2020年全国硕士研究生招生考试数学二解析
- 格式:docx
- 大小:2.12 MB
- 文档页数:9
2020年全国硕士研究生招生考试数学(二)(科目代码:301)考生注意事项1、答题前,考生须在试题册指定位置上填写考生编号和考生姓名;在答题卡指定位置上填写报考单位,考生姓名和考生编号,并涂写考生编号信息点。
2、选择题的答案必须涂写在答题卡相应题号和选项上,非选择题的答案必须书写在答题卡指定位置的边框区域内。
超出答题区域书写的答案无效;在草稿纸、试题册上答案无效。
3、填(书)写必须使用黑色字迹签字笔书写,字迹工整、笔迹清楚;涂写部分必须使用2B 铅笔填涂。
4、考试结束,将答题卡和试题册按规定交回。
以下信息考生必须认真填写)一.选择题(1~8小题,每小题4分,共32分,下列每题给出的四个选项中只有一个选项是符合要求的・)1.当工TO+时,下列无穷小量中最高阶的是B:/ ln(l + √i 3)dt 解析:木题选D 考査的内容主要就是无穷小虽之间的比较,同时也考察了变限积分洛必达相关知识点。
/ (”一1)血Iim ——— ---- 2- ∙0* X (/ (c√'-1)衣)=e r' —]〜云 (/ In (1 + ∖∕P)dt) = In(I ⅛ V Z Z^)〜H / f tf ∆nr ∖ f I / sint 2dt J = Sin(SinZ)2 ・cos 工〜 / ∕∙1 — co<x WO 闯⅛⅛=肥呑若存在故归考试中可宜接求导比较会比较方便 Λ→σ*TLX V Z Sinhd 寸 =[sin(1 — CoSa:)]7 ∙sinx~\;'(⅞^) 'x ^ 故选D 2•函数/(X) =才吾罟务的第二类间断点个数为 4:1 B:2 C :3 解析:本题选C 。
考查的内容就是第••类间断点的定义与极限的运算方法 分母为()的点或者无定义的点有工= Ie = -I ,工=(),工=2 ]⅛(^Z ⅛⅛⅛)=芒卍哩Cm=Oo不存在故为第一类间断点 e 7ττln∣ 1 -H ⑦ ln2 尸5|1 +;Tl 叽(―)=3(1-e -1)-1⅛lnll+Il = OCW 在故*-1 为第二类间断点 ElnI l 卄 1 • χ→o(e r— 1)(X —2) -2:% X l¾(⅛⅛⅛)=⅛k ⅜l¾⅛=∞7fζ存在故*2为第二类间断点UIiln 也土卫=-舟为可去间断点不屈丁•第二类间断点 3.广霁墮血= JQ \/x(l — x) 4 TT 2斤2 Zb T B:T 解折:木题选爪。
2020全国硕士研究生入学统一考试数学二试题详解一、选择题:1~8小题,每小题4分,共32分,下列每小题给出的四个选项中,只有一项符合题目要求的,请将所选项前的字母填在答题纸...指定位置上. (1)当0x +→时,下列无穷小量中最高阶是( ) (A )()21xt e dt -⎰(B)(0ln 1xdt +⎰(C )sin 20sin xt dt ⎰(D)1cos 0-⎰【答案】(D )【解析】由于选项都是变限积分,所以导数的无穷小量的阶数比较与函数的比较是相同的。
(A )()()222011x t x e dt e x '-=-~⎰(B )(()(22ln 1ln 1x t dt x x'+=⎰(C )()()sin 2220sin sin sin xt dt x x '=⎰(D )()1cos 22301sin sin(1cos )2xt dt x x x-'=-⎰经比较,选(D )(2)函数11ln 1()(1)(2)x x e xf x e x -+=--的第二类间断点的个数为 ( )(A )1 (B )2 (C )3 (D )4 【答案】(C )【解析】由题设,函数的可能间断点有1,0,1,2x =-,由此11121111ln 1lim ()lim lim ln 1(1)(2)3(1)x x x x x e x ef x x e x e ---→-→-→-+==-+=-∞---; 111000ln 1ln(1)1lim ()lim lim (1)(2)22x x x x x e x e x f x e x x e--→→→++==-=---;1111111111111ln 1ln 2lim ()lim lim 0;(1)(2)1ln 1ln 2lim lim ;(1)(2)1x x x x x x x x x x x exf x e e x e e x e e x e ---++--→→→--→→+===---+==-∞---;112222ln 1ln 31lim ()limlim (1)(2)(1)2x x x x x e x e f x e x e x -→→→+===∞----故函数的第二类间断点(无穷间断点)有3个,故选项(C )正确。
2020年考研(数学二)真题试卷(题后含答案及解析) 题型有:1. 选择题 2. 填空题 3. 解答题选择题下列每题给出的四个选项中,只有一个选项符合题目要求。
1.当x→0+时,下列无穷小量中最高阶是A.(et2-1)dt.B.ln(1+)dt.C.sin t2dt.D.正确答案:D解析:x→0+时,A ∴(et2-1)dt是x的3阶无穷小.B∴是x的5/2导阶无穷小,C=sin(sin2x)·cos x~x2∴sint2dt是x的3阶无穷小.D∴是x的5阶无穷小.故应选D.2.函数f(x)=的第二类间断点的个数为A.1.B.2.C.3.D.4.正确答案:C解析:间断点为:x=-1,x=0,x=1,x=2因此x=0是f(x)的第一类可去间断点;所以x=1是f(x)的第二类间断点;同理由知x=2也是f(x)的第二类间断点.故应选C.3.dx=A.π2/4.B.π2/8.C.π/4.D.π/8.正确答案:A解析:所以x=0是可去间断点;x=1是无穷间断点.故是广义积分今:t=,则x=t2,dx=2t·dt故选A.4.已知函数f(x)=x2ln(1-x).当n≥3时,f(n)(0)=A.-n!/(n-2).B.n!/(n-2).C.-(n-2)!/n.D.(n-2)!/n.正确答案:A解析:5.关于函数f(x,y)=给出以下结论正确的个数是A.4.B.3.C.2.D.1.正确答案:B解析:6.设函数f(x)在区间[-2,2]上可导,且f’(x)>f(x)>0,则A.f(-2)/f(-1)>1.B.f(0)/f(-1)>e.C.f(1)/f(-1)<e2.D.f(2)/f(-1)=0可知,A11a1+A12a2+A13a3+A14a4=0,因为A12≠0,因此a2可由a1,a3,a4线性表示,故a1,a3,a4线性无关.因为r(A)一r(a1,a2,a3,a4)=3,因此a1,a3,a4为基础解系,故应选C.又因为A*A=|A|E=O,A的每一列a1,a2,a3,a4是A*x=0的解向量.只要找到是A*x=0的3个无关解就构成基础解系.8.设A为3阶矩阵,a1,a2为A的属于特征值为1的线性无关的特征向量,a3为A的属于特征值-1的特征向量,则满足P-1AP=的可逆矩阵P为A.(a1+a3,a2,-a3).B.(a1+a2,a2,-a3).C.(a1+a3,-a3,a2).D.(a1+a2,-a3,a2).