2019温州大学建筑工程学院硕士研究生拟录取名单
- 格式:doc
- 大小:166.00 KB
- 文档页数:3
2019温州大学教师教育学院硕士研究生拟录取名单87 103199330113950 倪晓红教师教育学院 040101 教育学原理 339 85.9 76.9 2 学硕 全日制88 103519210700054刘萍 教师教育学院040102课程与教学论 338 70.4 68.7 1 学硕 全日制89 106359305041983刘加 教师教育学院 040102课程与教学论 365 88.0 80.5 2 学硕 全日制90 106359305044677 段江汇 教师教育学院 040102课程与教学论 375 84.7 79.9 2 学硕 全日制91 106359305050031 高玲丹教师教育学院 040102 课程与教学论366 80.4 76.8 2 学硕 全日制92 105749000001696许晶 教师教育学院040102课程与教学论 355 80.9 76.0 2 学硕 全日制93 105749000001757黄敏 教师教育学院 040102课程与教学论 367 76.5 75.0 2 学硕 全日制94 105749000001763 史荣荣 教师教育学院 040102课程与教学论 352 78.3 74.4 2 学硕 全日制95 100029116725528 马海翩教师教育学院 040102 课程与教学论 336 80.5 73.8 2 学硕 全日制96 103199341116358叶蕾 教师教育学院 040102 课程与教学论 359 74.3 73.0 2 学硕 全日制97 106359305050453 陈俊廷 教师教育学院 040103学前教育学 375 87.0 81.0 2 学硕 全日制98 101419511110764 袁土淋 教师教育学院 040104高等教育学 362 90.6 81.5 2 学硕 全日制99 105429432302481 汪梓慧 教师教育学院 040104高等教育学 377 86.3 80.8 2 学硕 全日制100 102859210403228 熊顺顺教师教育学院 040104 高等教育学379 83.5 79.7 2 学硕 全日制101 102859210403212薛敏 教师教育学院040104高等教育学372 82.2 78.3 2 学硕 全日制102 105749000002047 陈教师教育学040105 教育技术350 82.8 76.4 2 学硕 全日美华 院 学 制103 104759078401008 王若凡 教师教育学院 040105教育技术学 347 80.1 74.8 2 学硕 全日制104 103199330514318 尹以晴 教师教育学院 040105教育技术学 338 80.8 74.2 2 学硕 全日制105 105119120414210 张银荣 教师教育学院 040105教育技术学 340 79.1 73.6 2 学硕 全日制106 102959212001038 朱雪源 教师教育学院 045114现代教育技术 339 87.2 77.5 2 专硕 全日制107 110659850003389 郭府宁 教师教育学院 045114现代教育技术 333 88.2 77.4 2 专硕 全日制108 103459210003053 蒋淑琪 教师教育学院 045114现代教育技术 336 86.1 76.7 2 专硕 全日制109 102699112010032 姚懿容教师教育学院 045114 现代教育技术331 87.0 76.6 2 专硕 全日制110 104239371310616李娟 教师教育学院045114现代教育技术 346 82.2 75.7 2 专硕 全日制111 105429414315062于澎 教师教育学院 045114现代教育技术 348 80.3 75.0 2 专硕 全日制112 103459210005370 徐佳艳 教师教育学院 045114现代教育技术 353 78.4 74.5 2 专硕 全日制113 104239361015153 郑璐囡 教师教育学院 045114现代教育技术 339 80.7 74.3 2 专硕 全日制114 105119120414096 周迎鸽教师教育学院 045114 现代教育技术 330 79.6 72.8 2 专硕 全日制115 105119120414017黄莹 教师教育学院 045114现代教育技术339 77.0 72.4 2 专硕 全日制116 103519212100013 陈锡成教师教育学院 045115 小学教育 364 81.4 76.2 1 专硕 全日制117 103519212100008李金教师教育学院045115 小学教育 360 81.3 75.7 1 专硕 全日制伟 118 103519212100017 金聪聪 教师教育学院 045115 小学教育 376 74.0 74.7 1 专硕 全日制119 103519212100009 傅超楠教师教育学院 045115 小学教育 331 75.3 69.8 1 专硕 全日制120 103519212100071陈然 教师教育学院045115 小学教育 329 73.0 68.7 1 专硕 全日制121 103519212100070朱娟 教师教育学院 045115 小学教育 329 64.8 65.4 1 专硕 全日制122 103199342917020 章丽君 教师教育学院 045115 小学教育 387 82.5 80.0 2 专硕 全日制123 106359305059558 王沛涵 教师教育学院 045115 小学教育 377 79.5 77.5 2 专硕 全日制124 103199322012433 徐宸蔚 教师教育学院 045115 小学教育 378 78.6 77.1 2 专硕 全日制125 103519212200026 李孟瑶 教师教育学院 045116心理健康教育 358 80.8 75.3 1 专硕 全日制126 103519212200009 余明新 教师教育学院 045116心理健康教育 355 75.6 72.8 1 专硕 全日制127 105749000002913 陈兰兰教师教育学院 045116 心理健康教育 367 84.5 79.0 2 专硕 全日制128 100289321400003屈燕 教师教育学院 045116心理健康教育363 75.8 74.2 2 专硕 全日制129 103519212300006 李倩倩教师教育学院 045118 学前教育 347 81.1 74.1 1 专硕 全日制130 103199460524175陆露 教师教育学院 045118 学前教育 349 84.5 77.2 2 专硕 全日制131 103199321410586 孙倪明教师教育学院 045118 学前教育 346 83.6 76.4 2 专硕 全日制。
姓名类别考生编号录取成绩复试成绩专业名称专业代码学习方式初试成绩定向委培单位非定向10422951010687583.6994.97130100全日制362艺术学理论李恬语非定向10033918322601081.6292.83130100全日制352艺术学理论郭梓锋非定向10422951010688679.7780.14130100全日制397艺术学理论于晓雪非定向10422951010687479.1988.18130100全日制351艺术学理论栾立君非定向10422910422040391.2391.23130100全日制0推荐免试艺术学理论魏铭豪非定向10422910422040288.8388.83130100全日制推荐免试 