西南交大《高等数学ib》离线作业完整答案
- 格式:doc
- 大小:1.23 MB
- 文档页数:39
试卷1 一、一选择题1..A.正确B.不正确答案:B2.函数在点处可导.A.正确B.不正确答案:A3.函数在内连续.A.正确B.不正确答案:B4.函数的定义域为.A.正确B.不正确答案:A二、二选择题5.是有界函数.A.正确B.不正确答案:A6.设函数,则.A.正确B.不正确答案:B7.设函数,则.A.正确B.不正确答案:B8..A.正确B.不正确答案:B9..A.正确B.不正确答案:A10.是微分方程的解.A.正确B.不正确答案:A三、三选择题11.极限().A.B.C.D.答案:B12.不定积分( ).A.B.C.D.答案:D13.设函数,则().A.B.C.D.答案:D14.定积分=().A.B.C.D.答案:A15.函数的图形如图示,则函数的单调减少区间为( ).A.B.C.D.答案:C16.设函数,则().A.B.C.D.答案:A四、四选择题17.曲线在点处切线的方程为().A.B.C.D.答案:B18.定积分=().A.B.C.D.答案:D19.微分方程的通解是().A.B.C.D.答案:A20.不定积分().A.B.C.D.答案:C试卷2 一、一选择题1.函数在处可导.A.正确B.不正确答案:A2.定积分.A.正确B.不正确答案:B3.函数在点处连续.A.正确B.不正确答案:A4.函数的定义域为.A.正确B.不正确答案:B二、二选择题5.是周期函数.A.正确B.不正确答案:A6..A.正确B.不正确答案:A7.设函数,则.A.正确B.不正确答案:B8.是微分方程的解.A.正确B.不正确答案:B9.设函数,则.A.正确B.不正确答案:A10.不定积分,其中为任意常数.A.正确B.不正确答案:B三、三选择题11.极限().A.B.C.D.答案:A12.设函数,则().A.B.C.D.答案:B13.不定积分().A.B.C.D.答案:C14.定积分=().A.B.C.D.答案:C15.函数的图形如图示,则函数的单调减少区间为( ).A.B.C.D.答案:B16.设函数,则().A.B.C.D.答案:D四、四选择题17.微分方程的通解是().A.B.C.D.答案:D18.曲线在点处切线的方程为().A.B.C.D.答案:A19.不定积分().A.B.C.D.答案:D20.定积分=().A.B.C.D.答案:B试卷3 一、一选择题1.函数的定义域为.A.正确B.不正确答案:A2.函数在内连续.A.正确B.不正确答案:B3.定积分.A.正确B.不正确答案:A4.函数在点处可导.A.正确B.不正确答案:B二、二选择题5.不是一阶微分方程.A.正确B.不正确答案:B6.设函数, 则.A.正确B.不正确答案:B7.是奇函数.A.正确B.不正确答案:A8.设函数,则.A.正确B.不正确答案:A9..A.正确B.不正确答案:B10.是函数的一个原函数.A.正确B.不正确答案:A三、三选择题11.设函数,则().A.B.C.D.答案:B12.不定积分().A.B.C.D.答案:D13.设函数,则().A.B.C.D.答案:A14.定积分=().A.B.C.D.答案:B15.函数的图形如图示,则函数( ).A.在内单调增加, 在区间内单调减少B.在内单调增加C.在内单调减少, 在区间内单调增加D.在内单调减少答案:C16.极限().A.B.C.D.答案:D四、四选择题17.定积分=().A.B.C.D.答案:D18.不定积分⑴⑵⑶则上述解法( ).A.第⑴步开始出错B.第⑵步开始出错C.第⑶步开始出错D.全部正确答案:A19.微分方程的通解是().A.B.C.D.答案:B20.曲线在点处切线的方程为().A.B.C.D.答案:C试卷4 一、一选择题1.函数的定义域为.A.正确B.不正确答案:A2.定积分.A.正确B.不正确答案:B3.函数在点处可导.A.正确B.不正确答案:B4.函数在点处连续.A.正确B.不正确答案:A二、二选择题5.设函数, 则.A.正确B.不正确答案:A6.设函数,则.A.正确B.不正确答案:B7.是偶函数.A.正确B.不正确答案:B8.不是一阶微分方程.A.正确B.不正确答案:B9..A.正确B.不正确答案:A10.不定积分,其中为任意常数.A.正确B.不正确答案:A三、三选择题11.不定积分().A.B.C.D.答案:C12.设函数,则().A.B.C.D.答案:A13.函数的图形如图示,则函数( ).A.在内单调增加, 在区间内单调减少B.在内单调增加C.在内单调减少, 在区间内单调增加D.在内单调减少答案:B14.定积分=().A.B.C.D.答案:D15.设函数,则().A.B.C.D.答案:A16.极限().A.B.C.D.答案:B四、四选择题17.不定积分⑴⑵⑶则上述解法( ).A.第⑴步开始出错B.第⑵步开始出错C.第⑶步开始出错D.全部正确答案:B18.微分方程满足的特解是().A.B.C.D.答案:A19.定积分=().A.B.C.D.答案:D20.曲线在点处切线的方程为().A.B.C.D.答案:C试卷5 一、一选择题1.函数在点处连续.A.正确B.不正确答案:A2.函数在处可导.A.正确B.不正确答案:A3.函数的定义域为.A.正确B.不正确答案:B4.定积分.A.正确B.不正确答案:B二、二选择题5.是可分离变量微分方程.A.正确B.不正确答案:A6..A.正确B.不正确答案:B7.设函数,则.A.正确B.不正确答案:A8.设函数, 则.A.正确B.不正确答案:B9.不定积分,其中为任意常数.A.正确B.不正确答案:B10.是奇函数.A.正确B.不正确答案:A三、三选择题11.设函数,则().A.B.C.D.答案:A12.定积分=().A.B.C.D.答案:D13.设函数,则().A.B.C.D.答案:B14.极限().A.B.C.D.答案:B15.不定积分().A.B.C.D.答案:C16.函数的图形如图示,则函数( ).A.在内单调增加, 在区间内单调减少B.在内单调增加C.在内单调减少, 在区间内单调增加D.在内单调减少答案:C四、四选择题17.定积分=().A.B.C.D.答案:D18.曲线在点处切线的方程为().A.B.C.D.答案:B19.不定积分⑴⑵⑶则上述解法( ).A.第⑴步开始出错B.第⑵步开始出错C.第⑶步开始出错D.全部正确答案:C20.微分方程满足的特解是().A.B.C.D.答案:A。
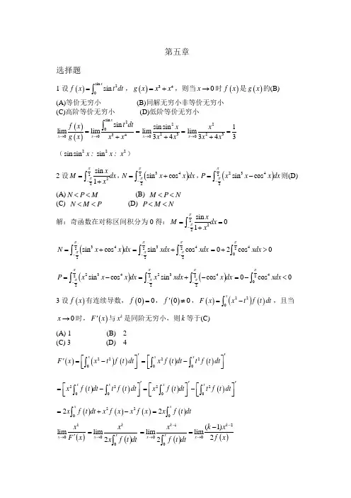
第五章选择题1设()sin 20sin x f x t dt =⎰,()34g x x x =+,则当0x →时()f x 是()g x 的(B)(A)等价无穷小 (B)同解无穷小非等价无穷小 (C)高阶等价无穷小 (D)低阶等价无穷小()()sin 2034sin limlimxx x t dtf xg x x x →→==+⎰2230sin sin lim 34x x x x →=+22301lim 343x x x x →=+ (222sinsin sin x x x )2设222sin 1x M dx x ππ-=+⎰,()3422sin cos N x x dx ππ-=+⎰,()23422sin cos P x x x dx ππ-=-⎰则(D) (A)N P M << (B) M P N <<(C) N M P << (D) P M N << 解:奇函数在对称区间积分为0得:222sin 01xM dx x ππ-==+⎰()3422sin cos N x x dx ππ-=+⎰342222sin cos xdx xdx ππππ--=+⎰⎰42002cos 0xdx π=+>⎰()23422sin cos P xx x dx ππ-=-⎰()2342222sin cos x xdx x dx ππππ--=+-⎰⎰4200cos 0xdx π=-<⎰3设()f x 有连续导数,()00f =,()00f '≠,()()()220xF x x t f t dt =-⎰,且当0x →时,()F x '与k x 是同阶无穷小,则k 等于(C)(A) 1 (B) 2 (C) 3 (D) 4()()()220x F x x t f t dt '⎡⎤'=-⎢⎥⎣⎦⎰()()2200x xx f t dt t f t dt '⎡⎤=-⎢⎥⎣⎦⎰⎰()()2200x x x f t dt t f t dt '⎡⎤=-⎢⎥⎣⎦⎰⎰()()2200x x x f t dt t f t dt ''⎡⎤⎡⎤=-⎢⎥⎢⎥⎣⎦⎣⎦⎰⎰ ()()()2202x x f t dt x f x x f x =+-⎰()02xx f t dt =⎰()0lim k x x F x →'()00lim 2k x x x x f t dt →=⎰()100lim 2k xx x f t dt-→=⎰()20(1)lim 2k x k x f x -→-=()30(1)(2)lim 2k x k k x f x -→--=' 若3k <()0lim k x x F x →'=∞,若3k >()0limk x x F x →'()30(1)(2)lim 02k x k k x f x -→--==' 当3k =()0limk x x F x →'()()30(1)(2)(1)(2)lim 0,220k x k k x k k f