高数(下)要点(含微分方程)——自己整理的
- 格式:docx
- 大小:569.93 KB
- 文档页数:20
高数下要点含微分方程自己的HUA system office room 【HUA16H-TTMS2A-HUAS8Q8-HUAH1688】第六章 微分方程一、一阶微分方程1、一阶线性方程 )()(x Q y x P dxdy=+2、伯努利方程 )1,0()()(d d ≠=+n y x Q y x P xyn ).()(d d 1111x Q y x P xy n n n=+⋅---令.1n y z -= 二、可降阶的高阶方程1.)()(x f yn = n 次积分2.)',("y x f y = 不显含y令)('x p y =,化为一阶方程 ),('p x f p =。
3.)',("y y f y = 不显含自变量令)('y p y =,dydpp dx y d =22,化为一阶方程。
三、线性微分方程)()()()(1)1(1)(x f y x a y x a y x a y n n n n =+'+++-- ,0)(≡x f 时称为齐次的,0)(≡/x f 称为非齐次的。
1.二阶线性齐次线性方程0)()(=+'+''y x Q y x P y (1)如果函数)(1x y 与)(2x y 是方程(1)的两个解,则)()(2211x y C x y C y += 也是(1)的解,其中21,C C 是任意常数。
如果)(1x y 与)(2x y 是方程(1)的两个线性无关的特解,则)()(2211x y C x y C y += (21,C C 是任意常数)是(1)的通解.两个函数)(1x y 与)(2x y 线性无关的充要条件为C x y x y ≡/)()(21(常数)2.二阶线性非齐次线性方程设)(*x y 是二阶线性非齐次线性方程 )()()(x f y x Q y x P y =+'+''的一个特解,)(x Y 是它对应的齐次方程(1)的通解,则 )()(*x y x Y y += 是该方程的通解.设)(*1x y 与)(*2x y 分别是二阶线性非齐次方程 )()()(1x f y x Q y x P y =+'+'' 与 )()()(2x f y x Q y x P y =+'+''的两个特解。
高等数学下知识点总结大一高等数学下知识点总结高等数学是大一学生必修的一门课程,内容涵盖了微积分、线性代数和概率统计等方面的知识。
下面将对高等数学下的主要知识点进行总结,以帮助大家复习和加深理解。
1. 微积分微积分是高等数学的基础,包括了导数、积分和微分方程等内容。
1.1 导数导数是描述函数变化率的工具,常用符号表示为f'(x)或dy/dx。
常见的导数计算规则包括:- 基本导数公式:常数规则、幂函数规则、指数函数和对数函数规则、三角函数规则等。
- 高级导数公式:链式法则、隐函数求导、参数方程求导等。
- 导数的应用:切线和法线、单调性和极值、凹凸性和拐点等。
1.2 积分积分是导数的逆运算,表示曲线下的面积。
常用符号表示为∫f(x)dx。
常见的积分计算规则包括:- 不定积分:基本积分法、换元积分法、分部积分法等。
- 定积分:定义与性质、牛顿-莱布尼茨公式、定积分的应用等。
1.3 微分方程微分方程是描述变化率与函数关系的方程,分为常微分方程和偏微分方程。
常见的微分方程求解方法包括:- 可分离变量法、齐次方程法、一阶线性方程法等。
- 高阶线性齐次方程和非齐次方程的求解。
2. 线性代数线性代数是数学的一个分支,研究向量、矩阵、线性变换等内容。
2.1 向量向量是有大小和方向的量,常用符号表示为a、b等。
常见的向量运算包括:- 向量的加法、减法和数量乘法。
- 内积和外积的定义和计算。
- 向量的线性相关性和线性无关性。
2.2 矩阵矩阵是一个按照行和列排列的数表,常用符号表示为A、B等。
常见的矩阵运算包括:- 矩阵的加法、减法和数量乘法。
- 矩阵的乘法和转置。
- 矩阵的逆和行列式的求解。
2.3 线性变换线性变换是将一个向量空间映射到另一个向量空间的变换,常用符号表示为T。
常见的线性变换包括:- 线性映射的定义和性质。
- 基变换和过渡矩阵的计算。
- 特征值和特征向量的求解。
3. 概率统计概率统计是研究随机事件的概率和统计规律的学科。
高数下册总结篇一:高数下册总结高数(下)小结一、微分方程复习要点解微分方程时,先要判断一下方程是属于什么类型,然后按所属类型的相应解法求出其通解.一阶微分方程的解法小结:二阶微分方程的解法小结:非齐次方程ypy??qy?f(x)的特解y?的形式为:主要:一阶1、可分离变量方程、线性微分方程的求解;2、二阶常系数齐次线性微分方程的求解;3、二阶常系数非齐次线性微分方程的特解二、多元函数微分学复习要点一、偏导数的求法1、显函数的偏导数的求法在求z?x时,应将y看作常量,对x求导,在求z?y时,应将x看作常量,对y求导,所运用的是一元函数的求导法则与求导公式.2、复合函数的偏导数的求法设z?f?u,v?,ux,y?,vx,y?,则z?xz?uu?xz?vv?xz?yu?yz?vv?y几种特殊情况:1)z?f?u,v?,ux?,vx?,则2)z?f?x,v?,vx,y?,则z?xdzdxf?vdzduu?xz?vdvdxv?yf?xv?x,z?yf?u3)z?f?u?,ux,y?则3、隐函数求偏导数的求法1)一个方程的情况z?xdzdu,z?ydzduu?y设z?z?x,y?是由方程f?x,y,z??0唯一确定的隐函数,则z?xfxfz0?,z?yfyfzfz0?或者视z?z?x,y?,由方程f?x,y,z??0两边同时对x(或y)求导解出2)方程组的情况 ?z?x(或z?y).f?x,y,u,v??0?z?z)即可. 由方程组?两边同时对x(或y)求导解出(或x?y??gx,y,u,v?0 ?二、全微分的求法方法1:利用公式du?u?xdx?u?ydy?dz方法2:直接两边同时求微分,解出du即可.其中要注意应用微分形式的不变性:zduu?dz??z?dx??x??z?v?z?ydvdy三、空间曲线的切线及空间曲面的法平面的求法xt?1)设空间曲线г的参数方程为?yt?,则当t?t0时,在曲线上对应点zt??p0?x0,y0 ?,z0?处的切线方向向量为tt0?,?t0?,??t0??,切线方程为x?x0t0?y?y0t0?z?z0t0?法平面方程为 ??t0??x?x0t0??y?y0t0??z?z0??02)若曲面?的方程为f?x,y,z??0,则在点p0?x0,y0,z0?处的法向量n?fx,fy,fzp0,切平面方程为fx?x0,y0,z0??x?x0??fy?x0,y0,z0??y?y0??fz?x0,y0,z0??z?z0??0 法线方程为x?x0fx?x0,y0,z0?y?y0fy?x0,y0,z0?z?z0fz?x0,y0,z0?若曲面?的方程为z?f?x,y?,则在点p0?x0,y0,z0?处的法向量n??fx?x0,y0?,fy?x0,y0?,?1?,切平面方程为fx?x0,y0??x?x0??fy?x0,y0??y?y0z?z0??0 法线方程为x?x0fx?x0,y0?y?y0fy?x0,y0?z?z0?1四、多元函数极值(最值)的求法 1 无条件极值的求法设函数z?f?x,y?在点p0?x0,y0?的某邻域内具有二阶连续偏导数,由fx?x,y??0,fyx,y??0,解出驻点?x0,y0,记a?fxxx0,y0,b?fxyx0,y0,c?fyyx0,y0?.2c?b1)若a?0,则f ?x,y?在点?x0,y0?处取得极值,且当a?0时有极大值,当a?0时有极小值.2)若ac?b2?0,则f?x,y?