考研数学真题答题卡样式(A3纸打印)
- 格式:pdf
- 大小:2.91 MB
- 文档页数:3
考研数学答题卡对于每一位踏上考研征程的学子来说,考研数学答题卡是一个既熟悉又陌生的存在。
熟悉,是因为它是考试中必然会用到的工具;陌生,则是因为在真正的考场上,面对它时的那种紧张和压力,使得我们可能并没有真正去仔细了解和熟悉它。
考研数学答题卡的整体布局通常是比较规整和清晰的。
一般来说,它会分为选择题答题区域、填空题答题区域以及解答题答题区域。
每一个区域都有明确的标注和相应的题号,以确保考生能够准确无误地将答案填写在对应的位置上。
选择题部分,通常会给出一系列的选项,考生需要在对应的选项上进行填涂。
这就要求考生在填涂时一定要认真仔细,确保填涂的清晰、准确。
因为如果填涂不清晰或者出现错误,很可能会导致机器无法识别,从而影响成绩。
而且,在填涂选择题答案时,要注意不要花费过多的时间,以免影响后面题目的作答。
填空题的答题区域相对较小,这就需要考生书写工整、清晰。
数字、符号等都要书写规范,避免因为字迹模糊或者书写不规范而导致扣分。
同时,要注意答题的位置,不要超出给定的范围。
解答题的区域是答题卡中最为重要的部分之一。
每一道解答题都会有足够的空间供考生书写解题过程和答案。
在这个区域作答时,考生需要特别注意以下几点。
首先,要有良好的排版。
解题步骤要一步一步清晰地书写,不要过于拥挤或者混乱。
这样不仅有助于自己思路的整理,也方便阅卷老师的批改。
其次,书写要规范。
数学符号、公式等的书写一定要符合标准,不能随意自创或者简写。
而且,字迹要尽量工整,避免因为字迹难以辨认而造成不必要的失分。
另外,要注意答题的逻辑顺序。
从题目分析、解题思路到最终的答案,都要有一个清晰的脉络。
这样可以让阅卷老师一目了然,也能更好地展示自己的解题能力。
在使用考研数学答题卡时,还有一些细节需要注意。
比如,在答题之前,要先检查答题卡是否有破损、污渍或者印刷不清楚的地方。
如果有,要及时向监考老师反映更换。
答题过程中,要保持答题卡的整洁,不要在上面乱涂乱画。
如果需要修改答案,要用橡皮擦干净或者用双横线划掉,不要涂黑或者涂抹得一团糟。
2021考研数学答题卡样式摘要:一、考研数学答题卡的基本信息1.答题卡的样式2.答题卡的内容3.答题卡的作用二、考研数学答题卡的填写要求1.填写基本信息2.注意事项3.填写技巧三、考研数学答题卡的常见问题及解答1.填写错误2.格式问题3.其他问题正文:考研数学答题卡是考研数学考试的重要组成部分,它的作用是为了帮助考生更好地完成考试,提高考试的效率。
下面,我们来了解一下考研数学答题卡的基本信息。
一、考研数学答题卡的基本信息1.答题卡的样式考研数学答题卡的样式与其他学科的答题卡基本相同,通常包括考生基本信息填写部分、条形码粘贴区域、答题区域等。
其中,考生基本信息填写部分包括考生姓名、考试号、座号等信息,这些信息是考试中必须要填写的。
2.答题卡的内容考研数学答题卡的内容主要包括试题和答题区域。
试题部分包括选择题、填空题、解答题等,而答题区域则是考生用来回答试题的地方。
在答题区域,考生需要清晰、准确地写出自己的答案,以便评卷人员能够准确地评分。
3.答题卡的作用考研数学答题卡的作用主要有两个:一是帮助考生规范答题,提高考试的效率;二是便于评卷人员评分,提高评卷的准确性。
通过答题卡,考生可以更好地掌握答题的时间和顺序,避免因时间不足或顺序混乱而导致的失分。
二、考研数学答题卡的填写要求1.填写基本信息在答题卡的左上角,考生需要填写自己的姓名、考试号、座号等信息。
这些信息是评卷人员评分的重要依据,因此考生需要确保这些信息的准确性。
2.注意事项在填写答题卡时,考生需要注意以下几点:一是答题卡的填写必须使用黑色签字笔,二是答题卡的填写必须清晰、工整,三是答题卡的填写必须准确无误。
3.填写技巧在填写答题卡时,考生可以采用以下几种技巧:一是先填写答题卡的左上角,再填写答题区域;二是尽量在答题卡的答题区域中间填写答案,以便评卷人员更容易找到;三是如果答题卡的答题区域不够,考生可以选择在答题卡的背面继续答题。
三、考研数学答题卡的常见问题及解答1.填写错误如果在填写答题卡时出现错误,考生可以选择用橡皮擦擦除错误,或者用签字笔覆盖错误。
