中南大学大学物理双语版答案Problem 1-22
- 格式:doc
- 大小:2.29 MB
- 文档页数:26
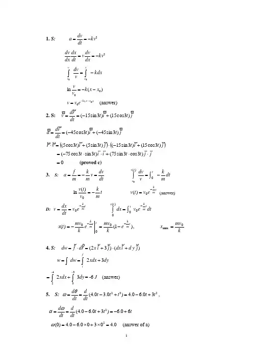
1. S: 2kv dtdva -==2kv dxdvv dt dx dx dv -==k d x v dvxx vv -=⎰⎰)(ln00x x k v v--= )(00x x k e v v --= (answer)2. S: j t i t dt rd v )3cos 15()3sin 15(+-== jt i t dtv d a )3sin 45()3cos 45(-+-==()()j t i t j t i t v r)3cos 15()3sin 15()3sin 5()3cos 5(+-⋅+=⋅j j t t i i t t⋅⋅+⋅⋅-=)3c o s 3s i n 75()3sin 3cos 75( 0= (proved c)3. S: dtdv v m k m f a =-==dt mkv dv t t v v -=⎰⎰0)(0t mkv t v -=0)(ln t m ke v t v -=0)( (answer) D: t m k e v dtdxv -==0dt e v dx t m k tt x -⎰⎰=00)(0kmv x e kmv ekmv t x t m k t t mk 0max 00),1()(=-=-=--4. S: )()32(j y d i dx j i x r d f dw+⋅+=⋅=dy xdx dw w fi32+==⎰⎰dy xdx 323342⎰⎰--+== -6 J (answer)5. S: 23230.60.4)0.30.4(t t t t t dtddt d +-=+-==θω, t t t dtddt d 60.6)30.60.4(2+-=+-==ωα 0.40300.60.4)0(2=⨯+⨯-=ω (answer of a)0.28)0.4(30.40.60.4)0.4(2=⨯+⨯-=ω rad/s (answer of a ) 60.266)0.2(=⨯+-=α rad/s 2 (answer of b )t t 60.6)(+-=α is time varying not a constant (answer of c) 6. S: ω20031222ML L v m L mv +⋅= MLmv ML L mv 4343020==ω (answer a))c o s 1(2)31(21m a x 22θω-=LMg ML ]1631[cos 2221maxgLM v m -=-θ (answer b) 7. G: m =1.0g, M =0.50kg, L =0.60m, I rod =0.0602m kg ⋅,s rod /5.4=ωR:I sys , v 0S: I sys =I rod +(M+m)L2=0.060+(0.50+0.0010)×0.602= 0.24 2m kg ⋅(answer)the system ’s angular momentum about rotating axis is conservative in the collision.sysI L mv ω=0s m mL I v sys/108.160.00010.024.05.430⨯=⨯⨯==ω (answer )D: The bullet momentum 0v m p=(before impact), its angular momentumabout rotating axis can be expressed as L mv 0(a scalar) 8. S:γ==00.800x xt v c -∆==0811800.600 3.0010t t γ∆=∆=⨯⨯ 9. S: 202202)(mc E cp E E γγ==+=222c p m c m c m c =10. S: 0i n t =-=∆n e t n e t W Q E n e t n e t W Q = 1(3010)(4.0 1.0)2=-- J 30= (answer)11. S: from nRT PV =and K T A 300= we can get:KT K T C B 100300== (answer of a)Change of internal energy between A and B:0)(23int =-=∆A B T T k n E (answer of b)The net work of the cycle:))(100300()13(2121m N AC BC W ⋅-⋅-=⋅=J 200= (answer of c) From the first law : W E Q +∆=int we can derive:the net heat of the whole cycle is J W Q 200== (answer)12. S: 131)(320===⎰⎰∞F v Av dv Av dv v p F33FvA =(answer of a ) F F v a v g v Av dv vAv v F4341420===⎰13. G: T 1=T 2=T , m 1, p 1, v rms,1, m 2, p 2=2p 1, v avg,2 = 2v rms,1 R: m 1 / m 2 S: v avg,2 =1.602m kTv rms,1 = 1.731m kTv avg,2 = 2v rms,167.4)60.173.12(221=⨯=m m (answer) 14. S: dE int =dQ – dWd Q = dE int + dW = n C v dT+pdV VdVnR T dT nC dV T p T dT nC T dQ dS v v +=+==if i f v VV v T T V V nR T T nC V dVnR T dT nC ds S f i filnln +=+==∆⎰⎰⎰ 15. S: dA E q θεcos 0⎰=212100)0.60100(1085.8⨯-⨯⨯=- C 61054.3-⨯= 16. S: 2041)(r Qr E πε=(R < r <∞) dr rQ dr r E udV dU 2022208421πεπε=⋅== RQ r dr Q udV U R0220288πεπε===⎰⎰∞(answer) RQ r dr Q U r r Rεπεεπε02202*88==⎰∞(answer ) 18. S: in the shell of r – r + drdr r R r dV r dq 204)/1()(πρρ-==)34(31)/(4)(4303200r Rr dr R r r dq r q r-=-==⎰⎰πρπρfrom the shell theorems , within the spherical symmetry distribution )34(12)(41)(20020r Rr Rr r q r E -==ερπε (answer of b)R r r R Rdr dE 320)64(12*00=⇒=-=ερ 00200*max 9])32(3324[12)(ερερRR R R R r E E =-⨯== 19. S: j yV i x V V gradV y x E∂∂-∂∂-=-∇=-=),( )0.20.2(y x x VE x +-=∂∂-= x yV E y 0.2-=∂∂-= )/(480.2)0.20.2()0.2,0.2(m V j i j x i y x E--=-+-=20. S: Q in = - q , Q out = q (answer ) 1010241241)0(R qq V q πεπε==104)0(R qV in πε-=204)0(R q V o u t πε=)0()0()0()0(out in q V V V V ++= )11(4210R R q +=πε21. S: from the planar symmetry and superposition principle, Emust in normal direction of the plates and 1σ,2σ,3σ,4σ must be const. Fromcharge conservationA Q S =+)(21σσ ⇒ SQ A=+21σσ (1) B Q S =+)(43σσ ⇒ SQ B=+43σσ (2) Apply Gauss ’ law in the closed surface shown in Fig. 032=+σσ (3)within the metal, 0=p Ewhich leads to002222432104030201=-++⇒=-++σσσσεσεσεσεσFrom(1), (2), (3), (4) yield:⎪⎪⎩⎪⎪⎨⎧-=-=+==S Q Q SQ Q B AB A 223241σσσσ (answer of a) (6 points) 004030201122222εεσεσεσεσS Q Q E BA p -=--+= (1 point) 004030201222222εεσεσεσεσS Q Q E BA p +=+++=(1 point) (answer of b) d S Q Q d E d E V BA p AB 012ε-==⋅= (2 points) (answer of c)27.33()(32)18w F x dx x dx J ==+=⎰⎰;at x=3m212W mV =, 6/V m s =。
第一章晶体结构1.试述晶态、非晶态、准晶、多晶和单晶的特征性质。
解:晶态固体材料中的原子有规律的周期性排列,或称为长程有序。
非晶态固体材料中的原子不是长程有序地排列,但在几个原子的范围内保持着有序性,或称为短程有序。
准晶态是介于晶态和非晶态之间的固体材料,其特点是原子有序排列,但不具有平移周期性。
另外,晶体又分为单晶体和多晶体:整块晶体内原子排列的规律完全一致的晶体称为单晶体;而多晶体则是由许多取向不同的单晶体颗粒无规则堆积而成的。
2.晶格点阵与实际晶体有何区别和联系?解:晶体点阵是一种数学抽象,其中的格点代表基元中某个原子的位置或基元质心的位置,也可以是基元中任意一个等价的点。
当晶格点阵中的格点被具体的基元代替后才形成实际的晶体结构。
晶格点阵与实际晶体结构的关系可总结为:晶格点阵+基元=实际晶体结构3.晶体结构可分为Bravais格子和复式格子吗?解:晶体结构可以分为Bravais格子和复式格子,当基元只含一个原子时,每个原子的周围情况完全相同,格点就代表该原子,这种晶体结构就称为简单格子或Bravais格子;当基元包含2个或2个以上的原子时,各基元中相应的原子组成与格点相同的网格,这些格子相互错开一定距离套构在一起,这类晶体结构叫做复式格子。
