解不等式组计算专项练习60题有答案
- 格式:doc
- 大小:236.50 KB
- 文档页数:7
解不等式组专项练习60题(有答案)1.2..3..4.,5..6..7.8..9.10.11.12.,13..14.,15.16.17..18.19.20..21..22..23.24.25.,.26.27.,28.29..30.已知:2a﹣3x+1=0,3b﹣2x﹣16=0,且a≤4<b,求x的取值范围.31..32..33.已知:a=,b=,并且2b ≤<a.请求出x的取值范围.34.35.,36.,并将其解集在数轴上表示出来.37..38.,并把解集在数轴上表示出来.39.已知关于x、y 的方程组的解满足x>y >0,化简|a|+|3﹣a|.40.,并把它的解集在数轴上表示出来.41.42.43..44..45..46..47.关于x、y 的二元一次方程组,当m为何值时,x>0,y≤0.48.并将解集表示在数轴上.49.已知关于x、y 的方程组的解是一对正数,求m的取值范围.50.已知方程组的解满足,化简.51..52.53..54..55..56.57.58.59.60.解不等式组60题参考答案:1、解:,由①得2x≥2,即x≥1;由②得x<3;故不等式组的解集为:1≤x<3.2.解:,由①得:x≤5,由②得:x>﹣2,不等式组的解集为﹣2<x≤53.解:解不等式①,得x>1.解不等式②,得x<2.故不等式组的解集为:1<x<2.4.解:,解不等式①得,x>1,解不等式②得,x<3,故不等式的解集为:1<x<3,5.解不等式①,得x≤﹣2,解不等式②,得x>﹣3,故原不等式组的解集为﹣3<x≤﹣2,6.解:,解不等式①得:x>﹣1,解不等式②得:x≤2,不等式组的解集为:﹣1<x≤2,7.解:,由①得x>﹣3;由②得x≤1故此不等式组的解集为:﹣3<x≤1,8.解:解不等式①,得x<3,解不等式②,得x≥﹣1.所以原不等式的解集为﹣1≤x<3.9.解:∵由①得,x>﹣1;由②得,x≤4,∴此不等式组的解集为:﹣1<x≤4,10.解:,解不等式①得:x<3,解不等式②得:x≥1,不等式组的解集是1≤x<3 11.解:,由①得,x≥﹣;由②得,x<1,故此不等式组的解集为:﹣<x<1,12.解:∵由①得,x≤3,由②得x>0,∴此不等式组的解集为:0<x≤3,13.解:解不等式①,得x≥1;解不等式②,得x<4.∴1≤x<4.14.解:原不等式组可化为,解不等式①得x>﹣3;解不等式②得x≤3.所以-3<x≤3 15.解:由(1)得:x+4<4,x<0由(2)得:x﹣3x+3>5,x<﹣1∴不等式组解集是:x<﹣116.解:,解不等式(1),得x<5,解不等式(2),得x≥﹣2,因此,原不等式组的解集为﹣2≤x<5.17.解:由①得:去括号得,x﹣3x+6≤4,移项、合并同类项得,﹣2x≤﹣2,化系数为1得,x≥1.由②得:去分母得,1+2x>3x﹣3,移项、合并同类项得,﹣x>﹣4,化系数为1得,x<4 ∴原不等式组的解集为:1≤x<4.18.解:解不等式①,得x≥﹣1,解不等式②,得x<3,∴原不等式组的解集为﹣1≤x<3.19.解:解不等式(1)得x<1解不等式(2)得x≥﹣2所以不等式组的解集为﹣2≤x<1.20.解:解不等式①,得x>﹣.解不等式②,得x≤4.所以,不等式组的解集是﹣<x≤4.21.解:①的解集为x≥1②的解集为x<4原不等式的解集为1≤x<4.22.解:解不等式(1),得2x+4<x+4,x<0,不等式(2),得4x≥3x+3,x≥3.∴原不等式无解.23.解:解不等式2x+5≤3(x+2),得x≥﹣1解不等式x﹣1<x,得x<3.所以,原不等式组的解集是﹣1≤x<3.24.解:解不等式①,得x≥﹣1,解不等式②,得x<3,∴原不等式组的解是﹣1≤x<3.25.解:由题意,解不等式①,得x<2,解不等式②,得x≥﹣1,∴不等式组的解集是﹣1≤x<2.26.:由不等式①得:x≥0由不等式②得:x<4原不等式组的解集为0≤x<427.解:由不等式①得:2x≤8,x≤4.由不等式②得:5x﹣2+2>2x,3x>0,x>0.∴原不等式组的解集为:0<x≤4.28.解:解不等式①,得x≤﹣1,解不等式②,得x>﹣2,所以不等式组的解集为﹣2<x≤﹣1.29.解:解不等式①,得x≤2.解不等式②,得x>﹣3.所以原不等式组的解集为x≤2.30. 解:由2a﹣3x+1=0,3b﹣2x﹣16=0,可得a=,b=,∵a≤4<b,∴,由(1),得x≤3.由(2),得x>﹣2.∴x的取值范围是﹣2<x≤3.31.解:由①得:x≤2.由②得:x>﹣1.∴不等式组的解集为﹣1<x≤2.32.解:解不等式①,得x>;解不等式②,得x≤4.∴不等式的解集是<x≤4.33.解:把a,b代入得:2×.化简得:6x﹣21≤15<2x+8.解集为:3.5<x≤6.34.解:解不等式①,得x≤2.5,解不等式②,得x>﹣1,解不等式③,得x≤2,所以这个不等式组的解集是﹣1<x≤2.35.解:解不等式①,得x≥﹣1.解不等式②,得x<2.所以不等式组的解集是﹣1≤x<2.36.解:由①,得x<2.由②,得x≥﹣1.∴这个不等式组的解集为﹣1≤x<2.37.解:由①得:x>﹣1由②得:x所以解集为﹣1<x.38.解:由①得:﹣2x≥﹣2,即x≤1,由②得:4x﹣2<5x+5,即x>﹣7,所以﹣7<x≤1.在数轴上表示为:39.解:由方程组,解得.由x>y>0,得.解得a>2当2<a≤3时,|a|+|3﹣a|=a+3﹣a=3;当a>3时,|a|+|3﹣a|=a+a﹣3=2a﹣3.40.解:由(1)得x<8由(2)得,x≥4故原不等式组的解集为4≤x<8.41.解:由①得2x<6,即x<3,由②得x+8>﹣3x,即x>﹣2,所以解集为﹣2<x<3.42.解:(1)去括号得,10﹣4x+12≥2x﹣2,移项、合并同类项得,﹣6x≥﹣24,解得,x≤4;(2)去分母得,3(x﹣1)>1﹣2x,去括号得,3x﹣3>1﹣2x,移项、合并同类项得,5x>4,化系数为1得,x >.∴不等式组的解集为:<x≤4.43.解:解第一个不等式得:x <;解第二个不等式得:x≥﹣12.故不等式组的解集是:﹣12≤x <.44.解:原方程组可化为:,由(1)得,x<﹣3由(2)得,x≥﹣4根据“小大大小中间找”原则,不等式组的解集为﹣4≤x<﹣3.45.由①得:x<2,由②得:x≥﹣1∴﹣1≤x<2.46.整理不等式组得解之得,x>﹣2,x≤1∴﹣2<x≤147.解:①+②×2得,7x=13m﹣3,即x=③,把③代入②得,2×+y=5m﹣3,解得,y=78-m9,因为x>0,y≤0,所以,解得<m≤9848. 解不等式①,得x ≤,解不等式②,得x≥﹣8.把不等式的解集在数轴上表示出来,如图:所以这个不等式组的解集为﹣8≤x≤.49.解:由题意可解得,解得,故<m<1350.解:由2x﹣2=5得x=,代入第一个方程得+2y=5a;则y=a﹣,由于y <0,则a<(1)当a <﹣2时,原式=﹣(a+2)﹣[﹣(a ﹣)]=﹣2;(2)当﹣2<a<时,原式=a+2﹣[﹣(a﹣)]=2a+;(3)当<a<时,原式=a+2﹣(a﹣)=2;851.解不等式(1)得:2﹣x﹣1≤2x+4 ﹣3x≤3 x≥﹣1解不等式(2),得:x2+x>x2+3x ﹣2x>0 x<0 ∴原不等式组的解集为:﹣1≤x<0.52.解不等式(1)得:x≥-1 解不等式(2),得:x<2 ∴原不等式组的解集为:﹣1≤x<2.53.解①得x<解②得x≥3,∴不等式组的解集为无解.54.解第一个不等式得x<8解第二个不等式得x≥2∴原不等式组的解集为:2≤x<8.55.解:由①得:1﹣2x+2≤5∴2x≥﹣2即x≥﹣1由②得:3x﹣2<2x+1∴x<3.∴原不等式组的解集为:﹣1≤x<3.56.解:原不等式可化为:即在数轴上可表示为:∴不等式的解集为:1≤x<357.解:,解不等式①,得x<3,解不等式②,得x≥﹣1,把不等式的解集在数轴上表示出来,如图所示.不等式组的解集是﹣1≤x<358.解:由题意,解不等式①得x>2,不等式②×2得x﹣2≤14﹣3x解得x≤4,∴原不等式组的解集为2<x≤4.59.解:解不等式①,得x<2.(2分)解不等式②,得x≥﹣1.(4分)所以,不等式组的解集是﹣1≤x<2.(5分)解集在数轴上表示为:60.解:由①,得x≥﹣,由②,得x<3,所以不等式组的解集为﹣≤x<3.。
完整版)解不等式组计算专项练习60题(有答案)1.解不等式组60题参考答案:1.解:由不等式①得2a-3x+1≥0,即x≤(2a+1)/3;由不等式②得3b-2x-16≥0,即x≤(3b-16)/2.又因为a≤4<b,所以2a+1≤9,3b-16≥8,所以x的取值范围为x≤3或x≥-11/2.2.解:由不等式①得x≤-1或x≥3;由不等式②得x≤4/3或x≥2.综合起来,x的取值范围为x≤-1或x≥3,或者4/3≤x≤2.3.解:由不等式①得x>(a+1)/2;由不等式②得x0,所以a/2>(a+1)/2,所以不等式组的解集为a/2<x<(a+1)/2.4.解:由不等式①得x≥1;由不等式②得x<3.所以不等式组的解集为1≤x<3.5.解:由不等式①得x≤-2;由不等式②得x>-3.所以不等式组的解集为-3<x≤-2.6.解:由不等式①得x>-1;由不等式②得x≤2.所以不等式组的解集为-1<x≤2.7.解:由不等式①得x≤-1;由不等式②得x≥-2.所以不等式组的解集为-2≤x≤-1.8.解:由不等式①得x>-3;由不等式②得x≤1.所以不等式组的解集为-3<x≤1.9.解:由不等式①得x>-1;由不等式②得x≤4.所以不等式组的解集为-1<x≤4.10.解:由不等式①得x-3.所以不等式组的解集为-3<x<2.11.解:由不等式①得x≥1;由不等式②得x<3.所以不等式组的解集为1≤x<3.1.由不等式组的①得x≥-1,由不等式组的②得 x<4,因此不等式组的解集为 -1≤x<4.2.由不等式①得x≤3,由不等式②得 x>0,因此不等式组的解集为0<x≤3.3.解不等式①得x≥1,解不等式②得 x<4,因此不等式组的解集为1≤x<4.4.原不等式组可化为:x+45,x<-1.因此不等式组的解集为-3<x≤3.5.解不等式①得 x<5,解不等式②得x≥-2,因此不等式组的解集为 -2≤x<5.6.解不等式①得x≥1,解不等式②得 x<4,因此不等式组的解集为1≤x<4.7.解不等式①得x≥-1,解不等式②得 x<3,因此不等式组的解集为 -1≤x<3.8.解不等式①得 x<1,解不等式②得x≥-2,因此不等式组的解集为 -2≤x<1.9.解不等式①得 x>-1,解不等式②得x≤4,因此不等式组的解集为 -1<x≤4.10.解不等式①得x≥1,解不等式②得 x<4,因此不等式组的解集为1≤x<4.11.解不等式①得 x>-1,解不等式②得x≤4,因此不等式组的解集为 -1<x≤4.12.解不等式组的①得-∞<x<1,因为②中的不等式没有解,所以不等式组的解集为 -∞<x<1.13.解不等式①得x≥1,解不等式②得 x<4,因此不等式组的解集为1≤x<4.14.原不等式组可化为:x>-3,x≤3.因此不等式组的解集为-3<x≤3.15.解不等式组的①得 x<1,因为②中的不等式没有解,所以不等式组的解集为 -∞<x<1.16.解不等式①得 x<2,解不等式②得x≥-1,因此不等式组的解集为 -1≤x<2.17.解不等式①得x≥1,解不等式②得1≤x<4,因此不等式组的解集为1≤x<4.18.解不等式①得x≥-1,解不等式②得 x<3,因此不等式组的解集为 -1≤x<3.19.解不等式①得 x<1,解不等式②得x≥-2,因此不等式组的解集为 -2≤x<1.20.解不等式①得 x>-1,解不等式②得x≤4,因此不等式组的解集为 -1<x≤4.21.不等式①的解集为x≥1,不等式②的解集为 x<4,因此原不等式的解集为1≤x<4.22.解不等式①得 x<0,解不等式②得x≥3,因此原不等式无解。
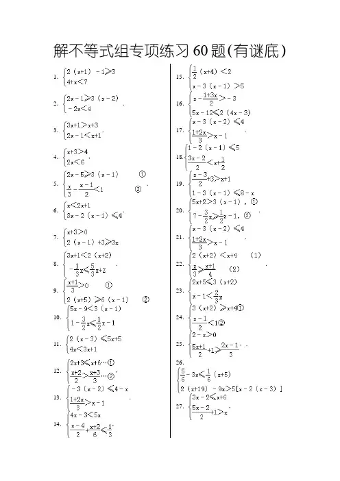
