法兰配螺栓尺寸
- 格式:xls
- 大小:20.00 KB
- 文档页数:12
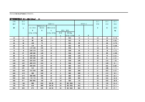
平焊法兰PN2・5Kg□法 兰连saoB i 部分血径6?分an 殳缘検孔 IX 檢孔双盯a stt I tttttttt兰论fl 決理■DN(mm)"DNI T -DI D2DOD 65 60 75 80 90 100 M10X40 M1QX40 M10X40 DN32 38 12080 70 2 12 14 I_1— M12X40 NM2 - 60 0.795 □ N :045 130 100 80 3 12 14 4 M12 • 4 0 M12X60 0.870 DN50 57 140 110 90 3 12 14 4 M12X40 M12X0O 0.954 DN65 76 160 130 no 3 14 14 4 M12X50 M12X70 1 -130 DN80 89 • 185 150 125 3 1418 4 M16X50 M16X70 1.950 DN100 106. 205 170 145 318 4 M16X50 M16X70 2.200DN125 133 235 200 175 3 14 18 8M16X50 M16X70 2.780 DN150 169 ;260 225 200 3 16 18 8 M16X50 M10X70 3.490DN200 219 315 280 255 3 1818 8M16X60 M16X80 4 880 DN250 273 370 335 310 3 22 18 12M16X70 M16X90 7.320 DN300 325 435 395 362 4 22 23 12M20X70 M20X90 9.400 DN3S0 377 485 445 412 4 22 23 12 M20X70 M20X90 10 500DN400 426 535 495 462 4 2223 16M20X70 M20X90 11 700 DN450 478 590 550 518 4 24 23 16M20X80 M20X100 14.900 DN500 529 640 600 568 4 24 23 16M20X80 M20X100 16.200 DN600 630 755705 6705 24 25 20 M22X80 M22X1OO 20.600 DN700720 860 810 7755 26 25 24 M22x80 M22• 110 29.900 DN800 820 975 920 880 S 26 30 24 M27X90 M27X120 36 700 DN900 920 1075 1020 980 5 28 30 24 M27X&0 M27X12O 44.200 DN1000 1020 1175 1120 1080 5 30 30 28 M27X100 M27X120 52.700 DN1200 1220 1375 1320 1280 5 30 30 32 M27X100 M27X12O 65.900 DN1400 1420 1575 1520 1480 5 30 30 36 M27X100 M27X130 70.300 DN1500 1520 1690 1630 1590 5 30 30 36 M27X100 M27X130 83.600 DN1600 1620 1790 1730 1690 5 32 30 40 M27X100 M27X130 94.300DN1800 1820 1990 1930 1890 5 34 30 44110.000DN2000 2020 2190 2130 2090 5 34 30 48 f121.800 DN2200 2220 2405 2340 2292 6 S634 52 V 148 900DN2400 2420 2605 2540 2492 6 38 34 56171.900DN2600 2620 2805 2740 2692 6 4034 60196.600DN2800 2820 3030 2960 2905 6 44 41 64271 6CCDN3Q00 S020 3230 3160 3105 6 46 41 68304.600 DN3200 3220 3430 3360 3305 6 46 41 72 324.300DN3400 3420 3630 3560 3505 6 46 41 76343.900DN3600 3620 3840 3770 3715 6 48 4180403.300 DN30OO 3820 4045 3970 3915 6 4880422.300 DN4000 4020 4245417041156504184458.700M10 ■ 50 MWK110X50 DN20DN2518 25 xg0.290D 450 0.553主要連接尺寸 卅子»配警外決 兰法兰什H 栓孔中连檢连狭035 —iWttJL «ltn2套法台好松■头 双头 Vklitttt法苣 疲论 KM0N(mm> oo D D1 D2 f b d Z..A ________•旳 DN15 18 80 55 40 2 12 12 4 M10X40 M10X50 0.335 DN20 2S 90 65 50 2 U 12 4 M10X50 M10 • GO 0.536 DN25 32 100 75 60 2 14 12 4 M10XS0 M10X60 0.641 