32份甜瓜种质主要品质性状评价分析.doc
- 格式:doc
- 大小:12.02 KB
- 文档页数:1
甜瓜分析报告导言甜瓜是一种受人喜爱的水果,其甜美的口感和清爽的味道深受大众的喜爱。
本文档旨在对甜瓜进行深入分析,包括甜瓜的种类、产地、营养价值以及市场前景等方面进行探讨。
一、甜瓜种类甜瓜有多个品种,常见的有金瓜、哈密瓜、香瓜等。
它们在形状、颜色和口感上略有差异,但整体上都具有甜美的味道。
以下是对几种常见甜瓜种类的简要介绍:1. 金瓜金瓜是一种外形类似橙子的甜瓜,其果肉呈金黄色,口感鲜嫩多汁。
金瓜的香气独特,非常受人欢迎。
2. 哈密瓜哈密瓜是一种来自新疆地区的甜瓜,它以其佳肴的口感和独特的香味而闻名。
哈密瓜的外形呈椭圆形,表面呈网纹状。
3. 香瓜香瓜是一种皮肤光滑的甜瓜,其果肉呈淡黄色,非常甜美。
香瓜的特点是香味浓郁,口感柔软。
二、甜瓜的产地分布甜瓜在世界各地都有栽培,但不同地区的气候条件和土壤特点会对甜瓜的品质产生显著影响。
以下是一些主要的甜瓜产地:1.中国:中国是世界上最大的甜瓜生产国之一,主要产地有新疆、甘肃、山东等省份。
中国的甜瓜以哈密瓜和香瓜为主要品种,品质优良。
2.美国:美国是世界上第二大甜瓜生产国,主要产地在加利福尼亚州、佛罗里达州等地。
美国的甜瓜品种繁多,口感丰富。
3.土耳其:土耳其是甜瓜的重要产地之一,土耳其的甜瓜以其特有的香味和甜度闻名。
4.西班牙:西班牙是欧洲最大的甜瓜生产国,该国的甜瓜以其优良的品质和口感受到世界各地消费者的认可。
三、甜瓜的营养价值甜瓜不仅味美,还富含多种营养物质,对人体健康有益。
以下是甜瓜的主要营养价值:1.维生素:甜瓜含有丰富的维生素C和维生素A,能够有效提高免疫力,维护肌肤健康。
2.矿物质:甜瓜含有较高的钾和镁元素,有助于调节血压、促进心脏健康。
3.纤维:甜瓜富含膳食纤维,能够促进消化系统健康,预防便秘。
4.水分:甜瓜含有约90%的水分,能够有效补充身体的水分和电解质,帮助维持体液平衡。
四、甜瓜市场前景甜瓜是一种备受青睐的水果,在市场上需求旺盛。
目前,随着人们对健康饮食的重视和生活水平的提高,甜瓜市场的前景相当广阔。
江西农业学报2010,22(12):30~33A c t a A g r i c uhu r ae J i angxi薄皮甜瓜表型性状的主成分分析胡建斌,马肖静,李琼(河南农业大学园艺学院,河南郑州450002)摘要:对不同来源的34份薄皮甜瓜品种的19个表型性状进行了主成分分析。
结果表明,果实形态和品质相关性状变异系数较大,是薄皮甜瓜表型变异的主要来源,其中果形指数变异系数最大,达80.13%。
19个表型性状可归为6个主成分,即果形因子、植株生长因子、品质因子、熟性因子、单果重因子和种子形态因子,其累计贡献率为80.832%。
根据主成分值对供试材料的主要性状进行综合评价,王海、十道梨、金巴齿、甜梨王、花脆瓜等10个品种综合表现优良。
关键词:薄皮甜瓜;表型性状;主成分分析中图分类号:$652文献标识码:A文章编号:1001—8581(2010)12—0030—04Pr i nci pal C om ponent A nal ysi s of Phe not ypi c C ha r a c t e r s i n Thi n--pe el M e l onH U J i a n—bi n,M A X i ao—j i ng.L I Q i ong(C ol l ege of H or t i cul t ur e,H enan A gr icul t u r al U ni ver si t y,Z he ngzhou450002,Chi na)A bs t r act:Pr i nci pal c om pone nt anal ysi s w a s us Pd t o st ud y t he19phenot ypi c char act er s of34t hi n—peel m el on euhi var s w i th di f-f er e n t or i gi ns.T he r es ult s sh ow e d t hat t he var iat i on c o e f fi c ie nts of t he t r ai t s r el