正确答案:D解析:因为a1,a2为属于特征值1的线性无关的特征向量,所以a1+a2,a2仍为属于特征值1的线性无关的特征向量,a3为A的属于特征值-1的特征向量,故-a3为A的属于特征值-1的特征向量矩阵,因为特征向量与特征值的排序一一对应,故只需P=(a1+a2,-a3,a2)就有P-1AP=,故应选D.填空题9.=_______正确答案:一√2解析:10.=________正确答案:2/9(2√2-1)解析:11.设z=arctan[xy+sin(x+y)],则dz|(0,π)=_________正确答案:(π-1)dx-dy解析:12.斜边长为2a等腰直角三角形平板铅直地沉没在水中,且斜边与水面相齐,设重力加速度为g,水密度为ρ,则该平板一侧所受的水压力为_________正确答案:(ρga3)/3解析:13.设y=y(x)满足y”+2y’+y=0,且y(0)=0,y’(0)=l,则y(x)dx=_________正确答案:1解析:由条件知,特征方程为:r2+2r+1=0,特征值r1=r2=-1齐次方程通解为:y=(C1+C2x)e-x,由y(0)=0,y’(0)=1得C1=0,C2=1即y(x)=xe-x,从而知:14.行列式=________正确答案:a2(a2-4)解析:解答题解答应写出文字说明、证明过程或演算步骤。
t3t 2 2x10 2x ®0x (1- x )x d x e -1 ln |1+ x |-2x= -e -1 2ln | x +1| x = -e -1 2¥¥òarcsin u · 1 arcsin xx (1- x ) u 2(1- u 2)x ®01- u 2¶f¶x arcsin u d 0 p①(0,0)¶2 f¶x ¶y ¶f¶x②(0,0)①(0,0) = lim-1 不存在.(0,0)y ®0 y xy = 0(0,0)x = 0y = 0¶x ¶y6.设函数 f (x) 在区间[-2, 2] 上可导,且 f ¢(x) >f (x) > 0 ,则( )f (-2)> 1f (-1)f (0) f (-1)f (1) f (-1)f (2) f (-1) >e <e2 <e3答案:B解析:由 f ¢(x) >f (x) > 0知f ¢(x)- 1 > 0f (x)即(ln f (x) -x)¢> 0令F (x) = ln f (x) -x ,则 F (x)在[-2, 2]上单增因-2 <-1 ,所以 F (-2) <F (-1)即ln f (-2) + 2 < ln f (-1) + 1f (-1)>ef (-2)同理, -1 < 0, F (-1) <F (0)即ln f (-1) + 1 < ln f (0)f (0)e7.设四阶矩阵A=(a ij )不可逆,a12 的代数余子式A12 ¹0,a1,a2 ,a3 ,a4 为矩阵A的列向量 组. A* 为 A 的伴随矩阵.则方程组 A* x =0 的通解为( ).A.x=k1a1 +k2a2 +k3a3 ,其中k1 ,k2 ,k3 为任意常数B.x=k1a1 +k2a2 +k3a4 ,其中k1 ,k2 ,k3 为任意常数C.x=k1a1 +k2a3 +k3a4 ,其中k1 ,k2 ,k3 为任意常数.D.x=k1a2 +k2a3 +k3a4 ,其中k1 ,k2 ,k3 为任意常数 答案:C解析:∵A 不可逆11 2 3 3 4è øè ø ∴|A|=0 ∵ A 12¹ 0r ( A *) = 1∴ r ( A ) = 3∴ A * x = 0 的基础解系有 3 个线性无关的解向量.A *A =| A | E = 0∴A 的每一列都是 A *x = 0 的解又∵ A 12¹ 0∴a 1 ,a 3 ,a 4 线性无关∴ A *x = 0 的通解为 x = k a + k a + k a 8. 设 A 为 3 阶矩阵,a 1 ,a 2 为 A 属于特征值 1 的线性无关的特征向量,a 3 为 A 的属于特征 æ 1 0 0 ö 值-1 的特征向量,则满足P -1AP = ç 0 -1 0 ÷的可逆矩阵 P 可为( ).A. (a 1 +a 3 ,a 2 , -a 3 )B. (a 1 +a 2 ,a 2 , -a 3 )C. (a 1 +a 3 , -a 3 , -a 3 )D. (a 1 +a 2 , -a 3 , -a 2 )答案:D解析:A a 1 = a 1 , A a 2 = a 2A a 3 = -a 3ç ÷ ç 0 0 1 ÷æ 1 0 0 ö ! P -1AP = ç 0 -1 0 ÷ç ÷ ç 0 0 1 ÷\ P 的 1,3 两列为 1 的线性无关的特征向量a 1 +a 2 ,a 2 P 的第 2 列为 A 的属于-1 的特征向量a 3.∴∵24 分.请将答案写在答题纸指定位置上.,则 = .t =1tt tyyd 2 ydx 2t 2 +1t 2 +1dy 2dx 2ò)], )],(0,(0, 1 ,则 +¥y (x ) d x 0¶z ¶x ¶z ¶y0 òò= +¥y (x ) d x = - +¥ y ¢(x ) + 2 y ¢(x ) d x= -[ y ¢(x ) + 2 y (x )] +¥= [ y ¢(0) + 2 y (0)] = 1a 0 -1 114.行列式 a 1 -1 =-1 1 a 0解析:1 -1 0 a a 0 -1 1 a 0 -1 1 0 a 1 -1 = 0 a 1 -1 0 a -1 + a2 1 a -1+ a 2 1=0 a 1 -1 = - a 1 - 1 -1 1a 0 0 a a0 0 a aa a 2 - 2 1 = - a 2 -1 = a 4 - 4a 2.0 0 a三、解答题:15~23 小题,共 94 分.请将解答写在答题纸指定位置上.解答写出文字说明、证明过程或演算步骤.15.(本题满分 10 分)x 1+ x求曲线 y = (1+ x )x(x > 0) 的斜渐近线方程.解析: lim y x 1+ xlim= limx ®+¥ xx x xx ®+¥ (1+ x )x x x ®+¥ (1+ x )= ex l n xlim x ®+¥ ex ln(1+ x )= lim e x (ln x -ln(1+ x ))x ®+¥-1 1 a 0 -1 1 a 0 1 -1 0a 00 aaò=x ®+¥=x ®+¥=x ®+¥lim (y x ®+¥= lim æx ®+¥ è= lim x ®+¥= lim x ®+¥= ölim x ®+¥ø= ö x ®+¥÷ ø= lim e t ®0+ = lim e t ®0+ = 1 e -1 t ®0+ y = e -11e-1216.limf (x ) = 1,g ( x ) = 1f ( xt )dt , 求g '( x )x ®0 x续.并证明 g '(x )在x = 0 处连x = lim f (x ) = 0 x ®0ò0 f (u )du = 1 lim f (x ) = 1 0 x 2 2 x ®0 x 2 的极值y C = 0 -1+ 1x 2 +13 çx AC - 当 x = A = 1.AC - >1= -21618. ) ,并求直线 y = 1 ,与函数 f (x ) 所 y = 22+ 2 f æ1 è ) x x …②①´ 2f (x ) = x②V = p × ÷ 3 - p = 3 3 4 = p 2312 2 x 1+ x 2x 2 + y 2x 2 + y 2 xòò Ddxdy òò d(+ 2 2 òò x d 2 x 2 + y 2ò = 3 + 1)ù û20.