数值计算方法复习题
- 格式:doc
- 大小:144.50 KB
- 文档页数:20
《数值计算方法》复习试题四、计算题:1、用高斯-塞德尔方法解方程组 ⎪⎩⎪⎨⎧=++=++=++225218241124321321321x x x x x x x x x ,取T)0,0,0()0(=x ,迭代四次(要求按五位有效数字计算)。
答案:迭代格式⎪⎪⎪⎩⎪⎪⎪⎨⎧--=--=--=++++++)222(51)218(41)211(41)1(2)1(1)1(3)(3)1(1)1(2)(3)(2)1(1k k k k k k k k k x x x x x x x x x2、求A 、B 使求积公式⎰-+-++-≈11)]21()21([)]1()1([)(f f B f f A dx x f 的代数精度尽量高,并求其代数精度;利用此公式求⎰=211dxx I (保留四位小数)。
答案:2,,1)(x x x f =是精确成立,即⎪⎩⎪⎨⎧=+=+32212222B A B A 得98,91==B A求积公式为)]21()21([98)]1()1([91)(11f f f f dx x f +-++-=⎰-当3)(x x f =时,公式显然精确成立;当4)(x x f =时,左=52,右=31。
所以代数精度为3。
69286.014097]321132/11[98]311311[91311113221≈=+++-++++-≈+=⎰⎰--=dt t dx x x t3、已知分别用拉格朗日插值法和牛顿插值法求)(x f 的三次插值多项式)(3x P ,并求)2(f 的近似值(保留四位小数)。
答案:)53)(43)(13()5)(4)(1(6)51)(41)(31()5)(4)(3(2)(3------+------=x x x x x x x L)45)(35)(15()4)(3)(1(4)54)(34)(14()5)(3)(1(5------+------+x x x x x x差商表为)4)(3)(1(41)3)(1()1(22)()(33---+----+==x x x x x x x N x P5.5)2()2(3=≈P f4、取步长2.0=h ,用预估-校正法解常微分方程初值问题⎩⎨⎧=+='1)0(32y yx y )10(≤≤x答案:解:⎪⎩⎪⎨⎧+++⨯+=+⨯+=++++)]32()32[(1.0)32(2.0)0(111)0(1n n n n n n n n n n y x y x y y y x y y即 04.078.152.01++=+n n n y x y5、已知求)(x f 的二次拟合曲线)(2x p ,并求)0(f '的近似值。
精心整理《数值计算方法》复习试题一、填空题:1、⎥⎥⎥⎦⎤⎢⎢⎢⎣⎡----=410141014A ,则A 的LU 分解为A ⎡⎤⎡⎤⎢⎥⎢⎥⎢⎥⎢⎥=⎢⎥⎢⎥⎢⎥⎢⎥⎣⎦⎣⎦。
答案:⎥⎥⎥⎦⎤⎢⎢⎢⎣⎡--⎥⎥⎥⎦⎤⎢⎢⎢⎣⎡--=15561415014115401411A 3、1)3(,2)2(,1)1(==-=f f f ,式为。
答案:-1,)3)(1(2)3)(2(21)(2-----=x x x x x L 4、近似值5、设)(x f ();答案1n x =+6、对)(x f =]4,3,2,1(0);78n 次后的误差限为(12+-n ab ); 10、已知f (1)=2,f (2)=3,f (4)=5.9,则二次Newton 插值多项式中x 2系数为(0.15); 11、 解线性方程组A x =b 的高斯顺序消元法满足的充要条件为(A 的各阶顺序主子式均不为零)。
12、 为了使计算32)1(6)1(41310---+-+=x x x y 的乘除法次数尽量地少,应将该表达式改写为11,))64(3(10-=-++=x t t t t y ,为了减少舍入误差,应将表达式19992001-改写为199920012+。
13、 用二分法求方程01)(3=-+=x x x f 在区间[0,1]内的根,进行一步后根的所在区间为0.5,1,进行两步后根的所在区间为0.5,0.75。