高考数学标准答题卡A3纸在高考的数学考试中,标准答题卡是考生展现自己数学知识和解题技巧的重要平台。
而A3纸则是答题卡的常见规格之一,它具有严谨的数学题目解答空间和清晰的答题区域划分,为考生提供了良好的解题环境。
A3纸的尺寸为420mm x 297mm,这个尺寸对于解答数学题目来说是十分合适的。
它足够大,可以容纳复杂的数学公式和解题步骤,同时也方便考生进行画图和计算。
A3纸的质地通常比较厚实,这可以保证在多次使用和运输过程中不会轻易破损。
这对于高考这样大规模的考试来说是至关重要的,它可以确保考试的公正性和公平性。
在A3纸上解答数学题目时,考生需要注意以下几点。
必须保持卷面整洁,避免乱涂乱画。
需要严格按照题目的要求进行解答,如有需要,可以在答题卡上使用图形计算器或其他工具进行计算。
考生应当注意时间管理,合理分配解题时间,避免因时间不足而影响最终的成绩。
高考数学标准答题卡A3纸是高考数学考试中不可或缺的一部分。
它不仅为考生提供了充足的解题空间和良好的解题环境,还保证了考试的公正性和公平性。
因此,考生在使用A3纸解答数学题目时,应当严格遵守规则,保持良好的答题习惯,最终取得优异的成绩。
在每年的高考季节,数以万计的考生们聚集在同一个舞台上,面对着同样的挑战。
他们中的每一个,都以各自独特的方式,努力在这个被称为“人生大考”的场景中,展现出自己最出色的数学才能。
而他们所面对的,就是那张看似平凡,实则充满挑战的新课标全国卷高考数学答题卡。
这张答题卡,是每一位考生在数学知识、思维能力和解题技巧等方面的试金石。
它涵盖了众多题型,从选择题到填空题,从大题到小题,每一道题目都有其特定的难度和考察点。
它不仅要求考生们拥有扎实的基础知识,还要求他们具备灵活的思维和敏锐的解题能力。
仔细审视这张答题卡,我们可以看到它所包含的丰富内容。
它不仅考察了考生们对数学基础知识的掌握程度,还通过各种题型考察了他们的独立思考能力、创新思维和解决问题的能力。
2024考研新版答题卡数学2024年考研数学新版答题卡的变化以及应对策略随着2024年考研的临近,考生们对于数学这一科目的备考也进入了关键阶段。
今年,考研数学将启用新版答题卡,这对于广大考生来说,无疑是一个全新的挑战。
为了帮助大家更好地应对这一变化,本文将对2024年考研数学新版答题卡的变化以及应对策略进行详细介绍。
一、确定文章类型和主题本文为说明文,旨在向考生们介绍2024年考研数学新版答题卡的变化以及应对策略。
通过本文的阅读,考生们将了解新版答题卡的主要变化,学习如何调整备考策略以适应这一变化,最终在考研数学中取得好成绩。
二、制定提纲以下是本文的提纲:1、引言 a. 考研数学新版答题卡的变化 b. 应对新版答题卡的必要性2、新版答题卡的主要变化 a. 题目排版及分值分配 b. 作答区域的调整 c. 特殊题型的设计3、调整备考策略 a. 了解新版答题卡的特点 b. 重新规划答题时间c. 重视模拟练习4、实际应用及建议 a. 在模拟练习中检验策略效果 b. 根据个人情况调整策略 c. 保持良好心态,积极应对挑战三、展开论述1、引言随着2024年考研的临近,新版答题卡的启用给广大考生带来了新的挑战。
为了帮助大家更好地应对这一变化,本文将对2024年考研数学新版答题卡的变化以及应对策略进行详细介绍。
2、新版答题卡的主要变化新版答题卡在题目排版、分值分配、作答区域以及特殊题型设计等方面都发生了变化。
具体来说,题目排版更加合理,分值分配更加均衡,作答区域更加明确,特殊题型设计更加贴近实际。
这些变化不仅影响着考生的答题方式,也对考生的备考策略提出了新的要求。
3、调整备考策略面对新版答题卡的变化,考生需要调整备考策略以适应这一挑战。
首先,要了解新版答题卡的特点,做到知己知彼。
其次,要重新规划答题时间,根据分值分配合理安排作答顺序。
最后,要重视模拟练习,提高应对变化的能力。
只有通过不断地练习和调整,才能更好地适应新版答题卡的要求。
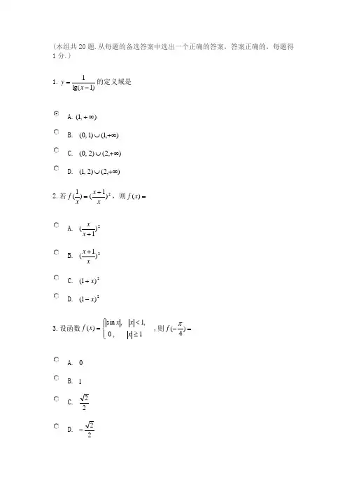