分)t 2dt .f (x ) = (2 -x )e x 2 ;(1, 2), f (2) = ln 2 ×h e h 2 .F (x ) = f (x )(x - 2) = (x - 2) x e t 2dt 1 (2) = 0, 又F (x )在[1, 2]连续,(1, 2)上可导,(1, 2), 使得F '(x ) = 0e t 2 dt + (x - 2)e x 2 =f (x ) + (x - 2)e x 2x 2 .令 $h Î(1, 2)=f (2) = e=h e h 2 ln 22 21.分)f ¢(x ) > 0(x ³ 0) , f (x ) 的图象过原点 O的切线与 X 轴交于 T ,MP ^ x 轴,曲线 y = f (x ), MP , x 轴围成的面积与D 3:2,求曲线方程.坐标为(x , y ) ,则过 M 的切线方程为Y -令- y y ¢n 2 (2即xê úò0 f (t )d t = 3× × y 22 y整理并求导得令 y ¢ = p 3yy ¢ - 2 y ¢2 = 0y ¢ = d p 代入上式得d y3yp d p- 2 p 2 = 0d y2解得 p = C 1 y 32即 y ¢ = C 1 y 3d y = C d x1y 31 3y 3 = C 1x +C2 13 3 = C 1xy = Cx 3由 y (0) = 0 得C 2 = 0.22.(本题满分 11 分)设 二 次 型 f (x , x , x ) = x 2 + x 2 + x 2+ 2ax x + 2ax x + 2ax x经 可 逆 线 性 变 换 1 2 3 1 2 3 1 2 1 3 2 3æ x1 ö æ y 1 ö ç x ÷ = P ç y ÷ 得 g ( y , y , y ) = y2 + y 2 +4 y 2 + 2 y y .ç 2 ÷ ç 2 ÷ 1 2 3 1 2 3 12ç x ÷ ç y ÷ è 3 ø è 3 ø(1) 求 a 的值; (2) 求可逆矩阵 P. 解析:é1aa ùA = êa 1 a ú ê ú(1) 令 f (x 1, x 2 , x 3 ) 的矩阵 êëa a 1úûf ( y 1, y 2 , y 3 ) 的矩阵 é1 1 0ùB = ê1 1 0úêë0 0 4úû33 32 21 2 1 1 2 1 ëû ê 3 1 2 ê 3 z ï ú ìz 1 = y 1 + y 2 í 2 = 2 y 3 é1 1 0ù ï z 3 = y 2 ê ú 令î 即令P = ê0 0 2ú Z = P Y . 22 êë0 1 0úûf ( y , y , y ) = z 2 + z 2 则 1 2 3 1 2 .故P 1 X = P 2Y X = P -1PY P = P -1P .é 1 ù ê3 ú é1 1 0ù P -1 = ê02 1ú P = ê0 0 2 ú 1 ê3 ú 2 ê ú ê ê0 0 由于 êë ú ê0 1 0ú 1ú úû é1 2 2 ù ê ú 故 P = P -1P = ê0 14 ú ú ê0 1 0 ú ê úêë úû23.(本题满分 11 分)设 A 为 2 阶矩阵, P = (a , A a ) ,其中a 是非零向量且不是 A 的特征向量. (1)证明 P 为可逆矩阵.(2)若 A 2a + A a - 6a = 0 ,求 P -1AP ,并判断 A 是否相似于对角矩阵. 解析:(1)a ¹ 0 且 A a ¹ la . 故a与A a 线性无关. 则 r (a , A a ) = 2则 P 可逆.(2)法一:由已知有 A 2a = - A a + b a即 . 所以于是 AP = A (a , A a ) = ( A a , A 2a ) = ( A a , - A a + 6a )= (a , A a ) æ 0 6 ö,故有P -1 AP = æ 0 6 ö,! P 可逆 ç 1 -1÷ ç 1 -1÷ è ø è ø \可得A 与æ 0 6 ö相似,又 l -6 =(l + 3)"(l - 2)= 0 ç 1 -1÷ -1 l +1è øÞl 1 = -3,l 2 = 2\可得A 的特征值也为-3,2 于是 A 可相似对角化方法二 P -1AP 同方法一由 A 2a + A a - 6a = 0下面是证明 A 可相似对角化( A 2 + A - 6E )a = 0设( A + 3E )( A - 2E )a = 0由a ¹ 0得( A 2 + A - 6E )x = 0有非零解 故| ( A + 3E )( A - 2E ) |= 0得| A + 3E |= 0或| A - 2E |= 0若| ( A + 3E ) |¹ 0则有( A - 2E )a = 0故A a =2a 与题意矛盾故| A + 3E |= 0同理可得| A - 2E |= 0 于是 A 的特征值为l 1 = -3 l 2 = 2.A 有 2 个不同特征值故 A a 相似对角化。
t3t 2 2x10 2x ®0x (1- x )x d x e -1 ln |1+ x |-2x= -e -1 2ln | x +1| x = -e -1 2¥¥òarcsin u · 1 arcsin xx (1- x ) u 2(1- u 2)x ®01- u 2¶f¶x arcsin u d 0 p①(0,0)¶2 f¶x ¶y ¶f¶x②(0,0)①(0,0) = lim-1 不存在.(0,0)y ®0 y xy = 0(0,0)x = 0y = 0¶x ¶y6.设函数 f (x) 在区间[-2, 2] 上可导,且 f ¢(x) >f (x) > 0 ,则( )f (-2)> 1f (-1)f (0) f (-1)f (1) f (-1)f (2) f (-1) >e <e2 <e3答案:B解析:由 f ¢(x) >f (x) > 0知f ¢(x)- 1 > 0f (x)即(ln f (x) -x)¢> 0令F (x) = ln f (x) -x ,则 F (x)在[-2, 2]上单增因-2 <-1 ,所以 F (-2) <F (-1)即ln f (-2) + 2 < ln f (-1) + 1f (-1)>ef (-2)同理, -1 < 0, F (-1) <F (0)即ln f (-1) + 1 < ln f (0)f (0)e7.设四阶矩阵A=(a ij )不可逆,a12 的代数余子式A12 ¹0,a1,a2 ,a3 ,a4 为矩阵A的列向量 组. A* 为 A 的伴随矩阵.则方程组 A* x =0 的通解为( ).A.x=k1a1 +k2a2 +k3a3 ,其中k1 ,k2 ,k3 为任意常数B.x=k1a1 +k2a2 +k3a4 ,其中k1 ,k2 ,k3 为任意常数C.x=k1a1 +k2a3 +k3a4 ,其中k1 ,k2 ,k3 为任意常数.D.x=k1a2 +k2a3 +k3a4 ,其中k1 ,k2 ,k3 为任意常数 答案:C解析:∵A 不可逆11 2 3 3 4è øè ø ∴|A|=0 ∵ A 12¹ 0r ( A *) = 1∴ r ( A ) = 3∴ A * x = 0 的基础解系有 3 个线性无关的解向量.A *A =| A | E = 0∴A 的每一列都是 A *x = 0 的解又∵ A 12¹ 0∴a 1 ,a 3 ,a 4 线性无关∴ A *x = 0 的通解为 x = k a + k a + k a 8. 