小学-数学-人教版-第三单元过关检测卷
- 格式:docx
- 大小:728.91 KB
- 文档页数:7
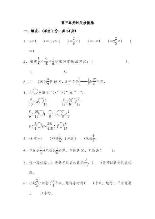
第三单元过关检测卷一、填空。
(每空1分,共24分)1.3×( )=1.2×( )=29×( )=1×( )=225×( )=12.根据58×415=16写出两道除法算式:( )、( )。
3.( )米的49是16米,8千克的⎝ ⎛⎭⎪⎫ 是125千克。
4.在里填上“>”“<”或“=”。
910÷4910 712÷5871289÷1011 1 78÷578×15 8÷348×34815÷18155.48吨比( )吨多13,4米比( )米短13。
6.甲数的15与乙数的16相等,甲数是90,乙数是( )。
7.修一段铁路,4天修了这条铁路的215,( )天可以修完这条铁路。
8.小敏25小时行了34千米,她每小时行( )千米,她行1千米需要( )小时。
9.甲、乙两车各运4吨货物,甲车每次运14吨,乙车每次运这批货物的14,甲车运了( )次,乙车运了( )次。
10.一项工作,甲队每天完成这项工作的18,乙队每天完成这项工作的110。
两队合作( )天完成这项工作的910。
二、判断。
(对的画“√”,错的画“×”)(每题1分,共5分) 1.一个分数的倒数一定比这个数小。
( ) 2.1的倒数是1,0的倒数是0。
( )3.一个整数除以一个分数,商一定大于这个整数。
( ) 4.如果m ÷n =14,那么n 就是m 的4倍。
( )5.甲数比乙数多15,则乙数比甲数少15。
( )三、选择。
(将正确答案的字母填入括号里)(每题1分,共5分) 1.下列算式中,结果最大的是( )A .15×35B .15÷35C .15+35D .15-352.一个数除以15,就是把这个数( )A .缩小到原来的15B .扩大到原来的5倍C .缩小15D .除以53.一个数(不为0)增加它的110后,又减少110,现在的数与原来的数相比,( )。
第二、三单元过关检测卷一、填空。
(每空1分,共27分)1.在括号里填上适当的单位名称。
(1)某市游乐园的占地面积约是3( )。
(2)学校舞蹈厅的占地面积是100( )。
(3)北京市的占地面积约是16410( )。
(4)清华大学校园的面积约是392( )。
2.在括号里填上适当的数。
16公顷=( )平方米350000平方米=( )公顷7公顷500平方米=( )平方米6000公顷=( )平方千米18平方千米=( )公顷=( )平方米3.在里填上“>”“<”或“=”。
47公顷4700平方米8000公顷80平方千米2平方千米2000公顷4.∠1与∠2拼成一个直角,若∠1=38°,则∠2=( )°;∠3和∠4拼成一个平角,若∠3=75°,则∠4=( )°。
5.120°的角比直角大( )°,比平角小( )°。
6.队列练习时,原地向右转,转过一个( )的角;原地向后转,转过一个( )的角。
7.右图中,有( )个锐角,( )个钝角,( )个直角。
8.一个直角分成两个角,这两个角是( )角;一个平角可以由一个锐角和一个( )角组成。
9.一个长方形苗圃园占地面积是2000平方米,( )个这样的苗圃园的占地面积是1公顷,( )个这样的苗圃园的占地面积是1平方千米。
10.一个长方形鱼池,长700米,宽300米,这个鱼池的占地面积是( )公顷。
二、判断。
(对的画“√”,错的画“×”)(每题1分,共6分) 1.100个边长10米的正方形的面积是1公顷。
( ) 2.边长200米的正方形,面积是4平方千米。
( ) 3.把角所画的两条边延长,角就会变大。
( ) 4.三个角拼成一个平角,这三个角都是锐角。
( ) 5.平角是周角的一半。
( ) 6.钟面上4时整,分针和时针成钝角。
( ) 三、选择。
(将正确答案的序号填在括号里)(每题1分,共6分) 1.面积为8公顷的长方形地,宽是200米,长是( )米。
人教版2023-2024学年小学数学六年级下册第三单元质量检测试卷一、填空题(共10小题,每小题2分,满分20分)1.两个大小相同的量杯中都盛有毫升的水。