辅导员保留入学资格1年0艺术学理论李艳秋非定向10422951010684480.4390.25130200全日制353音乐与舞蹈学张晓晴非定向10422951010685476.2486.89130200全日制328音乐与舞蹈学陈天怡非定向10422951091324883.8492.28130400全日制377美术学张瑜非定向10422910200040487.0087.00130400全日制0推荐免试美术学孔泽宁非定向10422910422040560.0060.00130400全日制0推荐免试美术学李雅茹非定向10422951010693076.4687.73130500全日制326设计学王堃燕非定向10422951010683777.6381.06135101全日制371音乐孙东旭非定向10422951010681374.2479.89135101全日制343音乐刘健鹏非定向10422910422040895.0095.00135101全日制推荐免试音乐刘天煜姓名类别考生编号录取成绩复试成绩专业名称专业代码学习方式初试成绩定向委培单位非定向10422910422040993.0093.00135101全日制0推荐免试音乐卢文萍非定向10422910422040692.1492.14135101全日制0推荐免试音乐李敬宜非定向10422910422041292.0092.00135101全日制0推荐免试音乐王宇辰非定向10422910422041192.0092.00135101全日制0推荐免试音乐王茜非定向10422910422041389.0089.00135101全日制0推荐免试音乐赵廷雯非定向10422910422041087.0087.00135101全日制0推荐免试音乐孙铭旋非定向10422910422041490.7890.78135101全日制推荐免试 研究生支教团保留入学资格1年0音乐赵雅琦非定向10422910422040790.0090.00135101全日制推荐免试 研究生支教团保留入学资格1年0音乐李静非定向10422951010683674.0382.27135101非全日制329音乐姚孜怿非定向10422951010682873.4478.49135101非全日制342音乐刘金鹏非定向10422951091317973.1379.67135101非全日制333音乐马溪蔓非定向10422951010682072.7679.51135101非全日制330音乐皮筱冬非定向10422951091330987.4693.52135107全日制407美术公妍非定向10422951091331583.9493.08135107全日制374美术张雨婷非定向10422951010692283.6594.30135107全日制365美术王菲姓名类别考生编号录取成绩复试成绩专业名称专业代码学习方式初试成绩定向委培单位非定向10422951091327783.1391.05135107全日制376美术闫金芝非定向10422951091329382.6890.95135107全日制372美术张苏非定向10355928002074681.3392.45135107全日制351美术樊海平非定向10422910422041589.0089.00135107全日制0推荐免试美术陈欣茹非定向10422951010689682.0291.23135107非全日制364美术潘濛非定向10422951010690181.8487.88135107非全日制379美术陈雨杉非定向10422951010690080.5288.83135107非全日制361美术常小涵非定向10422951010689978.3788.13135107非全日制343美术付景菲非定向10422951010690277.7289.43135107非全日制330美术张涵非定向10422951010692077.6190.42135107非全日制324美术刘兴璞非定向10422951091328876.5383.27135107非全日制349美术韩睿非定向10422951091326366.2661.52135107非全日制355美术宋家瑞非定向10422951091334166.1260.03135107非全日制361美术王子怡非定向10422951010694285.9989.97135108全日制410艺术设计孙嘉怡非定向10422951010696981.1588.30135108全日制370艺术设计汪凌蔚姓名类别考生编号录取成绩复试成绩专业名称专业代码学习方式初试成绩定向委培单位非定向10422951091338980.2090.40135108全日制350艺术设计吕文佳非定向10422951091338479.7388.45135108全日制355艺术设计魏亦汝非定向10422951010693875.4378.65135108非全日制361艺术设计邵轶非定向10422951010696071.7479.28135108非全日制321艺术设计倪志韧。
2019温州大学化学与材料工程学院硕士研究生拟录取名单396 103519211300002曾杰 化学与材料工程学院 045106 学科教学(化学) 365 83.8 77.3 1 专硕 全日制397 103519211300001 吕思思 化学与材料工程学院 045106学科教学(化学) 331 76.3 70.2 1 专硕 全日制398 103519213300013 郝文欣 化学与材料工程学院 070300 化学369 88.6 79.7 1 学硕 全日制399 103519213300045 温伟芬 化学与材料工程学院 070300 化学310 91.4 73.8 1 学硕 全日制400 103519213300047 伍佳琦 化学与材料工程学院 070300 化学335 79.3 71.9 1 学硕 全日制401 103519213300019 赖士链 化学与材料工程学院 070300 化学327 81.3 71.8 1 学硕 全日制402 103519213300054 张江丹 化学与材料工程学院 070300 化学311 81.6 70.0 1 学硕 全日制403 103519213300025 东洋洋 化学与材料工程学院 070300 化学314 77.2 68.6 1 学硕 全日制404 103519213300005 金玉威 化学与材料工程学院 070300 化学293 81.0 67.6 1 学硕 全日制405 103519213300034 申阳阳 化学与材料工程学院 070300 化学301 76.7 66.8 1 学硕 全日制406 102859211513835 陈乐鹏 化学与材料工程学院 070300 化学343 89.6 79.1 2 学硕 全日制407 102859211513838 武京杰 化学与材料工程学院 070300 化学324 91.2 78.0 2 学硕 全日制408 102859211514326 朱惠伶化学与材料工程学院 070300 化学 329 89.9 77.9 2 学硕 全日制409 105599210011158 陈化学与材料070300 化学349 85.4 77.6 2 学硕 全日凤桂工程学院 制410 102469210010895曾鸽 化学与材料工程学院 070300 化学 319 90.9 77.4 2 学硕 全日制411 105619200007598 蔡芳芳 化学与材料工程学院 070300 化学338 86.9 77.3 2 学硕 全日制412 102809210014381 刘路瑶化学与材料工程学院 070300 化学 343 85.8 77.2 2 学硕 全日制413 105429414510383林倩 化学与材料工程学院 070300 化学 352 83.2 76.8 2 学硕 全日制414 102469210010885 沈晓钦 化学与材料工程学院 070300 化学317 89.7 76.6 2 学硕 全日制415 102859211513855 卢立国 化学与材料工程学院 070300 化学348 83.3 76.5 2 学硕 全日制416 102859211514144 宋文祥 化学与材料工程学院 070300 化学316 88.9 76.0 2 学硕 全日制417 104599411370766 步亚楠 化学与材料工程学院 070300 化学316 88.7 76.0 2 学硕 全日制418 102519210006474 魏琳莎 化学与材料工程学院 070300 化学333 85.1 75.9 2 学硕 全日制419 102809210019912 周帅龙 化学与材料工程学院 070300 化学345 82.1 75.6 2 学硕 全日制420 102519210006480 吴肖阳 化学与材料工程学院 070300 化学351 80.3 75.3 2 学硕 全日制421 102859211513837 刘晓霞 化学与材料工程学院 070300 化学318 86.7 75.2 2 学硕 全日制422 104869306024208 刘晓庆化学与材料工程学院 070300 