设 A 为 3 阶矩阵,a 1 ,a 2 为 A 属于特征值 1 的线性无关的特征向量,a 3 为 A 的属于特征 æ 1 0 0 ö 值-1 的特征向量,则满足P -1AP = ç 0 -1 0 ÷的可逆矩阵 P 可为( ).A. (a 1 +a 3 ,a 2 , -a 3 )B. (a 1 +a 2 ,a 2 , -a 3 )C. (a 1 +a 3 , -a 3 , -a 3 )D. (a 1 +a 2 , -a 3 , -a 2 )答案:D解析:A a 1 = a 1 , A a 2 = a 2A a 3 = -a 3ç ÷ ç 0 0 1 ÷æ 1 0 0 ö ! P -1AP = ç 0 -1 0 ÷ç ÷ ç 0 0 1 ÷\ P 的 1,3 两列为 1 的线性无关的特征向量a 1 +a 2 ,a 2 P 的第 2 列为 A 的属于-1 的特征向量a 3.∴∵24 分.请将答案写在答题纸指定位置上.,则 = .t =1tt tyyd 2 ydx 2t 2 +1t 2 +1dy 2dx 2ò)], )],(0,(0, 1 ,则 +¥y (x ) d x 0¶z ¶x ¶z ¶y0 òò= +¥y (x ) d x = - +¥ y ¢(x ) + 2 y ¢(x ) d x= -[ y ¢(x ) + 2 y (x )] +¥= [ y ¢(0) + 2 y (0)] = 1a 0 -1 114.行列式 a 1 -1 =-1 1 a 0解析:1 -1 0 a a 0 -1 1 a 0 -1 1 0 a 1 -1 = 0 a 1 -1 0 a -1 + a2 1 a -1+ a 2 1=0 a 1 -1 = - a 1 - 1 -1 1a 0 0 a a0 0 a aa a 2 - 2 1 = - a 2 -1 = a 4 - 4a 2.0 0 a三、解答题:15~23 小题,共 94 分.请将解答写在答题纸指定位置上.解答写出文字说明、证明过程或演算步骤.15.(本题满分 10 分)x 1+ x求曲线 y = (1+ x )x(x > 0) 的斜渐近线方程.解析: lim y x 1+ xlim= limx ®+¥ xx x xx ®+¥ (1+ x )x x x ®+¥ (1+ x )= ex l n xlim x ®+¥ ex ln(1+ x )= lim e x (ln x -ln(1+ x ))x ®+¥-1 1 a 0 -1 1 a 0 1 -1 0a 00 aaò=x ®+¥=x ®+¥=x ®+¥lim (y x ®+¥= lim æx ®+¥ è= lim x ®+¥= lim x ®+¥= ölim x ®+¥ø= ö x ®+¥÷ ø= lim e t ®0+ = lim e t ®0+ = 1 e -1 t ®0+ y = e -11e-1216.limf (x ) = 1,g ( x ) = 1f ( xt )dt , 求g '( x )x ®0 x续.并证明 g '(x )在x = 0 处连x = lim f (x ) = 0 x ®0ò0 f (u )du = 1 lim f (x ) = 1 0 x 2 2 x ®0 x 2 的极值y C = 0 -1+ 1x 2 +13 çx AC - 当 x = A = 1.AC - >1= -21618. ) ,并求直线 y = 1 ,与函数 f (x ) 所 y = 22+ 2 f æ1 è ) x x …②①´ 2f (x ) = x②V = p × ÷ 3 - p = 3 3 4 = p 2312 2 x 1+ x 2x 2 + y 2x 2 + y 2 xòò Ddxdy òò d(+ 2 2 òò x d 2 x 2 + y 2ò = 3 + 1)ù û20.分)t 2dt .f (x ) = (2 -x )e x 2 ;(1, 2), f (2) = ln 2 ×h e h 2 .F (x ) = f (x )(x - 2) = (x - 2) x e t 2dt 1 (2) = 0, 又F (x )在[1, 2]连续,(1, 2)上可导,(1, 2), 使得F '(x ) = 0e t 2 dt + (x - 2)e x 2 =f (x ) + (x - 2)e x 2x 2 .令 $h Î(1, 2)=f (2) = e=h e h 2 ln 22 21.分)f ¢(x ) > 0(x ³ 0) , f (x ) 的图象过原点 O的切线与 X 轴交于 T ,MP ^ x 轴,曲线 y = f (x ), MP , x 轴围成的面积与D 3:2,求曲线方程.坐标为(x , y ) ,则过 M 的切线方程为Y -令- y y ¢n 2 (2即xê úò0 f (t )d t = 3× × y 22 y整理并求导得令 y ¢ = p 3yy ¢ - 2 y ¢2 = 0y ¢ = d p 代入上式得d y3yp d p- 2 p 2 = 0d y2解得 p = C 1 y 32即 y ¢ = C 1 y 3d y = C d x1y 31 3y 3 = C 1x +C2 13 3 = C 1xy = Cx 3由 y (0) = 0 得C 2 = 0.22.(本题满分 11 分)设 二 次 型 f (x , x , x ) = x 2 + x 2 + x 2+ 2ax x + 2ax x + 2ax x经 可 逆 线 性 变 换 1 2 3 1 2 3 1 2 1 3 2 3æ x1 ö æ y 1 ö ç x ÷ = P ç y ÷ 得 g ( y , y , y ) = y2 + y 2 +4 y 2 + 2 y y .ç 2 ÷ ç 2 ÷ 1 2 3 1 2 3 12ç x ÷ ç y ÷ è 3 ø è 3 ø(1) 求 a 的值; (2) 求可逆矩阵 P. 解析:é1aa ùA = êa 1 a ú ê ú(1) 令 f (x 1, x 2 , x 3 ) 的矩阵 êëa a 1úûf ( y 1, y 2 , y 3 ) 的矩阵 é1 1 0ùB = ê1 1 0úêë0 0 4úû33 32 21 2 1 1 2 1 ëû ê 3 1 2 ê 3 z ï ú ìz 1 = y 1 + y 2 í 2 = 2 y 3 é1 1 0ù ï z 3 = y 2 ê ú 令î 即令P = ê0 0 2ú Z = P Y . 22 êë0 1 0úûf ( y , y , y ) = z 2 + z 2 则 1 2 3 1 2 .故P 1 X = P 2Y X = P -1PY P = P -1P .é 1 ù ê3 ú é1 1 0ù P -1 = ê02 1ú P = ê0 0 2 ú 1 ê3 ú 2 ê ú ê ê0 0 由于 êë ú ê0 1 0ú 1ú úû é1 2 2 ù ê ú 故 P = P -1P = ê0 14 ú ú ê0 1 0 ú ê úêë úû23.