x f -→----==≠∞'' 4:设()2sin sin x t xF x e tdt π+=⎰,则()F x (A)(A) 为正常数 (B) 为负常数(C) 恒为零 (D) 不为常数sin sin t e t 是以2π为周期的函数,故()2sin sin x t xF x e tdt π+=⎰2sin 0sin t e tdt π=⎰又2sin 0sin tetdt π⎰2sin sin 0sin sin tt etdt e tdt πππ=+⎰⎰sin sin()0sin sin()()t u e tdt e u d u πππππ-=+--⎰⎰sin sin 0sin sin t u e tdt e udu ππ-=-⎰⎰sin sin 0sin sin t t e tdt e tdt ππ-=-⎰⎰()sin sin 0sin 0t t e e tdt π-=->⎰(当0x >时0x x e e -->)5设在区间[,]a b 上,()0f x >,()0f x '<,()0f x ''>,令()1ba s f x dx =⎰()()2s f b b a =-,()()()312s f b f a b a =+-⎡⎤⎣⎦,则(B) (A) 123s s s << (B) 213s s s << (C) 312s s s << (D) 231s s s <<S 2S 3S 1a bf (x)法二:由积分中值定理有()1bas f x dx =⎰()()()f b a a b ξξ=-<<,(1) 又()0f x '<且()0f x >得()()0f f b ξ>>(2) (1)(2)得21s s <()0f x ''>,故函数是凹的()()()()()()f b f a f x x a f a b a -⇒<-+-()13()()()()()b b a af b f a s f x dx x a f a dx s b a ⎡⎤-⇒=<-+=⎢⎥-⎣⎦⎰⎰ 6设()f x 连续,则()220xd tf x t dx dx -⎰等于(A)(A) ()2xf x (B) ()2xf x - (C) ()22xf x (D) ()22xf x -()220x d tf x t dx dx -⎰()()2222012x d f x t d x t dx ⎡⎤=---⎢⎥⎣⎦⎰ ()2012x d f u du dx ⎡⎤=-⎢⎥⎣⎦⎰()()22122f x x xf x ⎡⎤=--∙=⎣⎦ (令22u x t =-)7设()f x 连续,则下列函数中必为偶函数的是 (A) ()20x f t dt ⎰ (B) ()20xf t dt ⎰(C) ()()0xt f t f t dt --⎡⎤⎣⎦⎰ (D) ()()0xt f t f t dt +-⎡⎤⎣⎦⎰(A)()20xf t dt ⎰令 ()20()xF x f t dt =⎰,则()20()x F x f t dt --=⎰()()22()()()xxF x f t dt f u d u --==--⎰⎰()2xf u du =-⎰()20()x f t dt F x =-=-⎰(B)()20xf t dt ⎰令 ()20()xF x f t dt =⎰,则()20()xF x f t dt --=⎰()2()xF x ft dt --=⎰()2()xfu d u =--⎰()2xfu du =--⎰()20?xf t dt =--=⎰(C)()()0xt f t f t dt --⎡⎤⎣⎦⎰令 ()()0()xF x t f t f t dt =--⎡⎤⎣⎦⎰,则()()0()xF x t f t f t dt --=--⎡⎤⎣⎦⎰ ()()0()x F x t f t f t dt --=--⎡⎤⎣⎦⎰()()0()()xu f u f u d u =----⎡⎤⎣⎦⎰ ()()0x u f u f u du =---⎡⎤⎣⎦⎰()()0()xt f t f t dt F x =---=-⎡⎤⎣⎦⎰ (D)()()0xt f t f t dt +-⎡⎤⎣⎦⎰令 ()()0()xF x t f t f t dt =+-⎡⎤⎣⎦⎰,则()()0()xF x t f t f t dt --=+-⎡⎤⎣⎦⎰ ()()0()x F x t f t f t dt --=+-⎡⎤⎣⎦⎰()()0()()xu f u f u d u =--+-⎡⎤⎣⎦⎰ ()()0x u f u f u du =+-⎡⎤⎣⎦⎰()()0()xt f t f t dt F x =+-=⎡⎤⎣⎦⎰ 8:把0x +→时的无穷小量2cos xt dt α=⎰,2tan x tdt β=⎰,30sin xt dt γ=⎰排列起来,使得在后面的是前一个的高阶无穷小,则正确的次序是(B)(A) ,,αβγ (B) ,,αγβ (C) ,,βαγ (D) ,,βγα20cos lim lim xx x t dt xxα++→→=⎰20lim cos 1x x +→==,故x α 23300tan limlimx x x tdt x x β++→→=⎰202tan lim 3x x x x +→=22022lim 33x x x +→==,故332x β 3220sin lim limxx x t dt x x γ++→→==⎰()3sin2lim 2x x xx+→=()()33sin1lim 44x xx +→=,故24x γ 二 计算题1设()f x 连续, ()()1x f xt dt ϕ=⎰,且()0limx f x A x→=(A 为常数),求()x ϕ'并讨论()x ϕ'在0x =处的连续性。
1. 利用定积分定义计算由直线y =x +1,直线x =a ,x =b (a<b )及x 轴所围成的图形的面积. 解 因y =x +1在[a,b ]上连续,所以x +1在[a,b ]上可积,从而可特殊地将[a,b ]n 等分,并取,,()()1i i i b a b a b aa i x f a i n n nξξ---=+==++Δ, 于是111()[()1]1()(1)11()[(1)(1)()]2nni i i i ni b a b af x a i n nb a b a a i n n b a n a n b a n ξ===--=++-=-++=-+++-⋅∑∑∑Δ 故面积 2111(1)lim ()()(1)22nbi i an i b a S x x f x b a a b a n ξ→∞=-=+==-+++-∑⎰d Δ 1()(2)2b a a b =-++2. 利用定积分的几何意义求定积分: (1)102d x x ⎰;(2) 0ax ⎰(a >0).解 (1)根据定然积分的几何意义知, 102d x x ⎰表示由直线y =2x ,x =0,x =1及x 轴所围的三角形的面积,而此三角形面积为1,所以12d x x ⎰=1.(2) 根据定积分的几何意义知,0ax ⎰表示由曲线0,y x x a ===及x 轴所围成的14圆的面积,而此14圆面积为214πa ,所以2014πx a =⎰.3. 根据定积分的性质,比较积分值的大小: (1)120d x x ⎰与130d x x ⎰; (2)1e d x x ⎰与1(1)d x x +⎰.解 (1)∵当[0,1]x ∈时,232(1)0x x x x -=-≥,即23x x ≥,又2x3x ,所以11230d d x x x x >⎰⎰.(2)令()1,()1e e x xf x x f x '=--=-,因01x ≤≤,所以()0f x '>, 从而()(0)0f x f ≥=,说明1e xx ≥+,又e x1+x .所以11(1)e d d xx x x >+⎰⎰.4. 估计下列各积分值的范围: (1)421(1)d x x +⎰;(2) arctan d x x ;(3)2e d ax ax --⎰(a >0); (4)22e d xxx -⎰.解 (1)在区间[1,4]上,函数2()1f x x =+是增函数,故在[1,4]上的最大值(4)17M f ==,最小值(1)2m f ==,所以4212(41)(1)17(41)d x x -≤+≤-⎰, 即 4216(1)51d x x ≤+≤⎰.(2)令()arctan f x x x =,则2()arctan 1xf x x x '=++,当x ∈时,()0f x '>,从而()f x在上是增函数,从而f (x )在上的最大值M f ==,最小值πm f ==所以2arctan 93ππππd x x =≤≤= 即2arctan 93ππd x x x ≤≤.(3)令2()e x f x -=,则2()2e x f x x -'=-,令()0f x '=得驻点x =0,又(0)1f =,2()()ea f a f a -=-=,a >0时, 21ea -<,故()f x 在[-a,a ]上的最大值M =1,最小值2ea m -=,所以2222ee d aa x aa x a ---≤≤⎰.(4)令2()e xxf x -=,则2()(21)e xxf x x -'=-,令()0f x '=得驻点12x =,又(0)1,f = 1241(),(2)2e ef f -==,从而()f x 在[0,2]上的最大值2e M =,最小值14e m -=,所以 212242ee d e x x x --≤≤⎰,而2222ed e d x xx x x x --=-⎰⎰,故 21024222e ed ex xx ---≤≤-⎰.5. 