湖北省武汉市北大附中武汉为明实验中学八年级数学下册《16.1分式(第1周作业)》练习题(无答案) 新人教版
- 格式:doc
- 大小:273.50 KB
- 文档页数:4
八年级数学下册第16章《分式》综合水平测试一、选择题:(每小题2分,共20分) 1.下列各式:2b a -,x x 3+,πy+5,()1432+x ,ba b a -+,)(1y x m-中,是分式的共有( )A.1个B.2个C.3个D.4个 2.下列判断中,正确的是( ) A .分式的分子中一定含有字母 B .当B =0时,分式B A无意义 C .当A =0时,分式BA的值为0(A 、B为整式)D .分数一定是分式 3.下列各式正确的是( ) A .11++=++b a x b x a B .22x y x y = C .()0,≠=a mana m n D .am an m n --=4.下列各分式中,最简分式是( ) A .()()y x y x +-8534 B .yx x y +-22 C .2222xy y x y x ++D .()222y x y x +-5.化简2293mmm --的结果是( ) A.3+m m B.3+-m m C.3-m m D.mm-36.若把分式xyyx 2+中的x 和y 都扩大3倍,那么分式的值( )A .扩大3倍B .不变C .缩小3倍D .缩小6倍7.A 、B 两地相距48千米,一艘轮船从A 地顺流航行至B 地,又立即从B 地逆流返回A 地,共用去9小时,已知水流速度为4千米/时,若设该轮船在静水中的速度为x 千米/时,则可列方程( ) A .9448448=-++x x B .9448448=-++x x C .9448=+x D .9496496=-++x x8.已知230.5x y z ==,则32x y z x y z +--+的值是( ) A .17 B.7 C.1 D.139.一轮船从A 地到B 地需7天,而从B 地到A 地只需5天,则一竹排从B 地漂到A 地需要的天数是( )A .12 B.35 C.24 D.47 10.已知226a b ab +=,且0a b >>,则a ba b+-的值为( ) A .2 B .2± C .2 D .2±二、填空题:(每小题3分,共24分)11.分式392--x x 当x 时分式的值为零,当x 时,分式xx2121-+有意义.12.利用分式的基本性质填空:(1)())0(,10 53≠=a axy xy a (2)()1422=-+a a 13.分式方程1111112-=+--x x x 去分母时,两边都乘以 . 14.要使2415--x x 与的值相等,则x =. 15.计算:=+-+3932a a a . 16. 若关于x 的分式方程3232-=--x m x x 无解,则m 的值为.17.若分式231-+x x 的值为负数,则x 的取值范围是.18. 已知2242141x y y x y y +-=-+-,则的24y y x ++值为. 三、解答题:(共56分) 19.计算:(1)11123x x x++ (2)32÷x y2620. 计算: ()3322232n m n m --⋅21. 计算(1)168422+--x x xx (2)mn nn m m m n n m -+-+--222. 先化简,后求值:222222()()12a a a a a b a ab b a b a b -÷-+--++-,其中2,33a b ==-23. 解下列分式方程. (1)xx 3121=- (2)1412112-=-++x x x24. 计算: (1)1111-÷⎪⎭⎫ ⎝⎛--x x x (2)4214121111x x x x ++++++-25.已知x 为整数,且918232322-++-++x x x x 为整数,求所有符合条件的x 的值.26.先阅读下面一段文字,然后解答问题:一个批发兼零售的文具店规定:凡一次购买铅笔301支以上(包括301支)可以按批发价付款;购买300支以下(包括300支)只能按零售价付款.现有学生小王购买铅笔,如果给初三年级学生每人买1支,则只能按零售价付款,需用()12-m 元,(m 为正整数,且12-m >100)如果多买60支,则可按批发价付款,同样需用()12-m 元.设初三年级共有x 名学生,则①x 的取值范围是 ;②铅笔的零售价每支应为 元;③批发价每支应为 元.(用含x 、m 的代数式表示).27.