14、 求解方程组⎩⎨⎧=+=+042.01532121x x x x 代矩阵的谱半径)(M ρ=121。
15、 设46)2(,16)1(,0)0(===f f f ,则=)(1x l (1l )1(716)(2-+=x x x x N 。
16、(高斯型)求积公式为最高,具有(12+n )次代21]内的根精确到三位小数,需对分(10)次。
22、已知≤≤≤≤3110(x x S 是三次样条函数,则a =(3 ),b 23、(),(10l x l Lagrange 插值基函数,则∑==nk kx l)((1),=k 0(j),当时=++=)()3(204x l x xk k k k (324++x x )。
《数值计算方法》复习试题一、填空题:1、⎥⎥⎥⎦⎤⎢⎢⎢⎣⎡----=410141014A ,则A 的LU 分解为A ⎡⎤⎡⎤⎢⎥⎢⎥⎢⎥⎢⎥=⎢⎥⎢⎥⎢⎥⎢⎥⎣⎦⎣⎦。
答案:⎥⎥⎥⎦⎤⎢⎢⎢⎣⎡--⎥⎥⎥⎦⎤⎢⎢⎢⎣⎡--=15561415014115401411A 3、1)3(,2)2(,1)1(==-=f f f ,则过这三点的二次插值多项式中2x 的系数为 ,拉格朗日插值多项式为 。
答案:-1,)2)(1(21)3)(1(2)3)(2(21)(2--------=x x x x x x x L4、近似值*0.231x =关于真值229.0=x 有( 2 )位有效数字;5、设)(x f 可微,求方程)(x f x =的牛顿迭代格式是( );答案)(1)(1n n n n n x f x f x x x '---=+6、对1)(3++=x x x f ,差商=]3,2,1,0[f ( 1 ),=]4,3,2,1,0[f ( 0 );7、计算方法主要研究( 截断 )误差和( 舍入 )误差;8、用二分法求非线性方程f (x )=0在区间(a ,b )内的根时,二分n 次后的误差限为( 12+-n a b );10、已知f (1)=2,f (2)=3,f (4)=5.9,则二次Newton 插值多项式中x 2系数为( 0.15 );11、 解线性方程组A x =b 的高斯顺序消元法满足的充要条件为(A 的各阶顺序主子式均不为零)。
12、 为了使计算32)1(6)1(41310---+-+=x x x y 的乘除法次数尽量地少,应将该表达式改写为11,))64(3(10-=-++=x t t t t y ,为了减少舍入误差,应将表达式19992001-改写为 199920012+ 。
13、 用二分法求方程01)(3=-+=x x x f 在区间[0,1]内的根,进行一步后根的所在区间为 0.5,1 ,进行两步后根的所在区间为 0.5,0.75 。
fuxiti例1证明方程1-x-sin x=0在区间[0,1]内有一个根,使用二分法求误差不超过0.5×10-4的根要迭代多少次?证明令f(x)=1-x-sin x,∵f(0)=1>0,f(1)=-sin1<0∴f(x)=1-x-sin x=0在[0,1]有根.又f'(x)=1-c os x>0(x∈[0.1]),故f(x)=0在区间[0,1]内有唯一实根.给定误差限ε=0.5×10-4,有只要取n=14.例4选择填空题1. 设函数f(x)在区间[a,b]上连续,若满足,则方程f(x)=0在区间[a,b]一定有实根.答案:f(a)f(b)<0解答:因为f(x)在区间[a,b]上连续,在两端点函数值异号,由连续函数的介值定理,必存在c,使得f(c)=0,故f(x)=0一定有根.2. 用简单迭代法求方程f(x)=0的实根,把方程(x)=0表成x=ϕ(x),则f(x)=0的根是( )(A)y=x与y=ϕ(x)的交点(B) y=x与y=ϕ(x)交点的横坐标(C) y=x与x轴的交点的横坐标(D) y=ϕ(x)与x轴交点的横坐标答案:(B)解答:把f(x)=0表成x=ϕ(x), 满足x=ϕ(x)的x是方程的解,它正是y=x与y=ϕ(x)的交点的横坐标.3.为求方程x3―x2―1=0在区间[1.3,1.6]内的一个根,把方程改写成下列形式,并建立相应的迭代公式,迭代公式不收敛的是( )(A)(B)(C)(D)答案:(A)解答:在(A)中故迭代发散.在(B)中,故迭代收敛.在(C)中,,故迭代收敛.在(D)中,类似证明,迭代收敛.例3填空选择题:1. 用高斯列主元消去法解线性方程组作第1次消元后的第2,3个方程分别为。
