )周期为 11.函数y =log 22-x 2+x的图象( A ) A .关于原点对称 B .关于直线y =-x 对称C .关于y 轴对称D .关于直线y =x 对称12.已知f 〔x 〕是奇函数,当x ∈〔0,1〕时,f 〔x 〕=lgx +11,那么当x ∈〔-1,0〕时,f 〔x 〕的表达式是__________.解析:当x ∈〔-1,0〕时,-x ∈〔0,1〕,∴f 〔x 〕=-f 〔-x 〕=-lg x-11=lg 〔1-x 〕.答案:lg 〔1-x 〕13.定义在R 上的奇函数f (x )满足:当x >0时,f (x )=2008x +log 2008x ,则方程f (x )=0的实根的个数为 3 .14.假设y =〔m -1〕x 2+2mx +3是偶函数,则m =_________.0解析:因为函数y =〔m -1〕x 2+2mx +3为偶函数,∴f 〔-x 〕=f 〔x 〕,即〔m -1〕〔-x 〕2+2m 〔-x 〕+3=〔m —1〕x 2+2mx +3,整理,得m =0.(15.已知函数f(x)定义域为R ,则以下命题:①y=f(x)为偶函数,则y=f(x+2)的图像关于y 轴对称;②y=f(x+2)为偶函数,则y=f(x)的图像关于直线x=2对称;③假设函数f(2x+1)是偶函数,则f(2x)的图像关于直线x=1/2对称; ④假设f(x-2)=f(2-x),则y=f(x)的图像关于直线x=2对称;⑤y=f(x-2)和y=f(2-x)的图像关于x=2对称。
函数的奇偶性练习题(1)1.如图,函数y =f(x)的图象为折线ABC ,设g (x)=f[f(x)],则函数y =g(x)的图象为( )A. B.C.D.2. 设x ,y 为实数,且满足{(x −1)3+2019(x −1)=−5,(y −1)3+2019(y −1)=5,则x +y =( ) A.2B.5C.10D.20193. 已知y =f (x )在R 上的奇函数,当x ≥0时,f (x )=2x +m ,则f (−2)=( )A.−3B.54C.−54D.34. 下列函数中,是偶函数的为( )A.y =|x|B.y =x 3C.y =(12)xD.y =log 2x<0的解集为5. 设奇函数f(x)在(0,+∞)上为增函数,且f(1)=0,则不等式f(x)−f(−x)x()A.(−1,0)∪(1,+∞)B.(−∞,−1)∪(0,1)C.(−∞,−1)∪(1,+∞)D.(−1,0)∪(0,1)6. 已知f(x)满足对∀x∈R,f(−x)+f(x)=0,且x≥0时,f(x)=e x+m(m为常数),则f(−ln5)的值为( )A.4B.−4C.6D.−67. 已知函数y=f(2x+1)是定义在R上的奇函数,函数y=g(x)的图象与函数y=f(x)的图象关于直线y=x对称,则g(x)+g(−x)的值为()A.2B.0C.1D.不能确定8. 已知函数f(x)是偶函数,且f(5−x)=f(5+x),若g(x)=f(x)sinπx,ℎ(x)=f(x)cosπx,则下列说法正确的是()A.函数y=g(x)是偶函数B.10是函数f(x)的一个周期C.对任意的x∈R,都有g(x+5)=g(x−5)D.函数y=ℎ(x)的图象关于直线x=5对称9. 下列函数中,既是偶函数又在(0, +∞)上单调递减的函数是()A.y=x3B.y=|x|C.y=−x2+1D.y=10. 已知函数f(x)=x5+ax3+bx−6,且f(−2)=10,则f(2)=________.11. 设奇函数f(x)的定义域为[−6, 6],当x∈[0, 6]时,f(x)的图象如图所示,不等式f(x)<0的解集用区间表示为________.12. 定义在[−2,2]上的奇函数f(x),已知当x∈[−2,0]时,f(x)=2x+a⋅3x(a∈R),则f(x)在[0,2]上的解析式为________.(化成最简形式)13. 已知函数f(x)是定义在R上的奇函数,且当x≥0时f(x)=x2,若对任意的x∈[a−1, a+1],恒有f(x2+a)>a2f(x),则实数a的取值范围为________.14. 已知f(x)是定义在R上的奇函数,当x>0时,f(x)=x2−x,则不等式f(x)>0的解集用区间表示为________.15. 已知函数f(x)=lg3−x3+x(1)判断并证明函数f(x)的奇偶性;(2)当x≥0时函数g(x)与f(x)相同,且g(x)为偶函数,求g(x)=的定义域及其表达式.16. 已知定义在R上的函数f(x)满足:(1)f(2−x)=f(x);(2)f(x+4)=f(x)(3)x1,x2∈[1, 3]时,(x1−x2)[f(x1)−f(x2)]<0.则f(2018),f(2019),f(2020)大小关系()A.f(2018)>f(2019)>f(2020)B.f(2020)>f(2018)>f(2019)C.f(2020)=f(2018)>f(2019)D.f(2018)>f(2019)=f(2020)17. 定义在R上的奇函数,当x>0时,f(x)=x2−4x.(1)设g(x)=f(x),x∈[−4, 4],求函数g(x)的值域;(2)当m>0时,若|f(m)|=3,求实数m的值.参考答案与试题解析函数的奇偶性练习题(1)一、选择题(本题共计 7 小题,每题 5 分,共计35分)1.【答案】A【考点】函数的图象变换函数奇偶性的性质【解析】函数y=f(x)的图象为折线ABC,其为偶函数,所研究x≥0时g(x)的图象即可,首先根据图象求出x≥0时f(x)的图象及其值域,再根据分段函数的性质进行求解,可以求出g(x)的解析式再进行判断;【解答】解:函数y=f(x)的图象为折线ABC,函数f(x)为偶函数,我们可以研究x≥0的情况即可,若x≥0,可得B(0, 1),C(1, −1),则直线BC的方程为:l BC:y=−2x+1,x∈[0, 1],其中−1≤f(x)≤1;若x<0,可得l AB:y=2x+1,∴f(x)={−2x+1(0≤x≤1),2x+1(−1≤x<0),我们讨论x≥0的情况:如果0≤x≤12,解得0≤f(x)≤1,此时g(x)=f[f(x)]=−2(−2x+1)+1=4x−1;若12<x≤1,解得−1≤f(x)<0,此时g(x)=f[f(x)]=2(−2x+1)+1=−4x+3;∴x∈[0, 1]时,g(x)={4x−1(0≤x≤12),−4x+3(12<x≤1).故选A.2.【答案】A【考点】函数奇偶性的性质【解析】将方程组中的方程,形式化成相同,构造函数f(t)=t3+1997t+1,确定函数f(t)为单调递增函数,即可求得结论.【解答】解:设函数f(m)=(m−1)3+2019(m−1),则f(1+m)=(1+m−1)3+2019(1+m−1)=m3+2019m,f(1−m)=(1−m −1)3+2019(1−m −1)=−m 3−2019m ,所以f(1+m)+f(1−m)=0,所以函数f(m)关于(1,0)中心对称,又因为{(x −1)3+2019(x −1)=−5,(y −1)3+2019(y −1)=5所以f(x)+f(y)=0,所以x +y =2.故选A .3.【答案】A【考点】函数奇偶性的性质【解析】根据题意,f (x )为定义在R 上的奇函数,可知f (0)=0,即可求出m =−1,即当x ≥0时f (x )=2x −1,可得f (2)=22−1=3,再根据f (x )为奇函数,可得f (−2)=−f (2)=−3.【解答】解:根据题意,f (x )为定义在R 上的奇函数,则f (0)=20+m =0,解得:m =−1.∵ 当x ≥0时,f (x )=2x −1,∴ f (−2)=−f (2)=−(22−1)=−3.故选A .4.【答案】A【考点】函数奇偶性的判断【解析】此题暂无解析【解答】解:A .该函数定义域为R ,设y =f(x),f(−x)=|−x|=|x|=f(x),是偶函数; B .该函数定义域为R ,设y =f(x),f(−x)=(−x)3=−x 3=−f(x),是奇函数; C .该函数定义域为R ,设y =f(x),f(−x)=(12)−x ≠f(x), f(−x)=(12)−x ≠−f(x),该函数是非奇非偶函数;D .该函数定义域为(0,+∞),不关于原点对称,该函数是非奇非偶函数.故选A .5.【答案】D【考点】奇偶性与单调性的综合此题暂无解析【解答】∵f(x)为奇函数,f(−x)=−f(x),∴f(x)−f(−x)x <0⇔2f(x)x<0.