化学 346 81.1 75.2 2 学硕 全日制423 105429142010543王丹 化学与材料工程学院 070300 化学 335 83.2 75.1 2 学硕 全日制424 105589360121272李金化学与材料工程学院070300 化学329 84.1 75.0 2 学硕 全日制承425 102859211513842黄淇 化学与材料工程学院 070300 化学 325 84.7 74.8 2 学硕 全日制426 105909876503715 谭诗仪 化学与材料工程学院 070300 化学327 84.2 74.8 2 学硕 全日制427 102809210014011 郭文婷化学与材料工程学院 070300 化学 313 85.5 74.1 2 学硕 全日制428 102009211408236林森 化学与材料工程学院 070300 化学 331 82.0 74.1 2 学硕 全日制429 105329340205617 曹雯静 化学与材料工程学院 070300 化学307 86.6 74.0 2 学硕 全日制430 105329440405808 李文艳化学与材料工程学院 070300 化学 324 82.9 73.9 2 学硕 全日制431 102909210410097朱红 化学与材料工程学院 070300 化学 334 80.8 73.8 2 学硕 全日制432 102999211610091 牛丽娟化学与材料工程学院 070300 化学 343 79.0 73.8 2 学硕 全日制433 103589210005037武翔 化学与材料工程学院 070300 化学 349 77.7 73.8 2 学硕 全日制434 102909210406745 陈雨柔 化学与材料工程学院 070300 化学330 81.4 73.7 2 学硕 全日制435 107309021002480 张珠珠化学与材料工程学院 070300 化学 307 84.9 73.2 2 学硕 全日制436 105909876507351陈莹 化学与材料工程学院 070300 化学 321 82.1 73.2 2 学硕 全日制437 102009211408228 侯沁伶 化学与材料工程学院 070300 化学331 80.3 73.2 2 学硕 全日制438 105599210010451 易康艳化学与材料工程学院 070300 化学 338 78.6 73.1 2 学硕 全日制439 102519210009821陈雅 化学与材料工程学院 070300 化学 340 77.7 72.8 2 学硕 全日制440 105329141205561 郭文改化学与材料工程学院 070300 化学315 82.2 72.6 2 学硕 全日制441 105599210004411 钟崇媛 化学与材料工程学院 070300 化学327 79.8 72.6 2 学硕 全日制442 103359000925777 何清运 化学与材料工程学院 070300 化学338 77.5 72.6 2 学硕 全日制443 105429340410560 宋焕焕 化学与材料工程学院 070300 化学340 77.1 72.6 2 学硕 全日制444 101839213310256 史彩红 化学与材料工程学院 070300 化学323 80.3 72.5 2 学硕 全日制445 105909876508330 王静静 化学与材料工程学院 070300 化学327 79.4 72.4 2 学硕 全日制446 102859211513812 周志明 化学与材料工程学院 070300 化学335 77.8 72.4 2 学硕 全日制447 105429141910225 闫耀红 化学与材料工程学院 070300 化学360 72.7 72.4 2 学硕 全日制448 102859211615333 张红杰 化学与材料工程学院 070300 化学304 83.3 72.1 2 学硕 全日制449 103849211310899 郭园园 化学与材料工程学院 070300 化学306 82.9 72.1 2 学硕 全日制450 103199340415503 郭长莲 化学与材料工程学院 070300 化学300 83.7 71.9 2 学硕 全日制451 102519210001039 陈天煜 化学与材料工程学院 070300 化学316 80.6 71.9 2 学硕 全日制452 102519210007056 刘继超化学与材料工程学院 070300 化学 294 84.8 71.8 2 学硕 全日制453 100559333312249周刚 化学与材料工程学院 070300 化学 300 83.5 71.7 2 学硕 全日制454 105339620612954 孙丽娟 化学与材料工程学院 070300 化学300 83.2 71.6 2 学硕 全日制455 102809210018150 赵亚恒化学与材料工程学院 070300 化学326 77.7 71.5 2 学硕 全日制456 101839213307010王伟 化学与材料工程学院 070300 化学 317 79.0 71.2 2 学硕 全日制457 101839213310030 张金蓉 化学与材料工程学院 070300 化学331 75.5 70.8 2 学硕 全日制458 106169070300098 朱莉莉 化学与材料工程学院 070300 化学312 78.6 70.5 2 学硕 全日制459 101839219509325 魏玉竹化学与材料工程学院 070300 化学 319 77.1 70.5 2 学硕 全日制460 106979411411074罗云 化学与材料工程学院 070300 化学 307 78.8 70.1 2 学硕 全日制461 105589360121541 梁成龙 化学与材料工程学院 070300 化学312 77.5 70.0 2 学硕 全日制462 102809210013780 奚云红 化学与材料工程学院 070300 化学314 77.2 70.0 2 学硕 全日制463 105599210010449 梁月缘化学与材料工程学院 070300 化学 325 74.9 70.0 2 学硕 全日制464 106979611603702王倩 化学与材料工程学院 070300 化学 296 79.0 69.1 2 学硕 全日制465 101419330907220 郑健宏 化学与材料工程学院 080500材料科学与工程 311 88.3 75.2 2 学硕 全日制466 102859211514679 梅恩柔化学与材料工程学院 080500 材料科学与工程 322 85.2 74.8 2 学硕 全日制467 102469210011742王祺 化学与材料工程学院 080500 材料科学与工程 332 79.4 72.9 2 学硕 全日制468 103379210007069 周中超化学与材料工程学院 080500 材料科学与工程 308 82.6 72.1 2 学硕 全日制469 105619200006487未涛 化学与材料工程学院 080500 材料科学与工程 331 77.8 72.0 2 学硕 全日制470 102559210004397 许宇婷 化学与材料工程学院 080500材料科学与工程 281 87.6 71.9 2 学硕 全日制471 103379210000155 辛艳花化学与材料工程学院 080500材料科学与工程288 84.8 71.2 2 学硕 全日制472 103379210000319 张潇栋化学与材料工程学院 080500 材料科学与工程 278 85.3 70.4 2 学硕 全日制473 102889500009287童瑶 化学与材料工程学院 080500材料科学与工程 276 83.8 69.5 2 学硕 全日制474 102859211514703杨斌 化学与材料工程学院 080500材料科学与工程 280 82.0 69.0 2 学硕 全日制475 103379210010719 周宇峰 化学与材料工程学院 080500材料科学与工程 271 82.0 68.1 2 学硕 全日制476 102859211615546 王连生 化学与材料工程学院 080500材料科学与工程 308 72.4 67.0 2 学硕 全日制477 100559333314250 张俊雯 化学与材料工程学院 080500材料科学与工程 274 77.1 66.0 2 学硕 全日制478 102809210014618 豆振军 化学与材料工程学院 080500材料科学与工程 284 74.6 65.7 2 学硕 全日制479 102809210012379 谷斌斌化学与材料工程学院 080500材料科学与工程278 72.6 64.1 2 学硕 全日制。