某工人原计划在规定时间内恰好加工1500个零件,改进了工具和操作方法后,工作效率提高为原来的2倍,因此加工1500个零件时,比原计划提前了5小时,问原计划每小时加工多少个零件?28.A、B两地相距20 ,甲骑车自A地出发向B地方向行进30分钟后,乙骑车自B地出发,以每小时比甲快2倍的速度向A地驶去,两车在距B地12 的C地相遇,求甲、乙两人的车速.答案 一、选择题1.C 2.B 3.C 4.C 5.B 6.C 7.B 8.A 9.B 10.A二、填空题(每小题3分,共24分)11.=-3、≠1212.26a 、2a - 13.(1)(1)x x +- 14.6 15.3a - 16. 17.-1<x <2318.2(提示:设24y y m +=,原方程变形为211x m x m -=--,方程两边同时乘以(1)(1)x m --,得(1)(1)(2)x m x m -=--,化简得m x +=2,即24y y m ++=2.三、解答题(共56分) 19.(1)原式=632666x x x ++=116x (2)原式=2236x xy y =212x20.原式=243343m n m n -=1712m n -21.(1)原式=2(4)(4)x x x --=4xx - (2)原式=2m n m n m n m n m n -++----=2m n m n m n -++--=mm n-- 22.原式=22222()()[]1()()()a a a a b a a b a b a b a b a b --÷-+--+-- =2222()[]1()()()a ab a a a b a a b a b a b ----÷+-+-=2()()1()ab a b a b a b ab-+-÷+-- =a b a b a b a b +-+--=2aa b- 当2,33a b ==-时,原式=2232(3)3⨯--=43113=411 23.(1)方程两边同时乘以3(2)x x -,得32x x =-,解得x =-1,把x =-1代入3(2)x x -,3(2)x x -≠0,∴原方程的解,∴原方程的解是x =-1.(2)方程两边同乘以最简公分母(1)(1)x x +-,得4)1(2)1(=++-x x ,解这个整式方程得,1=x ,检验:把1=x 代入最简公分母(1)(1)x x +-,(1)(1)x x +-=0,∴1=x 不是原方程的解,应舍去,∴原方程无解.24.(1)原式=1111x x x -⎛⎫+⎪-⎝⎭=1111x x x x -+--=11x x x x--=1(2)原式=241124(1)(1)(1)(1)11x x x x x x x x +-+++-+-+++=224224111x x x++-++=22222242(1)2(1)4(1)(1)(1)(1)1x x x x x x x +-++-++-+=2222422224(1)(1)1x x x x x ++-+-++=444411x x +-+=4444444(1)4(1)(1)(1)(1)(1)x x x x x x +-+-++-=4484(1)4(1)1x x x ++--=881x -25.原式=222218339x x x x +-++--=22(3)2(3)(218)9x x x x --+++- 2269x x +-=2(3)(3)(3)x x x ++-=23x -,∵918232322-++-++x x x x 是整数,∴23x -是整数,∴3x -的值可能是±1或±2,分别解得x =4,x =2,x =5,x =1,符合条件的x 可以是1、2、4、5.26.①241≤x ≤300;②x m 12-,6012+-x m27.设原计划每小时加工x 个零件,根据题意得:1500150052x x-=,解得x =150,经检验,x =150是原方程的根,答:设原计划每小时加工150个零件. 28.设甲速为,乙速为3,则有xx x31260301220=--,解之得8=x ,经检验,x =8是原方程的根,答:甲速为8,乙速为24.。
16.2.1分式的乘除学习目标:1、经历探索分式的乘除法法则的过程,会进行简单分式的乘除法计算,2、用类比转化的思想方法解决与分式有关的简单实际问题. 学习重点:探索分式的乘除法的法则.运用法则进行乘除法运算。