at ed t o fr ui t sh ape and f rui t qu',di t y w er e m uc h hi gh,and t hes e t r ai t s w er e t he m aj or s our ces of pheno t ypi c var i at i on s i n t hi n—peel m el on.O f t hes e t ra i ts.f hit sh ape i ndex had m a xi m al va r i a-t ion coe f f i ci ent(80.13%).Ni net e en phenot ypi c char act er s coul d be clas si f i ed t o s i x pr i n ci pal com ponent s w i th a cum ul at i ve c ontr i but ion r at e of80.832%。
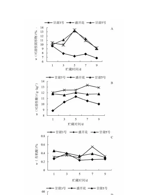
不同甜瓜品种贮藏期间品质变化和风味物质分析作者:李旺雄唐中祺程鸿孔维萍罗石磊来源:《中国瓜菜》2021年第09期摘要:为选育更耐贮藏和风味更好的薄皮甜瓜,以盛开花、甘甜3号、甘甜5号薄皮甜瓜品种为试材,研究不同品种甜瓜在贮藏期间果实品质及芳香物质含量与种类的变化。
结果表明,贮藏9 d后,甘甜3号的可溶性固形物、可溶性糖、有机酸含量(w,后同)分别为9.20%、12.89 %、0.26%,均优于其他2个品种。
3个薄皮甜瓜品种共检测出52种芳香物质,主要以酯类和醇类物质为主,相对含量最多的芳香物质均为乙酸乙酯,甘甜3号甜瓜乙酸乙酯相对含量为56.57%。
综上所述,甘甜3号品种在成熟期品质、贮藏期品质变化及风味物质含量均优于其他2个品种,可以为甜瓜适宜种植地区的品种选择提供理论依据。
关键词:甜瓜;品质;贮藏期;风味物质;气相色谱-质谱联用中图分类号:S652 文献标志码:A 文章编号:1673-2871(2021)09-050-06Analysis of quality changes and flavor substances of different melon varieties during storageLI Wangxiong1, TANG Zhongqi1, CHENG Hong2, KONG Weiping2, LUO Shilei1(1. College of Horticulture, Gansu Agricultural University, Lanzhou 730070, Gansu,China; 2. Vegetable Research Institute, Gansu Academy of Agricultural Sciences, Lanzhou 730070, Gansu, China)Abstract:In order to breed more durable and better flavor thin-skinned melon, the changes of fruit quality, content and variety of aromatic substances during storage were studied by using the thin-skinned melon of Sheng Kai Hua, Gan tian 3 and Gan tian 5. The results showed that after 9 days of storage, the soluble solids content, soluble sugar content and titratable acid content of Gan tian 3 were 9.20%, 12.89% and 0.26%, respectively, which were better than the other two varieties. A total of 52 aromatic substances were detected in the three thin-skinned melon, and