管理数学基础结课作业
- 格式:docx
- 大小:141.36 KB
- 文档页数:4
管理数学习题二1.用随机变量来描述掷一枚骰子的试验结果,并写出它的分布律。
解:设随机变量X 为掷一枚骰子出现的结果,则X=n (n=1,2,…,6),即X 仅取1~6六个自然数2.某试验成功的概率为p ,X 代表第二次成功之前试验失败的次数,写出X 的分布律。
3 4.产品有一、二、三等品和废品四种,一、二、三等品率和废品率分别为55%、25%、19%、1%,任取一件产品检验其质量等级,用随机变量X 表示检验结果,并写出其分布律和分布函数。
解:设随机变量X 取1,2,3,4四个值分别表示出现一、二、三等品和废品四种情况,则⎪⎪⎪⎩⎪⎪⎪⎨⎧≤<≤<≤<≤<=xx x x x x F 4,143,99.032,8.021,55.01,0)(x<2表示出现二等品以上(不含二等品)产品,x<3表示出现三等品以上(不含三等品)产品,x<4表示出现次品以上(不含次品)产品。
5.设某种试验成功的概率为0.7,现独立地进行10次这样的试验。
问是否可以用一个服从二项分布的随机变量来描述这10次试验中成功的次数?如何描述?请写出它的分布以及分布的数学期望和标准差。
答:可以描述。
即设随机变量X 为试验成功的次数,则nn n n n n n n C C p p C n X P )(3.03.07.0)1()(37101010101010=⨯⨯=-==-- (n=1,2, (10)E(X)=Np=10⨯0.7=7D(X)=Np(1-p)=10⨯0.7⨯0.3=2.16.如果你是一个投资咨询公司的雇员,你告诉你的客户,根据历史数据分析结果,企业A的平均投资回报比企业B 的高,但是其标准差也比企业 B 的大。
你应该如何回答客户提出的如下问题:(1) 是否意味着企业A 的投资回报肯定会比企业B 的高?为什么? (2) 是否意味着客户应该为企业A 而不是企业B 投资?为什么? 答:(1)从长期投资来讲企业A 肯定比企业B 的投资回报高。
管理数学(1) 涉及章节:第一章1.设自变量{}4,3,2,1∈x ,判断下列数学结构哪些是函数?哪些不是函数?为什么?(1)11204321:-↓↓↓↓f ;答:是,因为对任意x ∈{1,2,3,4}按规则f 有惟一的y 与之对应;(2)11114321:↓↓↓↓ϕ;答:是,因为对任意x ∈{1,2,3,4}按规则ϕ有惟一的y 与之对应.(3)4103214321:↓↓↓↓↓y ;答:不是.因为对x = 1 ∈{1,2,3,4}有2=y 与4=y 两个值与之对应.(4)3214321:↓↓↓h . . 答:不是.因为对4=x ∈{1,2,3,4}没有y 值与之对应.2. 一位旅客住在旅馆里,图1—5描述了他的一次行动,请你根据图形给纵坐标赋予某一个物理量后,再叙述他的这次行动.你能给图1—5标上具体的数值,精确描述这位旅客的这次行动并用一个函数解析式表达出来吗?解:设纵坐标y 为离开旅馆的距离,时间为t ,则图1—5可描述为:此旅客离开旅馆出外办事,一件事办完后,又回到旅馆,休息一段时间然后再离开旅馆. 标明具体数据如下图所示,设距离y 的单位为 km ,时间t 的单位为h ,则这位旅客的这次行动可描 述为:他以2 km/h 的速度出外办事行走1h 到达办事 处,到达办事处,用1h 办完一件事,以同样的速度 回到旅馆休息1h ,又以同样的速度离开旅馆.行动用函数解析式表达如下:⎪⎪⎪⎩⎪⎪⎪⎨⎧>-≤<≤<+-≤<≤≤=.4,82,43,0,32,62,21,2,10,2t t t t t t t t y3. 设)(x f 的定义域为)1,0(,求)(tan x f 的定义域. 解:令x u tan =, 则)(u f 的定义域为)1,0(∈u∴)1,0(tan ∈x ,∴x ∈(k π, k π+4π), k ∈Z ,∴ )(tan x f 的定义域为 x ∈(k π, k π+4π), k ∈Z .4. 设⎩⎨⎧><+=,0,,0,1)(2x x x x x f 画出)(x f 的图形,求)(lim 0x f x -→及)(lim 0x f x +→并问)(lim 0x f x →是否存在.解:)(x f 的图像如下:)(l i m 0x f x -→=)1(lim 2+-→x x =1, )(lim 0x f x +→=x x +→0lim =0, )(lim 0x f x -→≠)(lim 0x f x +→. ∴ )(lim 0x f x →不存在.5. 求下列极限:(1)123lim 21-+-→x x x x , (2)652134lim 2434-++-∞→x x x x x , 解:原式=1)1)(2(lim 1---→x x x x 解: 原式=424652134lim xx x x x -++-∞→ =)2(lim 1-→x x =2.= 1-.(3)xx x -+-→222lim 2, (4)330sin tan lim x x x →,解:原式=)22)(2()22)(22(lim2++-+++-→x x x x x 解:0→x 时33~tan x x ,=221lim2++→x x 33~sin x x ,=41. ∴原式=330lim x x x →=1lim 0→x =1.(5)2)1(lim 20-+→x x x , (6))100sin (lim +∞→xxx ,解:令u =2x , 解:原式=100lim sin lim∞→∞→+x x xx 则当0→x 时 0→u , =0 + 100∴原式=uu u 10)1(lim +→= e . = 100.(7) xxx 2tan lim0→.解: 当0→x 时x x 2~2tan ,∴原式=x xx 2lim 0→=21lim 0→x =21.6.用洛必达法则求下列极限:(1)11lim 21--→x x x ,解:11lim 21--→x x x =)1(lim 1+→x x =2,(2)xx x sin lim1→,解:xxx sin lim 0→=x x cos lim 0→=1,(3)()πππ--→x x x sin lim, 解:()ππsi n l i mπ--→x x x =()1πcos lim π-→x x =1,(4)xx xx x x x --+-→4240sin 23lim . 解:x x x x x x x --+-→4240sin 23lim =14cos 264lim 330--+-→x x x x x = 1012--=1-.。
F(x)= < 管理数学I习题二 1. 用随机变量来描述掷一枚骰子的试验结果,并写出它的分布律。