∵f(x)在(0,+∞)上为增函数,且f(1)=0,∴f(x)在(−∞,0)上为增函数,且f(−1)=0,∴不等式f(x)x<0的解集为(−1,0)∪(0,1).6.【答案】B【考点】函数奇偶性的性质【解析】首先利用奇偶性,求出m,再利用奇偶性求值即可.【解答】解:∵f(x)满足对∀x∈R,f(−x)+f(x)=0,故f(−x)=−f(x),故f(0)=0,∵x≥0时,f(x)=e x+m,∴f(0)=1+m=0,解得m=−1,即x≥0时,f(x)=e x−1,则f(ln5)=4,∴f(−ln5)=−f(ln5)=−4.故选B.7.【答案】A【考点】奇偶函数图象的对称性【解析】利用奇函数的定义可把已知转化为f(t)+f(2−t)=0,从而可得函数f(x)关于(1, 0)对称,函数y=g(x)的图象与函数y=f(x)的图象关于直线y=x对称,则g(x)关于(0, 1)对称,代入可求.【解答】解:∵函数y=f(2x+1)是定义在R上的奇函数∴f(−2x+1)=−f(2x+1)令t=1−2x代入可得f(t)+f(2−t)=0函数f(x)关于(1, 0)对称由函数y=g(x)的图象与函数y=f(x)的图象关于直线y=x对称函数g(x)关于(0, 1)对称从而有g(x)+g(−x)=2故选A二、多选题(本题共计 2 小题,每题 5 分,共计10分)8.B,C,D【考点】函数奇偶性的性质与判断【解析】根据题意,依次分析选项,综合即可得答案.【解答】根据题意,依次分析选项:对于A,g(x)=f(x)sinπx,g(−x)=f(−x)sinπ(−x)=−f(−x)sinπx,又由函数f(x)是偶函数,则g(−x)=−f(x)sinπx,即函数g(x)为奇函数,A错误对于B,由于f(x)是偶函数,且f(5−x)=f(5+x),得f(5−x)=f(5+x)=f(x−5),即f(10+x)=f(x),则f(x)是周期为10的周期函数,所以ℎ(x+10)=f(x+10)cos(πx+10π)=f(x)cosπx=ℎ(x),则y=ℎ(x)是的最小正周期为10,故B正确;对于C,g(x+5)=f(x+5)sin(π(x+5))=f(5−x)sin(πx+5π)=f(5−x)(−sinπx)=−f(x−5)(−sinπx)=f(x−5)sinπx=g(x−5),故C正确;对于D,ℎ(5−x)=f(5−x)cos(5π−5x)=f(5+x)cos(5x−5π)=f(5+x)cos(5x−5π+10π)=f(5+x)cos(5x+5π)=ℎ(5+x),所以函数y=ℎ(x)的图象关于直线x=5对称,D正确;9.【答案】C,D【考点】函数单调性的性质与判断函数奇偶性的性质与判断奇偶性与单调性的综合【解析】根据题意,依次分析选项中函数的奇偶性与单调性,综合即可得答案.【解答】对于A,y=x3为奇函数,所以该选项不符合题意;对于B,x>0时,y=|x|=x,所以函数y=|x|的(0, +∞)上为增函数,所以该选项不符合题意;对于C,该函数定义域为R,设y=f(x),显然f(−x)=f(x),所以该函数为偶函数,且该函数在(0, +∞)上单调递减,所以该选项符合题意;对于D,该函数定义域为{x|x≠0},设y=f(x),显然f(−x)=f(x),所以该函数为偶函数,且该函数在(0, +∞)上单调递减,可知该选项符合题意.三、填空题(本题共计 5 小题,每题 5 分,共计25分)10.【答案】−22【考点】函数奇偶性的性质与判断【解析】根据奇函数的性质建立方程组关系进行求解决即可.∵f(x)=x5+ax3+bx−6,且f(−2)=10,∴f(−2)=−25−a⋅23−2b−6=10,则f(2)=25+a⋅23−2b−6,两式相加得10+f(2)=−6−6=−12,则f(2)=−10−12=−22,11.【答案】[−6, −3)∪(0, 3)【考点】函数的图象与图象的变换【解析】此题暂无解析【解答】此题暂无解答12.【答案】3−x−2−x【考点】函数奇偶性的性质函数解析式的求解及常用方法【解析】由题意设x>0利用已知的解析式求出f(−x)=x2+2x,再由f(x)=−f(−x),求出x>0时的解析式.【解答】解:∵ f(x)为奇函数,∴ f(0)=20+a⋅30=1+a=0,∴ a=−1,f(x)=2x−3x.∴ 在x∈[0,2]上时,f(x)=−f(−x)=3−x−2−x.故答案为:3−x−2−x.13.【答案】(0, +∞)【考点】函数奇偶性的性质与判断函数恒成立问题【解析】由当x≥0时,f(x)=x2,函数是奇函数,可得当x<0时,f(x)=−x2,从而f(x)在R上是单调递增函数,且满足a2f(x)=f(ax),再根据不等式f(x2+a)>a2f(x)=f(ax),在x∈[a−1, a+1],恒成立,利用二次函数的性质,可得不等式,即可得出答案.【解答】当x≥0时,f(x)=x2,∵函数是奇函数,∴当x<0时,f(x)=−x2,∴f(x)={x2,x≥0,−x2,x<0∴f(x)在R上是单调递增函数,且满足a2f(x)=f(ax),∵不等式f(x2+a)>a2f(x)=f(ax)在x∈[a−1, a+1]恒成立,∴x2+a>ax在x∈[a−1, a+1]恒成立,令g(x)=x2−ax+a,函数的对称轴为x=a2,当a2<a−1,即a>2时,不等式恒成立,可得g(a−1)=(a−1)2−a(a−1)+a=1>0,恒成立;当a−1≤a2≤a+1,即−2≤a≤2时,不等式恒成立,可得g(a2)=( a2)2−a(a2)+a>0恒成立,解得a∈(0, 2];当a2>a+1,即a<−2时,不等式恒成立,可得g(a+1)=(a+1)2−a(a+1)+a=2a+1>0不恒成立;综上:a>0.14.【答案】(−1, 0)∪(1, +∞)【考点】函数奇偶性的性质与判断【解析】根据条件可设x<0,从而得出f(−x)=x2+x=−f(x),即得出x<0时,f(x)=−x2−x,这样即可得出:x>0时,由f(x)>0得出x2−x>0;x<0时,由f(x)> 0得出−x2−x>0,解出x的范围即可.【解答】∵f(x)是定义在R上的奇函数,且x>0时,f(x)=x2−x,∴设x<0,−x>0,则f(−x)=x2+x=−f(x),∴f(x)=−x2−x,∴ ①x>0时,由f(x)>0得,x2−x>0,解得x>1;②x<0时,由f(x)>0得,−x2−x>0,解得−1<x<0,∴原不等式的解集为(−1, 0)∪(1, +∞).四、解答题(本题共计 3 小题,每题 10 分,共计30分)15.【答案】根据题意,函数f(x)=lg3−x3+x是奇函数,证明:对于函数f(x)=lg3−x3+x ,必有3−x3+x>0,解可得:−3<x<3,即函数的定义域为(−3, 3),关于原点对称,又由f(x)+f(−x)=lg3−x3+x +lg3+x3−x=lg1=0,则有f(−x)=−f(x),则函数f(x)为奇函数;根据题意,有(1)的结论,函数f(x)的定义域为(−3, 3),当0≤x<3时,g(x)=f(x)=lg3−x3+x,设−3<x<0,则0<−x<3,则g(−x)=lg 3+x 3−x ,又由函数g(x)为偶函数,则g(x)=lg 3+x 3−x ,综合可得:g(x)={lg 3+x 3−x ,−3<x <0lg 3−x 3+x ,0≤x <3. 【考点】函数奇偶性的性质与判断【解析】(1)根据题意,先求出函数f(x)的定义域,进而分析可得f(x)+f(−x)=0,由函数奇偶性的定义分析可得答案;(2)根据题意,分2种情况讨论:当0≤x <3时,g(x)=f(x)=lg3−x 3+x ,当−3<x <0,利用偶函数的性质求出g(x)的解析式,综合即可得答案.【解答】根据题意,函数f(x)=lg 3−x 3+x 是奇函数,证明:对于函数f(x)=lg 3−x 3+x ,必有3−x 3+x >0,解可得:−3<x <3,即函数的定义域为(−3, 3),关于原点对称,又由f(x)+f(−x)=lg 3−x 3+x +lg 3+x 3−x =lg 1=0,则有f(−x)=−f(x),则函数f(x)为奇函数;根据题意,有(1)的结论,函数f(x)的定义域为(−3, 3),当0≤x <3时,g(x)=f(x)=lg 3−x 3+x ,设−3<x <0,则0<−x <3,则g(−x)=lg 3+x 3−x ,又由函数g(x)为偶函数,则g(x)=lg3+x 3−x , 综合可得:g(x)={lg 3+x 3−x ,−3<x <0lg 3−x 3+x ,0≤x <3. 16.