在点?x0,y0?处无极值. 3)若ac?b20,不能判定fx,y?在点?x0,y0?处是否取得极值.2 条件极值的求法函数z?f?x,y?在满足条件??x,y??0下极值的方法如下:1)化为无条件极值:若能从条件??x,y??0解出y代入f?x,y?中,则使函数z?z(x,y)成为一元函数无条件的极值问题.2)拉格朗日乘数法作辅助函数f?x,y??f?x,yx,y?,其中?为参数,解方程组篇二:高数下册总结(同济第六版)高数(下)小结一、微分方程复习要点解微分方程时,先要判断一下方程是属于什么类型,然后按所属类型的相应解法求出其通解.一阶微分方程的解法小结:二阶微分方程的解法小结:非齐次方程ypy??qy?f(x)的特解y的形式为:主要:一阶1、可分离变量方程、线性微分方程的求解; 2、二阶常系数齐次线性微分方程的求解;3、二阶常系数非齐次线性微分方程的特解二、多元函数微分学复习要点一、偏导数的求法1、显函数的偏导数的求法在求z?z时,应将y看作常量,对x求导,在求时,应将x看作常量,对y求导,所运?x?y用的是一元函数的求导法则与求导公式.2、复合函数的偏导数的求法设z?f?u,v?,ux,y?,vx,y?,则z?z?u?z?v?z?z?u ?z?v,???? ?x?u? x?v?x?y?u?y?v?y几种特殊情况:1)z?f?u,v?,ux?,vx?,则2)z?fdzdz?u?zdv dxdu?x?vdx?f?vx,v?,vx,y?,则?x??x??v??x,z?fz?f?v?? ?y?u?y 3)z?f?u?,ux,y?则3、隐函数求偏导数的求法 1)一个方程的情况zdz?u?zdz?u, ?xdu?x?ydu?y设z?z?x,y?是由方程f?x,y,z??0唯一确定的隐函数,则f?zxxfzfzz0?, ??yfyfzfz0?或者视z?z?x,y?,由方程f?x,y,z??0两边同时对x(或y)求导解出2)方程组的情况由方程组?z?z(或). ?x?y ?f?x,y,u,v??0?z? z两边同时对x(或y)求导解出(或)即可.x?y?g?x,y,u,v?? 0二、全微分的求法方法1:利用公式du?u?u?udx?dy?dz ?x?y?z方法2:直接两边同时求微分,解出du即可.其中要注意应用微分形式的不变性:z??zdu?dv??v??udz??z?z?dx?dyyx三、空间曲线的切线及空间曲面的法平面的求法xt?1)设空间曲线г的参数方程为?yt?,则当t?t0时,在曲线上对应点zt??p0?x0,y0,z0?处的切线方向向量为tt0?,??t0?,??t0?,切线方程为x?x0y?y0z?z0t0?t0?t0法平面方程为 ??t0??x?x0t0??y?y0t0??z?z0??0 2)若曲面?的方程为f?x,y,z??0,则在点p0?x0,y0,z0?处的法向量n??fx,fy,fz?p0,切平面方程为fx?x0,y0,z0??x?x0??fy?x0,y0,z0??y?y0??fz?x0,y0,z0??z?z0??0 法线方程为x?x0y?y0z?z0fxx0,y0,z0fyx0,y0,z0fzx0,y0,z0若曲面?的方程为z?f?x,y?,则在点p0?x0,y0,z0?处的法向量n??fx?x0,y0?,fy?x0,y0?,?1?,切平面方程为fx?x0,y0??x?x0??fy?x0,y0??y?y0z?z0??0 法线方程为x?x0y?y0z?z0fxx0,y0fyx0,y0?1四、多元函数极值(最值)的求法 1 无条件极值的求法设函数z?f?x,y?在点p0?x0,y0?的某邻域内具有二阶连续偏导数,由fx?x,y??0,fy?x,y??0,解出驻点?x0,y0?,记a?fxx?x0,y0?,b?fxy?x0,y0?,c?fyy?x0,y0?.c?b1)若a时有极小值.2)若ac?b2?0,则f?x,y?在点?x0,y0?处无极值.3)若ac?b?0,不能判定f?x,y?在点?x0,y0?处是否取得极值.220,则f?x,y?在点?x0,y0?处取得极值,且当a?0时有极大值,当a?02 条件极值的求法函数z?f?x,y?在满足条件??x,y??0下极值的方法如下:1)化为无条件极值:若能从条件??x,y??0解出y代入f?x,y?中,则使函数z?z(x,y)成为一元函数无条件的极值问题.2)拉格朗日乘数法作辅助函数f?x,y??f?x,yx,y?,其中?为参数,解方程组篇三:高数下册公式总结第八章向量与解析几何- 2 -- 3 -第十章重积分- 4 -- 5 -第十一章曲线积分与曲面积分- 6 -篇四:高数下册积分方法总结积分方法大盘点现把我们学了的积分方法做个大总结。
期末高数下册知识总结本文将对高等数学下册的知识进行总结,主要分为以下几个部分:空间解析几何、多元函数与偏导数、重积分、无穷级数与幂级数、常微分方程五个部分。
一、空间解析几何(平面与直线、空间曲线与曲面、空间直角坐标系下的曲线与曲面)空间解析几何是指在空间情形下分析和研究几何形体、几何运动、数学方程和几何方程之间的联系的一门数学学科。
学习空间解析几何可以帮助我们理解空间形体之间的关系以及其运动规律。
1.平面与直线- 平面方程:点法式、一般式、截距式、两平面交线、平面与平面垂直、平行关系- 直线方程:点向式、两点式、一般式、向量叉乘、直线与直线垂直、平行、斜率、角度的概念与求解2.空间曲线与曲面- 空间曲线的方程:参数方程、一般方程- 空间曲面的方程:二次曲面、旋转曲面、柱面、锥面的方程3.空间直角坐标系下的曲线与曲面- 参数方程下的曲线计算:弧长、速度、加速度、切线、法平面、法线- 参数化的曲面计算:一类曲面的面积、体积、切平面、切向量二、多元函数与偏导数多元函数是指具有多个自变量的函数,偏导数是研究多元函数对其中一个自变量求导数的方法。
学习多元函数与偏导数可以帮助我们更加深入地了解多元函数的性质和变化规律。
1.多元函数的极限- 多元函数极限的定义与性质- 极限存在的条件与计算- 多元函数极限与连续函数2.多元函数的偏导数- 偏导数的定义与性质- 高阶偏导数的计算与应用- 隐函数的偏导数3.多元函数的微分与全微分- 多元函数的微分定义与性质- 链式法则与全微分的计算4.多元函数的方向导数与梯度- 方向导数的概念与计算- 梯度的概念与计算- 梯度的几何意义5.多元函数的极值与最值- 多元函数的极值的判定与求解- 条件极值的求解- 二次型的矩阵表示与规范形三、重积分重积分是对多元函数在给定区域上的积分,通过重积分可以计算出在多元函数定义的区域上的一些量的总和。
1.二重积分- 二重积分的概念与性质- 直角坐标系下的二重积分的计算- 极坐标系下的二重积分的计算2.三重积分- 三重积分的概念与性质- 柱坐标系下的三重积分的计算- 球坐标系下的三重积分的计算3.坐标变换与积分- 坐标变换的概念与方法- 二重积分与三重积分的坐标变换4.重积分的应用- 质量、重心、质心的计算- 总质量与平均密度的计算- 转动惯量与转动半径的计算四、无穷级数与幂级数无穷级数是指所含项的个数为无穷多个的数列之和,幂级数是指形如∑\(a_n(x-a)^n\)的形式的级数。
高等数学(下)知识点总结[汇编]
1.常微分方程:常微分方程是涉及未知函数在某个函数域内的导数与该未知函数自身
的关系的方程。
在常微分方程的解法中,可以使用分离变量法、齐次法等方法求解。
同时,也需要掌握一阶线性微分方程、一阶非线性微分方程、高阶线性微分方程等方程的解法。
3.多元函数微积分学:多元函数微积分学是研究多元函数的微积分理论及其应用的学科。