4.图1.34所示的点阵是布喇菲点阵(格子)吗?为什么?如果是,指明它属于那类布喇菲格子?如果不是,请说明这种复式格子的布喇菲格子属哪类?(a)(b)(c)(d)图 1.34(a)“面心+体心”立方;(b)“边心”立方;(c)“边心+体心”立方;(d)面心四方解:(a)“面心+体心”立方不是布喇菲格子。
从“面心+体心”立方体的任一顶角上的格点看,与它最邻近的有12个格点;从面心任一点看来,与它最邻近的也是12个格点;但是从体心那点来看,与它最邻近的有6个格点,所以顶角、面心的格点与体心的格点所处的几何环境不同,即不满足所有格点完全等价的条件,因此不是布喇菲格子,而是复式格子,此复式格子属于简立方布喇菲格子。
中南大学双语物理月日试卷09Question One. Fill in the blanks (24 marks total, 4 marks each)1. The surface charge density of a conductor of arbitrary shape in vacuum is (,,)x y z σ. Then the electric field near the conductor ’s surface has magnitude and its direction is .2. The electric potential at points in an xy plane is given by 22210V x y =--+. Find the magnitude and direction of the electric field at point (1, 2). E = ___, and the direction is __ .3. An alternating voltage of the form 0sin V V t ω=is applied across an air-filled parallel-plate capacitor of areaA and separation d . Find (a) the electric flux E Φthrough a surface between the two plates of the capacitor with area A and parallel to the plates, and (b) the displacement current d i in the capacitor. E Φ= ___, d i =____.4. A conducting rod MN of length L located on the horizontal plane rotates about point O , adistance L /3from end N, at a constant angular speed ω .A uniform magnetic field B pointsupward vertically (Fig.1-1). The magnitude of the motional emf in the rod is . Which endof the rod has higher potential? . 5. In vacuum, the energy density of an electromagnetic wave at a point is . The ratio of E to B is .6. The energy required for the quantum jump of the electron in ground state to the energy level with n =4 in hydrogen atom is . The number of spectra lines that this excited electron can emit is .Question Two. Multiple-choice questions (30 marks total, 3marks each)1. Figure 2-1 shows the electric field lines of concentric conducting solid sphere and conductingspherical shell. Then the spherical shell is (a) positively charged ;(b) electrically neutral;(c) negatively charged; (d) not enough information.2. An infinitely long straight charged plastic rod with uniform linear charge density λ is placed invaccum, and then electric field energy density at a point, a distance r from the rod, is given by (a) 22202r λεπ; (b) 22204r λεπ;(c) 22206r λεπ; (d) 22208rλεπ. 3. An electron with charge e moves in a circle of radius r at a constant speed v , and then its magnetic dipolemoment is given by (a) 232er vπ;(b) 12evr ; (c) 22er v π; (d) 2212ev r . 4. A particle of charge q and mass m moves at a radius r in a uniform magnetic field B , and then the particle ’skinetic energy is given by (a) 2222q B r m ;(b) 222mq B r ;(c) 222mB r q; (d) 222mq r B . 5. The diameter of a circular loop is equal to the side of a square. If the two loops carry the same current, the ratio of magnetic field magnitude B C at the center of the circular loop to the magnetic field magnitude B S at the center of the square /C S B B is (a)0.8;(b)1.00; (c) 1.22; (d) 1.11.6. Within which kind of material do magnetic domains exist?(a) Diamagnetic material ;(b) Paramagnetic material; (c) Ferromagnetic material; (d) None of above.7. A plane electromagnetic wave travels along positive x -axis , and then its wave function can be expressed as (a) sin(),sin()m m E E kx t B B kx t ωω=+=-;(b) sin(),sin()m m E E kx t B B kx t ωω=-=-; (c) sin(),sin()m m E E kx t B B kx t ωω=+=+;(d) sin(),sin()m m E E kx t B B kx t ωω=-=+.8. A beam of light with wavelength λ travels along the +x -axis. If the uncertainty in wavelength is represented by Fig. 1-1Fig.2-1λ, then using Heisenberg ’s uncertainty principle 2x x p ≥ (here /2h π=), the uncertainty inphoton ’s position ?x can be expressed as (a) 22x πλλ?≥?;(b) 24x πλλ≥?; (c) 24x λπλ?≥?; (d)22x λπλ?≥?. 9. For a given value of n =2, the possible values of the magnitude of orbital angular momentumfor an electron confined to an atom are (a) 0,; (b) 0,; (c) 0,; (d) .10. There are different types of artificial electron traps. Which one is not an electron trap below?(a) nano-crystallites ;(b) quantum dots; (c) quantum corrals;(d)quantum numbers.Question Three. Calculation problems (40 marks total, 10 marks each)1. A solid nonconducting sphere of radius R has anonuniform charge distribution of volume charge density 20/kr e r ρρ-=, where ρ0 and k ar e constant and r is the distance from the center ofthe sphere. (a) Calculate the total charge of the sphere. (b) Determine the distribution of electricfield inside and outside the charged sphere.2. A charge q is uniformly distributed along a nonconducting rod of length 2l (Fig. 3-1). Assumingthat V =0 at infinity, find (a) the electric potential at point P , a distance d from the midpoint of therod along the perpendicular bisector of the rod, and (b) the work done by the electric field inbringing a point charge q 0 from infinity to point P .