将等底等高的圆柱形与圆锥形零件分别放入两450个量杯中,甲杯水面的刻度如图所示,圆柱形零件的体积是( )立方厘米,乙杯水面的刻度是( )毫升。
2.一个圆柱和一个圆锥的底面积和高分别都相等,它们的体积之差是,那么圆柱的体16cm 3积是()。
cm 33.把一个圆柱形木料加工成一个和它等底等高的圆锥,共削去立方分米,圆柱的体积是( )立12方分米,圆锥的体积是( )立方分米。
4.如图,一瓶装满的矿泉水,小明喝了一些,把瓶盖拧紧后倒置放平,无水部分高,内10cm 直径是,小明喝了()水。
6cm mL5.一个圆柱形油桶的底面积是,高是,它的体积是()。
0.8m 2 1.2m m 36.有一个底面积是,高是的圆柱形钢坯,若熔铸成高是的圆锥,则圆锥的底60dm 29dm 9dm 面积是( )。
dm 27.圆柱是由( )个面围成的,圆柱的上、下两个面叫作( ),圆柱周围的面(上、下底面除外)叫作( ),圆柱的两个底面之间的距离叫作( )。
8.圆锥有( )个底面,它的底面是一个( ),它的侧面是曲面,侧面展开可以得到一个( )形。
9.张阿姨的快餐店里有一个圆柱形的无盖铁皮水桶,水桶高,底面半径是高的,这个12dm 14水桶可以装水()。
L 10.一个圆柱的底面周长是,高是,它的侧面积是( )。
15cm 6cm cm 2二、判断题(共5小题,每小题2分,满分10分)11.如果两个物体的底面是圆形的,而且体积相等,那么它们一定是圆柱体。
( )12.若两个圆柱的侧面积相等,则它们的底面周长也一定相等。
( )13.圆柱的底面积越大,体积越大。
2414.一个圆柱的底面半径扩大到原来的倍,高不变,表面积扩大到原来的倍。
( )12.56cm212.56cm15.一个圆柱的底面积是,高是。
加油!有志者事竟成答卷时应注意事项1、拿到试卷,要认真仔细的先填好自己的考生信息。
2、拿到试卷不要提笔就写,先大致的浏览一遍,有多少大题,每个大题里有几个小题,有什么题型,哪些容易,哪些难,做到心里有底;3、审题,每个题目都要多读几遍,不仅要读大题,还要读小题,不放过每一个字,遇到暂时弄不懂题意的题目,手指点读,多读几遍题目,就能理解题意了;容易混乱的地方也应该多读几遍,比如从小到大,从左到右这样的题;4、每个题目做完了以后,把自己的手从试卷上完全移开,好好的看看有没有被自己的手臂挡住而遗漏的题;试卷第1页和第2页上下衔接的地方一定要注意,仔细看看有没有遗漏的小题;5、中途遇到真的解决不了的难题,注意安排好时间,先把后面会做的做完,再来重新读题,结合平时课堂上所学的知识,解答难题;一定要镇定,不能因此慌了手脚,影响下面的答题;6、卷面要清洁,字迹要清工整,非常重要;7、做完的试卷要检查,这样可以发现刚才可能留下的错误或是可以检查是否有漏题,检查的时候,用手指点读题目,不要管自己的答案,重新分析题意,所有计算题重新计算,判断题重新判断,填空题重新填空,之后把检查的结果与先前做的结果进行对比分析。
亲爱的小朋友,你们好! 经过两个月的学习,你们一定有不小的收获吧,用你的自信和智慧,认真答题,相信你一定会闯关成功。
相信你是最棒的!1第三单元过关检测卷一、填空。
(每空1分,共29分)1.过一点可以画( )条直线,过两点可以画( )条直线。
2.在( )里填“直线”“射线”或“线段”。
( )和( )都可以无限延伸,( )的长度是有限的。
3.(1)∠1与∠2拼成一个直角,∠1=48°,∠2=( )。
(2)∠1与∠2拼成一个平角,∠1=80°,∠2=( )。
4.145°的角比平角小( )°,比直角大( )°。
5.将一张圆形纸片对折3次,所得到的角是( )角,是( )度。
人教版五年级数学上册第三单元过关检测卷一、认真读题,专心填写。
(6、9题每题2分,7题3分,其余每空1分,共23分)1.两个因数的积是0.45,其中一个因数是1.2,另一个因数是()。
2.在计算0.48÷3.6时,应将其看作()÷36来计算,运用的是()性质。
3.两个数相除的商是5.2,如果把被除数扩大到它的10倍,除数不变,则商是();如果除数扩大到它的10倍,被除数不变,则商是()。