DN32 38 120 00 70 2 16 14 4 M12X50 M12X70 1.097 DN40 45 130 100 80 3 16 144 M12X50 M12X70 1.219 DN50 57 140 110 90 3 16 U4 M12X50 M12X70 1.348 DN65 76 160 130 110 3 W 14 4 M12X50 M12X70 1.670 DN80 89 185 150 125 3 18 18 4 M16X60 M16X80 2 480 DN100 108 205 170 145 3 18 18 4 M16X60 M16X80 2.890 DN125 133 235 200 175 3 20 18 8 M16X60 M16X80 3 940 DN150 159 260 225 200 3 20 18 8M16X60 M16X80 4 470 DN200 219 315 280 255 3 22 18 8M16X70 M16X80 6.070 DN250 273 370 335 310 3 24 18 12 M16X70 M16X90 8.303 DN300 325 438 395 362 4 24 23 12 M20X80 M20X100 10.300 DN350 377 485 445 412 4 24 23 12 M20X80M20X10012.590..... DN400 426 535 495 462 4 24 23 16 M20X80 M20X100 15.200 DN450 4?e 590 550 518 4 26 23 16 M20X80 M20X100 1/.590 DN500 529 640 600 568 4 26 23 16 M20X90 M20X110 20.670DN600 630 755 705 670 6 26 26 20 M22X90 M22X110 26.570 DN700 720 860 810 775 5 26 25 24 M22X90 M22X12037.100DN800 820 975 020 880 5 26 30 24 M27X100 M27X120 46.200 DN900 920 1075 1020 980 5 30 30 24 M27X100 M27X130 55.100DN1000 1020 1175 1120 1030 5 30 30 28 M27X110 M27X130 57.300DN1200 1220 1400 1340 1295 5 30 34 3292.000DN14U0 1420 1620 1560 1510 5323436120.000 DN1600 1620 1820 1710 17C 0 40 1S2.000 DN1800 DN2000 DN2200 DN2400 DN2600 DN2800 1820 2020 2220 2420 2620 2820 2045 2265 M75 2685 2900 3110 1970 1910 2180 2390 2600 2810 3020 2110 2330 254027402950 DN300030203310322031503G485 554 5444 486064 68207.000 256.000 367.000 •133 700 501 800 600000 660.600DD1D2主要连授尺寸主耍逢接尺寸平焊法兰PN25Kg公称K& U ftV子外&法兰外(3堂栓配农法兰履栓法兰円论«•a^K中心68直径注挨凸at胳分«泾送侵0囲法兰ffli s径爼栓孔n ■aitON(mm) DO 0 01 D2 f b d z •阳DN1S 18 96 65 45 2 16 14 4 M12X5O M12X70 0.804 DN20 25 105 75 55 2 16 14 4 M12X60 M12X70 0.985 DN25 32 115 85 65 2 16 14 4 M12X60 M12X70 1.174 DN32 38 135 100 78 2 ia 18 4 M16X60 M16X80 1.M0 DN40 45 145 110 85 3 18 18 4 M16X70 M1«X9O 2.600 DN5O 57 160 125 100 3 20 = / 18 4 M16X70 M16X90 2.710 DN65 76 180 145 120 3 22 18 8 M16X70 M10XOO 3.220 ON80 89 195 100 135 3 22y 188 M16X80 M16X100 4.060 DN1OO 108 230 190 160 3 24 、/ 23 8 I M20XB0 M20X100 6.000 DN125 133 270 220 188 3 28 25 8 M22X&0 M22X110 8.260 DN150 159 300 250 218 3 30 25 8 M22X90 M22X110 10.400 DN200 219 360 310 278 3 34 25 12 M22X100 M22X120 14.500 DM250 273 425 370 332 3 36 30 12 M27X100 M27X130 18.900 DN300 325 485 430 390 4 40 30 16 M27X110 M27X130 26.800 DN350 377 550 490 448 4 44 34 16 M30X120 