在多元函数微积分学的知识点中,需要掌握多元函数的极限、连续性、偏导数、方向
导数、梯度、多元函数的微分、多元函数的积分等内容。
4.向量代数与空间解析几何:向量代数与空间解析几何是研究向量相关理论及其在空
间解析几何中的应用的学科。
在向量代数与空间解析几何的知识点中,需要掌握向量的基
本运算、向量的数量积与向量积、直线及平面的方程、空间曲面方程等内容。
6.常微分方程的数值解法:常微分方程的数值解法是利用数值方法求解常微分方程的
近似解。
其中,欧拉法、龙格-库塔法等是常用的数值解法。
掌握常微分方程的数值解法
有利于在实际问题中应用数学知识进行求解。
以上就是高等数学下学期的知识点总结。
对于学习这门学科的学生来说,掌握以上知
识点是非常重要的,可以帮助他们更好地应对考试和实际问题的求解。
高等数学下册总结
高等数学下册主要涉及到的内容包括:多元函数的微积分、常微分方程、无穷级数等。
这些知识点较上册难度更大,需要更深入的理解和掌握。
下面对这些内容进行总结:
1. 多元函数的微积分:首先,需要掌握一元函数微积分的基
本概念和方法,包括导数、微分、极值和最值等。
在此基础上,需要学习多元函数的导数、偏导数、方向导数和梯度等概念,并能应用到实际问题中。
此外,还需要了解隐函数定理、反函数定理和极值判定定理等。
2. 常微分方程:常微分方程是描述物理、经济、生态等现象的重要工具。
首先,需要掌握一些基本概念和方法,如初值问题、线性方程组、欧拉法等。
然后,需要学习一阶、二阶和高阶常微分方程的常见解法,如分离变量法、齐次方程、变量分离法、常系数线性齐次二阶方程的解法等。
最后,需要应用所学知识解决实际问题,如振动问题、生长模型问题等。
3. 无穷级数:无穷级数是数学的基础概念之一。
首先,需要
掌握级数的基本概念和性质,如收敛、发散、绝对收敛、条件收敛等。
然后,需要学习级数收敛的测试方法,如比较判别法、积分判别法、级数比值判别法等。
最后,还需要会应用级数求和,如级数展开、泰勒级数等。
总之,高等数学下册的内容涉及范围较广,需要学生认真掌握每一个知识点,并能够灵活运用到实际问题中。
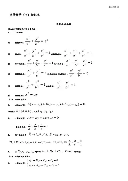
欢迎共阅高等数学(下)知识点主要公式总结第八章空间解析几何与向量代数 1、二次曲面1)椭圆锥面:22222z b y a x =+ 2)3)4)5)6)(二) 1、法向量:n2、3、两平面的夹角:),,(1111C B A n =,),,(2222C B A n =,⇔∏⊥∏210212121=++C C B B A A ;⇔∏∏21//212121C C B B A A ==4、点),,(0000z y x P 到平面0=+++D Cz By Ax 的距离:(三) 空间直线及其方程 1、一般式方程:⎪⎩⎪⎨⎧=+++=+++0022221111D z C y B x A D z C y B x A2、对称式(点向式)方程:p z z n y y m x x 000-=-=-方向向量:),,(p n m s =,过点),,(000z y x3、两直线的夹角:),,(1111p n m s = ,),,(2222p n m s =,⇔⊥21L L 0212121=++p p n n m m ;⇔21//L L 212121p p n n m m ==4、直线与平面的夹角:直线与它在平面上的投影的夹角,2、 微分法1)复合函数求导:链式法则若(,),(,),(,)z f u v u u x y v v x y ===,则z z u z v x u x v x ∂∂∂∂∂=⋅+⋅∂∂∂∂∂,z z u z v y u y v y∂∂∂∂∂=⋅+⋅∂∂∂∂∂ (二) 应用1)求函数),(y x f z =的极值解方程组⎪⎩⎪⎨⎧==0y x f f 求出所有驻点,对于每一个驻点),(00y x ,令),(00y x f A xx =,),(00y x f B xy =,),(00y x f C yy =,① 若AC ② 若AC ③ 若AC 2、 1)曲线⎪⎪⎩⎪⎪⎨⎧Γ:z y x 2) 曲面:∑(一) 二重积分:几何意义:曲顶柱体的体积1、 定义:∑⎰⎰=→∆=nk k k kDf y x f 1),(lim d ),(σηξσλ2、 计算: 1)直角坐标⎭⎬⎫⎩⎨⎧≤≤≤≤=b x a x y x y x D )()(),(21ϕϕ,21()()(,)d d d (,)d bx ax Df x y x y x f x y y φφ=⎰⎰⎰⎰⎭⎬⎫⎩⎨⎧≤≤≤≤=d y c y x y y x D )()(),(21φφ,21()()(,)d d d (,)d d y c y Df x y x y y f x y x ϕϕ=⎰⎰⎰⎰2) 极坐标⎭⎬⎫⎩⎨⎧≤≤≤≤=βθαθρρθρθρ)()(),(21D ,21()()(,)d d (cos ,sin )d Df x y x y d f βρθαρθθρθρθρρ=⎰⎰⎰⎰(二) 三重积分1、 定义:∑⎰⎰⎰=→Ω∆=nk kk k kv f v z y x f 1),,(limd ),,(ζηξλ2、 计算: 1)⎰⎰⎰Ωx f ,(⎰⎰⎰Ωx f (2)⎪⎪⎩⎪⎪⎨⎧===zz y x ρρ3)(三) 应用曲面z S :(一) 1、 2、设,(y x f 在曲线弧上有定义且连续,的参数方程为),(ψ⎪⎩⎨=t y ,其中在],[βα上具有一阶连续导数,且0)()(22≠'+'t t ψϕ,则(二) 对坐标的曲线积分 1、定义:设L 为xoy 面内从A 到B 的一条有向光滑弧,函数),(y x P ,),(y x Q 在L 上有界,定义∑⎰=→∆=nk kk k Lx P x y x P 1),(lim d ),(ηξλ,∑⎰=→∆=nk kk kLy Q y y x Q 1),(lim d ),(ηξλ.欢迎共阅向量形式:⎰⎰+=⋅LLy y x Q x y x P r F d ),(d ),(d2、计算:设),(,),(y x Q y x P 在有向光滑弧L 上有定义且连续,L 的参数方程为):(),(),(βαψϕ→⎪⎩⎪⎨⎧==t t y t x ,其中)(),(t t ψϕ在],[βα上具有一阶连续导数,且0)()(22≠'+'t t ψϕ,则 3、两类曲线积分之间的关系:设平面有向曲线弧为⎪⎩⎪⎨⎧==)()( t y t x L ψϕ:,L 上点),(y x 处的切向量的方向角为:βα,,cos α=则LP ⎰(三) 1、则有⎰⎰D 2、G 则x Q ∂∂(四) 1、 设∑定义⎰⎰∑2、:z =∑,xy ,则(五) 对坐标的曲面积分 1、 定义:设∑为有向光滑曲面,函数),,(),,,(),,,(z y x R z y x Q z y x P 是定义在∑上的有界函数,定义1(,,)d d lim (,,)()ni i i i xy i R x y z x y R S λξηζ∑→==∆∑⎰⎰同理,1(,,)d d lim (,,)()ni i i i yz i P x y z y z P S λξηζ∑→==∆∑⎰⎰;01(,,)d d lim (,,)()ni i i i zx i Q x y z z x R S λξηζ∑→==∆∑⎰⎰2、性质:1)21∑+∑=∑,则计算:——“一投二代三定号”),(:y x z z =∑,xy D y x ∈),(,),(y x z z =在xy D 上具有一阶连续偏导数,),,(z y x R 在∑上连续,则(,,)d d [,,(,)]d d x yD R x y z x y R x y z x y x y ∑=±⎰⎰⎰⎰,∑为上侧取“+”,∑为下侧取“-”.3、 两类曲面积分之间的关系:其中γβα,,为有向曲面∑在点),,(z y x 处的法向量的方向角。