解答1. 选a21=2为主元,作行互换,第1个方程变为:2x1+2x2+3x3=3,消元得到是应填写的内容。
一、解答下列问题:1) 数值计算中,最基础的五个误差概念(术语)是 , , , , .2) 分别用 2.718281, 2.718282 作数e 的近似值 ,它们的有效位数分别有位, 位; 又取73.13≈ (三位有效数字),则≤-73.13 .3)为减少乘除法运算次数,应将算式32)1(7)1(51318---+-+=x x x y 改写成4)为减少舍入误差的影响,应将算式 9910- 改写成 5)递推公式 ⎪⎩⎪⎨⎧=-==-,2,1,110210n y y y n n如果取41.120≈=y 作计算,则计算到10y 时,误差有这个计算公式数值稳定不稳定 ?1) 绝对误差 , 相对误差 , 有效数字 , 截断误差 , 舍入误差 。
数值计算方法试题一一、 填空题(每空1分,共17分)1、如果用二分法求方程043=-+x x 在区间]2,1[内的根精确到三位小数,需对分( )次。
2、迭代格式)2(21-+=+k k k x x x α局部收敛的充分条件是α取值在( )。
3、已知⎪⎩⎪⎨⎧≤≤+-+-+-≤≤=31)1()1()1(2110)(233x c x b x a x x x x S 是三次样条函数,则a =( ),b =( ),c =( )。
4、)(,),(),(10x l x l x l n 是以整数点n x x x ,,,10 为节点的Lagrange 插值基函数,则∑==nk kx l0)(( ),∑==nk k jk x lx 0)(( ),当2≥n 时=++∑=)()3(204x l x xk k n k k( )。
5、设1326)(247+++=x x x x f 和节点,,2,1,0,2/ ==k k x k 则=],,,[10n x x x f 和=∆07f。
6、5个节点的牛顿-柯特斯求积公式的代数精度为 ,5个节点的求积公式最高代数精度为 。
7、{}∞=0)(k kx ϕ是区间]1,0[上权函数x x =)(ρ的最高项系数为1的正交多项式族,其中1)(0=x ϕ,则⎰=14)(dx x x ϕ 。
8、给定方程组⎩⎨⎧=+-=-221121b x ax b ax x ,a 为实数,当a 满足 ,且20<<ω时,SOR 迭代法收敛。
9、解初值问题00(,)()y f x y y x y '=⎧⎨=⎩的改进欧拉法⎪⎩⎪⎨⎧++=+=++++)],(),([2),(]0[111]0[1n n n n n n n n n n y x f y x f h y y y x hf y y 是阶方法。
10、设⎥⎥⎥⎦⎤⎢⎢⎢⎣⎡=11001a a a a A ,当∈a ( )时,必有分解式T LL A =,其中L 为下三角阵,当其对角线元素)3,2,1(=i l ii 满足( )条件时,这种分解是唯一的。
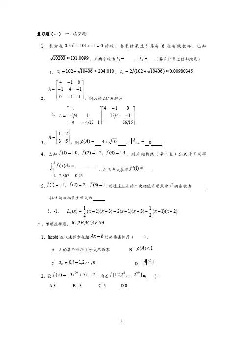
《数值计算⽅法》试题集及答案要点《数值计算⽅法》复习试题⼀、填空题:1、----=410141014A ,则A 的LU 分解为A ?=。
答案:--??--=15561415014115401411A 2、已知3.1)3(,2.1)2(,0.1)1(===f f f ,则⽤⾟普⽣(⾟⼘⽣)公式计算求得?≈31_________)(dx x f ,⽤三点式求得≈')1(f 。
答案:2.367,0.25 3、1)3(,2)2(,1)1(==-=f f f ,则过这三点的⼆次插值多项式中2x 的系数为,拉格朗⽇插值多项式为。