M30X150 34 350 DN4OO 426 610 S50 505 4 4d 34 16 M 30X130 M 30X160 44.900ON450 478 660 600 555 50 34 20 M30X130 M30X160 51.920 DN500 529 730 660 610 52 41 20 M36X150 M36X190 67.300 DN600 630 840 770 718 5 56 41 20 90.000 DN700 720 955 875 815 5 60 48 24 113.000 DN800 820 1070 990 930 5 64 48 24 155 000 DN900 920 1180 1090 102S 5 66 54 28 17BOOO DN1000 1020 1305 1210 1140 S 68 58 28293.000 DN1200 1220 1525 1420 1350 5 72 58 32387.000 DN1400 1420 1750 1640 1560 5 78 65 36 519.000 主要连接尺寸对焊法兰PN40Kg 主要连接尺寸公片:玄從配Xff子外»头那松法兰理论Kill 济兰外径法兰A 8法兰外径乩中心00凸出部分凹下祁分0岀帕分法度凹下法兰法兰AftUlttHE衿oas长圧fl iff 法竺SB凹面沬兰MlDN(mm) dO DW DO D D1 02 D4 D5 b h d z 巾SDN15 18 19 12 95 65 45 39 40 4 16 35 14 4 M12X70 0.807 •0.739DN20 25 26 18 105 75 55 50 51 4 16 3614 4 M12X70 1.02 O.OIfi DN25 32 33 25 115 B5 65 57 58 4 16 38 14 4 M12X70 1.24 1.11 DN32 38 39 31 135 100 78 65 66 4 18 45 18 4 M16X80 1.92 1.76 DN40 45 46 38 145 110 85 75 76 4 18 48 184M16X80 2.21 2.00 DN50 57 58 48 160 125 100 87 B8 4 20 48 18 4 M16X80 2.92 2.68 DN65 76 74 66 180 145 120 109 110 4 22 52 18 8 M16X90 3.94 3.59 DN80 89 90 78 195 160 135 120 121 4 2258 18 8 M16X90 5.02 4 64 DN100 108 110 96 230 190 160 149 150 4.5 24 68 23 8 M20X100 7.56 6.97 DN125 133 135 120 270 220 18fl 175 176 4.5 28 68 25 * M22X100 10 3 9 48 DN150 159 161 145 300 250 218 203 204 4.5 30 72 25 * M22X12C /3・5 12.6 DN200 219 222200 375 320 282 259 260 4.5 38 88 30 12M27X140 25.0 23.6 DN250 273 278 252 445 385 345 312 313 4.5 42102 34 12M30X160 36.7 35.0 DN300 325 330 301 510 450 408 363 364 4.5 46 116 34 M30X160 52.3 50.0DN350 377 382 3515704 -- 510 k 465 421 422 5 52 120 34 16 M30X180 66.3 64.1DN400 426 432 398 655 585 535 473 474 5 58 142 41 18M30X200 105.4 102.0 DN450 478 484 448 680 610 560 523 524 5 60 146 41 20 M36X200 114.0 109.7DN500 529 535 495 755 670 612 575 576 S 62 156 48 20M42X21O168.6 163.6DWZ-Od对焊法兰PN64Kg 主要连接尺寸公称 B S 配X «子外&法兰IE命双灿栓法兰哎论鱼■外栓内徑法兰*8fltt孔中心91凸出部分J9L&BT ■分Aft凸出也分髙瞳凹下誘分深度法兰法兰RKnn■长度0面法兰m沬兰£1DN(mm) dO DW DO 0 D1 D2 D4 D5 (1=f2 b h d z■切DN15 18 19 12 105 75 55 39 40 4 18 48 14 4 M12X70 1.18 1.11 DN20 25 26 18 125 90 66 50 51 4 20 56 18 4 M16X80 1.87 1 76 DN25 32 33 25 135 100 78 57 58 4 22 58 18 4 M16X80 2.36 2.22 DN32 38 39 31 150 110 82 65 06 4 24 62 23 4 M20X100 3.15 2.99 DN40 45 46 37 165 12S 95 75 76 4 24 68 23 4 M20X100 3.88 3.76 DN50 57 58 47175 135 105 07 88 