1.2.3.4. *解不等式组专项练习60题(有答案)2 (x+1) - 1>34+x<72K- 1>3 (x- 2)-2x<43x+l>x+3二一—.鼻+3>42F<6,X.12.13.14.15.16. x<2x+l:二-二■ :.. 1 .7.x+3>02 (x- 1) +3>3xf3xH<2 (x+2)_劭< 号十29.10.2x+3<x+G"-①:…二.一,,…②-3 (x- 2)<4-7*_ 1 3r4x- 3<5K汀x+2.^1,LrPT冷(计4) <2X- 3(K- 1) >516. 417.19.汨>-3Si - 12<2 (4x - 3)K - 3 (K- 2) <4蝶>_r l - 2 (x- 1) <5_ 2L2^>0 ①2 (s+5) >6 &-1)9<3 (x- 1)11. *2 (x - 3)盂5疋+54x<3x+lX.20.f5x+2>3 (x- 1),①73 -1.②22.3(K- 2) <41+2区、=[—>X - 1[2 (r+2) <x+413⑵30. 已知:2a -3x+ 仁0, 3b -2x - 16=0,且 a 詔< b ,求 爷〉斗⑴40. • 2 3,并把它的解集在5-2 (x- 3) <x- 1 (2)数轴上表示出来.sr+42x " 7号33.已知:a= , b=,并且2b < v a .请求出342x 的取值范围.2<3 (x+1)23. 24. 25. 26. 27. 28. 29. r 2x+5<3 (x+2) r3 (x+2) >x+4© r 2- x>0 5^十1」-」1 ,. ■f - 3Z <4(K +5) 6 b 2 (x+19)- 9x>5[x- 2 (x- 3)] - 2<x+6 Rv - 9 r 2x+2>3x+3®宁诗―② 忌+3 (x- 2) <10 号〉小35.5x - 1<3 (x+1)(3(X- 2) +4<5K37. if - 1—-—_ 耳>3計]fx - 3 (x- 2) >438. 2s- 1 ^.K +i,并把解集在数轴上表示出.5来.一 一: __ •一 -39.已知关于x 、y 的方程组 广 尸亘"的解满足x > yL2x+y=5a> 0,化简 |a|+|3- a|.1 _ 3 (y _ 2) <9- x ②f5K-2>3 (i+l),① 32. r5i - 2<3i+441. x+8\ K >_sflO-4 (x- 3) >2 (x- 1)©- 10<0 34. ' 5x+2>3虽 11 - 2x>l+3x43. ” X - 2~2~^2x+331.x 的取值范围.45.3 (1 - x) A2 (x+9)x- 314I 0.5f2- x>05s±l• 21 .3~-3 (x+l) - (x- 3)<846. ' 2 泄1I 347.关于x、y的二元一次方程组:'-"■,当^2x+y=5ir- 2m为何值时,x> 0, yO.2<3 (x+1)53.54.55.56.48.并将解集表示在数轴上. 57.49.已知关于y的方程组x+y=m+24蜀+5y=6m -3的解是58.对正数,求m的取值范围.x+2y=5a50.已知方程组n cl2x~ 2=5的解满足-x>0y<0化简59.I(x+1) >x (x+3)②- 1 _ 5^+j.52.- 1<3 (x+1)f5x+4<3 (x+1)x - 1 - 1A 52x+7>3x - 1x- 2.br>0r l-2 (x-1) <53x- 2「2r2 (K+2)<3X+3r3x- 1<2 (x+1)x+3、r3x- 2>x+2>-1<743x- l<2x+l1 - 2(K- 1) <3 (K+1)+5解不等式组60题参考答案:fx+3>0®由①得x >- 3;由②得x <1故此不等式组的解集为:2 (x- 1) +3>3x@- 3<5x ①6 _医+ +口<4②,解不等式 ①得x >- 3;解不等式 ②得x <3.所以-3<x <315. 解:由(1)得:x+4 v 4, x v 0 由(2)得:x - 3x+3 > 5, x v - 1「.不等式组解集是: x v - 1x —臂>「3 (1)16.解:'2 ,解不等式(1),得x v 5,解不等式(2),得x 》-2 ,12<2(4K - 3)(2)因此,原不等式组的解集为- 2<v 5.17. 解:由① 得:去括号得,x - 3x+6詔,移项、合并同类项得,- 2x <- 2,化系数为1得,X 》.由② 得:去分母得,1+2x > 3x - 3,移项、合并同类项得,- x >- 4, 化系数为1得,x v 4•••原不等式组的解集为:1<cv 4.1、 解:2 (x+1) - ①4+x<7 ② ,由①得2x 支,即x 昌;由②得x v 3;故不等式组的解集为:1強v 3.2. 解:11^3 (x _ 2) I -2i<4 ②…,由①得:x <5,由②得:x >- 2,不等式组的解集为-2v x <3. 解:触解不等式①,得x > 1.解不等式②,得x v 2.故不等式组的解集为:1v x v 2. 2x- l<x+l ②4. 解:x+f>:D ,解不等式 ①得,x > 1,解不等式 ②得,x v 3,故不等式的解集为:1v x v 3, 曲<6②5. 6. 解不等式 ①,得x<- 2,解不等式 ②,得x >- 3,故原不等式组的解集为- 3v x<- 2,x<2x+l ①,解不等式 ①得:x >- 1,解不等式②得:x <2,不等式组的解集为:-1v x 电, 3x- 2 (s-1) <4@解:7. 8. 解:9. 解: 10•解:r3i+l<2 (a+2;••由①得,x >- 1 ;由②得,x <4,•此不等式组的解集为:(- 9<3 (x- 1)①—V ,(1'解不等式①,得x v 3,解不等式 ②,得x1 .所以原不等式的解集为-1<<v 3. ②解不等式 ① 得:x v 3,解不等式 ② 得:X 》,不等式组的解集是1 < v 311 .解: 12.解: XA 「;由②得,x V 1,故此不等式组的解集为: ■丿• ••此不等式组的解集为: 0 v x <3,13.解:2心-引5+5①,由①得, \^<3i+l ②•••由①得,x <,由②得x >0,(-3 (y- 2) <4- x ①]1+2》:、_ 1②解不等式①,得X 》;解不等式 ②,得x v 4. • 1« v 4.解:14.解: 原不等式组可化为18•解:解不等式 ①,得x>- 1,解不等式 ②,得x v 3 ,•••原不等式组的解集为-1 <x < 3.23•解:解不等式2x+5 <3 (x+2 ),得xA 1解不等式x - 1 <- x ,得x < 3.所以,原不等式组的解集是-324.解:解不等式 ①,得x>- 1,解不等式 ②,得x < 3,•原不等式组的解是-1強< 3. [2- …①,.解不等式①,得x <2,解不等式②,得x I,•不等式组的解集是-1 $ < 2.26. :由不等式 ①得:X%由不等式②得:x < 4原不等式组的解集为 0纟< 427. 解:由不等式①得:2x<8, x<4 .由不等式②得:5x - 2+2 > 2x , 3x > 0, x > 0. •••原不等式组的解集为:0< x <4.31. 解:由① 得:x 电.由② 得:x >- 1.A 不等式组的解集为-1< X 电.5532.解:解不等式 ①,得x >「解不等式②,得x 詔.•••不等式的解集是,< x 詔.33. 解:把a , b 代入得:2严「匕|<¥.化简得:6x - 21<15< 2x+8 .解集为:3.5< x 詬.42 334. 解:解不等式①,得x<2.5,解不等式②,得x >- 1,解不等式③,得x <所以这个不等式组的解集是-1<x 电.35 .解:解不等式①,得x>- 1.解不等式②,得x < 2 .所以不等式组的解集是-1 «< 2.36 .解:由①,得x < 2 .由②,得x A 1 .-•这个不等式组的解集为-1 <« 2. 37.解:由①得:x >- 1由②得:x G -所以解集为-1<x ;'.38. 解:由① 得:-2x>- 2,即 x <,由② 得:4x - 2 < 5x+5,即 x >- 7,所以-7 < x < .19. 解: 解不等式 20. 解: 解不等式 21 . 解:(1)得x < 1解不等式(2)得x A 2所以不等式组的解集为-2纟< 1 . ①,得x >-'.解不等式②,得.所以,不等式组的解集是-2(x- 2) <4®①的解集为X 》②的解集为x < 4原不等式的解集为22. 解: \-3'孚S - 1®解不等式(1),得2x+4 < x+4 , x < 0,不等式(2),得4x 绍x+3 , x 為.•••原不等式无解.1$< 4.25.解:由题意,28. 29. 解: 解: 解不等式①,得 解不等式①,得30. 解: 2< x <- 1. 所以原不等式组的解集为x€.-2/+16b=,x<- 1,解不等式②,得x >- 2,所以不等式组的解集为- x 电.解不等式②,由 2a - 3x+仁0, 3b - 2x - 16=0,可得得 x >-3. 3x - 1a=,•/ a <4< b , /3x - 1 .<4 ,由(1),得 x <3.3 >42 2x+16 由(2),得 x >- 2 .•x 的取值范围是-2< x W .x - y=a+3 ” + x=2a+l,/口39.解:由方程组‘ ,解得- .由 x >y > 0,得,y=a- 2在数轴上表示为:2a+l>a - 2a _ 戈〉0 •解得a >2当 2v a<3 时,|a|+|3- a|=a+3 - a=3; 当 a > 3 时,|a|+|3- a|=a+a - 3=2a - 3. 40.解:由(1 )得x V 8由(2)得,x 羽故原不等式组的解集为 4纟V & 41 •解:由①得2x V 6,即X V 3,由② 得x+8 >- 3x ,即x >- 2,所以解集为-2 V x V 3. 42. 解:(1)去括号得,10 -4x+12丝x -2,移项、合并同类项得,- 6x A 24,解得,x 詔; (2)去分母得,3 (x - 1)> 1 - 2x ,去括号得,3x - 3> 1 - 2x ,移项、合并同类项得, 5x > 4, 化系数为1得,x >'.•••不等式组的解集为: V x 詔.5 5 5 5 43. 解:解第一个不等式得: x V —;解第二个不等式得:xA 12.故不等式组的解集是:-12纟V — 2 244.解:原方程组可化为: 3 - 3xZ>2x+18 -5 (xK) <-14,由("得,x V-3 由(2)得,x » 4根据 小大大小中间找”原则,不等式组的解集为-4$V- 3. 45 •由①得:x V 2,由②得: '-4K <846.整理不等式组得* x A 1 •- 1 纟V 2 . 解之得,x >- 2, x <1 2V x <1 47.解:①+②X 2得,7x=13m - 3,即x=一: --------- ③,把 ③代入②得,2X ; +y=5m - 3, 解得, 9m - 8尸丁 ,48. 49. 50. '13^-379m- 8因为x > 0, y 切,所以,解得 ②,得 -8-7-6-5-4-3-2-10 1 2 3 4 5 解不等式①,得x <:,解不等式 解: 解: (1)当(3)当XA 8.把不等式的解集在数轴上表示出来,如图:所以这个不等式组的解集为-8«< :.nri 13朗〉丄丄,故号V mV 13由2x - 2=5得x=£,代入第一个方程得 4+2y=5a ;贝卩y=T a -「,由于y V 0,贝U a v —: a v- 2 时,原式=-(a+2)- [ -( a - ) ]= - 2 ; (2)当-2V a v 时,原式=a+2 - [ -( a- ) ]=2a+ '; 2 2 2 2 2 1 7 1 1< a v —时,原式=a+2-( a - [) =2 ,;由题意可解得 -时13>0 I 一,解得51.解不等式(1)得:2 - x - 1€x+4- 3x<3 xA 1 2 2解不等式(2),得:x +x > x +3x - 2x > 0x v 0二原不等式组的解集为:-1 <x < 0.52•解不等式(1)得:x > -1解不等式(2),得:x<2 •••原不等式组的解集为:-1 << 2.53. 解①得x < •解②得x 绍,•不等式组的解集为无解.254. 解第一个不等式得 x < 8解第二个不等式得 x 呈■ ! r .: .••原不等式组的解集为:2$< 8.55•解:由 ①得:1 - 2x+2<5「. 2x>- 2 即 x A 1 由②得:3x - 2< 2x+1 • x < 3. •原不等式组的解集为:-1$ < 3.r2K+4<3x+3£59 .解:解不等式 ①,得x < 2 . (2分)解不等式②,得x >- 1. (4 分) 所以,不等式组的解集是-1纟< 2 . ( 5分),一----------- 4 ------- A 11 1>解集在数轴上表示为::5560.解:由①,得x A ,由②,得x < 3,所以不等式组的解集为-強< 3.57•解: r3x- 1<2 (x+1)①弯②,解不等式 ①,得x < 3,解不等式②,得x A 1 ,把不等式的解集在数轴上表示出来, 不等式组的解集是 如图所示. 58.解:由题意,I 2K•原不等式组的解集为1纟< 3〔如-2〉x+2…① 、小 3 金解不等式①得x >2,不等式②X 2得x -2胡4-3X 解得x 詔, —1=S*T -尹■② 56•解:原不等式可化为:即< 4X. _在数轴上可表示为:门•不等式的解集为:1$< 34 4。
列一元一次不等式组解应用题60题(有答案)1.某工厂计划生产A,B两种产品共10件,其生产成本和利润如下表:A种产品B种产品成本(万元∕件) 3 5利润(万元∕件) 1 2(1)若工厂计划获利14万元,问A,B两种产品应分别生产多少件?(2)若工厂投入资金不多于44万元,且获利多于14万元,问工厂有哪几种生产方案?(3)在(2)条件下,哪种方案获利最大?并求最大利润.2.某校初三(5)班同学利用课余时间回收钦料瓶,用卖得的钱去购买5本大小不同的两种笔记本,要求总钱不超过28元,且购买的笔记本的总页数不低于340页,两种笔记本的价格和页数如下表:大笔记本小笔记本价格(元/本) 6 5页数(页/本) 100 60根据上述相关数据,请你设计一种节约资金的购买方案,并说明节约资金的理由.3.某校某年级秋游,若租用48座客车若干辆,则正好坐满;若租用64座客车,则能少租1辆,且有一辆车没有坐满,但超过一半.(1)需租用48座客车多少辆?解:设需租用48座客车x辆.则需租用64座客车___辆.当租用64座客车时,未坐满的那辆车还有___个空位(用含x的代数式表示).由题意,可得不等式组:_____解这个不等式组,得:______.因此,需租用48座客车_________辆.(2)若租用48座客车每辆250元,租用64座客车每辆300元,应租用哪种客车较合算?4.某班有学生55人,其中男生与女生的人数之比为6:5.(1)求出该班男生与女生的人数;(2)学校要从该班选出20人参加学校的合唱团,要求:①男生人数不少于7人;②女生人数超过男生人数2人以上.请问男、女生人数有几种选择方案?5.某小区前坪有一块空地,现想建成一块面积大于48平方米,周长小于34米的矩形绿化草地,已知一边长为8米,设其邻边长为x米,求x的整数解.6.2011年4月25日,全国人大常委会公布《中华人民共和国个人所得税法修正案(草案)》,向社会公开征集意见.草案规定,公民全月工薪不超过3000元的部分不必纳税,超过3000元的部分为全月应纳税所得额.此项税款按下表分段累进计算.