(本组共20题.从每题的备选答案中选出一个正确的答案,答案正确的,每题得1分.)1.)1lg(1-=x y 的定义域是A.),1(∞+B. ),1()1,0(+∞⋃C. ),2()2,0(+∞⋃D. ),2()2,1(+∞⋃2.若2)1()1(x x x f +=,则=)(x f A. 2)1(+x x B. 2)1(x x + C. 2)1(x +D. 2)1(x -3.设函数⎪⎩⎪⎨⎧≥<=1,0,1,sin )(x x x x f ,则=-)4(πfA. 0B. 1C. 22D. 22-4.设函数)(x f 的定义域是]4,0[,则函数)(2x f 的定义域是A.]16,16[-B. ]2,2[-C. ]16,0[D. ]2,0[5. 函数12122--+=x x x y 的定义域是 A.),21()21,(+∞-⋃--∞ B. ),21(+∞- C. ),1()1,21()21,(+∞⋃-⋃--∞ D. ),1()1,21(+∞⋃-6.设函数)(x f 的定义域是]2,0[,则函数)1(-x f 的定义域是A. ]2,0[B. ]1,1[-C. ]3,1[D. ]0,1[-7. 设函数⎪⎩⎪⎨⎧-=-≠+-++=1,0,1,1112)(x x x x x x f ,则=-)2(fA.6-B. 6C. 0D. 18.若52)1)(7(1)(---++=x x x x x f ,则=-)2(fA.4B.8C.2-D.4-9.函数⎪⎩⎪⎨⎧<<-≤-=43,93,9)(22x x x x x f 的定义域是A.)4,3[-B.)4,3(-C.)4,4[-D.)4,4(-10.设,1)1(2+=-x x f 则=+)(0h x fA.1)(20++h xB.1)(0-+h xC.1)(20-+h xD.2)(2)(020++++h x h x11.函数)10arcsin(lgx y =的定义域是A. ]10,1[B. )10,0(C. )0,(-∞D. ]100,1[12.设函数)(x f y =在区间]1,0[上有定义,则函数)41()41(-++x f x f 的定义域是A. ]1,0[B. ]45,41[- C. ]41,41[- D. ]43,41[13.下列各对函数表示相同关系的是A.)(),(t f y x f y ==B. )(),(x g y x f y ==C. )(),(x y x f y ϕ==D. )(),(x y x f y ψ==14.设2ln )(=x f ,则=-+)()1(x f x f A. 23lnB. 2lnC. 3lnD. 015. 设)()(a x x a x f -=-(a 为大于零的常数),则=)(x fA.)(a x x -B. )(a x x +C. ))((a x a x +-D. 2)(a x -16.函数216ln 1x x x y -+-=的定义域为A.)1,0(B. )4,1()1,0(⋃C. )4,0(D. ]4,1()1,0(⋃17. 以下各组函数表示同一函数的一组是A.x x g x x f a a log 2)(,log )(2==B. 1)1()(,1)(2--=-=x x x g x x f C. 2)(,)(x x g x x f ==D. x x x g x f 22cos sin )(,1)(+==18. 设函数)(x f 的定义域是]2,0[a ,则函数)()(a x f a x f -++的定义域是A. }{aB. ],[a a -C. ]3,[a aD. ]3,[a a -19. 函数11)(-+=x x x f 与1)(2-=x x g 表示同一个函数,则它们的定义域为A. ]1,(-∞B. ),1[+∞C. )1,(-∞D. ),1(+∞20.设函数221)1(x x x x f +=+,则函数=)(x fA. 2xB. 22-xC. 22+xD.241x x +(本组共20题.从每题的备选答案中选出一个正确的答案,答案正确的,每题得1分.)1.设)(x f 在0x 可导,则=--→h x f h x f h 2)()2(lim000A.)(0x f 'B. )(20x f 'C. )(0x f '-D. )(20x f '-2.设⎪⎩⎪⎨⎧=≠=0,00,1arctan )(x x xx x f ,则=')0(fA. 1B. 1-C. 0D. 