设f (x )及g (x )在[a , b ]上连续, 证明:(1)若在[a , b ]上, f (x )≥0, 且0)(=⎰ba dx x f , 则在[a ,b ]上f (x )≡0; (2)若在[a , b ]上, f (x )≥0, 且f (x )≢0, 则0)(>⎰ba dx x f ;(3)若在[a , b ]上, f (x )≤g (x ), 且⎰⎰=b a ba dx x g dx x f )()(, 则在[a ,b ]上f (x )≡g (x ).证明 (1)假如f (x )≢0, 则必有f (x )>0. 根据f (x )在[a , b ]上的连续性, 在[a , b ]上存在一点x 0, 使f (x 0)>0, 且f (x 0)为f (x )在[a , b ]上的最大值.再由连续性, 存在[c , d ]⊂[a , b ], 且x 0∈[c , d ], 使当x ∈[c , d ]时, 2)()(0x f x f >. 于是0)(2)()()()()()(0>-≥≥++=⎰⎰⎰⎰⎰c d x f dx x f dx x f dx x f dx x f dx x f dc bd d c c a b a . 这与条件0)(=⎰ba dx x f 相矛盾. 因此在[a ,b ]上f (x )≡0.(2)证法一 因为f (x )在[a , b ]上连续, 所以在[a , b ]上存在一点x 0, 使f (x 0)>0, 且f (x 0)为f (x )在[a , b ]上的最大值.再由连续性, 存在[c , d ]⊂[a , b ], 且x 0∈[c , d ], 使当x ∈[c , d ]时, 2)()(0x f x f >. 于是⎰⎰>-≥≥badcc d x f dx x f dx x f 0)(2)()()(0. 证法二 因为f (x )≥0, 所以0)(≥⎰ba dx x f . 假如0)(>⎰ba dx x f 不成立. 则只有0)(=⎰ba dx x f , 根据结论(1), f (x )≡0, 矛盾. 因此0)(>⎰ba dx x f .(3)令F (x )=g (x )-f (x ), 则在[a , b ]上F (x )≥0且0)()()]()([)(=-=-=⎰⎰⎰⎰ba b a b a b a dx x f dx x g dx x f x g dx x F ,由结论(1), 在[a , b ]上F (x )≡0, 即f (x )≡g (x ).1. 求下列导数:(1) 20d d x t x ⎰; (2) 53ln 2d e d d x t t t x -⎰;(3) cos 2sin cos()d xxt t '⎡⎤π⎢⎥⎣⎦⎰; (4) 22dsin d d xtt xtπ⎰(x >0). 解220(1)()2d d x t x x'==⎰5353ln 2(2)d e d e d x tx t t x x --=⎰cos cos sin 222sin 00cos sin 220022222(3)cos()cos()cos()cos()cos()cos(cos )(cos )cos(sin )(sin )cos(cos )sin cos(sin )cos cos(sin )sin πd πd πd πd πd πππππx x xx xx t t t t t t t t t tx x x x x x x x x x ''⎡⎤⎡⎤=-⎣⎦⎣⎦''⎡⎤⎡⎤=-⎣⎦⎣⎦''=⋅-⋅=--=-⎰⎰⎰⎰⎰22cos(sin )cos (sin cos )cos(sin )ππx x x x x =-2222sin sin sin (4)cos sin sin cos .ππd d d d d d d d d d xx t t x t t xt x x x t x x x x x x x x x⎛⎫⎛⎫==- ⎪ ⎪⎝⎭⎝⎭--=-=⎰⎰2. 求下列极限:(1) 02arctan d limxx t t x→⎰; (2) 2030sin 3d lime d x xx tt t t t→-⎰⎰; (3)()22220e d lime d x t xx t t t t→⎰⎰.解 ()002200021arctan arctan arctan 11(1)limlim lim lim 222d d x xx x x x t t t t x x x x x →→→→'⎡⎤--⎣⎦+====-'⎰⎰2220030003300222200sin 3sin 3sin 32(2)lim lim lim 2sin 3sin 3lim lim 663d d e e d e d e e x x x x x x x t xt x xx x t t t t x x x t tt t x x x x-→→→--→→'⎡⎤⋅⎢⎥⎣⎦=='⎡⎤⎣⎦=⋅=⋅⋅=⎰⎰⎰⎰ ()()[]222222222222222200002000022000200022(3)lim lim lim lim 222lim lim lim 2122e d e d e d e e d e e e d e d e d e e e e xxx x t t t x tx x x x x x x t x t x t x x x x x x x t t t t x x t tt t t x x x x →→→→→→→'⎡⎤⋅⎢⎥⎣⎦==='⎡⎤⎣⎦'⎡⎤⎣⎦====+'+⋅⎰⎰⎰⎰⎰⎰⎰ 3. 求由方程e d cos d 0yxt t t t +=⎰⎰所确定的隐函数y =y (x )的导数.解 方程两边对x 求导数得:cos 0e y y x '⋅+=, cos e yxy '∴=-. 又由已知方程有000sin e y xtt +=,即1sin sin 00e y x -+-=即1sin e yx =-,于是有cos cos sin 1e yx xy x '=-=-.4. 当x 为何值时,I (x )=2e d xt t t -⎰有极值?解 2()e x I x x -'=,令()0I x '=得驻点0x =,又22()(12),(0)10e x I x x I -''''=-=>, 所以当x =0时,I (x )有极小值,且极小值为I (0)=0.5. 计算下列定积分:(1)3x ⎰; (2)221d x x x --⎰;(3)()d f x x π⎰,其中,0,2()sin ,2x x f x x x π⎧≤≤⎪⎪=⎨π⎪≤≤π;⎪⎩ (4){}222max 1,d x x -⎰.解433322233222(1)(43)(8333x x ⎛⎫==-=- ⎪⎝⎭⎰21222221101(2)()()()d d d d x x x x x x x x x x x x --=-+-+--⎰⎰⎰⎰012322332101111111116322332x x x x x x -⎛⎫⎛⎫⎛⎫=++=--- ⎪ ⎪ ⎪⎝⎭⎝⎭⎝⎭()22220022(3)()sin 1cos 82ππππππππd d d xf x x x x x x x =+=+=+-⎰⎰⎰(4)由于22221()max{1,}11112x x f x x x x x ⎧-≤<-⎪==-≤<⎨⎪≤≤⎩,于是 21121212223312122111120max{1,}333d d 1d d x x x x x x x x x x -------=++=++=⎰⎰⎰⎰6. 已知f (x )连续,且f (2)=3,求2222()d d lim(2)xt x f u u t x →⎡⎤⎢⎥⎣⎦-⎰⎰.解 []222222222222()()()()limlim lim lim(2)2(2)2(2)(2)x xt t x xx x x x t f u u t f u u f u u f u u x x x x →→→→''⎡⎤⎡⎤⎡⎤⎡⎤⎢⎥⎣⎦⎣⎦⎣⎦⎣⎦===--''-⎡⎤-⎣⎦⎰⎰⎰⎰⎰⎰d d d d d d 22()113lim lim ()(2)2222x x f x f x f →→-==-=-=-.7. 设k 为正整数. 试证下列各题: (1)⎰-=ππ0cos kxdx ;(2)⎰-=ππ0sin kxdx ;(3)⎰-=πππkxdx 2cos ;(4)⎰-=πππkxdx 2sin.证明 (1)⎰--=-=--==ππππππ000)(sin 1sin 1|sin 1cos k kk k kx k kxdx . (2))(cos 1cos 1cos 1sin ππππππ-+-=-=--⎰k kk k x k k kxdx0cos 1cos 1=+-=ππk k k k .(3)πππππππππ=+=+=+=---⎰⎰22|)2sin 21(21)2cos 1(21cos 2kx k x dx kx kxdx . (4)πππππππππ=+=-=-=---⎰⎰22|)2sin 21(21)2cos 1(21sin 2kx k x dx kx kxdx .8. 设k 及l 为正整数, 且k ≠l . 试证下列各题: (1)⎰-=ππ0sin cos lxdx kx ;(2)⎰-=ππ0cos cos lxdx kx ;(3)⎰-=ππ0sin sin lxdx kx .