解:令X 为掷一枚骰子的试验结果,则X 的取值为1, 2, 3, 4, 5, 6o 并且X 取其中任 一值的概率都是2. 某试验成功的概率为p , X 代表第二次成功之前试验失败的次数,写出X 的分布律。
答4. 产品有一、二、三等品和废品四种,一、二、三等品率和废品率分别为55%、25%、19%、 1%,任取一件产品检验其质量等级,用随机变量X 表示检验结果,并写出其分布律和 分布函数。
答:X分布函数为:0, x <1 0.55, 1< x <2 0.8, 2 < x < 3 0.99, 3 < x < 4 1, 4<.r5. 设某种试验成功的概率为0.7,现独立地进行10次这样的试验。
问是否可以用一个服从 二项分布的随机变量来描述这10次试验中成功的次数?如何描述?请写出它的分布以 及分布的数学期望和标准差。
答:本题中实验的结果只有两种,成功,不成功,符合Bernoulli 实验的特征。
令X 为10次实验 中成功的次数,显然X 的取值范围就是0, 1, 2 10,而且X 取k 的概率为:P (x = k )= c3(i_p )z其中k 为0-10间的自然数。
显然可以用服从二项分布的随机变量来描述这10次实验中 成功次数。
具体分布就是p (x = *) = G :0.7*0.3"数学期望 E(X) = n*p = 10*0. 7 = 7标准差b =血p(l-p) = 710x0.7x(1-0.7) = VH = 1.45 6. 如果你是一个投资咨询公司的雇员,你告诉你的客户,根据历史数据分析结果,企业A 的平均投资回报比企业B的高,但是其标准差也比企业B的大。
你应该如何回答客户提出的如下问题:(1)是否意味着企业A的投资回报肯定会比企业B的高?为什么?(2)是否意味着客户应该为企业A而不是企业B投资?为什么?答:(1)平均投资回报反映的是长期的平均结果。
揭阳电大管理学基础科(专科)综合作业(三)年级_________ 专业________ 学号____________ 姓名_____________ 评分____________一、单项选择题1. 企业米用大批量生产,需要高度集权,组织结构的设计应米用()0A. 机械式结构 B .有机式结构C. 复杂式结构 D .简单式结构2. 以下组织结构形式中,()最适用于组织部门间的横向协作和攻关项目。
A. 职能制结构 B . 事业部制结构C. 矩阵制结构 D . 直线职能制结构3. 在管理学中,组织的静态方面含义就是()0A. 人事关系 B .组织结构 C .组织目标 D .责权利关系4. 责任、权力、利益三者之间不可分割,必须疋协调的、平衡的和统的。
这就疋组织结构设计的()原则。
A. 分工与协作 B . 责权利对等C. 分级管理 D . 弹性结构5•根据每个人的能力大小安排合适的岗位。
这就是人员配备的()原则。
A.因人设职 B .任人唯贤C•量才使用 D .因事择人6.组织结构设计必须与()相匹配。
A.管理理念 B .组织目标C•组织结构 D .战略计划7.当领导者面对一个非处理不可的事情时,不直接处理,而是先搁一搁,去处理其他问题。
这种调适人际关系的方法就是()0A.不为法 B .转移法 C .缓冲法D .糊涂法8.领导的实质在于影响。
构成领导者非权力性影响力的因素包括()oA.品德、学识、能力、情感 B .品德、学识、能力、资历C.品德、学识、资历、情感 D .品德、威信、能力、情感9.根据赫塞一布兰查德提出的情境领导理论,在下属虽然有积极性,但缺乏足够的技能的情况下,应采用的领导风格是()oA.高工作一一低关系 B •高工作一一高关系C.低工作一一低关系 D •低工作一一高关系10.管理方格理论提出了五种最具代表性的领导类型,()领导方式下的领导者对业绩关心较多,对人很少关心,属于任务式领导。
A.1,1 型 B .1,9型C .9,1 型D .5,5型11.领导者以自身的专业知识、个性特征等影响或改变被领导者的心理和行为的力量是他的()。
管理数学(1)(高起专)阶段性作业1总分:100分得分:0分一、单选题1. 下列各对函数中,_____是相同的。
(5分)(A) :;(B) :;(C) :;(D) :参考答案:C2. 设函数的定义域为,则函数的图形关于()对称。
(5分)(A) y=x;(B) x轴;(C) y轴;(D) 坐标原点参考答案:D3. 设函数的定义域是全体实数,则函数是().(5分)(A) 单调减函数;(B) 有界函数;(C) 偶函数;(D) 周期函数参考答案:C4. 函数_____(5分)(A) 是奇函数;(B) 是偶函数;(C) 既奇函数又是偶函数;(D) 是非奇非偶函数。
参考答案:B5. 若函数,则_____(5分)(A) :;(B) :;(C) :;(D) :。
参考答案:B6. 下列各对函数中,()是相同的.(5分)(A) :;(B) :;(C) :;(D) :参考答案:C7. 函数在点处().(5分)(A) 有定义且有极限;(B) 无定义但有极限;(C) 有定义但无极限;(D) 无定义且无极限参考答案:B8. 下列函数在指定的变化过程中,()是无穷小量。
(5分)(A) :;(B) :;(C) :;(D) :参考答案:B二、判断题1. .(5分)正确错误参考答案:错误解题思路:2. 是函数的振荡间断点。
(5分)正确错误参考答案:错误解题思路:3. .(5分)正确错误参考答案:错误解题思路:4. 因为但当时,,从而,。
(5分) 正确错误参考答案:正确解题思路:5. .(5分)正确错误参考答案:错误解题思路:6. 设在点连续,则。
(5分)参考答案:正确解题思路:7. 因为时,tgx~x,sinx~x,所以。
(5分)正确错误参考答案:错误解题思路:8. . (5分)正确错误参考答案:错误解题思路:9. 若连续,则必连续。
(5分)正确错误参考答案:正确解题思路:10. 若,且,则在的某一邻域内恒有。
(5分)参考答案:错误解题思路:11. 如果函数在上有定义,在上连续,且0,则在内(5分)正确错误参考答案:正确解题思路:12. 若函数在上连续且恒为正,则在上必连续。
管理数学习题答案管理数学作业作业1表1-1 Adidas鞋购买数量的频数分布表Adidas的数量频数0 361 282 203 94 55 16 1作业2图1-1 每年各性比MBA占比柱状图作业3ATM新旧系统的服务时间波动性比较:(1)新系统是否比原系统服务时间波动更小?(2)新系统是否比原系统服务时间更短?考虑α=0.05和α=0.1两种情况解:(1)研究者想收集证据予以证明的假设是新系统比原系统服务时间波动更小。