(Hint:ln(x C =+)3. A straight wire ab of length L carrying current i 2 is placed near a long straight wire cd carryingcurrent i 1 in the same plane. The straight wire ab makes an angle α with the long straig ht wire and end a is at a distance D away from it, as shown in Fig.3-2. Calculate the force acting on wire ab due to wire cd .4. A toroid with N turns has a rectangular cross-section as shown in Fig.3-3. If the toroidcarries a current i , the magnetic flux through the cross-section can be expressed as02Nih μπΦ=. (a) Find the ratio of R 2 to R 1, where R 2 and R 1 are the outer radius andthe inner radius of the toroid respectively. (b) If h =0.01 m and N=100, determine theself-inductance of the toroid. (c) If the current in the toroid is 0cos i i t ω=, where i 0 is aconstant, calculate the induced emf in the toroid. Question Four. Proof (6 marks)A beam of light of wavelength λ is incident on the surface of a metal and knocks outphotoelectrons which pass through a slit and then enter a uniform magnetic field, where the photoelectrons would undergo a uniform circular motion, as shown in Fig.4-1. Suppose that the maximum radius of the uniform circular motion is R . Show that the wor k function Φ of the metal is given by 222 2e hce B R m λΦ=-. Fig. 3-1 Fig. 3-2Fig. 3-3Fig. 4-1。
大学物理(二)_中南大学中国大学mooc课后章节答案期末考试题库2023年1.静电场是涡旋场。
参考答案:错误2.在量子力学中粒子的状态用波函数描述,波函数由薛定谔方程确定。
波函数的模方表示粒子的几率密度。
参考答案:正确3.静电力是保守力参考答案:正确4.粒子在一维无限深势阱中有不为零的最小能量,称为零点能。
零点能的存在与不确定关系是协调一致的。
势阱宽度越小,零点能越大。
参考答案:正确5.两个静止点电荷之间的相互作用力遵守牛顿第三定律参考答案:正确6.关于自感下列说法正确的是参考答案:自感系数的大小与线圈的几何形状和尺寸有关7.若一物体的温度(绝对温度)增加一倍,则它的总辐射能增加到16倍。
参考答案:正确8.用可见光(代替X射线)实验无法观察到康普顿散射现象。
参考答案:正确9.施特恩-盖拉赫实验表面电子具有自旋角动量。
与轨道角动量量子数为整数不同,电子的自旋量子数为半整数1/2.参考答案:正确10.关于等势面和电场线,下列说法正确的是参考答案:等势面较密集的地方场强大,较稀疏的地方场强小_等势面与电场线处处正交_沿着电场线方向,电势降低_在静电场中,沿着等势面移动电荷,电场力做功为零11.如图所示,空腔内部有一个带电体,带电量为,带电体的位置靠近导体壳左侧,则以下说法正确的是【图片】参考答案:移动或不移动腔内电荷的位置,壳外表面的电荷分布始终是均匀的_壳内表面电荷分布不均匀12.无限长直载流螺线管内是均匀磁场。
参考答案:正确13.物体热辐射单色辐射强度最大的波长随温度的升高而减小。
参考答案:正确14.在均匀磁场中,有两个形状不同,但面积相等、电流相同的载流平面线圈,这两个线圈所受的最大磁力矩相同。
参考答案:正确15.将一空气平行板电容器接到电源上充电到一定电压后,断开电源,再将一块与极板面积相同的金属板平行插入两极板之间,则由于金属板的插入及其所放位置的不同,对电容器储能的影响为:【图片】参考答案:储能减少,但与金属板位置无关16.下图中①②③各条曲线所示对应的磁介质分别是【图片】参考答案:抗磁质、顺磁质、铁磁质17.带电导体接地后,其上的电荷一定为零。
中南大学大学物理实验预习答案实验一迈克耳孙干涉仪的调整与使用【预习思考题】尔孙干涉仪是利用什么方法产生两束相干光的, 答:迈克尔孙干涉 1( 迈克仪是利用分振幅法产生两束相干光的。
2( 迈克尔孙干涉仪的等倾和等厚干涉分别在什么条件下产生的,条纹形状如何,随M1、M2’的间距d如何变化, 答:(1)等倾干涉条纹的产生通常需要面光源,且M1、M2’应严格平行;等厚干涉条纹的形成则需要M1、M2’不再平行,而是有微小夹角,且二者之间所加的空气膜较薄。
(2)等倾干涉为圆条纹,等厚干涉为直条纹。
(3)d越大,条纹越细越密;d 越小,条纹就越粗越疏。
3( 什么样条件下,白光也会产生等厚干涉条纹,当白光等厚干涉条纹的中心被调到视场中央时,M1、M2’两镜子的位置成什么关系,答:白光由于是复色光,相干长度较小,所以只有M1、M2’距离非常接近时,才会有彩色的干涉条纹,且出现在两镜交线附近。
当白光等厚干涉条纹的中心被调到视场中央时,说明M1、M2’已相交。
【分析讨论题】1( 用迈克尔孙干涉仪观察到的等倾干涉条纹与牛顿环的干涉条纹有何不同, 答:二者虽然都是圆条纹,但牛顿环属于等厚干涉的结果,并且等倾干涉条纹中心级次高,而牛顿环则是边缘的干涉级次高,所以当增大(或减小)空气层厚度时,等倾干涉条纹会向外涌出(或向中心缩进),而牛顿环则会向中心缩进(或向外涌出)。
2( 想想如何在迈克尔孙干涉仪上利用白光的等厚干涉条纹测定透明物体的折射率,答:首先将仪器调整到M1、M2’相交,即视场中央能看到白光的零级干涉条纹,然后根据刚才镜子的移动方向选择将透明物体放在哪条光路中(主要是为了避免空程差),继续向原方向移动M1镜,直到再次看到白光的零级条纹出现在刚才所在的位置时,记下M1移动的距离所对应的圆环变化数N,根据,即可求出n。
实验二用动态法测定金属棒的杨氏模量【预习思考题】1(试样固有频率和共振频率有何不同,有何关系?固有频率只由系统本身的性质决定。
理论力学习题标准答案(中南大学)第一次一、是非题1、×2、×3、√4、×5、√6、√7、×8、×二、选择题1、③2、①3、③,②三、填空题1、滚动支座和链杆约束,柔索和光滑表面接触,光滑圆柱铰和固定铰支座。
2、90°3、大小相等,指向相同,沿同一作用线。
4、受力分析,力系简化,力系平衡条件及应用。
5、支座A,销钉A,销钉A,杆AC6、FBAyF TF'Cx2第二次(3-4页)一、是非题1、×2、√3、√4、×5、√ 二、选择题1、②2、②3、②,④4、③5、② 三、填空题1、F x =-40√2 , F y =30√2 , F z =50√2 .2、F x =-40F y =30√2 , F z =503、-0.69Ncm一、是非题1、×2、√3、×4、√5、√6、×7、√8、√二、选择题1、③2、④3、②4、②三、填空题1、一合力,一力偶。
四、计算题 1、解:KNF F F F KNF F F F KNF F F Rz RyRx 62.4101291060sin 45sin 17.2101291230sin 60cos 45cos 34.610129930cos 60cos 2223201222320122232-=++-+-=-=+++--=-=++--=∴ KNF F F F Rz Ry Rx R 14.8222=++=125)(,105)(,141)(===∧∧∧z F y F x F R R R2、)(↓='P F R0,,==-=AzAyAxMPb M Pa M第三次(5-6页)一、是非题1、√2、×3、√4、√5、√ 二、选择题1、①2、①,④3、③,③,④ 三、计算题1、F ′R =960kN, M B =0 则 120×0.2-960sin α×0.1=0 ∴ sin α=0.25 α=arcsin0.252、 选A 为简化中心F ′Rx =-F 2cos60°=-1kN F ′Ry =F 1-F 2sin60°=0则 KN F R1=',KNmM F M A321=-=mF Md RA3/='=该力系的合成结果为一合力F R一、选择题1、③2、①,⑤二、填空题1、(26,18)2、(-R/6,0)3、5a/6 三、解mx mx C C 94.05.15.254375.05.175.05.25.15045.1347.15.15.254325.115.2252403=++++⨯+⨯+⨯+⨯+⨯==++++⨯+⨯+⨯+⨯+⨯=四、解BBF BF BF第四次(7-8页)一、选择题 1、③ 2、④二、填空题1、大小√2m/a ,方向:与AB 连线方向成135°。
《大学物理(上)》课程试卷1一、填空题 (每格2分,共30分)1.沿半径为R 的圆周运动, 在t = 0时经过P 点, 此后它的速率v 按v A Bt =+ (A 、B 为正的已知常量)变化, 则质点沿圆周运动一周再经过P 点时的切向加速度t a = , 法向加速度n a = 。
2.牛顿力学的质点动力学方程为________ ,它表示了合外力与加速度间的_____________关系;当质点在平面上作曲线运动时,在自然坐标系中,它可以写成____________ 。
3. 如图所示,两小球质量分别为m 和3m ,用 一轻的刚性细杆相连,杆长l ,对于通过细杆 并与之垂直O 轴来说,物体系统对该轴的转动惯量J =_________ _,若将物体系从水平位置静止释放,开始时杆的角加速度α=_________ _,杆转到竖直时的加速度ω=_________ _。
4.如图所示,AB CD 、是绝热过程DEA 是等温过程,BEC 是任意过程 组成一循环过程。
若ECD 所包围的面积为70J ,EAB 所包围的面积为30J ,DEA 的过程中系统放热100J 则:(1)整个循环过程(ABCDEA )系统对外做功W =_____,内能改变E ∆=_______;(2)BEC 过程中系统从外界吸热Q =_______。