高数同济版下高数(下)小结一、微分方程复习要点解微分方程时,先要判断一下方程是属于什么类型,然后按所属类型的相应解法求出其通解. 一阶微分方程的解法小结:高数同济版下二阶微分方程的解法小结:非齐次方程的特解的形式为:高数同济版下主要一阶1、可分离变量方程、线性微分方程的求解; 2、二阶常系数齐次线性微分方程的求解; 3、二阶常系数非齐次线性微分方程的特解二、多元函数微分学复习要点一、偏导数的求法 1、显函数的偏导数的求法时,应将看作常量,对求导,在求时,应将看作常量,对求导,所运用的是一元函数的求导法则与求导公式2、复合函数的偏导数的求法设,,,则,几种特殊情况: 1),,,则2),,则 3),则3、隐函数求偏导数的求法 1)一个方程的情况,设是由方程唯一确定的隐函数,则,高数同济版下或者视,由方程两边同时对 2)方程组的情况由方程组 . 两边同时对求导解出即可二、全微分的求法方法1:利用公式方法2:直接两边同时求微分,解出即可.其中要注意应用微分形式的不变性:三、空间曲线的切线及空间曲面的法平面的求法 1)设空间曲线Г的参数方程为,则当时,在曲线上对应处的切线方向向量为,切线方程为法平面方程为2)若曲面的方程为,则在点处的法向,切平面方程为法线方程为高数同济版下若曲面的方程为,则在点处的法向,切平面方程为法线方程为四、多元函数极值(最值)的求法 1 无条件极值的求法设函数在点的某邻域内具有二阶连续偏导数,由,解出驻点,记, 1)若时有极小值 2)若,则在点处无极值 3)若,不能判定在点处是否取得极值,则在点处取得极值,且当时有极大值,当2 条件极值的求法函数在满足条件下极值的方法如下: 1)化为无条件极值:若能从条件解出代入中,则使函数成为一元函数无条件的极值问题 2)拉格朗日乘数法作辅助函数,其中为参数,解方程组高数同济版下求出驻点坐标,则驻点可能是条件极值点 3 最大值与最小值的求法若多元函数在闭区域上连续,求出函数在区域内部的驻点,计算出在这些点处的函数值,并与区域的边界上的最大(最小)值比较,最大(最小)者,就是最大(最小)值. 主要1、偏导数的求法与全微分的求法;2、空间曲线的切线及空间曲面的法平面的求法3、最大值与最小值的求法三、多元函数积分学复习要点七种积分的概念、计算方法及应用如下表所示:高数同济版下高数同济版下*定积分的几何应用定积分应用的常用公式: (1)面积 (2)体积(型区域的面积)(横截面面积已知的立体体积)(所围图形绕的立体体积)(所围图形绕体体积)(所围图形绕轴的立体体积)。
大一高数下知识点总结详细大一的下学期,高等数学课程内容较为深入,学生们需要掌握更多的数学知识点。
以下是对大一高数下学期的知识点总结,帮助学生们回顾和巩固所学内容。
1. 极限与连续- 函数极限的概念和性质- 常见函数的极限计算- 无穷小量和无穷大量- 连续函数的定义和性质- 已知导函数求原函数2. 导数与微分- 导数的定义和性质- 基本的导数公式- 高阶导数与高阶微分- 隐函数的求导法则- 参数方程的求导法则3. 微分中值定理与导数应用- 罗尔定理与拉格朗日中值定理 - 洛必达法则与洛必达不定式计算 - 反函数求导法则- 曲线的凹凸性和拐点- 最值问题的求解4. 不定积分- 不定积分的定义和性质- 基本的不定积分公式- 换元法和分部积分法- 有理函数的积分- 特殊函数的积分计算5. 定积分- 定积分的概念和性质- 牛顿-莱布尼茨公式- 平均值定理和积分中值定理 - 定积分的几何应用- 参数方程下的弧长与曲线面积6. 微分方程基础- 微分方程的定义和基本概念 - 一阶常微分方程求解- 可分离变量方程和齐次方程 - 二阶线性常微分方程- 常系数线性常微分方程7. 多元函数与偏导数- 多元函数的定义和性质- 偏导数的概念及其计算- 隐函数求导与全微分- 多元函数的极值与条件极值 - 二重积分的概念和计算8. 重积分- 三重积分的概念和计算- 坐标变换与重积分的应用 - 曲线曲面的面积和体积- 重积分的物理应用- 广义积分的概念和收敛性9. 空间解析几何- 点、向量及其运算- 点线面的关系- 平面与直线的位置关系- 空间曲线与曲面- 曲线与曲面的参数方程以上是大一高数下学期的主要知识点总结,希望对广大大一学生有所帮助。
通过复习和掌握这些知识点,相信你将能够顺利应对考试,并打下坚实的数学基础。
加油!。
大一高数下册总结知识点高等数学是大学数学教学中的一门重要课程,为了帮助大家更好地掌握高数下册的知识,以下是对该学期知识点进行的全面总结。
一、导数与微分1. 导数的定义和基本性质:导数的定义、导数的几何意义、导数的四则运算、导数的代数运算法则等。
2. 常用函数的导数:多项式函数、幂函数、指数函数、对数函数、三角函数等函数的导数。
3. 高阶导数与高阶微分:高阶导数的定义、高阶导数与高阶微分的关系、高阶导数的几何意义等。
二、常微分方程1. 常微分方程的基本概念:微分方程的定义、常微分方程和常微分方程解的关系。
2. 一阶常微分方程:可分离变量的一阶微分方程、首次线性微分方程、恰当方程等。
3. 高阶常微分方程:二阶线性常微分方程、齐次线性微分方程、非齐次线性微分方程等。
三、多元函数微分学1. 多元函数的极限与连续性:多元函数极限的定义和性质、多元函数连续性的定义和性质。
2. 偏导数和全微分:偏导数的定义和性质、全微分的定义和性质。
3. 隐函数与参数方程:隐函数的存在定理、参数方程及其求导法则。
四、多元函数的积分学1. 重积分:二重积分的概念、性质和计算方法,三重积分的概念、性质和计算方法。
2. 曲线积分与曲面积分:第一类曲线积分、第二类曲线积分及其计算方法,曲面积分及其计算方法。
3. 广义积分:广义积分的定义和性质、收敛性判定、常用的广义积分计算方法等。
五、无穷级数1. 数项级数:正项级数、任意项级数、级数的收敛、发散和条件收敛等概念。
2. 幂级数:幂级数的收敛半径、收敛域、幂函数展开、函数的幂级数展开等内容。
3. Taylor级数和Maclaurin级数:函数的Taylor展开、Maclaurin级数的计算等。
六、空间解析几何1. 点、直线、平面的位置关系:平面的点法式与一般式、直线的点向式与一般式等内容。
2. 空间曲线与曲面:空间曲线的参数方程与一般方程、曲面的参数方程与一般方程等。
七、数列与数列极限1. 数列极限:数列收敛与发散的定义和判定、无穷极限的性质等。
大一高数下知识点总结归纳大一的高数下学期是许多学生的首次接触到高等数学的专业课程。
这门课程通常包含了微积分的基础知识和一些简单的微分方程。
在这篇文章中,我将对大一高数下的一些重要知识点进行总结和归纳。
1. 导数与微分
- 导数的定义和计算方法
- 导数的几何意义和物理意义
- 微分的定义和计算方法
- 微分的应用:局部线性化、近似计算等
2. 函数的极限
- 极限的概念和性质
- 无穷小量和无穷大量
- 极限的计算方法:夹逼准则、洛必达法则等
- 极限存在的判定方法
3. 连续函数
- 连续函数的定义和性质
- 连续函数的运算法则
- 间断点和间断函数的分类和性质
4. 导数的应用
- 极值与最值问题:闭区间最值定理、开区间最值定理等
- 切线与法线方程
- 函数的单调性与凹凸性
- 曲线的凹凸性与拐点
5. 微分方程
- 微分方程的概念和基本解
- 可分离变量方程、一阶线性常微分方程和二阶常系数齐次线性微分方程的解法
- 变量可分离和齐次线性微分方程的应用
6. 级数
- 级数的概念和收敛性
