椭圆单元练习卷(作业)
- 格式:doc
- 大小:289.50 KB
- 文档页数:6
椭圆的定义及几何性质测试题考试时间:100分钟满分:120分一、选择题(满分50分,每题5分,共10小题)1、已知的顶点在椭圆上,顶点是椭圆的一个焦点,且椭圆的另外一个焦点在边上,则的周长是( )A. B. C. D.2、设定点、,动点满足条件,则点的轨迹是( )A.椭圆B.线段C. 不存在D. 椭圆或线段3、椭圆上点到右焦点的( )A.最大值为5,最小值为4B.最大值为10,最小值为8C.最大值为10,最小值为6D.最大值为9,最小值为14、椭圆的长轴长、短轴长、离心率依次是( )A.5,3,0.8B.10,6,0.8C.5,3,0.6D.10,6,0.65、若椭圆过点则其焦距为( )A. B. C. D.6、若一个椭圆长轴的长度、短轴的长度和焦距成等差数列,则该椭圆的离心率是( )A. B. C. D.7、已知两椭圆与的焦距相等,则的值( )A.或B.或C.或D.或8、椭圆的右焦点到直线的距离是( )A. B. C. D.9、设是椭圆的离心率,且,则实数的取值范围是( )A. B. C. D.10、如图所示,一圆形纸片的圆心为,是圆内一定点,是圆周上一动点,把纸片 折叠使与重合,然后抹平纸片,折痕为,设与交于点,则点的轨迹是( )A.椭圆B.双曲线C.抛物线D.圆 二、填空题(满分25分,每题5分,共5小题)11、已知焦点在x 轴上的椭圆,长轴长为4,右焦点到右顶点的距离为1,则椭圆的标准方程为12、已知椭圆的长轴在轴上,焦距为,则等于13、椭圆=1的离心率为________.14、若椭圆的离心率,右焦点为,方程的两个实数根分别是和,则点到原点的距离为15、我们把离心率为黄金比的椭圆称为“优美椭圆”.设为“优美椭圆”,,分别是它的左焦点和右顶点,是它短轴的一个端点,则的度数为三、解答题(写出必要的解答过程或步骤)16、求适合下列条件的椭圆的标准方程 (1)两个焦点的坐标分别为(-4,0)和(4,0),且椭圆经过点(5,0) (2)经过点A (3,-2)和点B (-23,1)17、已知椭圆)0(5522>=+m m y mx的离心率为e =105,求m 的值.18、已知椭圆的离心率,过点和的直线与原点19、为何值时,直线和曲线有两个公共点?有一个公共点?没有公共点?数学12月份月考试题答案1、C2、D3、D4、B5、C进而求出C,再求出焦距2C。
椭圆的测试题及答案时间:90分钟 满分:100分 一、选择题(共12小题,每小题5分)1.已知点P 是椭圆2244x y +=上的任意一点,(4,0)A ,若M 为线段PA 中点,则点M 的轨迹方程是 ( )A .22(2)41x y -+=B .22(4)41x y -+=C .22(2)41x y ++=D .22(4)41x y ++= 2(0m >)的左焦点为()1F 4,0-,则m =( )A .9B .4C .3D .2 3.直线1y kx k =-+与椭圆 ) A .相交 B .相切 C .相离 D .不确定41及以下3个函数:①f(x)=x ;②f(x)=sin x③f(x)=cos x .其中函数图像能等分该椭圆面积的函数个数有( )A .1个B .2个C .3个D .0个5.已知P 是以1F ,2F 为焦点的椭圆上的一点,若21PF PF ⊥,且||2||21PF PF =,则此椭圆的离心率为( )A 6两个焦点分别是12,F F ,点P 是椭圆上任意一点,则12PF PF ⋅u u u r u u u u r的取值范围是( )A .[]1,4B .[]1,3C .[]2,1-D .[]1,1-7 ) A.焦点 B.焦距 C.离心率 D.准线8.已知椭圆2239x y +=的左焦点为1F ,点P 是椭圆上异于顶点的任意一点,O为坐标原点.若点D 是线段1PF 的中点,则1F OD ∆的周长为( ).A9.已知椭圆)0(12222>>=+b a b y a x 的两焦点分别为,,21F F 若椭圆上存在一点,P 使得,120021=∠PF F 则椭圆的离心率e 的取值( )A..1,23⎪⎪⎭⎫⎢⎣⎡B.13,22⎡⎫⎪⎢⎪⎣⎭C.1,12⎡⎫⎪⎢⎣⎭D.23,22⎡⎤⎢⎥⎣⎦10.已知)2,4(是直线l 被椭圆193622=+y x 所截得的线段的中点,则直线l 的方程是( )A .02=-y xB .042=-+y xC .0432=++y xD .082=-+y x11.若直线4=+ny mx 和⊙O ∶422=+y x 相离,则过点),(n m 的直线与椭圆14922=+y x 的交点个数为( ) A. 至多一个 B. 2个 C. 1个 D. 0个12.若椭圆122=+ny mx 与直线01=-+y x 交于B A ,两点,过原点与线段AB 的中点的直线的斜率为22,则mn 的值为( )A .22B .2C .23 D .92二.填空题(共4小题,每小题5分)13.一个顶点是()0,2,且离心率为21的椭圆的标准方程是________________。