5. 有一振动系统,按π0.5cos(8π3x t =+cm 的规律作简谐运动,初相为______ t =1s 时的位移为______ _, 速度为_________ _,加速度为______ _。
二、选择题(每小题3分,共18分)1. 速度为v 的子弹,打穿一块不动的木板后速度变为零,设木板对子弹的阻力是恒定的.那么,当子弹射入木板的深度等于其厚度的一半时,子弹的速度是( )(A)14v (B) 13v (C) 12v2. 一平面简谐波波动表达式为π5cos(2ππ)2y t x =-+cm ,则x =4cm 位置处质点在t =1s 时刻的振动速度v 为()(A) v =0 (B) v =5cm s (C)=-5π cm s v (D)10cm s π- 3.如图所示,竖立的圆筒形转笼,半径为R ,绕中心轴OO '转 动,物块A 紧靠在圆筒的内壁上,物块与圆筒间的摩擦系数为μ,要使物块A 不下落,圆筒转动的角速度ω至少应为(A)4. 摩尔数相同的三种理想气体氦、氧和水蒸汽,在相同的初态下进行等体吸热过程,若吸热相等,则压强增量较大的气体是( )(A) 水蒸汽 (B) 氧气 (C) 氦气 (D) 无法确定 5.质点作曲线运动,若r表示位矢,S 表示路程,v 表示速度,v 表示速率,t a 表示切向加速度,则下列四组表达式中,正确的是( )(A) dv a dt =, d r v dt = (B)t d v a dt = , drv dt=(C) dS v dt=, t dva dt =(D)dr v dt =, d v a dt = 6.质量为m 的质点在xoy 平面内从A 点开始沿逆时针方向以速率0v 作匀速圆周运动,则经过12圆周后的质点动量的增量( )(A) 0 (B) 02mv j(C) 02mv j - (D) 02mv i三、计算题(5题共52分)1、 在一只半径为R 的半球形碗内,有一质量为m 的小球,当小球以角速度ωvA 在水平面内沿碗内壁作匀速圆周运动时,求它距碗底的高度h 。
中南大学物理化学英文试卷---○---○------○---○---S e a l e d u p l i n e …………University Physics Test paper of CSU(2010~2010)A solid non-conducting sphere of radius R has a non-uniform charge distribution of volumedensity s rRr r =, where s r is a constant and r is thedistance from the center of thesphere. So the total charge on the sphere is (A)343s R pr ;(B) 3s R pr (C) 2s R pr ; (D) 34s R pr . 2. (A) 0;(B)R I 2/0μ;(C)0/4I R m ; (D)R I /0μ.3.Two concentric thin metal shells, radii are 1R and 2R respectively. If the two shellscharged 1q and 2q and their potentials are 1U and 2U respectively. Now if we connect the two shells with conducting wire, their potential is:(A) 1U (B) 2U (C) 12U U + (D) 12()2U U +4.As shown in figure ,uniform magnetic field is confined in long cylindrical space .If0dBdt>,so the magnitude of the induced electric field of point p outside the cylinder E is:(A) 22R dB r dt × (B) 0 (C) 2r dB dt×5. The Maxwell equation which describes the variable electric field will produce magnetic field is(A) (B) (C) (D)6.of negative direction of y-axis ,if we know that the electric potentialdifference between a and b 0ab U >, so the material is (A) N type (B) P type (C) metal (D) not certain.7. Which of the following descriptions of wave function is right?(A) is the probability of finding the particle at position r;(B) is probability density of finding the particle at position r at time t;(C) is probability density of finding the particles at position r at time t; (D) is probability of finding the particles at position r at time t.8. If the quantum number n=1, which of the following quantum state is possible : (A) (1,1,0,1/2) (B) (1,1,0,0) (C) ( 1,0,0,-1/2) (D) (1,0,0,0)Two (4¢ in each problem): Write the right answer in blanks1. The maximum kinetic energy of an electron ejected from a sodium surface whose workfunction is 2.28 eV when illuminated by light of wavelength410nm is eV2. A circular coil of wire has a diameter of 5.0 cm and contains 25 loops, so the magneticmoment of the coil when it carries a current of 1.5 A is 2A m ×.3. If an electron that has velocity 66(2.010)(3.010)v ij =?moves through the magneticfield (0.03)(0.15)B i j =-, so the force on the electron is . 4. According to Born ’s statistical interpretation to wave function, the standard conditions of wavefunction are: (1)___________ ;(2) __________ ;(3) ___________ .5. A wire is formed into the shape of twohalf circles connected by equal-length straight sections as shown in figure .A current i flows in the circuit anticlockwise as shown ,the magnetic field at the center C is .6. Two long parallel wires, both of radius a and whose centers are a distance d apart, carry currentin opposite directions. Show that ,neglecting the flux(磁通) within the wires ,the inductance(电感)of unit length of a pair of wires is .7. The ground-state energy of electron is -13.6eV ,so the energy of the second excited statesis .),(t r ψ),(t r ψ2),(t r ψS VD dSdV r ? 蝌L S B E dl dS t ??- ?蝌0S B dS ?òL S D H dl J dS t 骣?÷?÷?+ ?÷÷??桫蝌R2),(t r ψThree(9¢): The plastic rod shown in figure has length L and a non-uniform linear charge density cxl=,where c is a positive constant .With V=0 at infinity, find the electric Potential(a)at point1p on the x axis, a distance d from one end and(b) point2p on the y axis ,a distance y from one end of the rod.Four(9¢):As shown in right figure ,an infinite length thin metal plate carries a current I which uniformly distributes in the plate , please work out the magnetic field produced by the current at point P.Five(11¢):Figure shows a rectangular loop of wire immersed in a non-uniform andvarying magnetic field that is perpendicular to and directed intothe page. The field magnitude is given by 22400B t x =, with B in Teslas, t in seconds and x in meters. The loop has width 0.3L m = and height0.2h m =.What are the magnitude and direction of the induced emf(感生电动势) around the loop at 10t s =?Six (11¢): The wave function of particles in one dimensional potential well withwidth a is ()sin()n x A x apy = (0)x a #,please work out the following problems:(1) Normalization constant A;(2) Where is the maximum probability of finding the particles when n=3?Appendix: answers for 0813-0815One: Select the right answer in the brackets (4¢in each problem)1 B2 C3 B4 A5 D6 A7 C8 C Two(4 in each blank): Write the right answer in blanks 10.75eV 2 20.36A m ×314(6.2410)N k -′4 (a) single-value; (b) continuous;(c) finite 501211()314I R R m ⅱ- 6 0lnd a L am p -= 7 1.51eV -Three (9¢):Solution: We select point o as the origin and select the element charge dq dx l =at thedistance x to the origin, so according to the definition of electric potential 2¢ (a): The electric potential at point 1p is10000(ln )4()4()4LLdqcxdx c d LU L d x d x d dpe pe pe +===-++蝌 3¢(b): The electric potential at point2p is200)44LL dqcU y r pe pe ===蝌 4¢ Four (9¢):Solution: We select the left side of the plate as the origin and select the element currentIdi dx a=(2¢)at the distance x to the origin ,according the magnetic field of the infinite long straight wire carrying current: 02()didB a d x m p =+- 3¢So: 000ln 22a I I dxa d B a a d x a dm m p p +==+-ò 2¢Direction: perpendicular the paper inward. 2¢Five (11¢):Solution: Because the magnitude of the magnetic fieldBis changing with the time , themagnetic flux Bfthrough the loop is also changing .so we can take thedifferential areadA hdx = (2¢)with its normal being parallel toB, and theflux through the loop is22400B B dA BdA Bhdx t x dx f ====蝌蝌2¢take this integration and inserting the integration limits 0x = and 0.3x m =get:0.322204000.72B t h x d x t f ==ò2¢, when0.2h m =,according toFarady law at any time :1.44Bd t dtf e == 2¢ For 10t s =,14.4V e = 2¢Direction: counterclockwise around the loop at this time. 1¢Six (11¢)Solution: (1) according to the normalization condition:222()sin1aa n x dx A xdx A a p y ==蝌 2¢So: A =2¢ (2) The probability density of finding the particles is:222()sin n x x a a p y =, the position of finding the maximum probability satisfies: 2222()()00d x d x and dt dty y =<, We get: 2sin0n x ap= 2¢ Therefore:23(0,1,2)x k k a pp ′== 6ax k = , 2¢We can get the position of maximum probability of finding the particles is:5,,626a a ax = 3¢。
Problem 1. Answers: 1. 216v i j =+; 8a j = ; 7.13︒.(cos a v av θ⋅= ) 2. 1/3(3/)f t v k = 3. a-e, b-d, c-f. 4. [d]: 222x y L +=, 0dx dy xy dt dt+= dx v dt =, B dy v dt =, 0B xv yv +=, cot B xv v v yθ== 5. (a)32(102)3t r i t t j =+-, (Answer)(b) 912r i j =+, (3)(0)343avg r r v i j -==+ , (Answer) (3)(0)343avg v v a i j -==- (Answer)(c) 92v i j =-2tan 9y x v v θ==-, 12.5θ=- (Answer)6. Solution: From the definition of acceleration for a straight line motiondva dt =,and the given condition a =-dv dt-=. Apply chain rule to d v /d t , the equation can be rewritten asd v d x d vv d x d t d x-== Separating the variables givesv k dx =- Take definite integration for both sides of the equation with initial conditions,we havexv d v k dx =-⎰⎰, or 3/2023x v k = (Answer)Problem 2. Answers:1. 13.0 m/s 2, 5.7m/s, 7.5 m/s 2,2.1)R .Solution: At initial momentwhen the ball is just kicked out:2ir va g ρ==, 2iv gρ=. In order the ball not to hit the rock,2i v R g ρ=≥,For the vertical motion:212gt R =, t i v t R -=1)R (Answer)3. d.4. d.5. Solution: at any moment the speed of the projectile isv =Tangential acceleration:2t dv a dt ==,Radial acceleration:r a ==,From 2r v a ρ=,we have the radius of curvature is given by2223/220()r v g t v a gv ρ+== (Answer)6. 86.7θ=Solution: sd sg gd v v v =+ sg dg v v =-3510/3600t a n17.360.8dg sgv v θ⨯=== 86.78642θ︒'==Problem 3. Answers : 1. Solution: 212cos cos v T T m Rθθ+=12sin sin T T mg θθ=+(a)21108N 2cos 2sin mv mgT R θθ=+=, (b) 2156N sin mgT T θ=-= 2. (a) Mg ,(b)3. d.4. e5. Solution: from the given condition ct i v v e -= and with 10.0m/s i v =, at 20 s,5.0m/s v =, we have (a)10.0347s -,With 40.0 s, we can get (b) 2.50 m/s,Solution: (c) From ct i v v e -=, we havect i dvcv e dt-=- Therefore a cv =-, (Answer)which means the acceleration of the boat is proportional to the speed at any time.6.Solution: From Newton ’s second law, we have2k m vm a -= By the definition of acceleration, this equation can be rewritten as2dvkmv m dt-=Separating the variables obtains2dvkdt v-=Take the definition integral with the initial conditions, we hve020v t v dvkdt v -=⎰⎰11kt v v -= Then 00/(1)v v ktv =+.(Answer)Fig. 3-1Problem 4.Answers: 1.(a) 21J, (b) cos θ=, θ =19.4︒ 2. 23(79)3F x y i x j =-- . 