新东方的艾宾浩斯记忆法背单词的表格及说明一览
- 格式:docx
- 大小:126.94 KB
- 文档页数:5
艾宾浩斯记忆法背单词的表格及说明一览1 2 3 4 5 6 8 9 10 上 A B C D E F AH BI CJ晚 A AB BC ACD BDE CEF EGH FHI GIJ11 12 13 14 15 16 18 19 20上 D E F G AH BI D E F晚HJ I J21 22 23 24 25 26 28 29 30上G H I J A B31 32 33 34 35 36 38 39 40上 C D E F G H J艾宾浩斯遗忘曲线人的大脑是一个记忆的宝库,人脑经历过的事物,思考过的问题,体验过的情感和情绪,练习过的动作,都可以成为人们记忆的内容。
例如英文的学习中单词、短语和句子,甚至文章的内容都是通过记忆完成的。
从"记" 到" 忆"是有个过程的,这其中包括了识记、保持、再认和回忆。
有很多人在学习英语的过程中,只注重了学习当时的记忆效果,孰不知,要想做好学习的记忆工作,是要下一番工夫的,单纯的注重当时的记忆效果,而忽视了后期的保持和再认同样是达不到良好的效果的。
在信息的处理上,记忆是对输入信息的编码、贮存和提取的过程,从信息处理的角度上,英文的第一次学习和背诵只是一个输入编码的过程。
人的记忆的能力从生理上讲是十分惊人的,它可以存贮1015 比特(byte ,字节) 的信息,可是每个人的记忆宝库被挖掘的只占10%,还有更多的记忆发挥空间。
这是因为,有些人只关注了记忆的当时效果,却忽视了记忆中的更大的问题-- 即记忆的牢固度问题,那就牵涉到心理学中常说的关于记忆遗忘的规律。
一、艾宾浩斯记忆规律曲线解释德国有一位著名的心理学家名叫艾宾浩斯(Hermann Ebbinghaus ,1850-1909) ,他在 1885 年发表了他的实验报告后,记忆研究就成了心理学中被研究最多的领域之一,而艾宾浩斯正是发现记忆遗忘规律的第一人。
根据我们所知道的,记忆的保持在时间上是不同的,有短时的记忆和长时的记忆两种。
艾宾浩斯遗忘曲线背单词表格(打印方便)
艾宾浩斯遗忘曲线背单词表格
Chapter 1: 简介
介绍艾宾浩斯遗忘曲线的概念和原理
Chapter 2: 单词分类
按照词汇难度或主题将要背诵的单词进行分类
Chapter 3: 明确目标
设置背诵单词的目标,并确保目标具体可行
Chapter 4: 制定计划
制定详细的背单词计划,包括每天背诵的数量和时间安排Chapter 5: 背诵方式
介绍不同的背诵方式,例如拼写练习、单词联想等Chapter 6: 制作记忆卡片
制作艾宾浩斯记忆卡片,包括单词、释义和例句Chapter 7: 初次背诵
根据计划开始进行初次背诵,按照记忆卡片进行复习
Chapter 8: 复习计划
制定复习计划,根据艾宾浩斯遗忘曲线规律进行定期复习
Chapter 9: 复习方式
介绍艾宾浩斯复习方式,例如间隔复习和有针对性复习
Chapter 10: 检查进展
定期检查背诵进展,评估已掌握的单词和需要加强的部分
Chapter 11: 激励自己
设定奖励机制,激励自己坚持背单词,保持积极心态
Chapter 12: 扩展词汇量
介绍扩展词汇量的方法和技巧,如阅读、听力等
附件:艾宾浩斯遗忘曲线示意图
附录1:法律名词及注释
1:法定年龄:指法律规定的具备某种权利或承担某种义务所
需要的年龄。
2:合同:是指自愿订立的、对合同当事人具有约束力的协议。
3:知识产权:指享有知识产权法律规定的权益。
4:侵权:指他人侵犯他人的合法权益。
1.艾宾浩斯的遗忘曲线的原理是说:人的遗忘速度在最初是相当快的,然后减慢,然后再趋缓,逐渐接近水平。
也就是说——他的遗忘曲线具有先快后慢的规律。
根据遗忘曲线先快后慢的规律,我们知道了复习必须及时的重要性。
在这里我先讲讲集中学习和分散学习:比如说背一篇文章,从头读到尾,连读十遍(就是集中学习),大致可记下16%左右的内容;如果把文章分成几个段落,一个一个地背(就是分散学习),同样的时间分散学习至少比集中学习多记住10%以上的内容。
也就是说分散学习时间越长,效果就越显著。
从某一种程度上来说,分散学习就是遵循着艾宾浩斯的记忆规律。
艾宾浩斯的记忆规律具体的方法就是:在学习某项知识的过程中,采用学习——复习——再学习——再复习的方法。