- 常见级数收敛性的判定方法:比值判别法、根值判别法等 - 幂级数和泰勒级数的应用
以上仅是大一高数下课程的一些主要知识点,每个知识点都需要深入学习和理解。
在学习过程中,建议大家多做习题和实践操作,加深对概念和方法的理解。
此外,及时和老师或同学交流讨论问题,相互学习和进步。
通过对这些知识点的总结和归纳,相信大家对于大一高数下的内容有了更清晰的了解。
希望本文对你的学习有所帮助,祝愿大家在高数课程中取得优异的成绩!。
高等数学下知识点总结高等数学是大学阶段的一门重要课程,它是数学的一个重要分支,也是理工科学生必修的一门课程。
高等数学下学期的内容相对较为复杂,包括微分方程、多元函数微积分、无穷级数等知识点。
下面我们将对高等数学下知识点进行总结,希望能够帮助大家更好地理解和掌握这门课程。
1. 微分方程。
微分方程是研究函数的微分和积分的关系的数学分支,它在物理、化学、生物等领域有着广泛的应用。
微分方程分为常微分方程和偏微分方程两大类,常微分方程是指未知函数的自变量只有一个自变量的微分方程,而偏微分方程是指未知函数的自变量有两个或两个以上的微分方程。
在学习微分方程时,需要掌握常微分方程的解法、一阶线性微分方程、二阶线性常系数齐次微分方程等内容。
2. 多元函数微积分。
多元函数微积分是高等数学下的重要内容,它是对多元函数的微分和积分进行研究。
在学习多元函数微积分时,需要了解多元函数的极限、偏导数、全微分、多元函数的微分法、多元函数的积分计算等知识点。
同时,还需要掌握多元函数的梯度、散度、旋度等概念,这些知识对于理解物理、工程等领域的问题具有重要意义。
3. 无穷级数。
无穷级数是指由无穷多项式组成的级数,它在数学分析、实变函数等领域有着重要的应用。
在学习无穷级数时,需要了解级数的收敛性、级数的性质、级数的审敛法等内容。
同时,还需要掌握级数的收敛域、幂级数、傅立叶级数等知识点,这些知识对于理解物理、信号处理等领域的问题具有重要意义。
4. 空间解析几何。
空间解析几何是高等数学下的一门重要课程,它是对空间中点、直线、平面等几何对象进行研究的数学分支。
在学习空间解析几何时,需要了解空间中直线和平面的方程、空间曲线的参数方程、空间曲面的方程等知识点。
同时,还需要掌握空间中直线和平面的位置关系、空间曲线的切线、法平面等内容,这些知识对于理解三维空间中的几何关系具有重要意义。
总之,高等数学下的知识点涉及到微分方程、多元函数微积分、无穷级数、空间解析几何等内容,这些知识对于理解和应用数学具有重要意义。
高数下知识点总结一、微积分1. 函数和极限函数是自然界和社会现象中的一般规律性联系的数学抽象。
以实数域为定义域和值域的实函数是微积分的主要研究对象。
极限是微积分的基本概念,它是描述函数在某点附近的性质的数学工具。
在微积分中,我们讨论函数在某一点的极限,以及函数在无穷远处的极限和无穷大的极限等各种情况。
2. 导数和微分导数是函数在某一点的变化率的极限,用来描述函数的局部性质。
微分是导数的几何意义,它是关于函数的线性逼近的一种数学方法。
在微积分中,我们讨论导数的定义、求导法则、高阶导数、微分和微分中值定理等内容。
3. 积分和微积分基本定理积分是导数的逆运算,它描述了函数在一定区间内的总体变化量。
微积分基本定理是微积分中的核心定理,它建立了积分和导数之间的联系。
在微积分中,我们讨论不定积分、定积分、变限积分、积分中值定理等内容。
4. 微分方程微分方程是微积分的一个重要应用领域,它是描述自然和社会现象中变化规律的数学模型。
微分方程可以分为常微分方程和偏微分方程两大类,涵盖了许多重要的理论和方法。
在微积分中,我们讨论微分方程的基本概念、解的存在唯一性、解的性质、微分方程的分类和常见的解法等内容。
二、矩阵论1. 矩阵和行列式矩阵是线性代数的基本工具,它是一个按照矩形排列的数的集合。
行列式是矩阵的一个重要性质,它是由矩阵的元素按照一定规则组合而成的一个数。
在矩阵论中,我们讨论矩阵的基本操作、矩阵的性质、矩阵的代数运算、矩阵的逆、行列式的性质和展开等内容。
2. 线性方程组线性方程组是矩阵论的一个重要应用领域,它是由线性方程组成的一种数学模型。
线性方程组的解是矩阵的一个重要性质,它描述了线性方程组的解空间和解的个数。
在矩阵论中,我们讨论线性方程组的标准形、增广矩阵、线性方程组的解的性质、线性方程组的解的分类和解的存在唯一性等内容。
3. 特征值和特征向量特征值和特征向量是矩阵的一个重要性质,它描述了矩阵的变换规律和对称性质。
高等数学下册知识点归纳高等数学下册知识点归纳高等数学下册作为大学数学课程中的重要一环,其课程内容涵盖了微积分以及线性代数等多个重要领域,相信对于每个学习高等数学的学生来说,都必须要掌握其相应的知识点。
本文将从微积分和线性代数两个方面,对高等数学下册的知识点进行归纳总结,以供大家参考学习。
一、微积分1.导数与微分导数是微积分的核心概念之一,可以帮助我们研究函数的斜率、速度、加速度以及最值等问题。
在学习导数时,需要了解导数的定义与性质、基本初等函数的导数公式、高阶导数、隐函数的导数、参数方程的导数以及向量值函数的导数等内容。
而微分则是求导数的方法之一,其重要性在于可以将函数的微小变化与函数值联系起来,从而更好地理解函数的变化规律。
在学习微分时,需要认识微分的定义及其性质、微分的基本公式、微分中值定理以及微分中的应用。
2.积分与定积分积分是微分的逆运算,其运用十分广泛,可以帮助我们求出函数的面积、体积、重心、质心以及积累效应等问题。
在学习积分时,需要了解积分的定义、基本计算公式、换元积分法、分部积分法、定积分的性质以及定积分的应用等内容。
而定积分则是积分的一种形式,旨在求解有限区间内的面积与体积等问题。
在学习定积分时,需要掌握定积分的本质及其性质、定积分的计算方法、定积分的应用以及牛顿-莱布尼茨公式等重点内容。
3.微积分基本定理微积分基本定理包括牛顿-莱布尼茨公式和积分中值定理。
在牛顿-莱布尼茨公式中,当函数f在[a,b]上连续可导时,积分f(x)dx在[a,b]上的值等于F(b)-F(a),其中F(x)是f(x)的一个原函数。
而在积分中值定理中,则指存在一个c∈[a,b],使得f(c)×(b-a)=∫abf(x)dx。
这两个定理是微积分的核心,为高等数学学习提供了基础。
二、线性代数1.向量空间与线性变换向量空间和线性变换是线性代数中的重要概念,向量空间是指一些向量的集合,满足一定的条件和性质;线性变换是指两个向量空间之间的映射,满足一定的线性性质。
高数下知识点总结在学习高等数学的过程中,学生会接触到许多重要的知识点,这些知识点对于理解数学的核心概念和解决问题非常重要。
在高数下学期,学生开始学习微积分和线性代数等更加深入和抽象的数学概念,这些知识点对于理解数学的进阶知识和在实际问题中的应用都至关重要。
本文将对高数下的一些重要知识点进行总结和介绍,希望能够对学生的学习和复习有所帮助。
1. 微分学微分学是高等数学中非常重要的一部分,它主要包括了导数和微分的相关概念。
在微分学中,有一些重要的概念和定理需要特别注意,比如导函数和微分的定义、导数的运算法则、高阶导数和隐函数求导等。
此外,微分学还涉及到极值问题、曲线的凹凸性和曲率等内容,这些知识在理解数学问题和解决实际问题中都非常有用。
2. 积分学积分学是微分学的延续,它主要包括了定积分和不定积分的相关概念。
在积分学中,重要的知识点包括了积分的定义和性质、不定积分和定积分的计算方法、反常积分和积分变量替换等。
此外,积分学还涉及到变限积分、定积分的应用、求面积和定积分的物理意义等内容,这些知识对于理解微积分的核心思想和解决实际问题非常重要。