4.10÷11的商用循环小数简便记法表示是(),保留两位小数约是(),保留三位小数约是()。
5. 在 3.3·,0.33,0.2·13·,2.55050…,5.68710…中,有限小数有(),无限小数有(),循环小数有()。
6.把下面各数按从大到小的顺序排列。
3.421 3.124· 3.21·4· 3.2·14· 3.1·24·()>()>()>()>()7.在里填上“>”“<”或“=”。
5.6×0.99 5.6 5.6÷0.99 5.6 2.05÷3.512.65÷1.03 2.65 2.85÷0.6 2.85×0.6 0.5÷0.60.83·8.一个两位小数保留一位小数是 1.0,这个两位小数最大是(),最小是(),它们相差()。
9.在里填上合适的运算符号。
590.5=11854 1.2=64.8590.5=29.554 1.2=55.210.一支钢笔4.5元,20元最多可以买()支这样的钢笔。
每个油桶最多可装4.5 kg油,装10 kg油最少需要()个这样的油桶。
二、巧思妙断,判断对错。
(每题1分,共5分)1.3.6除以一个小数,所得的商一定大于3.6。
() 2.2.54545454的循环节是54。
第三单元过关检测卷一、小猫钓鱼比赛,它们各钓了几条鱼?请填一填。
(8分)二、填一填。
(每空1分,共23分)1.比一比。
(1)比少( )朵。
(2)()比()多()个。
2.填上合适的数。
3.按顺序填数。
(1)(2)4.(1)一共有()只动物,从左数,排第()。
(2)从左数排第(),从右数排第()。
(3)从右数的第2只动物是()。
(4)小羊的左边有()只动物,右边有()只动物。
(5)从左边数,第2只动物离队了,还剩()只动物。
三、算一算。
(12分)5-3=4-4=0+2=2+3=1+1=5-2=4-3=5-0=4+1=0+3=2+2=5-1=四、比一比。
(1题8分,2题12分,共20分)1.在里填上“>”“<”或“=”。
350021 4 510 524 33 22.在里填上合适的数。
<45>3<3>=2<1五、画一画,圈一圈。
(1题6分,2题4分,3题3分,共13分)1.在从左数的第2只动物头上画个“”,把从右数的第2只动物圈起来。
2.看数补图。
3.画,使比多1个。
__________________________________________________ _______六、看图列式计算。
(每题3分,共18分)七、细心分析,填一填。
(每空2分,共6分)草丛遮住的是第()只和第()只,一共遮住了()只答案一、4 3 0 5二、1.(1)1 (2) 22. 2 5 2 1 4 (最后两个空答案不唯一)3. (1)4 2 0 (2)0 2 44.(1)5 5 (2)2 4 (3)小兔(4)1 3 (5)4三、2 0 2 5 2 3 1 5 5 3 4 4四、1.< = ><>>>>2. 3 2 5 0 2 0 (前四个空答案不唯一)五、1.略2.3.六、1.3+2=5 2.5-1=4 3.3-3=0 4. 0+4=45. 4-3=16. 5-3=2七、 2 3 2。
人教版四年级数学(下)第三单元过关测试题1.用字母a、b、c表示下面运算定律:(1)加法结合律();(2)乘法分配律();2.()+45=()+55,这里运用了加法(),用字母表示是()。
3.交换两个()的位置,()不变,这叫做乘法交换律。
4.45×(20×39)=(45×20)×39这是应用了()律。
5.用简便方法计算376+592+24,要先算(),这样计算是根据()。
6.根据运算定律,在☐里填上适当的数。
(1)a+(30+8)=(☐+☐)+8(2)☐+82=☐+18(3)45×☐=32×☐(4)25X(4+8)=☐×☐+☐×☐7.在◯里填上“>”、“<”或“=”。
198×8×10◯198×8+10 720÷36÷2◯720÷(36÷2)496-120-230◯496-(120+230)(65+13)×4◯65×4+1380×90◯8×(10×90)二、判断题。