椭圆单元测试题及答案一、选择题1. 椭圆的定义是什么?A. 所有点到两个固定点的距离之和等于常数的点的集合B. 所有点到一个固定点的距离等于常数的点的集合C. 所有点到两个固定点的距离之差等于常数的点的集合D. 所有点到一个固定点的距离之差等于常数的点的集合2. 椭圆的焦点到中心的距离称为什么?A. 长轴B. 短轴C. 焦距D. 半轴3. 椭圆的长轴和短轴的长度之和等于什么?A. 焦距B. 椭圆的周长C. 椭圆的面积D. 椭圆的直径4. 如果椭圆的长轴是2a,短轴是2b,那么它的面积是多少?A. πabB. π(a+b)C. π(a-b)D. π(a^2 + b^2)5. 椭圆的离心率e定义为什么?A. e = c/aB. e = a/cC. e = b/aD. e = a/b二、填空题6. 椭圆的标准方程是 \[ \frac{x^2}{a^2} + \frac{y^2}{b^2} = 1 \],其中a和b分别代表_________。
7. 当椭圆的离心率e等于0时,椭圆退化为_________。
8. 椭圆的周长是一个比较复杂的表达式,通常用近似公式来表示,其中一种近似公式是周长L = π[3(a+b) - \sqrt{(3a+b)(a+3b)}],其中a和b分别为椭圆的_________。
9. 椭圆的焦点在_________轴上。
10. 椭圆的离心率e的取值范围是_________。
三、解答题11. 已知椭圆的中心在原点,焦点在x轴上,长轴为6,短轴为4,求椭圆的标准方程。
12. 已知椭圆的离心率为0.6,焦点到中心的距离为2,求椭圆的长轴和短轴的长度。
答案:一、选择题1. A2. C3. A4. A5. A二、填空题6. 椭圆的长半轴和短半轴7. 圆8. 长半轴和短半轴9. 主10. (0, 1)三、解答题11. 椭圆的标准方程为 \[ \frac{x^2}{3^2} + \frac{y^2}{2^2} = 1 \]。
椭圆习题1.圆6x 2+ y 2=6的长轴的端点坐标是A.(-1,0)、(1,0)B.(-6,0)、(6,0)C.(-6,0)、(6,0)D.(0,-6)、(0,6)2.椭圆x 2+ 8y 2=1的短轴的端点坐标是A.(0,-42)、(0,42) B.(-1,0)、(1,0) C.(22,0)、(-2,0) D.(0,22)、(0,-22)3.椭圆3x 2+2y 2=1的焦点坐标是A.(0,-66)、(0,66)B.(0,-1)、(0,1)C.(-1,0)、(1,0)D.(-66,0)、(66,0)4.椭圆12222=+a y b x (a >b >0)的准线方程是A.222b a a y +±= B.222b a a y -±= C.222b a b y -±= D.222b a a y +±=5.椭圆14922=+y x 的焦点到准线的距离是A.559554和B.5514559和C.5514554和D.55146.已知F 1、F 2为椭圆12222=+b y a x (a >b >0)的两个焦点,过F 2作椭圆的弦AB ,若△AF 1B 的周长为16,椭圆离心率23=e ,则椭圆的方程是A.13422=+y xB.131622=+y xC.1121622=+y xD.141622=+y x7.离心率为23,且过点(2,0)的椭圆的标准方程是A.1422=+y xB.1422=+y x 或1422=+y xC.14122=+y x D.1422=+y x 或116422=+y x8.椭圆12222=+b y a x 和k b y a x =+2222(k >0)具有A.相同的离心率B.相同的焦点C.相同的顶点D.相同的长、短轴9.点A (a ,1)在椭圆12422=+y x 的内部,则a 的取值范围是A.