学习难点:分子或分母为多项式的分式的乘除法运算及解答应用题.学习过程:一、情境导入:1.一个长方体容器的容积为V ,底面的长为a,宽为b ,当容器内的水占容积的n m 时,则长方体的高为 ,水面高为 。
2.大拖拉机m 天耕地a 公顷,小拖拉机n 天耕地b 公顷,大拖拉机的工作效率是 公顷/天,小拖拉机工作效率是 公顷/天,大拖拉机的工作效率是小拖拉机工作效率的倍. 二、合作探究:1.观察下列运算:2.思考用类比思想,归纳分式乘除法法则:分式的乘法法则: 。
分式的除法法则: 。
用式子表示为:=⋅dc b a ,=÷d c b a · = 三、知识运用: 例1 计算: (1);2343x y y x ⋅ (2)cd b a c ab 4522223-÷ 例2 计算:(1);411244222--⋅+-+-a a a a a a (2).71-49122mm m -÷例3 计算:.3592533522+⋅-÷-x x x x x,53425432⨯⨯=⨯,97259275⨯⨯=⨯.435245325432⨯⨯=⨯=÷,279529759275⨯⨯=⨯=÷小结:(1)运算结果如能约分,应约分,化成 ; (2)分子和分母都是多项式时, 先 ,再 ; (3)乘除混合运算应先 运算,再进行分式的 运算. 四、自我检测: 1、计算:(1)b a 43·2916a b ; (2)a xy 512÷8x 2y ; (3)(-3xy)÷x y 322 ;(4)22221106532x y x y y x ÷⋅; (5)y x xy y x xy x -÷-+2; (6)2222442y xy x y x y x y x ++-÷+-;2、化简求值:(1)选一个你喜欢的x 的值代入代数式222663124244x x x x x x x -+-+--+⋅÷求值.(2)已知490a b +-,求22222a aba ab b a b +--⋅的值.(3)若x 等于它的倒数,求2263356x x x x x x -----+÷的值.3、计算:(1)m 4122-+-m m ﹒142--m m b a ba +-22)2(÷22222b ab a b a ++-(3)222()x xyxyx y x xy y xy +÷+÷--。
学习目标:能运用分式基本性质进行分式的约分.学习重点:找到分子分母中的公因式,并利用分式的基本性质约分.学习难点:分子、分母是多项式的分式的约分一.自主学习: 1.分式的基本性质为__________________________________________________ .用字母表示为: 2.下列说法中,错误的是 ( ) A .2421a b a 与通分后为22442a b a a 与 B .y x z xy 223131与通分后为zy x yz z y x x 222233与 C .n m n m -+11与 的最简公分母为22n m - D .()()x y b y x a --11与的最简公分母为()()x y y x ab -- 二.预习看书P6—7页,并做好思考,观察和练习:1.把下列分数化为最简分数:812=_____; 12545=______; 2613=______. 2.根据分数的约分,把下列分式化为最简分式: a a 1282=_____; cab bc a 23245125=_______, ()()b a b a ++13262=_________ 。
3.类比分数的约分,我们利用分式的基本性质,约去aa 1282的分子、分母中的公因式4a 不改变分式的值,这样的分式变形叫做分式的_____ ,其中约去的4a 叫做______.同理分式()()b a b a ++451252中的公因式是 ,()()b a b a ++451252= 4. 当分子分母都是多项式时,应将分子分母先 ,再找公因式。
5. 约分的依据是 。
6.最简分式:练一练:1、找出下列分式中分子、分母的公因式:(1)ac bc 128 (2)233123ac c b a (3) ()2xy y y x + (4) ()22y x xy x ++ (5)()222y x y x --2、分式434y x a +,2411x x --,22x xy y x y -++,2222a ab ab b +-中是最简分式的有( ) A .1个 B .2个 C .3个 D .4个3、下列约分正确的是( )A 1-=-+-y x y xB 022=--yx y x C b a b x a x =++ D 33=+m m4、约分: (1) 233123ac c b a = ,(2)()2xy y y x += ,(3) ()22y x xy x ++= ,(4)()222y x y x --- 。