3. 微分方程微分方程是微分学的延伸,它主要包括了一阶微分方程和高阶微分方程的相关概念。
在微分方程中,重要的知识点包括了微分方程的基本概念和分类、一阶微分方程的解法、二阶线性常系数微分方程和常微分方程组的解法等。
此外,微分方程还涉及到非线性微分方程、微分方程的数值解法和微分方程的应用等内容,这些知识对于理解微分方程的重要思想和解决实际问题非常有帮助。
4. 线性代数线性代数是高等数学中另一个非常重要的部分,它主要包括了向量和矩阵的相关概念。
在线性代数中,重要的知识点包括了向量的定义和性质、向量的线性运算、向量的数量积和向量的叉积等。
此外,线性代数还涉及到矩阵的定义和性质、矩阵的运算法则、矩阵的行列式和矩阵的逆等内容,这些知识对于理解线性代数的核心概念和解决实际问题非常重要。
高数下册知识点高等数学下册包含了许多重要的知识点,这些知识点不仅在数学领域有着广泛的应用,也为其他学科的学习和研究提供了重要的工具。
以下是对高数下册一些关键知识点的详细介绍。
一、多元函数微分学多元函数微分学是研究多元函数的导数和微分的学科。
其中,偏导数是重点之一。
对于多元函数 z = f(x, y),偏导数∂z/∂x 表示固定 y 时,函数 z 对 x 的变化率;∂z/∂y 则表示固定 x 时,函数 z 对 y 的变化率。
全微分是另一个重要概念。
如果函数 z = f(x, y)在点(x, y)处的全增量Δz 可以表示为Δz =AΔx +BΔy +o(ρ)(其中ρ =√(Δx² +Δy²),A、B 与Δx、Δy 无关),则称函数 z 在点(x, y)处可微分,AΔx +BΔy 称为函数 z 在点(x, y)处的全微分,记为 dz =AΔx +BΔy。
多元复合函数求导法则也是必须掌握的。
比如,如果函数 u =φ(x, y),v =ψ(x, y),而 z = f(u, v),那么通过链式法则可以求出∂z/∂x 和∂z/∂y。
隐函数求导法则在解决一些方程所确定的隐函数的导数问题时非常有用。
二、重积分重积分包括二重积分和三重积分。
二重积分的概念可以通过曲顶柱体的体积来引入。
在直角坐标系下,计算二重积分通常可以将其化为累次积分。
在极坐标系下,对于一些具有圆形或扇形对称性的区域,使用极坐标计算二重积分会更加简便。
三重积分与二重积分类似,也有其定义和计算方法。
在直角坐标系下,三重积分可以化为三次累次积分;在柱面坐标系和球面坐标系下,对于具有相应对称性的区域,使用这些坐标系计算三重积分会更高效。
重积分在计算物体的质量、重心、转动惯量等方面有着广泛的应用。
三、曲线积分与曲面积分曲线积分分为对弧长的曲线积分和对坐标的曲线积分。
对弧长的曲线积分的物理意义可以理解为曲线形构件的质量。
对坐标的曲线积分与变力沿曲线做功的问题密切相关。
大一高数下册知识点手写在大一的高等数学课程中,下册的知识点是我们学习的重点。
本文将对下册知识点进行手写总结,以帮助同学们更好地学习和复习。
一、导数与微分1. 导数的概念与几何意义- 定义:导数是函数在某一点处的变化率,表示函数曲线在该点的切线斜率。
- 几何意义:导数可以表示曲线的切线斜率,切线斜率越大,曲线变化越快。
2. 导数的计算方法- 基本求导法则:常数、幂函数、指数函数、对数函数、三角函数等的导数公式。
- 特殊函数的导数:反函数、复合函数的导数计算方法。
3. 微分的概念与应用- 定义:微分是描述函数在某一点附近的线性近似。
- 应用:微分可以用于近似计算和误差估计,也可以用于优化问题的求解。
二、定积分与不定积分1. 定积分的概念与几何意义- 定义:定积分是函数在给定区间上的积分,表示曲线与坐标轴之间的有限面积。
- 几何意义:定积分可以用于计算曲线下的面积、弧长、质量等。
2. 定积分的计算方法- 基本计算法则:分割求和法、不定积分法。
- 特殊函数的定积分:反函数、复合函数的定积分计算方法。
3. 不定积分与原函数- 不定积分的定义和基本性质。
- 原函数的概念和求解方法。
三、微分方程1. 常微分方程的定义与分类- 定义:常微分方程是含有一或多个未知函数及其导数的方程。
- 分类:一阶常微分方程、二阶常微分方程等。
2. 解微分方程的基本方法- 可分离变量法:将方程进行变形,使得未知函数和自变量可以分离,再进行积分求解。
- 齐次方程法:对方程进行适当的变换,使其具备齐次性质,然后进行代换求解。
- 一阶线性微分方程法:将方程化为一阶线性微分方程形式,利用积分因子求解。
- 高阶线性方程的通解求解方法。
四、多元函数与偏导数1. 多元函数的定义与性质- 定义:多元函数是含有多个自变量和一个因变量的函数。
- 性质:定义域、值域、奇偶性、周期性等。
2. 偏导数的概念与计算方法- 定义:偏导数是多元函数在某一点上关于某个自变量的变化率。
第六章 微分方程一、一阶微分方程1、一阶线性方程)()(x Q y x P dxdy=+])([)()(C dx e x Q e y dx x P dxx P +⎰⎰=⎰-通解2、伯努利方程)1,0()()(d d ≠=+n y x Q y x P xyn ).()(d d 1111x Q y x P xy n n n=+⋅---令.1n y z -= 二、可降阶的高阶方程1.)()(x f y n =n 次积分2.)',("y x f y = 不显含y令)('x p y =,化为一阶方程 ),('p x f p =。
3.)',("y y f y = 不显含自变量令)('y p y =,dydpp dx y d =22,化为一阶方程。
三、线性微分方程)()()()(1)1(1)(x f y x a y x a y x a y n n n n =+'+++-- ,0)(≡x f 时称为齐次的,0)(≡/x f 称为非齐次的。
1.二阶线性齐次线性方程0)()(=+'+''y x Q y x P y (1)如果函数)(1x y 与)(2x y 是方程(1)的两个解,则)()(2211x y C x y C y += 也是(1)的解,其中21,C C 是任意常数。
如果)(1x y 与)(2x y 是方程(1)的两个线性无关的特解,则)()(2211x y C x y C y += (21,C C 是任意常数)是(1)的通解.两个函数)(1x y 与)(2x y 线性无关的充要条件为C x y x y ≡/)()(21(常数)2.二阶线性非齐次线性方程设)(*x y 是二阶线性非齐次线性方程 )()()(x f y x Q y x P y =+'+''的一个特解,)(x Y 是它对应的齐次方程(1)的通解,则 )()(*x y x Y y += 是该方程的通解.设)(*1x y 与)(*2x y 分别是二阶线性非齐次方程)()()(1x f y x Q y x P y =+'+'' 与 )()()(2x f y x Q y x P y =+'+''的两个特解。
则+)(*1x y )(*2x y 是)()()()(21x f x f y x Q y x P y +=+'+''的特解。
(叠加原理)3.二阶线性常系数齐次方程0'"=++qy py y02,r r 4.二阶线性常系数非齐次方程i) 如果x m e x P x f λ)()(=,则二阶线性常系数非齐次方程具有形如x m k e x Q x y λ)(*= 的特解。