4 26 70 23 4 M20X100 4.76 4.50 DN65 76 74 64 200 160 130 109 110 4 28 75 23 8 M20X100 6.43 6.05 DN80 89 90 77210 170 140 120 121 4 30 75 23 8 M22X110 7 43 7.00 DN100 108 110 94 250 200 168 149 150 4.5 32 60 25 8 M22X120 11.3 10.5 DN125 133 135 118 295 240 202 175 176 4 5 36 98 30 8 M27X130 17.5 16.6 DN1S0 159 161 142 340 280 240 203 204 4.5 38 110 348 M30X140 25.3 24 1 DN200 219 222 198 405 345 300 259 260 4.5 44 116 34 ・,2 M30X160 37.5 35.0 DN250 273 278 246 470 400 352 312 313 4.5 48 122 41 12 M30X170 52.4 50.3 DN300 325 330 294 530 460 412 363 364 4.5 S4 136 41 18 M36X19O 70.8 68.3 DN350 377 3B2 342 595 52S 475 421 422 5 60 154 41 18 M36X200 103.5 99.8 DN400 426 432 386 670 585 525 "3 474 5 66 170 48 16 M42X220 142 0 137.0D1对焊法兰PNIOOKg主要连接尺寸WS 公1L子e兰双检sM头ft ft 论a兰 法M 二B& >£»外兰径 法内法外住中mtt »孔心直出分径凸BBfiM-« 法斥兰a法高ts孔H 6 A : 面兰・a決tt 面兰«凹法■ doFF D1D4 h ■<F H dE •kg 5 1 NDF 5 7 9 340 4 h 4 a .24 1 FF 9050 1 54 H H .04 o .9 1 !32 >F 一・一157IB5fl56 2 2 4 •32 DN338 39 1 3FF 4H LL 6 3.13.00 F125叵764 EFH 42 .2 434 57 585 4- 一5 95 4 1874 8 2 72H 4Jj冋22070 ・109 4— 10 4 * 848 o .0 s.8.60,89RR F 一180h 1 244 3Hh4M2 4 g97 9.108FY ・1508 3w2 5 4— .4 4. •1135335•42 4 H E H 9 •3 9 229 56 3150 3F.5 4.6 430134—I2 12 3. 39 31.DN200 2192221904303602592604.55414541 12 M36X19055.053.4DN2502732782365004303123134.5601704112M36X20087.685.2DN3003253302845855003633644.5701954816M42X230 130.7 128.0DN3503773823326655604214225762105416M48X250 175.0 171.0DN400426432376 715620473 47458022054 16 M48X260 218.5 213.5注:1、沟槽件法兰螺栓长度可参照l.OMPa 焊接法兰所配螺栓长度。
法兰螺丝的规格和型号通常由以下几个参数决定:
1. 螺纹尺寸:法兰螺丝的螺纹尺寸用螺纹直径和螺距来描述。
例如,M8x1.25 表示螺纹直径为8毫米,螺距为1.25毫米。
2. 长度:法兰螺丝的长度是指螺纹部分的总长度,通常以毫米(mm)为单位。
例如,长度为20mm 的螺丝。
3. 材料:法兰螺丝可以有不同的材料,如碳钢、不锈钢等。
材料的选择通常根据具体的应用环境和需求来确定。
4. 头部型式:法兰螺丝的头部可以有不同的型式,如扁平头、圆头、六角头等。
头部型式的选择通常根据应用和使用工具来确定。
综上所述,一个常见的法兰螺丝的规格型号可能是类似于:M8x1.25,长度为20mm,材料为不锈钢,头部为六角头。
不同应用场景和标准可能会有不同的规格型号要求,因此在具体选择法兰螺丝时,最好根据应用需求和相关标准来确定合适的规格型号。
常用平焊法兰及螺栓规格尺寸常用平焊法兰及螺栓规格尺寸(摘自HG5010-58)单位:毫米管子法兰(毫米)螺栓焊缝公称螺栓孔连接凸连接凸焊缝离螺栓孔焊缝的直径外径壁厚外径中心圆出部分出部分厚度重量数量规格法兰面直径直角边直径直径高度距离 Dgd H SDD 1 D 2 fbd Kgn 直径×长度 KH 2Pg=1公斤/厘米10 143 75 50 352 81 20.4 M10×30 34 151 83 55 40 281 20.2 34 151 83 55 40 281 20.234 202 53 90 75 606 28.1 34 202 53 90 75 606 28.134 253.5 10 75 60 281 20.4 34 253.5 10 75 60 281 20.432 532 38 35 120 281 20.2 32 532 38 35 120 281 20.234 323.5 10 75 60 281 20.4 34 323.5 