新课标人教版初中八年级下册数学第十六章《分式》精品试题(附答案)班级:___ 姓名:______一、选择题:1、在式子:23123510,,,,,94678xy a b c x y x a x y π+++中,分式的个数是( ) A 、2 B 、3 C 、4 D 、52、如果把分式10x x y+中的X 、Y 都扩大10倍,则分式的值是( ) A 、扩大100倍 B 、扩大10倍 C 、不变 D 、缩小到原来的1103、下列等式成立的是( )A 、2(3)9--=-B 、21(3)9--=C 、12224()a a =D 、-70.0000000618=6.1810⨯ 4、某厂去年产值是m 万元,今年产值是n 万元(m <n ),则今年的产值比去年的产值增加的百分比是( )A 、100%m n n -⨯B 、 100%n m m -⨯C 、(1)100%n m +⨯D 、100%10n m m -⨯5、如图所示的电路总电阻是6Ω,若R 1=3R 2,则R 1、R 2的值分别是( )A 、R1=45Ω,R2=15ΩB 、R1=24Ω,R2=8ΩC 、R1=92Ω,R2=32ΩD 、R1=23Ω,R2=29Ω 二、填空题:6、x ,y 满足关系_____时,分式x y x y-+无意义。
7、222222m n mn m n mn += 8、化简2211366a a a÷--的结果是_____ 9、已知115a b -=,则2322a ab b a ab b+---的值是______ 10、我国是一个水资源贫乏的国家,第每一个公民都应自觉养成节约用水的意识和习惯。
为提高水资源的利用效率,某住宅小区安装了循环用水装置,经测算,原来a 天需用水m 吨,现在这些水可多用5天,现在每天比原来少用水__吨。
三、算一算(每小题8分,共24分):11、22142a a a +-- 12、2112x y xy x y x y x y x y ⎛⎫⎛⎫-÷+ ⎪ ⎪---⎝⎭⎝⎭13、先化简,再求值:22243411211x x x x x x x ---÷+-++-,其中231x =+四、做一做(每小题8分,共16分):14、解方程:313221x x+=--15、解方程:11222xx x-=---五、学以致用(每小题10分,共20分):16、比邻而居的蜗牛神和蚂蚁王相约,第二天上午8时结伴出发,到相距16米的银杏树下参加探讨环境保护问题的微型动物首脑会议。
16.2.1分式的乘方学习目标:会推导分式乘方的运算法则,能进行简单的分式乘、除、乘方的运算. 学习重点:熟练地进行分式乘方运算.学习难点:熟练地进行分式乘、除、乘方的混合运算. 学习过程: 一、知识探究:问题:据乘方的意义和分式乘法法则计算:=⎪⎭⎫ ⎝⎛2b a = ; =⎪⎭⎫ ⎝⎛3b a = ;=⎪⎭⎫ ⎝⎛10b a .探究:=⎪⎭⎫ ⎝⎛nb a = = . 归纳:分式的乘方就是要把 ,用式子表示为: . 二、知识运用:例1 计算 (1);32-22⎪⎪⎭⎫⎝⎛c b a (2).2223332⎪⎭⎫ ⎝⎛⋅÷⎪⎪⎭⎫ ⎝⎛-a c d a cd b a (3))()()(2232b a ab a ab b a -⋅--⋅-例2 “丰收1号”小麦的试验田是边长为a 米的正方形减去一个边长为1米的正方形蓄水池后余下的部分,“丰收2号”小麦的试验田是边长为(1-a )米的正方形,两块试验田里的小麦都收获了500千克。
(1)“丰收1号”小麦的种植面积为 , 单位面积的产量是 千克/米2.(2)“丰收2号”小麦的种植面积为 ;单位面积的产量是 千克/米2(3)∵(a 2-1)-(a-1)2= = 0,∴0 (a-1)2 (a 2-1)22)1(500_____1500--∴a a , ∴“丰收 号”小麦的单位面积产量高。