级数全月应纳税所得额税率1 不超过1500元的部分5%2 超过1500元至4500元的部分10%3 超过4500元至9000元的部分20%………依据草案规定,解答下列问题:(1)李工程师的月工薪为8000元,则他每月应当纳税多少元?(2)若某纳税人的月工薪不超过10000元,他每月的纳税金额能超过月工薪的8%吗?若能,请给出该纳税人的月工薪范围;若不能,请说明理由.7.某电器城经销A型号彩电,今年四月份毎台彩电售价为2000元.与去年同期相比,结果卖出彩电的数量相同的,但去年销售额为5万元,今年销售额为4万元.(1)问去年四月份每台A型号彩电售价是多少元?(2)为了改善经营,电器城决定再经销B型号彩电,已知A型号彩电每台进货价为1800元,B型号彩电每台进货价为1500元,电器城预计用不多于3.3万元且不少于3.2万元的资金购进这两种彩电共20台,问有哪几种进货方案?(3)电器城准备把A型号彩电继续以原价每台2000元的价格出售,B型号彩电以每台1800元的价格出售,在这批彩电全部卖出的前提下,如何进货才能使电器城获利最大?最大利润是多少?8.某企业为了改善污水处理条件,决定购买A、B两种型号的污水处理设备共8台,其中每台的价格、月处理污水量如下表:经预算,企业最多支出57万元购买污水处理设备,且要求设备月处理污水量不低于1490吨.(1)企业有哪几种购买方案?(2)哪种购买方案更省钱?A型B型8 6价格(万元/台)200 180月处理污水量(吨/月)9.在“五•一”期间,某公司组织318名员工到雷山西江千户苗寨旅游,旅行社承诺每辆车安排有一名随团导游,并为此次旅行安排8名导游,现打算同时租甲、乙两种客车,其中甲种客车每辆载客45人,乙种客车每辆载客30人.(1)请帮助旅行社设计租车方案.(2)若甲种客车租金为800元/辆,乙种客车租金为600元/辆,旅行社按哪种方案租车最省钱?此时租金是多少?(3)旅行前,旅行社的一名导游由于有特殊情况,旅行社只能安排7名导游随团导游,为保证所租的每辆车安排有一名导游,租车方案调整为:同时租65座、45座和30座的大小三种客车,出发时,所租的三种客车的座位恰好坐满,请问旅行社的租车方案如何安排?10.为了鼓励城区居民节约用水,某市规定用水收费标准如下:每户每月的用水量不超过20度时(1度=1米3),水费为a元/度;超过20度时,不超过部分仍为a元/度,超过部分为b元/度.已知某用户四份用水15度,交水费22.5元,五月份用水30度,交水费50元.(1)求a,b的值;(2)若估计该用户六月份的水费支出不少于60元,但不超过90元,求该用户六月份的用水量x的取值范围.11.在眉山市开展城乡综合治理的活动中,需要将A、B、C三地的垃圾50立方米、40立方米、50立方米全部运往垃圾处理场D、E两地进行处理.已知运往D地的数量比运往E地的数量的2倍少10立方米.(1)求运往两地的数量各是多少立方米?(2)若A地运往D地a立方米(a为整数),B地运往D地30立方米,C地运往D地的数量小于A地运往D地的2倍.其余全部运往E地,且C地运往E地不超过12立方米,则A、C两地运往D、E两地哪几种方案?(3)已知从A、B、C三地把垃圾运往D、E两地处理所需费用如下表:A地B地C地22 20 20运往D地(元/立方米)20 22 21运往E地(元/立方米)在(2)的条件下,请说明哪种方案的总费用最少?12.小明家需要用钢管做防盗窗,按设计要求需要用同种规格、每根长6米的钢管切割成长0.8m的钢管及长2.5m 的钢管.﹙余料作废﹚(1)现切割一根长6m的钢管,且使余料最少.问能切出长0.8米及2.5米的钢管各多少根?(2)现需要切割出长0.8米的钢管89根,2.5米的钢管24根.你能用23根长6m的钢管完成切割吗?若能,请直接写出切割方案;若不能,请说明理由.13.为了对学生进行爱国主义教育,某校组织学生去看演出,有甲乙两种票,已知甲乙两种票的单价比为4:3,单价和为42元.(1)甲乙两种票的单价分别是多少元?(2)学校计划拿出不超过750元的资金,让七年级一班的36名学生首先观看,且规定购买甲种票必须多于15张,有哪几种购买方案?14.某工厂第一次购买甲种原料60盒和乙种原料120盒共用21 600元,第二次购买甲种原料20盒和乙种原料100盒共用16 800元.(1)求甲、乙两种原料每盒价钱各为多少元;(2)该工厂第三次购买时,要求甲种原料比乙种原料的2倍少200盒,且购买两种原料的总量不少于1 010盒,总金额不超过89 200元,请你通过计算写出本次购买甲、乙两种原料的所有方案.15.小明利用课余时间回收废品,将卖得的钱去购买5本大小不同的两种笔记本,要求共花钱不超过28元,且购买的笔记本的总页数不低于340页,两种笔记本的价格和页数如下表.为了节约资金,小明应选择哪一种购买方案?请说明理由.大笔记本小笔记本价格(元/本) 6 5页数(页/本)100 6016.整顿药品市场、降低药品价格是国家的惠民政策之一.根据国家《药品政府定价办法》,某省有关部门规定:市场流通药品的零售价格不得超过进价的15%.根据相关信息解决下列问题:(1)降价前,甲乙两种药品每盒的出厂价格之和为6.6元.经过若干中间环节,甲种药品每盒的零售价格比出厂价格的5倍少2.2元,乙种药品每盒的零售价格是出厂价格的6倍,两种药品每盒的零售价格之和为33.8元.那么降价前甲、乙两种药品每盒的零售价格分别是多少元?(2)降价后,某药品经销商将上述的甲、乙两种药品分别以每盒8元和5元的价格销售给医院,医院根据实际情况决定:对甲种药品每盒加价15%、对乙种药品每盒加价10%后零售给患者.实际进药时,这两种药品均以每10盒为1箱进行包装.近期该医院准备从经销商处购进甲乙两种药品共100箱,其中乙种药品不少于40箱,销售这批药品的总利润不低于900元.请问购进时有哪几种搭配方案?17.2010年的世界杯足球赛在南非举行.为了满足球迷的需要,某体育服装店老板计划到服装批发市场选购A、B 两种品牌的服装.据市场调查得知,销售一件A品牌服装可获利润25元,销售一件B品牌服装可获利润32元.根据市场需要,该店老板购进A种品牌服装的数量比购进B种品牌服装的数量的2倍还多4件,且A种品牌服装最多可购进48件.若服装全部售出后,老板可获得的利润不少于1740元.请你分析这位老板可能有哪些方案?18.某服装店欲购甲、乙两种新款运动服,甲款每套进价350元,乙款每套进价200元,该店计划用不低于7600元且不高于8000元的资金订购30套甲、乙两款运动服.(1)该店订购这两款运动服,共有哪几种方案?(2)若该店以甲款每套400元,乙款每套300元的价格全部出售,哪种方案获利最大?19.某学校组织八年级学生参加社会实践活动,若单独租用35座客车若干辆,则刚好坐满;若单独租用55座客车,则可以少租一辆,且余45个空座位.(1)求该校八年级学生参加社会实践活动的人数;(2)已知35座客车的租金为每辆320元,55座客车的租金为每辆400元,根据租车资金不超过1500元的预算,学校决定同时租用这两种客车共4辆(可以坐不满).请你计算本次社会实践活动所需车辆的租金?20.为实现区域教育均衡发展,我市计划对某县A、B两类薄弱学校全部进行改造.根据预算,共需资金1575万元.改造一所A类学校和两所B类学校共需资金230万元;改造两所A类学校和一所B类学校共需资金205万元.(1)改造一所A类学校和一所B类学校所需的资金分别是多少万元?(2)若该县的A类学校不超过5所,则B类学校至少有多少所?(3)我市计划今年对该县A、B两类学校共6所进行改造,改造资金由国家财政和地方财政共同承担.若今年国家财政拨付的改造资金不超过400万元;地方财政投入的改造资金不少于70万元,其中地方财政投入到A、B两类学校的改造资金分别为每所10万元和15万元.请你通过计算求出有几种改造方案?21.2010年1月1日,全球第三大自贸区﹣中国﹣东盟自由贸易区正式成立,标志着该贸易区开始步入“零关税”时代,广西某民营边贸公司要把240顿白砂糖运往东盟某国的A,B两地,现用大,小两种货车共20辆,恰好能一次性装完这批白砂糖.已知这两种火车的载重量分别为15吨/辆和10吨/辆,运往A地的运费为:大车630元/辆,小车420元/辆;运往B地的运费为:大车750元/辆,小车550元/辆.(1)求这两种货车各用多少辆;(2)如果安排10辆货车前往A地,其余货车前往B地,且运往A地的白砂糖不少于115吨,请你设计出使用总运费最少的货车调配方案,并求出最少总运费?22.一家蔬菜公司收购到某种绿色蔬菜140吨,准备加工后进行销售,销售后获利的情况如下表所示:销售方式粗加工后销售精加工后销售每吨获利(元)1000 2000已知该公司的加工能力是:每天能精加工5吨或粗加工15吨,但两种加工不能同时进行.受季节等条件的限制,公司必须在一定时间内将这批蔬菜全部加工后销售完.(1)如果要求12天刚好加工完140吨蔬菜,则公司应安排几天精加工,几天粗加工?(2)如果先进行精加工,然后进行粗加工.②若要求在不超过10天的时间内,将140吨蔬菜全部加工完后进行销售,则加工这批蔬菜最多获得多少利润?此时如何分配加工时间?23.某校为迎接县中学生篮球比赛,计划购买A、B两种篮球共20个供学生训练使用.若购买A种篮球6个,则购买两种篮球共需费用720元;若购买A种篮球12个,则购买两种篮球共需费用840元.(1)A、B两种篮球单价各多少元?(2)若购买A种篮球不少于8个,所需费用总额不超过800元.请你按要求设计出所有的购买方案供学校参考,并分别计算出每种方案购买A、B两种篮球的个数及所需费用.24.为打造“书香校园”,某学校计划用不超过1900本科技类书籍和1620本人文类书籍,组建中、小型两类图书角共30个.已知组建一个中型图书角需科技类书籍80本,人文类书籍50本;组建一个小型图书角需科技类书籍30本,人文类书籍60本.(1)问符合题意的组建方案有几种?请你帮学校设计出来;(2)若组建一个中型图书角的费用是860元,组建一个小型图书角的费用是570元,试说明在(1)中哪种方案费用最低?最低费用是多少元?25.师徒二人分别组装28辆摩托车,徒弟单独工作一周(7天)不能完成,而师傅单独工作不到一周就已完成,已知师傅平均每天比徒弟多组装2辆,求:(1)徒弟平均每天组装多少辆摩托车(答案取整数)?(2)若徒弟先工作2天,师傅才开始工作,师傅工作几天,师徒两人做组装的摩托车辆数相同?26.东艺中学初三(1)班学生到雁鸣湖春游,有一项活动是划船.游船有两种,甲种船每条船最多只能坐4个人,乙种船每条船最多只能坐6个人.已知初三(1)班学生的人数是5的倍数,若仅租甲种船,则不少于12条;若仅租乙种船,则不多于9条.(1)求初三(1)班学生的人数;(2)初三(1)班学生的人数是50人,如果甲种船的租金是每条船10元,乙种船的租金是每条船12元.应怎样租船,才能使每条船都坐满,且租金最少?说明理由.27.某汽车制造厂开发了一款新式电动汽车,计划一年生产安装240辆.由于抽调不出足够的熟练工来完成新式电动汽车的安装,工厂决定招聘一些新工人;他们经过培训后上岗,也能独立进行电动汽车的安装.生产开始后,调研部门发现:1名熟练工和2名新工人每月可安装8辆电动汽车;2名熟练工和3名新工人每月可安装14辆电动汽车.(2)如果工厂招聘n(0<n<10)名新工人,使得招聘的新工人和抽调的熟练工刚好能完成一年的安装任务,那么工厂有哪几种新工人的招聘方案?(3)在(2)的条件下,工厂给安装电动汽车的每名熟练工每月发2000元的工资,给每名新工人每月发1200元的工资,那么工厂应招聘多少名新工人,使新工人的数量多于熟练工,同时工厂每月支出的工资总额W(元)尽可能地少?28.君实机械厂为青扬公司生产A、B两种产品,该机械厂由甲车间生产A种产品,乙车间生产B种产品,两车间同时生产.甲车间每天生产的A种产品比乙车间每天生产的B种产品多2件,甲车间3天生产的A种产品与乙车间4天生产的B种产品数量相同.(1)求甲车间每天生产多少件A种产品?乙车间每天生产多少件B种产品?(2)君实机械厂生产的A种产品的出厂价为每件200元,B种产品的出厂价为每件180元.现青扬公司需一次性购买A、B两种产品共80件,君实机械厂甲、乙两车间在没有库存的情况下只生产8天,若青扬公司按出厂价购买A、B两种产品的费用超过15000元而不超过15080元.请你通过计算为青扬公司设计购买方案?29.为鼓励学生参加体育锻炼,学校计划拿出不超过1600元的资金再购买一批篮球和排球,已知篮球和排球的单价比为3:2.单价和为80元.(1)篮球和排球的单价分别是多少元?(2)若要求购买的篮球和排球的总数量是36个,且购买的篮球数量多于25个,有哪几种购买方案?30.某校团委为了教育学生,开展了以感恩为主题的有奖征文活动,并为获奖的同学颁发奖品.小红与小明去文化商店购买甲、乙两种笔记本作为奖品,若买甲种笔记本20个,乙种笔记本10个,共用110元;且买甲种笔记本30个比买乙种笔记本20个少花10元.(1)求甲、乙两种笔记本的单价各是多少元?(2)若本次购进甲种笔记本的数量比乙种笔记本的数量的2倍还少10个,且购进两种笔记本的总数量不少于80本,总金额不超过320元.请你设计出本次购进甲、乙两种笔记本的所有方案.31.某地区果农收获草莓30吨,枇杷13吨,现计划租用甲、乙两种货车共10辆将这批水果全部运往省城,已知甲种货车可装草莓4吨和枇杷1吨,乙种货车可装草莓、枇杷各2吨.(1)该果农安排甲、乙两种货车时有几种方案请您帮助设计出来;(2)若甲种货车每辆要付运输费2 000元,乙种货车每辆要付运输费1 300元,则该果农应选择哪种运输方案才能使运费最少,最少运费是多少元?32.今年春季我国西南地区发生严重旱情,为了保障人畜饮水安全,某县急需饮水设备12台,现有甲、乙两种设备可供选择,其中甲种设备的购买费用为4000元/台,安装及运输费用为600元/台;乙种设备的购买费用为3000元/台,安装及运输费用为800元/台,若要求购买的费用不超过40000元,安装及运输费用不超过9200元,则可购买甲、乙两种设备各多少台?33.