答案:-1,)2)(1(21)3)(1(2)3)(2(21)(2--------=x x x x x x x L4、近似值*0.231x =关于真值229.0=x 有( 2 )位有效数字;5、设)(x f 可微,求⽅程)(x f x =的⽜顿迭代格式是();答案)(1)(1n n n n n x f x f x x x '---=+6、对1)(3++=x x x f ,差商=]3,2,1,0[f (1 ),=]4,3,2,1,0[f ( 0 );7、计算⽅法主要研究( 截断 )误差和( 舍⼊ )误差; 8、⽤⼆分法求⾮线性⽅程f (x )=0在区间(a ,b )内的根时,⼆分n 次后的误差限为(12+-n a b );9、求解⼀阶常微分⽅程初值问题y '= f (x ,y ),y (x 0)=y 0的改进的欧拉公式为()],(),([2111+++++=n n n n n n y x f y x f hy y);10、已知f (1)=2,f (2)=3,f (4)=5.9,则⼆次Newton 插值多项式中x 2系数为( 0.15 );11、两点式⾼斯型求积公式?10d )(x x f ≈(?++-≈1)]3213()3213([21d )(f f x x f),代数精度为( 5 );12、解线性⽅程组A x =b 的⾼斯顺序消元法满⾜的充要条件为(A 的各阶顺序主⼦式均不为零)。
fuxiti例1证明方程1-x-sin x=0在区间[0,1]内有一个根,使用二分法求误差不超过0.5×10-4的根要迭代多少次?证明令f(x)=1-x-sin x,∵f(0)=1>0,f(1)=-sin1<0∴f(x)=1-x-sin x=0在[0,1]有根.又f'(x)=1-c os x>0(x∈[0.1]),故f(x)=0在区间[0,1]内有唯一实根.给定误差限ε=0.5×10-4,有只要取n=14.例4选择填空题1. 设函数f(x)在区间[a,b]上连续,若满足,则方程f(x)=0在区间[a,b]一定有实根.答案:f(a)f(b)<0解答:因为f(x)在区间[a,b]上连续,在两端点函数值异号,由连续函数的介值定理,必存在c,使得f(c)=0,故f(x)=0一定有根.2. 用简单迭代法求方程f(x)=0的实根,把方程(x)=0表成x=ϕ(x),则f(x)=0的根是( )(A)y=x与y=ϕ(x)的交点(B) y=x与y=ϕ(x)交点的横坐标(C) y=x与x轴的交点的横坐标(D) y=ϕ(x)与x轴交点的横坐标答案:(B)解答:把f(x)=0表成x=ϕ(x), 满足x=ϕ(x)的x是方程的解,它正是y=x与y=ϕ(x)的交点的横坐标.3.为求方程x3―x2―1=0在区间[1.3,1.6]内的一个根,把方程改写成下列形式,并建立相应的迭代公式,迭代公式不收敛的是( )(A)(B)(C)(D)答案:(A)解答:在(A)中故迭代发散.在(B)中,故迭代收敛.在(C)中,,故迭代收敛.在(D)中,类似证明,迭代收敛.例3填空选择题:1. 用高斯列主元消去法解线性方程组作第1次消元后的第2,3个方程分别为。
解答1. 选a21=2为主元,作行互换,第1个方程变为:2x1+2x2+3x3=3,消元得到是应填写的内容。
一、解答下列问题:1) 数值计算中,最基础的五个误差概念(术语)是 , , , , .2) 分别用 2.718281, 2.718282 作数e 的近似值 ,它们的有效位数分别有位, 位; 又取73.13≈ (三位有效数字),则≤-73.13 .3)为减少乘除法运算次数,应将算式32)1(7)1(51318---+-+=x x x y 改写成4)为减少舍入误差的影响,应将算式 9910- 改写成 5)递推公式 ⎪⎩⎪⎨⎧=-==-,2,1,110210n y y y n n如果取41.120≈=y 作计算,则计算到10y 时,误差有这个计算公式数值稳定不稳定 ?1) 绝对误差 , 相对误差 , 有效数字 , 截断误差 , 舍入误差 。