(4) 高的单位面积产量是低的单位面积产量的多少倍?三、小结: n n nb a =⎪⎭⎫⎝⎛b a , 即: 分式乘方要把分子、分母分别乘方.四、当堂检测:1.判断下列各式是否成立,并改正.(1)23)2(a b =252a b (2)2)23(ab -=2249a b - (3)3)32(x y -=3398x y (4)2)3(bx x -=2229b x x -2.计算(1) 22)35(y x (2)32223)2()3(xay xy a -÷ (3)23322)()(z x z y x -÷-(4)332)23(c b a - (5))()()(422xy x y y x -÷-⋅- (6)232b ac a c b -⎛⎫⎛⎫⎛⎫-÷⨯ ⎪ ⎪ ⎪⎝⎭⎝⎭⎝⎭(7) 23422x y y y x x ⎛⎫⎛⎫⎛⎫-⨯÷- ⎪ ⎪ ⎪⎝⎭⎝⎭⎝⎭(8)232)23()23()2(ay x y x x y -÷-⋅-(9)xy y x x y y x -÷-⋅--9)()()(3252 (10)22222)(x y x xy y xy x x xy -⋅+-÷-(11)9323496222-⋅+-÷-+-a a b a b a a (12)2292316244y y y y y y --÷+⋅-+-(13)xyy xyy x xy x xy x -÷+÷-+222)( (14)x x x x x x x --+⋅+÷+--3)2)(3()3(44622。
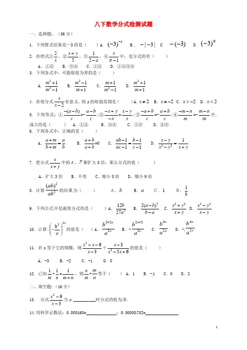
八下数学分式检测试题 一、选择题:(36分)1. 下列算式结果是-3的是( )A. 1)3(-- B. |3|-- C. )3(-- D. 0)3(-2. 有理式①2x ,②5x y +,③12a -,④1x π-中,是分式的有( ) A .①② B .③④ C .①③ D .①②③④3. 下列各式中,可能取值为零的是( )A .2211m m +-B .211m m -+C .211m m +-D .211m m ++ 4. 若使分式2x x -有意义,则x 的取值范围是( )A.2x ≠ B .2x ≠- C .2x >- D .2x < 5. 下列等式:①()a b c --=-a b c -;②x y x -+-=x y x -;③a b c -+=-a b c +;④m n m --=-m n m -中,成立的是( ) A. ①② B .③④ C .①③ D .②④6. 下列各式中,正确的是( )A .a m a b m b +=+B .a b a b++=0 C .1111ab b ac c --=-- D .221x y x y x y -=-+ 7. 把分式yx x +中的、都扩大3倍,那么分式的值( ) A 、扩大3倍 B 、不变 C 、缩小3倍 D 、缩小9倍8. 计算22()ab ab 的结果为( ) A.b B .a C.1 D.1b9. 下列公式中是最简分式的是( )A .21227b aB .22()a b b a --C .22x y x y ++D .22x y x y -- 10. 计算:n a 22b-⎪⎪⎭⎫ ⎝⎛的值是( )A .222n n b a + B .-222n n b a + C .42n n b a D .-42n n b a11. 若x 等于它的倒数,则263x x x ---÷2356x x x --+的值是( ) A .-3 B .-2 C .-1 D .012. 已知1m +1n =1m n +,则n m +m n等于( ) A .1 B .-1 C .0 D .2 二、填空题:(16分)13. 分式392--x x 当x __________时分式的值为零. 14.用科学记数法:0.000168= ;0.00000702= .2222b a b ab a ++-15. 计算:xx 1÷= ; 22a b a b -+=_________;()y x y xy x -⋅-2=________. 16. 已知a+b=2,ab=-5,则a b +b a=____________. 三、解答题:(72分)17.(5分) 王强到超市买了a 千克香蕉,用了m 元钱,又买了2a 千克鲜橙,•也用了m 元钱,若他要买3千克香蕉2千克鲜橙,共需多少钱?18.(10分) 计算(1)22121a a a -++÷21a a a -+ (2) 32432b --⎪⎭⎫⎝⎛-⋅⎪⎭⎫ ⎝⎛-÷⎪⎭⎫ ⎝⎛a b a b a19 (6分)如果2=b a,求 的值.20. (6分)先化简,再求值:232282x x x x x +-++÷(2x x -·41x x ++).其中x=-45.21.(6分)已知1x -1y =3,求5352x xy yx xy y +---的值.22. (7分) 已知│3a-b+1│+(3a-32b )2=0.求2b a b +÷[(b a b -)·(aba b +)]的值.23. (7分)若a+b+c=0.且abc ≠0,求⎪⎭⎫⎝⎛++⎪⎭⎫ ⎝⎛++⎪⎭⎫⎝⎛+b a c c a b c b a 111111的值。