初中毕业了,孔明同学准备利用暑假卖报纸赚取140~200元钱,买一份礼物送给父母.已知:在暑假期间,如果卖出的报纸不超过1000份,则每卖出一份报纸可得0.1元;如果卖出的报纸超过1000份,则超过部分每份可得0.2元.(1)请说明:孔明同学要达到目的,卖出报纸的份数必须超过1000份.(2)孔明同学要通过卖报纸赚取140~200元,请计算他卖出报纸的份数在哪个范围内.34.开学初,小芳和小亮去学校商店购买学习用品,小芳用18元钱买了1支钢笔和3本笔记本;小亮用31元买了同样的钢笔2支和笔记本5本.(1)求每支钢笔和每本笔记本的价格;(2)校运会后,班主任拿出200元学校奖励基金交给班长,购买上述价格的钢笔和笔记本共48件作为奖品,奖给校运会中表现突出的同学,要求笔记本数不少于钢笔数,共有多少种购买方案?请你一一写出.35.某公司计划生产甲、乙两种产品共20件,其总产值w(万元)满足:1150<w<1200,相关数据如下表.为此,公司应怎样设计这两种产品的生产方案?产品名称每件产品的产值(万元)甲45乙7536.某饮料厂为了开发新产品,用A种果汁原料和B种果汁原料试制新型甲、乙两种饮料共50千克,设甲种饮料需配制x千克,两种饮料的成本总额为y元.(1)已知甲种饮料成本每千克4元,乙种饮料成本每千克3元,请你写出y与x之间的函数关系式.(2)若用19千克A种果汁原料和17.2千克B种果汁原料试制甲、乙两种新型饮料,下表是试验的相关数据;请你列出关于x且满足题意的不等式组,求出它的解集,并由此分析如何配制这两种饮料,可使y值最小,最小值是多少?甲乙每千克饮料果汁含量果汁A 0.5千克0.2千克B 0.3千克0.4千克37.某校校园超市老板到批发中心选购甲、乙两种品牌的书包,若购进甲品牌的书包9个,乙品牌的书包10个,需要905元;若购进甲品牌的书包12个,乙品牌的书包8个,需要940元.(1)求甲、乙两种品牌的书包每个多少元?(2)若销售1个甲品牌的书包可以获利3元,销售1个乙品牌的书包可以获利10元.根据学生需求,超市老板决定,购进甲种品牌书包的数量要比购进乙品牌的书包的数量的4倍还多8个,且甲种品牌书包最多可以购进56个,这样书包全部出售后,可以使总的获利不少于233元.问有几种进货方案?如何进货?38.某运动鞋专卖店,欲购进甲、乙两型号的运动鞋共100双,若购进5双甲型号运动鞋和3双乙型号运动鞋共需1350元,若购进4双甲型号运动鞋和2双乙型号运动鞋共需1020元.(1)求甲、乙两型号运动鞋的进价每双各是多少元?(2)甲型号运动鞋每双售价为260元,乙型号运动鞋每双售价为220元,要满足进鞋资金不超过17500元,当100双运动鞋全部售出后,利润不低于7800元,鞋店经理有几种进货方案?39.2008年北京奥运会的比赛门票开始接受公众预定.下表为北京奥运会官方票务网站公布的几种球类比赛的门票价格,某球迷准备用12000元预定15张下表中球类比赛的门票:比赛项目票价(元/场)男篮1000足球800乒乓球500(1)若全部资金用来预定男篮门票和乒乓球门票,问这个球迷可以预订男篮门票和乒乓球门票各多少张?(2)若在准备资金允许的范围内和总票数不变的前提下,这个球迷想预定上表中三种球类门票,其中足球门票与乒乓球门票数相同,且足球门票的费用不超过男篮门票的费用,问可以预订这三种球类门票各多少张?40.某学校科技活动小组制作了部分科技产品后,把剩余的甲乙两种原料制作100个A、B两种类型号的工艺品.已知每制作一个工艺品所需甲乙两种原料如右表,已知剩余的甲种原料29千克,乙种原料37.2千克,假设制作x个A型工艺品.型号A型B型千克/个原料甲0.5 0.2乙0.3 0.4(1)求出x应满足的不等式组的关系式;(2)请你设计A、B两种型号的工艺品的所有制作方案;(3)经市场了解,A型工艺品售价25元/个,B型工艺品售价15元/个,若这两种型号的销售总额为y元,请写出y与x之间的函数关系式,并指出哪种制作方案,使销售总额最大,求出最大销售总额.41.商场正在销售“福娃”玩具和徽章两种奥运商品,已知购买1盒“福娃”玩具和2盒徽章共需145元;购买2盒“福娃”玩具和3盒徽章共需280元.(1)一盒“福娃”玩具和一盒徽章的价格各是多少元?(2)某公司准备购买这两种奥运商品共20盒送给幼儿园(要求每种商品都要购买),且购买总金额不能超过450元,请你帮公司设计购买方案.42.“六•一”儿童节前夕,某消防队官兵了解到汶川地震灾区一帐篷小学的小朋友喜欢奥运福娃,就特意购买了一些送给这个小学的小朋友作为节日礼物.如果每班分10套,那么余5套;如果前面的班级每个班分13套,那么最后一个班级虽然分有福娃,但不足4套.问:该小学有多少个班级?奥运福娃共有多少套?43. 红旺商店同时购进A、B两种商品共用人民币36 000元,全部售完后共获利6 000元,两种商品的进价、售价如下表:A 商品B 商品进价120元/件100元/件售价138元/件120元/件(1)求本次红旺商店购进A、B两种商品的件数;(2)第二次进货:A、B件数皆为第一次的2倍,销售时,A商品按原售价销售,B商品打折出售,全部售完后为使利润不少于11 040元,则B商品每件的最低售价应为多少?44. 我市某镇组织20辆汽车装运完A、B、C三种脐橙共100吨到外地销售.按计划,20辆汽车都要装运,每辆汽车只能装运同一种脐橙,且必须装满.根据下表提供的信息,解答以下问题:脐橙品种 A B C每辆汽车运载量(吨) 6 5 4每吨脐橙获得(百元)12 16 10(1)设装运A种脐橙的车辆数为x,装运B种脐橙的车辆数为y,求y与x之间的函数关系式;(2)如果装运每种脐橙的车辆数都不少于4辆,那么车辆的安排方案有几种?并写出每种安排方案;(3)若要使此次销售获利最大,应采用哪种安排方案?并求出最大利润的值.45.为迎接市运动会,某单位准备用800元订购10套下表中的运动服.运动服价格(元/套)男装甲100男装乙80女装50。
(完整版)解不等式组计算专项练习60题(有答案)编辑整理:尊敬的读者朋友们:这里是精品文档编辑中心,本文档内容是由我和我的同事精心编辑整理后发布的,发布之前我们对文中内容进行仔细校对,但是难免会有疏漏的地方,但是任然希望((完整版)解不等式组计算专项练习60题(有答案))的内容能够给您的工作和学习带来便利。
同时也真诚的希望收到您的建议和反馈,这将是我们进步的源泉,前进的动力。
本文可编辑可修改,如果觉得对您有帮助请收藏以便随时查阅,最后祝您生活愉快业绩进步,以下为(完整版)解不等式组计算专项练习60题(有答案)的全部内容。
(完整版)解不等式组计算专项练习60题(有答案)编辑整理:张嬗雒老师尊敬的读者朋友们:这里是精品文档编辑中心,本文档内容是由我和我的同事精心编辑整理后发布到文库,发布之前我们对文中内容进行仔细校对,但是难免会有疏漏的地方,但是我们任然希望 (完整版)解不等式组计算专项练习60题(有答案)这篇文档能够给您的工作和学习带来便利。
同时我们也真诚的希望收到您的建议和反馈到下面的留言区,这将是我们进步的源泉,前进的动力。
本文可编辑可修改,如果觉得对您有帮助请下载收藏以便随时查阅,最后祝您生活愉快业绩进步,以下为 <(完整版)解不等式组计算专项练习60题(有答案)> 这篇文档的全部内容。
解不等式组专项练习60题(有答案)1.2..3..4.,5..6..7.8..9.10.11.12.,13..14.,15.16.17..18.19.20..21..22..23.24.25.,.26.27.,28.29..30.已知:2a﹣3x+1=0,3b﹣2x﹣16=0,且a≤4<b,求x的取值范围.31..32..33.已知:a=,b=,并且2b≤<a.请求出x的取值范围.34.35.,36.,并将其解集在数轴上表示出来.37..38.,并把解集在数轴上表示出来.39.已知关于x、y 的方程组的解满足x>y>0,化简|a|+|3﹣a|.40.,并把它的解集在数轴上表示出来.41.42.43..44..45..46..47.关于x、y 的二元一次方程组,当m为何值时,x>0,y≤0.48.并将解集表示在数轴上.49.已知关于x、y 的方程组的解是一对正数,求m的取值范围.50.已知方程组的解满足,化简.51..52.53..54..55..56.57.58.59.60。
解不等式组专项练习60题(有答案)1.2..3..4.,5..6..7.8..9.10.11.12.,13..14.,15.16.17..18.19.20..21..22..23.24.25.,.26.27.,28.29..30.已知:2a﹣3x+1=0,3b﹣2x﹣16=0,且a≤4<b,求x的取值范围.31..32..33.已知:a=,b=,并且2b ≤<a.请求出x的取值范围.34.35.,36.,并将其解集在数轴上表示出来.37..38.,并把解集在数轴上表示出来.39.已知关于x、y 的方程组的解满足x>y >0,化简|a|+|3﹣a|.40.,并把它的解集在数轴上表示出来.41.42.43..44..45..46..47.关于x、y 的二元一次方程组,当m为何值时,x>0,y≤0.48.并将解集表示在数轴上.49.已知关于x、y 的方程组的解是一对正数,求m的取值范围.50.已知方程组的解满足,化简.51..52.53..54..55..56.57.58.59.60.解不等式组60题参考答案:1、解:,由①得2x≥2,即x≥1;由②得x<3;故不等式组的解集为:1≤x<3.2.解:,由①得:x≤5,由②得:x>﹣2,不等式组的解集为﹣2<x≤53.解:解不等式①,得x>1.解不等式②,得x<2.故不等式组的解集为:1<x<2.4.解:,解不等式①得,x>1,解不等式②得,x<3,故不等式的解集为:1<x<3,5.解不等式①,得x≤﹣2,解不等式②,得x>﹣3,故原不等式组的解集为﹣3<x≤﹣2,6.解:,解不等式①得:x>﹣1,解不等式②得:x≤2,不等式组的解集为:﹣1<x≤2,7.解:,由①得x>﹣3;由②得x≤1故此不等式组的解集为:﹣3<x≤1,8.解:解不等式①,得x<3,解不等式②,得x≥﹣1.所以原不等式的解集为﹣1≤x<3.9.解:∵由①得,x>﹣1;由②得,x≤4,∴此不等式组的解集为:﹣1<x≤4,10.解:,解不等式①得:x<3,解不等式②得:x≥1,不等式组的解集是1≤x<3 11.解:,由①得,x≥﹣;由②得,x<1,故此不等式组的解集为:﹣<x<1,12.解:∵由①得,x≤3,由②得x>0,∴此不等式组的解集为:0<x≤3,13.解:解不等式①,得x≥1;解不等式②,得x<4.∴1≤x<4.14.解:原不等式组可化为,解不等式①得x>﹣3;解不等式②得x≤3.所以-3<x≤3 15.解:由(1)得:x+4<4,x<0由(2)得:x﹣3x+3>5,x<﹣1∴不等式组解集是:x<﹣116.解:,解不等式(1),得x<5,解不等式(2),得x≥﹣2,因此,原不等式组的解集为﹣2≤x<5.17.解:由①得:去括号得,x﹣3x+6≤4,移项、合并同类项得,﹣2x≤﹣2,化系数为1得,x≥1.由②得:去分母得,1+2x>3x﹣3,移项、合并同类项得,﹣x>﹣4,化系数为1得,x<4 ∴原不等式组的解集为:1≤x<4.18.解:解不等式①,得x≥﹣1,解不等式②,得x<3,∴原不等式组的解集为﹣1≤x<3.19.解:解不等式(1)得x<1解不等式(2)得x≥﹣2所以不等式组的解集为﹣2≤x<1.20.解:解不等式①,得x>﹣.解不等式②,得x≤4.所以,不等式组的解集是﹣<x≤4.21.解:①的解集为x≥1②的解集为x<4原不等式的解集为1≤x<4.22.解:解不等式(1),得2x+4<x+4,x<0,不等式(2),得4x≥3x+3,x≥3.∴原不等式无解.23.解:解不等式2x+5≤3(x+2),得x≥﹣1解不等式x﹣1<x,得x<3.所以,原不等式组的解集是﹣1≤x<3.24.解:解不等式①,得x≥﹣1,解不等式②,得x<3,∴原不等式组的解是﹣1≤x<3.25.解:由题意,解不等式①,得x<2,解不等式②,得x≥﹣1,∴不等式组的解集是﹣1≤x<2.26.:由不等式①得:x≥0由不等式②得:x<4原不等式组的解集为0≤x<427.解:由不等式①得:2x≤8,x≤4.由不等式②得:5x﹣2+2>2x,3x>0,x>0.∴原不等式组的解集为:0<x≤4.28.解:解不等式①,得x≤﹣1,解不等式②,得x>﹣2,所以不等式组的解集为﹣2<x≤﹣1.29.解:解不等式①,得x≤2.解不等式②,得x>﹣3.所以原不等式组的解集为x≤2.30. 解:由2a﹣3x+1=0,3b﹣2x﹣16=0,可得a=,b=,∵a≤4<b,∴,由(1),得x≤3.由(2),得x>﹣2.∴x的取值范围是﹣2<x≤3.31.解:由①得:x≤2.由②得:x>﹣1.∴不等式组的解集为﹣1<x≤2.32.解:解不等式①,得x>;解不等式②,得x≤4.∴不等式的解集是<x≤4.33.解:把a,b代入得:2×.化简得:6x﹣21≤15<2x+8.解集为:3.5<x≤6.34.解:解不等式①,得x≤2.5,解不等式②,得x>﹣1,解不等式③,得x≤2,所以这个不等式组的解集是﹣1<x≤2.35.解:解不等式①,得x≥﹣1.解不等式②,得x<2.所以不等式组的解集是﹣1≤x<2.36.解:由①,得x<2.由②,得x≥﹣1.∴这个不等式组的解集为﹣1≤x<2.37.解:由①得:x>﹣1由②得:x所以解集为﹣1<x.38.解:由①得:﹣2x≥﹣2,即x≤1,由②得:4x﹣2<5x+5,即x>﹣7,所以﹣7<x≤1.在数轴上表示为:39.解:由方程组,解得.由x>y>0,得.解得a>2当2<a≤3时,|a|+|3﹣a|=a+3﹣a=3;当a>3时,|a|+|3﹣a|=a+a﹣3=2a﹣3.40.解:由(1)得x<8由(2)得,x≥4故原不等式组的解集为4≤x<8.41.