其中,)(x P m 是m 次多项式, )(x Q m 也是系数待定的m 次多项式;2,1,0=k 依照λ为特征根的重数而取值.i)如果[]x x P x x P e x f n l x ωωλsin )(cos )()(+=,则二阶线性常系数非齐次方程的特解可设为[]xx R x x R e x y m m x k ωωλsin )(cos )()2()1(*+=其中)(),()2()1(x R x R m m 是系数待定的m次多项式,{}n l m ,m ax =,1,0=k 依照ωλi +特征根的重数取值.四、欧拉方程二阶欧拉方程)(2x f qy y px y x =+'+'',其中q p ,为常数. 作变换te x =,则有 dtdy x dx dt dt dy dx dy 1=⋅=,⎪⎪⎭⎫⎝⎛-=dt dy dt y d x dx y d 222221。
原方程变为二阶线性常系数方程)()1(22te f qy dtdy p dx y d =+-+。
第七章 空间解析几何一、1、φβαβαsin ||||||=⨯,其中φ是α与β的夹角;2、向量积满足下列运算律: 1)反交换律 )(αββα⨯-=⨯;2)结合律)()()(βλαβαλβαλ⨯=⨯=⨯,其中λ是数量 ;3) 左分配律 βγαγβαγ⨯+⨯=+⨯)(,右分配律 γβγαγβα⨯+⨯=⨯+)(.3、321321212131313232b b b a a a k j i k b b a a j b b a a i b b a a=+-=⨯βα 4、若0},,{321≠=a a a α,则ααα||10=称为α单位化向量,并有||ααα=.此时}cos ,cos ,{cos ,,2322213232221223222110γβαα=⎪⎭⎪⎬⎫⎪⎩⎪⎨⎧++++++=a a a a aa a a a a a a 其中 是α的方向余弦.三、1、旋转面方程yoz 平面上的曲线C :⎩⎨⎧==00),(x z y f 绕z 轴的旋转面方程为0),(22=+±z y x f ;绕y 轴的旋转面方程为0),(22=+±z x y f .类似可得其它坐标面上的曲线绕坐标轴的旋转面方程.2、柱面方程以xoy 平面上的曲线C :⎩⎨⎧==00),(z y x f 为准线,母线平行于z 轴的柱面方程为0),(=y x f .同理方程0),(=z y g 和0),(=z x h 分别表示母线平行于x 轴和y 轴的柱面.3、曲线在坐标面上的投影 在空间曲线的方程 ⎩⎨⎧==0),,(0),,(:21z y x F z y x F C 中,经过同解变形分别消去变量z y x ,,,则可得到C 在yoz 、xoz 、xoy 平面上的投影曲线,分别为:⎩⎨⎧==00),(x z y F ; ⎩⎨⎧==00),(y z x G ;⎩⎨⎧==0),(z y x H γβαcos ,cos ,cos四、1、平面方程1)点法式:过点),,(0000z y x P ,法向量},,{C B A n =的平面方程为0)()()(000=-+-+-z z C y y B x x A ,2)一般式: 0=+++D Cz By Ax ,其中C B A ,,不全为零.3)截距式:1=++czb y a x4)两个平面之间的关系设两个平面Π1与Π2的法向量依次为},,{1111C B A n =和},,{2222C B A n =.Π1与Π2的夹角θ规定为它们法向量的夹角(取锐角).此时2、直线方程1)一般式:将直线表示为两个平面的交线⎩⎨⎧=+++=+++0022221111D z C y B x A D z C y B x A . 2)若直线L 经过点),,(0000z y x P 且与方向向量0},,{≠=n m l v 平行,则L 的方程为i) 对称式:nz z m y y l x x 000-=-=-.ii) 参数式:⎪⎩⎪⎨⎧+=+=+=tn z z t m y y t l x x 000,+∞<<∞-t.3)两条直线之间的关系设两条直线L 1和L 2方向向量分别为 },,{,},,{22221111n m l v n m l v ==,L 1 与 L 222 2 2 2 2 2 1 2 1 2 1 2 1 2 1 2 1 2 1 21 || | | | | | | co C B A C B A C C B B A A n n n n + + ⋅ + + + + = ⋅ • = θ的夹角θ规定为它们方向向量的夹角(取锐角).于是2222222121212121212121||||||||cos n m l n m l n n m m l l v v v v ++⋅++++=⋅•=θ3、直线与平面的关系设直线L 的方向向量为},,{n m l v = ,平面 Π 的法向量为},,{C B A n =.L与Π的夹角φ规定为L 与它在Π上投影直线'L 的夹角(锐角).这时222222||||||||sin C B A n m l nC mB lA n v n v ++⋅++++=⋅•=φ.L 与 Π 垂直的充要条件是 CnB m A l == .L 与 Π 平行的充要条件是0=++nC mB lA五、1、椭圆抛物面:2222by a x z +=,其中0,0>>b a(图3).例如22y x z+=,22y x z +=-等.2、椭圆锥面: 22222by a xz += ,其中0,0>>b a (图4).例如,圆锥面222y x z +=.3、单叶双曲面1222222=-+cz b y a x , 其中0,0,0>>>c b a (图5).图4y例如 1222=-+z y x .4、双叶双曲面 1222222-=-+cz b y a x , 其中0,0,0>>>c b a(图6).例如1222=--y x z .第八章 多元函数的微分学一、1.偏导数xy x f y x x f y x f x x ∆-∆+=→∆),(),(lim),(0000000[]0'),(),(000x x x y x f y x f ==对某一个自变量求偏导数,就是将其余的自变量看作常数,对这个变量求一元函数的导数. 2.高阶偏导数二元函数),(y x f 的二阶偏导数),(),(1122y x f y x f xzx z x xx ==∂∂=⎪⎭⎫ ⎝⎛∂∂∂∂ ,或 11f ,11z ; ),(),(122y x f y x f yx zx z y xy ==∂∂∂=⎪⎭⎫ ⎝⎛∂∂∂∂,或 12f ,12z ; ),(y x f xy 及),(y x f yx 称为二阶混合偏导数3、全微分6)二元函数),(y x f z =在点),(y x 处的全微分dy yz dx x z dz ∂∂+∂∂=三元函数),,(z y x f u =的全微分,并有dz zu dy y u dx x u du ∂∂+∂∂+∂∂=4、可微、可导、连续的关系在多元函数中,可微、可导、连续的关系与一元函数的情况有所不同.在多元函数中1)可微必可导,可导不一定可微; 2)可微必连续,连续不一定可微; 3)可导不一定连续,连续不一定可导5、复合函数的偏导数假设下列函数都可微,则有复合函数的求导公式(链式法则): a.若),(v u f z =,)(x uϕ=,)(x v ψ=,则复合函数)](),([x x f z ψϕ=的导数为dx dz =dx du u z ∂∂+dxdvv z ∂∂; b.若),(v u f z =,),(y x u ϕ=,),(y x v ψ=, 则复合函数)],(),,([y x y x f z ψϕ=的偏导数x z ∂∂=x u u z ∂∂∂∂+xvv z ∂∂∂∂ , y z ∂∂=y u u z ∂∂∂∂+y v v z ∂∂∂∂;6、隐函数的偏导数1)方程 0),(=y x F 所确定的隐函数的导数为yx F Fdx dy -=. 2)方程 0),,(=z y x F 所确定隐函数的偏导数为z x F F x z -=∂∂ , zy F F y z-=∂∂. 