(5分)1.35+84+16=35+100 ()2.45×18=45×2×9 ()3.134-75+25=134-(75+25)()4.102×98=100×98+2×98这里运用了乘法的分配律。
()5.1250÷(25×5)=1250÷25×5 ()三、选择题。
(5分)1.56+72+28=56+(72+28)运用了()。
A.加法交换律B.加法结合律C.乘法结合律D.加法交换律和结合律2.986-297的简便算法是()。
A.986-300-3B.986-300+3C.986-200-97D.986-(300+3)3.3×8×4×=(3×4)×(8×5)运用()。
【你的支持是我努力的动力,谢谢!】第三单元过关检测卷一、下面哪些是轴对称图形?是的在下面画“ √”,不是的画“×”。
(9分)二、下列现象是平移的画“ ○ ”,是旋转的画“ □ ”。
(12分)滑雪( ) 小风车( )滑滑梯( ) 拧螺丝( )舞厅旋转灯( )光盘架从电脑中弹出( )三、判断。
(对的画“√”,错的画“×”)(每题2分,共10分)1.熟透的苹果从树上掉下来是平移。
( ) 2.一张纸对折后剪出的图形一定是轴对称图形。
( ) 3.字母N 是轴对称图形。
( ) 4.小朋友玩荡秋千是旋转现象。
( ) 5.旋转之后图形的形状发生了改变。
( )四、选一选。
(每题2分,共10分)1.下列四个银行的商标图案中,不是轴对称图形的是( )。
2.下列图形在镜子中没有变化的是( )。
A. B . C .○ D.3.图形可以由下面的图形( )平移得到。
4.图形可以由下面的图形( )旋转得到。
5.下面的图形沿着一条直线折叠后不能完全重合的是( )。
五、把通过平移能得到的图形连起来。
(8分)六、下面哪幅图是由图①旋转得到的?圈出来。
(4分)七、下面的图形分别是从哪张纸上剪下来的?(连一连)(6分)八、写出分针从12旋转到下面各个位置所经过的时间。
(6分)九、下面的图形和汉字都是轴对称图形,你能猜出它们分别是什么吗?在( )里写出来。
(12分)十、观察下图,在( )里填上“平移”或“旋转”。
(7分)十一、按照图中的规律画一画。
(每题2分,共8分) 1.2.3.4.十二、按要求填一填。
(1题2分,2题6分,共8分)1.通过平移相互重合的图形有( )。
2.通过旋转相互重合的图形( )。
答案一、××√×√×√√×二、滑雪(○ ) 小风车( □ )滑滑梯( ○ )拧螺丝( □ )舞厅旋转灯(□ )光盘架从电脑中弹出(○)三、1.√ 2.√ 3.× 4.√ 5.×四、1.C 2.C 3.D 4.A 5.C五、六、七、八、30 20 50九、衣服品土蚂蚁十、平移旋转旋转旋转旋转平移旋转十一、1. 2. 3. 4.十二、1.④和⑦2.①和⑤,②和⑨,③和⑧1、在校门口到教学楼的150米长的道路两旁,每隔5米种一棵树,一共要种多少棵树?2、国庆节时某厂在厂门挂彩灯,从头到尾一共挂了130只,每两只彩灯之间相距1分米,厂门口宽多少米?3、在长54米的水渠一侧栽了一排树,起点和终点都要栽,一共栽了10棵,两棵树之间的距离是多少米?4、园艺工在花圃里栽月季花,每4棵花之间的距离是3米,照这样计算,要种28棵花,距离是多少米?5、一条马路一侧原有木电线杆51根,相邻两根电线杆间的距离是36米。
人教版2023-2024学年小学数学五年级下册第三单元通关试卷一、填空题(共10小题,满分25分)1.做一个无盖的长方体玻璃鱼缸(如下图)。
鱼缸的各边都用铝条镶嵌,做这个鱼缸至少需要dm dm2( )长的铝条;至少需要( )的玻璃;最多装( )升水。
2.把下面长方体各个面的面积填在下表中。
上面下面前面后面左面右面面积/cm2483.正方体棱长的总和是厘米,它的表面积是平方厘米,体积是立方厘米.4.上面三种物品中,( )的容积最大,( )的容积最小。
5.在括号里填上合适的数。
( )mL=3.02L1.2m3dm3=( )980cm3=dm3=L( )( )12dm5dm2dm6.一个无盖的长方体铁皮水槽,长,宽,高。