esters and alcohols contain the most. Ethyl acetate was the aromatic substance with the highest relative content, and 56.57% of ethyl acetate was found in Gan tian 3. In conclusion, the quality change and the content of flavor substances of Gan tian 3 were superior to the other two varieties in the storage period, which could provide a theoretical basis for the selection of melon varieties in suitable planting areas.Key words:Melon; Quality; Storage period; Flavor substances; Gas chromatography-mass spectrometry甜瓜是具有特殊香气和含糖量较高的果类,也是具有重要价值的世界性经济作物,在我国有着悠久的栽培历史,无论种植面积还是产量都位居世界第一位[1-2]。
甜瓜主要农艺性状与品质性状的配合力分析
王文英;辛建华;陈荣
【期刊名称】《石河子大学学报(自然科学版)》
【年(卷),期】2009(027)006
【摘要】以6份甜瓜自交系为亲本进行完全双列杂交,采用Griffing方法II配制杂交组合15个,对甜瓜6个亲本和15个杂交组合果实的单果重、种腔直径、果实纵径、可溶性糖含量、有机酸含量、维生素C含量一般配合力和特殊配合力进行分析.结果表明:亲本M5、M2的一般配合力较高,是十分优良的母本,而M4、M6是表现较好的父本.组合M4×M5、M2×M6、M5×M6、M2×M4的特殊配合力较高,属综合性状优良的组合.该结果将为甜瓜杂交育种的亲本选择和选配提供依据.【总页数】4页(P687-690)
【作者】王文英;辛建华;陈荣
【作者单位】石河子大学农学院园艺系,石河子,832003;石河子大学农学院园艺系,石河子,832003;新疆昌吉丰业种苗有限责任公司,昌吉,831100
【正文语种】中文
【中图分类】S652.032
【相关文献】
1.薄皮甜瓜农艺性状配合力分析 [J], 张晓明;曲振环
2.厚皮甜瓜主要农艺性状的变异性及其与产量和品质构成关系分析 [J], 李晓慧;赵卫星;常高正;梁慎;康利允;高宁宁;徐小利
3.陆地棉棉籽营养品质性状与主要农艺性状、纤维品质性状的相关分析 [J], 郭婷婷;徐鹏;张香桂;沈新莲
4.玉米主要光合性状和农艺性状的配合力分析 [J], 张德水;王桂荣
5.杂交粳稻品质性状的遗传研究——Ⅲ、主要品质性状的配合力分析 [J], 李成荃;程岩;袁勤;白一松;程融
因版权原因,仅展示原文概要,查看原文内容请购买。
2017年第2期(下半月)Nong Min Zhi Fu Zhi You 农民致富之友49科研◎农业科学甜瓜,是葫芦科植物中具备丰厚遗传多样性的物种之一,由于其本身在种植生产过程中出现过多种多样的变异类型,直接导致其果实的形状变异表现特征出现了鲜明的复杂性和多样性。
近年来,国内外学者围绕甜瓜植物的分类,尤其是亚种以及变种的划分问题均进行了系统且复杂的论述分析,但由于甜瓜植物的形状表现和遗传多性过于复杂,故尚未形成针对相关问题的权威性研究结论。
我国具备丰富多样的甜瓜植物种质资源,且持续种植作业历史过程应当绵延在3000年以上,并且从上世纪70年代开始,已经逐步启动了针对甜瓜种质资源的收集和保存工作,为我国现代农业科技工作者切实提升甜瓜物种遗传资源研究工作的综合开展水平,创造和提供了坚实的支持条件。
本项研究选取我国现有的甜瓜种质资源展开了系统的实验测定分析,为初步实现对我国甜瓜种质紫资源的科学准确认识,创造了坚实的支持条件。