数值计算方法复习题一、填空题1、以n + 1个整数点k ( Ar=O, 1, 2,…,ii)为节点的Lagrange插值基函数为l k(x)( k =0, 1, 2, •••, n),贝|J £klk(x) = _____________*=02叫=兀k=O以n + 1个整数点k ( k =\,2,…,n, n+1)为节点的Lagrange插值基函M+1数为l k(x) ( k=1, 2,…,w,n+7),贝(J 刀L(0)k"+i = ______________ ・k=l2、序列{儿};()满足递推关系:几=10几7-1,(// = 1,2,・・・),若几有误差,这个计算过程是否稳定?__________ .不稳定3、若/•(兀)=2兀4 + *_3,贝疗[1,2,3,4,5,6] = _____ ・ /[1,2,3,4,5] = _____ ・/[1,2,3,4,5,6] = 0 /[1,2,3,4^54、形如)的插值型求积公式,其代数精度至少可达_____________________________ 次," *=0至多可达______ 次。
n , 2n+l5、已知x=62. 1341是由准确数a经四舍五入得到的a的近似值,试给出工的绝对误差界______________ .-X10-426、设兀和y的相对误差均为0. 001,则野的相对误差约为______________ .0.002二、计算题、r 3 2]1、⑴设4= ,求cond(A)Y.—1 11ri -21解:AT1 =—, cond(A). = A f A"1=4x1 = 4。
5 1 3 1 1 14的特征值为5=702 =2,,cond(A)2 =61 9 15 6(1)用x 0,x p x 2构造二次Lagrange 插值多项式厶(兀),并计算x = 1.5的近似值L 2(1.5) 0(2) 用x p x 2,x 3构造二次Newton 插值多项式/V 2(x),并计算x = 1.5的近似值"(1.5)。
枯藤老树昏鸦,小桥流水人家,古道西风瘦马。
夕阳西下,断肠人在天涯。
《数值计算方法》复习试题一、填空题:1、⎥⎥⎥⎦⎤⎢⎢⎢⎣⎡----=410141014A ,则A 的LU 分解为A ⎡⎤⎡⎤⎢⎥⎢⎥⎢⎥⎢⎥=⎢⎥⎢⎥⎢⎥⎢⎥⎣⎦⎣⎦。
答案:⎢⎢⎢⎣⎡--=15401411A 3、)3(,2)2(,1)1(=-=f f f 答案:-1,2(21)(2-=x x L 4* 2 )位有效数字; 5( );答案6 ),=]4,3,2,1,0[f ( 0 );7舍入 )误差;8a ,b )内的根时,二分n 次后的误差限为( 12+n );10、已知f (1)=2,f (2)=3,f (4)=5.9,则二次Newton 插值多项式中x 2系数为( 0.15 ); 11、 解线性方程组A x =b 的高斯顺序消元法满足的充要条件为(A 的各阶顺序主子式均不为零)。
12、 为了使计算32)1(6)1(41310---+-+=x x x y 的乘除法次数尽量地少,应将该表达式改写为11,))64(3(10-=-++=x t t t t y ,为了减少舍入误差,应将表达式19992001-改写为199920012+ 。
13、 用二分法求方程01)(3=-+=x x x f 在区间[0,1]内的根,进行一步后根的所在区间为 0.5,1 ,进行两步后根的所在区间为 0.5,0.75 。
14、 求解方程组⎩⎨⎧=+=+042.01532121x x x x,该迭代格式的迭代矩阵的谱半径)(M ρ15、 设46)2(,16)1(,0)0(===f f f ,则1l 插值多项式为 (716)(2+=x x x x N 16、 求积公式⎰∑=≈ba k nk k x f A x x f )(d )(0的代数精度以( 高斯型 )求积公式为最高,具21内的根精确到三位小数,需对分( 10 )次。
22≤≤≤≤3110x c x 是三次样条函数,则a =( )。
《数值计算方法》复习试题一、填空题:1、⎥⎥⎥⎦⎤⎢⎢⎢⎣⎡----=410141014A ,则A 的LU 分解为A ⎡⎤⎡⎤⎢⎥⎢⎥⎢⎥⎢⎥=⎢⎥⎢⎥⎢⎥⎢⎥⎣⎦⎣⎦。
答案:⎥⎥⎥⎦⎤⎢⎢⎢⎣⎡--⎥⎥⎥⎦⎤⎢⎢⎢⎣⎡--=15561415014115401411A 2、已知3.1)3(,2.1)2(,0.1)1(===f f f ,则用辛普生(辛卜生)公式计算求得⎰≈31_________)(dx x f ,用三点式求得≈')1(f 。