(本题满分 11 分)设 A 为 2 阶矩阵, P = (a , A a ) ,其中a 是非零向量且不是 A 的特征向量. (1)证明 P 为可逆矩阵.(2)若 A 2a + A a - 6a = 0 ,求 P -1AP ,并判断 A 是否相似于对角矩阵. 解析:(1)a ¹ 0 且 A a ¹ la . 故a与A a 线性无关. 则 r (a , A a ) = 2则 P 可逆.(2)法一:由已知有 A 2a = - A a + b a即 . 所以于是 AP = A (a , A a ) = ( A a , A 2a ) = ( A a , - A a + 6a )= (a , A a ) æ 0 6 ö,故有P -1 AP = æ 0 6 ö,! P 可逆 ç 1 -1÷ ç 1 -1÷ è ø è ø \可得A 与æ 0 6 ö相似,又 l -6 =(l + 3)"(l - 2)= 0 ç 1 -1÷ -1 l +1è øÞl 1 = -3,l 2 = 2\可得A 的特征值也为-3,2 于是 A 可相似对角化方法二 P -1AP 同方法一由 A 2a + A a - 6a = 0下面是证明 A 可相似对角化( A 2 + A - 6E )a = 0设( A + 3E )( A - 2E )a = 0由a ¹ 0得( A 2 + A - 6E )x = 0有非零解 故| ( A + 3E )( A - 2E ) |= 0得| A + 3E |= 0或| A - 2E |= 0若| ( A + 3E ) |¹ 0则有( A - 2E )a = 0故A a =2a 与题意矛盾故| A + 3E |= 0同理可得| A - 2E |= 0 于是 A 的特征值为l 1 = -3 l 2 = 2.A 有 2 个不同特征值故 A a 相似对角化。
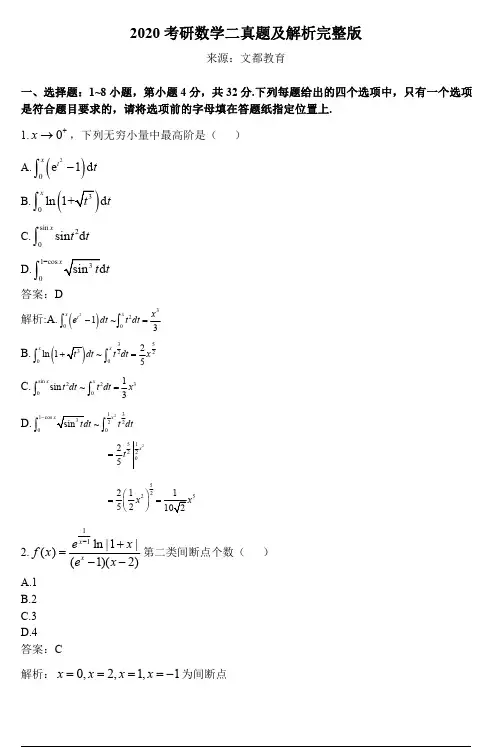
2020考研数学二真题及解析完整版来源:文都教育一、选择题:1~8小题,第小题4分,共32分.下列每题给出的四个选项中,只有一个选项是符合题目要求的,请将选项前的字母填在答题纸指定位置上.1.0x +→,下列无穷小量中最高阶是()A.()20e 1d x t t -⎰B.(30ln d x t t ⎰C.sin 20sin d x t t ⎰D.1cos 30sin d t t -⎰答案:D解析:A.()232001~3x x t x e dt t dt -=⎰⎰B.(35322002ln 1~5x x t dt t x =⎰⎰C.sin 223001sin ~3x x t dt t dt x =⎰⎰D.2311cos 32200sin ~x tdt t dt -⎰⎰25122025x t =52252152102x ⎛⎫== ⎪⎝⎭2.11ln |1|()(1)(2)x x e x f x e x -+=--第二类间断点个数()A.1B.2C.3D.4答案:C 解析:0,2,1,1x x x x ====-为间断点11110000ln |1|ln |1|ln |1|lim ()lim lim lim (1)(2)222x x x x x e x e x e x e f x e x x x ----→→→→+++===-=----0x =为可去间断点1122ln |1|lim ()lim (1)(2)x x x x e x f x e x -→→+==∞--2x =为第二类间断点1111ln |1|lim ()lim 0(1)(2)x x x x e x f x e x ---→→+==--1111ln |1|lim ()lim (1)(2)x x x x e x f x e x ++-→→+==∞--1x =为第二类间断点1111ln |1|lim ()lim (1)(2)x x x x e x f x e x -→-→-+==∞--1x =-为第二类间断点3.10(1)xx x x =-⎰A.2π4B.2π8C.π4D.π8答案:A 解析:10(1)xxx x -⎰令u x =,则原式=1220d (1)u uu u -⎰12020222021sin 2cos d cos 1224uu t u t t t t t πππ=-==⋅=⎰⎰令4.2()ln(1),3f x x x n =-≥时,()(0)n f =A.!2n n --B.!2n n -C.(2)!n n --D.(2)!n n -答案:A 解析:2()02()12(1)22(2)()(1)1(2)222()ln(1),3()[ln(1)]()[ln(1)]()[ln(1)](1)!(1)[ln(1)](1)(2)!(1)[ln(1)](1)(3)!(1)[ln(1)](1)()2;(n n n n n n n n nn n n n f x x x n f x C x x C x x C x x n x x n x x n x x x x x ------=-≥'''=-+-+----=----=----=-'''= ()212()) 2.(1)!(1)(2)!(1)(1)(3)!(1)()22(1)(1)2(1)!(0)2n n n n n n n n n n f x x n x x x x n f n --=----⋅---∴=⋅+⋅⋅⋅---∴=--5.关于函数0(,)00xy xy f x y x y y x ≠⎧⎪==⎨⎪=⎩给出以下结论①(0,0)1fx ∂=∂②2(0,0)1f ∂=∂∂③(,)(0,0)lim (,)0x y f x y →=④00lim lim (,)0y x f x y →→=正确的个数是A.4B.3C.2D.1答案:B解析:①0(0,0)(,0)(0,0)lim x f f x f x x→∂-=∂00lim1x x x→-==②0xy ≠时,f y x∂=∂0y =时,1f x∂=∂0x =时,0f x ∂=∂200(0,0)(0,)(0,0)1lim lim x x y y f y f f x y yy →→''-∂-==∂∂不存在.③(,)(0,0)(,)(0,0)0,lim (,)lim 0x y x y xy f x y xy →→≠==(,)(0,0)(,)(0,0)0,lim(,)lim 0x y x y y f x y x →→===(,)(0,0)(,)(0,0)0,lim(,)lim 0x y x y x f x y y →→===(,)(0,0)lim (,)0x y f x y →∴=④000,lim (,)lim 0x x xy f x y xy →→≠==000,lim (,)lim 0x x y f x y x →→===000,lim (,)lim x x x f x y y y →→===从而00limlim (,)0.y x f x y →→=6.设函数()f x 在区间[2,2]-上可导,且()()0f x f x '>>,则()A.(2)1f ->-B.