建立原假设和备择假设为:H:新系统服务时间波动≥原系统服务时间波动:新系统服务时间波动<原系统服务时间波动H1对题目中给出样本进行F-检验双样本方差分析(α=0.05),其分析结果如表1-1 F-检验双样本方差分析数据表所示,P=0.000473972<0.05,P值落在拒绝域,备择假设成立,因此新系统比原系统服务时间波动更小。
表1-1 F-检验双样本方差分析数据表原有软件交易时间新软件系统交易时间平均46.55714286 29.8方差612.6761905 51.494观测值7 11df 6 10F 11.89801123P(F<=f) 单尾0.000473972F 单尾临界 3.217174547(2)对题目中给出样本进行描述统计分析,其分析结果如表2-1描述性统计分析数据表所示,原有软件交易时间的平均交易时间为46.5,而新软件系统平均交易时间为29.8,原有软件平均交易时间大于新软件系统平均交易时间。
表2-1 描述性统计分析数据表原有软件交易时间新软件系统交易时间平均46.55714286 平均29.8标准误差9.355488767 标准误差 2.163624904中位数49.2 中位数29.1众数#N/A 众数#N/A标准差24.75229667 标准差7.175931995方差612.6761905 方差51.494峰度-1.05379665 峰度-1.371537947偏度-0.533860047 偏度0.130314823区域66.9 区域19.6最小值7.7 最小值20最大值74.6 最大值39.6求和325.9 求和327.8观测数7 观测数11置信度(95.0%) 22.89205634 置信度(95.0%) 4.820856711为了证明新系统比原系统服务时间更短。
管理数学习题二1.用随机变量来描述掷一枚骰子的试验结果,并写出它的分布律。
解:设随机变量X 为掷一枚骰子出现的结果,则X=n (n=1,2,…,6),即X 仅取1~6六个自然数2.某试验成功的概率为p ,X 代表第二次成功之前试验失败的次数,写出X 的分布律。
3 4.产品有一、二、三等品和废品四种,一、二、三等品率和废品率分别为55%、25%、19%、1%,任取一件产品检验其质量等级,用随机变量X 表示检验结果,并写出其分布律和分布函数。
解:设随机变量X 取1,2,3,4四个值分别表示出现一、二、三等品和废品四种情况,则⎪⎪⎪⎩⎪⎪⎪⎨⎧≤<≤<≤<≤<=xx x x x x F 4,143,99.032,8.021,55.01,0)(x<2表示出现二等品以上(不含二等品)产品,x<3表示出现三等品以上(不含三等品)产品,x<4表示出现次品以上(不含次品)产品。
5.设某种试验成功的概率为0.7,现独立地进行10次这样的试验。
问是否可以用一个服从二项分布的随机变量来描述这10次试验中成功的次数?如何描述?请写出它的分布以及分布的数学期望和标准差。
答:可以描述。
即设随机变量X 为试验成功的次数,则nn n n n n n n C C p p C n X P )(3.03.07.0)1()(37101010101010=⨯⨯=-==-- (n=1,2,…,10) E(X)=Np=10⨯0.7=7D(X)=Np(1-p)=10⨯0.7⨯0.3=2.16.如果你是一个投资咨询公司的雇员,你告诉你的客户,根据历史数据分析结果,企业A的平均投资回报比企业B 的高,但是其标准差也比企业 B 的大。
你应该如何回答客户提出的如下问题:(1) 是否意味着企业A 的投资回报肯定会比企业B 的高?为什么? (2) 是否意味着客户应该为企业A 而不是企业B 投资?为什么? 答:(1)从长期投资来讲企业A 肯定比企业B 的投资回报高。
治理数学I作业(习题一)
班级:2000MBA-P(2) 姓名:学号:00xxxx
1.答:将数据输入盘算器得以下结果:
平均值=108.375
标准差=6.91805
2.答:
极差=121.7-100.8=20.9
变异系数=标准差/平均值=6.91805/108.735=0.06383
3.答:
甲的平均次品数=1.6, 标准差=1.2
乙的平均次品数=1.2, 标准差=0.87
因此,乙的技能水平比甲高
4.答:将数据输入Excel
用=average(a1:j10)命令得到平均月收入=839.96
用=stdevp(a1:j10)命令得到标准差=137.7031
n=100, √n=10, 使用min, max命令得到最小、最大值分别为470和1180,
确定人为范畴从400到1200化分为8组
用作图命令画出频率直方图:
5.答:
将数据输入盘算器,得平均数=23.51
视察,得中位数=23.5 众数=23.5
对该数据集,用众数作为数据平均趋势的度量比力符合。
6.答:
人为变异系数=850/7715=0.11,年龄变异系数=6/41=0.146,得:年龄的变异水平大。
7.答:
资产变异系数=2780/11270=0.2467,代价收益比变异系数=8/31=0.258,得:代价收益比的差别大。
8.答:将三组数据分别输入盘算器,得
饲料一平均值=14,标准差=2.73,标准差=
饲料二平均值=15.375,标准差=3.08
饲料一平均值=11.8,标准差=3.49
饲料二对羊的重量影响最大;饲料一的影响最稳定。
管理类数学试题及答案一、单项选择题(每题2分,共10分)1. 某公司去年的销售额为1000万元,今年预计增长10%,则今年的销售额预计为多少万元?A. 1000B. 1100C. 1200D. 1300答案:B2. 某企业生产一种产品,固定成本为500万元,单位变动成本为200元,若要实现利润100万元,则至少需要销售多少件产品?A. 2500件B. 3000件C. 4000件D. 5000件答案:C3. 在线性规划问题中,目标函数和约束条件的图形表示通常是什么?A. 直线B. 曲线C. 点D. 区域答案:D4. 某公司进行市场调查,发现产品A和产品B的需求弹性分别为-2和-1.5,这意味着什么?A. 产品A的需求对价格变化更敏感B. 产品B的需求对价格变化更敏感C. 产品A和B的需求对价格变化同样敏感D. 无法判断答案:A5. 某项目的投资回收期为3年,这意味着什么?A. 项目在3年内可以收回全部投资B. 项目在3年内可以收回部分投资C. 项目在3年内无法收回任何投资D. 项目在3年后可以收回全部投资答案:A二、多项选择题(每题3分,共15分)1. 以下哪些因素会影响企业的总成本?A. 固定成本B. 变动成本C. 销售量D. 产品价格答案:A, B2. 以下哪些是企业进行市场细分的依据?A. 地理位置B. 购买行为C. 人口统计特征D. 心理特征答案:A, B, C, D3. 在进行投资决策时,以下哪些因素需要考虑?A. 投资回报率B. 投资风险C. 投资期限D. 市场趋势答案:A, B, C4. 以下哪些是企业进行成本控制的方法?A. 成本核算B. 成本预算C. 成本分析D. 成本预测答案:A, B, C5. 以下哪些是企业进行市场定位的策略?A. 产品差异化B. 价格竞争C. 品牌建设D. 渠道优化答案:A, B, C, D三、计算题(每题10分,共20分)1. 某公司生产一种产品,固定成本为100万元,单位变动成本为50元,产品售价为100元。