八年级下册数学第十六章分式单元测试一(附答案) 学校:___________姓名:___________班级:___________考号:___________一、选择题1.计算11a a+的结果是( ). A .1a B .2a C .12a a + D .12a 2.下列属于分式的是( )A .2xB .2xC .2πD .2π3.化简2111x x x x -⎛⎫⎛⎫-÷- ⎪ ⎪⎝⎭⎝⎭的结果是:( ) A .1x B.1x - C .1x x - D .1x x - 4.下列计算错误的是( )A .B .C .D .5.下列各式中一定成立的是( )A.b a b a b a b a +-=-+- B. ba b a b a b a +--=++- C. b a b a b a b a ---=++- D. ba b a b a b a -+=++- 6.若将分式24a b a +中的a 与b 的值都扩大为原来的2倍,则这个分式的值将( ) A .扩大为原来的2倍 B .分式的值不变C .缩小为原来的21 D .缩小为原来的41 7.如果代数式4x 3-有意义,则x 的取值范围是( ) A .x≠3 B.x<3 C .x>3 D .x≥38.若分式)2)(1()2)(1(++-+x x x x 的值为0,则x 的值是( ) A .-lB .-l 或2C .2D .-2 9.化简:2()n n m m m-÷+的结果是( ) A .1m -- B .1m -+ C .mn m -+ D .mn n --10.把分式yx x +2中的x 和y 都扩大3倍,则分式的值 ( )A .扩大4倍B .扩大2倍C .不变D .缩小2倍二、填空题11.化简11(m 1)m 1⎛⎫-+ ⎪+⎝⎭的结果是 . 12.若分式112--x x 的值为0,则x 的值等于 。
13.已知32a b =,则算式a b b+=________. 14.计算:11m nm n m +⨯=+ . 15.计算:=-3)32(n m . 16.化简:=-÷⎪⎭⎫ ⎝⎛-x x x 1112 ; 三、计算题17.x x x x x x x x -÷+----+4)44122(2218. 先化简,再求值:2121(1)1a a a a++-⋅+,其中a =2-1.四、解答题19.计算:(1)01)2(|3|60sin 21-+--+⎪⎭⎫ ⎝⎛--π .(2)11()a a a a --÷20.先化简,再求值:22234322+--+÷-+a a a a a a ,其中,3=a .21.先化简,再求值:21(1)11a a a a --÷++,其中12a =.计算或化简22.2011011(1)(32)()2----+23.化简:2164()44x x x x x--÷++24.化简:22144(1)1a a a a a-+-÷--25.先化简221()224a a a a +÷+--,然后选取一个合适的整数a 代入求值,其中22a -≤≤26.化简求值.已知a ,b 满足23250a a b -+-+=,求代数式22221244a b a b a b a ab b ---÷--+的值.27.请你先化简x x x x x x x x -÷+----+4)44122(22,再从0,-2 ,2,4中选择一个合适的数代入,求出这个代数式的值。
16.1分式练习题(第1周作业)
一、选择题
1.下列各式中,无论x 取何值,分式都有意义的是( ) A .
121
x + B .
21
x x + C .
2
31x x
+ D .
2
2
21
x
x +
2.分式
434y x a
+,
2
4
11
x x --,
2
2
x xy y
x y
-++,
2
2
22a ab ab b
+-中是最简分式的有( )
A .1个
B .2个
C .3个
D .4个 3.下列各式中,可能取值为零的是( )A .
2
2
11
m m +- B .
2
11
m m -+ C .
2
11
m m +- D .