(0)(1)f e f >-C.2(1)(1)f e f <-D.3(2)(1)f e f <-答案:B解析:由()()0f x f x '>>知()10()f x f x '->即(ln ())0f x x '->令()ln ()F x f x x =-,则()[-2,2]F x 在上单增因21-<-,所以(2)(1)F F -<-即ln (2)2ln (1)1f f -+<-+(1)(2)f e f ->-同理,10,(1)(0)F F -<-<即ln (1)1ln (0)f f -+<(0)(1)f e f >-7.设四阶矩阵()ij A a =不可逆,12a 的代数余子式1212340,,,,A αααα≠为矩阵A 的列向量组.*A 为A 的伴随矩阵.则方程组*A x =0的通解为().A.112233x k k k ααα=++,其中123,,k k k 为任意常数B.112234x k k k ααα=++,其中123,,k k k 为任意常数C.112334x k k k ααα=++,其中123,,k k k 为任意常数.D.122334x k k k ααα=++,其中123,,k k k 为任意常数答案:C解析:∵A 不可逆∴|A|=0∵120A ≠∴()3r A =∴*()1r A =∴*0A x =的基础解系有3个线性无关的解向量.∵*||0A A A E ==∴A 的每一列都是*0A x =的解又∵120A ≠∴134,,ααα线性无关∴*0A x =的通解为112334x k k k ααα=++8.设A 为3阶矩阵,12,αα为A 属于特征值1的线性无关的特征向量,3α为A 的属于特征值-1的特征向量,则满足1100010001P AP -⎛⎫ ⎪=- ⎪ ⎪⎝⎭的可逆矩阵P 可为().A.1323(,,)αααα+-B.1223(,,)αααα+-C.1333(,,)αααα+--D.1232(,,)αααα+--答案:D解析:1122,A A αααα==33A αα=-1100010001P AP -⎛⎫ ⎪=- ⎪ ⎪⎝⎭P ∴的1,3两列为1的线性无关的特征向量122,ααα+P 的第2列为A 的属于-1的特征向量3.α1232(,,)P αααα∴=+-二、填空题:9~14小题,每小题4分,共24分.请将答案写在答题纸指定位置上.9.设()221ln 1x t y t t ⎧=+⎪⎨=++⎪⎩,则212t d y dx ==_______.解析:2221d 1d 11d d d d 1t y y t t t t x t x t t ⎛⎫+ ⎪+++⎝⎭==+1t=2222d d d 1d d d d d d d d d 1y y t y t t t x t x x tt ⎛⎫ ⎪⎛⎫⎝⎭- ⎪⎝⎭===+231t t +=-2212t dy dx ==-10.11301y dy x dx +=⎰⎰_____.解析:11301y dy x dx +⎰⎰22130013001320111x x dx x dy x dx dy x x dx =+=+=+⎰⎰⎰⎰⎰11332013320321(1)(1)312(1)332219x d x x =++=⋅+⎛⎫=- ⎪⎝⎭⎰11.设arctan[sin()]z xy x y =++,则(0,)|dz π=______.解析:d d d z z z x y x x∂∂=+∂∂2(0,π)1[cos()],π11[sin()]z z y x y x xy x y x∂∂=++=-∂+++∂2(0,π)1[cos()],11[sin()]z z x x y y xy x y y∂∂=++=-∂+++∂∴(0,π)(π1)d d z x y x ∂=--∂12.斜边长为2a 等腰直角三角形平板铅直地沉没在水中,且斜边与水面相齐,设重力加速度为g ,水密度为ρ,则该平板一侧所受的水压力为______解析:建立直角坐标系,如图所示0202303=2()d 2d 122313aaaF gx a x x g ax x x a g x x ga ρρρρ⋅-=-⎛⎫=- ⎪⎝⎭=⎰⎰13.设()y y x =满足20y y y '''++=,且(0)0,(0)1y y '==,则0()d y x x +∞=⎰_____解析:特征方程2210λλ++=121λλ∴==-12()()xy x C C x e -=+000()d ()2()d [()2()][(0)2(0)]1y x x y x y x xy x y x y y +∞+∞+∞'''=-+'=-+'=+=⎰⎰14.行列式011011110110aaa a --=--________解析:22242011011011011110110110*********11111000021214.00a a a a a a aa a a a a a a a aa a aa a a aa a a----=----+-+-==----=--=-三、解答题:15~23小题,共94分.请将解答写在答题纸指定位置上.解答写出文字说明、证明过程或演算步骤.15.(本题满分10分)求曲线1(0)(1)x x x y x x +=>+的斜渐近线方程.解析:1lim lim (1)xx x x y x x x x+→+∞→+∞=+lim (1)xxx x x →+∞=+ln ln(1)e lim e x xx x x +→+∞=(ln ln(1))lim e x x x x -+→+∞=11ln lim e x x x +-⋅+→+∞=1ln 11lim e x x x ⎛⎫- ⎪+⎝⎭→+∞=111lim e e x x x ⎛⎫⋅- ⎪-+⎝⎭→+∞==1lim (e )x y x -→+∞-11lim e (1)x x x x x x +-→+∞⎛⎫=- ⎪+⎝⎭1lim e (1)x x x x x x -→+∞⎛⎫=- ⎪+⎝⎭ln 11lim e e x x x x x -+→+∞⎛⎫=⋅- ⎪⎝⎭ln 111lim e e 1x x x x x +-+→+∞⎛⎫=- ⎪⎝⎭1lim e ln 11x x x x x -→+∞⎛⎫=⋅+ ⎪+⎝⎭1011ln 111lim e t t t t t+-→⋅++=1201ln 1lim e t t t t +-→++=1120ln(1)1lim e e 2t t t t +--→-+==∴曲线的斜渐近线方程为111e e 2y x --=+16.(本题满分10分)已知函数()f x 连续且100()lim 1,()(),'()x f x g x f xt dt g x x →==⎰求并证明'()0g x x =在处连续.解析:因为0()lim 1x f x x →=0(0)lim ()0x f f x →∴==所以10(0)(0)0g f dt ==⎰因为1001()()()x g x f xt dt xt u f u du x ==⎰⎰当0x ≠时,02()()()xxf x f u dug x x -'=⎰当0x =时,02000()()(0)1()1(0)limlim lim 022x x x x f u du g x g f x g x x x →→→-'====-⎰02(),0()1,02xf u du x xg x x ⎧⎪≠⎪'∴=⎨⎪=⎪⎩⎰又因为2000()lim ()lim ()x x x xf x g x f u du x →→'=-⎰020()()11lim 122x x f u du f x x x →⎡⎤⎢⎥=-=-=⎢⎥⎢⎥⎣⎦⎰()0g x x '∴=在处连续17.