1 实验材料和实验方法1.1 实验材料本项研究共计选取甜瓜作物品种257种,且全部来自中国国家西瓜甜瓜种质资源库中期库,从来源地区划分,具体涉及新疆维吾尔自治区南部地区22钟,新疆维吾尔自治区北部地区24钟,河南省29种,黑龙江省24种,辽宁省18种,江苏省15种,山东省13种,中国台湾地区13种,吉林省11种,内蒙古自治区11种,安徽省10种,浙江省9种,山西省8种,陕西省8种,北京市7种,河北省6种,甘肃省6种,广东省5种,江西省4种,广西壮族自治区4种,湖北省4种,上海市3种,湖南省1种,天津市1种,福建省1种。
本次研究中具体选取的研究对象,均可作为其所在省区市的甜瓜种质资源代表,其样本抽取数量严格满足实验室检验工作的技术需求。
1.2 实验方法本项研究过程中的实验环节,择取2013年1月-2015年12月期间,在中国农业科学院郑州果树研究所试验基地具体实施,其基本的实验处置方式为保护地育苗和塑料大棚定值,在具体的植株种植方式选取方案方面,应用了随机区组种植处理方法,设置了专门性的但行区域,且确保植株株距严格控制在0.40m ,植株行距严格控制在3.00m ,在两次重复种植过程中应用常规管理方法。
甜瓜育种现状分析报告# 甜瓜育种现状分析报告1. 简介甜瓜是一种常见的瓜果,因其甜美的果肉广受欢迎。
在过去几十年中,甜瓜育种取得了许多重要的进展,使得甜瓜品种的产量、品质和耐病性等方面都有了显著的提高。
本报告将对甜瓜育种的一些现状进行分析,以期为相关专业人士和决策者提供有益的参考。
2. 品种改良随着科学技术的进步,现代甜瓜育种已经利用遗传学、分子生物学和基因工程等方法,对甜瓜进行了全面的品种改良。
这些改良主要集中在以下几个方面:# 2.1 产量提高通过品种改良,甜瓜的产量得到了显著提高。
现代育种目标主要是培育高产、抗逆性强、果实质量优良的新品种。
通过选择高产性父本和母本,进行杂交配制,并利用亲本的遗传差异进行自交、家系选择等方法,培育出一系列高产的甜瓜品种。
# 2.2 品质改善甜瓜的品质包括外观、味道和口感等多个方面。
现代育种注重培育果型整齐、果实肉质细腻、果瓤脆嫩、香甜可口的新品种。
通过选择形态特异的遗传资源进行配制和选择,筛选出形态、色泽、糖度等优良品质的甜瓜品种。
# 2.3 抗病性提升甜瓜在生长过程中容易受到病毒、真菌和细菌等病害的侵袭,严重影响产量和品质。
现代育种通过选择与病原体对抗能力强的亲本,进行杂交配制和后代选择,培育出抗病性较强的新品种。
同时,利用分子标记辅助选择和转基因技术,也为抗病育种提供了新的手段。
3. 技术支持甜瓜育种离不开现代技术的支持,以下是几项重要的技术支持:# 3.1 DNA标记辅助选择利用分子标记辅助选择技术,可以更准确地对甜瓜进行选择和育种。
通过检测与目标性状相关的特定DNA标记,可以在早期阶段对甜瓜进行快速筛选,提高选择效率和准确性。
# 3.2 基因编辑技术基因编辑技术如CRISPR/Cas9系统的引入,使得甜瓜育种可以更方便、更高效地进行基因组改造。
通过定点编辑甜瓜基因组中的特定基因,可以实现对甜瓜性状的精确调控。
# 3.3 高通量测序技术高通量测序技术的发展使得甜瓜育种可以更深入地研究甜瓜基因组和遗传多样性。
甜瓜品系主要性状相关性和主成分分析王学征;赵亮;李秋红;刘阳;朱子成;纪雪岩【期刊名称】《东北农业大学学报》【年(卷),期】2015(000)010【摘要】试验采用相关性分析和主成分分析方法对供试甜瓜品系主要性状进行比较分析。
各性状间相关性分析结果表明,薄皮甜瓜含糖量与分枝数、茎粗呈极显著正相关;单果重与定植到雌花开放时间呈显著正相关。
厚皮甜瓜含糖量与分枝数呈极显著正相关,与坐瓜率呈极显著负相关。
单果重与坐瓜节位和单株结果数呈显著负相关。
主成分分析结果表明,选育含糖量高的甜瓜组合时,注意选择植株生长势强、分枝性强的品种,同时也要兼顾生育期和坐果率。
选育产量高的甜瓜组合时,要注意选择坐瓜节位低、生育期长、坐果能力强的品种。
【总页数】7页(P35-41)【作者】王学征;赵亮;李秋红;刘阳;朱子成;纪雪岩【作者单位】东北农业大学园艺学院,哈尔滨 150030;东北农业大学园艺学院,哈尔滨 150030;山东省蓬莱市农业局土壤肥料工作站,山东蓬莱 265600;齐齐哈尔市建华机械有限公司农业分公司,黑龙江齐齐哈尔 161006;东北农业大学园艺学院,哈尔滨 150030;东北农业大学园艺学院,哈尔滨 150030【正文语种】中文【中图分类】S652.9【相关文献】1.甜瓜品系主要性状相关性和主成分分析 [J], 王学征;赵亮;李秋红;刘阳;朱子成;纪雪岩2.籼型优质稻株型设计及选育指标研究Ⅰ.主要性状的相关性及主成分分析 [J], 陈志强;李静;李卉3.中国冬油菜品系主要性状主成分分析及育种策略初探 [J], 王健胜;李静婷;侯桂玲;王婕;赵干卿;杨风岭4.北疆杂交棉主要性状相关性及主成分分析 [J], 杨利勇;李晓兰;杨新建;夏东利;夏景华5.油菜育种亲本主要性状相关性及主成分分析 [J], 王健胜;梁亚红;侯桂玲;韦世豪;赵干卿因版权原因,仅展示原文概要,查看原文内容请购买。