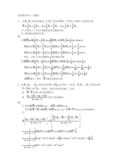
管理数学作业(习题四)1. 令21,X X 为具有均值μ,方差2σ的总体X 的一个样本,考虑以下μ的估计量212121X X X +=,2114341ˆX X +=μ,2123231ˆX X +=μ。
1) 证明以上三个估计量都是μ的无偏估计量;2)谁是最有效的估计量? 解:1)[]μμμ=+=+=+=)(21)()(21)2121()(2121X E X E X X E X Eμμμμ=+=+=+=4341)(43)(41)4341()ˆ(21211X E X E X X E E μμμμ=+=+=+=3231)(32)(31)3231()ˆ(21212X E X E X X E E 所以,上述三个估计量都是μ的无偏估计量。
2)[]μμμ21)(41)()(41)2121()(2121=+=+=+=X D X D X X D X Dμμμμ85169161)(169)(161)4341()ˆ(21211=+=+=+=X D X D X X E Dμμμμ959491)(94)(91)3231()ˆ(21212=+=+=+=X D X D X X E D )(X D 最小,所以,X 是最有效的估计量。
2.设1,,,21n X X X 为来自总体()21,~σμN X 的一个样本,2,,,21n YY Y 为来自总体()22,~σμN Y 的一个样本,且两个样本相互独立,证明1) Y X -是21μμ-的无偏估计;2) ()()21121222211-+-+-n n S n S n 是2σ的无偏估计。
解:1)因为1)()(μ==X E X E ,2)()(μ==Y E Y E所以21)()()(μμ-=-=-Y E X E Y X E ,即Y X -是21μμ-的无偏估计。
2)()()[][]22222212122222222212211221121222221212121121221222211)(21)()()()(21)()()()(212)()(21121σσσσσσμσμσμσμ=-+--++-+++-+-+=-+--+=⎥⎥⎥⎥⎦⎤⎢⎢⎢⎢⎣⎡-+-+-=⎥⎦⎤⎢⎣⎡-+-+-=∑∑==n n n n n n n n n n n n Y E n Y E n X E n X E n n n n n Y Y X X E n n S n S n E n i i n i i即()()21121222211-+-+-n n S n S n 是2σ的无偏估计。
管理数学(2) 课程作业1(共 4 次作业) 学习层次:专科 涉及章节:第7章1. 求平行于a ={1,1,1}的单位向量. 解:与a 平行的单位向量为{}1,1,131±=±a a 2. 求起点为)1,2,1(A ,终点为)1,18,19(--B 的向量的坐标表达式及||. 解:=j i k j i 2020)11()218()119(--=-+--+--={20,20,0}--,2200)20()20(||222=+-+-=3. 求点)15,10,5(1M 到点)45,35,25(2M 之间的距离.解:距离775)1545()1035()525(222=-+-+-==d4. 求λ使向量}5,1,{λ=a 与向量}50,10,2{=b 平行.解:由b a //得5051012==λ得51=λ. 5. 求与y 轴反向,模为10的向量a 的坐标表达式.解:a =j j 10)(10-=-⋅={0,10,0}-6. 求与向量a ={1,5,6}平行,模为10的向量b 的坐标表达式. 解:}6,5,1{6210==a a a , 故 {}6,5,16210100±=±=a b7. 求同时垂直于向量{}8,6,3-=a 和y 轴的单位向量.解:记{}3,0,8010863--=-=⨯=kj ij a b ,故同时垂直于向量a 与y 轴的单位向量为{}3,0,8731--±=±b b .管理数学(2) 课程作业2(共 4 次作业) 学习层次:专科 涉及章节:第8—9章1. 设()22,y xy x y x f ++=,求)2,1(f .解:)2,1(f =7221122=+⨯+2. 已知()y x y x f 23,+=,求)],(,[y x f xy f .解:)],(,[y x f xy f =()y x f xy ,2)(3+=y x xy y x xy 463)23(2)(3++=++ 3. 求x xyy x sin lim20→→.解:x xy y x sin lim 20→→=y xy xyy x ⋅→→sin lim 20=2lim sin lim20=⋅→→y u u y u4. 求函数)1ln(42222-+--=y x y x z 的定义域, 并画出定义域的图形.解:由⎪⎩⎪⎨⎧>-+≥--,01,042222y x y x 得4122≤+<y x ,故定义域为{}41|),(22≤+<=y x y x D . 如下图:5. 83),(y x y x f =,求)0,1(x f ,)1,1(y f . 解:823),(y x y x f x =, 738),(y x y x f y =,故 0013)0,1(82=⨯⨯=x f , 8118)1,1(72=⨯⨯=y f .6. yx z =,求x z ∂∂,yz ∂∂. .解:xz ∂∂=1-y yx , y z ∂∂=x x yln7.设y xy z ln =,试用求z d .解: ()1ln 1ln ,ln +=⋅+=∂∂=∂∂y x yxy y x y z y y x z, ()y y x x y y y yzx x z z d 1ln d ln d d d ++⋅=∂∂+∂∂=∴8. 若()z y x f z -+=,求yzx z ∂∂∂∂,. 