做这个水槽至少需要铁皮( ) dm2L,这个水槽最多可以盛水( )。
3cm84cm2,7.一个长方体的长减少,就变成了一个正方体,表面积比原来减少了正方体的体cm3积是( )。
8.面积的大小就是含有面积单位的数量,以此类推,体积的大小就是含有( )的数量,在一个6cm2cm3cm1cm3长,宽,高的长方体纸盒内摆体积是的小正方体木块。
一行可以摆( )个,一层可以摆( )行,可以摆( )层,一共可以摆( )个。
长方体纸盒内所摆( )的数量,就是长方体纸盒的( ),等于( )的乘积。
(纸盒的厚度忽略不计)6cm6cm11cm9.把一块长、宽、高的长方体木料,削成一个最大的正方体,木料体积减少了cm3()。
10.如图,将下面的图形沿着虚线围成一个正方体后,与③号面相对的是( )号面。
二、判断题(共5小题,每小题2分,满分10分)11.一个装满油的油桶,油的体积就是油桶的容积。
( )12.热水瓶的容积就是热水瓶的体积。
( )100013.两个体积单位之间的进率都是。
( )14.两个体积相等的长方体,表面积一定相等.()15.把两个一样的正方体拼成一个长方体后,体积和表面积都不变。
( )三、选择题(共5小题,每小题2分,满分10分)60cm×45cm×40cm16.小明的爸爸网购了一件商品,收到的快递包装箱的尺寸是。
人教版三年级上册数学第三单元过关检测卷时间:60分钟满分:100分一、我会填。
(3题2分,7题1分,4、6题每题4分,其余每空0.5分,共19分)1.计量物体的长度,常用米、()、厘米或()作单位;计量比较长的路程,通常用()作单位。
2.计量比较轻的物体的质量,常用()作单位;计量一般物体的质量,常用()作单位;计量较重或大宗物品的质量,通常用()作单位。
3.钥匙长()毫米铅笔长()厘米()毫米4.在()里填上合适的单位。
大树高约10()。
一枚硬币厚约2()。
课桌高约6()。
一只鸭子重2()。
大象重约4()。
一袋食盐净重500()。
长江全长约6300()。
小亮身高128(),体重30()。
5.在()里填上合适的数。
(1)学校操场的跑道一圈长400米,两圈长()米,还差()米是1千米。
(2)一名同学的体重是20千克,()名这样重的同学重1吨。
(3)飞机每小时飞行800千米,2小时飞行()千米。
(4)一头牛重500千克,()头这样的牛重1吨。
6.1米=()分米=()厘米80毫米=()厘米9千米=()米600毫米=()分米6000克=()千克13吨-3000千克=()吨48毫米=()厘米()毫米70厘米+50厘米=()分米7.把24分米长的绳子对折3次,每段长()厘米。
8.把3千米、30分米、30厘米、230毫米、2米30厘米按从长到短的顺序排列。
()>()>()>()>()二、我会判断。
(对的在括号里画“√”,错的画“×”;每题1分,共5分) 1.相邻两个长度单位之间的进率均为10。
() 2.毫米是最小的长度单位。
() 3.1吨的石头肯定比1000千克的棉花重。
() 4.北京到西安的距离大约是1200千米,从北京到西安乘火车去比较合适。
() 5.测量物体的长度时,必须从0刻度开始量起。
() 三、我会选择。
(将正确答案的字母填在括号里;每题1分,共5分) 1.一支铅笔原来长7厘米5毫米,用去了7毫米,现在这支铅笔长()。
最新人教版小学五年级数学下册第三单元达标检测试卷(及答案)时间:90分钟满分:100分学校: __________姓名:__________班级:__________考号:__________一、单选题1.下面几种说法,错误的是()。
A.长方体和正方体都有6个面,12条棱,8个顶点。
B.长方体除了相对面的面积相等,不可能有两个相邻的面的面积相等。
C.正方体是特殊的长方体。
2.一罐可乐的容量是()。
A.350毫升B.3.5毫升C.350升3.一个长方体的长是20cm,宽是8cm,高是7cm。
把它切成一个尽可能大的正方体,这个正方体的棱长是()。
A.2cm B.7cm C.8cm D.16cm4.一个立方体的棱长扩大2倍,它的体积就扩大()。