【答案】,f(2019)=f,f(2020)=f(0)=f,故f (2020)=f (2018)>f (2019),【考点】抽象函数及其应用【解析】根据已知可得函数 f (x)的图象关于直线x =1对称,周期为4,且在[1, 3]上为减函数,进而可比较f(2018),f(2019),f(2020)的大小.【解答】,f(2019)=f,f(2020)=f(0)=f,故f(2020)=f(2018)>f(2019),17.【答案】根据题意,f(x)为定义在R 上的奇函数,则f(0)=0,则有g(0)=0,当0<x <4时,f(x)=x 2−4x ,此时g(x)=x 2−4x ,当−4<x <0时,0<−x <4,f(−x)=x 2−4x ,又由f(x)为奇函数,则f(x)=−f(−x)=−x 2−4x ,此时g(x)=−x 2−4x ;综合可得:g(x)=f(x)={−x 2−4x,x <00,x =0x 2−4x,x >0当−4≤x ≤0时,0≤g(x)≤4;当0<x ≤4时,−4≤g(x)≤0.g(x)的值域为[−4, 4]根据题意,m >0时,|f(m)|={−m 2+4m,0<m ≤4m 2−4m,m >4, 1)当0<m ≤4时,令−m 2+4m =3,解得m =1或m =3;2)当m >4时,令m 2−4m =3,解得m =2+√7或m =2−√7(舍去)综合1),2)得m =1或m =3或m =2+√7【考点】函数奇偶性的性质与判断【解析】(1)根据题意,由函数的解析式以及奇函数的性质分析可得g(x)的解析式,进而分析可得答案;(2)根据题意,m >0时,|f(m)|={−m 2+4m,0<m ≤4m 2−4m,m >4,据此分析可得答案. 【解答】根据题意,f(x)为定义在R 上的奇函数,则f(0)=0,则有g(0)=0,当0<x <4时,f(x)=x 2−4x ,此时g(x)=x 2−4x ,当−4<x <0时,0<−x <4,f(−x)=x 2−4x ,又由f(x)为奇函数,则f(x)=−f(−x)=−x 2−4x ,此时g(x)=−x 2−4x ;综合可得:g(x)=f(x)={−x 2−4x,x <00,x =0x 2−4x,x >0当−4≤x ≤0时,0≤g(x)≤4;当0<x ≤4时,−4≤g(x)≤0.g(x)的值域为[−4, 4]根据题意,m >0时,|f(m)|={−m 2+4m,0<m ≤4m 2−4m,m >4,1)当0<m≤4时,令−m2+4m=3,解得m=1或m=3;2)当m>4时,令m2−4m=3,解得m=2+√7或m=2−√7(舍去)综合1),2)得m=1或m=3或m=2+√7。
函数的奇偶性试题(含答案)一、选择题1.下列命题中错误的是( )①图象关于原点成中心对称的函数一定为奇函数②奇函数的图象一定过原点③偶函数的图象与y轴一定相交④图象关于y轴对称的函数一定为偶函数A.①② B.③④C.①④D.②③[答案] D[解析] f(x)=1x为奇函数,其图象不过原点,故②错;y=Error!为偶函数,其图象与y轴不相交,故③错.2.如果奇函数f(x)在(0,+∞)上是增函数,则f(x)在(-∞,0)上( )A.减函数B.增函数C.既可能是减函数也可能是增函数D.不一定具有单调性[答案] B3.已知f(x)=x7+ax5+bx-5,且f(-3)=5,则f(3)=( )A.-15 B.15C.10 D.-10[答案] A[解析] 解法1:f(-3)=(-3)7+a(-3)5+(-3)b-5=-(37+a·35+3b-5)-10=-f(3)-10=5,∴f(3)=-15.解法2:设g(x)=x7+ax5+bx,则g(x)为奇函数,∵f(-3)=g(-3)-5=-g(3)-5=5,∴g(3)=-10,∴f(3)=g(3)-5=-15.4.若f(x)在[-5,5]上是奇函数,且f(3)<f(1),则下列各式中一定成立的是( )A.f(-1)<f(-3) B.f(0)>f(1)C.f(2)>f(3) D.f(-3)<f(5)[答案] A[解析] ∵f(3)<f(1),∴-f(1)<-f(3),∵f(x)是奇函数,∴f(-1)<f(-3).5.设f(x)是定义在R上的奇函数,且当x>0时,f(x)=2x-3,则f(-2)的值等于( )A.-1 B.1C.114D.-114[答案] A[解析] ∵x>0时,f(x)=2x-3,∴f(2)=22-3=1,又f(x)为奇函数,∴f(-2)=-f(2)=-1.6.设f(x)在[-2,-1]上为减函数,最小值为3,且f(x)为偶函数,则f(x)在[1,2]上( )A.为减函数,最大值为3B.为减函数,最小值为-3C.为增函数,最大值为-3D.为增函数,最小值为3[解析] ∵f(x)在[-2,-1]上为减函数,最大值为3,∴f(-1)=3,又∵f(x)为偶函数,∴f(x)在[1,2]上为增函数,且最小值为f(1)=f(-1)=3.7.(胶州三中高一模块测试)下列四个函数中,既是偶函数又在(0,+∞)上为增函数的是( )A.y=x3B.y=-x2+1C.y=|x|+1 D.y=2-|x|[答案] C[解析] 由偶函数,排除A;由在(0,+∞)上为增函数,排除B,D,故选C.8.(09·辽宁文)已知偶函数f(x)在区间[0,+∞)单调递增,则满足f(2x-1)<f(13)的x取值范围是( )A.(13,23)B.[13,23)C.(12,23)`D.[12,23)[答案] A[解析] 由题意得|2x-1|<13⇒-13<2x-1<13⇒23<2x<43⇒13<x<23,∴选A.9.若函数f(x)=(x+1)(x+a)为偶函数,则a=( ) A.1 B.-1C.0 D.不存在[解析] 解法1:f(x)=x2+(a+1)x+a为偶函数,∴a+1=0,∴a=-1.解法2:∵f(x)=(x+1)(x+a)为偶函数,∴对任意x∈R,有f(-x)=f(x)恒成立,∴f(-1)=f(1),即0=2(1+a),∴a=-1.10.奇函数f(x)当x∈(-∞,0)时,f(x)=-2x+3,则f(1)与f(2)的大小关系为( )A.f(1)<f(2) B.f(1)=f(2)C.f(1)>f(2) D.不能确定[答案] C[解析] 由条件知,f(x)在(-∞,0)上为减函数,∴f(-1)<f(-2),又f(x)为奇函数,∴f(1)>f(2).[点评] 也可以先求出f(x)在(0,+∞)上解析式后求值比较,或利用奇函数图象对称特征画图比较.二、填空题11.若f(x)=ax2+bx+c(a≠0)为偶函数,则g(x)=ax3+bx2+cx 的奇偶性为________.[答案] 奇函数[解析] 由f(x)=ax2+bx+c(a≠0)为偶函数得b=0,因此g(x)=ax3+cx,∴g(-x)=-g(x),∴g(x)是奇函数.12.偶函数y=f(x)的图象与x轴有三个交点,则方程f(x)=0的所有根之和为________.[答案] 0[解析] 由于偶函数图象关于y轴对称,且与x轴有三个交点,因此一定过原点且另两个互为相反数,故其和为0.三、解答题13.判断下列函数的奇偶性:(1)f(x)=Error!;(2)f(x)=1x2+x.[解析] (1)f(-x)=Error!,∴f(-x)=-f(x),∴f(x)为奇函数.(2)f(-x)=1x2-x≠f(x),f(-x)≠-f(x),∴f(x)既不是奇函数,又不是偶函数.14.已知f(x)是偶函数,g(x)是奇函数,且f(x)+g(x)=x2+x-2,求f(x),g(x)的表达式.[解析] f(-x)+g(-x)=x2-x-2,由f(x)是偶函数,g(x)是奇函数得,f(x)-g(x)=x2-x-2又f(x)+g(x)=x2+x-2,两式联立得:f(x)=x2-2,g(x)=x.15.函数f(x)=ax+b1+x2是定义在(-1,1)上的奇函数,且f(12)=25,求函数f(x)的解析式.[解析] 因为f(x)是奇函数且定义域为(-1,1),所以f(0)=0,即b=0.又f(12)=25,所以12a1+(12)2=25,所以a=1,所以f(x)=x1+x2.16.定义在(-1,1)上的奇函数f(x)是减函数,且f(1-a)+f(1-a2)<0,求实数a的取值范围.[解析] 由f(1-a)+f(1-a2)<0及f(x)为奇函数得,f(1-a)<f(a2-1),∵f(x)在(-1,1)上单调减,∴Error! 解得0<a<1.故a的取值范围是{a|0<a<1}.17.f(x)是奇函数,当x≥0时,f(x)的图象是经过点(3,-6),顶点为(1,2)的抛物线的一部分,求f(x)的解析式,并画出其图象.[解析] 设x≥0时,f(x)=a(x-1)2+2,∵过(3,-6)点,∴a(3-1)2+2=-6,∴a=-2.即f(x)=-2(x-1)2+2.当x<0时,-x>0,f(-x)=-2(-x-1)2+2=-2(x+1)2+2,∵f(x)为奇函数,∴f(-x)=-f(x),∴f(x)=2(x+1)2-2,即f(x)=Error!,其图象如图所示.。