哈密瓜品种的形态特征及抗性物质分析哈密瓜作为一种有着广泛受欢迎的特色水果品种,一直备受人们的关注。
其美味可口,诱人的香味,均值着人们对于食品品质的追求和感受,因此在现在的市场上,它也成为了一种庞大的销售产品。
但实际上,哈密瓜的品种众多,每一种都有着独特的形态特征和抗性物质,下面将对哈密瓜品种的形态特征及抗性物质展开分析。
哈密瓜的品种哈密瓜在中国是一种有着悠久历史的水果,而随着时间的推移,品种也逐渐壮大。
据了解,哈密瓜品种繁多,主要可以分为以下几类:1、雪蜜瓜:雪蜜瓜是一种大型的哈密瓜,其特点是果形扁圆,果肉香甜可口,质感细腻,口感绝佳。
同时,雪蜜瓜富含蛋白质、钙、铁、维生素C等物质,具有提高人体免疫力的作用。
2、金瓜瓜:金瓜瓜是一种比较新的哈密瓜品种,其外观呈椭圆形,果肉细腻多汁,甜度高,同时瓜皮呈现黄色,有着独特的美观性。
金瓜瓜的维生素C含量也比同类水果高,同时富含胡萝卜素、烟酸等营养物质。
3、红肉瓜:红肉瓜是一种果肉呈现粉色、红色的哈密瓜,和普通的哈密瓜相比,红肉瓜更加细腻多汁,甜度也较高,而且富含维生素C、胡萝卜素等营养物质,对于女性和小孩的健康有着很好的保健作用。
4、山楂瓜:山楂瓜是一种形似小丸子的哈密瓜品种,外形圆润、紧实,表皮微凹有小坑,口感细腻,甜度适中,同时富含碳水化合物、蛋白质、维生素C等多种营养物质。
哈密瓜的形态特征不同品种的哈密瓜在形态特征上也有所不同,下面将从外观、果实、果肉等方面进行分析。
1、外观:从外观上看,不论是雪蜜瓜还是金瓜瓜等品种,都有着明显的长形外观,下部收束,上部膨圆,颜色呈现浅黄色或深黄色。
2、果实:各品种哈密瓜的果实也呈现出不同的特征。
雪蜜瓜果实形状较大,每个瓜的平均重量为3-4公斤,有长达18厘米以上的瓜身;红肉瓜则比较小巧玲珑,每个瓜的重量只有1-2公斤左右;山楂瓜则更加细小,每个瓜的重量只有500克左右,这些都是不同品种的哈密瓜在果实特征上的不同之处。
甜瓜种质幼苗期主要性状的变异性及主成分和聚类分析高玉红;闫生辉;陈海燕;李海伦;李晓慧【摘要】为了给甜瓜杂交育种亲本的早期选择提供理论依据,选择有代表性的20份种质为材料,统计了幼苗期10个主要性状的变异性,并对其进行了主成分和聚类分析.结果表明,株高、最大叶宽、地上鲜质量、根鲜质量、地上干质量、壮苗指数等7个性状的变异系数较大,在21.45%~51.15%之间;利用主成分分析将10个性状指标转化为4个综合指标,其累积贡献率达84.76%,主成分综合分值排序结果显示,PV03、PV13、PV08、PV17、PV04分别占供试种质资源的前5位;以综合成分中主要因子为指标进行聚类分析,可将20份甜瓜种质分为5类,各类间幼苗长势和健壮程度有较大差异.因此,单从甜瓜幼苗主要性状的角度考虑,7个变异较大的性状指标是今后亲本材料改良的重点,排在前5位的材料综合性状表现优良,是培育壮苗配制杂交亲本的首要选择;聚于第Ⅳ类的种质可直接被利用,根据育种目标的不同,可对第Ⅰ、Ⅱ、V类种质改良后再利用.%In order to offer reference for early selection of hybrid parents,using 20 typical melon germplasms as materials,10 main traits of the seedling period were studied for variability,principal component analysis and clustering analysis.The results showed that the wide variation existed among the variability of plant