不存在3.函数x x x f =)(在点10-=x 的导数是A. 0B. 2C. 2-D. 不存在4.若3)(0-='x f ,则=--+→h h x f h x f h )3()(lim000A. 3-B. 3C. 6-D. 12-5.设⎪⎩⎪⎨⎧=≠=0,00,1sin )(x x x x x f p ,在点0=x 可导且0)0(='f ,则有A. 0≥pB. 1>pC. 2>pD. 3>p6. 设)(x f 在点0x 可导,则下列结论中正确的是 A. )(x f 在点0x 一定可导B. )(2x f 在点0x 一定可导C. )](tan[x f 在点0x 一定可导D. )](ln[x f 在点0x 一定可导7.若函数⎩⎨⎧≥+<=0,sin 0,)(x x b x e x f ax 在0=x 可导,则b a ,的值分别为A. 0,1==b aB. 2,2==b aC. 1,1==b aD. 2,1==b a8.过抛物线2x y =上一点的切线平行于直线54-=x y ,这点是A. )1,1(B. )0,0(C. )4,2(-D. )4,2(9.若曲线x e y =上过点),(00x e x 的切线与x 轴相交于点)0,1(-,则=0xA. eB. 1-C. 1D. 010.下列函数中在1=x 处没有导数的连续函数是 A.x y = B. 31-=x yC. x y arctan =D. 1ln -=x y11. 设函数⎪⎩⎪⎨⎧>+≤+=2,4212,1)(2x x x x x f ,则在2=x 处A.不连续B.连续,但左右导数均不存在C.连续且可导D. 连续,但不可导12.设21ln arctan )(x x x x f ++=,则=')1(f A. 4πB. 1C.14+π D.12+π13.设x x y +-=11,则='y A. 2)1(2x + B. 2)1(2x +- C. 2)1(2x x+ D.2)1(2x x+-14.设函数)cos (sin x x e y x +=,则=')0(yA. 0B. 1C. 1-D. 215.设x x y =,则='yA. x xB. x x x lnC. )1(ln +x x xD. 1ln +x16. y xe y =,则='y A. 1-y y xe e B. y yxee -1 C. y y exe-1 D.y y e xe 1-17.设x x f tan ln )(=,则=')(x f A. x tan 1B. x 2sin 2C. x 2tan 2-D.x x 2sin cos 18. =')1(arctan x A. 221x x + B. 211x +- C. 211x + D. 221x x +-19. =)()(ln x d x d A.x 2 B. x2 C. x x 2 D.xx 21 20.设2cos ln )(x x f =,则=')(x f A. 2cos 1xB. 2-tan xC. 2cot xD. 2-x2xtan1.设则是( )类型不定式的极限。
2004年数学(三)答题卡一、填空题。
(每小题4分,共24分)二、选择题。
(每题4分,共32分)2005年数学(三)答题卡一、填空题。
(每小题4分,共24分)二、选择题。
(每题4分,共32分)2006年数学(三)答题卡一、填空题。
(每小题4分,共24分)二、选择题。
(每题4分,共32分)2007年数学(三)答题卡一、选择题。
(每题4分,共40分)二、填空题。
(每小题4分,共24分)三、解答题。
(17-24小题,共86分)2008年数学(三)答题卡一、选择题。
(每题4分,共32分)二、填空题。
(每小题4分,共24分)一、选择题。
(每题4分,共32分)二、填空题。
(每小题4分,共24分)一、选择题。
(每题4分,共32分)二、填空题。
(每小题4分,共24分)一、选择题。
(每题4分,共32分)二、填空题。
(每小题4分,共24分)一、选择题。
(每题4分,共32分)二、填空题。
(每小题4分,共24分)一、选择题。
(每题4分,共32分)二、填空题。
(每小题4分,共24分)2014年数学(三)答题卡一、选择题。