-2<a <2B.a <-2或a >2C.-2<a <2D.-1<a <110.设F 是椭圆12222=+b y a x 的右焦点,P (x ,y )是椭圆上一点,则|FP |等于A.ex +aB.ex -aC.ax -eD.a -ex11.已知椭圆12222=+b y a x (a >b >0)的离心率等于53,若将这个椭圆绕着它的右焦点按逆时针方向旋转2π后,所得的新椭圆的一条准线的方程y =316,则原来的椭圆方程是A.14812922=+y xB.16410022=+y xC.1162522=+y xD.191622=+y x 12.椭圆145222++a y a x =1的焦点在x 轴上,则它的离心率的取值范围是 A.(0,51) B.(51,55)] C.⎥⎦⎤ ⎝⎛55,0 D.⎪⎪⎭⎫⎢⎣⎡1,55 13.椭圆1)6(4)3(22=++-m y x 的一条准线为7=x ,则随圆的离心率e 等于 A.21 B.22 C.23D.4114.已知椭圆的两个焦点为F 1、F 2,过F 2引一条斜率不为零的直线与椭圆交于点A 、B ,则三角形ABF 1的周长是A.20B.24C.32D.4015.已知椭圆的长轴为8,短轴长为43,则它的两条准线间的距离为A.32B.16C.18D.6416.已知(4,2)是直线L 被椭圆193622=+y x 所截得的线段的中点,则L 的方程是A.x -2y =0B.x +2y -4=0C.2x +3y+4=0D.x +2y -8=017.若椭圆经过原点,且焦点为F 1(1,0),F 2(3,0),则其离心率为A.21B.32C.43D.4118.椭圆的短轴上的两个三等分点与两个焦点构成一个正方形,则椭圆的离心率e 为A.1010B.1717C.13132D.373719.椭圆ax 2+by 2=1与直线y =1-x 交于A 、B 两点,若过原点与线段AB 中点的直线的倾角为30°,则b a的值为A.43B.33C.23D.320.过椭圆)0(12222>>=+b a b y a x 的中心的弦为PQ ,焦点为F 1,F 2,则△PQF 1的最大面积是A. a bB. b cC. c aD. a b c21.一广告气球被一束平行光线投射到地平面上,其投影呈椭圆形,若此椭圆的离心率为21,则光线与地平面所成的角为A.3πB.6πC.arccos 31D.4π22.如果椭圆的焦距是8,焦点到相应的准线的距离为49,则椭圆的离心率为 A. 54 B. 43 C.32 D.-4323.线段A 1A 2、B 1B 2分别是已知椭圆的长轴和短轴,F 2是椭圆的一个焦点(|A 1F 2|>|A 2F 2|),若该椭圆的离心率为215-,则∠A1B 1F 2A.30°B.45°C.120°D.90°24.已知椭圆1222=+y a x (a >1)的两个焦点为F 1,F 2,P 为椭圆上一点,且∠F 1PF 2=60o ,则|PF 1|·|PF 2|的值为A.1B.31C.34D.3225.椭圆12222=+b y a x 和k b y a x =+2222(k >0)具有A..相同的长短轴B.相同的焦点C.相同的离心率D.相同的顶点26.椭圆125922=+y x 的准线方程是 A.x =425±B.y =425±C.x =49±D.y =49±27.若椭圆13422=+y x 上一点P 到右焦点的距离为3,则P 到右准线的距离是 A.43 B.23C.6D.1228.自椭圆12222=+b y a x (a >b >0)上任意一点P ,作x 轴的垂线,垂足为Q ,则线段PQ 的中点M 的轨迹方程是 14.A 2222=+b y a x 14.B 2222=+b y a x 14.C 2222=+b y a x 14.D 2222=+b y a x29.椭圆的一个顶点与两个焦点构成等边三角形,则此椭圆的离心率是A.51B.43C.33D.2130.若椭圆两准线间的距离等于焦距的4倍,则这个椭圆的离心率为A.41B.22C.42D.2131.椭圆121322=++m y m x 的准线平行于x 轴,则m 的取值范围是A.m >0B.0<m <1C.m >1D.m >0且m ≠132.椭圆x 2+ 9y 2=36的右焦点到左准线的距离是A.2217 B.217 C.217 D.22933.