height,maximum leaf width,above-ground fresh weight,root fresh weight,above-ground dry weight and healthy seedling index,the variation coefficient of them was between 21.45% and 51.15%,and that 10 seedling traits were classified into 4 components with their cumulative contribution of 84.76% by principal component analysis,and the synthesis score ofPV03,PV13,PV08,PV17,PV04 was the first five leading in 20germplasms.Based on the results of principal component analysis,the 20 melon germplasms were divided into 4 groups with clustering analysis,among which there were obvious differences in the growth vigor and robust degree of seedling.Therefore,according to the above results,the 7 indexes of wider variation would be screened in the process of breeding in the future,and the first 5 leading cultivars could be preferred to select in practical production.The germplasms of group IV classed could be utilized directly,and ones of group Ⅰ,Ⅱ,V could be improved in gene at frist and then used according to breeding objective.【期刊名称】《中国瓜菜》【年(卷),期】2017(030)011【总页数】5页(P10-14)【关键词】甜瓜;幼苗性状;变异性;主成分分析;聚类分析【作者】高玉红;闫生辉;陈海燕;李海伦;李晓慧【作者单位】郑州职业技术学院郑州450121;郑州职业技术学院郑州450121;河南省农业科学院农业经济与信息研究所郑州450002;河南省农业科学院农业经济与信息研究所郑州450002;河南省农业科学院农业经济与信息研究所郑州450002【正文语种】中文中国是世界上甜瓜种植面积最大的国家之一,2015年甜瓜栽培面积为40.69万hm2,产量1 527.1万t[1]。
甜瓜行业分析报告一、定义甜瓜是一种食用和观赏价值都极高的瓜类水果。
具有口味鲜美、质地细腻、营养丰富等特点。
目前世界上甜瓜主要分为甜瓜和哈密瓜两类,其中甜瓜又包括金蜜瓜、蜜瓜、西瓜等多个品种。
二、分类特点1、金蜜瓜:果实呈细长型,果皮厚而硬,颜色为浅黄色至橘色,果肉细腻、甜美,且具有异香味。
适宜在夏季食用,可生食、制成鲜汁、沙拉等。
2、蜜瓜:果实呈圆型,果皮薄而柔软,颜色为浅黄色至绿色,果肉甜美如蜜,挤出的果汁清甜,适宜在春季和夏季食用,可生食、制成果酱等。
3、哈密瓜:果实呈圆型或梨形,果皮厚而硬,颜色为灰绿色或黄色,果肉浓郁芳香,余韵悠长,适宜在夏季和秋季食用,可生食、制成果酒等。
三、产业链1、种植阶段:从选种、播种、育苗到定植、管理、采收等一系列环节。
2、批发阶段:从农产品批发市场、超市到终端销售点的分销阶段。
3、加工阶段:包括鲜切、加工、包装和运输等流程。
四、发展历程我国甜瓜发展历史悠久,早在唐代就有“三歧瓜”之称,明代时期,我国已经出现了“京南之甜瓜,天下之冠”的美誉。
20世纪80年代,国内甜瓜产量猛增,已成为重要的产业之一。