10 75 60 281 20.432 383.5 12 90 70 281 20.4 32 383.5 12 90 70 281 20.440 453.5 13 101 008 038 140 32.5 40 453.5 13 101 008 038 140 32.540 553.5 14 110 903 810 381 40.5 40 553.5 14 110 903 810 381 40.540 453.5 13 101 008 038 140 32.5 40 453.5 13 101 008 038 140 32.540 573.5 16 013 011 031 014 1.024 40 573.5 16 013 011 031 014 1.02440 680 89 418 515 012 831 018 1.394 40 680 89 418 515 012 831 018 1.39416×40 56 420 51 70 148 310 181.5 16×40 56 420 51 70 148 310 181.516×40 56 100 108 125 133 423 520.0 178 31.98 16×40 56 100 108 125 133 423 520.0 178 31.9816×40 56 150 159 45 26 022 520.0 182 62.8 16×40 56 150 159 45 26 022 520.0 182 62.816×45 56 290 25 52 352 323 141.8 16×45 56 290 25 52 352 323 141.816×50 67 175 134 200 219 631 528.0 258 31.8 16×50 67 175 134 200 219 631 528.0 258 31.816×50 78 225 245 734 030 528.0 231 84.0 16×50 78 225 245 734 030 528.0 231 84.016×50 89 370 33 531 231 418.5 16×50 89 370 33 531 231 418.516×50 91 025 027 300 325 843 539.5 365 41.6 16×50 91 025 027 300 325 843 539.5 365 41.620×55 91 035 037 794 854 454 154 162 37.6 20×55 91 035 037 794 854 454 154 162 37.620×55 1011 953 549 546 541 823 198.5 16×60 1011 953 549 546 541 823 198.520×60 1011 400 426 450 478 959 055 052 041 823 111.020×60 1011 400 426 450 478 959 055 052 041 823 111.0 20×60 1011 500 529 964 060 057 042 023 130 13.5 20×60 1011 500 529 964 060 057 042 023 130 13.520×60 1075 570 567 052 025 17.1 20×60 1075 570 567 052 025 17.122×65 1011 600 631 09 700 720 986 081 077 552 225 25.3 22×65 1011 600 631 09 700 720 986 081 077 552 225 25.3 22×70 1011 800 820 997 592 088 052 430 33.9 22×70 1011 800 820 997 592 088 052 430 33.927×80 1011XXX in this text。
法兰螺栓长度标准尺寸
法兰螺栓是一种常用的紧固件,它通常用于连接管道、阀门、容器等设备的法兰。
在不同的应用场合中,法兰螺栓的长度也会有所不同。
下面是法兰螺栓长度标准尺寸的相关内容:
1. 标准尺寸
根据国际标准ISO、德国标准DIN和美国标准ANSI等规范,法兰螺栓的长度标准尺寸通常为20mm、25mm、30mm、35mm、40mm、45mm、50mm、55mm、60mm、65mm、70mm、75mm、80mm、85mm、90mm、95mm、100mm、110mm、120mm、130mm、140mm、150mm、160mm、170mm、180mm、190mm、200mm、220mm、240mm、260mm、280mm、300mm、320mm、340mm、360mm、380mm、400mm、420mm、440mm、460mm、480mm、500mm等。
2. 长度选择
在选择法兰螺栓长度时,需要根据实际需求进行选择。
一般情况下,法兰螺栓的长度应该略长于法兰的厚度,以确保连接的紧固性和稳定性。
另外,在一些高温、高压、高振动等特殊情况下,需要选择更加精准、耐用的法兰螺栓,以保证设备的正常运行。
3. 材质选择
法兰螺栓的材质通常为碳钢、合金钢、不锈钢等。
不同的材质对于法兰螺栓的耐腐蚀性、强度、硬度等性能有着不同的影响。
在选择材质时,需要根据设备的具体使用环境、介质等因素进行选择。
总之,法兰螺栓长度标准尺寸是非常重要的参考指南,但在实际使用过程中,还需要结合设备的具体情况、使用环境等因素进行选择,
以确保设备的安全稳定运行。