解:由①得2x<6,即x<3,由②得x+8>﹣3x,即x>﹣2,所以解集为﹣2<x<3.42.解:(1)去括号得,10﹣4x+12≥2x﹣2,移项、合并同类项得,﹣6x≥﹣24,解得,x≤4;(2)去分母得,3(x﹣1)>1﹣2x,去括号得,3x﹣3>1﹣2x,移项、合并同类项得,5x>4,化系数为1得,x>.∴不等式组的解集为:<x≤4.43.解:解第一个不等式得:x <;解第二个不等式得:x≥﹣12.故不等式组的解集是:﹣12≤x <.44.解:原方程组可化为:,由(1)得,x<﹣3由(2)得,x≥﹣4根据“小大大小中间找”原则,不等式组的解集为﹣4≤x<﹣3.45.由①得:x<2,由②得:x≥﹣1∴﹣1≤x<2.46.整理不等式组得解之得,x>﹣2,x≤1∴﹣2<x≤147.解:①+②×2得,7x=13m﹣3,即x=③,把③代入②得,2×+y=5m﹣3,解得,y=78-m9,因为x>0,y≤0,所以,解得<m≤9848. 解不等式①,得x ≤,解不等式②,得x≥﹣8.把不等式的解集在数轴上表示出来,如图:所以这个不等式组的解集为﹣8≤x ≤.49.解:由题意可解得,解得,故<m<1350.解:由2x﹣2=5得x=,代入第一个方程得+2y=5a;则y=a ﹣,由于y<0,则a <(1)当a<﹣2时,原式=﹣(a+2)﹣[﹣(a ﹣)]=﹣2;(2)当﹣2<a <时,原式=a+2﹣[﹣(a ﹣)]=2a+;(3)当<a <时,原式=a+2﹣(a ﹣)=2;851.解不等式(1)得:2﹣x﹣1≤2x+4 ﹣3x≤3 x≥﹣1解不等式(2),得:x2+x>x2+3x ﹣2x>0 x<0 ∴原不等式组的解集为:﹣1≤x<0.52.解不等式(1)得:x≥-1 解不等式(2),得:x<2 ∴原不等式组的解集为:﹣1≤x<2.53.解①得x<解②得x≥3,∴不等式组的解集为无解.54.解第一个不等式得x<8解第二个不等式得x≥2∴原不等式组的解集为:2≤x<8.55.解:由①得:1﹣2x+2≤5∴2x≥﹣2即x≥﹣1由②得:3x﹣2<2x+1∴x<3.∴原不等式组的解集为:﹣1≤x<3.56.解:原不等式可化为:即在数轴上可表示为:∴不等式的解集为:1≤x<357.解:,解不等式①,得x<3,解不等式②,得x≥﹣1,把不等式的解集在数轴上表示出来,如图所示.不等式组的解集是﹣1≤x<358.解:由题意,解不等式①得x>2,不等式②×2得x﹣2≤14﹣3x解得x≤4,∴原不等式组的解集为2<x≤4.59.解:解不等式①,得x<2.(2分)解不等式②,得x≥﹣1.(4分)所以,不等式组的解集是﹣1≤x<2.(5分)解集在数轴上表示为:60.解:由①,得x≥﹣,由②,得x<3,所以不等式组的解集为﹣≤x<3.。
解不等式组计算专项练习60题(有答案)1.解不等式组专项练60题(附答案)2.解:2x+1≤3x,得x≥1;3x-16≥2x,得x≥16,综合得1≤x<16,即x∈[1,16)。
3.解:|a-1|<1,即-1<a-1<1,解得0<a<2;|a+2|<2,即-2<a+2<2,解得-4<a<-0.5.综合得-4<a<-0.5,0<a<2,即a∈(-4,-0.5)∪(0,2)。
4.解:x+1>0,即x>-1;x-3<0,即x<3,综合得-1<x<3,即x∈(-1,3)。
5.解:x-2≥0,即x≥2;2x+1≤3x-2,得x≥3,综合得x≥3,即x∈[3,∞)。
6.解:x+1>0,即x>-1;2x-3≤x+2,得x≤5,综合得-1<x≤5,即x∈(-1,5]。
7.解:x-3≥0,即x≥3;2x-1≤3x-4,得x≤3,综合得x=3.8.解:x+3>0,即x>-3;x-1≤0,即x≤1,综合得-3<x≤1,即x∈(-3,1]。
9.解:x+1>0,即x>-1;3x-2≤2x+8,得x≤10,综合得-1<x≤10,即x∈(-1,10]。
10.解:x-1≥0,即x≥1;x+2≥0,即x≥-2,综合得x≥1,即x∈[1,∞)。
11.解:x-3<0,即x<3;x-1≥0,即x≥1,综合得x∈(-∞,3)∩[1,∞),即x∈[1,3)。
12.删除此段。
13.解:x-2>0,即x>2;x+1≤0,即x≤-1,综合得x∈(2.-1]。
14.解:x+3≥0,即x≥-3;3x-2≤2x+5,得x≤7,综合得-3≤x≤7,即x∈[-3,7]。
15.解:x+1>0,即x>-1;2x-5≥0,即x≥2.5,综合得x>2.5,即x∈(2.5,∞)。
解不等式组专项练习60题(有谜底)1.2..3..4.,5..6..7.8..9.10.11.12.,13..14.,15.16.17..18.19.20..21..22..23.24.25.,.26.27.,28.29..30.已知:2a﹣3x+1=0,3b﹣2x﹣16=0,且a≤4<b,求x的取值规模.31..32..33.已知:a=,b=,并且2b ≤<a.请求出x的取值规模.34.35.,36.,并将其解集在数轴上暗示出来.37..38.,并把解集在数轴上暗示出来.39.已知关于x、y 的方程组的解满足x>y>0,化简|a|+|3﹣a|.40.,并把它的解集在数轴上暗示出来.41.42.43..44..45..46..47.关于x、y 的二元一次方程组,当m为何值时,x>0,y≤0.48.并将解集暗示在数轴上.49.已知关于x、y 的方程组的解是一对正数,求m的取值规模.50.已知方程组的解满足,化简.51..52.53..54..55..56.57.58.59.60.解不等式组60题参考谜底:1、解:,由①得2x≥2,即x≥1;由②得x<3;故不等式组的解集为:1≤x<3.2.解:,由①得:x≤5,由②得:x>﹣2,不等式组的解集为﹣2<x≤53.解:解不等式①,得x>1.解不等式②,得x<2.故不等式组的解集为:1<x<2.4.解:,解不等式①得,x>1,解不等式②得,x<3,故不等式的解集为:1<x<3,5.解不等式①,得x≤﹣2,解不等式②,得x>﹣3,故原不等式组的解集为﹣3<x≤﹣2,6.解:,解不等式①得:x>﹣1,解不等式②得:x≤2,不等式组的解集为:﹣1<x≤2,7.解:,由①得x>﹣3;由②得x≤1故此不等式组的解集为:﹣3<x≤1,8.解:解不等式①,得x<3,解不等式②,得x≥﹣1.所以原不等式的解集为﹣1≤x<3.9.解:∵由①得,x>﹣1;由②得,x≤4,∴此不等式组的解集为:﹣1<x≤4,10.解:,解不等式①得:x<3,解不等式②得:x≥1,不等式组的解集是1≤x<311.解:,由①得,x≥﹣;由②得,x<1,故此不等式组的解集为:﹣<x<1,12.解:∵由①得,x≤3,由②得x>0,∴此不等式组的解集为:0<x≤3,13.解:解不等式①,得x≥1;解不等式②,得x<4.∴1≤x <4.14.解:原不等式组可化为,解不等式①得x>﹣3;解不等式②得x≤3.所以3<x≤315.解:由(1)得:x+4<4,x<0由(2)得:x﹣3x+3>5,x<﹣1∴不等式组解集是:x<﹣116.解:,解不等式(1),得x<5,解不等式(2),得x≥﹣2,因此,原不等式组的解集为﹣2≤x<5.17.解:由①得:去括号得,x﹣3x+6≤4,移项、合并同类项得,﹣2x≤﹣2,化系数为1得,x≥1.由②得:去分母得,1+2x>3x﹣3,移项、合并同类项得,﹣x>﹣4,化系数为1得,x<4∴原不等式组的解集为:1≤x<4.18.解:解不等式①,得x≥﹣1,解不等式②,得x<3,∴原不等式组的解集为﹣1≤x<3.19.解:解不等式(1)得x<1解不等式(2)得x≥﹣2所以不等式组的解集为﹣2≤x<1.20.解:解不等式①,得x>﹣.解不等式②,得x≤4.所以,不等式组的解集是﹣<x≤4.21.解:①的解集为x≥1②的解集为x<4原不等式的解集为1≤x<4.22.解:解不等式(1),得2x+4<x+4,x<0,不等式(2),得4x≥3x+3,x≥3.∴原不等式无解.23.解:解不等式2x+5≤3(x+2),得x≥﹣1解不等式x﹣1<x,得x<3.所以,原不等式组的解集是﹣1≤x<3.24.解:解不等式①,得x≥﹣1,解不等式②,得x<3,∴原不等式组的解是﹣1≤x<3.25.解:由题意,解不等式①,得x<2,解不等式②,得x≥﹣1,∴不等式组的解集是﹣1≤x<2.26.:由不等式①得:x≥0由不等式②得:x<4原不等式组的解集为0≤x<427.解:由不等式①得:2x≤8,x≤4.由不等式②得:5x﹣2+2>2x,3x>0,x>0.∴原不等式组的解集为:0<x≤4.28.解:解不等式①,得x≤﹣1,解不等式②,得x>﹣2,所以不等式组的解集为﹣2<x ≤﹣1.29.解:解不等式①,得x≤2.解不等式②,得x>﹣3.所以原不等式组的解集为x≤2.30. 解:由2a﹣3x+1=0,3b﹣2x﹣16=0,可得a=,b=,∵a≤4<b,∴,由(1),得x≤3.由(2),得x>﹣2.∴x的取值规模是﹣2<x≤3.31.解:由①得:x≤2.由②得:x>﹣1.∴不等式组的解集为﹣1<x≤2.32.解:解不等式①,得x>;解不等式②,得x≤4.∴不等式的解集是<x≤4.33.解:把a,b代入得:2×.化简得:6x﹣21≤15<2x+8.解集为:3.5<x≤6.34.解:解不等式①,得x≤2.5,解不等式②,得x>﹣1,解不等式③,得x≤2,所以这个不等式组的解集是﹣1<x≤2.35.解:解不等式①,得x≥﹣1.解不等式②,得x<2.所以不等式组的解集是﹣1≤x<2.36.解:由①,得x<2.由②,得x≥﹣1.∴这个不等式组的解集为﹣1≤x<2.37.解:由①得:x>﹣1由②得:x所以解集为﹣1<x.38.解:由①得:﹣2x≥﹣2,即x≤1,由②得:4x﹣2<5x+5,即x>﹣7,所以﹣7<x≤1.在数轴上暗示为:39.解:由方程组,解得.由x>y>0,得.解得a>2当2<a≤3时,|a|+|3﹣a|=a+3﹣a=3;当a>3时,|a|+|3﹣a|=a+a﹣3=2a﹣3.40.解:由(1)得x<8由(2)得,x≥4故原不等式组的解集为4≤x<8.41.解:由①得2x<6,即x<3,由②得x+8>﹣3x,即x>﹣2,所以解集为﹣2<x<3.42.解:(1)去括号得,10﹣4x+12≥2x﹣2,移项、合并同类项得,﹣6x≥﹣24,解得,x≤4;(2)去分母得,3(x﹣1)>1﹣2x,去括号得,3x﹣3>1﹣2x,移项、合并同类项得,5x>4,化系数为1得,x >.∴不等式组的解集为:<x≤4.43.解:解第一个不等式得:x <;解第二个不等式得:x≥﹣12.故不等式组的解集是:﹣12≤x <.44.解:原方程组可化为:,由(1)得,x<﹣3由(2)得,x≥﹣4根据“小年夜年夜小中间找”原则,不等式组的解集为﹣4≤x<﹣3.45.由①得:x<2,由②得:x≥﹣1∴﹣1≤x<2.46.整理不等式组得解之得,x>﹣2,x≤1∴﹣2<x≤147.解:①+②×2得,7x=13m﹣3,即x=③,把③代入②得,2×+y=5m﹣3,解得,y=78-m9,因为x >0,y≤0,所以,解得<m ≤9848.解不等式①,得x≤,解不等式②,得x≥﹣8.把不等式的解集在数轴上暗示出来,如图:所以这个不等式组的解集为﹣8≤x≤.49.解:由题意可解得,解得,故<m<13850.解:由2x﹣2=5得x=,代入第一个方程得+2y=5a;则y=a﹣,由于y<0,则a<(1)当a<﹣2时,原式=﹣(a+2)﹣[﹣(a﹣)]=﹣2;(2)当﹣2<a<时,原式= a+2﹣[﹣(a﹣)]=2a+;(3)当<a<时,原式=a+2﹣(a﹣)=2;51.解不等式(1)得:2﹣x﹣1≤2x+4﹣3x≤3x≥﹣1解不等式(2),得:x2+x>x2+3x﹣2x>0x<0∴原不等式组的解集为:﹣1≤x<0.52.解不等式(1)得:x≥1 解不等式(2),得:x<2∴原不等式组的解集为:﹣1≤x<2.53.解①得x<解②得x≥3,∴不等式组的解集为无解.54.解第一个不等式得x<8解第二个不等式得x≥2∴原不等式组的解集为:2≤x<8.55.解:由①得:1﹣2x+2≤5∴2x≥﹣2即x≥﹣1由②得:3x﹣2<2x+1∴x<3.∴原不等式组的解集为:﹣1≤x<3.56.解:原不等式可化为:即在数轴上可暗示为:∴不等式的解集为:1≤x<3 57.解:,解不等式①,得x<3,解不等式②,得x≥﹣1,把不等式的解集在数轴上暗示出来,如图所示.不等式组的解集是﹣1≤x<358.解:由题意,解不等式①得x>2,不等式②×2得x﹣2≤14﹣3x解得x≤4,∴原不等式组的解集为2<x≤4.59.解:解不等式①,得x<2.(2分)解不等式②,得x≥﹣1.(4分)所以,不等式组的解集是﹣1≤x<2.(5分)解集在数轴上暗示为:60.解:由①,得x≥﹣,由②,得x<3,所以不等式组的解集为﹣≤x<3.。