(本题满分10分)求二元函数33(,)8f x y x y xy =+-的极值解析:求一阶导可得22324f x y xf y x y∂=-∂∂=-∂令100601012f x x x f y y y ∂⎧⎧==⎪⎪=⎧∂⎪⎪⎨⎨⎨∂=⎩⎪⎪==⎪∂⎪⎩⎩可得求二阶导可得2222226148f f f x y x x y y ∂∂∂==-=∂∂∂当0,00. 1.0x y A B C -====-=时.20AC B -<故不是极值.当11612x y ==时1. 1. 4.A B C ==-=2110.10,612AC B A ⎛⎫->=> ⎪⎝⎭故且极小值极小值33111111,8661261212216f ⎛⎫⎛⎫⎛⎫=+-⨯=- ⎪ ⎪ ⎪⎝⎭⎝⎭⎝⎭18.已知222122()()1x x f x x f x x ++=+,求()f x ,并求直线12y =,32y =与函数()f x 所围图形绕x 轴旋转一周而成的旋转体的体积。
2020年全国硕士研究生招生考试 数学(二)试题参考答案及解析一、选择题1-8题,每小题4分,共32分。
下列每题给出的4个选项中,只有一个选项是符合题目要求的,请将选项前的字母填在答题纸指定位置上。
1. 当0x +®时,下列无穷小量中最高阶的是 ( ). (A )2(1)-⎰xt e dt (B)0ln(1+⎰x dt (C )sin 20sin ⎰xt dt (D)1cos 0-⎰【答案】(D )【解析】22320(e 1)11lim lim ,33++→→--==⎰xt x x x dte x x可知2301(e 1),0;3+-→⎰:x t dt x x5022ln(12limlim ,52++→→==⎰xx x dtxx可知5202ln(1,0;5+→⎰:xdt x xsin 22032000sin sin(sin x)cosx cos 1limlim lim ,333+++→→→⋅===⎰xx x x t dtx x x可知sin 2301sin ,0;3x t dt x x +→⎰:1cos 0500limlim lim x x x x +++-→→→===⎰可知1cos 50,0,-+→⎰:xx x对比可知1cos 0-⎰的阶数最高,故选(D ).2....第二类间断点的个数为( ) (A )1 (B )2 (C )3 (D )4 【答案】(C )【解析】()f x 可能的间断点有1,0,1,2x x x x =-===,由于1lim ln |1|x x ?+=-?,111lim0(1)(2)x x x ee x -?¹--,可知-1lim ()x f x ®=?,则1x =-为()f x 的第二类(无穷)间断点;111lim ()lim(2)2x x x e x f x x x e-==--,又由于()f x 在0x =处无定义,可知0x =为()f x 的第一类(可去)间断点;1111ln(1)lim ,lim 0(1)(2)x x x x x e e x ++-+=+ス--,则1lim ()x f x +®=?,则1x =为()f x 的第二类(无穷)间断点;11221ln(1)lim,lim021x x xx e x x e -+=ス--,则2lim ()x f x ®=?,则2x =为()f x 的第二类(无穷)间断点.综上所述,()f x 的第二类间断点有3个,故选(C ).3.1=ò( ).(A )24p (B )28p (C )4p (D )8p【答案】(A )【解析】11002=2112002(arcsin (arcsin 4p ===ò,故选(A ).4.设2()()ln(1),...,(0)n f x x x f =-=( ).(A )!2n n --(B )!2n n -(C )(2)!n n --(D )(2)!n n -【答案】(A ).【解析】由ln(1)x -的麦克劳林公式可知242232()()()22n n n n x x x x f x x x o x x o x n n ++骣骣鼢珑鼢=----+=-++++珑鼢鼢珑桫桫L Ln x 的系数为12n --,则()!(0)2n n f n =--,故选(A ).5.关于函数...给出以下结论①(0,0)1fx ¶=¶①2(0,0)1f x y ¶=抖①(,)(0,0)lim (,)0x y f x y ®=①00limlim (,)0y x f x y =正确的个数是( )(A )4 (B )3 (C )2 (D )1 【答案】(B )【解析】(,0)f x x =可知(0,0)1fx ¶=¶,故①正确.不论0,0xy x?还是0y =时,都有(,)(0,0)lim (,)0x y f x y ®=,故①正确.lim (,)0x f x y ®=,进而00limlim (,)0yxf x y =,可知①正确,当0y =时,00(,0)(,0)(,0)lim lim 1x x x f x x f x x x xf x x x D 瓺?+D -+D -¢===D D当0,0y x 构时,00(,)(,)()(,)lim lim x x x f x x y f x y x x y xyf x y yx x D 瓺?+D -+D -¢===D D当0,0y x?时,00(,)(0,)(0,)lim limx x x f x y f y x y yf y x x D 瓺?D -D ?¢==D D 不存在,则(0,)(0,0)(0,0)limx x xy y f y f f y®ⅱ-ⅱ=不存在,故①错误,故正确的有3个,选(B )6.设函数()f x 在区间[2,2]-上可导,。
2020年全国硕士研究生招生考试(数学二)参考答案及解析1.D解析:A 选项可知2220((1))'1~xt x e dt e x -=-⎰;B 选项32(ln(1)'ln(1~xdt x =⎰; C 选项sin 2220(sin )'sin cos ~xt dt x x x =⎰;D 选项1-cos 40()'sin ~=⎰. 2.C解析:11ln(1)()(1)(2)x xe xf x e x -+=--,则可疑点为1x =,1x =-,0x =,2x =, 1lim ()x f x +→=-∞,1lim ()x f x +→-=-∞,2lim ()x f x →=∞,+100lim()lim ()2x x e f x f x --→→==-, 故选C3.A解析:220arcsin =4x π=⎰. 4.A解析:2()ln(1)f x x x =- 5.B6.B由题意得()1()f x f x '>,从而0011()d 1d ()f x x x f x --'>⎰⎰,即(0)ln 1(1)f f >-,故(0)e (1)f f >-. 7.C解析:由于A 是不可逆的,所以()4r <A ,又由于120≠A ,所以()3r ≥A ,故()3r =A ,所以*()1r =A ,所以*=A x 0的基础解系中有3个向量,又因为120≠A ,所以1α,3α,4α线性无关,所以解为123134k k k +=+αααx ,故选C . 