高中数学必修1函数单调性和奇偶性专项练习(含答案)高中数学必修1 第二章函数单调性和奇偶性专项练一、函数单调性相关练题1、(1)函数f(x)=x-2,x∈{1,2,4}的最大值为3.在区间[1,5]上的最大值为9,最小值为-1.2、利用单调性的定义证明函数f(x)=(2/x)在(-∞,0)上是减函数。
证明:对于x1<x2.由于x1和x2都小于0,所以有x1<x2<0,因此有f(x2)-f(x1)=2/x1-2/x2=2(x2-x1)/x1x2<0.因此,f(x)在(-∞,0)上是减函数.3、函数f(x)=|x|+1的图像是一条V型曲线,单调区间为(-∞,0]和[0,∞).4、函数y=-x+2的图像是一条斜率为-1的直线,单调区间为(-∞,+∞).5、已知二次函数y=f(x)(x∈R)的图像是一条开口向下且对称轴为x=3的抛物线,比较大小:(1)f(6)与f(4);(2)f(2)与f(15).1) 因为f(x)是开口向下的抛物线,所以对于x>3,f(x)是减函数,对于x<3,f(x)是增函数。
因此,f(6)<f(4).2) 因为f(x)是开口向下的抛物线,所以对于x3,f(x)是增函数。
因此,f(2)>f(15).6、已知y=f(x)在定义域(-1,1)上是减函数,且f(1-a)<f(3a-2),求实数a的取值范围.因为f(x)在(-1,1)上是减函数,所以对于0f(3a-2)。
因此,实数a的取值范围为0<a<1.7、求下列函数的增区间与减区间:1) y=|x^2+2x-3|的图像是一条开口向上的抛物线,单调区间为(-∞,-3]和[1,+∞).2) y=1-|x-1|的图像是一条V型曲线,单调区间为(-∞,1]和[1,+∞).3) y=-x^2-2x+3的图像是一条开口向下的抛物线,单调区间为(-∞,-1]和[1,+∞).4) y=1/(x^2-x-20)的图像是一条双曲线,单调区间为(-∞,-4]和[-1,1]和[5,+∞).8、函数f(x)=ax^2-(3a-1)x+a^2在[1,+∞)上是增函数,求实数a的取值范围.因为f(x)在[1,+∞)上是增函数,所以对于x>1,有f(x)>f(1)。
高一数学函数的奇偶性试题答案及解析1.若函数是偶函数,则的递减区间是【答案】【解析】偶函数的图像关于轴对称,故,则,则的递减区间是。
【考点】(1)偶函数图像的性质;(2)二次函数单调区间的求法。
2.设函数和分别是上的偶函数和奇函数,则下列结论恒成立的是A.是偶函数B.是奇函数C.是偶函数D.是奇函数【答案】A【解析】由设函数f(x)和g(x)分别是R上的偶函数和奇函数,我们易得到|f(x)|、|g(x)|也为偶函数,进而根据奇+奇=奇,偶+偶=偶,逐一对四个结论进行判断,即可得到答案.∵函数f(x)和g(x)分别是R上的偶函数和奇函数,则|g(x)|也为偶函数,则f(x)+|g(x)|是偶函数,故A满足条件;f(x)-|g(x)|是偶函数,故B不满足条件;|f(x)|也为偶函数,则|f(x)|+g(x)与|f(x)|-g(x)的奇偶性均不能确定故选A【考点】函数奇偶性的判断3.设函数为奇函数,,,则=()A.0B.C.D.-【答案】C.【解析】由题意知,,又因为函数为奇函数,所以,且,再令中得,,即,所以,故选C.【考点】函数的奇偶性;抽象函数.4.已知为偶函数,当时,,则满足的实数的个数为().A.2B.4C.6D.8【答案】D【解析】令,则,解得;又因为为偶函数,所以当时,,则或;当时,,方程无解;,方程有两解;,方程有一解;,方程有一解;即当时,有四解,由偶函数的性质,得当时,也有四解;综上,有8解.【考点】函数的性质、方程的解.5.偶函数满足,且在时,,若直线与函数的图像有且仅有三个交点,则的取值范围是()A.B.C.D.【答案】B【解析】因为,所以函数的图像关于直线对称,又是偶函数,所以,即有,所以是周期为2的函数,由,得,即,画出函数和直线的示意图因为直线与函数的图像有且仅有三个交点,所以根据示意图易知:由直线与半圆相切,可计算得到,由直线与半圆相切可计算得到,所以,选B.【考点】1.函数的对称性、奇偶性、周期性;2.函数图像;3.直线与圆的位置关系;4.点到直线的距离公式.6.若函数在其定义域上为奇函数,则实数 .【答案】【解析】小题可采用带特殊值法求得,检验此时在处有定义.【考点】奇函数定义及特殊值法.7.已知函数是偶函数(1)求k的值;(2)若函数的图象与直线没有交点,求b的取值范围;(3)设,若函数与的图象有且只有一个公共点,求实数的取值范围【答案】(1);(2);(3)【解析】(1)因为函数是偶函数,所以根据偶函数的定义,得到一个关于x,k的等式.由于对于任意的x都成立,相当于恒过定点的问题,所以求得k的值.(2)因为函数的图象与直线没有交点,所以对应的方程没有解,利用分离变量的思维可得到一个等式,该方程无解.所以等价两个函数与没有交点,所以求出函数的最值.即可得到b的取值范围.(3)因为,若函数与的图象有且只有一个公共点,所以等价于方程有且只有一个实数根.通过换元将原方程化为含参的二次方程的形式,即等价于该二次方程仅有一个大于零的实根,通过讨论即可得到结论.试题解析:(1)因为为偶函数,所以,即对于任意恒成立.于是恒成立,而不恒为零,所以. 4分(2)由题意知方程即方程无解.令,则函数的图象与直线无交点.因为,由,则,所以的取值范围是 . 8分(3)由题意知方程有且只有一个实数根.令,则关于的方程 (记为(*))有且只有一个正根.若,则,不合题意, 舍去;若,则方程(*)的两根异号或有两相等正根.由或;但,不合题意,舍去;而;若方程(*)的两根异号综上所述,实数的取值范围是. 12分【考点】1.函数的奇偶性.2.函数的与方程的思想的转化.3.换元法的应用.4.含参数的方程的根的讨论.8.设函数是定义在上的偶函数,当时,.若,则实数的值为 .【答案】【解析】若,则由,得,,解得成立.若,则由,得,即,,得,即,所以.【考点】函数的奇偶性.9.定义在上的函数,对任意都有,当时,,则________.【答案】【解析】由可知函数是周期函数且周期为;所以,而当时,,故.【考点】1.函数的周期性;2.抽象函数;3.函数的解析式.10.已知是定义在上的奇函数,当时,,那么的值是( ) A.B.C.D.【答案】A【解析】因为是定义在上的奇函数,所以.【考点】奇函数的定义.11.已知函数的定义域为,且为偶函数,则实数的值可以是( ) A.B.C.D.【答案】A【解析】因为函数的定义域为,所以在函数中,,则函数的定义域为,又因为为偶函数,所以,故选A.【考点】本题主要考查了抽象函数的定义域,以及偶函数的性质.12.已知定义在R上的单调递增函数满足,且。
高一数学函数的奇偶性试题答案及解析1.设函数和分别是上的偶函数和奇函数,则下列结论恒成立的是A.是偶函数B.是奇函数C.是偶函数D.是奇函数【答案】A【解析】由设函数f(x)和g(x)分别是R上的偶函数和奇函数,我们易得到|f(x)|、|g(x)|也为偶函数,进而根据奇+奇=奇,偶+偶=偶,逐一对四个结论进行判断,即可得到答案.∵函数f(x)和g(x)分别是R上的偶函数和奇函数,则|g(x)|也为偶函数,则f(x)+|g(x)|是偶函数,故A满足条件;f(x)-|g(x)|是偶函数,故B不满足条件;|f(x)|也为偶函数,则|f(x)|+g(x)与|f(x)|-g(x)的奇偶性均不能确定故选A【考点】函数奇偶性的判断2.若定义在上的奇函数和偶函数满足,则()A.B.C.D.【答案】A【解析】为奇函数和为偶函数,由可得,即,,可解得.故选A.【考点】函数的奇偶性.3.已知f(x)是定义在(-3,3)上的奇函数,当0<x<3时,如图所示,那么不等式f(x)cosx<0的解集是( ).A.B.C.D.【解析】图1图2如图1为f(x)在(-3,3)的图象,图2为y=cosx图象,要求得的解集,只需转化为在寻找满足如下两个关系的区间即可:,结合图象易知当时,,当时,,当时,,故选B.【考点】奇函数的性质,余弦函数的图象,数形结合思想.4.已知函数为偶函数,且若函数,则= .【答案】2014【解析】由函数为偶函数,且得从而,故应填入2014.【考点】函数的奇偶性.5.若函数在其定义域上为奇函数,则实数 .【答案】【解析】小题可采用带特殊值法求得,检验此时在处有定义.【考点】奇函数定义及特殊值法.6.函数的图像大致是()【答案】A【解析】因为的定义域为且,所以为上的偶函数,该函数的图像关于轴对称,只能是图像A、C选项之一,而,故选A.【考点】1.函数的图像;2.函数的奇偶性.7.已知,,则_ ____.【答案】5【解析】函数,,又为奇函数,所以.【考点】函数奇偶性.8.已知是奇函数,且,则.【解析】令,因为此函数是奇函数,所以。