A.2倍B.4倍C.8倍5.一个长方体,若将长增加3cm,则体积增加60cm3;若将宽增加3cm,则体积增加120cm3;若将高增加3cm,则体积增加150cm3。
原长方体的表面积是()cm2。
A.110B.220C.330D.4406.笑笑拿如图所示的纸板做了一个无盖纸盒,计算这个纸盒的容积,正确的算式是()。
(单位:cm)A.94×74×12B.(94-12)×(74-12)×12C.(94-12)×74×12D.(94-12)×(74-12×2)×127.一个正方体的棱长扩大到原来的3倍,那么它的体积扩大到原来的()。
A.3倍B.6倍C.9倍D.27倍8.有一块12dm3的铁块完全浸没在一个长5dm,宽2dm的长方体玻璃容器中且水未溢出,水面上升了()dm。
A.0.12B.12C.1.2D.120二、填空题9.6300mL=L 2.3m³=cm³10.一个正方体的棱长之和是48厘米,它的棱长是厘米,表面积是平方厘米,体积是立方厘米.11.一个长方体的长是4分米,宽是5分米,高是6分米,这个长方体的棱长和是分米;如果把它切成一个最大的正方体,切成的正方体的表面积是平方分米;切成的正方体的体积是原长方体体积的()。
人教版数学一年级下册第三单元过关检测卷及答案第三单元过关检测卷一、找出每组中不是同一类的,在下面的()里画“△”。
(每题3分,共6分)1.(食品、家用电器、家具)△服装2.(圆形、正方形、三角形)△长方形二、填一填。
(每空2分,共20分)1.下面是XXX各楼层经销商品的布局表。
楼层一楼二楼三楼四楼经销商品食品家用电器服装家具XXX要买一台吸尘器和一个茶几,她应该分别到二楼和四楼。
2.这7只动物可以按水中游的和地上跑的分两类。
3.这些图形可以按颜色去分,也可以按形状去分。
4.图中人物可以按大人与小孩去分,也可以按性别去分。
5.填序号。
水果有①、③、⑤、⑦、⑨、⑩,蔬菜有②、④、⑥、⑧。
三、快乐的课外活动。
(1题8分,2题4分,共12分)1.略2.如果把这些同学分成两组,可以按男女分。
四、图片中的水果分一分。
(1题18分,2题6分,共24分)1.按水果的种类分一分,在下面涂一涂、填一填。
一共7个,橘子最多,桃最少。
橘子比桃多3个。
桃比苹果少1个。
2.按卡片的形状分一分,在下面涂一涂、填一填。
三角形长方形圆形正方形①④⑦⑨③⑤⑥⑧五、下面是某班同学最喜欢的交通工具调查情况。
(1题10分,5题4分,其余每题2分,共20分)1.根据上图填写下表。
交通工具飞机火车公交自行车步行人数 5 8 4 7 12.最喜欢坐火车的同学最多。
3.最喜欢公交的同学最少。
4.最喜欢坐飞机的比最喜欢坐火车的多1人。
5.自己提出一个问题并解答。
略六、图形世界。
(1题14分,2题4分,共18分)1.按形状分一分,涂一涂。
三角形长方形圆形正方形①③⑤⑦④⑥⑧⑨②⑩⑪⑫2.如果把这些图形分成两组,可以按颜色分。
三角形、长方形、正方形为一组,圆形为一组。
第三单元过关检测卷一、我会填。
(每空1分,共35分)1.从刻度0到刻度3的长度是()厘米,也可以说是()毫米;从刻度1到刻度()的长度是60毫米。
2.图中钥匙的长是()毫米;铅笔的长是()厘米()毫米。
3.一名三年级学生的体重是35(),身高是130()。
4.我家距离学校大约有()米,步行大约需要()分钟。
5.一辆载质量3()的卡车,运载每箱15()的苹果,这些苹果个儿挺大的,每个有200()重。
6.1米=()分米=()厘米80毫米=()厘米9千米=()米6000克=()千克13吨-3000千克=()吨10000米=()千米2分米3厘米=()厘米18毫米=()厘米()毫米7.在括号里填上合适的单位。
(1)5角硬币厚约2();(2)课桌高约6();(3)一只鸡重2();(4)大象约重4();(5)长江全长约6300();(6)一袋食盐净重500();(7)粉笔长约8();(8)一棵大树高约10()。
8.在括号里填上合适的数。
(1)沿着400米长的环形跑道跑()圈是2千米。
(2)一名同学的体重是20千克,()名这样重的同学重1吨。