8.D解析:由于1α,2α是A 的属于1的特征向量,3α是A 的属于1-的特征向量,故3α-也是A 的属于1-的特征向量,12+αα是A 的属于1的特征向量,故选D .9.解析:1dydx t=,22d ydx=221td ydx=⇒=12解析:()21113/2300011122xdy dx x==+=⎰⎰⎰11.(1)dx dyπ--解析:2(cos())(cos())1[sin()]y x y dx x x y dydzxy x y+++++=+++(0,)(1)dz dx dyππ⇒=--12.313ega解析31()[()]3ag a y y y dy gaρρ---=⎰13.1解析由()()200=00=1y y yy y'''++='⎧⎨⎩,得()xy x xe-=所以+()d1y x x∞=⎰14.242aa-011011110110aaaa----00011=00110a aaa aa--411100=0(1)11100a aa a a aa a a+-⨯+---241011+00=0(1)11100a aa a a aa a a+-⨯+---24=4a a-+.15.解:()11lim lim lim lim1111xxx xx x x xy x xkx x exx→+∞→+∞→+∞→+∞⎛⎫=====⎪+⎝⎭+⎛⎫+⎪⎝⎭()()1ln11222111 lim lim lim1lim ln1111111111lim ln1lim22xxxxxx x x xx xx xb y kx x x e x xe e e xxx xe x x e x e+++→+∞→+∞→+∞→+∞→+∞→+∞⎡⎤⎡⎤⎛⎫=-=-=-=+⎢⎥⎢⎥ ⎪+⎝⎭+⎢⎥⎣⎦⎣⎦⎡⎤⎛⎫=-+=⋅=⎪⎢⎥⎝⎭⎣⎦16.解:当0x ≠时,令u xt =,则()()()11xg x f xt dt f u du x ==⎰⎰;当0x =时,()()00g f =,再由()0lim1x f x x→=及函数连续得()()00lim 0x f f x →==,从而()00g =.从而当0x ≠时,()()()'02xxf x f t dtg x x-=⎰.又()()()()()'201lim limlim 0022xx x x f t dt g x g f x g x xx →→→-====-⎰,从而得()()()02',01,02x xf x f t dtx x g x x ⎧-⎪≠⎪=⎨⎪=⎪⎩⎰.又()()()()()()''002200011lim limlim 1022xxx x x xf x f t dt f t dt f x g x g x x x →→→⎡⎤-⎢⎥==-=-==⎢⎥⎢⎥⎣⎦⎰⎰,从而()'g x 在0x =处连续.16. 解:对函数关于,x y 分别求导,令并两偏导数同时为零,得'2'230240x x f x y f y x ⎧=-=⎪⎨=-=⎪⎩,解得00x y =⎧⎨=⎩或16112x y ⎧=⎪⎪⎨⎪=⎪⎩.又''''''6,1,48xx xy yy f x f f y ==-=,在()0,0处,210AC B -=-<,从而函数在此处不取极值;在11,612⎛⎫ ⎪⎝⎭处,230,10AC B A -=>=>,从而函数在此处取极小值,且111,612216f ⎛⎫=- ⎪⎝⎭.综上函数的极值为111,612216f ⎛⎫=- ⎪⎝⎭.18解:由任意x 均有()2212f x x f x ⎛⎫+= ⎪⎝⎭,则22121112f f x x x +⎛⎫⎛⎫+= ⎪ ⎪⎝⎭⎝⎭两式消去1f x ⎛⎫ ⎪⎝⎭,可解得()f x =,从而可得x =可得所求()22233112266222sin 1cos 26V xydy tdt t dt πππππππππ====-=⎰⎰⎰⎰19解:d Dx y 2sec 40sec 2sec 40sec 340d d cos d sec d 3sec d 2rr r r r rπθθπθθπθθθθθθ===⎰⎰⎰⎰⎰其中,34040244034403440340sec d sec dtan sec tan sec (sec 1)d sec d sec d sec d ln sec tan sec d 1)11)2πππππππππθθθθθθθθθθθθθθθθθθθ==--=+=++=+=⎰⎰⎰⎰⎰⎰⎰3d 1)4Dx y =20(1)证:令2()()(2)e x F x f x x =--,则221(1)e<0,(2)e 0t F F dt =-=>⎰.由零点定理,(1,2)ξ∃∈使()0F ξ= 即2()(2)e f ξξξ=-.(2)令()ln g x x =,由柯西中值定理,(1,2)η∃∈使(2)(1)()(2)(1)()f f fg g g ηη'-='-即2(2)e 1ln 2f ηη=故2(2)ln 2e f ηη=.21. 设点M 的坐标为),(y x ,(0,0>>y x ),则)()(),(),(x y x y TP x y TP PM x y PM '='==,由已知,有23)(||21=⋅⎰x dtx y TP PM ,化简得0)123(22='-+''y y y ,为可降阶微分方程代入初始解0)0(=y ,得所求曲线方程为21Cx y =(C 为任意大于零的常数).22.(1)设1=11a a a a a a ⎡⎤⎢⎥⎢⎥⎢⎥⎣⎦A 110=110004⎡⎤⎢⎥⎢⎥⎢⎥⎣⎦B 因为T=B P AP 所以()=()r r B A 由于()=2r B 所以()=2r A故2=(2+1)(1)0a a A -= 解得1(1)2a a =-=舍去 (2)22321231233(,,)()()224x x f x x x x x x =--+- 22123123316(,,)()()43g y y y y y y =++令3211223322=22x x x y y x x y x y ⎧--+⎪⎪⎨-⎪⎪=⎩,则1201001P 轾犏-犏犏犏=犏犏犏-犏臌. 23.(1)由于(,)P αA α=,0α¹,且αA αl ¹ 则α与A α不成比例,且0α¹,故P 可逆. (2)2(,)(,)(,6)AP A αA αA αA αA αA αα===-+即0611AP P 轾犏=犏-臌故10611P AP -轾犏=犏-臌所以0611A B 轾犏=犏-臌: 6==(3)(2)11B E l l l l l--+---故12l =,23l =-,故B 可以有两个不同的特征值,可以相似对角化,因此A可以相似对角化.。
2020年全国硕士研究生招生考试
数学(二)
(科目代码:301)
考生注意事项
1、答题前,考生须在试题册指定位置上填写考生编号和考生姓名;在答题卡指定位置上填写报考单位,考生姓名和考生编号,并涂写考生编号信息点。
2、选择题的答案必须涂写在答题卡相应题号和选项上,非选择题的答案必须书写在答题卡指定位置的边框区域内。
超出答题区域书写的答案无效;在草稿纸、试题册上答案无效。
3、填(书)写必须使用黑色字迹签字笔书写,字迹工整、笔迹清楚;涂写部分必须使用2B铅笔填涂。
4、考试结束,将答题卡和试题册按规定交回。