2019温州大学商学院硕士研究生拟录取名单序号准考证号 姓名拟录取学院 拟录取专业代码拟录取专业名称 初试总分 复试总分 总分 志愿 培养类型 学习方式备注1 103519210100021 夏禹 商学院020200 应用经济学 414 88.1 84.9 1 学硕 全日制2 103519210100013 张静茹 商学院020200 应用经济学 353 88.7 77.8 1 学硕 全日制3 103519210100017 翁羽 商学院020200 应用经济学 352 87.6 77.3 1 学硕 全日制4 102729000008244 王钰洁 商学院020200 应用经济学384 90.3 83.6 2 学硕 全日制5 104869105012665 虞涛 商学院020200应用经济学360 92.0 82.0 2 学硕 全日制6 116469210003669 王杰 商学院020200应用经济学 364 91.2 82.0 2 学硕 全日制7 102959210907190 朱小莉 商学院020200应用经济学 371 89.1 81.7 2 学硕 全日制8 102729000007466 陆加平 商学院020200应用经济学 361 89.4 80.8 2 学硕 全日制9 105599210002283 陈慧倩 商学院020200应用经济学 364 88.4 80.6 2 学硕 全日制10 102859210200723 姚易轩 商学院020200应用经济学 353 90.2 80.4 2 学硕 全日制11 105209666616824 孙汉文 商学院020200应用经济学 353 89.8 80.2 2 学硕 全日制12 116469210004531 程倩萍 商学院020200应用经济学 353 89.5 80.1 2 学硕 全日制13 100349228000403 梁远香 商学院020200应用经济学 356 88.8 80.0 2 学硕 全日制14 105599210001017 陈淑娴商学院020200应用经济学347 90.4 79.9 2 学硕 全日制15 105599210002104 王海胜 商学院020200应用经济学 345 90.4 79.7 2 学硕 全日制16 103359000901262 吴韶华 商学院020200应用经济学347 89.7 79.6 2 学硕 全日制17 103519210200009 陈雨航 商学院025100 金融371 85.6 78.8 1 专硕 全日制18 103519210200018 金伟男 商学院025100 金融 350 86.1 76.4 1 专硕 全日制19 102859210201763 黄洁 商学院025100 金融 367 90.5 82.0 2 专硕 全日制20 102809210012437 梁城超 商学院025100 金融359 91.2 81.5 2 专硕 全日制21 101839212510721 李泽浩 商学院025100 金融 362 90.6 81.5 2 专硕 全日制22 103199422622966 邱恒 商学院025100 金融 379 86.1 80.9 2 专硕 全日制23 102809210010473 郭显珏 商学院025100 金融 379 85.7 80.8 2 专硕 全日制24 103579210000248 周涛 商学院025100 金融 373 86.8 80.7 2 专硕 全日制25 101409002002324 雷伟悦 商学院025100 金融374 86.0 80.4 2 专硕 全日制26 103359000915840 虞曦凯 商学院025100 金融 381 84.2 80.2 2 专硕 全日制27 102729000008123 薛健商学院025100 金融371 85.9 80.0 2 专硕 全日制。
2019温州大学机电工程学院硕士研究生拟录取名单575 103519213700002 韩正朝 机电工程学院 080200 机械工程 325 79.2 70.7 1 学硕 全日制576 103519213700005 林树峰机电工程学院 080200 机械工程 280 71.9 62.3 1 学硕 全日制577 103379210004806周平 机电工程学院080200 机械工程 329 83.7 74.7 2 学硕 全日制578 106149080208349刘高 机电工程学院080200 机械工程 334 81.4 74.1 2 学硕 全日制579 102559210002646陈聪 机电工程学院 080200 机械工程 301 85.2 72.7 2 学硕 全日制580 102889500013784 周黔生 机电工程学院 080200 机械工程 289 85.5 71.7 2 学硕 全日制581 107109330206760 张慧霞 机电工程学院 080200 机械工程 315 79.9 71.4 2 学硕 全日制582 102869210906670 张东相 机电工程学院 080200 机械工程 274 87.7 71.2 2 学硕 全日制583 102889500009260 梁宇辰 机电工程学院 080200 机械工程 280 85.2 70.6 2 学硕 全日制584 103379210004798 郑国晓 机电工程学院 080200 机械工程 290 82.6 70.3 2 学硕 全日制585 102809210012371 陈建龙 机电工程学院 080200 机械工程 309 77.7 69.8 2 学硕 全日制586 102179000030026 李江涛 机电工程学院 080200 机械工程 319 75.7 69.8 2 学硕 全日制587 106119007080298 张世福 机电工程学院 080200 机械工程 308 76.4 69.0 2 学硕 全日制588 104979400339581 魏乂兼机电工程学院 080200 机械工程 289 80.1 68.9 2 学硕 全日制589 103379210006243胡扬 机电工程学院080200 机械工程 273 82.8 68.7 2 学硕 全日制590 101129000001412梁龙 机电工程学院 080200 机械工程 307 76.0 68.7 2 学硕 全日制591 102879210208337 刘子豪 机电工程学院 080200 机械工程 283 80.1 68.4 2 学硕 全日制592 102169001020165 史忠桧 机电工程学院 080200 机械工程 286 79.5 68.4 2 学硕 全日制593 103359000924457 张宇星机电工程学院 080200 机械工程 302 76.1 68.3 2 学硕 全日制594 103379210004804郑杰 机电工程学院 080200 机械工程 284 78.2 67.5 2 学硕 全日制595 103379210006254 洪天野机电工程学院 080200 机械工程 276 79.5 67.4 2 学硕 全日制596 107109512010225张宁 机电工程学院 080200 机械工程 285 76.3 66.6 2 学硕 全日制597 102139020000875 杨仙娥 机电工程学院 080200 机械工程 287 75.5 66.4 2 学硕 全日制598 102959210810249 孙锦上机电工程学院 080200 机械工程 301 72.0 66.1 2 学硕 全日制599 103379210000910曹鑫 机电工程学院 080200 机械工程 302 71.6 66.0 2 学硕 全日制600 103379210007030 黄旭晨 机电工程学院 080200 机械工程 311 69.9 66.0 2 学硕 全日制601 106139080200207 管舒晨机电工程学院 080200 机械工程 298 72.3 65.9 2 学硕 全日制602 102889500013968李强 