解不等式组专项练习60题(有谜底)1.2..3..4.,5..6..7.8..9.10.11.12.,13..14.,15.16.17..18.19.20..21..22..23.24.25.,.26.27.,28.29..30.已知:2a﹣3x+1=0,3b﹣2x﹣16=0,且a≤4<b,求x的取值规模.31..32..33.已知:a=,b=,并且2b ≤<a.请求出x的取值规模.34.35.,36.,并将其解集在数轴上暗示出来.37..38.,并把解集在数轴上暗示出来.39.已知关于x、y 的方程组的解满足x>y>0,化简|a|+|3﹣a|.40.,并把它的解集在数轴上暗示出来.41.42.43..44..45..46..47.关于x、y 的二元一次方程组,当m为何值时,x>0,y≤0.48.并将解集暗示在数轴上.49.已知关于x、y 的方程组的解是一对正数,求m 的取值规模.50.已知方程组的解满足,化简.51..52.53..54..55..56.57.58.59.60.解不等式组60题参考谜底:1、解:,由①得2x≥2,即x≥1;由②得x<3;故不等式组的解集为:1≤x<3.2.解:,由①得:x≤5,由②得:x>﹣2,不等式组的解集为﹣2<x≤53.解:解不等式①,得x>1.解不等式②,得x<2.故不等式组的解集为:1<x<2.4.解:,解不等式①得,x>1,解不等式②得,x<3,故不等式的解集为:1<x<3,5.解不等式①,得x≤﹣2,解不等式②,得x>﹣3,故原不等式组的解集为﹣3<x≤﹣2,6.解:,解不等式①得:x>﹣1,解不等式②得:x≤2,不等式组的解集为:﹣1<x≤2,7.解:,由①得x>﹣3;由②得x≤1故此不等式组的解集为:﹣3<x≤1,8.解:解不等式①,得x<3,解不等式②,得x≥﹣1.所以原不等式的解集为﹣1≤x<3.9.解:∵由①得,x>﹣1;由②得,x≤4,∴此不等式组的解集为:﹣1<x≤4,10.解:,解不等式①得:x<3,解不等式②得:x≥1,不等式组的解集是1≤x<311.解:,由①得,x≥﹣;由②得,x<1,故此不等式组的解集为:﹣<x<1,12.解:∵由①得,x≤3,由②得x>0,∴此不等式组的解集为:0<x≤3,13.解:解不等式①,得x≥1;解不等式②,得x<4.∴1≤x<4.14.解:原不等式组可化为,解不等式①得x>﹣3;解不等式②得x≤3.所以3<x≤315.解:由(1)得:x+4<4,x<0由(2)得:x﹣3x+3>5,x<﹣1∴不等式组解集是:x<﹣116.解:,解不等式(1),得x<5,解不等式(2),得x≥﹣2,因此,原不等式组的解集为﹣2≤x<5.17.解:由①得:去括号得,x﹣3x+6≤4,移项、合并同类项得,﹣2x≤﹣2,化系数为1得,x≥1.由②得:去分母得,1+2x>3x﹣3,移项、合并同类项得,﹣x>﹣4,化系数为1得,x<4∴原不等式组的解集为:1≤x<4.18.解:解不等式①,得x≥﹣1,解不等式②,得x<3,∴原不等式组的解集为﹣1≤x <3.19.解:解不等式(1)得x<1解不等式(2)得x≥﹣2所以不等式组的解集为﹣2≤x<1.20.解:解不等式①,得x>﹣.解不等式②,得x≤4.所以,不等式组的解集是﹣<x≤4.21.解:①的解集为x≥1②的解集为x<4原不等式的解集为1≤x<4.22.解:解不等式(1),得2x+4<x+4,x<0,不等式(2),得4x≥3x+3,x≥3.∴原不等式无解.23.解:解不等式2x+5≤3(x+2),得x≥﹣1解不等式x﹣1<x,得x<3.所以,原不等式组的解集是﹣1≤x<3.24.解:解不等式①,得x≥﹣1,解不等式②,得x<3,∴原不等式组的解是﹣1≤x<3.25.解:由题意,解不等式①,得x<2,解不等式②,得x≥﹣1,∴不等式组的解集是﹣1≤x<2.26.:由不等式①得:x≥0由不等式②得:x<4原不等式组的解集为0≤x<4 27.解:由不等式①得:2x≤8,x≤4.由不等式②得:5x﹣2+2>2x,3x>0,x>0.∴原不等式组的解集为:0<x≤4.28.解:解不等式①,得x≤﹣1,解不等式②,得x>﹣2,所以不等式组的解集为﹣2<x≤﹣1.29.解:解不等式①,得x≤2.解不等式②,得x>﹣3.所以原不等式组的解集为x≤2.30. 解:由2a﹣3x+1=0,3b﹣2x﹣16=0,可得a=,b=,∵a≤4<b,∴,由(1),得x≤3.由(2),得x>﹣2.∴x的取值规模是﹣2<x≤3.31.解:由①得:x≤2.由②得:x>﹣1.∴不等式组的解集为﹣1<x≤2.32.解:解不等式①,得x>;解不等式②,得x≤4.∴不等式的解集是<x≤4.33.解:把a,b代入得:2×.化简得:6x﹣21≤15<2x+8.解集为:3.5<x≤6.34.解:解不等式①,得x≤2.5,解不等式②,得x>﹣1,解不等式③,得x≤2,所以这个不等式组的解集是﹣1<x≤2.35.解:解不等式①,得x≥﹣1.解不等式②,得x<2.所以不等式组的解集是﹣1≤x <2.36.解:由①,得x<2.由②,得x≥﹣1.∴这个不等式组的解集为﹣1≤x<2.37.解:由①得:x>﹣1由②得:x所以解集为﹣1<x.38.解:由①得:﹣2x≥﹣2,即x≤1,由②得:4x﹣2<5x+5,即x>﹣7,所以﹣7<x ≤1.在数轴上暗示为:39.解:由方程组,解得.由x>y>0,得.解得a>2当2<a≤3时,|a|+|3﹣a|=a+3﹣a=3;当a>3时,|a|+|3﹣a|=a+a﹣3=2a﹣3.40.解:由(1)得x<8由(2)得,x≥4故原不等式组的解集为4≤x<8.41.解:由①得2x<6,即x<3,由②得x+8>﹣3x,即x>﹣2,所以解集为﹣2<x<3.42.解:(1)去括号得,10﹣4x+12≥2x﹣2,移项、合并同类项得,﹣6x≥﹣24,解得,x≤4;(2)去分母得,3(x﹣1)>1﹣2x,去括号得,3x﹣3>1﹣2x,移项、合并同类项得,5x>4,化系数为1得,x>.∴不等式组的解集为:<x≤4.43.解:解第一个不等式得:x<;解第二个不等式得:x≥﹣12.故不等式组的解集是:﹣12≤x<.44.解:原方程组可化为:,由(1)得,x<﹣3由(2)得,x≥﹣4根据“小年夜年夜小中间找”原则,不等式组的解集为﹣4≤x<﹣3.45.由①得:x<2,由②得:x≥﹣1∴﹣1≤x<2.46.整理不等式组得解之得,x>﹣2,x≤1∴﹣2<x≤147.解:①+②×2得,7x=13m﹣3,即x=③,把③代入②得,2×+y=5m﹣3,解得,y=78-m9,8因为x>0,y≤0,所以,解得<m ≤8948.解不等式①,得x≤,解不等式②,得x≥﹣8.把不等式的解集在数轴上暗示出来,如图:所以这个不等式组的解集为﹣8≤x≤.49.解:由题意可解得,解得,故<m<1350.解:由2x﹣2=5得x=,代入第一个方程得+2y=5a;则y=a ﹣,由于y<0,则a<(1)当a<﹣2时,原式=﹣(a+2)﹣[﹣(a﹣)]=﹣2;(2)当﹣2<a <时,原式=a+2﹣[﹣(a﹣)]=2a+;(3)当<a<时,原式=a+2﹣(a﹣)=2;51.解不等式(1)得:2﹣x﹣1≤2x+4﹣3x≤3x≥﹣1解不等式(2),得:x2+x>x2+3x﹣2x>0x<0∴原不等式组的解集为:﹣1≤x<0.52.解不等式(1)得:x≥1 解不等式(2),得:x<2∴原不等式组的解集为:﹣1≤x<2.53.解①得x<解②得x≥3,∴不等式组的解集为无解.54.解第一个不等式得x<8解第二个不等式得x≥2∴原不等式组的解集为:2≤x<8.55.解:由①得:1﹣2x+2≤5∴2x≥﹣2即x≥﹣1由②得:3x﹣2<2x+1∴x<3.∴原不等式组的解集为:﹣1≤x<3.56.解:原不等式可化为:即在数轴上可暗示为:∴不等式的解集为:1≤x<3 57.解:,解不等式①,得x<3,解不等式②,得x≥﹣1,把不等式的解集在数轴上暗示出来,如图所示.不等式组的解集是﹣1≤x<358.解:由题意,解不等式①得x>2,不等式②×2得x﹣2≤14﹣3x解得x≤4,∴原不等式组的解集为2<x≤4.59.解:解不等式①,得x<2.(2分)解不等式②,得x≥﹣1.(4分)所以,不等式组的解集是﹣1≤x<2.(5分)解集在数轴上暗示为:60.解:由①,得x≥﹣,由②,得x<3,所以不等式组的解集为﹣≤x<3.时间:2021.03.01 创作:欧阳语。
数学课程不等式组求解练习题及答案一、不等式组求解练习题1. 解下列不等式组:(1)2x + y ≥ 73x - y ≤ 4(2)3x + 2y ≤ 10x - 4y > 3(3)4x + 5y < 202x - 3y ≥ 52. 解下列不等式组,并画出解集在坐标系中的图形表示:(1)x + 2y > 3x - y < 2(2)2x - 3y ≥ 6x + y > 2二、不等式组求解练习题答案1. 解下列不等式组:(1)解2x + y ≥ 7 → (1)3x - y ≤ 4 → (2)将不等式 (1) 乘以 3:6x + 3y ≥ 21 → (3)将不等式 (2) 乘以 2:6x - 2y ≤ 8 → (4)将 (3) 和 (4) 相加可得:6x + 3y + 6x - 2y ≥ 21 + 8→ 12x + y ≥ 29因此原不等式组的解为:2x + y ≥ 73x - y ≤ 412x + y ≥ 29(2)解3x + 2y ≤ 10 → (1)x - 4y > 3 → (2)将不等式 (1) 乘以 4:12x + 8y ≤ 40 → (3)将不等式 (2) 乘以 3:3x - 12y > 9 → (4)将 (3) 和 (4) 相加可得:12x + 8y + 3x - 12y ≤ 40 + 9→ 15x - 4y ≤ 49因此原不等式组的解为:3x + 2y ≤ 10x - 4y > 315x - 4y ≤ 49(3)解4x + 5y < 20 → (1)2x - 3y ≥ 5 → (2)将不等式 (1) 乘以 2:8x + 10y < 40 → (3)将不等式 (2) 乘以 5:10x - 15y ≥ 25 → (4)将 (3) 和 (4) 相加可得:8x + 10y + 10x - 15y < 40 + 25→ 18x - 5y < 65因此原不等式组的解为:4x + 5y < 202x - 3y ≥ 518x - 5y < 652. 解下列不等式组,并画出解集在坐标系中的图形表示:(1)解x + 2y > 3 → (1)x - y < 2 → (2)将不等式 (1) 减去不等式 (2) 可得:3y > 1因此 y > 1/3将不等式 (1) 减去两倍的不等式 (2) 可得:2x > 4因此 x > 2因此原不等式组的解为:x > 2y > 1/3(2)解2x - 3y ≥ 6 → (1)x + y > 2 → (2)将不等式 (1) 乘以 3:6x - 9y ≥ 18 → (3)将不等式 (2) 乘以 2:2x + 2y > 4 → (4)将 (3) 和 (4) 相加可得:6x - 9y + 2x + 2y ≥ 18 + 4→ 8x - 7y ≥ 22因此原不等式组的解为:2x - 3y ≥ 6x + y > 28x - 7y ≥ 22以上是数学课程不等式组求解练习题及答案,希望能对你的学习有所帮助。
初中数学解不等式组练习题及答案一、解不等式组练习题1. 解下列不等式组:(1){x + 3 > 5{2x - 1 < 7(2){3y - 2 > 10{y + 1 < 52. 解下列不等式组:(1){2m + 5 < 11{3m - 4 > -5(2){4n - 3 > 9{3n + 2 < 63. 解下列不等式组:(1){4p - 1 ≤ 11{3p + 2 > 6(2){5q + 3 > 9{2q - 6 < 10二、不等式组解答案1. 解下列不等式组:(1){x + 3 > 5{2x - 1 < 7解:针对不等式1,将3移到5的右侧,得到x > 5 - 3,即 x > 2。
针对不等式2,将-1移到7的右侧,得到2x < 7 + 1,即 2x < 8。
再除以2,得到x < 4。
综合两个不等式的结果,x 的解集为 2 < x < 4。
(2){3y - 2 > 10{y + 1 < 5解:针对不等式1,将-2移到10的右侧,得到3y > 10 + 2,即 3y > 12。
再除以3,得到y > 4。
针对不等式2,将1移到5的右侧,得到y < 5 - 1,即 y < 4。
综合两个不等式的结果,y 的解集为 y > 4。
2. 解下列不等式组:(1){2m + 5 < 11{3m - 4 > -5解:针对不等式1,将5移到11的右侧,得到2m < 11 - 5, 即 2m < 6。
再除以2,得到 m < 3。
针对不等式2,将-4移到-5的右侧,得到3m > -5 + 4,即 3m > -1。
再除以3,得到 m > -1/3。
综合两个不等式的结果,m 的解集为 -1/3 < m < 3。
解不等式组专项练习60题(有答案)1.2..3..4.,5..6..7.8..9.10.11.12.,13..14.,15.16.17..18.19.20..21..22..23.24.25.,.26.27.,28.29..30.已知:2a﹣3x+1=0,3b﹣2x﹣16=0,且a≤4<b,求x的取值范围.31..32..33.已知:a=,b=,并且2b≤<a.请求出x的取值范围.34.35.,36.,并将其解集在数轴上表示出来.37..38.,并把解集在数轴上表示出来.39.已知关于x、y 的方程组的解满足x>y >0,化简|a|+|3﹣a|.40.,并把它的解集在数轴上表示出来.41.42.43..44..45..46..47.关于x、y 的二元一次方程组,当m为何值时,x>0,y≤0.48.并将解集表示在数轴上.49.已知关于x、y 的方程组的解是一对正数,求m的取值范围.50.已知方程组的解满足,化简.51..52.53..54..55..56.57.58.59.60.10.如图:等腰梯形ABCD中,AD∥BC,AB=6,AD=5,BC =8,且AB ∥DE ,则△DEC 的周长是____________.11.请在下面这一组图形符号中找出它们所蕴含的内在规律,然后在横线上的空白处填上恰当的图形.12.等腰梯形的腰长为2,上、下底之和为10且有一底角为60°,则它的两底长分别为____________. 13.等腰三角形的周长是25 cm ,一腰上的中线将周长分为3∶2两部分,则此三角形的底边长为__ ___. 14.如图,三角形1与_____成轴对称图形,整个图形中共有_____条对称轴.15.如图,将长方形ABCD 沿对角线BD 折叠,使点C 恰好落在如图C 1的位置,若∠DBC =30º,则∠ABC 1=________.16.如图是小明制作的风筝,为了平衡制成了轴对称图形,已知OC 是对称轴,∠A =35º,∠BCO =30º,那么∠AOB =____ ___.二、解答题(共68分)17.(5分)已知点M )5,3(b a -,N )32,9(b a +关于x 轴对称,求ab 的值.18.(5分)已知AB =AC ,BD =DC ,AE 平分∠F AC ,问:AE 与AD 是否垂直?为什么?19.(5分)如图,已知:△ABC 中,BC <AC ,AB 边上的垂直平分线DE 交AB 于D ,交AC 于E ,AC =9 cm ,△BCE 的周长为15 cm ,求BC 的长.20.(5分)如图所示,已知△ABC 和直线MN .求作:△A ′B ′C ′,使△A ′B ′C ′和△ABC 关于直线MN 对称.(不要求写作法,只保留作图痕迹)21.(5分)如图,A 、B 两村在一条小河的的同一侧,要在河边建一水厂向两村供水.(1)若要使自来水厂到两村的距离相等,厂址应选在哪个位置?(2)若要使自来水厂到两村的输水管用料最省,厂址应选在哪个位置?请将上述两种情况下的自来水厂厂址标出,并保留作图痕迹.第14题图 第15题图 第16题图 A EF。