解:设()z z y x f z y x F --+=),,(,则 ()z y x f F x -+'=, ()z y x f F y -+'=, ()()11---+'=z y x f F z ,()()z y x f z y x f F F x z z x -+'+-+'=-=∂∂∴1, ()()zy x f z y x f F F y z z y -+'+-+'=-=∂∂19. 设21y x z --=,(1)求221y x z --=的极值, (2)求221y x z --=在条件2=y 下的极值.解:(1)由⎪⎪⎩⎪⎪⎨⎧=-=∂∂=-=∂∂0202x x zy yz得驻点(0,0), 又 2,0,222222-=∂∂==∂∂∂=-=∂∂=yzC y x z B x z A ,042<-=-∴AC B , 且02<-=A ,故()0,0为函数的极大值点,函数的极大值为1)0,0(=z .(2)221y x z --=在条件2=y 下的极值, 即为321222--=--=x x z 的极值,显然32--=x z 在0=x 处取得极大值3-,故221y x z --=在条件2=y 下,在()2,0处取得极大值3-. 10.计算()σd 100⎰⎰++Dy x , 其中(){}11,10,≤≤-≤≤=y x y x D .解:如图,先对x 后对y 积分,则()()x y x y y x Dd 100d d 1001011++=++⎰⎰⎰⎰-σ =()102112100d ⎥⎦⎤⎢⎣⎡++⎰-x x y y =⎰-+11)d 2201(y y =()2012010112201d 11=+=+⨯+⎰-y y .11. 计算⎰⎰+Dyx σd e 6,其中D 由xOy 面上的直线2,1==y y 及2,1=-=x x 所围成. 解:如图, D :⎩⎨⎧≤≤-≤≤,21,21x y 先对x 后对y 积分,得 ⎰⎰+Dyx σd e6=⎰⎰-21216d e d e x y xy=)6e )(e (21621-xy=)e e e e (61541314--+--.中国地质大学(武汉)远程与继续教育学院管理数学(2) 课程作业3(共 4 次作业) 学习层次:专科 涉及章节:第10—11章1. 对坐标的曲线积分⎰+Ly Q x P d d 如何化为一元定积分来计算?答:将曲线L 的方程参数化,设为⎩⎨⎧==),(),(t y t x ψϕ 并确定L 的起点和终点对应的参变量t 的值,设为βα,,则曲线积分即可化为对参变量t 的定积分,即t t t t Q t t t P y Q x P Ld )}()](),([)()](),([{d d ψψϕϕψϕβα'+'=+⎰⎰.2. 为什么对坐标的曲线积分化为定积分计算时,下限对应起点,上限对应终点?答:因为对坐标的曲线积分的积分域是有向曲线段,化为定积分时,积分变量的变化是有方向的,即从起点到终点,故下限对应起点,上限对应终点.3. 计算曲线积分⎰+Ly x x y d d , L 是曲线θθsin ,cos r y R x ==上θ 由0至4π 的一段. 解:⎰+Ly x x y d d=⎰⋅+-⋅4π0d ]cos cos )sin (sin [θθθθθR R R R=22sin 2d 2cos 24π04π022R RR==⎰θθθ .4. 计算曲线积分⎰Lx xy d , 其中L 为抛物线x y=2上从点)1,1(-A 到点)1,1(B 的一段弧.解:以y 为参变量,则y 从1-变到1,从而⎰L x xy d =5452d 2d 1111541122===⋅⋅---⎰⎰y y y y y y .5.⎰+Ly Q x P d d 与路径无关的条件是什么?若与路径无关,则⎰+),(),(00d d y x y x y Q x P 如何积分为好?答:⎰+Ly Q x P d d 与路径无关的条件是在区域D 内处处成立yPx Q ∂∂=∂∂. 当⎰+Ly Q x P d d 与路径无关时,计算⎰+),(),(00d d y x y x y Q x P 应选择从)(0,0y x 到点),(y x ,且由平行于坐标轴的直线构成的折线段来计算为好. .6.⎰+Ly Q x P d d 能否化为二重积分来求?答:若L 为闭合曲线,且Q P ,在L 所围区域内具有一阶连续偏导数,则⎰+Ly Q x P d d可利用Green 公式化为二重积分来求,若L 非闭合曲线,则可采用补线法化⎰+Ly Q x P d d 为二重积分来求.7. 曲面微元σd 在xOy 坐标面上投影的面积微元是y x d d ,它在什么情况下为正的?在什么情况下为负的?答:当σd 的法向量与z 轴正向夹角小于︒90时,y x d d 为正;大于︒90时,y x d d 为负.中国地质大学(武汉)远程与继续教育学院管理数学(2) 课程作业4(共 4 次作业) 学习层次:专科 涉及章节:第12—13章1. 验证xx C C x C y --+=e e 21为微分方程0'2''=++y y y 的解,并说明是该方程的通解. 证明: x x C C x C y --+=e e 21,x x C x C C C y ----=∴e e )('121, x x C x C C C y --+-=e e )2(''112,于是0'2''=++C C C y y y ,故C y 是0'2''=++y y y 的解.x x -e 与x -e 线性无关,∴0'2''=++y y y 中的1C 与2C 相互独立,即C y 中含有与方程0'2''=++y y y 阶数相同(个数均为2)的独立任意常数,故C y 是该方程的通解.2. 用分离变量法求解下列微分方程: (1)22d d y x x y =, (2)21d d x y x y -=, (3)y x x x y)1(d d 2++=,且e )0(=y . 解:(1)分离变量得x x yy d d 22=, 两边积分得⎰⎰=x x y yd d 122 , 求积分得 3313Cx y +=-, 从而通解为Cx y +-=33及y=0.(2)分离变量得21d d xx y y -=,两边积分得⎰⎰-=x x y y d 11d 12,求积分得 1arcsin ||ln C x y +=,即 )e (e ee 11arcsin arcsin C x xC C C y ±==±=,从而通解为 xC y arcsin e=.(3)分离变量得x x x yyd )1(d 2++=, 两边积分得⎰⎰++=x x x y y d )1(d 12 求积分得 13232||ln C x x x y +++=, 即 )e (eee 1332232132C x x x C C C y x x x ±==±=++++,从而通解为3232ex x x C y ++=.