证明 (1)⎰⎰----+=ππππdx x l k x l k lxdx kx ])sin()[sin(21sin cos 0])cos()(21[])cos()(21[=----++-=--ππππx l k l k x l k l k .(2)⎰⎰---++=ππππdx x l k x l k lxdx kx ])cos()[cos(21cos cos 0])sin()(21[])sin()(21[=--+++=--ππππx l k l k x l k l k .(3)⎰⎰----+-=ππππdx x l k x l k lxdx kx ])cos()[cos(21sin sin .0])sin()(21[])sin()(21[=--+++-=--ππππx l k l k x l k l k .9. 设⎩⎨⎧∈∈=]2 ,1[ ]1 ,0[ )(2x x x x x f . 求⎰=x dt t f x 0)()(ϕ在[0, 2]上的表达式, 并讨论ϕ(x )在(0,2)内的连续性.解 当0≤x ≤1时, 302031)()(x dt t dt t f x xx===⎰⎰ϕ; 当1<x ≤2时, 6121212131)()(2211020-=-+=+==⎰⎰⎰x x tdt dt t dt t f x x xϕ.因此 ⎪⎩⎪⎨⎧≤<-≤≤=21 612110 31)(23x x x x x ϕ.因为31)1(=ϕ, 3131lim )(lim 30101==-→-→x x x x ϕ,316121)6121(lim )(lim 20101=-=-=+→+→x x x x ϕ,所以ϕ(x )在x =1处连续, 从而在(0, 2)内连续.10. 设⎪⎩⎪⎨⎧><≤≤=ππx x x x x f 或0 00 sin 21)(. 求⎰=x dt t f x 0)()(ϕ在(-∞, +∞)内的表达式.解 当x <0时, 00)()(0===⎰⎰xxdt dt t f x ϕ;当0≤x ≤π时, 21cos 21|cos 21sin 21)()(00+-=-===⎰⎰x t tdt dt t f x xxxϕ; 当x >π时, πππϕ00|cos 210sin 21)()(t dt tdt dt t f x x x-=+==⎰⎰⎰10cos 21cos 21=+-=π. 因此 ⎪⎩⎪⎨⎧≥≤≤-<=ππϕx x x x x 10 )cos 1(210 0)(.11. 设f (x )在[a , b ]上连续, 在(a , b )内可导且f '(x )≤0, ⎰-=xa dt t f ax x F )(1)(. 证明在(a , b )内有F '(x )≤0.证明 根据积分中值定理, 存在ξ∈[a , x ], 使))(()(a x f dt t f xa-=⎰ξ. 于是有)(1)()(1)(2x f ax dt t f a x x F xa-+--='⎰))(()(1)(12a x f a x x f a x ----=ξ)]()([1ξf x f ax --=. 由f '(x )≤0可知f (x )在[a , b ]上是单调减少的, 而a ≤ξ≤x , 所以f (x )-f (ξ)≤0. 又在(a , b )内,x -a >0, 所以在(a , b )内 0)]()([1)(≤--='ξf x f ax x F .。
第一次离线作业二、主观题(共15道小题)6.铁路线路由轨道、路基、桥梁、隧道、车站及其他附属设备组成。
7.我国钢轨长度分为12.5m和25m两种。
8.江西上饶地区最高气温为39.4℃,铺设钢轨时轨温为10℃,钢轨长度为12.5m,螺栓阻力值为1mm,计算预留轨缝。
δ=0.0118 •(tmax-t)L- C=0.0118*(59.4-10)*12.5-1=6.4(mm)预留轨缝可取6毫米。
9.名词解释:轨距是钢轨轨头顶面下(16mm)范围内两钢轨作用边之间的最小距离。
10.名词解释:变坡点平道与坡道、坡道与坡道的交点,叫做变坡点11.名词解释:限制坡度在一个区段上,决定一台某一类型机车所能牵引的货物列车重量(最大植)的坡度,叫做限制坡度。
12.名词解释:方向是指轨道中心线在水平面上的平顺性13.什么是轨底坡?轨底坡的作用是什么?轨底坡:为了使钢轨轴心受力,钢轨向轨道内侧倾斜,因此轨底与轨道平面之间就形成一个横向坡度。
它可使其轮轨接触集中于轨顶中部,提高钢轨的横向稳定性,延长钢轨使用寿命。
14.什么道岔的有害空间?如何消除有害空间?1、从辙叉咽喉至实际尖端之间,有一段轨线中断的空隙,车轮有失去引导误入异线而发生脱轨事故的可能,所以此处被称为有害空间。
2、道岔号数愈大,辙叉角愈小,有害空间愈大。
车辆通过较大的有害空间时,叉心容易受到撞击。
为保证车轮安全通过有害空间,必须在辙叉相对位置的两侧基本轨内侧设置护轨,借以引导车轮的正确行驶方向。
15.提高列车直向过岔速度的主要措施有哪些?(1)采用大号码道岔(2)适当延长翼、护轨的缓冲段,减小冲击角(3)采用可动心轨或可动翼轨道岔(4)采用整铸式辙叉(5)尖、基、心、翼轨进行淬火处理(6)加强养护16.无缝线路强度的影响因素有哪些?(1)动弯应力(2)温度应力(3)附加应力(4)列车制动应力17.简述工务系统的构成。
1)工务局(铁道部)——制定规章(2)工务处(铁路局)——制定计划与执行计划(3)工务段——具体实施(管辖维修线路200~250km)(4)养路领工区——管辖维修线路40~50km (5)养路工区——管辖维修线路7~8km 18.什么是路堤式路基?它由哪几部分组成?线路高出自然地面,经填筑而成的路基称为路堤式路基路堤式路基的构成:①路基面②边坡③护道④取土坑⑤纵向排水沟19.名词解释:跨度1、建筑物中,梁、拱券两端的承重结构之间的距离,两支点中心之间的距离。
西南交《高等数学IIB》离线作业一、单项选择题(只有一个选项正确,共10道小题)1. A(A) 1(B) 0(C) 2(D) 32. 在点(2,1,0)的法向量为()B(A) (1,1,0)(B) (1,2,0)(C) (0,1,2)(D) (1,1,1)3. B(A) 1(B) 2(C) 3(D) 44. 微分方程的通解是()A(A)(B)(C)(D)5. B(A) 1(B) 2(C) 3(D) 46. 微分方程的通解为(D )(A)(B)(C)(D)7. B(A) 1(B) -1(C) 0(D) -28. 微分方程的通解为(A )(A)(B)(C)(D)9. 微分方程的通解为(C )(A)(B)(C)(D)10. D(A) 1(B) 2(C) 3(D) 4四、主观题(共7道小题)11.求下列微分方程的通解:12.求下列一阶微分方程的通解:13.求下列二阶微分方程的通解:14.求下列各函数的定义域:15.求下列函数的偏导数:16.求下列函数的17.验证:一、单项选择题(只有一个选项正确,共6道小题)1. 设D是矩形区域,则D(A) 1/2(B) 2(C) 1/4(D) 42. 曲面在(2,1,2)点的法向量为(A )(A) (1,4,-1)(B) (1,0,0)(C) (1,4,1)(D) (-1,2,0)3. 设D是矩形区域,则C(A) 1/3(B) 2/3(C) 1/4(D) 3/44. 若,则C(A)(B)(C)(D)5. 若则D(A) 0(B) 1(C) 2(D) 36. 若则B(A)(B)(C)(D)四、主观题(共7道小题)7.设,则,求8.设,而,求9.求函数的极值.10.求函数的极值.11.计算下列二重积分(1),其中D是由两坐标轴及直线x+y=2所围成的闭区域;(2) ,其中D是矩形闭区域: ;(3),其中D是顶点分别为(0,0),(π,0),(π,π)的三角形闭区域.12.利用格林公式, 计算下列曲线积分:13.用比值审敛法判别下列级数的收敛性:一、单项选择题(只有一个选项正确,共4道小题)1. A(A) 3/2(B) 1/2(C) 1(D) 22. B(A) 1/4(B) 1/3(C) 1(D) -13. D(A)(B)(C)(D)4. C(A) x<2(B)(C) |x|<2(D) |x|>2四、主观题(共6道小题)5.利用极坐标计算下列各题:6.计算下列对弧长的曲线积分:7.计算下列对坐标的曲线积分: (3)8.利用格林公式, 计算下列曲线积分:9.判别下列级数的收敛性:10.判别下列级数是否收敛? 如果是收敛的, 是绝对收敛还是条件收敛?。
2009~2010学年第二学期《高等数学BII》半期试题参考答案西南交通大学2009-2010学年第(二)学期半期考试题一、单项选择题(共5个小题,每小题4分,共20分).1.累次积分cos 2(cos ,sin )d f r r rdr πθθθθ??可表示成【 D】(A )100(,)dy f x y dx ?(B )10(,)dy f x y dx(C )10(,)dx f x y dy ?(D )10(,)dx f xy dy ?解:根据该二重积分可知,积分区域为半圆域:01,0x y ≤≤≤≤,所以应选D 。
2. 两直线1112y z x λ+--==与11x y z +=-=相交,则必有【 D 】(A )1λ= (B )32λ=(C )54λ=- (D )54λ=解:直线11x y z +=-=的参数方程为:11x t y t z t =-??=+??=?,将此参数方程代入直线1112y z x λ+--==,得2122t t t λ+--==,解得654t λ=??=??,故应选(D )。