背单词也同样。
先看我背GRE单词的方法:一、复习点的确定(根据艾宾浩斯记忆曲线制定):1.第一个记忆周期:5分钟2.第二个记忆周期:30分钟3.第三个记忆周期:12小时4.第四个记忆周期:1天5.第五个记忆周期:2天6.第六个记忆周期:4天7.第七个记忆周期:7天8.第八个记忆周期:15天二、背诵方法:1.初记单词时需要记忆的内容:a) 单词外观、b)单词的中文释义、c)单词的记忆法2.每个list的具体背诵过程(每个list按12页,每页10个单词计):a) 背完一页(大约5分钟),立即返回该页第一个单词开始复习(大约几十秒)b) 按上面方法背完1~6页(大约在30分钟),回到第1页开始复习(两三分钟)c) 按上面同样方法背完7~12页,一个list结束d) 相当于每个list被分为12个小的单元,每个小的单元自成一个复习系统;每6个小单元组成一个大单元,2个大单元各自成为一个复习系统。
背一个list总共需要一小时左右的时间。
3.复习过程:a) 复习方法:遮住中文释义,尽力回忆该单词的意思,几遍下来都记不住的单词可以做记号重点记忆。
b) 复习一个list所需的时间为20分钟以内c) 当天的list最好在中午之前背完,大约12小时之后(最好睡觉前)复习当天所背的listd) 在其后的1,2,4,7,15天后分别复习当日所背的list4.注意事项:a) 每天连续背诵2个list,并完成复习任务;b) 复习永远比记新词重要,要反复高频率的复习,复习,再复习;c) 一天都不能间断,坚持挺过这15天,之后每天都要花大约1小时复习;。
艾宾浩斯记忆曲线背单词法在背单词的时候,大家会普遍面临一个问题,就是遗忘。
战胜遗忘的关键在于单词的重现,那方法有很多,你可以从交流、电影、课本各个途径获得与某个已经记忆过的单词再次碰面的机会。
但是,如果你面临中考、高考、雅思等考试的压力,那不妨用以下这个最为有效的方法防止遗忘——艾宾浩斯记忆曲线背单词法。
我将详细说明其运作原理以及操作方法,简单易上手!一、艾宾浩斯遗忘规律德国心理学家赫尔曼·艾宾浩斯研究发现,遗忘在学习之后立即开始,而且遗忘的进程并不是均匀的。
最初遗忘速度很快,以后逐渐缓慢。
具体来说,艾宾浩斯通过选用一些没有意义的音节和毫无规律的字母组合,即由若干音节字母组成、能够读出、但无内容意义,如asww、cfhhj、ijikmb、rfyjbc等作为记忆材料进行实验,并通过死记硬背的学习方法机械复述识记,随后进行记忆力测试,计算保持和遗忘的情况,并最终得到了一些实验数据。
结果发现,在记忆完毕后20分钟,遗忘率高达41.8%,在一小时过后,人们只记得44.2%,一天过后记忆里还剩下33.7%,一周后仅剩下25%左右,而一个月后记忆量低至21%。
总的来说,遗忘在学习之后立即开始,而且遗忘的进程并不是均匀的。
最初遗忘速度很快,以后逐渐缓慢。
举个例子讲,假设今天背了100个单词,如果记忆效果不错,那刚背完的时候可以记得全部单词;20分钟后,我们大概只记得58个;一小时后,剩下44;一天之后,大概记得34个;一周后25个;一个月后21个。
因此,要在某些重要的最佳时间节点不断复习,达到事半功倍的效果!二、制作单词背诵计划表的原理如果我们遵循这种遗忘规律,进行及时且有规律的复习,那我们的词汇量就会稳步上升。
那么遵循艾宾浩斯提出相关规律,我们开始制作单词背诵计划表。
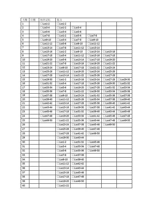
首先,我们在背诵了一定的量的单词后,尽量做到在5分钟、30分钟、12小时、1天、2天、4天、7天和15天进行分散复习,这样的记忆效果最佳。
天数日期首次记忆复习1 □ List1-2 □ List1-22 □ List3-4 □ List1-2 □ List3-43 □ List5-6 □ List3-4 □ List5-64 □ List7-8 □ List1-2 □ List5-6 □List7-85 □ List9-10 □ List3-4 □ List7-8 □List9-106 □ List11-12 □ List5-6 □ List9-10 □List11-127 □ List13-14 □ List7-8 □ List11-12 □List13-148 □ List15-16 □ List1-2 □ List9-10 □List13-14 □ List15-169 □ List17-18 □ List3-4 □ List11-12 □List15-16 □ List17-1810 □ List19-20 □ List5-6 □ List13-14 □List17-18 □ List19-2011 □ List21-22 □ List7-8 □ List15-16 □List19-20 □ List21-2212 □ List23-24 □ List9-10 □ List17-18 □List21-22 □ List23-2413 □ List25-26 □ List11-12 □ List19-20 □List23-24 □ List25-2614 □ List27-28 □ List13-14 □ List21-22 □List25-26 □ List27-2815 □ List29-30 □ List1-2 □ List15-16 □List23-24 □ List27-28 □ List29-3016 □ List31-32 □ List3-4 □ List17-18 □List25-26 □ List29-30 □ List31-3217 □ List33-34 □ List5-6 □ List19-20 □List27-28 □ List31-32 □ List33-3418 □ List35-36 □ List7-8 □ List21-22 □List29-30 □ List33-34 □ List35-3619 □ List37-38 □ List9-10 □ List23-24 □List31-32 □ List35-36 □ List37-3820 □ List39-40 □ List11-12 □ List25-26 □List33-34 □ List37-38 □ List39-4021 □ List42-42 □ List13-14 □ List27-28 □List35-36 □ List39-40 □ List41-4222 □ List43-44 □ List15-16 □ List29-30 □List37-38 □ List41-42 □ List43-4423 □ List45-46 □ List17-18 □ List31-32 □List39-40 □ List43-44 □ List45-4624 □ List47-48 □ List19-20 □ List33-34 □List41-42 □ List45-46 □ List47-4825 □ List49-50 □ List21-22 □ List35-36 □List43-44 □ List47-48 □ List49-5026 □ List23-24 □ List37-38 □List45-46 □ List49-5027 □ List25-26 □ List39-40 □List47-4828 □ List27-28 □ List41-42 □List49-5029 □ List29-30 □ List43-4430 □ List1-2 □ List31-32 □List45-4631 □ List3-4 □ List33-34 □List47-4832 □ List5-6 □ List35-36 □List49-5033 □ List7-8 □ List37-3834 □ List9-10 □ List39-4035 □ List11-12 □ List42-4236 □ List13-14 □ List43-4437 □ List15-16 □ List45-4638 □ List17-18 □ List47-4839 □ List19-20 □ List49-5040 □ List21-2241 □ List23-2442 □ List25-2643 □ List27-2844 □ List29-3045 □ List31-3246 □ List33-3447 □ List35-3648 □ List37-3849 □ List39-4050 □ List41-4251 □ List43-4452 □ List45-4653 □ List47-4854 □ List49-501. 艾宾浩斯的忘记曲线的原理是说:人的忘记速度在最先是相当快的,而后减慢,然后再趋缓,渐渐靠近水平。