由e )0(=y ,得e =C , 故特解为32132e x x x y +++=.3. 求解下列一阶线性微分方程(1)x b ay y sin '=+(其中b a ,为常数), (2)21d d y x x y +=. 解:(1)因a x P =)(, x b x Q sin )(=, 故通解为⎰⎰⋅+⎰=-]d e sin [e d d x x b C y xa x a⎰⋅+=-)d e sin (e x x b C ax ax )]cos sin (e 1[e 2x x a a b C axax -++=-. (2)方程变形为2d d y x yx=-, 这是x 关于y 的一阶线性微分方程,其中2)(,1)(y y Q y P =-=,通解为:⎰⋅⎰⋅+⎰=---]d e [e d )1(2d )1(y y C x yy⎰-⋅+=]d e [e 2y y C y y)22(e 2++-=y y C y .4. 写出下列微分方程的通解:(1)0'2''=+-y y y , (2)08'=+y y . 解:(1)特征方程0122=+-r r , 特征根121==r r , 通解为xx C C y e )(21+=.(2)特征方程08=+r , 特征根8-=r , 通解为xC y 81e-=.5. 求下列微分方程满足所给初始条件的特解:(1)xy y y 3e6'2''-=-+, 1)0(',1)0(==y y ,(2) x y y sin 2''=+,1)0(',1)0(==y y . 解:(1)先解06'2''=-+y y y ,其特征方程为0622=-+r r , 特征根为711+-=r , 712--=r ,故通解 xxC C y )71(2)71(1e e --+-+=.因x3e-中3-=λ不是特征方程的根,且1)(=x P m , 故设原方程特解xp A y 3e-=,代入原方程化简,得31-=A ,从而原方程通解为x x C C y )71(2)71(1e e --+-+=x 3e 31--. 由0)0(=y ,得03121=-+C C , 由0)0('=y ,得11)71()71(21=++-+-C C ,解得42771+=C , 42772-=C , 故所求特解x xxp y 3)71()71(e 31e 4277e 4277---+---++=. (2)先解02=+''y y ,其特征方程为022=+r ,特征根为i 2,i 221-==r r ,故通解x C x C y C 2sin 2cos 21+=.设原方程特解x b x a y sin cos *+=,代入原方程,化简得1,0==b a ,故原方程通解x x C x C y sin 2sin 2cos 21++=,由00)0(1==C y 得,由1)0(='y ,得02=C ,故所求特解为x y sin =6.设322-+=t t y t ,求t y ∆,t y 2∆。
中国地质大学(武汉)远程与继续教育学院管理数学(1) 课程综合测试2 学习层次:专科 时间:90分钟一、填空题(每小题4分,共20分,将答案填在题中横线上,不填解题过程. )1. 2311lim 1x x x →--= .2. 函数sin(21)y x =+的微分dy = dx .3. .函数542)(2+-=x x x f 的单调增加区间是 .4. 不定积分2sin2xdx =⎰. 5. 定积分325425sin 21x xdx x x -=++⎰ .二、单项选择题(每小题3分,共15分,每小题给出四种选择,有且仅有一个是正确的,将你认为正确的代号填入括号内。
)6.若432lim23=-+-→x kx x x ,则k = ( ).A .3;B .-3;C .1;D .-17.已知函数)(x f 的定义域为]1,0[,则)(a x f +的定义域是 ( ). A .],0[a ; B .]0,[a -; C .]1,[a a +; D .]1,[a a -- 8. 若)(x f 的导数是sin x ,则)(x f 的一个原函数为 ( )(A)1sin x + (B) 1sin x - (C)1cos x + (D) 1cos x - 9. 函数xx y 4+=的单调减少区间是 ( ) (A )(,2),(2,)-∞-∞ (B )(2,2)- (C )(,0),(0,)-∞∞ (D )(2,0),(0,2)-10. 设函数f x ()的定义域为(,)-∞+∞,则函数f x f x ()()--的图形关于( )对称。
A. y =x ; B. x 轴; C. y 轴; D.坐标原点三、计算题(每小题6 分,共30分,注意所有题目均应有主要求解过程,并适当说明理由,没有过程不给分)11. 求极限3232153lim 452x x x x x x x →+-+-+-; 12. 求()1xx y x=+的导数;13. 设sin cos .ttx e ty e t ⎧=⎪⎨=⎪⎩求22,dy d y dx dx ; 14. 求不定积分(1ln )x e x x dx x +⎰; 15. 求定积分4dx ⎰.四、(10分)已知52)1(2-+=+x x x f ,求)2(,)1(,)(f xf x f .五、(10分)要使函数()f x 连续,常数,a b 应各取何值?21()211a x x f x xb x x ⎧+>⎪==⎨⎪-<⎩. 六、(10分)写出曲线1y x x=-与x 轴交点处的切线方程.答案: 一、填空题 1. 23. 2. 2cos(21)x +. 3. ),1(∞+. 4. 1(sin )2x x C -+. 5. 0.二、单项选择题6. B7. D8. D9. B 10. D三、计算题(6×5) 11. 解:4862658352325435lim lim lim122123231-=-+=---+=-+-+-+→→→x x x x x x x x x x x x x x x (每个等号2分) 12. 解: 对函数两边取对数,得ln ln()1xy x x=⋅+ ------------------------------------2分 上式两边对x 求导,得11ln()11x y y x x '=+++ ------------------------------------2分 于是 11[ln()]()[ln()].11111x x x x y y x x x x x '=+=++++++------------------2分 13. 