到定点(2,0)的距离与到定直线x =8的距离之比为22的动点的轨迹方程是A.1121622=+y xB.1161222=+y x C.0568222=-++x y x D.0688222=+-+x y x 34.直线x -y -m =0与椭圆1922=+y x 且只有一个公共点,则m 的值是A.10B.±10C.±10D.1035.如果方程x 2+ky 2=2表示焦点在y 轴上的椭圆,那么实数k 的取值范围是A.(0,+∞)B.(0,2)C.(1,+∞)D.(0,1)36.椭圆192522=+y x 上点P 到右准线等于4.5,则点P 到左准线的距离等于A.8B.12.5C.4.5D.2.2537.若椭圆的两焦点把两准线间的距离等分成三份,则椭圆的离心率等于A.3B.23C.33D.4338.中心在原点,长轴长是短轴长的2倍,一条准线方程是x =4,则此椭圆的方程是A.131222=+y xB.1422=+y xC.1422=+y x D.112322=+y x39.椭圆的一个焦点和短轴的两端点构成一个正三角形,则该椭圆的离心率是A.21B.2333D.不能确定40.函数y =2sin(arccos x )的图象是A.椭圆B.半椭圆C.圆D.直线41.若F (c ,0)是椭圆12222=+b y a x 的右焦点,F 与椭圆上点的距离的最大值为M ,最小值为m ,则椭圆上与F 点的距离等于2mM +的点的坐标是 A.(c ,±a b 2) B.(-c ,±a b 2) C.(0,±b ) D.不存在42.已知点P (233,25)为椭圆92522y x +=1上的点,F 1,F 2是椭圆的两焦点,点Q 在线段F 1P 上,且│PQ │=│PF 2│,那么Q 分F 1P 之比是A.43B.34C.52D.3543.若将离心率为43的椭圆)0( 12222>>=+b a b y a x 绕着它的左焦点按逆时针方向旋转2π后,所得新椭圆的一条准线方程是3y +14=0椭圆的另一条准线方程是A. 3y -14=0B. 3y -23=0C. 3y -32=0D. 3y -50=044.如图,直线l :x -2 y +2=0过椭圆的左焦点F 1和一个顶点B ,该椭圆的离心率为A.51B.52C.55D.55245.如果方程x 2+ky 2=2表示焦点在y 轴上的椭圆,则实数k 的取值范围是A.(0,+∞)B.(0,2)C.(1,+∞)D.(0,1)46.已知椭圆的焦点是F 1、F 2,P 是椭圆上的一个动点,如果延长F 1P 到Q ,使得||||2PF PQ =,那么动点Q 的轨迹是A.圆B.椭圆C.双曲线的一支D.抛物线47.以椭圆的右焦点F 2为圆心的圆恰好过椭圆的中心,交椭圆于点M 、N ,椭圆的左焦点为F 1,且直线MF1与此圆相切,则椭圆的离心率e为A.22B.23C.2-3D.3-148.圆02122=-+++ab by ax y x 与椭圆)0(1)2()2(2222>>=+++b a b b y a a x 的公共点的个数为A.0B.2C.3D.449.P 是椭圆16410022=+y x 上的点,F 1,F 2是焦点,若321π=∠PF F ,则△F 1 P F 2的面积是 A.)32(64+ B.)32(64- C.64 D.336450.下列各点中,是曲线14)2(9)1(22=++-y x 的顶点的是A.(1,-2)B.(0,-2)C.(1,-4)D.(-2,-1)51.已知椭圆E 的离心率为e ,两焦点为F 1,F 2,抛物线C 以F 1为顶点,F 2为焦点,P 为两曲线的一个交点,若12PF PF e =,则e 的值为A.22B.33C.21D.3252.椭圆192522=+y x 上一点P 到一个焦点的距离为5,则P 到另一个焦点的距离为A.5B.6C.4D.1053.椭圆11692522=+y x 的焦点坐标是A.(±5,0)B.(0,±5)C.(0,±12)D.(±12,0)54.已知椭圆的方程为18222=+m y x ,焦点在x 轴上,则其焦距为A.228m -B.2m -22C.282-mD.222-m55.若椭圆11622=+m y x 的离心率为31,则m 的值是A.9128B.9128或18C.18D.3128或656.已知椭圆13422=+y x 内有一点P (1,-1),F 为椭圆右焦点,在椭圆上有一点M ,使|MP |+2|MF |取得最小值,则点M 的坐标为A.