五、行业政策文件国家实行了多项促进甜瓜产业发展的政策,如农村产业结构调整规划、农村经济发展规划、粤西平原蔬菜优质高产示范区建设、现代化农业技术推广等。
六、经济环境我国甜瓜生产面积广,甜瓜产量占全球总产量的40%以上,出口量居世界前列。
但行业整体存在产值不高,品种单一,品质不稳定等问题。
七、社会环境随着人民生活水平的提高,对食品的质量和品质要求不断提高,甜瓜行业发展需适应市场需求,不断改进品种、提高品质,确保产品安全。
八、技术环境甜瓜种植技术水平不高,生产难度大,增加了生产成本;加工技术也有待提高,以提高产品附加值和品质。
九、发展驱动因素1、国家政策支持,促进了甜瓜产业快速发展。
2、人口增长和消费升级,使得食品需求量增加,增加了甜瓜发展的市场空间。
3、技术进步,可以提高生产效率和质量。
中国瓜菜2023,36(10):32-41收稿日期:2023-04-12;修回日期:2023-07-05基金项目:云南省乡村振兴专项(No.202004BI090071);云南省重大科技专项(No.202102AE090005)作者简介:朱彩华,男,硕士,主要从事瓜类蔬菜产业的栽培、品种选育工作。
E-mail :*****************通信作者:龙荣华,男,研究员,主要从事瓜类栽培、遗传育种及云南特色蔬菜传统种植模式与现代科学技术的融合技术等研究。
E-mail :***********************厚皮甜瓜种质资源果实性状的综合分析及评价朱彩华1,高婷1,李梅2,龙荣华1(1.云南省农业科学院园艺作物研究所昆明650205;2.昆明市东川区经济作物技术推广站昆明654100)摘要:为筛选优质的厚皮甜瓜种质资源,对141份厚皮甜瓜材料的29个果实性状进行了遗传多样性指数分析、变异分析、相关性分析、主成分分析和聚类分析。
结果表明,29个果实性状包括15个质量性状和14个数量性状,其遗传多样性指数平均值分别为0.90、2.01,14个数量性状的变异系数为21.18%,表明其具有丰富的遗传多样性。
各数量性状间存在复杂的相关关系,其中果实横径和种腔横径均与中心可溶性固形物含量呈极显著正相关,单果质量与单株产量、千粒重呈极显著正相关,与中心可溶性固形物含量、种形指数呈显著正相关,表明果实的农艺性状与果实的品质、产量具有关联性。
主成分分析结果表明,厚皮甜瓜种质资源果实性状的绝大部分信息包含在前4个主成分因子中,累积贡献率为78.39%;综合评价结果表明,SL 42、SL 29、2020T 20、SL 90、SL 75的表现最好。
聚类分析将141份厚皮甜瓜种质资源划分为7个品种群,分别包含4、2、1、48、7、6、73份种质。
综上,参试的厚皮甜瓜种质资源果实遗传多样性丰富,各类群特征和优点突出,对品种改良和大面积推广种植具有指导意义。
白粉病抗感性之檢定方法一、接種原及其保存方式2001-2005年自試驗田取樣2-5片出現白粉病病斑之甜瓜葉片,於解剖顯微鏡下挑取單一孢子沾黏於上述製備妥的葉圓盤上(IRAN-H品種),進行單孢培養,確保純化菌株,於24/18℃(日夜溫)光照12小時的條件下培養12-14天,即有大量分生孢子,將每個純化培養之菌株以上述葉圓盤接種法,以每平方公分50~100個孢子濃度,將分生孢子吹落於盛有8種甜瓜鑑別品種葉圓盤之培養皿內,鑑別品種分別為IRAN-H、Vedrantais、PMR 45、WMR 29、Edisto 47、PI 414723、PMR 5及MR-1,經鑑定為生理小種1(Podosphaera xanthii race1)之葉片圓盤於16℃定溫箱自然乾燥4天後,密封於2.5ml之玻璃安瓶中,於-25℃之冷凍櫃或液態氮容器內保存。
二、接種方式及抗感性反應之鑑定將欲鑑定之甜瓜品種種植於盛有泥炭土(Bio-mix)之五吋塑膠盆),置於28℃/22℃(Day /night)光照12小時之生長箱中栽培4-6週,取植株之中上位展開葉以自來水洗淨,再經消毒水(1%次氯酸鈉,並於200ml消毒水加入數滴Tween-20界面活性劑攪拌)表面消毒1分鐘,無菌水漂洗三次,吸乾游離水,再以經高溫滅菌後之金屬圓柱器具切取直徑1.5cm葉片圓盤,正面朝上,置於盛有二層濾紙之塑膠培養皿內。
將上述盛有葉片圓盤之密盒或培養皿經人工接種白粉病菌(Podosphaera xanthii race1),每平方公分50~100個孢子濃度,容器加蓋密封置於24℃/18℃(Day/night)光照12小時之定溫箱中,培養10天後記錄發病指數。