(3)飞机每小时飞行800千米,2小时飞行()千米。
(4)一头小牛重500千克,()头这样的牛重1吨。
二、我是小法官。
(对的画“√”,错的画“×”)(每题2分,共10分)1.相邻长度单位之间的进率均为10。
()2.你的拇指宽大约100毫米。
()3.1吨的石头肯定比1000千克棉花重。
()4.一只鸡蛋约重50千克。
()5.人每分钟走约70米。
()三、选择题。
(将正确答案的字母填在括号里)(每题2分,共12分)1.1千克与1千米比较,结果是()。
A.1千克大B.1千米大C.同样大D.无法比较2.计量较重的物品或大宗物品的质量,通常用()作单位。
A.吨B.千米C.千克D.克3.《新编小学生字典》的厚度约是21()。
A.千米B.米C.厘米D.毫米4.公共汽车两站之间的距离约是2000()。
第三单元过关检测卷(附答案)(满分:100分时间:40分钟)一、填一填。
(第4题4分,其余每空1分,共22分)1.在线段、直线和射线中,可以量出长度的是(),不能量出长度的是()和()。
2.从一点出发可以画()条射线;经过一点可以画()条直线。
3.角的两边是两条()线,角的大小与角两边的()无关,与两边()有关。
4.在10°、75°、89°、90°、99°、181°中,锐角是(),钝角是()。
5.1个周角=()个平角=()个直角6.队列练习时,原地向左或向右转,转过一个()角;向后转,转过一个()角;再向后转,共后转两次,就转过一个()角。
7.测量角的大小一般用的工具是(),计量角的大小常用的单位是()。
8.将一张圆形纸片对折()次可以得到45°角。
9.每把三角尺都有1个()角和()个锐角。
二、判一判。
(对的画“√”,错的画“×”)(每题2分,共10分)1.线段和射线都可以看作直线的一部分,所以直线比线段和射线都长。
()2.平平画了一条5cm的线段,晶晶画了一条8cm的直线。
()3.两个锐角的和一定比直角大,但要比平角小。
()4.用一个10倍的放大镜看一个50°的角,这个角还是50°。
()5.用一副三角尺可以拼出135°的角。
()三、选一选。
(将正确答案的序号填入括号里)(每题2分,共10分)1.过两点可以画()条直线。
①1②2③32.如果3个同样的角刚好拼成一个平角,那么每个角都是()。
①30°②60°③90°3.右图中共有()条射线。
①4②5③64.把平角分成两个角,如果其中一个是锐角,那么另一个角肯定是()。
①锐角②直角③钝角5.下面各角中,不能用一副三角尺画出来的是()。
①15°②50°③105°四、按要求数一数,分一分,填一填。
第三单元过关检测卷时间:60分钟满分:100分题号一二三四五六总分得分一、我会填。
(3题2分,7题1分,4、6题每题4分,其余每空0.5分,共19分)1.计量物体的长度,常用米、()、厘米或()作单位;计量比较长的路程,通常用()作单位。
2.计量比较轻的物体的质量,常用()作单位;计量一般物体的质量,常用()作单位;计量较重或大宗物品的质量,通常用()作单位。
3.钥匙长()毫米铅笔长()厘米()毫米4.在()里填上合适的单位。
大树高约10()。
一枚硬币厚约2()。
课桌高约6()。
一只鸭子重2()。
大象重约4()。
一袋食盐净重500()。
长江全长约6300()。
小亮身高128(),体重30()。
5.在()里填上合适的数。
(1)学校操场的跑道一圈长400米,两圈长()米,还差()米是1千米。
(2)一名同学的体重是20千克,()名这样重的同学重1吨。
(3)飞机每小时飞行800千米,2小时飞行()千米。
(4)一头牛重500千克,()头这样的牛重1吨。
6.1米=()分米=()厘米80毫米=()厘米9千米=()米600毫米=()分米6000克=()千克13吨-3000千克=()吨48毫米=()厘米()毫米70厘米+50厘米=()分米7.把24分米长的绳子对折3次,每段长()厘米。
8.把3千米、30分米、30厘米、230毫米、2米30厘米按从长到短的顺序排列。
()>()>()>()>()二、我会判断。