2
11
m m ++
4.下列等式:①
()a b c --=-a b c
-;②
x y x
-+-=
x y x
-;③
a b c
-+=-a b c
+;
④m n m --=-
m n
m -中,成立的是( ) A .①② B .③④ C .①③ D .②④
5. 计算(
2
x
y
)2
·(
2
y
x
)3÷(-
y x
)4得( )A .x 5 B .x 5y C .y 5 D .x 15
6.计算
(1)(2)(1)(2)
a a a a -+++·5(a+1)2的结果是( )A .5a 2-1 B .5a 2-5 C .5a 2+10a+5 D .a 2+2a+1
7.下列各式中,正确的是( )
A .
a m a
b m
b
+=+ B .
a b a b
++=0 C .
111
1
ab b ac c --=
-- D .
2
2
1x y x y
x y
-=
-+
8.对于下列分式,从左到右,一定正确的是( ) A.
22
b b a a
= B.
2
b b
a
ab
=
C.
2
b ab a
a
=
D.
b b
c a
ac
=
9. 如果把分式
y
x y x ++2中的y x ,都扩大2倍,则分式的值( )
A.扩大2倍
B.缩小2倍
C.是原来的
3
2 D.不变
10.使分式||1
x x -无意义,x 的取值是( )A .0 B .1 C .-1 D .±1
11.不改变分式
2
3
23523
x x x x -+-+-的值,使分子、分母最高次项的系数为正数,正确的是(• )
A .
2
3
32523
x x x x +++- B .
2
3
32523
x x x x -++- C .
2
3
32523
x x x x +--+ D .
2
3
32523
x x x x ---+
12.计算
2
2
2
20012000
20011999200120012
+-的值是( ) A.4 B.2 C.
14
D.
12
13.如果1ab =,M=1111a
b
+
++,N=
11a b a
b
+++,那么M, N 之间的关系是( )
A. M ﹥N
B. M <N
C. M=N
D.不能确定 二、填空题 14.下列各式
a
π
,
11
x +,
15
x+y ,
22
a b a b
--,-3x 2,0•中,是分式的有___________;是整式的有
___________;是有理式的有___________。
15.分式
2
4
x
x -,当x_______时,分式有意义;当x_______时,分式的值为零。
16.(数学与生活)李丽从家到学校的路程为s ,无风时她以平均a 米/•秒的速度骑车,便能按时到达,当风速为b 米/秒时,她若顶风按时到校,请用代数式表示她必须提前_______出发.
17.不改变分式的值,使分式1
15
10
1
13
9
x y
x y
-+
的各项系数化为整数,分子、分母应乘以______。
18.计算:当m=________时,分式
2
(1)(3)32
m m m m ---+的值为零
19.将分式
2
2x
x x
+化简得
1
x x +,则x 应满足的.条件是 .
20.2
1?1
1
x x x -=+-,则?处应填上_________,其中条件是__________.
21.当x_______时,分式22x x +-1的值是正数,当x_______时,是负数,当x_______时,是0. 22.a>0>b>c,a+b+c=1,M=
a
c
b +,N=
b
c a +,P=
c
b a +,则M 、N 、P 的大小关系是 .
23.当x=______时,分式
14542
2
-+-x x x 的值为零.
24.若1﹤a ﹤2,则22
a a ---11a a
---a a
= .
25.已知P=999
99
9
,Q=9
11
90
9
,那么P 、Q 的大小关系是_______。
三、角答题 25.约分:(1)2
2
699
x x x ++-; (2)
2
2
32m m m m
-+-.
(3)
26. 通分:
(1)2
6x ab
,
2
9y a bc
; (2)
2
121
a a a -++,
2
61
a -.
27. 若,5
32z y x ==求x z
y x 232++的值.
28. 已知:a=2b ,
四、附加题
29. 已知a 2
-4a+9b 2
+6b+5=0,求1a
-
1b
的值.
30.已知x 2+3x+1=0,求x 2+2
1x
的值.
31. 已知x+1x
=3,求
24
2
1
x
x x ++的值.
32.若1abc =,求1
a a
b a +++
1
b b
c b +++
1
c ac c ++的值。