解: cos sin cos sin sin cos sin cos t t t tdy e t e t t tdx e t e t t t--==++ --------------------------2分22232(sin cos )sin cos 2(sin cos )tt td y t t dxe t e t e t t -+=+=-+ -----------------------------------------------每个等号2分14. 解: (1ln )x e x x dx x +⎰ =ln x xe dx e xdx x+⎰⎰=ln ln ln x x x e x e xdx e xdx -+⎰⎰-----------------------------------每个等号2分=ln xe x c + 15. 解:原式=6271193226532294942394294=⨯+=+=+⎰⎰x x dx x xdx (每个等号2分) 四、(10分)解:设t x =+1,则1-=t x ,得65)1(2)1()(22-=--+-=t t t t f (4分)即6)(2-=x x f ,由此得222616)1()1(x x x x f -=-= (4分) 262)2(2-=-=f (4分)五、(10分)解:因为 211lim ()lim()1x x f x a x a →+→+=+=+ 且 11lim ()lim()1x x f x b x b →-→-=-=- (4分)要使函数()f x 连续,必须11lim ()lim ()(1)x x f x f x f →+→-== (4分)即112a b +=-= 因此得: 1a =, 3b = (2分)六、(10分)解:令0y =得1x =±,即与x 轴的交点为(1,0),(-1,0); (3分)则由导数的几何意义知过点(1,0)的切线方程为1(1)y k x =-,过点(-1,0)的切线方程为2(1)y k x =+; (3分)其中121'2x k k y =±===,(3分)故过点(1,0)的切线方程为220x y --=; 过点(-1,0)的切线方程为220x y -+=.(1分)。
1.已知数列a n }{的前n 项和=+S n n n 322,则数列a n }{的通项公式=a n ( )A. +n 61B. −n 61C. n 6D. +n 611E. −n 6112.设a n }{是正数组成的等比数列,S n 为其前n 项和,已知=a a 124,S =73,则=S ( )5 A.215 B. 217 C. 431 D. 433 E. 83.若在等差数列中前5项和S =155,前15项和S =12015,则前10项和S = 10)( A. 40 B. 45 C. 50 D. 55 E. 604.(条件充分性判断)设a n }{是等差数列,则能确定+++a a a ...129的值.(1)已知a 1的值; (2)已知a 5的值;5.若数列a n }{为等差数列,=a q p ,=≠a p p q q )(,则=+a p q )(A. p+q −B. p qC. 0 −D. p+q )( 2E.p+q )(6. 已知a n }{为等差数列,且−+=a a a 9258,则+++=a a a 129( )A.8B.5C.2D.-2E.-57. (条件充分性判断)8.在一次数学考试中,某班前6名同学的成绩恰好成等差数列,若前6名同学的平均成绩为95分,前4名同学的成绩之和为388分,则第6名同学的成绩为( )分A. 92B. 91C. 90D. 89E. 88=−=x n n n 21(1,2,)1==−=+x x x n n n 22(1),(1)(1,2,)1111==+=+x x x n n n 22(2),(1)(1,2,)1111联考-管理类-数学课后作业解析(数列)1. 解析:选B. 因等差数列的求和公式为无常数项的二次函数,可看出此数列为等差数列;由求和公式⎝⎭ ⎪=+−⎛⎫S n a n d d n 2212,可知:=⨯=d 236,=+=a 2351,故通项公式为=+−=−a a n d n n (1)611.2. 解析:选C.由==a a a 12432且正数等比数列知:=a 13;因==++S a a a 73123知+=a a q 611,即+=qa 161; 因+===q a a q q 1163122,有−−=q q 6102,得−+=q q 21310)()(,得=q 21. −−===⎣⎦⎢⎥⎝⎭− ⎪⎢⎥−⎛⎫⎡⎤q S a q n 211413112411515)(.3. 解析:选D.方法1:因中值即均值:由=+na S n n 21得==a 1581208,==a 53153,故d =1,a =11,故 =+⨯S 2=551101010)(.方法2:由等差数列的求和等距性:若是等差数列,为其前项和,则仍为等差数列,得−−S S S S S ,,51051510成等差数列,于是由等差中项公式有+−=−S S 151202151010)()(,得出=S 5510.4. 解析:选B.因为+++==a a a S a ...912995(中值即均值),故条件(2)充分.a n }{S n n ,,,−−⋅⋅⋅S S S S S n n n n n 2325. 解析:选C. 因为−==−−p q d a a p q 1,有=+=−=+a a qd q q p q p 0.6. 解析:选B.考察等比数列元素性质.方法1:+=a a a 2285,所以−=a a 2955,=a 95,+++==a a a a 9811295.方法2(秒杀技巧):因单一条件,可假设为公差为0的常数列,每一项均为a ,则有:−+=a a a 9,得=a 9,故+++==a a a a 981129.7.解析:选B.考察构造数列 题干=−112x n n 随着n 的增大而增大,为单调递增数列; 条件(1),n n x x x n +==−=1112,1211,2, )()(,x =−⎛⎝ ⎫⎭⎪=21211214,单调递减,不充分, 条件(2),x x x x n n n +==+=+1112,1211212)(两边同减1得: x x x n n n +−=−=−111212121)(,x n −1}{为首项为-12,公比为12的等比数列, 11121212112−−=−⎛⎝ ⎫⎭⎪=−⎛⎝ ⎫⎭⎪⇒=−⎛⎝ ⎫⎭⎪x x n n n n n. 故条件(2)充分.8. 解析:选C. 技巧:由中值即均值得:===⎝⎭⎪⎛⎫+a a S 695216 3.56,即=a 953.5, 又由==⋅⎝⎭ ⎪⎛⎫+S a 38842144得=a 972.5,故=−d 2,=+=+⋅−=a a d 2.595 2.52906 3.5)(。