1.已知函数【1】f (x )=ax 2+bx +c (a ≠0)是偶函数,那么g (x )=ax 3+bx 2+cx( )A .奇函数B .偶函数C .既奇又偶函数D .非奇非偶函数2.已知函数f (x )=ax 2+bx +3a +b 是偶函数,且其定义域为[a -1,2a ],则( )A .31=a ,b =0 B .a =-1,b =0 C .a =1,b =0 D .a =3,b =04.已知f (x )=x 5+ax 3+bx -8,且f (-2)=10,那么f (2)等于( ) A .-26 B .-18 C .-10 D .105.函数1111)(22+++-++=x x x x x f 是( )A .偶函数B .奇函数C .非奇非偶函数D .既是奇函数又是偶函数 6.若)(x ϕ,g (x )都是奇函数,2)()(++=x bg a x f ϕ在(0,+∞)上有最大值5,则f (x )在(-∞,0)上有( )A .最小值-5B .最大值-5C .最小值-1D .最大值-37.函数2122)(x x x f ---=的奇偶性为________(填奇函数或偶函数) .8.若y =(m -1)x 2+2mx +3是偶函数,则m =_________.9.已知f (x )是偶函数,g (x )是奇函数,若11)()(-=+x x g x f ,则f (x )的解析式为_______.10.已知函数f (x )为偶函数,且其图象与x 轴有四个交点,则方程f (x )=0的所有实根之和为________.11.设定义在[-2,2]上的偶函数f (x )在区间[0,2]上单调递减,若f (1-m )<f (m ),求实数m 的取值范围.12.已知函数f (x )是奇函数,且当x >0时,f (x )=x 3+2x 2—1,求f (x )在R 上的表达式.13.设函数y =f (x )(x ∈R 且x ≠0)对任意非零实数x 1、x 2满足f (x 1·x 2)=f (x 1)+f(x 2),求证f (x )是偶函数.1. 解析:f (x )=ax 2+bx +c 为偶函数,x x =)(ϕ为奇函数,∴g (x )=ax 3+bx 2+cx =f (x )·)(x ϕ满足奇函数的条件. 答案:A2.解析:由f (x )=ax 2+bx +3a +b 为偶函数,得b =0.又定义域为[a -1,2a ],∴a -1=2a ,∴31=a .故选A .4.解析:f (x )+8=x 5+ax 3+bx 为奇函数,f (-2)+8=18,∴f (2)+8=-18,∴f (2)=-26. 答案:A5.解析:此题直接证明较烦,可用等价形式f (-x )+f (x )=0. 答案:B 6.解析:)(x ϕ、g (x )为奇函数,∴)()(2)(x bg x a x f +=-ϕ为奇函数. 又f (x )在(0,+∞)上有最大值5, ∴f (x )-2有最大值3.∴f (x )-2在(-∞,0)上有最小值-3, ∴f (x )在(-∞,0)上有最小值-1. 答案:C 7.答案:奇函数8.答案:0解析:因为函数y =(m -1)x 2+2mx +3为偶函数,∴f (-x )=f (x ),即(m -1)(-x )2+2m (-x )+3=(m —1)x 2+2mx +3,整理,得m =0. 9.解析:由f (x )是偶函数,g (x )是奇函数,可得11)()(--=-x x g x f ,联立11)()(-=+x x g x f ,∴11)1111(21)(2-=----=x x x x f .答案:11)(2-=x x f 10.答案:0 11.答案:21<m13. f (x )=x 3+2x 2-1.因f (x )为奇函数,∴f (0)=0.当x <0时,-x >0,f (-x )=(-x )3+2(-x )2-1=-x 3+2x 2-1, ∴f (x )=x 3-2x 2+1.因此,.)0()0()0(12012)(,,2323<=>+--+=⎪⎩⎪⎨⎧x x x x x x x x f15.解析:由x 1,x 2∈R 且不为0的任意性,令x 1=x 2=1代入可证,f (1)=2f (1),∴f (1)=0. 又令x 1=x 2=-1,∴f[-1×(-1)]=2f(1)=0,∴(-1)=0.又令x1=-1,x2=x,∴f(-x)=f(-1)+f(x)=0+f(x)=f(x),即f(x)为偶函数.。
函数的单一性和奇偶性例 1(1)画出函数y= -x2+2| x|+3 的图像,并指出函数的单一区间.解:函数图像以以下图所示,当 x≥0时,y= -x2+2x+3 = -( x-1)2+4;当 x< 0 时,y= -x2-2x+3 = -( x+1)2+4 .在( -∞,-1]和[ 0, 1]上,函数是增函数:在[-1, 0]和[ 1, +∞)上,函数是减函数.评析函数单一性是对某个区间而言的,对于单唯一个点没有增减变化,所以对于区间端点只需函数存心义,都能够带上.( 2)已知函数 f( x)= x2+2 ( a-1)x+2在区间( -∞, 4]上是减函数,务实数 a 的取值范围.剖析要充足运用函数的单一性是以对称轴为界限这一特点.解: f( x)= x2+2( a-1)x+2 =[ x+ ( a-1)]2x= 1-a.因为-( a-1)2+2,此二次函数的对称轴是在区间( -∞, 1-a]上 f( x)是单一递减的,若使f( x)在( -∞,4]上单一递减,对称轴x=1-a 一定在 x=4 的右边或与其重合,即 1-a≥4, a≤-3.评析这是波及逆向思想的问题,即已知函数的单一性,求字母参数范围,要注意利用数形联合.例 2判断以下函数的奇偶性:( 1) f ( x)=-( 2) f ( x)=( x-1).解:( 1)f ( x)的定义域为R.因为f ( -x)=| -x+1 | -| -x-1 |=| x-1| -| x+1 |= -f (x).所以 f( x)为奇函数.(2) f ( x)的定义域为{ x| -1≤x< 1},不对于原点对称.所以f( x)既不是奇函数,也不是偶函数.评析用定义判断函数的奇偶性的步骤与方法以下:(1)求函数的定义域,并考察定义域能否对于原点对称.( 2)计算 f( -x),并与f( x)比较,判断 f ( -x)= f( x)或 f(-x)= -f( x)之一能否建立.f ( -x)与 -f ( x)的关系其实不明确时,可考察f( -x)±f(x)= 0 能否建立,从而判断函数的奇偶性.例 3已知函数f( x)=.(1)判断 f( x)的奇偶性.(2)确立 f( x)在( -∞, 0)上是增函数仍是减函数 ?在区间( 0,+∞)上呢 ?证明你的结论.解:因为 f ( x)的定义域为R,又f ( -x)=== f ( x),所以 f( x)为偶函数.( 2)f( x)在( -∞,0)上是增函数,因为f( x)为偶函数,所以f(x)在( 0,+∞)上为减函数.其证明:取 x1< x2< 0,f ( x1) -f ( x2)=-==.因为 x1< x2< 0,所以x2-x1> 0, x1+x 2< 0,x21 +1> 0, x22+1> 0,得 f ( x1) -f ( x2)< 0,即 f ( x1)< f(x2).所以 f( x)在( -∞, 0)上为增函数.评析奇函数在( a,b)上的单一性与在( -b,-a)上的单一性同样,偶函数在( a,b)与( -b,-a)的单一性相反.例 4 已知 y=f ( x)是奇函数,它在( 0, +∞)上是增函数,且 f( x)< 0,试问 F( x)=在( -∞, 0)上是增函数仍是减函数 ?证明你的结论.剖析依据函数的增减性的定义,能够任取x1< x2< 0,从而判断F( x1)-F( x2)=-=的正负.为此,需分别判断f( x1)、 f ( x2)与 f ( x2)的正负,而这能够从已条件中推出.