机电工程学院080200 机械工程 289 73.7 65.8 2 学硕 全日制603 102529210006674和猷 机电工程学院 080200 机械工程 270 76.9 65.4 2 学硕 全日制604 118459010000094 黄鹏奕 机电工程学院 080200 机械工程 292 72.4 65.4 2 学硕 全日制605 100809012020337 戴中达机电工程学院 080200 机械工程 304 69.9 65.4 2 学硕 全日制606 103379210010432 周机电工程学080200 机械工程 312 68.0 65.2 2 学硕 全日小棚院 制607 102529210001831郭闯 机电工程学院080200 机械工程 272 72.5 63.5 2 学硕 全日制608 101129000001782刘雨 机电工程学院 080200 机械工程 293 67.7 63.2 2 学硕 全日制609 102959210810856 姚旭凯 机电工程学院 080200 机械工程 288 68.1 62.9 2 学硕 全日制610 103519214100024 施锦川 机电工程学院 085201 机械工程 387 90.3 82.5 1 专硕 全日制611 103519214100034 沈纯纯 机电工程学院 085201 机械工程 379 90.9 81.8 1 专硕 全日制612 103519214100036 徐培淦 机电工程学院 085201 机械工程 378 82.1 78.2 1 专硕 全日制613 103519214100016 蒋志航 机电工程学院 085201 机械工程 375 81.1 77.4 1 专硕 全日制614 103519214100028 章国可 机电工程学院 085201 机械工程 361 85.0 77.3 1 专硕 全日制615 103519214100030 杨家轮 机电工程学院 085201 机械工程 353 86.4 76.9 1 专硕 全日制616 103519214100019 潘俊珂 机电工程学院 085201 机械工程 346 87.0 76.3 1 专硕 全日制617 103519214100008 代金坤 机电工程学院 085201 机械工程 357 80.7 75.1 1 专硕 全日制618 103519214100017 吴林健机电工程学院 085201 机械工程 342 84.7 74.9 1 专硕 全日制619 103519214100043王辉 机电工程学院 085201 机械工程 316 91.7 74.6 1 专硕 全日制620 103519214100012 黄锦森机电工程学院 085201 机械工程 345 80.8 73.7 1 专硕 全日制621 103519214100002朱高机电工程学院085201 机械工程 333 83.1 73.2 1 专硕 全日制亮 622 103519214100027 袁开宇 机电工程学院 085201 机械工程 310 88.4 72.5 1 专硕 全日制623 103519214100020 林晋豪 机电工程学院 085201 机械工程 322 82.7 71.7 1 专硕 全日制624 103519214100042 郭建春 机电工程学院 085201 机械工程 313 81.7 70.3 1 专硕 全日制625 103519214100031 张博弘 机电工程学院 085201 机械工程 330 72.7 68.7 1 专硕 全日制626 103519214100053 刘兵杰 机电工程学院 085201 机械工程 290 80.9 67.2 1 专硕 全日制627 103519214100014 陈铁然 机电工程学院 085201 机械工程 298 74.0 65.4 1 专硕 全日制628 103519214100011 汪健坤机电工程学院 085201 机械工程 289 69.8 62.6 1 专硕 全日制629 103519214100009魏国 机电工程学院 085201 机械工程 294 67.3 62.2 1 专硕 全日制630 103519214100010 王杨波 机电工程学院 085201 机械工程 278 68.7 60.8 1 专硕 全日制631 102999210407131 娄云霞机电工程学院 085201 机械工程 338 91.8 79.7 2 专硕 全日制632 104869208020520付威 机电工程学院085201 机械工程 365 85.2 79.1 2 专硕 全日制633 100049131005398曾麟 机电工程学院085201 机械工程 339 86.0 76.9 2 专硕 全日制634 102879210505127王伟 机电工程学院 085201 机械工程 335 86.3 76.7 2 专硕 全日制635 103849213310210 闫国柱 机电工程学院 085201 机械工程 330 86.8 76.4 2 专硕 全日制636 105909876507812 刘浩存机电工程学院 085201 机械工程 339 84.6 76.2 2 专硕 全日制637 102879210506639 赵机电工程学085201 机械工程 330 84.8 75.4 2 专硕 全日坚强 院 制 638 102889500009687 李佳乐机电工程学院 085201 机械工程 348 80.5 75.0 2 专硕 全日制。
2019温州大学马克思主义学院硕士研究生拟录取名单60 103519210500021 王燕霞 马克思主义学院 030500马克思主义理论 380 85.6 79.8 1 学硕 全日制61 103519210500015 张肖飞 马克思主义学院 030500马克思主义理论 382 84.0 79.4 1 学硕 全日制62 103519210500011 石晓萌马克思主义学院 030500 马克思主义理论 351 85.0 76.1 1 学硕 全日制63 103519210500001李婕 马克思主义学院 030500 马克思主义理论 336 87.1 75.2 1 学硕 全日制64 103519210500040 朱闻惠马克思主义学院 030500 马克思主义理论354 77.1 73.3 1 学硕 全日制65 103519210500007杨涵 马克思主义学院030500马克思主义理论 331 80.5 71.9 1 学硕 全日制66 103519210500018王通 马克思主义学院 030500马克思主义理论 349 70.9 70.2 1 学硕 全日制67 105119103401637 陈锡兰马克思主义学院 030500 马克思主义理论 369 92.4 83.1 2 学硕 全日制68 102699158010058张慧 马克思主义学院 030500 马克思主义理论 355 93.1 82.1 2 学硕 全日制69 102859213024957 郭程程 马克思主义学院 030500马克思主义理论 364 89.9 81.4 2 学硕 全日制70 105119101400263 张剑宇马克思主义学院 030500 马克思主义理论336 92.7 80.0 2 学硕 全日制71 102769212705367刘姣 马克思主义学院030500马克思主义理论 350 88.3 79.2 2 学硕 全日制72 104979400345179李云 马克思主义学院 030500马克思主义理论 348 88.6 79.1 2 学硕 全日制73 104919302106435 陈小平 马克思主义学院 030500马克思主义理论 343 87.7 78.2 2 学硕 全日制74 105209666618766 麻瑞玲马克思主义学院 030500马克思主义理论356 85.2 78.2 2 学硕 全日制75 103009211701032 房欣苒马克思主义学院 030500 马克思主义理论 326 90.4 77.8 2 学硕 全日制76 102869620218885张凯 马克思主义学院 030500 马克思主义理论 343 86.0 77.3 2 学硕 全日制77 102859213024950 郑惠珊马克思主义学院 030500 马克思主义理论 342 85.6 77.0 2 学硕 全日制78 105339431812051叶文 马克思主义学院 030500 马克思主义理论 331 