二、1、取得极值的必要条件如果函数),(y x f z=在点),(000y x P 的两个偏导数都存在,且在该点函数取得极值,则 0),(00=y x f x , 0),(00=y x f y . 可导的极值点必是驻点,但极值点不一定是驻点. 2.取得极值的充分条件设),(y x f z =在驻点),(00y x 的某个邻域内有二阶的连续偏导数. 令),(00y x f A xx =, ),(00y x f B xy =,),(00y x f C yy =, AC B -=∆2,于是有1)如果0<∆,则点),(00y x 是函数的极值点.当0<A 时,),(00y x f 是极大值 , 当0>A 时,),(00y x f 是极小值. 2)如果0>∆,则点),(00y x 不是函数的极值点.3)如果0=∆,则函数),(y x f z =在点),(00y x 有无极值不能确定,需用其它方法判别. 3.条件极值1)求二元函数),(y x f z =在约束条件),(y x ϕ=0下的极值,可以按照如下步骤进行:i) 构造拉格朗日函数 ),(),(),(y x y x f y x L λϕ+=;ii) 解方程组 ⎪⎪⎪⎩⎪⎪⎪⎨⎧==+=∂∂=+=∂∂0),(0),(),(0),(),(y x y x y x f y L y x y x f x Ly y x x ϕϕλϕλ.若 000,,y x λ是方程组的解,则),(00y x 是该条件极值问题的可疑极值点.三、多元微分学的几何应用1.空间曲线的切线与法平面给定空间曲线 ⎪⎩⎪⎨⎧===)()()(:t z z t y y t x x L ,其中的三个函数有连续的导数且导数不同时为零(光滑曲线).L 上的点),,(0000z y x P 对应的参数为0t.则曲线L 在点),,(0000z y x P 处的切向量为})(',)(',)('{000t z t y t x ,此时的切线方程为)(')(')('000000t z z z t y y y t x x x -=-=- . 曲线L 在点),,(0000z y x P 的法平面方程为))(('))(('))(('000000=-+-+-z z t z y y t y x x t x2.曲面的切平面与法线给定曲面∑的方程0),,(=z y x F ,函数),,(z y x F 有连续的偏导数且三个偏导数不同时为零(光滑曲面).点),,(0000z y x P 是∑上的一个点.则曲面∑在点),,(0000z y x P 处的法向量为}),,(,),,(,),,({000000000z y x F z y x F z y x F z y x ,此时的切平面方程为0))(,,())(,,())(,,(000000000000=-+-+-z z z y x F y y z y x F x x z y x F z y x ,曲面∑在点),,(0000z y x P 的法线方程为),,(),,(),,(000000000000z y x F z z z y x F y y z y x F x x z y x -=-=- .四.方向导数与梯度1.若函数 ),,(z y x f u =在点),,(z y x P 可微,方向l 的方向余弦为γβαcos ,cos ,cos ,则函数在点),,(z y x P 沿方向l 的方向导数为γβαcos cos cos zu y u x u l u ∂∂+∂∂+∂∂=∂∂. 2.设函数),,(z y x f u =在空间区域G 内可微,则函数在点),,(0000z y x P 处的梯度定义为一个向量grad ),,(000z y x f =k z y x f j z y x f i z y x f z y x),,(),,(),,(000000000++.梯度方向是函数变化率最大的方向.在梯度方向上函数的方向导数取得最大值|),,(grad |000z y x f .第九章 重积分一、 二重积分的计算||D d D=⎰⎰σ1.直角坐标下二重积分的计算 1)若积分区域可以表示为D :,b x a ≤≤)()(21x y x ϕϕ≤≤,则⎰⎰⎰⎰=)()(21),(),(x x b aDdy y x f dx dxdy y x f ϕϕ2)若积分区域可以表示为 D :,d y c ≤≤)()(21y x y ψψ≤≤,则⎰⎰⎰⎰=)()(21),(),(y y dcDdx y x f dy dxdy y x f ψψ.2.极坐标下二重积分的计算直角坐标与极坐标的关系为 ⎩⎨=θsin r y ,.20πθ<≤此时面积元素为θσrdrd d =或θrdrd dxdy =.若在极坐标下积分区域可以表示为 )()(,:21θϕθϕβθα≤≤≤≤r D ,则⎰⎰⎰⎰⎰⎰==)()(21)sin ,cos ()sin ,cos (),(θϕθϕβαθθθθθθrdrr r f d rdrd r r f dxdy y x f DD二、三重积分的计算||1Ω==⎰⎰⎰⎰⎰⎰ΩΩdv dv ,||Ω表示Ω的体积.1.直角坐标下三重积分的计算 1)“先一后二”法若积分区域可表示为Ω:),(),(,)()(,2121y x z z y x z x y y x y b x a ≤≤≤≤≤≤,则⎰⎰⎰⎰⎰⎰=Ω),(),(21),,(),,(y x z y x z D dzz y x f dxdy dxdydz z y x f xy⎰⎰⎰=),(),()()(2121),,(y x z y x z x y x y badz z y x f dy dx其中xy D 是Ω在xoy 坐标面上的投影. 2) “先二后一”法设积分区域Ω在z 轴上的投影区间为],[d c .用平面z =z (常数)去截Ω,截面为z D .则⎰⎰⎰⎰⎰⎰=ΩzD d cdxdy z y x f dz dxdydz z y x f ),,(),,( 其中⎰⎰zD dxdy z y x f ),,(是将z D 投影到xoy 坐标面上所做的二重积分.2.柱面坐标下三重积分的计算直角坐标与柱面坐标的关系为 ⎪⎩⎪⎨+∞<<∞-=<≤=z z z r y πθθ20sin ,,则体积元素为dz rdrd dv θ=或 dz rdrd dxdydz θ=.若积分区域在柱面坐标下可表示为:Ω,βθα≤≤)()(21θθr r r ≤≤,),(),(21θθr z z r z ≤≤,则⎰⎰⎰⎰⎰⎰ΩΩ=dzrdrd z r r f dxdydz z y x f θθθ),sin ,cos (),,(⎰⎰⎰=),(),()()(2121),sin ,cos (θθθθβαθθθr z r z r r rdz z r r f dr d3.球面坐标下计算三重积分直角坐标与球面坐标的关系为⎪⎩⎪⎨⎧===ϕϕθϕθcos sin sin sin cos r z r y r x ,πθπϕ2000<≤≤≤+∞<≤r ,体积元素为θϕϕd drd r dv sin 2= 或 θϕϕd drd r dxdydz sin 2=. 如果积分区域在球面坐标下可表示为Ω:,βθα≤≤),(),(,)()(2121θϕθϕθϕϕθϕr r r ≤≤≤≤,则⎰⎰⎰⎰⎰⎰ΩΩ=θϕϕϕϕθϕθd d dr r r r r f dxdydz z y x f sin )cos ,sin sin ,sin cos (),,(2.sin )cos ,sin sin ,sin cos (),(),(2)()(2121⎰⎰⎰=θϕθϕθϕθϕβαϕϕϕθϕθϕθr r dr r r r r f d d4.简算:对称奇偶性, 重心公式。