解:任取 x1、x2∈( -∞,0)且 x1< x2,则有 -x1> -x2> 0.∵ y=f (x)在( 0,+∞)上是增函数,且 f ( x)< 0,∴ f ( -x2)< f( -x1)< 0.①又∵ f( x)是奇函数,∴ f ( -x2)= -f( x2), f( -x1)= -f ( x1)②由①、②得f( x2)> f(x1)> 0.于是F(x1) -F( x2)=> 0,即F(x1)> F( x2),所以 F( x)=在( -∞, 0)上是减函数.评析本题最简单发生的错误,是受已知条件的影响,一开始就在(0, +∞)内任取 x1< x2,睁开证明.这样就不可以保证-x1,-x2,在( -∞, 0)内的随意性而致使错误.防止错误的方法是:要明确证明的目标,有针对性地睁开证明活动.-1, 1)内的单一性.例 5 议论函数 f( x)=( a≠0)在区间(剖析依据函数的单一性定义求解.解:设 -1< x1< x2<1,则f ( x1) -f ( x2)=-=∵ x1, x2∈( -1,1),且 x1< x2,∴x1-x2< 0, 1+x1x2> 0,( 1-x 21)( 1-x 22)> 0于是,当a> 0 时, f (x1)< f( x2);当 a< 0 时, f (x1)> f( x2).故当 a>0 时,函数在(-1, 1)上是增函数;当a<0 时,函数在(-1, 1)上为减函数.评析依据定义议论(或证明)函数的单一性的一般步骤是:( 1)设 x1、x2是给定区间内随意两个值,且x1< x2;(2)作差 f( x1) -f ( x2),并将此差式变形;(3)判断 f( x1) -f ( x2)的正负,从而确立函数的单一性.例 6 求证: f( x)= x+(k>0)在区间(0,k]上单一递减.解:设 0<x1<x2≤k,则f ( x1) -f ( x2)= x1+-x2-=∵ 0< x1< x2≤k,∴x1-x2< 0, 0< x1x2< k2,∴f ( x1) -f ( x2)> 0∴f ( x1)> f ( x2),∴f ( x)= x+中(0,k]上是减函数.评析函数 f ( x)在给定区间上的单一性反应了函数 f (x)在区间上函数值的变化趋向,是函数在区间上的整体性质.所以,若要证明f( x)在[ a,b]上是增函数(减函数),就一定证明对于区间[ a,b]上随意两点x1, x2,当 x1< x2时,都有不等式f( x1)< f( x2)( f (x1)> f ( x2))近似能够证明:函数 f( x)= x+(k>0)在区间[k,+∞]上是增函数.例 7剖析判断函数f( x)=的奇偶性.确立函数的定义域后可脱去绝对值符号.解:由得函数的定义域为[-1,1].这时,|x-2 |= 2-x.∴ f ( x)=,∴ f ( -x)===f(x).且注意到 f (x)不恒为零,从而可知, f (x)=是偶函数,不是奇函数.评析因为函数分析式中的绝对值使得所给函数不像拥有奇偶性,若不作深入思虑,便会作出其非奇非偶的判断.但隐含条件(定义域)被揭露以后,函数的奇偶性就特别显然了.这样看来,解题中先确立函数的定义域不单能够防止错误,并且有时还能够避开议论,简化解题过程.函数奇偶性练习一、选择题1.已知函数f(x)=ax2+bx+c(a≠ 0)是偶函数,那么g( x)= ax3+ bx2+ cx()A.奇函数B.偶函数C.既奇又偶函数D.非奇非偶函数2.已知函数f(x)=ax2+bx+3a+b是偶函数,且其定义域为[a-1,2a],则()A.1a, b=0. a=-, b=0. a=,b=0.a=, b=0C D33.已知f(x)是定义在 R 上的奇函数,当x≥ 0 时,f(x)=x2- 2x,则f(x)在 R 上的表达式是()A.y= x( x- 2)B.y = x(| x|- 1) C.y =| x|( x-2)D.y= x(| x|- 2)4.已知f(x)=x5+ax3+bx- 8,且f(- 2)= 10,那么f( 2)等于()A.- 26B.- 18C.- 10D.105.函数1x 2x1)f ( x)x 2是(1x1A.偶函数B.奇函数C.非奇非偶函数D.既是奇函数又是偶函数6.若(x) ,g(x)都是奇函数, f ( x)a bg ( x) 2 在(0,+∞)上有最大值5,则 f ( x)在(-∞,0)上有()A.最小值- 5B.最大值- 5C.最小值- 1D.最大值- 3二、填空题x22 7.函数f ( x)1的奇偶性为 ________(填奇函数或偶函数).x 28.若y =(-1)x2+2+ 3 是偶函数,则= _________.m mx m9.已知f(x)是偶函数,g(x)是奇函数,若1,则 f ( x)的分析式为_______.f (x) g (x)x110.已知函数f( x)为偶函数,且其图象与 x 轴有四个交点,则方程 f( x)=0的全部实根之和为________.三、解答题11.设定义在[- 2,2]上的偶函数f ()在区间[ 0, 2]上单一递减,若f(1-)<f(),务实x m m数 m的取值范围.12.已知函数 f ( x)知足 f (x+ y)+ f ( x- y)=2f ( x)· f ( y)(x R,y R),且f(0)≠0,试证 f ( x)是偶函数.13. 已知函数f ()是奇函数,且当x>0 时,f()=x3+2 2—1,求f()在 R上的表达式.x x x x14. f(x)是定义在(-∞,-5][5,+∞)上的奇函数,且 f (x)在[5,+∞)上单一递减,试判断 f (x )在(-∞,- 5]上的单一性,并用定义赐予证明.15. 设函数 y = f ( x )( x R 且 x ≠0)对随意非零实数x 1、 x 2 知足 f ( x 1· x 2)= f ( x 1)+ f ( x 2),求证 f ( x )是偶函数.函数的奇偶性练习参照答案1. 分析: f ( x )= ax 2+ bx + c 为偶函数, ( x) x 为奇函数,∴ g ( x )= ax 3+ bx 2+ cx = f ( x )· ( x) 知足奇函数的条件. 答案: A2.分析: 由f( )=2+ bx+ 3 + b 为偶函数,得 b = 0.xax a1 .应选 A .又定义域为[ a -1, 2a ],∴ a - 1=2a ,∴ a33.分析: 由 x ≥ 0 时, f ( x )= x 2- 2x , f ( x )为奇函数,∴当 x < 0 时, f ( x )=- f (- x )=-( x 2+2x )=- x 2- 2x = x (- x -2).x(x 2) ( x 0) ,∴ f ( x)2) ( x 0) 即 f (x )= x (| x | - 2)x( x,答案: D4.分析: f (x )+ 8=x 5+ ax 3+ bx 为奇函数,f (- 2)+ 8= 18,∴ f (2)+ 8=- 18,∴ f ( 2)=- 26.答案: A5.分析: 本题直接证明较烦,可用等价形式f (- x )+ f (x )= 0.答案: B6.分析:( x) 、 g (x )为奇函数,∴ f (x)2 a ( x) bg (x) 为奇函数.又 f (x )在( 0,+∞)上有最大值5,∴ f ( x )- 2 有最大值3.∴ f ( x )- 2 在(-∞, 0)上有最小值- 3, ∴ f ( x )在(-∞, 0)上有最小值- 1. 答案:C7.答案: 奇函数8.答案: 0 分析: 因为函数 y =( m - 1) x 2+ 2mx + 3 为偶函数,∴ f (- x )= f (x ),即( m - 1)(- x ) 2+ 2m (- x )+ 3=( m — 1) x 2+ 2mx + 3,整理,得 m= 0.9.分析: 由 f ( x )是偶函数, g ( x )是奇函数,可得f (x)g( x) 1 ,联立 f ( x) g ( x)1x 1x,∴1 (1111f ( x)x 11 ) .2 x x 2 1答案: f (x)1 10.答案: 011 . 答案: m1x21212. 证明: 令 x = = 0,有 f ( 0)+f (0)= 2 ( 0)· (0),又 f ( 0)≠ 0,∴可证 f ( 0)= 1.令xyf f= 0,∴ f ( y )+ f (- y )= 2f (0)· f ( y ) f (- y )= f ( y ),故 f ( x )为偶函数.13. 分析: 本题主假如培育学生理解观点的能力.f ( x )= x 3+ 2x 2- 1.