3.极限332200lim x y x y x xy y →→+-+=【 A 】(A) 0 (B) 1 (C)12(D)不存在极限解;因为33222222000000()()lim lim lim()0x x x y y y x y x y x xy y x y x xy y x xy y →→→→→→++-+==+=-+-+,故应选(A )。
4.曲面2xyz =的切平面与三个坐标面所围四面体的体积V =【 C 】 (A) 3 (B) 6 (C) 9 (D) 12解:设曲面2xyz =在第一卦限的任意一个切点为(,,)x y z ,则切平面方程为:班级学号姓名密封装订线密封装订线密封装订线()()()0yz X x xz Y y xy Z z -+-+-=,其中2xyz =,即36yzX xzY xyZ xyz ++==,则该切平面与三个坐标轴的交点分别为:6(,0,0)yz,6(0,,0)xz ,6(0,0,)xy ,则该切平面与三个坐标面所围四面体的体积221666363696()2V yz xz xy xyz ====,故应选(C )。
西南大学 计算机与信息科学学院《高等数学IB 》课程试题 【B 】卷阅卷须知:阅卷用红色墨水笔书写,得分用阿拉伯数字写在每小题题号前,用正分表示,不得分则在题号前写0;大题得分登录在对应的分数框内;统一命题的课程应集体阅卷,流水作业;阅卷后要进行复核,发现漏评、漏记或总分统计错误应及时更正;对评定分数或统分记录进行修改时,修改人必须签名。
PLEASE ANSWER IN CHINESE OR IN ENGLISH!!1. Fill the best answer in the blanks (3 points each ,15 points in all)(1) The general solution to the differential equation )0(112d d >-=+x xy x y x is __________ .(2) The sum of the series++++⋅+⋅+⋅)1(1431321211n n is _________________. (3) The angle between the planes 15263=--z y x and 522=-+z y x isarccos ___________.(4) If z =22),(y x y x y x f +-+=, then =)4,3(d z_________________.(5) Reversing the order of integration:=⎥⎥⎦⎤⎢⎢⎣⎡⎰⎰y x y x f y y d d ),(10_______ __ __ __.2. Choose the correspondingletter of the best answer that completes the特别提醒:学生必须遵守课程考核纪律,违规者将受到严肃处statements or answers the questions among A, B, C, and D, and fill in the blanks (3 points each ,15 points in all).(1) The tangent plane of the surface 922=++z y x at the point (1, 2, 4) is _____ ______. A .1442=++z y x B .1442=+-z y x C .1442-=-+z y xD .1442=--z y x(2) Let ⎪⎩⎪⎨⎧=≠++=)0,0(),(,0)0,0(),(,)sin(),(2243y x y x y x y x y x f . Then the partial derivative)0,0(y f ∂∂ ________.A .does not existB .equals 1C .is equal to 0 D. is -1. (3) The interval of convergence of the power series ∑∞=--11)1(n nn nx is _____ ______. A .)1,1(- B .)1,1[- C .]1,1[-D .]1,1(-(4) The equation for the tangent to the ellipse 2422=+y x at the point (-2, 1) is ____ _____ . A. 12-=-y x B. 42-=-y x C. 42=-y x D. 42-=+y x (5) The surface integral with respect to area=⎰⎰S x Σd 2 ____ _____, where Σ i s the cone 10,222≤≤+=z y x z .A. 4π2 B. 3π2 C. 4π2- D. 3π2-3. Find the solutions for following problems by computing (8 points each ,40 points in all)(1) Find ()()115sin lim0,0,-+→xy x y y x .Solution(2) Integrate the surface integral⎰⎰++Sy x z z x y z y x d d d d d d downward the surface S :()h z y x z ≤≤+=0222.Solution(3) Evaluating the double integrals y x Ry d d e 2⎰⎰-,where R is the triangle region with vertices O (0, 0), A (1, 1), and B (0, 1). Solution(4) Use Stokes’ Theorem to e valuate the line integral ⎰++Cx z z y x x d d 4d e 22,whereC is curve determined by ⎪⎩⎪⎨⎧=+--=xy x y x z 242222counterclockwise as viewed from the positive z -axis direction.Solution (5)Applying Green’s Theorem toc alculate the line integral()()⎰-+-=Cy y y y x x xy I d cos e d 12e ,where C is the part of 2x y = from A (-1, 1) to B (1, 1).Solution4. Solve the following comprehensive problems (10 points each,30 points in all) (1) Find the shortest distance between 2xy=and 02=--yx.Solution(2) Find the sum of the series∑∞=-⎪⎭⎫⎝⎛11 21nn n.Solution(3) Let f (x ) has the continuous first-order derivative. Show that the line integral[]⎰-++Cy xy f y y x x y xy f y d 1)(d )(1222 is path independent in the upper half xy -plane ( y > 0), and compute the line integral from ⎪⎭⎫ ⎝⎛32,3 to (1, 2). Proof西南大学计算机与信息科学学院《高等数学》课程试题【B 】卷参考答案和评分标准 阅卷须知:阅卷用红色墨水笔书写,得分用阿拉伯数字写在每小题题号前,用正分表示,不得分则在题号前写0;大题得分登录在对应的分数框内;统一命题的课程应集体阅卷,流水作业;阅卷后要进行复核,发现漏评、漏记或总分统计错误应及时更正;对评定分数或统分记录进行修改时,修改人必须签名。