(362,-1)B.)23,1(),23,1(-C.)23,1(- D.)1,362(),1,362(---57.设F 1、F 2为定点,|F 1F 2|=6,动点M 满足|MF 1|+|MF 2|=6,则动点M 的轨迹是A.椭圆B.直线C.圆D.线段58.椭圆171622=+y x 的左右焦点为F 1、F 2,一直线过F 1交椭圆于A 、B 两点,则△ABF 2的周长为A.32B.16C.8D.459.设α∈(0,2π),方程1cos sin 22=+ααy x 表示焦点在x 轴上的椭圆,则α∈ A.(0,4π] B.(4π,2π4π) D.[4π,2π60.P 为椭圆12222=+b y a x 上一点,F 1、F 2为焦点,如果∠PF 1F 2=75°,∠PF 2F 1=15°,则椭圆的离心率为A.22B.23C.32D.36二、填空题1.椭圆的焦点F 1(0,6),中心到准线的距离等于10,则此椭圆的标准方程是______.2.椭圆14922=+y x 上的点到直线03332=+-y x 距离的最大的值是 .3.已知F 1、F 2是椭圆192522=+y x 的两个焦点,AB 是过焦点F 1的弦,若︱AB ︳=8,则︱F 2A ︳+︱F 2B ︳的值是A.16B.12C.14D.84.若A 点坐标为(1,1),F 1是5x 2+9y 2=45椭圆的左焦点,点P 是椭圆的动点,则|PA|+|PF 1|的最小值是__________.5.直线y =1-x 交椭圆mx 2+ny 2=1于M ,N 两点,弦MN 的中点为P ,若K OP ==n m则,22_______________. 6.若椭圆的一个顶点与两个焦点构成等边三角形,则此椭圆的离心率是______.7.已知椭圆的准线方程是y =±9,离心率为32,则此椭圆的标准方程是_______________.8.到定点(1,0)的距离与到定直线x =8的距离之比为22的动点P 的轨迹方程是 .9.已知椭圆x 2+2 y 2=2的两个焦点为F 1和F 2,B 为短轴的一个端点,则△BF 1F 2的外接圆方程是______________. 10.已知点A (0,1)是椭圆x 2+4y 2=4上的一点,P 是椭圆上的动点,当弦AP 的长度最大时,则点P 的坐标是_________________.11.椭圆以两条坐标轴为对称轴,一个顶点是(0,13),另一个顶点是(-10,0),则焦点坐标是 .12.P 是椭圆162722y x +=1上的点,则点P 到直线4x +3y -25=0的距离最小值为 . 13.如图,F 1,F 2分别为椭圆12222=+b y a x 的左、右焦点,点P 在椭圆上,△POF 2是面积为3的正三角形,则b 2的值是.14.椭圆)0(12222>>=+b a b y a x 的左焦点为F ,A (-a ,0),B (0,b )是两个项点,如果占F 到直线AB 的距离等于7b ,则椭圆的离心率为___________.15.椭圆x 2+4y 2=4长轴上一个顶点为A ,以A 为直角顶点作一个内接于椭圆的等腰直角三角形,该三角形的面积是______________.16.椭圆122222=+ay a x 与连结A (1,2),B (2,3)的线段没有公共点,则正数a 的取值范围是 .17.设F 1(-c ,0)、F 2(c ,0)是椭圆2222b y a x +=1(a >b >0)的两个焦点,P 是以F 1F 2为直径的圆与椭圆的一个交点,若∠PF 1F 2=5∠PF 2F 1,则椭圆的离心率为A.23B.36C.22D.3218.椭圆131222=+y x 焦点为F 1和F 2,点P 在椭圆上,如果线段PF 1的中点在y 轴上,那么|PF 1|是|PF 2|的______________.19.已知椭圆192522=+y x ,左右焦点分别为F 1、F 2,B (2,2)是其内一点,M 为椭圆上动点,则|MF 1|+|MB |的最大值与最小值分别为______________.20.如果方程x 2+ky 2=2表示焦点在y 轴上的椭圆,则k 的取值范围是______.21.方程11222=--m y m x 表示焦点在y 轴上的椭圆,则m 的取值范围是______.三、解答题1.已知,椭圆在x 轴上的焦点与短轴两个端点的连线互相垂直,且该焦点与长轴上较近的顶点距离为510-,求椭圆的标准方程.2.