(每题4分,共32分)二、填空题。
(每小题4分,共24分)2015年数学(三)答题卡一、选择题。
(每题4分,共32分)二、填空题。
(每小题4分,共24分)2016年数学(三)答题卡一、选择题。
(每题4分,共32分)二、填空题。
(每小题4分,共24分)2017年数学(三)答题卡一、选择题。
(每题4分,共32分)二、填空题。
(每小题4分,共24分)2018年数学(三)答题卡一、选择题。
(每题4分,共32分)二、填空题。
(每小题4分,共24分)。
大学数学标准答题卡模板A3
该模板适用于大学数学考试中的标准答题卡,以A3纸张大小
为基准。
以下是该答题卡模板的特点和使用方法。
特点
- A3纸张大小:该答题卡模板设计为A3纸张大小,适合较多
的题目和答题空间。
- 标准化布局:答题卡模板采用标准化布局,使得各个部分清
晰可见,便于学生填写答案。
- 答题区域清晰:每个题目都拥有独立的答题区域,便于学生
书写答案和阅读。
使用方法
1. 打印答题卡:将答题卡模板按照实际大小A3纸张进行打印。
2. 完善头部信息:在答题卡顶部,填写考试科目、考试日期、
学生姓名等相关信息。
3. 仔细阅读题目:在每个答题区域内,阅读并理解题目要求,确保准确理解题目。
4. 填写答案:根据题目要求,在相应的答题区域内书写答案。
请注意,务必使用清晰的字迹,以免影响阅卷。
5. 标记答题号码:在答题卡的相应位置,标记答题的编号,以保持答案的对应顺序。
请注意,该答题卡模板仅为参考,具体使用方法可能因教师要求或考试规则而有所变化。
请在参加考试前,仔细阅读并理解教师或考试机构发布的具体要求。
祝您考试顺利,成绩优异!。
考号七八九年级数学答题卡监考员填涂缺考 [ ]18.简单计算 (本小题满分 12 分,每小题 2 分)[0] [1] [2] [3] [4] [5] [6] [7] [8] [9] [0] [1] [2] [3] [4] [5] [6] [7] [8] [9] [0] [1] [2] [3] [4] [5] [6] [7] [8] [9] [0] [1] [2] [3] [4] [5] [6] [7] [8] [9] [0] [1] [2] [3] [4] [5] [6] [7] [8] [9] [0] [1] [2] [3] [4] [5] [6] [7] [8] [9] [0] [1] [2] [3] [4] [5] [6] [7] [8] [9] [0] [1] [2] [3] [4] [5] [6] [7] [8] [9] [0] [1] [2] [3] [4] [5] [6] [7] [8] [9] [0] [1] [2] [3] [4] [5] [6] [7] [8] [9](1)(8) 17(2) 6 6 9(3) ( 学校____ ____班级______姓名______________注意事项 : 1、答题前,考生务必用黑色字迹的钢笔或铅笔填写准考证号姓名、试室号、 座位号,再用 2B 铅笔把试室号、座位号的对应数字涂黑。
2、保持卡面清洁,不要折叠,不要弄破。
5 ) (4) 8单 选 题1 2 3 4 5[A] [B] [C] [D] [A] [B] [C] [D] [A] [B] [C] [D] [A] [B] [C] [D] [A] [B] [C] [D]6 7 8 9 10[A] [B] [C] [D] [A] [B] [C] [D] [A] [B] [C] [D] [A] [B] [C] [D] [A] [B] [C] [D]1 (4) ( 5) ( ) 53 (5) 4 46 1622 (3) 3 (6) 3二、填空题( 本大题共 6 个小题,共 18 分) 11、 14、 12、 15、 13、 16、 19.计算(本小题满分 30 分,每小题 6 分) (1)(-7)-(-10)+(-8)-(+2) (2) ( ,三、解答题(本大题共 5 个大题,共 62 分.解答应写出必要的文字说明、证明过程或演算步骤.) 17. (本小题满分 6 分) 画出数轴,并在数轴上画出表示下列各数的点:2,0, 2.5 , 5 ,- 31 .并用“<”连接各数。