f3xH<2 (x+2)8--x<-x+2[33萼>0①9.42 (x+5) >6 (xT) ②r5i-9<3 (z- 1) 10.、3 —I 12 (x - 3) <5K+54i<3x+l 19--[1 - 3 (x _1) <8 - y‘5K+2>3(X-1),①20- 1*J_3溶、\ - 3 (x-2) <421T+2K、[I—>X - 1‘2 (x+2) <x+4(1)22kw ⑵解不等式组专项练习60题〔有答案〕2 (rHL) - 1>3 :4+工<7px- 1>3 (x-2) [-2x<4j3x+l>x+3[2K- l<x+l上+3>42F<6(x+3>0(2(K- 1) +3>3z傍+3?x+6…①12- ] x+2 % x+3—, …②M-3<位14- ' x~ 4, x+2^1, Irr'TW (M <215.qK J 3(K- 1) >5「1+3*、 o16.』£t5x - 12<2 (4x- 3)23. r2x+5<3 (x+2)x- 1<名L335.,2K_ 1 5x+l—C15s - 1<3 Cx+1)24. 怎(z+2) >x+4©导<1②36.3<h①、厂、,并将其解集在数轴上表示■+2>-x. @25. r2- x>05H1 1」1,-出来.一:.26.27.28.29.注<*35)2 (x+19)- 9y>5[x- 2 (x- 3)]- 2=Cx+6_^1>x么+2>3对3①£_1-2±4<-2@-38[5x+3 (x-2) <10牛I:2a— 3x+1=0 , 3b- 2x - 16=0,且aV< b,求37.38.来.39.‘3 (x-2) +4<5x- 1―—_X〉3K+1L £r x- 3 (x-2) >42a- 1 <K+1,并把解集在数轴上表示出-8 -7 -6 -5 -4 -3 -2 -1 0 12关于x、y的方程组>0,化简|a|+|3— a|.x - y=a+3 —的解7两足x > y30.x的取值范围.X- 2 、1 _ 3 (y _ 2) <9- x ②掌e二⑴23,并把它的解集在5-2 (x- 3) <x- 1 (2)数轴上表示出来.32.33.'5K-2>3(Hl),①41.2<3x+4x+8 、[—>-S寸+42v " 7c:a=r~, b=—-—,并且2b^-< a. 请求出42x的取值范围.34. 「虹10<05x+2>3x11 - 2x>l+3x"10-4 (x- 3) >2(X- 1)If43. •&-2V3 (艺+1)l 2/对3,2气344.,3 (1 - x) >2 (x+9)53.f5x+4<3 (嚣+1)x - 1- 1* 5f2- x>054.2K+7>3K - 1x- 2.46. (-3 (x+l) - (x- 3) <81 - x —<155.47.关于x、y的二元一次方程组- 2y=3mfl 2x+y=5m - 2m为何值时, x>0, yO.56.48.2<3 (x+1)1[八、3并将解集表示在数轴上.49.关于X、y的方程组对正数,求m的取值范围.57.乂+y=M24x+5y=6m - 3 的解是50 .方程组』厂的解满足-.,化简2x- 2=5y<0 I日+2 | - |厂§X (x+l) >s (E+3)②58.59.60」52. 2K T _ 5x+l3-5% - 1<3 (x+1)r l-2 (x-1) <53x- 2「2‘2 (K+2)<3X+3Nrr3x- 1<2 (x+1)MRr3x- 2>x+23x- l<2x+l1 - 2(K- 1) <3 (x+1) +5解不等式组60题参考答案:x+3>0 ①、,由①得x>- 3;由②得x W 故此不等式组的解集为:2 〔x- 1〕 +3>3x@- 3<5x ①24+K +'〉=C4②'解不等式 ①得x>- 3;解不等式 ②得x 司,所以-3<x<315. 解:由〔1〕得:x+4 V 4, x v 0 由〔2〕得:x- 3x+3 > 5, xv - 1.•.不等式组解集是: xv - 116.解:』2,解不等式〔1〕,得xv5,解不等式〔2〕,得xA 2,5x-12<2〔4K - 3〕 〔2〕因此,原不等式组的解集为-2玉V 5.17.解:由① 得:去括号得,x- 3x+6V,移项、合并同类项得,- 2x<- 2,化系数为1得,x 涓. 由② 得:去分母得,1+2x > 3x -3,移项、合并同类项得,- x>- 4, 化系数为1得,xv 4.••原不等式组的解集为:1孑V 4.1、 解:2 (x+1) T 〉3① 4+x<7 ②,由①得2x 滓,即x 沼;由②得xv 3;故不等式组的解集为:1寂v 3.2. 解:[2x - (I - 2)I - 2i<4②①,由①得:x<5,由②得:x> - 2,不等式组的解集为-2vx 勾3. 解:3x+l>x+3① “.…、、「 f—解不等式 ①,得x> 1.解不等式 ②,得xv 2.故不等式组的解集为:1vxv2.2x- l<x+l②4. 解:x+3>4①“…,、….…,、「g ―, 『 f ,解不等式 ①得,x>1,解不等式 ②得,x v 3,故不等式的解集为:1v xv 3,2x<6 ②5. 6. 解不等式 ①,得x<- 2,解不等式 ②,得x>- 3,故原不等式组的解集为- 3vx<- 2, x<2x+l ①、/,解不等式 ①得:x>- 1,解不等式②得:x<2,不等式组的解集为:-1vx3x- 2 〔s- 1〕 <4② 解:7. 解:8. 解:9. 解: 10.解: r3i+l<2 (a+2;L 5 J..•由①得,x>- 1;由②得,xV, 此不等式组的解集为:f5x-9<3 (x-1)① 1-*4一1 ②CJ"解不等式①,得xv3,解不等式 ②,得x A 1.所以原不等式的解集为-1孑< 3.②解不等式 ① 得:x v 3,解不等式 ② 得:x 涓,不等式组的解集是 1成v 311 .解:, 12.解:13.解:xA 牛;由②得,x V 1 ,故此不等式组的解集为:.••由① 得,x 可,由② 得x>0, .••此不等式组的解集为:0vx<3,〔-3 〔y- 2〕 <4- x ①[1+2〉:、七_ ]②解不等式①,得x 涓;解不等式 ②,得xV 4. 1孑V 4.2"幻K M +E ①,由①得, &<3函②14.解: 原不等式组可化为18.解:解不等式 ①,得xA-1,解不等式 ②,得XV 3, .••原不等式组的解集为-1 mv3.19.解:解不等式(1)得xv 1解不等式(2)得x A 2所以不等式组的解集为- 2孕v 1 .23.解:解不等式2x+5司(x+2 ),得xA 1解不等式x- 1 v -x,得x v 3.所以,原不等式组的解集是-324. 解:解不等式 ①,得xA-1,解不等式 ②,得xv 3, .••原不等式组的解是-1寂V 3.'2r>0…①25.解:由题意,,弘+1合解不等式①,得xV 2,解不等式②,得x A 1,吟Hf-.② 不等式组的解集是-1孑v 2.26. :由不等式 ①得:x 洵由不等式②得:x V 4原不等式组的解集为 0玉V 4 27. 解:由不等式①得:2x 司,x<4.由不等式②得:5x - 2+2>2x , 3x>0, x>0.■原不等式组的解集为:0V x<4.28.解:解不等式①,得xv- 1,解不等式②,得x>- 2,所以不等式组的解集为-2vx .1.29.解:解不等式 ①,得x<2.解不等式 ②,得x>- 3.所以原不等式组的解集为x<2.30. 解:由 2a — 3x+1=0 , 3b- 2x - 16=0,可得 a ―-, b =R16 ,23_1 -..、•2土 一、 ,曰〜土一、,曰c •所弗沽"田曰c 〜-a^v b,,由(1),碍x 司.由(2),碍x> - 2. - • x 的取值氾围是-2 vx 司.331. 解:由① 得:x<2.由②得:x> - 1. .•.不等式组的解集为-1v x<2.5532.解:解不等式 ①,得x >寻;解不等式 ②,得xV.不等式的解集是 -<xV.■WW33.解:把a, b 代入得:2妹二 了.化简得:6x- 21W5V2x+8 .解集为:3.5< x硬.42334. 解:解不等式①,得x<2.5,解不等式②,得x> - 1,解不等式③,得x 金,所以这个不等式组的解集是-1 v x Q35. 解:解不等式①,得x A1.解不等式②,得xv 2 .所以不等式组的解集是-1 <x<2.36. 解:由①,得 xv2.由②,得 xa 1. -5 -4 -3 -2 -1 0 1 2 3 4 5这个不等式组的解集为-1 mv 2.20.21 . 22. 解:解:解不等式①,得x>-直.解不等式②,得xv.所以,不等式组的解集是- 2i-3 (x- 2) <4®4 1+裁〉了 _ 1②①的解集为x 涓②的解集为xv 4原不等式的解集为L 35 -< x<4.21孑< 4.解不等式(1),得2x+4 V x+4 , xv 0,不等式(2),得4x 弟x+3 , x 浮...•原不等式无解.37.解:由①得:x> - 1由②得:x< 所以解集为-1 vx< 38.解:由①得:-2xA 2,即x W ,由② 得:4x- 2 V 5x+5,即x>-乙所以-7 V xW .48. 解不等式①,得x 解不等式②,得XA 8.把不等式的解集在数轴上表示出来,如图:— ■ § -8-7-6-5-4小2」0 1 2 3 4 5所以这个不等式组的解集为-8孑*.2x =-M13>01^13[[49.解:由题意可解得,广解得*,故专< m< 131 250. 解:由2x - 2=5得x=;,代入第一个方程得—+2y=5a ;那么y ^^- —,由于yv0,贝U^< —〔1〕当 av - 2 时,原式=-〔a+2〕 - [- 〔a --〕 ]= - 2』;〔2〕当-2 < a v 」时,原式=a+2 - [ - 〔a -」〕]=2a 卫;22222〔3〕当令v av 〒时,原式=a+2 - 〔a-寻〕=2言W A 〔J UW在数轴上表示为: ::. :一 _ • _.,、e, ~ y=a+3 . 口 f x=2a+l ,o (2a+l>a - 2 39.解:由万程组、,解碍,.由x>y > 0,碍」NxFy=5a [y=^~2[a-2>0.解得a>2当 2v a 司时,|a|+|3— a|=a+3 - a=3; 当 a> 3 时,|a|+|3— a|=a+a — 3=2a - 3.40.解:由〔1〕得xV 8由〔2〕得,x 再故原不等式组的解集为 4孕V 8.41 .解:由①得2x v 6,即xv 3,由② 得x+8>- 3x,即x>- 2,所以解集为-2 v x v 3.42. 解:〔1〕去括号得,10 -4x+12瀛x-2,移项、合并同类项得,- 6x A 24,解得,x V;〔2〕去分母得,3 〔x T 〕 > 1 - 2x,去括号得,3x- 3> 1 - 2x,移项、合并同类项得,5x>4,化系数为1得,x >2...不等式组的解集为:-<xV.55、... I—5 (5)43. 解:解第一个不等式碍:x 解第—个不等式碍:xA 12.故不等式组的解集是:-1244.解:原方程组可化为:3 - 3乂>次+18N 〔「3〕 -5 〔3〕由〔1〕得’x<-3 由〔2〕得’x > 4根据 小大大小中间找〞原那么,不等式组的解集为- 4^V- 3.45.由①得:xv 2,由②得:x A 1.・.—1玉v 2. /解之得,x>- 2, xW 「.46.整理不等式组得47.解:①+②X2得,7x=13m - 3,即x 」% 〞③,把③ 代入② 得,2疽机 -+y=5m - 3,解得,9m - 8y=,由于x> 0, y<0,所以、 v mv51. 解不等式〔1〕得:2 - x - 1<2x+4- 3x 司 xA 1解不等式〔2〕,得:x 2+x > x 2+3x- 2x > 0xv 0 原不等式组的解集为:-1孑V 0.52.解不等式〔1〕得:x > -1解不等式〔2〕,得:x<2原不等式组的解集为:-1孕V 2.53. 解①得x<!解② 得x 弟,不等式组的解集为无解. 54 .解第一个不等式得 x V 8解第二个不等式得 x 梁-10 12 3 4 5 6 7 S .••原不等式组的解集为:2孑v 8.55. 解:由 ①得:1 - 2x+2司... 2x>- 2 即 x A 1 由②得:3x - 2< 2x+1 /• x v 3.■原不等式组的解集为:-1孑V 3.56. 解:原不等式可化为:在数轴上可表示为:01234.•.不等式的解集为:1孑< 3f3x- 1<2 〔x+1〕①57. 解:把不等式的解集在数轴上表示出来,如下列图. 1孕v 3‘3乂 - 2〉*+2…①136解不等式①得x>2,不等式②X 2得x-2V4 -3x 解得x<4,■原不等式组的解集为 2v xV.59. 解:解不等式 ①,得xv 2 . 〔2分〕解不等式②,得x A1. 〔4分〕所以,不等式组的解集是- 1双V 2. 〔5分〕解集在数轴上表示为:一 一一 1 J 1 一 一 ,一60. 解:由①,得x A 由②,得xv 3,所以不等式组的解集为- 日寂v3.不等式组的解集是 58.解:由题意,,解不等式①,得x V 3,解不等式②,得x A 1,。