因 f (x )为奇函数,∴ f ( 0)= 0.当 x <0 时,- x > 0, f (- x )=(- x ) 3+ 2(- x ) 2-1=- x 3+ 2x 2- 1, ∴ f ( x )= x 3- 2x 2+ 1.x 3 2 x 21 ( x 0) , 所以, f (x)( x 0) ,x 32x 21( x0) .评论: 本题主要考察学生对奇函数观点的理解及应用能力.14. 分析: 任取 x 1< x 2≤- 5,则- x 1>- x 2≥- 5.因 f (x )在[ 5,+∞]上单一递减,所以f (- x 1)< f (- x 2) f ( x 1)<- f ( x 2) f ( x 1)>f ( x 2),即单一减函数.评论: 本题要注意灵巧运用函数奇偶性和单一性,并实时转变.15. 分析: 由 x 1, x 2 R 且不为 0 的随意性,令 x 1= x 2= 1 代入可证,f ( 1)= 2f ( 1),∴ f ( 1)=0.又令 x 1=x 2=- 1,∴ f [- 1×(- 1)]= 2f (1)= 0,∴(- 1)= 0.又令 x 1=- 1, x 2= x ,∴ f (- x )= f (- 1)+ f ( x )= 0+ f ( x )= f ( x ),即 f ( x )为偶函数.评论: 抽象函数要注意变量的赋值,特别要注意一些特别值,如,x 1= x 2= 1, x 1=x 2=- 1 或 x 1=x2=0等,而后再联合详细题目要求结构出合适结论特点的式子即可.。
数学奇偶性试题及答案高中一、选择题1. 函数f(x) = x^2 + 3x + 2是奇函数还是偶函数?A. 奇函数B. 偶函数C. 非奇非偶函数D. 既奇又偶函数2. 已知函数g(x) = 2x + 1,判断其奇偶性。
A. 奇函数B. 偶函数C. 非奇非偶函数3. 函数h(x) = x^3 - 6x是:A. 奇函数B. 偶函数C. 非奇非偶函数二、填空题4. 若函数f(x) = x^4 - 4x^2 + 3是偶函数,则f(-x) = _______。
5. 函数y = |x|是奇函数还是偶函数?请说明理由。
三、解答题6. 证明函数f(x) = x^3 - 3x是奇函数。
7. 已知函数f(x) = x^2 + 2x + 1,求f(-x),并判断其奇偶性。
四、综合题8. 给定函数f(x) = 2x^2 + 3x - 5,判断其奇偶性,并说明理由。
9. 已知函数g(x) = x^3 + ax^2 + bx + c,若g(x)是奇函数,求a,b,c的关系。
答案:一、选择题1. C. 非奇非偶函数(因为f(-x) ≠ f(x) 且 f(-x) ≠ -f(x))2. A. 奇函数(因为g(-x) = -2x - 1 = -g(x))3. A. 奇函数(因为h(-x) = -x^3 + 6x = -h(x))二、填空题4. f(-x) = (-x)^4 - 4(-x)^2 + 3 = x^4 - 4x^2 + 3,由于f(x) = f(-x),所以f(x)是偶函数。
5. 函数y = |x|是偶函数,因为|-x| = |x|。
三、解答题6. 证明:f(-x) = (-x)^3 - 3(-x) = -x^3 + 3x = -(x^3 - 3x) = -f(x),所以f(x)是奇函数。
7. f(-x) = (-x)^2 + 2(-x) + 1 = x^2 - 2x + 1,由于f(-x) ≠ f(x) 且 f(-x) ≠ -f(x),所以f(x)是非奇非偶函数。
高一数学函数的奇偶性试题答案及解析1.已知是定义在上的奇函数,当时,则当时___________.【答案】【解析】设,则,又是定义在上的奇函数,则,故填.【考点】函数的奇偶性.2.设是定义在R上的奇函数,且的图象关于直线对称,则=________【解析】因为是定义在R上的奇函数,所以f(-x)=-f(x).又因为的图象关于直线对称.所以f(x)=f(1-x).所以由上两式可得f(1-x)=-f(-x)即f(-x)="-" f(1-x)=f(2-x).所以函数是一个周期为2的函数.所以.又因为函数是R上的奇函数所以,.所以填0.【考点】1.函数的周期性.2.函数的对称性.3.函数的奇偶性.3.已知偶函数满足,且当时,,则.【答案】2【解析】由知此函数周期 4,因为为偶函数,所以【考点】函数奇偶性周期性4.已知函数,下列叙述(1)是奇函数;(2)是奇函数;(3)的解为(4)的解为;其中正确的是________(填序号).【答案】(1)(3)【解析】这类问题,必须对每个命题都判断其真假,根据的解析式,显然对任意的都有,即是奇函数,(1)正确;当然此时函数是偶函数,(2)错误;对(3)按照分类讨论,可解得不等式的解是,(3)正确;而对不等式来讲,时,不等式就不成立,故(4)错误.填(1)(3).【考点】分段函数,函数的奇偶性,分类讨论.5.已知是定义在上的偶函数,那么=【答案】【解析】是定义在上的偶函数,因为偶函数定义域关于原点对称,,又由偶函数关于轴对称得:,所以【考点】偶函数的性质应用6.已知函数是定义在上的偶函数.当时,,则当时,.【答案】【解析】把转化为,利用偶函数的定义即可得所求.试题解析:时,.所以,.因为是是定义在上的偶函数,所以.【考点】偶函数,转化与化归思想7.定义在上的奇函数,当时,,则方程的所有解之和为.【答案】【解析】利用奇函数的图象关于原点对称的性质,通过观察图象可知方程的解是及的解的相反数.试题解析:作出时的图象,如下所示:方程的解等价于的图象与直线的交点的横坐标,因为奇函数的图象关于原点对称,所以等价于()的图象与直线的交点的横坐标和()的图象与直线的交点的横坐标的相反数,.由得.所以方程的所有解之和为.【考点】奇函数,方程与函数思想8.函数f(x)=x5+x3的图象关于()对称().A.y轴B.直线y=x C.坐标原点D.直线y=-x【答案】C【解析】∵,∴函数是奇函数,它的图象关于原点对称.图象关于y轴对称的函数是偶函数。
函数的奇偶性问题一、选择题1.已知函数f (x )=ax 2+bx +c (a ≠0)是偶函数,那么g (x )=ax 3+bx 2+cx () A .奇函数 B .偶函数 C .既奇又偶函数 D .非奇非偶函数 解析:f (x )=ax 2+bx +c 为偶函数,x x =)(ϕ为奇函数,∴g (x )=ax 3+bx 2+cx =f (x )·)(x ϕ满足奇函数的条件. 答案:A2.已知函数f (x )=ax 2+bx +3a +b 是偶函数,且其定义域为[a -1,2a ],则() A .31=a ,b =0 B .a =-1,b =0 C .a =1,b =0 D .a =3,b =0 解析:由f (x )=ax 2+bx +3a +b 为偶函数,得b =0. 又定义域为[a -1,2a ],∴a -1=2a ,∴31=a .故选A . 3.已知f (x )是定义在R 上的奇函数,当x ≥0时,f (x )=x 2-2x ,则f (x )在R 上的表达式是( )A .y =x (x -2)B .y =x (|x |-1)C .y =|x |(x -2)D .y =x (|x |-2) 解析:由x ≥0时,f (x )=x 2-2x ,f (x )为奇函数,∴当x <0时,f (x )=-f (-x )=-(x 2+2x )=-x 2-2x =x (-x -2). ∴(2)(0)()(2)(0),,x x x f x x x x ⎧⎨⎩-≥=--<即f (x )=x (|x |-2)答案:D4.已知f (x )=x 5+ax 3+bx -8,且f (-2)=10,那么f (2)等于( ) A .-26 B .-18 C .-10 D .10 解析:f (x )+8=x 5+ax 3+bx 为奇函数,f (-2)+8=18,∴f (2)+8=-18,∴f (2)=-26. 答案:A5.函数1111)(22+++-++=x xx x x f 是()A .偶函数B .奇函数C .非奇非偶函数D .既是奇函数又是偶函数 解析:此题直接证明较烦,可用等价形式f (-x )+f (x )=0. 答案:B 6.若)(x ϕ,g (x )都是奇函数,2)()(++=x bg a x f ϕ在(0,+∞)上有最大值5,则f (x )在(-∞,0)上有( )A .最小值-5B .最大值-5C .最小值-1D .最大值-3 解析:)(x ϕ、g (x )为奇函数,∴()2()()f x a x bg x φ-=+为奇函数. 