(对的在括号里画“√”,错的画“×”;每题1分,共5分) 1.相邻两个长度单位之间的进率均为10。
() 2.毫米是最小的长度单位。
() 3.1吨的石头肯定比1000千克的棉花重。
() 4.北京到西安的距离大约是1200千米,从北京到西安乘火车去比较合适。
() 5.测量物体的长度时,必须从0刻度开始量起。
() 三、我会选择。
(将正确答案的字母填在括号里;每题1分,共5分) 1.一支铅笔原来长7厘米5毫米,用去了7毫米,现在这支铅笔长()。
第三单元达标测试卷一、我会填空。
(每空1分,共22分)1.线段有()个端点;把线段向一端无限延伸,就得到一条(),把线段向两端无限延伸,就得到一条()。
2.角通常用符号()表示,量角的大小要用(),角的度量单位是(),用符号()表示。
3.1周角=()平角=()直角()直角=1平角4.15时整,钟面上时针和分针成()角;至少再过()小时,钟面上时针和分针成平角。
5.过一点可以画()条直线,过两点可以画()条直线。
6.从()引出()所组成的图形叫做角。
7.150°的角比平角小()°,比直角大()°。
8.用一副三角尺,能拼成的最大角的度数是()度,能画出的最小角的度数是()度。
9.如图,∠1=()。
10.图中角的度数是()。
二、我会判断。
(对的画“√”,错的画“×”)(每题1分,共6分) 1.线段和射线都是直线的一部分,所以直线比线段和射线都长。
() 2.小明画了一条长4厘米的射线。
()3.小于90°的角都是锐角,大于90°的角都是钝角。
()4.左图中两个角的度数相等。
()5.人们将圆平均分成360份,将其中1份所对的角作为度量角的单位,它的大小就是1度,记作1。
()6.画角必须用量角器来画。
()三、我会选择。
(把正确答案的字母填在括号里)(每题2分,共10分) 1.周角有()条边。
A.0 B.1 C.22.用一副三角尺,可以画出的角是()。
A.160°B.40°C.120°3.对下图中的射线描述正确的是()。
A.射线A B.射线AB C.射线BA4.将一张半圆形纸片对折一次,得到的角的度数是()。
A.90°B.45°C.180°5.把一个平角分成不相等的两个角,较小的那个角是()角。
A.锐B.钝C.直四、我会分类。
(把下面这些角的度数分别填入适当的圈里)(10分)35°93°2°24°100°89°75°121°62°90°五、读出下面各角的度数,并填一填。
人教版五年级数学上册第三单元过关检测卷一、真,心填写。
(6、9 每 2 分, 7 3 分,其余每空 1分,共23 分)1.两个因数的是,其中一个因数是,另一个因数是( )。
2.在算÷ 3.6 ,将其看作( ) ÷ 36来算,运用的是( ) 性。
3.两个数相除的商是,如果把被除数大到它的10 倍,除数不,商是 ( );如果除数大到它的10 倍,被除数不,商是( )。
4.10÷ 11的商用循小数便法表示是( ),保存两位小数是( ),保存三位小数是 ( )。
5. 在·· ·3.3 ,,13 ,⋯,⋯中,有限小数有( ),无限小数有 ( ),循小数有( )。
6.把下面各数按从大到小的序排列。
3.421···· ·· ·( )>( )>( )>( )>( )7.在里填上“>〞“<〞或“=〞。
× 5.6 ÷ 2.05 ÷ 3.5 12.65÷ 2.85 ÷ 2.85 ×·0.5 ÷8 .一个两位小数保留一位小数是 1.0 ,个两位小数最大是(),最小是 (),它相差 ()。
9.在里填上适宜的运算符号。
59 =118 54 =59 =54 =10.一支钢笔 4.5 元, 20 元最多可以买 ( )支这样的钢笔。
每个油桶最多可装 4.5 kg 油,装 10 kg 油最少需要 ( )个这样的油桶。
二、巧思妙断,判断对错。
(每题 1 分,共 5 分)1.3.6 除以一个小数,所得的商一定大于。
( ) 2.2.54545454 的循环节是 54。
( ) 3.近似数 4.2 和的大小相等,精确的程度也相同。
( )·( ) 。
4.4÷ 3≈5.一个非零数除以,也就是把这个数扩大为原来的10 倍。