87.5 76.9 2 学硕 全日制79 101409008007125 陈渝匀 马克思主义学院 030500马克思主义理论 356 82.3 76.8 2 学硕 全日制80 103359000913964 李昱丰 马克思主义学院 030500马克思主义理论 333 86.5 76.6 2 学硕 全日制81 102949210012136 郭苗苗 马克思主义学院 030500马克思主义理论 336 85.6 76.4 2 学硕 全日制82 103359000919946 张子怡马克思主义学院 030500 马克思主义理论 339 84.3 76.1 2 学硕 全日制83 101459000009783张文 马克思主义学院 030500 马克思主义理论 335 84.7 75.9 2 学硕 全日制84 102769212905418 邢介磊马克思主义学院 030500 马克思主义理论 337 84.0 75.7 2 学硕 全日制85 105429350506733曹汀 马克思主义学院 030500 马克思主义理论 334 84.2 75.5 2 学硕 全日制86 106529305000038 王愉静马克思主义学院 030500马克思主义理论340 82.4 75.2 2 学硕 全日制。
**大学2019年专业学位硕士研究生招生专业目录专业代码、名称 0451 教育研究方向培养 类型04 环境管理与信息技 术拟招 生人 数05 环境新材料及应用 技术初试科目复试科目备注********学科教学(生 物)00 不区分研究方向专业 硕士①101 思想政治理论▲同等学历加试:8②204 英语二▲ ③333 教育综合※生物学教学论①普通动物学 ②植物学(上、下)④918 普通生物学"1055 药学学制 2.5 年******** 药学01 基因工程药物开发①101 思想政治理论▲利用专业 硕士30②204 英语二▲ ③349 药学综合(300 分)※二选一: 1.生物化学实验 2.药理学同等学历加试: ①基础生物学实验 ②基础化学实验3年02 天然活性物质开发 利用专业代码、名称研究方向培养 类型拟招 生人 数03 微生物药物开发利 用初试科目复试科目备注学制012 机电工程学院(********)0852 工程01 产品/生产线数字 化设计与制造系统优 化机械工程复试: (任选一门)02 生产过程在线诊断①101 思想政治理论▲ 机械设计或机械********机械工程/传感监控与可靠性技术专业 硕士 6503 激光加工与质量检②204 英语二▲ ③302 数学二▲ ④828 材料力学Ⅰ制造技术基础或 电子技术或工程 材料与成型技术同等学力加试: ①工程图学 ②电工技术3年测调控技术或 829 机械原理基础04 工业机器人与自动 化智能化生产系统及 装备技术专业代码、名称研究方向培养 类型05 汽车及其零部件设 计制造新技术拟招 生人 数初试科目复试科目备注学制013 建筑工程学院(0577—********)0852 工程01 岩土工程 ********建筑与土木工程专业 硕士 55①101 思想政治理论▲ ②204 英语二▲ ③302 数学二▲ ④919 材料力学Ⅱ《土木工程综 同等学力加试:合》①工程地质(含《土力学与 ②结构力学3年基础工程》、《混凝土结构》专业代码、名称研究方向培养 类型拟招 生人 数02 结构工程初试科目复试科目内容) 初试已涉及上述 科目的,复试考 《材料力学》备注学制014 国际教育学院(0577—********)0453 汉语国际教育 ******** 汉语国际教育 01 应用语言学专业 硕士①101 思想政治理论▲②201 英语一▲或 2024俄语▲或 203 日语▲ ③354 汉语基础※ ④445 汉语国际教育基现代汉语与对外 汉语教学同等学历加试: ①古代汉语 ②中国文学史础※●代表二级学科招生;2.5 年※代表全国统一规定代码的自命题科目; ★代表全国统一规定代码的招生单位联合命题;▲代表全国统考或全国联考科目;其他无标注的科目为自命题科目; 2019 年实际招生人数以教育部正式下达的文件为准。
2019温州大学人文学院硕士研究生拟录取名单160 103519211000007 鲁云菲 人文学院045103学科教学(语文) 373 89.3 80.5 1 专硕 全日制161 103519211000002 高倩倩 人文学院045103学科教学(语文) 350 88.4 77.4 1 专硕 全日制162 103519211000035 张婷婷 人文学院045103学科教学(语文) 344 90.0 77.3 1 专硕 全日制163 103519211000019 林经论 人文学院045103学科教学(语文) 341 86.8 75.6 1 专硕 全日制164 103519211500017 陈玉梅 人文学院045108学科教学(英语) 404 81.1 80.9 1 专硕 全日制165 103519211500021 张佳琪 人文学院045108学科教学(英语) 399 81.9 80.6 1 专硕 全日制166 103519211500043 林思燕 人文学院045108学科教学(英语) 387 84.4 80.2 1 专硕 全日制167 103519211500008 胡佳佳 人文学院045108学科教学(英语) 378 85.7 79.6 1 专硕 全日制168 103519211500053 杨雅亿 人文学院045108学科教学(英语) 374 83.0 78.1 1 专硕 全日制169 103519211500001 李雨诗 人文学院045108学科教学(英语) 373 78.2 76.0 1 专硕 全日制170 103519211500048 沈雪芳 人文学院045108学科教学(英语) 365 77.5 74.8 1 专硕 全日制171 103519211500025 王燕生 人文学院045108 学科教学(英语) 351 79.4 73.9 1 专硕 全日制172 103519211600017 韩旭 人文学院045109学科教学(历史) 360 88.8 78.7 1 专硕 全日制173 103519211600016 罗徽人文学院045109 学科教学(历史) 372 82.5 77.6 1 专硕 全日制174 103519211600008 单人文学院045109 学科教学364 82.2 76.6 1 专硕 全日若麟 (历史)制175 105119109407437 陈玲 人文学院045109学科教学(历史) 356 89.0 80.1 2 专硕 全日制176 105119109407345 程宁 人文学院045109 学科教学(历史) 369 86.4 80.1 2 专硕 全日制177 105119109407302 何怡玲 人文学院045109学科教学(历史) 349 88.7 79.3 2 专硕 全日制178 105749000019085 胡秋怡 人文学院045109学科教学(历史) 350 88.2 79.1 2 专硕 全日制179 105429501714846 伍丽琼 人文学院045109 学科教学(历史) 361 86.0 79.1 2 专硕 全日制180 105749000018949 林妍 人文学院045109 学科教学(历史) 346 88.6 78.9 2 专硕 全日制181 105119109407288 毕珍燕 人文学院045109 学科教学(历史) 349 87.4 78.6 2 专硕 全日制182 105119109407340 刘雯 人文学院045109 学科教学(历史) 362 84.0 78.2 2 专硕 全日制183 105119109407270 郎雅丽 人文学院045109学科教学(历史) 367 81.5 77.5 2 专硕 全日制184 105749000019113 林漫珊 人文学院045109学科教学(历史) 344 82.1 75.4 2 专硕 全日制185 100289500200009 刘泊霖 人文学院045109学科教学(历史) 333 83.5 75.1 2 专硕 全日制186 103519212600013 卢孔鑫 人文学院050101 文艺学361 88.0 78.5 1 学硕 全日制187 105599210013755 温彩凡 人文学院050101 文艺学373 94.6 84.6 2 学硕 全日制188 102859210606658 陈姗姗 人文学院050101 