又f (x )在(0,+∞)上有最大值5, ∴f (x )-2有最大值3. ∴f (x )-2在(-∞,0)上有最小值-3, ∴f (x )在(-∞,0)上有最小值-1. 答案:C 二、填空题 7.函数2122)(xx x f ---=的奇偶性为____奇函数____(填奇函数或偶函数) .8.若y =(m -1)x 2+2mx +3是偶函数,则m =____0_____. 解析:因为函数y =(m -1)x 2+2mx +3为偶函数,∴f (-x )=f (x ),即(m -1)(-x )2+2m (-x )+3=(m —1)x 2+2mx +3,整理,得m =0.9.已知f (x )是偶函数,g (x )是奇函数,若11)()(-=+x x g x f ,则f (x )的解析式为____11)(2-=xx f ___.解析:由f (x )是偶函数,g (x )是奇函数,可得11)()(--=-x x g x f ,联立11)()(-=+x x g x f ,∴11)1111(21)(2-=----=x x x x f . 10.已知函数f (x )为偶函数,且其图象与x 轴有四个交点,则方程f (x )=0的所有实根之和为___0 _____. 三、解答题11.设定义在[-2,2]上的偶函数f (x )在区间[0,2]上单调递减,若f (1-m )<f (m ),求实数m 的取值范围.(21<m ) 12.已知函数f (x )满足f (x +y )+f (x -y )=2f (x )·f (y )(x ∈R ,y ∈R ),且f (0)≠0,试证f (x )是偶函数.证明:令x =y =0,有f (0)+f (0)=2f (0)·f (0),又f (0)≠0,∴可证f(0)=1.令x =0,∴f (y )+f (-y )=2f (0)·f (y )⇒f (-y )=f (y ),故f (x )为偶函数.13.已知函数f (x )是奇函数,且当x >0时,f (x )=x 3+2x 2—1,求f (x )在R上的表达式.解析:本题主要是培养学生理解概念的能力.f (x )=x 3+2x 2-1.因f (x )为奇函数,∴f (0)=0.当x <0时,-x >0,f (-x )=(-x )3+2(-x )2-1=-x 3+2x 2-1,∴f (x )=x 3-2x 2+1.因此,.)0()0()0(12012)(,,2323<=>+--+=⎪⎩⎪⎨⎧x x x x x x x x f 点评:本题主要考查学生对奇函数概念的理解及应用能力.(x )是定义在(-∞,-5] [5,+∞)上的奇函数,且f (x )在[5,+∞)上单调递减,试判断f (x )在(-∞,-5]上的单调性,并用定义给予证明. 解析:任取x 1<x 2≤-5,则-x 1>-x 2≥-5.因f (x )在[5,+∞]上单调递减,所以f (-x 1)<f (-x 2)⇒f (x 1)<-f (x 2)⇒f (x 1)>f (x 2),即单调减函数.点评:此题要注意灵活运用函数奇偶性和单调性,并及时转化.15.设函数y =f (x )(x ∈R 且x ≠0)对任意非零实数x 1、x 2满足f (x 1·x 2)=f (x 1)+f (x 2),求证f (x )是偶函数.解析:由x 1,x 2∈R 且不为0的任意性,令x 1=x 2=1代入可证,f (1)=2f (1),∴f (1)=0.又令x 1=x 2=-1,∴f [-1×(-1)]=2f (1)=0,∴(-1)=0.又令x 1=-1,x 2=x ,∴f (-x )=f (-1)+f (x )=0+f (x )=f (x ),即f (x )为偶函数.点评:抽象函数要注意变量的赋值,特别要注意一些特殊值,如,x 1=x 2=1,x 1=x 2=-1或x1=x2=0等,然后再结合具体题目要求构造出适合结论特征的式子即可.。
1.已知函数f (x )=ax 2+bx +c (a ≠0)是偶函数,那么g (x )=ax 3+bx 2
+cx ( ) A .奇函数 B .偶函数 C .既奇又偶函数 D .非奇非偶函数
2.已知函数f (x )=ax 2+bx +3a +b 是偶函数,且其定义域为[a -1,2a ],则( )
A .3
1=a ,b =0 B .a =-1,b =0 C .a =1,b =0 D .a =3,b =0 4.已知f (x )=x 5+ax 3+bx -8,且f (-2)=10,那么f (2)等于( )
A .-26
B .-18
C .-10
D .10
5.函数1
111)(22
+++-++=x x x x x f 是( ) A .偶函数 B .奇函数 C .非奇非偶函数 D .既是奇函数又是偶函数
6.若)(x ϕ,g (x )都是奇函数,2)()(++=x bg a x f ϕ在(0,+∞)上有最大值5,
则f (x )在(-∞,0)上有( )
A .最小值-5
B .最大值-5
C .最小值-1
D .最大值-3
7.函数2
12
2)(x x x f ---=的奇偶性为________(填奇函数或偶函数) . 8.若y =(m -1)x 2+2mx +3是偶函数,则m =_________.
9.已知f (x )是偶函数,g (x )是奇函数,若11
)()(-=+x x g x f ,则f (x )的解析式为_______.
10.已知函数f (x )为偶函数,且其图象与x 轴有四个交点,则方程f (x )=0的所有实根之和为________.
11.设定义在[-2,2]上的偶函数f (x )在区间[0,2]上单调递减,若f (1-m )<f (m ),求实数m 的取值范围.
12.已知函数f (x )是奇函数,且当x >0时,f (x )=x 3+2x 2
—1,求f (x )在R 上的表达式.
13.设函数y =f (x )(x ∈R 且x ≠0)对任意非零实数x 1、x 2满足f (x 1·x 2)=f (x 1)+f (x 2), 求证f (x )是偶函数.
1. 解析:f (x )=ax 2
+bx +c 为偶函数,x x =)(ϕ为奇函数, ∴g (x )=ax 3+bx 2
+cx =f (x )·)(x ϕ满足奇函数的条件. 答案:A 2.解析:由f (x )=ax 2+bx +3a +b 为偶函数,得b =0.
又定义域为[a -1,2a ],∴a -1=2a ,∴3
1=
a .故选A . 4.解析:f (x )+8=x 5+ax 3+bx 为奇函数, f (-2)+8=18,∴f (2)+8=-18,∴f (2)=-26. 答案:A
5.解析:此题直接证明较烦,可用等价形式f (-x )+f (x )=0. 答案:B
6.解析:)(x ϕ、g (x )为奇函数,∴)()(2)(x bg x a x f +=-ϕ为奇函数.
又f (x )在(0,+∞)上有最大值5, ∴f (x )-2有最大值3.
∴f (x )-2在(-∞,0)上有最小值-3, ∴f (x )在(-∞,0)上有最小值-1. 答案:C
7.答案:奇函数
8.答案:0解析:因为函数y =(m -1)x 2+2mx +3为偶函数,
∴f (-x )=f (x ),即(m -1)(-x )2+2m (-x )+3=(m —1)x 2+2mx +3,整理,得m =0.
9.解析:由f (x )是偶函数,g (x )是奇函数,
可得11)()(--=-x x g x f ,联立11)()(-=+x x g x f ,∴1
1)1111(21)(2-=----=x x x x f . 答案:11)(2-=
x x f 10.答案:0 11.答案:21<m 13. f (x )=x 3+2x 2-1.因f (x )为奇函数,∴f (0)=0.
当x <0时,-x >0,f (-x )=(-x )3+2(-x )2-1=-x 3+2x 2
-1,
∴f (x )=x 3-2x 2+1. 因此,.
)0()0()0(120
12)(,,2323
<=>+--+=⎪⎩⎪⎨⎧x x x x x x x x f 15.解析:由x 1,x 2∈R 且不为0的任意性,令x 1=x 2=1代入可证,
f (1)=2f (1),∴f (1)=0. 又令x 1=x 2=-1,
∴f [-1×(-1)]=2f (1)=0, ∴(-1)=0.又令x 1=-1,x 2=x ,
∴f (-x )=f (-1)+f (x )=0+f (x )=f (x ),即f (x )为偶函数.。