3. c. 4. d5. (a) 002()x x U F dr Ax Bx dx ==-+⎰⎰ =2323A Bx x -,(b) 51923A B U ∆=- (c) 0U K ∆+∆=, 19532B AK U ∆=-∆=-6. Solution: (a) In the process of the pendulum swinging down, only thegravity does work , mechanic energy is conserved:21(1cos ),2mgL mv θ-=When the sphere is released from a certain height, in order to make the ball will return to this height after the string strikes the peg:21()2mv mg L d ≤-, (1cos )()mgL mg L d θ-≤-cos L d θ≥. (Answer)Solution: (b) If the pendulum is to swing in a complete circle centered on the peg, at the top of the path, the tension T on the cord must not be zero.2v T mg m L d+=-,Because 0T ≥ So 2()v g L d ≥-From the conservation of mechanical energy, we have212()2m g L m v m g L d =+- Inserting 2()v g L d ≥-into above equation, obtains1()2()2mgL mg L d mg L d ≥-+- 35L d ≥ (Answer)Problem 5. Answers: 1.(a) 52104i j - 32()p Fdt ∆=⎰2.(a) 0.284, (b) 114.6 fJ, 45.4 fJ.Solution: (a) Momentum and kinetic energy are conserved: 0n c p p p =+ (1)2220222n c p p p m m M=+, 12M m = So, 22201212n cp p p =+ (2) From Eq.1, 0n c p p p =-, insert Eq.2222001212()c c p p p p =-+ 22200122412c c cp p p p p =-++ 202413c c p p p =,02413c p p =222001242()0.28412132c c p K M p K m===. (Answer) 0000.284n c K K K K K =-=-15114.610J 114.6fJ -=⨯= (Answer)1500.28445.410J 45.4fJ c K K -==⨯= (Answer)3. [a]. 12Fd K K ==,22121222p p m m =,12p p =4. [a]Solution: For m : in the elastic collision process,00()F t mv mv m v v ∆=--=-+,0()m v v F t+=-∆ in the inelastic collision: 00()F t mv mv m v v ''''∆=-=--,0()m v v F t '-'=-'∆ 00,()()t t v v v v ''∆>∆-<+ F F '∴>5. v ≥ Solution: /2mv MV mv =+, 2m V v M=2122M V M g l ≥, v ∴≥6. proof problemSolution: ()mv M m V =+, mV v m M=+212h g t =,d Vt ==v ∴=Problem 6. Answers: 1. 144 rad. Solution: 106t α=+, d dtωα=, 20(106)103t t dt t t ω=+=+⎰2103d t t dtθω==+, 4223400(103)(5)144rad t t dt t t θ∆=+=+=⎰(Answer)2. (a)22853I Md md =+,Solution:2221(2)2(2)3I md m d M d =++(b)212K I ω=22245()32Md md ω=+ 3. c. r F τ=⨯(4i 5j)=+⨯ (2i 3j)+ 2k =4. a.Solution: The initial angularacceleration of the rod and theinitial translational acceleration of the right end of the rod:I τα=, 2123L Mg ML α=, 32g L α=32t ga L α==5. 21.5 NSolution: For the flywheel:()u R R T T r I α-=212R I M R =, 21.67rad/s R α=, 135N u T = 21.5N T = (Answer)6.Solution: from the conservation of mechanical energy:222111sin 222mgd kd mv I θω+=+v R ω=,ω⇒=Fig. 6-2Fig. 6-4Fig.6-5Fig. 6-6Problem 7. Answers: 1.(a) 230L t k =- , 60dL tk dtτ==-Solution: (a)L r p =⨯ , 2(3i 5j)m r t t =+ , 2.0kg m =, (b) dLdtτ=.2. (a) Mvd , (b) 2v v '=, (c) 23Mv . Solution: (a) Angular momentum is conserved:22f i d dL L Mv Mv Mvd ==+=;(b) ,f i L L =24dMv Mvd '=2v v '= (c)2222211222243W K Mv Mv Mv Mv Mv '=∆=⨯-⨯=-= 3. d. 4. a5.(a) 222233ML ml v v ML ml -=-+,022603mlv ML ml ω=>+, (b)212I Mgh ω= Solution: (a) In the process of collision, angularmomentum and mechanical energy are conserved:201()3mv l mvl ML ω=+ (1)222201111()2223mv mv ML ω=+ Or 222201()3mv mv ML ω=+ 222201()()3m v v M L ω-= 22001()()()3m v v v v ML ω+-= (2)Form Eq.1, we have201()3v v ml ML ω-= (3)E q.(2)E q.(3): 0v v l ω+=(4)Fig. 7-2Fig. 7-5From Eq.(3), we have 2013v v ML mlω-= (5)Eq.(4) + Eq.(5) 20123v l ML mlωω=+22603mlv ML ml ω=>+ (Answer)Inserting ω into Eq.(4), obtains2202233ML ml v v ML ml -=-+ (Answer) Solution: (b) 212I Mgh ω=, 213I ML =22I h Mg ω==220226()3mlv L g ML ml=+6. Solution: (a) angular momentum isconserved221()2i mv d mR MR ω=+22202i mv dMR mRω=>+ (Answer)(b) Mechanical energy is not conservedbecause the clay and the solid cylinder undergo an inelastic collision. In this process, some kinetic energy must be lost.:2222212(2)i f m v d E I M m Rω==+ 22220112111/22f iI E d E R M mmv ω==<+, 0f E E <Problem 9. Answers : 1. (a) 3.07 MeV (Or: 6mc 2, 4.92⨯10-13 J ), (b) 0.986c . Solution: (a)22(1)5mc mc γ-=, 6γ=,For an electron , 20.511MeV mc = Total energy: 2 3.07MeV mc γ=Fig. 7-6Solution: (b)6=, 0.986v c =2. 2mc 2 = 2⨯0.511=1.02 MeV . (1.64⨯10-13 J )3. c.Solution:21/u v u u v c -'='-2220.750.7510.75/c c c c --=+0.96c =-4. dSolution: 2K mc =,,v c K →→∞.5. 1.63⨯103 MeV/c.Solution: 222mc mc γ=, 2γ=, v =2/p mv c γ===,For a proton, 27162191.6710910939MeV 1.610mc --⨯⨯⨯==⨯23/ 1.6310MeV/p c c =⨯ 6. (a) 5.37⨯10-11 J = 335 MeV (5.36⨯10-11 J) (b) 1.33⨯10-9 J = 8.31 GeV (1.33⨯10-9 J) Solution: W K =∆2222121(1)(1)()K mc mc mc γγγγ∆=---=-(a) 221()335MeV W mc γγ=-==;(b) 221()8.31GeV W mc γγ=-==7. Solution: 22222(),E p c mc =+ 2E mc γ= 224222m c p c m c γ∴=+, 2422242211/m c p c m c v c∴=+-,222424221()/1/p c m c m c v c∴=+-,224222241v m c c p c m c -=+,2242222242221v m c p c p c m c p m c=-=++v =Problem 10. Answers: 1. 1.2⨯1022 for 37︒C. Solution: pV RT ν=,56(761/760)1.0110500100.02mol 8.31(27337)pV RT ν-⨯⨯⨯===⨯+23220.02 6.0210 1.210A N N ν==⨯⨯=⨯2. 