文艺学 378 93.2 84.4 2 学硕 全日制189 102859210606624 郭敏人文学院050101 文艺学 366 91.7 82.5 2 学硕 全日制190 103519212600018 王人文学院050102 中国古代369 89.6 80.1 1 学硕 全日子樟 文学 制191 103519212600039 顾嘉欣 人文学院050102 中国古代文学 359 87.8 78.2 1 学硕 全日制192 102859210606638 黄敏 人文学院050102 中国古代文学 382 88.7 82.5 2 学硕 全日制193 100559333310946 赵荣华 人文学院050102中国古代文学 356 91.9 81.6 2 学硕 全日制194 105429441508577 伍伟涛 人文学院050102中国古代文学 360 87.9 80.0 2 学硕 全日制195 102859210606599 牛晓玲 人文学院050102中国古代文学 368 86.1 79.9 2 学硕 全日制196 102859210606855 佟子璇 人文学院050102中国古代文学 362 86.9 79.7 2 学硕 全日制197 102859210606905 杨高阳 人文学院050102中国古代文学 371 85.2 79.7 2 学硕 全日制198 102699101040106 饶力钧 人文学院050102中国古代文学 366 85.6 79.4 2 学硕 全日制199 103579210006347 孙若琪 人文学院050102中国古代文学 356 87.1 79.2 2 学硕 全日制200 103519212600027 吴延安 人文学院050103中国现当代文学 400 86.6 82.6 1 学硕 全日制201 103359000916114 王红霞 人文学院050103中国现当代文学 372 92.6 83.5 2 学硕 全日制202 103359000916111 李扬帆 人文学院050103中国现当代文学 377 89.9 82.7 2 学硕 全日制203 102699101050174 杨成前 人文学院050103 中国现当代文学369 89.1 81.5 2 学硕 全日制204 103459210007523 曹颜人文学院050103中国现当代文学373 82.0 78.3 2 学硕 全日制205 101409009007949 何人文学院050103 中国现当388 77.9 77.8 2 学硕 全日琦 代文学制206 100329050106062 范纾宇 人文学院050103中国现当代文学369 81.2 77.5 2 学硕 全日制207 103519212600020 董昊明 人文学院050104 语言学及应用语言学391 77.2 77.8 1 学硕 全日制208 103519212600067 王媛媛 人文学院050104 语言学及应用语言学368 75.3 74.3 1 学硕 全日制209 104149050102039 陈雅利 人文学院050104 语言学及应用语言学362 78.9 75.6 2 学硕 全日制210 104869111015566 张族龙 人文学院050104 语言学及应用语言学 360 79.1 75.5 2 学硕 全日制211 103519212600002 张二苗 人文学院050105汉语言文字学 403 74.4 78.1 1 学硕 全日制212 103199513324754 温杨超 人文学院050105汉语言文字学 377 84.5 79.9 2 学硕 全日制213 103199620225511 郝煜煊 人文学院050105汉语言文字学 382 82.3 79.3 2 学硕 全日制214 105429360107990 杨俐茹 人文学院050105汉语言文字学 364 84.1 78.4 2 学硕 全日制215 105429431407864 王绣棠 人文学院050105汉语言文字学 356 82.9 77.1 2 学硕 全日制216 102859210606595 陈珺璐 人文学院050106中国古典文献学 369 86.8 80.3 2 学硕 全日制217 103949210072871 卢亚倩 人文学院050106 中国古典文献学377 85.2 80.3 2 学硕 全日制218 102859210606470 袁梦 人文学院050106中国古典文献学 383 83.0 79.8 2 学硕 全日制219 102809210008618 朱雯 人文学院050106中国古典文献学 356 87.3 79.2 2 学硕 全日制220 102699101040230 张慧人文学院050106中国古典文献学369 83.8 78.8 2 学硕 全日制璎 221 103359000916118 陈奕汝 人文学院050107 比较文学与世界文学373 93.8 84.2 2 学硕 全日制222 105429431507738 曹灵婕 人文学院050107 比较文学与世界文学376 92.9 84.1 2 学硕 全日制223 100279218100929 宋天若 人文学院050107 比较文学与世界文学375 93.0 84.0 2 学硕 全日制224 100329050108027 龚林 人文学院050107 比较文学与世界文学 357 94.3 82.8 2 学硕 全日制225 103519212700006 范佩宏 人文学院0501Z1文化创意学 377 89.0 80.8 1 学硕 全日制226 103199370218831 崔梦鸽 人文学院0501Z1文化创意学 362 93.9 83.1 2 学硕 全日制227 102699101050109 李夏豪 人文学院0501Z1文化创意学 355 90.2 80.6 2 学硕 全日制228 102809210015822 侯墨晨 人文学院0501Z1文化创意学 371 87.0 80.6 2 学硕 全日制229 103519212800005 韩丽蓉 人文学院055200新闻与传播 400 87.6 83.0 1 专硕 全日制230 103519212800009 邢国英 人文学院055200新闻与传播 395 84.1 81.0 1 专硕 全日制231 103519212800020 吴笑鸣 人文学院055200新闻与传播 369 90.6 80.5 1 专硕 全日制232 103519212800028 许沛文 人文学院055200新闻与传播 373 85.4 78.9 1 专硕 全日制233 103519212800003 袁小雨 人文学院055200新闻与传播 356 84.5 76.5 1 专硕 全日制234 106359309119802 姜磊珏人文学院055200新闻与传播377 91.4 83.4 2 专硕 全日制235 102809210012015 蔡维雅 人文学院055200新闻与传播 365 90.3 81.7 2 专硕 全日制236 103359000917752 郑雅璐 人文学院055200新闻与传播368 88.4 81.0 2 专硕 全日制237 107189141908391 李林霞 人文学院060200 中国史356 86.7 79.0 2 学硕 全日制238 105599210018671 亢梓璇 人文学院060200 中国史 343 88.3 78.5 2 学硕 全日制239 107189414513347 张雪 人文学院060200 中国史 353 85.0 77.8 2 学硕 全日制240 104599410060297 尚璐 人文学院060200 中国史 358 81.6 76.6 2 学硕 全日制241 102809210020865 李邹强 人文学院060200 中国史 360 78.8 75.4 2 学硕 全日制242 101839219209876 范瑶 人文学院060200 中国史 362 78.1 75.2 2 学硕 全日制243 106109060220308 梁晋山 人文学院060200 中国史 336 83.1 75.1 2 学硕 全日制244 100019000210034 于跃 人文学院060200 中国史 343 81.0 74.8 2 学硕 全日制245 102859210910141 董春晶 人文学院060200 中国史364 76.7 74.8 2 学硕 全日制246 100759064000141 刘芳芳 人文学院060200 中国史334 81.8 74.3 2 学硕 全日制247 106109060220009 杨三长 人文学院060200 中国史353 77.1 73.8 2 学硕 全日制248 104459690009290 苗泽辉 人文学院060200 中国史 357 76.2 73.8 2 学硕 全日制249 103519213000018 张迪 人文学院0602Z1 民俗学与历史文化 377 83.3 78.6 1 学硕 全日制250 103519213000013 曾越洋人文学院0602Z1民俗学与历史文化 333 81.1 72.4 1 学硕 全日制251 104229510909795 崔何 人文学院0602Z1 民俗学与历史文化 382 88.4 82.4 2 学硕 全日制252 104229510105372 丛晓欢人文学院0602Z1民俗学与历史文化 363 89.2 80.9 2 学硕 全日制。