解不等式组专题训练(含答案)1、求不等式的正整数解.1.解不等式组:.2.解不等式组:,并求出它的所有整数解的和.3.解不等式组:.5.解不等式,要求写出详细步骤:,并把解集在数轴上表示出来.6.解不等式组,并把解集在数轴上表示出来.7.解不等式组:,并写出它所有的整数解.8.解不等式组:.9.解不等式组:.10.解不等式组:.11.解不等式(组):(1)解不等式;(2)解不等式组,并写出它的非负整数解.11.解不等式组:,并在数轴上表示不等式组的解集.13.解不等式组,并把解集在数轴上表示出来.14.解不等式组:,并写出它的正整数解.15.解不等式组:.16.解不等式组,并把解集在下面的数轴上表示出来.16.(1)解方程组;(2)解不等式组,并把它的解集在数轴上表示出来.17.解不等式组:.18.解不等式组,并写出它的所有的负整数解.19.解不等式组并求出它的正整数解.20.解不等式组:.答案:1.求不等式的正整数解.【解答】解:,去分母得:2(3x﹣1)﹣3(x+1)≤6,去括号得:6x﹣2﹣3x﹣3≤6,移项得:6x﹣3x≤6+2+3,合并同类项得:3x≤11,化系数为1得:x≤,∴原不等式的正整数解为1,2,3.2.解不等式组:.【解答】解:解不等式2x﹣1>x+2,得:x>3,解不等式x+5<4x﹣1,得:x>2,则不等式组的解集为x>3.3.解不等式组:,并求出它的所有整数解的和.【解答】解:不等式组,由①得x≥﹣1,由②得:x<2,∴不等式组的解集为﹣1≤x<2,即整数解为﹣1,0,1,则整数解的和为﹣1+0+1=0.4.解不等式组:.【解答】解:,由>1得x>,由4x﹣5≤3x+2得x≤7,故不等式组的解集为<x≤7.5.解不等式,要求写出详细步骤:,并把解集在数轴上表示出来.【解答】解:,去分母得:3(x﹣2)≤2(7﹣x),去括号得:3x﹣6≤14﹣2x,移项合并同类项得:5x≤20,解得:x≤4.把解集在数轴上表示出来,如图:6.解不等式组,并把解集在数轴上表示出来.【解答】解:,∵解不等式①得:x≤7,解不等式②得:x>﹣2,∴不等式组的解集为:﹣2<x≤7.在数轴上表示不等式组的解集为:7.解不等式组:,并写出它所有的整数解.【解答】解:解不等式>得:x>﹣2,解不等式x﹣3(x﹣2)≥4得:x≤1,则不等式组的解集为﹣2<x≤1,所以不等式组的整数解为﹣1、0、1.8.解不等式组:.【解答】解:解不等式①,得x<4,由②,得x≥3,∴不等式组的解集是3≤x<4.9.解不等式组:.【解答】解:,解不等式①得:x≥﹣1,解不等式②得:x<3,∴不等式组的解集为﹣1≤x<3.10.解不等式组:.【解答】解:,解不等式①得:x>2,解不等式②得:x<3,∴该不等式组的解集为2<x<3.11.解不等式(组):(1)解不等式;(2)解不等式组,并写出它的非负整数解.【解答】解:(1),去分母得:3(2+x)≤2(2x﹣1)﹣12,去括号得:6+3x≤4x﹣2﹣12,移项得:3x﹣4x≤﹣2﹣12﹣6,合并同类项得:﹣x≤﹣20,化系数为1得:x≥20;(2),由①得:x≤1,由②得:x>﹣7,∴不等式组的解集为﹣7<x≤1,则它的非负整数解为0,1.12.解不等式组:,并在数轴上表示不等式组的解集.【解答】解:,由①得,x≥﹣1;由②得,x<2,把不等式①和②的解集在数轴上表示为:故不等式组的解集为﹣1≤x<2,13.解不等式组,并把解集在数轴上表示出来.【解答】解:,解不等式①得:x>2,解不等式②得:x≤4,∴不等式组的解集为:2<x≤4,在数轴上表示不等式的解集如图所示,14.解不等式组:,并写出它的正整数解.【解答】解:解不等式①,得:x<2.5,解不等式②,得:x≥﹣1,则不等式组的解集为﹣1≤x<2.5,所以该不等式组的正整数解为1、2.15.解不等式组:.【解答】解:,由①得:x<19,由②得:x>1,所以这个不等式组的解集为1<x<19.16.解不等式组,并把解集在下面的数轴上表示出来.【解答】解:,解不等式①得x>﹣1,解不等式②得x≤5,所以不等式组的解集为﹣1<x≤5,表示在数轴上,如图所示:17.(1)解方程组;(2)解不等式组,并把它的解集在数轴上表示出来.【解答】解:(1)方程组化为,①﹣②×2,得:x=2,将x=2代入②,得:2+y=5,解得y=3,∴方程组的解为;(2)解不等式①,得:x>﹣2,解不等式②,得:x≤3,将不等式①和②的解集表示在数轴上如下:∴不等式组的解集为﹣2<x≤3.18.解不等式组:.【解答】解:,解不等式①得,x>1,解不等式②得,x≤4,则不等式组的解集为1<x≤4.19.解不等式组,并写出它的所有的负整数解.【解答】解:,由①可得:,由②可得:x≥﹣4,∴原不等式组的解集为:,∴该不等式组的负整数解有:﹣4,﹣3,﹣2,﹣1.20.解不等式组并求出它的正整数解.【解答】解:解不等式①得:x≤,解不等式②得:x>,所以不等式组的解集为<x≤,则不等式组的正整数解为1,2,3.21.解不等式组:.【解答】解:解不等式①得:x≥﹣2,解不等式②得:x<10,所以不等式组的解集为﹣2≤x<10.。
解不等式组专项练习60题(有谜底)
1.
2..
3..
4.,
5..6..
7.
8..
9.
10.
11.
12.,
13..14.,15.
16.
17..
18.
19.
20..21..22..23.
24.
25.,.
26.
27.,
28.
29..
30.已知:2a﹣3x+1=0,3b﹣2x﹣16=0,且a≤4<b,求x的取值规模.
31..32..
33.已知:a=,b=,并且2b ≤<a.请求出x的取值规模.
34.
35.,
36.,并将其解集在数轴上暗示出来.
37..
38.,并把解集在数
轴上暗示出来.
39.已知关于x、y 的方程组的解满足x>y>0,化简|a|+|3﹣a|.
40.,并把它的解集在数轴上暗示出来.
41.42.
43..
44..
45..
46..
47.关于x、y 的二元一次方程组
,当m为何值时,x>0,y ≤0.
48.并将解集暗示在
数轴上.
49.已知关于x、y 的方程组
的解是一对正数,求m的取值规模.
50.已知方程组的解满足
,化简.51..
52.
53..
54..55..56.
57.58.59.60.
解不等式组60题参考谜底:
1、
解:,由①得2x≥2,即x≥1;由②得x<3;故不等式组的解集为:1
≤x<3.
2.解:,由①得:x≤5,由②得:x>﹣2,不等式组的解集为﹣2<x≤5
3.解:解不等式①,得x>1.解不等式②,得x<2.故不等式组的解集为:1<x<2.
4.解:,解不等式①得,x>1,解不等式②得,x<3,故不等式的解集为:
1<x<3,
5.解不等式①,得x≤﹣2,解不等式②,得x>﹣3,故原不等式组的解集为﹣3<x≤﹣2,6.
解:,解不等式①得:x>﹣1,解不等式②得:x≤2,不等式组的解集为:﹣1<x≤2,7.解:,由①得x>﹣3;由②得x≤1故此
不等式组的解集为:﹣3<x≤1,
8.解:解不等式①,得x<3,解不等式②,得x≥﹣1.所以原不
等式的解集为﹣1≤x<3.
9.解:∵由①得,x>﹣1;由②得,x≤4,∴此不等式组的解集为:﹣1<x≤4,
10.解:,解不等式①得:x<3,解不等式②得:x≥1,不等式
组的解集是1≤x<3
11.解:,由①得,x≥﹣;由②得,x<1,故此不等式组的解集为:﹣<x<1,
12.解:∵由①得,x≤3,由②得x>0,∴此不等式组的解集为:0<x≤3,
13.解:解不等式①,得x≥1;解不等式②,得x<4.∴1≤x<4.
14.解:原不等式组可化为,解不等式①得x>﹣3;解不等式②得x
≤3.所以3<x≤3
15.解:由(1)得:x+4<4,x<0由(2)得:x﹣3x+3>5,x<﹣1∴不等式组解集是:x<﹣1
16.解:,解不等式(1),得x<5,解不等式(2),得
x≥﹣2,
因此,原不等式组的解集为﹣2≤x<5.
17.解:由①得:去括号得,x﹣3x+6≤4,移项、合并同类项得,﹣2x≤﹣2,化系数为1得,x≥1.
由②得:去分母得,1+2x>3x﹣3,移项、合并同类项得,﹣x>﹣4,
化系数为1得,x<4∴原不等式组的解集为:1≤x<4.
18.解:解不等式①,得x≥﹣1,解不等式②,得x<3,∴原不等式组的解集为﹣1≤x<3.
19.解:解不等式(1)得x<1解不等式(2)得x≥﹣2所以不等式组的解集为﹣2≤x<1.20.解:解不等式①,得x>﹣.解不等式②,得x≤4.所以,不等式组的解集是﹣<x ≤4.
21.解:①的解集为x≥1②的解集为x<4原不等式的解集为1≤x<4
.
22.解:解不等式(1),得2x+4<x+4,x<0,不等式(2),得4x≥3x+3,x≥3.∴原不等式无解.
23.解:解不等式2x+5≤3(x+2),得x≥﹣1解不等式x﹣1<x,得x<3.所以,原不等式
组的解集是﹣1≤x<3.
24.解:解不等式①,得x≥﹣1,解不等式②,得x<3,∴原不等式组的解是﹣1≤x<3.
25.解:由题意,解不等式①,得x<2,解不等式②,得x≥﹣1,
∴不等式组的解集是﹣1≤x<2.
26.:由不等式①得:x≥0由不等式②得:x<4原不等式组的解集为0≤x<4
27.解:由不等式①得:2x≤8,x≤4.由不等式②得:5x﹣2+2>2x,3x>0,x>0.
∴原不等式组的解集为:0<x≤4.
28.解:解不等式①,得x≤﹣1,解不等式②,得x>﹣2,所以不等式组的解集为﹣2<x≤﹣1.
29.解:解不等式①,得x≤2.解不等式②,得x>﹣3.所以原不等式组的解集为x≤2.30. 解:由2a﹣3x+1=0,3b﹣2x﹣16=0,可得a=,b=,
∵a≤4<b,∴,由(1),得x≤3.由(2),得x>﹣2.∴x的取值规模是﹣2
<x≤3.
31.解:由①得:x≤2.由②得:x>﹣1.∴不等式组的解集为﹣1<x≤2.
32.解:解不等式①,得x>;解不等式②,得x≤4.∴不等式的解集是<x≤4.33.解:把a,b代入得:2×.化简得:6x﹣21≤15<2x+8.解集为:3.5
<x≤6.
34.解:解不等式①,得x≤2.5,解不等式②,得x>﹣1,解不等式③,得x≤2,
所以这个不等式组的解集是﹣1<x≤2.
35.解:解不等式①,得x≥﹣1.解不等式②,得x<2.所以不等式组的解集是﹣1≤x<2.
36.解:由①,得x<2.由②,得x≥﹣1.
∴这个不等式组的解集为﹣1≤x<2.
37.解:由①得:x>﹣1由②得:x所以解集为﹣1<x.
38.解:由①得:﹣2x≥﹣2,即x≤1,由②得:4x﹣2<5x+5,即x>﹣7,所以﹣7<x≤1.在数轴上暗示为:
39.解:由方程组,解得.由x>y>0,得.解得a>
2
当2<a≤3时,|a|+|3﹣a|=a+3﹣a=3;
当a>3时,|a|+|3﹣a|=a+a﹣3=2a﹣3.
40.解:由(1)得x<8由(2)得,x≥4故原不等式组的解集为4≤x<8.
41.解:由①得2x<6,即x<3,由②得x+8>﹣3x,即x>﹣2,所以解集为﹣2<x<3.42.解:(1)去括号得,10﹣4x+12≥2x﹣2,移项、合并同类项得,﹣6x≥﹣24,解得,x ≤4;
(2)去分母得,3(x﹣1)>1﹣2x,去括号得,3x﹣3>1﹣2x,移项、合并同类项得,5 x>4,
化系数为1得,x >.∴不等式组的解集为:<x≤4.
43.解:解第一个不等式得:x <;解第二个不等式得:x≥﹣12.故不等式组的解集是:﹣12≤x <.
44.解:原方程组可化为:,由(1)得,x<﹣3由(2
)得,x≥﹣4
根据“小年夜年夜小中间找”原则,不等式组的解集为﹣4≤x<﹣3.
45.由①得:x<2,由②得:x≥﹣1∴﹣1≤x<2.
46.整理不等式组得解之得,x>﹣2,x≤1∴﹣2<x≤1
47.解:①+②×2得,7x=13m﹣3,即x=③,把③代入②得,2×+y=5m﹣3
,解得,y=
78-
m
9
,
因为x>0,y≤0,所以,解得<m ≤
9
8
48.
解不等式①,得x≤,解不等式②,得x≥﹣8.把不等式的解集在数轴上暗示出来,如图:
所以这个不等式组的解集为﹣8≤x≤.
49
.解:由题意可解得,解得,故<m<13
50.解:由2x﹣2=5得x=,代入第一个方程得+2y=5a;则y=a﹣,由于y<0,则a<
(1)当a <﹣2时,原式=﹣(a+2)﹣[﹣(a﹣)]=﹣2;(2)当﹣2<a<时,原式=a +2﹣[﹣(a﹣)]=2a+;
(3)当<a<时,原式=a+2﹣(a﹣)=2;
51.解不等式(1)得:2﹣x﹣1≤2x+4﹣3x≤3x≥﹣1
解不等式(2),得:x2+x>x2+3x﹣2x>0x<0∴原不等式组的解集为:﹣1≤x<0.
8
52.解不等式(1)得:x≥1 解不等式(2),得:x<2
∴原不等式组的解集为:﹣1≤x<2.
53.解①得x<解②得x≥3,∴不等式组的解集为无解.
54.解第一个不等式得x<8解第二个不等式得x≥2
∴原不等式组的解集为:2≤x<8.
55.解:由①得:1﹣2x+2≤5∴2x≥﹣2即x≥﹣1由②得:3x﹣2<2x+1∴x<3.
∴原不等式组的解集为:﹣1≤x<3.
56.解:原不等式可化为:即
在数轴上可暗示为:∴不等式的解集为:1≤x<3 57.解:,解不等式①,得x<3,解不等式②,得x≥﹣1,
把不等式的解集在数轴上暗示出来,如图所示.
不等式组的解集是﹣1≤x<3
58.解:由题意,解不等式①得x>2,不等式②×2得x﹣2≤14﹣3x
解得x≤4,
∴原不等式组的解集为2<x≤4.
59.解:解不等式①,得x<2.(2分)解不等式②,得x≥﹣1.(4分)
所以,不等式组的解集是﹣1≤x<2.(5分)
解集在数轴上暗示为:
60.解:由①,得x≥﹣,由②,得x<3,所以不等式组的解集为﹣≤x<3.。