答案:2.367,0.253、1)3(,2)2(,1)1(==-=f f f ,则过这三点的二次插值多项式中2x 的系数为 ,拉格朗日插值多项式为 。
答案:-1,)2)(1(21)3)(1(2)3)(2(21)(2--------=x x x x x x x L4、近似值*0.231x =关于真值229.0=x 有( 2 )位有效数字;5、设)(x f 可微,求方程)(x f x =的牛顿迭代格式是( );答案)(1)(1n n n n n x f x f x x x '---=+6、对1)(3++=x x x f ,差商=]3,2,1,0[f ( 1 ),=]4,3,2,1,0[f ( 0 );7、计算方法主要研究( 截断 )误差和( 舍入 )误差;8、用二分法求非线性方程 f (x )=0在区间(a ,b )内的根时,二分n 次后的误差限为( 12+-n a b );9、求解一阶常微分方程初值问题y '= f (x ,y ),y (x 0)=y 0的改进的欧拉公式为( )],(),([2111+++++=n n n n n n y x f y x f hy y );10、已知f (1)=2,f (2)=3,f (4)=5.9,则二次Newton 插值多项式中x 2系数为( 0.15 ); 11、 两点式高斯型求积公式⎰1d )(xx f ≈(⎰++-≈1)]3213()3213([21d )(f f x x f ),代数精度为( 5 );12、 解线性方程组A x =b 的高斯顺序消元法满足的充要条件为(A 的各阶顺序主子式均不为零)。
《数值计算方法》试题集及答案(同名6837)《数值计算方法》复习试题一、填空题:1、⎥⎥⎥⎦⎤⎢⎢⎢⎣⎡----=410141014A ,则A 的LU 分解为A ⎡⎤⎡⎤⎢⎥⎢⎥⎢⎥⎢⎥=⎢⎥⎢⎥⎢⎥⎢⎥⎣⎦⎣⎦。
答案:⎥⎥⎥⎦⎤⎢⎢⎢⎣⎡--⎥⎥⎥⎦⎤⎢⎢⎢⎣⎡--=15561415014115401411A 2、已知3.1)3(,2.1)2(,0.1)1(===f f f ,则用辛普生(辛卜生)公式计算求得⎰≈31_________)(dx x f ,用三点式求得≈')1(f 。
答案:2.367,0.25 3、1)3(,2)2(,1)1(==-=f f f ,则过这三点的二次插值多项式中2x 的系数为 ,拉格朗日插值多项式为 。
答案:-1,)2)(1(21)3)(1(2)3)(2(21)(2--------=x x x x x x x L4、近似值*0.231x =关于真值229.0=x 有( 2 )位有效数字;5、设)(x f 可微,求方程)(x f x =的牛顿迭代格式是( );答案)(1)(1n n n n n x f x f x x x '---=+6、对1)(3++=x x x f ,差商=]3,2,1,0[f (1 ),=]4,3,2,1,0[f ( 0 );7、计算方法主要研究( 截断 )误差和( 舍入 )误差; 10、已知f (1)=2,f (2)=3,f (4)=5.9,则二次Newton 插值多项式中x 2系数为( 0.15 ); 11、 两点式高斯型求积公式⎰1d )(xx f ≈(⎰++-≈1)]3213()3213([21d )(f f x x f),代数精度为( 5 );12、 解线性方程组Ax =b 的高斯顺序消元法满足的充要条件为(A的各阶顺序主子式均不为零)。
13、 为了使计算32)1(6)1(41310---+-+=x x x y 的乘除法次数尽量地少,应将该表达式改写为 11,))64(3(10-=-++=x t t t t y,为了减少舍入误差,应将表达式19992001-改写为199920012+ 。
枯藤老树昏鸦,小桥流水人家,古道西风瘦马。