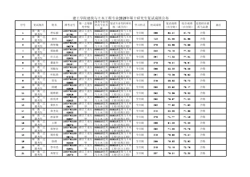
2019温州大学建筑工程学院硕士研究生拟录取名单
639 103519214200058 金
洲
洲 建筑工程学
院 085213
建筑与土木工程 380 94.1 83.2 1 专硕 全日
制
640 103519214200054 应
秉
哲
建筑工程学
院 085213 建筑与土木工程 378 84.6 79.2 1 专硕 全日
制
641 103519214200079
戴鸣 建筑工程学
院 085213 建筑与土木工程 380 83.7 79.1 1 专硕 全日
制
642 103519214200012 陈
建
鹏 建筑工程学
院 085213
建筑与土木工程 377 84.4 79.0 1 专硕 全日
制
643 103519214200020 吕
金
晶 建筑工程学
院 085213
建筑与土木工程 375 83.9 78.6 1 专硕 全日
制
644 103519214200035 苏
文
祥
建筑工程学
院 085213 建筑与土木工程 368 84.5 78.0 1 专硕 全日
制
645 103519214200082
孙龙 建筑工程学
院 085213 建筑与土木工程 371 81.8 77.2 1 专硕 全日
制
646 103519214200045 俞
宝
江
建筑工程学
院 085213 建筑与土木工程 357 85.1 76.9 1 专硕 全日
制
647 103519214200010
沈颜 建筑工程学
院 085213 建筑与土木工程 342 88.7 76.5 1 专硕 全日
制
648 103519214200037 邢
子
君 建筑工程学
院 085213
建筑与土木工程 353 84.8 76.3 1 专硕 全日
制
649 103519214200053 刘
毅
杰 建筑工程学
院 085213
建筑与土木工程 340 88.5 76.2 1 专硕 全日
制
650 103519214200059 余
忆
彬 建筑工程学
院 085213
建筑与土木工程 353 84.7 76.2 1 专硕 全日
制
651 103519214200086 林
香
行
建筑工程学
院 085213 建筑与土木工程 345 86.4 76.0 1 专硕 全日
制
652 103519214200034
施旷 建筑工程学
院 085213 建筑与土木工程 346 86.1 76.0 1 专硕 全日
制
653 103519214200017 王
林
伟
建筑工程学
院 085213
建筑与土木工程
361 79.6 75.2 1 专硕 全日
制
654 103519214200018 章
伟
凯 建筑工程学
院 085213
建筑与土木工程 355 81.2 75.1 1 专硕 全日
制
655 103519214200070 林
志
豪
建筑工程学
院 085213 建筑与土木工程 359 78.0 74.3 1 专硕 全日
制
656 103519214200048
杨啸 建筑工程学
院 085213 建筑与土木工程 368 75.1 74.2 1 专硕 全日
制
657 103519214200080 张
浩
枫 建筑工程学
院 085213
建筑与土木工程 328 83.8 72.9 1 专硕 全日
制
658 103519214200056 张
伟
杰 建筑工程学
院 085213
建筑与土木工程 367 71.0 72.4 1 专硕 全日
制
659 103519214200077 苟
兰
荣 建筑工程学
院 085213
建筑与土木工程 307 82.2 69.7 1 专硕 全日
制
660 103519214200061 李
坤
梁
建筑工程学
院 085213 建筑与土木工程 296 85.2 69.6 1 专硕 全日
制
661 103519214200030
钱豪 建筑工程学
院 085213 建筑与土木工程 345 70.0 69.4 1 专硕 全日
制
662 103519214200029 师
开
喜
建筑工程学
院 085213 建筑与土木工程 319 77.3 69.2 1 专硕 全日
制
663 103519214200081
张峰 建筑工程学
院 085213 建筑与土木工程 328 74.1 69.0 1 专硕 全日
制
664 103519214200069 顾
雯
浩
建筑工程学
院 085213 建筑与土木工程 328 73.2 68.6 1 专硕 全日
制
665 103519214200040
杨磊 建筑工程学
院 085213 建筑与土木工程 305 79.8 68.5 1 专硕 全日
制
666 103519214200087 吴
萍
萍 建筑工程学
院 085213
建筑与土木工程 322 74.3 68.4 1 专硕 全日
制
667 103519214200021 邬
伟
吉 建筑工程学
院 085213
建筑与土木工程 336 69.6 68.2 1 专硕 全日
制
668 103519214200019 黄
云
腾
建筑工程学
院 085213 建筑与土木工程 301 80.0 68.1 1 专硕 全日
制
669 103519214200013
杨郡建筑工程学
院
085213
建筑与土木工程
316 75.2 68.0 1 专硕 全日
制
好 670 103519214200016 林
一
苇 建筑工程学
院 085213
建筑与土木工程 325 71.2 67.5 1 专硕 全日
制
671 103519214200033 葛
雪
艳 建筑工程学
院 085213
建筑与土木工程 320 72.3 67.3 1 专硕 全日
制
672 103519214200057 顾
震
麟 建筑工程学
院 085213
建筑与土木工程 304 74.3 66.2 1 专硕 全日
制
673 103519214200052 叶
思
成
建筑工程学
院 085213 建筑与土木工程
282 78.1 65.1 1 专硕 全日
制
674 103519214200032
李军 建筑工程学
院
085213
建筑与土木工程 308 63.3 62.3 1 专硕 全日
制
675 103519214200001
颜玥 建筑工程学
院
085213
建筑与土
木工程 288 63.6 60.0 1 专硕 全日
制
676 104879000133608
杨斌 建筑工程学
院
085213
建筑与土
木工程 396 84.8 82.0 2 专硕 全日
制
677 105369360802643
谭弘 建筑工程学
院 085213
建筑与土
木工程 349 91.5 80.7 2 专硕 全日
制
678 106119516080531 秦
祥
振 建筑工程学
院 085213
建筑与土木工程 330 90.9 78.4 2 专硕 全日
制
679 106139085202703 王
志
杉 建筑工程学
院 085213
建筑与土木工程 346 85.4 77.3 2 专硕 全日
制
680 102949210007103 吴
秀
梁
建筑工程学
院 085213 建筑与土木工程 321 86.0 75.1 2 专硕 全日
制
681 110789085213636
杨华 建筑工程学
院
085213
建筑与土木工程
344 78.9 73.8 2 专硕 全日
制。