慈溪市2007学年第二学期高二数学(选修IB )期末考试答案及评分标准第一题:31-数学史选讲(第13-小题每题1分,第48-小题每空格1分,共10分) 1.D 2.C 3.C 4.倍立方 5.《流数简论》 6.笛卡儿的变数 7.代数 几何 8.徐光启 利玛窦本专题主要考查学生对数学发展过程中若干重要事件、重要人物与重要成果的掌握,初步了解数学产生与发展的过程,体会数学对人类文明发展的作用,激发学生学习数学的兴趣,加深对数学的理解,感受数学家的严谨态度和锲而不舍的探索精神.第二题:42-矩阵与变换(每小题2分,共10分)1.C2.A3.A4. 972542⎛⎫- ⎪⎪ ⎪- ⎪⎝⎭5. 13-⎛⎫⎪⎝⎭本专题主要考查学生对二阶矩阵的概念、性质、运算的掌握,了解特征值、特征向量与线性变换、矩阵间的关系,并能利用矩阵表示和性质解决一些相关问题.1.由于A B =,则2x yx xy y y =⎧⎪=⎨⎪=⎩,得11x y =⎧⎨=⎩或00x y =⎧⎨=⎩,选C .2.由矩阵a b M c d ⎛⎫= ⎪⎝⎭,得特征多项式2()()f a d ad bc λλλ=-++-,令()0f λ=,得12a d λλ+=+,选A .3.由11a x x ay b y bx y +⎛⎫⎛⎫⎛⎫= ⎪⎪ ⎪+⎝⎭⎝⎭⎝⎭,得x x x ay y y bx y '+⎛⎫⎛⎫⎛⎫→= ⎪ ⎪ ⎪'+⎝⎭⎝⎭⎝⎭把x x ayy bx y'=+⎧⎨'=+⎩代入2221x y ''-=,即22()2()1x ay bx y +-+=, 化简并整理得2222(12)(2)2(2)1b x a y a b xy -+-+-=,与22421x xy y ++=比较系数得,22121222(2)4b a a b ⎧-=⎪-=⎨⎪-=⎩,故20a b =⎧⎨=⎩,选A .4. 由于矩阵4231⎛⎫⎪⎝⎭的逆矩阵为112322⎛⎫- ⎪⎪ ⎪- ⎪⎝⎭, 故1917322221352422A ⎛⎫⎛⎫-- ⎪⎪-⎛⎫==⎪ ⎪ ⎪-⎝⎭⎪ ⎪-- ⎪ ⎪⎝⎭⎝⎭,填972542⎛⎫- ⎪ ⎪ ⎪- ⎪⎝⎭. 5.矩阵M 变换的几何意义:关于直线y x =的反射变换,31M ⎛⎫= ⎪-⎝⎭β,213M -⎛⎫= ⎪⎝⎭β,,2131k M -⎛⎫= ⎪-⎝⎭β,213k M -⎛⎫= ⎪⎝⎭β,()k Z +∈,故1013M -⎛⎫= ⎪⎝⎭β,填13-⎛⎫ ⎪⎝⎭.第三题:44-坐标系与参数方程(每小题2分,共10分)1.B2. (-(1 3.22(2)4x y +-=4. 24()4x t t y t ⎧=-⎨=-⎩为参数5. 1本专题主要考查对柱坐标系、球坐标系的了解,重点考查极坐标和参数方程的基本概念,掌握极坐标和直角坐标的互化,了解曲线的多种表现形式,体会数形结合.1.由于椭圆的标准方程为22153x y +=,故a =2a =B . 2.由cos sin x y z z ρθρθ=⎧⎪=⎨⎪=⎩,得22x y z =-⎧⎪=⎨⎪=⎩P 的坐标为(-;由sin cos sin sin cos x r y r z r ϕθϕθϕ=⎧⎪=⎨⎪=⎩,得10x y z =⎧⎪=⎨⎪=⎩Q 的坐标为(1. 3.由4sin ρθ=得24sin ρρθ=,故224x y y +=,即22(2)4x y +-=.4.由222x pt y pt ⎧=-⎨=⎩(t 为参数),得24()4x t t y t ⎧=-⎨=-⎩为参数,填24()4x t t y t⎧=-⎨=-⎩为参数.5.由于1C :22(1)1x y -+=,2C :10x y ++=, 圆心(1,0)到直线2C 的距离为2d =,故min 11L d =-=,填1.第四题:45-不等式选讲(第13-小题每题2分,第4小题4分,共10分)1.D2.D3.A B <4.多种方法,详见试题解析本专题主要考查不等式的基本性质和基本不等式、绝对值不等式及柯西不等式的简单应用,考查数学归纳法原理,进一步认识不等式,提高逻辑推理与不等式论证的能力.1.方法一:排除法,2x =-,排除,A B ,1x =-,排除C ,选D . 方法二:直接法(分类讨论)当1x ≥时,125x x -++≥,得2x ≥, 当2x ≤-时,125x x ---≥,得3x ≤-,当21x -<<时,125x x -++≥,这不可能,故3x ≤-或2x ≥,选D .2.观察分式左边的分母,按自然数列增加,当n k =时,最后一项是121k-, 当1n k =+时,最后一项是1121k +-,增加了1112212(21)k k k k +++++-,即共增加了2k项,选D .3.方法一:做差比较法,由于(2)0(1)(1)(1)xy x y A B x y x y ----=<++++,故A B <.方法二:放缩法,由于11111x y x y x y B A x y x y x y x y+=+>+==++++++++.4.(阅卷教师根据不等式证明方法分步给分)设x =y ,z =由于,,a b c R +∈,故,,x y z R +∈. 方法一:根据柯西不等式,有22229⎡⎤⎤⎡⎤++⋅≥=⎣⎦所以111()()9x y z x y z ++++≥,即9≥.方法二:111()()x y z xy z ++++≥9=. 方法三:111()()3()()()y x z x y z x y z xy z x y x z z y++++=++++++3≥+3(222)9=+++=.。
西南交大线性代数习题参考答案第一章行列式§1 行列式的概念1.填空(1) 排列6427531的逆序数为,该排列为排列。
(2) i = ,j = 时,排列1274i 56j 9为偶排列。
(3) n 阶行列式由项的代数和组成,其中每一项为行列式中位于不同行不同列的n 个元素的乘积,若将每一项的各元素所在行标按自然顺序排列,那么列标构成一个n 元排列。
若该排列为奇排列,则该项的符号为号;若为偶排列,该项的符号为号。
(4) 在6阶行列式中,含152332445166a a a a a a 的项的符号为,含324314516625a a a a a a 的项的符号为。
2.用行列式的定义计算下列行列式的值 (1) 11222332330000a a a a a 解:该行列式的3!项展开式中,有项不为零,它们分别为,所以行列式的值为。
(2) 12,121,21,11,12,1000000n n n n n n n n n n n n nna a a a a a a a a a ------L L MM M M L L 解:该行列式展开式中唯一不可能为0的项是,而它的逆序数是,故行列式值为。
3.证明:在全部n 元排列中,奇排列数与偶排列数相等。
证明:n 元排列共有!n 个,设其中奇排列数有1n 个,偶排列数为2n 个。
对于任意奇排列,交换其任意两个元的位置,就变成偶排列,故一个奇排列与许多偶排列对应,所以有1n 2n ,同理得2n 1n ,所以1n 2n 。
4.若一个n 阶行列式中等于0的元素个数比n n -2多,则此行列式为0,为什么?5. n 阶行列式中,若负项的个数为偶数,则n 至少为多少?(提示:利用3题的结果)6.利用对角线法则计算下列三阶行列式(1)21141183---(2)222111a bc a b c。
2016西南交大《高等数学IB》离线作业西南交《高等数学IB 》离线作业1、求下列极限:(1)22121lim 1x x x x =lim(x →1) (x -1)2/(x-1)(x+1) =lim(x →0)(x-1)/(x+1)=0;(2)220()lim h x h x h=lim(h →0)h(2x+h)/h=lim(h →0)2x+h=2x ;(3)221lim 21x xx x =lim(n →∞) (x+1)(x-1)/(2x+1)(x-1) =lim(n →∞) (x+1)/(2x+1) =1/2;(4)242lim 31x x x x x =lim(x →∞) (x2+x )/(x 2-1)2-x 2=(x 2+x )/-(2x 2-1) 对x 求导得=(2x+1)/-4x=-1/2(5)22468lim 54x x x x x =lim(x →4) (x-2)(x-4)/(x-1)(x-4) =lim(x →4) (x-2)/(x-1) =2/3(6)2123(1)lim n n n=lim(n →∞) (n-1+1)(n-1) / 2n 2 =1/2(7)3(1)(2)(3)lim 5n n nn n =lim(n →∞) (n 3+6n 2+11n+6) / 5n 3=1/5;(8)3113lim()11x x x =lim(x →0)(x+1) /(1+x+x 2)=2/32、计算下列极限:(1)0sin lim x x x =lim(x →0)w ×sinwx / wx =w ;(2)0tan 3lim x x x =lim(x →0) 3 .tan3x / 3x =3;(3)0sin 2lim sin 5x x x =lim(x →0)[(s in2x)/(2x)]/[(sin5x)/(5x)]×(2/5) =2/5;(4)0lim cot x x x =lim(x →0)xcosx/sinx=lim(x →0)xcosx/sinx ×1=1(5)01cos 2lim sin x x x x=lim(x →0)2sin2x / xsinx =lim(x →0)2sinx / x =2;(6)2lim (1)x x x x = lim(x →∞) x[√(x2+1) -x] [√(x2+1) +x] / [√(x2+1) +x]=lim(x →∞) x/[√(x2+1) +x]=lim(x →∞) 1/ [√(1+1/x) +1]1/ [√(1+1/x) +1]3、证明方程531x x 至少有一个根介于1和2之间。