夕阳西下,断肠人在天涯《数值计算方法》复习试题一、填空题:3得,f(x)dx --------------------- ,用三点式求得f (1)答案:2.367,0.25 3、f (1)1, f (2)2, f(3) J 则过这三点的二次插值多项式中x 2的系数为 ______ ,拉格朗日插值多项式为 __________________________4、 近似值x * 0.231关于真值x 0.229有(2 )位有效数字;5、设f (x )可微,求方程x f (x)的牛顿迭代格式是();X n 1 x n xn f(xn) 答案 1 f(x n )6、对 f(x) x 3 x j 差商 f[0,1,2,3]( 1 ), f[0,1,2,3,4]( 0 );7、 计算方法主要研究(截断)误差和(舍入)误差; 8用二分法求非线性方程f (x)=0在区间(a,b)内的根时,二分n 次后b a的误差限为(莎 );4 10 AA1 411、 0 14则A 的LU 分解为1410 A1 4 1 15 41 0答案:4 15 156 15 2、已知 f (1)1.0,f ⑵ 1.2, f (3) 仁,则用辛普生(辛卜生)公式计算求答案:-1,L 2(X ) ;(x 2)(x 3)2(x 1)(x 3) £(x 1)(x 2)用二分法求方程f(x) x 3 x 1 0在区间[0,1]内的根,进行一步后根的所在区间为 0.5,1,进行两步后根的所在区间为0.75 o1I —15、计算积分0L xdx ,取4位有效数字。
用梯形公式计算求得的近似值为 0.4268 ,用辛卜生公式计算求得的近似值为 0.4309,梯 形公式的代数精度为1,辛卜生公式的代数精度为3 。
3x 1 5x 2116、求解方程组0.2x1 4x2 0的高斯一塞德尔迭代格式为—x 1(k 1} (1 5x 2k))/31(k 1)(k 1)x2x1/20_,该迭代格式的迭代矩阵的谱半径(M)= —12 — o9、求解一阶常微分方程初值问题y= f (x,y), y(x o )=y o 的改进的欧拉公式为(h yn1yn2[f(xn 'yn)f(xn1'yn1)]10、已知f(1) = 2, f(2) = 3, f ⑷=5.9,则二次Newton 插值多项式中x 2系数为(0.15 );11、1113131“ 两点式高斯型求积公式。
习题九
1. 取步长h = 0.1,分别用欧拉法与改进的欧拉法解下列初值问题
(1);(2)
准确解:(1);(2);
欧拉法:,,,
改进的欧拉法:,,,
2. 用四阶标准龙格—库塔法解第1题中的初值问题,比较各法解的精度。
,,,
3. 用欧拉法计算下列积分在点处的近似值。
0.5000,1.1420,2.5011,7.2450
4. 求下列差分格式局部截断误差的首项,并指出其阶数。
(1),2
(2),3;
(3),4
(4),4
5.用Euler法解初值问题取步长h=0.1,计算到x=0.3(保留到小数点后4位).
解: 直接将Eulerr法应用于本题,得到
由于,直接代入计算,得到
6.用改进Euler法和梯形法解初值问题
取步长h=0.1,计算到x=0.5,并与
准确解相比较.
解:用改进Euler法求解公式,得
计算结果见下表用梯形法求解公式,得
解得
精确解为
7.证明中点公式(7.3.9)是二阶的,并求其局部截断误差主项.
证明根据局部截断误差定义,得
将右端Taylor展开,得
故方法是二阶的,且局部截断误差主项是上式右端含h3的项。
8.用四阶R-K方法求解初值问题
取步长h=0.2.
解直接用四阶R-K方法
其中
计算结果如表所示:
9.对于初值问题
解因f'(y)=-100,故由绝对稳定区间要求(1)用Euler法解时,
(2)用梯形法解时,绝对稳定区间
为,由因f对y是线性的,故不用迭代,对h仍无限制。
(3)用四阶R-K方法时,
10. (1) 用Euler法求解,步长h应取在什么范围内计算才稳定?(2) 若用梯形法求解,对步长h有无限制? (3) 若用四阶R-K方法求解,步长h如何选取?
解:用四阶显式Adams公式先要算出
,而
,其余3点可用四阶R-K方法计算。
由,得
由计算得再由四步四阶Adams显式方法得
11.用四步四阶的Adams显式方法
求解初值问题取h=0.1.(1)用形如
的线性二步法解(2)试确定参数
,使方法具有尽可能高的阶数,并求出局部截断误差主项.
解本题仍利用局部截断误差的Taylor展开,
要确定参数
,可令
解得而方法得局部截断
故所求方法是二阶方法,局部截断误差主项为。