發病指數分為0〜9共10級:0級-無病斑;1級-病斑佔葉面積10%;3級-病斑佔葉面積50%;5級-病斑佔葉面積80%;7級-病斑佔葉面積100%但孢子量稀薄;9級-病斑佔葉面積100%而孢子量厚實且葉片圓盤褐化。
甜瓜品种主要经济性状模糊综合评判方宏建;戴祖云;朱卯芬;杨培柱【摘要】根据模糊数学的基本原理,测定合肥地区大棚栽培的11个厚、薄皮甜瓜早熟品种类型的成熟期、产量、品质、抗病性等11个经济性状,对分析的品种经济性状表现优劣进行了综合评判.结果表明:‘江淮蜜1号’和‘里外红’的综合经济性状较好;‘黄子金玉’、‘甜美’、‘丰蜜’、‘翠蜜’次之;‘碧玉’、‘网蜜’、‘银蜜’、‘白美丽’、‘青香玉’较差.因此,早熟大棚栽培甜瓜,其生态类型以厚皮甜瓜为首选,如‘江淮蜜1号’、‘里外红’、‘甜美’、‘丰蜜’、‘翠蜜’;其次选用部分厚薄皮杂交型品种,如‘黄子金玉’;同时部分薄皮甜瓜品种如‘白美丽’、‘青香玉’抗逆性较好,坐果节位较低,建议在合肥地区3月底至4月初露地栽培为宜.【期刊名称】《中国瓜菜》【年(卷),期】2014(027)004【总页数】4页(P40-42,46)【关键词】甜瓜;经济性状;大棚栽培;模糊综合评判【作者】方宏建;戴祖云;朱卯芬;杨培柱【作者单位】安徽江淮园艺科技有限公司合肥230031;安徽江淮园艺科技有限公司合肥230031;安徽美兰农业发展股份有限公司合肥230088;安徽江淮园艺科技有限公司合肥230031【正文语种】中文甜瓜主要经济性状综合评价的结果对甜瓜品种是否为优良品种提供了重要的参考依据。
但其评价至今尚无统一标准与可行方法[1],这对育种和生产中比较多种甜瓜品种的优劣性带来了诸多不便。
由于模糊数学综合评价具有结果清晰、系统性强[2]的特点,能较好地解决模糊的、难以量化的问题,适合各种非确定性问题的解决。
因此,本文试图应用模糊数学方法对11个甜瓜品种的综合性状进行评价,以求得到比较客观而统一可比的结果,筛选出适合合肥地区栽培的优质、早熟、丰产的甜瓜品种。
1 材料与方法1.1 试验材料供试品种有:‘银蜜’、‘翠蜜’、‘甜美’、‘里外红’、‘网蜜’、‘江淮蜜1 号’、‘丰蜜’、‘黄子金玉’、‘碧玉’、‘青香玉’、‘白美丽’等 11 个品种。
不同甜瓜品种果实品质差异分析盛云燕;韩雨;王霞【摘要】[目的]为了研究不同甜瓜(Cucumis melo L.)品种的果实品质.[方法]以新疆引进的8个甜瓜品种为材料,果实成熟后,通过测定不同甜瓜品种的横径、纵径、硬度、单果重、含糖量及有机酸含量,比较分析不同甜瓜品种间品质差异.[结果]M1-72合糖量较高,M2-10的含糖量较低;M1-59和M1-72有机酸含量较高,M2-5的有机酸含量较低;不同品种间有机酸含量差异显著,不同品种间含糖量差异显著;M4-10、M4-5外观特殊,口感甘甜,果肉细腻,果皮薄,成熟期早,坐果率高.[结论]适合在北方大面积推广种植.【期刊名称】《安徽农业科学》【年(卷),期】2013(041)019【总页数】3页(P8097-8099)【关键词】甜瓜;品质;差异分析【作者】盛云燕;韩雨;王霞【作者单位】黑龙江八一农垦大学农学院,黑龙江大庆163319;黑龙江八一农垦大学农学院,黑龙江大庆163319;黑龙江八一农垦大学农学院,黑龙江大庆163319【正文语种】中文【中图分类】S652甜瓜(Cucumis melo L.)俗称香瓜,是具有重要经济价值的水果之一[1],我国甜瓜的种植面积位居世界第1[2]。
甜瓜中含有大量的可溶性固形物、可溶性糖、维生素和有机酸等物质,这些物质决定了甜瓜营养品质[3],其中甜瓜果实中糖的含量是决定果实品质和商品价值的重要因子[4]。
由于甜瓜的栽培品种多,品种间变异大,应在测定甜瓜的性状指标的基础上,针对众多的品种,就其含糖量及有机酸含量进行评价和筛选,进而确定一些利用价值较大的品种进行推广栽培[5-6]。
为此,笔者选取了新疆引进8个甜瓜品种果实性状进行了研究,并对品种间果实性状进行了差异分析,以期为优良品种的选择和推广奠定基础。
1.1 试验材料试验所用甜瓜品种共8个,其中厚皮甜瓜3种,薄皮甜瓜5种,主要类型及特征如表1所示。
1.2 试验方法1.2.1 试验设计。