一、单项选择题(只有一个选项正确,共7道小题)1. A(A) x-y+1=0(B) x+y+1=02. B(A) 1(B) 1/23. A(A) 4(B) 24. A(A) 2(B) 15. B(A) 10(B) -106. A(A) -5/2(B) -3/27. B(A) 1(B) 3四、主观题(共2道小题)8.9.计算下列极限:一、单项选择题(只有一个选项正确,共8道小题)1. A(A) 4(B) 22. A(A) 1(B) 2(C) 3(D) 43. D(A)(B)(C)(D)4. 函数的单调增加区间是()C(A)(B)(C) [-1,1](D)5. B(A) 1(B) 2(C) 3(D) 46. B(A)(B)(C)(D)7. C(A)(B)(C)(D)8. D(A)(B)(C)(D)四、主观题(共6道小题)9.证明方程至少有一个根介于1和2之间.解证明: 设f(x)= , 显然是连续的, 又f(1)=1−3−1=−3<0 ,由零点定理知存在c∈(1, 2) , 使得即方程至少有一个根介于1和2之间.10.求下列函数的导数:解:(1) (2)(3)(4)(5)(6)11.求下列函数的导数:解:(1)(2) (3)(4)12.求下列函数的二阶导数:解:(1) (2)(3)13.证明方程只有一个正根.解证明: 设则f(0)=−1<0, f(1)=1>0 , 由零点定理知方程x在0和1之间有一个(正)根. 若方程有两个正根a,b,a>b>0,则由罗尔定理知存在使得但这显然是不可能的, 所以方程只有一个正根.14.用洛必达法则求下列极限:解:(1)(2) (3)(4)一、单项选择题(只有一个选项正确,共5道小题)1. A(A) 2/3(B) 3/2(C) 5(D) 62. <> C(A)(B)(C)(D)3. B(A) 0(B) 1(C) 2(D) 34. 函数的单调递减区间是()C(A) (-∞,1)(B) [0,+∞](C) (1,+∞)(D) [-1,+∞]5. B(A)(B)(C)(D)四、主观题(共10道小题)6.验证函数满足关系式:。
参考答案与提示第7章 向量代数与空间解析几何§7.1 空间直角坐标系1. (1)b=c=0; c=0; 0,0,0>>>c b a . (2)222c b a ++;22b a +; c . (3) )0,0,(a ;),,0(c b (4) ),,(c b a - 2.)2,1,0(-§7.2 向量及其线性运算1.j 2;0};1,2,0{2.(1)向量与x 轴垂直,即平行于yOz 平面 (2) 向量与y 轴垂直,即平行于zOx 平面(3) 向量既与x 轴垂直又与y 轴垂直,即垂直于xOy 平面 32= ,21cos ,22cos ,21cos =-=-=γβα;3,43,32πγπβπα===,}21,22,21{021--=M M §7.3 数量积、向量积、混合积1.(1) 正确 (2) 错误 (3)正确 (4) 正确 (5) 错误 (6) 正确 (7) 错误 2.(1)C (2)C 3.3(1)1(2)2--4.105.提示:作数量积6. 2,2}±--7.(2)683§7.4 平面与直线1.(1)37540x y z -+-= (2)320x y z --= (3)5y =- (4)920y z --= 2.1,1,3-交点坐标为()3.1d =4.(1)两平面平行但不重合 (2)两平面垂直相交。
5.对称式:149710y x z --==,参数式:971104x t y t z t =⎧⎪=+⎨⎪=+⎩6.(1)143215y x z +--== (2)24231y x z --==-7.15(0,1,1),arcsin 19ϕ-=交点为夹角为8.(1)161411650x y z ---= (2)0x y z -+= 9. 024147=++y x§7.5 曲面及其方程1.22224116()(1)()339x y z +++++=2433表示的是以(-,-1,-)为球心,以半径的球面2.(1)绕x 轴:22249()36x y z -+=是一个双叶双曲面 绕y 轴:2224()936x z y +-=是一个单叶双曲面 3(1)表示母线平行于z 轴,准线为xoy 平面上的椭圆22410x y z +=⎧⎨=⎩的椭圆柱面;(2)表示母线平行于x 轴,准线为yoz 平面上的双曲线2210y z x -=⎧⎨=⎩的双曲柱面;(3)表示椭球面; (4)表示单叶双曲面; (5)表示双叶双曲面; (6)表示椭圆抛物面;(7)表示圆锥面.§7.6 空间曲线1.(1) co s sin 0x R t y R t z =⎧⎪=⎨⎪=⎩ , π20≤≤t ;(2)3sin x ty tz t⎧=⎪⎪⎪=⎨⎪=⎪⎪⎩,π20≤≤t .2.221168y x +=3.(1)222(1)90x y x z ++-=⎧⎨=⎩(2)223600z x y +-=⎧⎨=⎩4. (1) 0,122=≤+z y x ; (2) 0,222=≤+z y x .总习题七1.(1)D (2)B (3)B (4)C (5)B (6)D (7) D 2.(1)6-, (2) 23-,(3) }1,0,1{-, (4) d =, (5) 2=y ,(6) }2,2,1{, (7) )724,72,71(--, (8)334231--=-=-z y x ,(9)1, (10)224x y z +=;225x y z ++=;2240x y z +=⎧⎨=⎩3. 30±4.d =5. 111011y x z l --- ==: 6. 111-=-=-z y x第8章 多元函数微分学§8.1 多元函数的基本概念1、(1)}14),{(22≥+y x y x (2)}1),{(<+y x y x (3)}0,),,({22222≠+≥+y x z y x z y x (4)连续 (5)x y =22、提示:kx y =令3、(1) 41-(2) 0§8.2 偏导数1.(1) 1-; (2) 2e π2. (1)yxy x y z y x yxz 2csc2,2csc22-=∂∂=∂∂; (2)xyyxy z yx ++=1)1(2, ]1)1[ln()1(xyxy xy xy z y y ++++=3.22222)(2y x xy xz +=∂∂, 222222)(y x xy yx z +-=∂∂∂,22222)(2y x xy yz+-=∂∂4.(1)r zz r r y y r r x xr =∂∂=∂∂=∂∂,,, (2)322223222232222,,rz r zr ry r yr rx r xr -=∂∂-=∂∂-=∂∂§8.3 全微分及其应用1. (1)dx 2 (2) 0.25e2. (1) ))(cos(xdy ydx xy dz += (2) )ln ln (1ydz xy xzdy ydx yz y du xz ++=-§8.4 多元复合函数求导法1、(1) 212f xe f y xy '+'- (2) 12+'ϕx (3) t t t 232423-+2、(1) 321f yz f y f u x '+'+'=, 32f xz f x u y '+'=, 3f xy u z '=;(2) f x f z xx''+'=''242, f xy z xy ''=''4 (3)2231122121f yx f xy f yf yx z ''-''+'-'=∂∂∂ 3. z xyxyf 2)(2或§8.5 隐函数的求导公式1、yx y x -+ 2、zx 2sin 2sin -, zy 2s i n 2s i n -3、322224)()2(xy zy x xyz zz --- 4、 2121F y F x dy F z dx F z dz '+''+'=§8.6 多元函数的极值及其应用1、极小值2)1,21(e f -=-2. 4)1,2(,64)2,4(==-==f M f m3.两直角边边长为l 21时,周长最大.4. 140,90==y x总习题八1、(1) }10),{(22<+<y x y x ϕϕ''+'+''y f y(2) 1 (3)232)43(1123t t t-+- (4) )(2dy dx e +(5) 既非充分也非必要,充分,必要2、(1) B (2) C (3) A (4) D (5) B3、 2331213sin cos cos sin f y e f x e f x y f e y x y x y x ''-''+''-'+++ 33)(2f e y x ''++ 4.θθsin cos yu x u r u ∂∂+∂∂=∂∂,θθθcos )sin (r yu r xu u ⋅∂∂+-⋅∂∂=∂∂5、)2()2(222122112221f e f ye x f y x f e y x x f x xy xy xy''+''+''+'++' 6. 222yx e--7. yz xy z y z z x zx z+=∂∂+=∂∂2,,3222)(z x zx z +-=∂∂8. ϕϕϕϕ''+=∂∂'-=∂∂xy xz y y z x y xy x z322,9.3232)1(22---z x zz z11. 8)2,0(,0)0,0(====f M f m12. 338abc13.359m ax +=d 359m i n -=d14. 最近点)21,21,21(-,距离为632, 最远点)21,21,21(--,距离为63415.(1) 25.1,75.021==x x (2) 5.1,021==x x16.(1) 7,5,10,42211====P Q P Q 时有最大利润52=L ; (2) 4,5,82121====Q Q P P 时有最大利润49=L ,实行价格差别策略时利润较大.。