浅议特征向量的几何意义与应用意义
摘要:本文结合老师上课所讲授的内容,首先用代数的方法推导了特征向量的几何意义,然后结合研究方向对特征向量在管理实践中的应用进行相关讨论。
一、特征向量的几何意义
通过课堂讨论认识到特征向量是使向量在线性变换下不改变方向,只伸缩长度的一种变换。
下面将对具体过程进行推导:
设R = x = x 1,x 2 x 1,x 2∈R ,则R 2 是二维向量空间。
设x = x 1,x 2 ∈R 2,y =(y 1,y 2)∈R 2. R 2中的元素 x 1,x 2 是平面上某点的坐标。
设22:F R R →是平面2R 上的线性变换,即:
()()()F x y F x F y αβαβ+=+
其中:2,;,x y R R αβ∈∈
设变换22:F R R →为1212((,))(,)F x x y y =,则F 是平面2R 上的线性变换的充要条件是:
11111222211222y a x a x y a x a x =+⎧⎨=+⎩ 或11112112212222y a a x x A y a a x x ⎛⎫⎛⎫⎛⎫⎛⎫== ⎪ ⎪⎪ ⎪⎝⎭⎝⎭⎝⎭⎝⎭ (1)
由此可知,平面2R 上的线性变换F 与二阶实矩阵22()ij A a ⨯=是相互确定的,
即给出了线性变换,就可得出矩阵A ,反之,给出了矩阵A ,就可以写出线性变换。
线性变换的几何意义是:设A 的行列式0A ≠,则线性变换(1)式是平面2R 上的线性变化,它将平面2R 上的点12(,)x x 变为唯一的一点111122211222(,)a x a x a x a x ++。
设22:F R R →是向量空间2R 上的线性变换,12(1,0)(0,1)e e ==和是2R 的一组基,设
1112111121221222121222()(,),()(,),F e a a a e a e F e a a a e a e ==+⎧⎨==+⎩ (2)
其中:1121(,)a a 和1222(,)a a 分别是向量1()F e 和2()F e 关于基1e ,2e 的坐标,
(2)
式写成矩阵形式是:
11121212122122((),())(,)(,)a a F e F e e e e e A a a ⎛⎫== ⎪⎝⎭ (3)
设12(,)x x x =2R ∈,则x 可写成矩阵形式如下:
1121122122(,)(,)x x x x x e x e e e x ⎛⎫==+= ⎪⎝⎭ (4)
从而有:
11122122(,)x x x e x e e e x λλλλ⎛⎫=+= ⎪⎝⎭
因为F 是2R 上的线性变换,有(3)式、及(4)式得:
1122112211121222()()()()((),())(,)F x F x e x e x F e x F e x x F e F e e e A x x =+=+=
⎛⎫⎛⎫= ⎪ ⎪⎝⎭⎝⎭
特征向量的定义如下:
22:F R R →设是向量空间2R 上的线性变换,
R λ∈,x 是2R 上的非零向量,若
()F x x λ= (5)
则称λ是线性变换F 的一个特征根,x 属于特征根λ的特征向量。
显然,对任a R ∈,0a ≠,有()()F a x a x λ=,所以ax 是属于特征根λ的所有特征向量。
因为12(,)x x x =2R ∈,所以(5)式可以写为:
1212()((,))(,)F x F x x x x x λλλ===
由此我们得到,平面2R 上线性变换F 的特征向量x 的几何意义是:特征向量x 是平面2R 上点M 的径矢量,即x OM =,而点M 的坐标是()12,x x ,属于特征根λ的所有特征向量ax 都在由点(0,0)和点()12,x x 确定的直线OM 上。
因为()F x 与x 的坐标成比例,所以矢量()F x 与矢量x 线性相关,几何上,()F x 与x 在过原点的直线OM 上。
所以特征向量是一种伸缩变换,即向量不改变方向,只伸
缩长度,伸缩程度即特征值。
以上推导只证明了二阶矩阵,同理可推广到三阶矩阵,即三维空间。
二、特征向量的应用意义
随着大数据时代的到来,数据分析在质量管理方面得到了广泛应用。
在使用不同的启发式算法进行分析之前必须对研究对象进行处理,完成从实体到数学模型的映射,对于需要用多指标来进行评测的对象就需要用到特征向量。
若要对不同型号进行质量水平检测,结合其产品销售情况确定需要改进的型号。
首先设定需要观测的技术指标,然后通过前期的数据收集可以获取每种型号产品共有的各项技术质量特征值。
比如对A 型号产品的每个指标对应的值分别为{}12,,,n r r r ,这样A 型号产品就具有了一个n 维样本空间,这样A 型号产品就具备了一个特征向量。
如果对该特征向量使用启发式算法,如分类或聚类的方法,就可以得出若干分类,每一个类是处于同一质量水平的产品型号集。
在这种方法中,每个型号集用一个可量化的、有实际意义的向量表示,使分析者可以采用一些方法进行处理。
此外在文本分类领域,特征向量也有着重要应用。
文本分类的第一步为特征项提取,通过朴素贝叶斯、信息熵和TF-IDF 等方法,根据确定的测量值来选取可以表现文本特性的特征项,然后用该测量值代替特征项完成一个文本有现实世界到数学世界的映射。
如对于文本T ,设其有k 个特征项,每个特征项对应的测量值分别为12,,n t t t ,则可用向量{}12,,n T t t t =来表示该文本,即为该文本的特征向量。
之后可以选择分类方法对文本进行处理,目前广泛运用的方法有支持向量机和KNN 方法。
支持向量机通过建立一个超平面来对文本进行分类,这一概念与上课讲到凸集中的超平面的概念是相一致的。
目前也有一些研究集中在如何对提取的特征向量进行降维从而提高运算效率和结果的准确性。
这些研究都是在建立特征向量的前提下进行的。
以上介绍了特征向量在管理领域的应用。
类比于特征向量的几何意义,可以将特征向量理解为对研究对象的一种平行变换,用一种数学的方法来对其进行表示不改变其原有代表的意义,属于同向变换。
正如二维空间中特征向量代表着一种伸缩变换,只改变长度,不改变大小。
本文推导了特征向量的几何意义并且介绍了其在管理领域的最新应用,是对上课老师讲授内容的一个扩充和补充。
通过管理数学基础的学习,锻炼了我思考抽象问题的能力,体会到了类比于旧知识学习新知识的方法。
对于特征向量这一块内容的学习再结合自己平时科研中读到的一些文献,对这一问题有了更深入的理解。
但是对于范数这一部分,由于科研中接触之类的方法较少,内容抽象,理解起来觉得略有困难。
如果在以后的教学中在这一部分加入一些实际的应用方法,可能会有更高的效果。