385 K, 7.97⨯10-21J, molar mass of the gas.Solution: pV RT ν=, 631.6107.010385K 3.58.31pV T R ν-⨯⨯⨯===⨯ 2321331.38103857.9710J 22K kT --==⨯⨯⨯=⨯v =M is the molar mass of the gas. 3. b.λ== 4. a.p v =5. (a) 2/3v 0, (b) N /3, (c) 1.22v 0, (d) 1.31v 0. Solution: (a)()1f v dv ∞=⎰,00112v a v a +=, 023a v =; (b) 02.001001.502()(2 1.5)233v v v NN Nf v dv N v v a Nv ==-=⋅=⎰ (c) 00022000011() 1.29v v v v av v vf v dv v dv vadv v v v ==+==⎰⎰⎰(d) 02222220()()()v v v v v v f v dv v f v dv v f v dv ==+⎰⎰⎰002220v v v avv dv v adv v =+⎰⎰4330000(8)43v a v v a v -=+20114()69v =+01.31rms v v = (Answer)6. Solution:(a) 5252310, 1.8101.3810400p p nkT n kT -====⨯⨯⨯.(b) 23262222 1.3810400 5.3110kg 456p p kT v m v --⨯⨯⨯====⨯,Molar mass: 23266.0210 5.311032.0g A N m -=⨯⨯⨯=, oxygen gas. (c) 30.96kg/m nm ρ==. (d)232553551.3810400 1.8102.510J/m .22kTn -=⨯⨯⨯⨯⨯=⨯Problem 8. Answers: 1. 0.92c L L =0.92v c == 2. (a) 2.2⨯10-6 s, (b) 653 m.Solution: Lt v∆=, 0t ∆=∆60 2.210s t -∆==⨯,00653m x v t ∆=∆=3. b. (the constancy of the speed of light)4. b. As the figure shows0010.25V AH V AH ==== 5. (a) L 0 = 17.4m , (b) θ = 3.3︒Solution:(a)0/cos30/x x l l l == 0sin30,y y l l l ==017.4m l == Solution: (b)000tan tan 30y xl l θ==0 3.3θ=6. (a) 2.50⨯108 m/s, (b) 4.97 m, (c) - 1.33⨯10-8 s. Solution: (a)From the given condition, 0x '∆=From the Lorentz transformation, ()0x x v t γ'∆=∆-∆=Fig. 8-58953 2.5010m/s (91)10x v t -∆-===⨯∆-⨯ Solution: (b) From the Lorentz transformation(),x x v t γ'=-89() 2.51010) 4.97m,RB R R x x x vt γ-''==-=-⨯⨯=Solution (c) From the Lorentz transformation2()vxt t c γ'=-, 82() 1.3310s R RR vx t t c γ-'=-=-⨯ 92() 4.9810s B BB vxt t cγ-'=-=-⨯. In S ', red flash occurs first. Problem 11. Answers: 1. (a) 3.5⨯103 J, (b) 2.5⨯103 J , (c) -1000 J.Solution: 3,778.31120 3.510J 22p m Q C T R T =∆=∆=⨯⨯=⨯3,558.31120 2.510J 22V m E C T R T ∆=∆=∆=⨯⨯=⨯Work done by the gas:1000J W Q E =-∆=Work done on the gas: 1000J W =- 2. 227K,Solutio: 111122TV T V γγ--=, 12112(),V T V T γ-= 121120.40.412300(),227K 22V T T T V T γ-==== 3. b . As the figure shows.4. e.Solution: For a free expansion:0,0,0E W Q ∆===, 1122pV p V =2112,V V p p >>5. Solution : (a) ,a a a c c c p V RT p V RT ==355(4252)105kJ 22c c a a V p V p V R E C T R -∆=∆==⨯-⨯⨯=-(b)Q E W =∆+, 31(25)2107kJ 2W =+⨯⨯= 572k J Q E W ∴=∆+=-+=. (c) 5kJ E ∆=-, 3521010kJ W =⨯⨯=5105k JQ E W ∴=∆+=-+=6. Solution: From the definition for molar specific heat at constant pressure, wehave(),p p dQC dT= From the first Law of thermal dynamics, we have()p V dQ dE dW C dT pdV =+=+, Here, V dE C dT = Combining theses equations, obtains()V p p C dT pdV dQC dT dT+== p V pdVC C dT=+,From the ideal gas law, for the constant pressure process with one mole of ideal gas, we havep d V R d T =Then p V RdTC C dT=+Therefore p V C C R =+Fig. 11-5Problem 12. Answer: 1. 3.28 J/KSolution: The entropy change of the Universe due to the energytransfer by radiation from the Sun to the Earth is331010 3.28J/K 5800290universe sun earthS S S -∆=∆+∆=+=. 2. 57.2 J/K.Solution: Suppose the process can be replaced by a reversible isothermalprocess, then 57.2J /K a i r l a k em g hS T +∆==. 3. d. 0gas enr S S S ∆=∆+∆≥4. c.Solution: free expansion is an irreversible process which occurs in an isolatedsystem. 0S ∆>5. (a) -0.390νR , (b) -0.545νR ,Solution: (a) 27325273185298ln 0.3902255VC dT S R R T ννν+-∆=-=-=-⎰ (b) 27325273187298ln 0.5452255p C dTS R R Tννν+-∆=-=-=-⎰6. (a) 4500 J, (b) - 4986 J, (c) 9486 JSolution: (a) dQdS T=dQ TdS =, Q TdS ==⎰The area under the T -S curve(b) (c)Problem 13. Answer: 1. 1.862. 1/3, 2/3. ,, .3. b.4. d.5. (a) 4.10⨯103 J, (b) 1.42⨯104 J, (c) 1.01⨯104 J, (d) 28.9% Solution: (a)(b) A → B:C → A:.(c) B → C: (d)(e) , the efficiency of the cycle is much lower than that of a Carnotengine operating between the same temperature extremes.6. Solution: (a) The work done by the gas from state a to c along abc is given byIn the constant volume process along b to c , W bc = 0.Therefore, (Answer)Solution: (b) the change in internal energy form state b to c is ,Using the ideal gas law to this constant volume process, obtainingFig. 12-6Fig. 13-5Then(Answer)From the definition of change in entropy,we haveUsing the first law of thermodynamics to this constant volume process with dW = 0, obtainingSubstituting this into the expression of entropy change, we have = (Answer)Solution: (c) Because both internal energy and entropy are state properties, for one complete cycle,(Answer)Problem 14. Answers: 1. 40.9 N/m. , 2. .Solution: For block B : ,For block P :If block B is no to slip , , , ,3. c. ,4. c. , ,, , .5. (a) x m = 2.00 cm, (b) T = 4.00 s,(c) , (d) , (e) , (f) .6. proof problem.Fig. 13-6Fig. 14-2Fig. 14-5Solution: (a) the net force acting onthe ball is given by(b) Comparing the force acting on the ball to the Hooke ’s law ,obtains, the ball moves in SHM, with angular frequency (Answer)Problem 15. Answers: 1. 