2013-2014年第2学期课程离线作业课程名称:基础工程B班级(全称):土木工程(工民建)2013-16班(专本)姓名:陈士生学号:13821935西南交通大学网络教育学院福建宁德学习中心21. 某原状土样测得土的密度ρ=1.9g/cm 3,土粒比重G S =2.65,土的含水率w =20.0%。
求孔隙比、孔隙率、饱和度、干密度、饱和密度、有效重度?22. 某土样内摩擦角,黏聚力问:()作单轴压力试验时,垂直压力加到多大土样将被剪破? ()液压为的三轴压力试验时,垂直压力加到多大(三轴试验的垂直压力包括液压)土样将被剪破?解:(a )单轴试验时,03=σ,由公式(5-7),有:kPa 28.3422045tan 1220245tan 2245tan 231=⎪⎭⎫ ⎝⎛︒+︒⨯⨯+=⎪⎭⎫ ⎝⎛+︒+⎪⎭⎫⎝⎛+︒=ϕϕσσc (b )三轴试验时,kPa 53=σ,由公式(5-7),有:kPa47.4422045tan 12222045tan 5245tan 2245tan 2231=⎪⎭⎫ ⎝⎛︒+︒⨯⨯+⎪⎭⎫ ⎝⎛︒+︒⨯=⎪⎭⎫ ⎝⎛+︒+⎪⎭⎫⎝⎛+︒=ϕϕσσc23. 图示浅埋基础的底面尺寸为4m×3m,作用在基础上的主要荷载为:竖向力N=3.5×103kN ,弯矩M =1.5×102kNm ,持力层的容许承载力[σ]=420kPa 。
试计算: (1)基底最大及最小压应力各为多少?能否满足承载力要求?(2)其偏心距是否满足的要求?(3)最大压应力达到容许承载力时对应的弯距为对少?24.直径为1.2m的人工挖孔桩穿过砂粘土、细砂进入深厚的密实中砂层,各土层的桩周极限摩阻力如下表所列(单位:kPa),桩底中砂的容许承载力取为1230 kPa(提示:)25.什么是库仑抗剪强度定律?简述莫尔库仑强度准则?答:库仑抗剪强度定律:库仑认为土的抗剪强度由两部分组成,一部分是滑动面上的黏聚力,另一部分是土的摩擦阻力,用式子表示即为S=c+σtanφ;在各种复杂应力状态作用下, 莫尔库仑强度准则认为:一点的应力状态,在通过这点的各个面上的应力状态组合达到这点的抗剪强度,即发生破坏.26.何谓软弱下卧层?简述软卧下卧层验算的要点。
2014-2015(2)高数B 复习题答案一. 填空题1、以两向量{1,0,1}a =,b i j =-2、已知直线13521x y z m -+-==-与平面2310x y z +--=平行,则m =-7 3、过0(1,2,3)M -且与直线12321x y z -+==--垂直的平面方程为3(1)2(2)(3)0x y z --++--=4、yoz 面内的曲线22z y =绕y 轴旋转一周所得到的旋转曲面的方程为222x z y += 5、曲面z =与曲面z =的交线在xoy 面内的投影曲线方程为222x y z ⎧+=⎨=⎩ 6、若平面2340x y lz -++=与平面45670x y z +-+=垂直,则l =7-67、直线123111x y z ---==与平面50x y z ++-=的交点为258(,,333) 8、函数z ={22(,)925}D x y x y =<+≤9、10sin 4lim3x y xy y →→=4310、2x yz e =,则dz =2222x yx y exydx e x dy +11、设:3,2D x y ≤≤,则Ddxdy ⎰⎰=2412、22{(,)4,0}D x y x y y =+≤≥,则二重积分22()Df x y dxdy +⎰⎰在极坐标系下的二次积分形式为220()d f r rdr πθ⎰⎰13、级数211(1)n k n n ∞+=-∑绝对收敛,则k 的范围0k > 级数211(1)nk n n∞+=-∑条件收敛,则k 的范围102k -<≤ 14、设级数121()32n n n a n ∞=+--∑收敛,则lim n n a →∞=2315、级数113nn ∞=⎛⎫⎪⎝⎭∑的和为1216、曲线23,,x t y t z t ===在点(1,1,1)处的切线为 111123x y z ---==法平面方程为2360x y z ++-=17、椭球面222236x y z ++=在点(1,1,1)处的切平面为2360x y z ++-= 法线方程为111123x y z ---==18、曲线积分(,)(,)LP x y dx Q x y dy -⎰与路径无关的充要条件为Q Px y∂∂=-∂∂ 19、22{(,)9}D x y x y =+≤,则D=18π20、设22(,y)4x y z f x +==,则2(,4)(2,4)lim 2x f x f x →-=-1二、选择题1、设向量2a mi j k =+-与向量{2,1,2}b =-相互垂直,则m =(B )(A) 1 (B) 2 (C) 3 (D) 42、下列级数中发散的是( D )(A)1(1)nn ∞=-∑ (B)n ∞= (C)134nn n ∞=∑(D)16243n n n ∞=-+∑ 3、设222{(,)}D x y x y a =+≤,当a =( B )时,Dπ=(A) 1(B)(C) (D)4、下列级数收敛的是( D )(A)152nn ∞=⎛⎫⎪⎝⎭∑ (B) 1231n n n ∞=+∑ (C)1100n n ∞=∑(D) 1n ∞=5、0sin()lim xyxy x→→=( C )(A) 不存在 (B) 1 (C) 0 (D) ∞6、级数13!nn n ∞=∑的和为( B )(A) e (B) 31e - (C) 3e (D) 1e - 7、∑是介于0,1z z ==之间的圆柱体221x y +≤的整个表面的外侧,xdydz ydzdx zdxdy ∑++=⎰⎰( D)(A) π- (B) π (C) 0 (D) 3π8、设(,)f x y 在点(,)a b 处的偏导数存在,则0(,)(,)lim x f a x b f a x b x→+--=( C )(A) '(,)x f a b (B) '(2,)x f a b (C) 2'(,)x f a b (D) 1'(,)2x f a b9、幂级数1n n n a x ∞=∑在2x =-处收敛,则该级数在32x =处( A ) (A) 绝对收敛 (B) 条件收敛 (C) 发散 (D) 可能收敛也可能发散 10、设函数(,)z f x y =在点00(,)x y 处两个偏导数00'(,)x f x y ,00'(,)y f x y 存在,是(,)f x y 在该点连续的( D )(A) 充分非必要条件 (B) 必要非充分条件 (C) 充要条件 (D) 无关条件 11、设(,)f x y 连续,且2(,)(,)Df x y xy f x y dxdy =+⎰⎰,D 由21,0,x y y x===所围,则(,)f x y =( D ) (A) 218xy +(B) 2138xy + (C) 21316xy + (D) 2116xy + 12、考虑二元函数(,)f x y 的下面四条情况(1)(,)f x y 在点00(,)x y 处连续 (2)(,)f x y 在点00(,)x y 处的两个偏导数连续 (3)(,)f x y 在点00(,)x y 处可微 (4)(,)f x y 在点00(,)x y 处的两个偏导数存在 则他们的关系是( B )(A)(3)⇒(2)⇒(1) (B) (2)⇒(3)⇒(1) (C)(3)⇒(4)⇒(1) (D) (3)⇒(1)⇒(4) 三、计算题 空间几何部分1、求过平面210,230x y z x y z +-+=-+=的交线,且过点0(1,2,3)M 的平面方程。
9.计算下列极限:
一、单项选择题(只有一个选项正确,共8道小题)
1. A
(A) 4
(B) 2
9.证明方程至少有一个根介于1和2之间.
解
证明: 设f(x)= , 显然是连续的, 又f(1)=131=3<0 ,由零
点定理知存在c∈(1,2) , 使得即方程至少有一个根介于1和2之间.
10.求下列函数的导数:
解:(1) (2)(3)(4)(5)(6)
11.求下列函数的导数:
解:(1)(2) (3)
(4)
12.求下列函数的二阶导数:
解:(1) (2)(3)
13.证明方程只有一个正根.
解
证明: 设则f(0)=1<0,f(1)=1>0 , 由零点定理知方程x在0和1之间有一个(正)根. 若方程有两个正根a,b,a>b>0,则由罗尔定理知存在
使得但这显然是不可能的, 所以方程只有一个正根.
14.用洛必达法则求下列极限:
解:(1)(2) (3)
(4)
一、单项选择题(只有一个选项正确,共5道小题)
1. A
(A) 2/3
(B) 3/2
(C) 5
(D) 6
2. <> C。
解:
所以
7.确定下列函数的单调区间:
解:(1)
所以单增区间:
单减区间:
(2)
所以单增区间:
单减区间:
(3)
所以单增区间:
单减区间:
8.证明不等式:
证明: 设
则
所以<="" p="">
在
上单增, 从而当
时, 有<="" p="" ,="">
即.
9.求下列函数的极值:
解:(1)由
是极小值点,极小值为:2.(2)由
10.
11.
判定下列曲线的凹凸性:解:(1)由
所以函数
在定义域内是凸的。
(2)由
所以函数
在
上是凹的. 12.
求下列不定积分:解:(1)
(2)
(3)
(4)
(5)
(6)
(7)
13.
计算下列各定积分:解:(1)
(2)
(3)
(4)
14.
利用函数的奇偶性计算下列积分:解:(1) 因为
是奇函数, 所以
(2)
15.
求下列图形的面积:解:(1) 所求面积
(2)所求面积。