3.5 s.Solution: For a torsion pendulum, ,, , 2. 0.944 kg m 2.Solution: For a physical pendulum, , here his the distancebetween the com and the rotation axis.3. d. , *4. a.Solution: when or resonance occurs, here f is the naturefrequency of the system. The oscillation of the system is due tothe spring property of the diving board, so it can be treated as a torsion pendulum: , , 5. . Solution: Method one:Method two:,The mechanical energy is conserved: , , 6.Solution: Method one , ,Fig. 14-6Fig. 15-1For small angle, such as , ,Method twoFor small angle, such as , ,,Problem 16. Answers: 1. 0.319 m.Solution: , the speed of the wave:2. (a) 0.25m,(b) 40.0 rad/s,(c) 0.300 rad/m, (d) 20.9 m,(e) 133m/s, (f) positive x direction. Solution: Standard SH wave function:, ,3. d. Standard traveling wave function:4. c. ,5. (a) 31.4 rad/s, (b) 314 rad/m, (c) , (d) 3.77 m/s, (e)118 m/s 2. Solution: (a) ; (b)(c)(d)(e) 6.Solution: wave speed for a transverse wave in a string is given by ,The time interval required for a transversewave to travel from one end of thestring to the other isFig. 15-6Fig. 16-5Fig. 16-6(Answer)Problem 17. Answers: 1.(a) 2.0 Hz, (b) 3.38 m/s.Solution:(a)Hz(b) , v d = 3.38 m/s*2.1029 m/s, 58.3 s.Solution: (a) From the definition of March number,,(b) In the time interval t, the sound travels adistance h, ,3. d.4. c.5. (a) 308 m/s, (a)163 N, (b) 660Hz.Solution: (a) For the fundamental mode,(b) the wave speed:163 N.(c) ,.6.(a) As the figure shows(b) 2 cm /s,(c) , with y and x in cm and t in s.(d) 2.5 cm/sSolution:From the curve:, ,,(a)Transverse velocity, .At t = 0,(b)(c)(d)Fig. 17-2Problem 18. Answers: 1. 1500 nm, 5Solution:, ,;2. Because the half-wave loss in the reflection,at point O is dark, interference pattern onlylocates above O, and reverse the positions ofdark and bright fringes.3. c. ,4. d.,5. 632 nmSolution:For m = 1,(Answer)6.Solution: ,,Problem 19.Answers: 1. 0.50 cm,2. 0.221 mm.Fig. 18-1Fig. 18-23. d.Solution:4. d.Solution: For , optical path length differencecorresponds to the second minimum. 5. 8.7 μm6. 1.32Solution : For m = 10, ,When a liquid is introduced into theapparatus,(Answer)Problem 20. Answers: 1. 5λ/2, 5Solution: In single slit diffraction, bright fringes correspond to the path lengthdifference for the two rays emitted from the top and the bottom of the slit , for the second order bright fringe, , , , 5 half-wave zones.2. 650 (red) , 430 (blue),In a diffraction of single slit, half angular width for the bright fringe , at A, smaller wavelength iszero intensity, 650 nm is non-zero intensity. At B, 430 nm is non-zero intensity. 3. b.“No diffraction minima are observed ” means the first minimum appears at infinity Or ,If , , the first minimum will appear ontheFig. 19-4Fig. 19-5Fig. 20-5viewingscreen.4. b.,5. 25 cmSolution:For the third-order minimum: ,The position of the third-order minimum:6. 0.284 mSolution:Problem 21.Answers:1. 7Solution:For the grating diffraction,brightlines satisfy the relation:For a single-slit diffraction,the minima satisfy therelation:Therefore, the missing orders occur for,Within the central envelop of each single-slit diffraction pattern, m = 4 is a missing order. There are 7 orders can be observed within the central envelop: .2. (a)0.109nm, (b) four.Solution: for x-ray diffraction from a crystal, maxima satisfy the relation:(a) ,(b)Letm can only take integer number: 4 (Answer)3. c. , , , for the same m and , ,the spread of each spectral order increases.4. a.;(out of the wavelength range of the light source); (within the wavelength range of the light source)(out of the wavelength range of the light source)5. (a) 3.53⨯103, (b)11= 5⨯2+1Solution: (a) ,(b)m can only take integer number: 5There are 11 maxima for the diffraction pattern:6.(a) Let m and m+1 be the orders for the two adjacent maxima. Thus we have.Subtraction of the first equation from the second leads to.Solving for d yields. (Answer)(b) The fourth-order maxima are missing. So the ratio of grating spacing to slitwidth satisfies.When the ratio is 4, the slit width is smallest. Thus. (Answer)(c) The diffraction maxima of gratings are determined by.When , the order m reaches its maximum that is given by.Since the diffracted light with diffracted angle of 900 cannot reach the screenand the fourth-order and eighth-order maxima are missing. The orders ofmaxima produced are. (Answer)Problem 22.Answers: 1. ,Solution: during the rotation of the polarizing filter,the maximum transmitted intensity,the minimum transmitted intensityfor the unpolarized lightfor the polarized light2. 60.5︒,3. b.4. a.,5.0.375Solution: ,6.54.7︒, 63.4︒, 71.6︒.Solution:(a) ;(b)(c)。