点M (x,y )与定点F (c ,0)的距离和它到定直线c a x l 2:=的距离的比是常数a c(a >c >0),求点M 的轨迹. 3.椭圆9x 2+25 y 2=225上有一点P ,若P 到左准线的距离是2.5,求P 到右焦点的距离.4.F 是椭圆1121622=+y x 的右焦点,M 是椭圆上的动点,已知点A (-2,3),当MF AM 2+取最小值时,求点M 的坐标.5.已知:椭圆13610022=+y x 上一点P 到左焦点的距离为15,则P 点到此椭圆两准线的距离分别是多少?6.设AB 为过椭圆1162522=+y x 中心的弦,F 1为左焦点.求:△A B F 1的最大面积.7.AB 是过椭圆14522=+y x 的一个焦点F 的弦,若AB 的倾斜角为3π,求弦AB 的长8.已知椭圆中心在原点,它在x 轴上的一个焦点与短轴两端点的连线互相垂直,并且此焦点与长轴较近的端点的距离为510-,求椭圆方程.9.设中心在原点,焦点在x 轴上的椭圆的离心率为23,并且椭圆与圆x 22y +-4x -2y +025=交于A,B 两点,若线段AB的长等于圆的直径。
椭圆习题一、 选择题:(在每小题给出的四个选项中有只有一项是符合题目要求的.) 1.椭圆63222=+y x 的焦距是( )A .2B .)23(2-C .52D .)23(2+2.F 1、F 2是定点,|F 1F 2|=6,动点M 满足|MF 1|+|MF 2|=6,则点M 的轨迹是 ( ) A .椭圆 B .直线 C .线段 D .圆3.若椭圆的两焦点为(-2,0)和(2,0),且椭圆过点)23,25(-,则椭圆方程是 ( )A .14822=+x yB .161022=+x yC .18422=+x yD .161022=+y x4.方程222=+ky x 表示焦点在y 轴上的椭圆,则k 的取值范围是 ( )A .),0(+∞B .(0,2)C .(1,+∞)D .(0,1)5. 过椭圆12422=+y x 的一个焦点1F 的直线与椭圆交于A 、B 两点,则A 、B 与椭圆的另一焦点2F 构成2ABF ∆,那么2ABF ∆的周长是( )A. 22B. 2C. 2D. 16.若椭圆两准线间的距离等于焦距的4倍,则这个椭圆的离心率为( )A .41 B .22 C .42 D .21 7. 已知k <4,则曲线14922=+y x 和14922=-+-k y k x 有( ) A. 相同的准线 B. 相同的焦点 C. 相同的离心率 D. 相同的长轴8.已知P 是椭圆13610022=+y x 上的一点,若P 到椭圆右准线的距离是217,则点P 到左焦点的距离是( )A .516B .566C .875D .8779.若点P 在椭圆1222=+y x 上,1F 、2F 分别是椭圆的两焦点,且 9021=∠PF F ,则21PF F ∆的面积是( )A. 2 B. 1 C. 23D. 2110.椭圆1449422=+y x 内有一点P (3,2)过点P 的弦恰好以P 为中点,那么这弦所在直线的方程为 A .01223=-+y x B .01232=-+y xC .014494=-+y xD . 014449=-+y x11.椭圆141622=+y x 上的点到直线022=-+y x 的最大距离是( )A .3B .11C .22D .1012.在椭圆13422=+y x 内有一点P (1,-1),F 为椭圆右焦点,在椭圆上有一点M ,使|MP|+2|MF|的值最小,则这一最小值是( ) A .25 B .27 C .3 D .4二、 填空题:(把答案填在题中横线上.)13.椭圆2214x y m+=的离心率为12,则m = 。
高二数学椭圆一.选择题1.椭圆ax2+by2=1与直线y=1﹣x交于A、B两点,过原点与线段AB中点的直线的斜率为,则的值为()A.B.C.D.2.已知方程表示焦点在y轴上的椭圆,则实数k的取值范围是()A.B.(1,+∞)C.(1,2)D.3.椭圆x2+4y2=1的离心率为()A.B.C.D.4.椭圆+=1的右焦点到直线y=x的距离是()A.B.C.1D.5.以两条坐标轴为对称轴的椭圆过点P(,﹣4)和Q(﹣,3),则此椭圆的方程是()A.+y2=1 B.x2+=1C.+y2=1或x2+=1D.以上均不对6.已知P为椭圆+=1上的点,F1、F2为其两焦点,则使∠F1PF2=90°的点P有()A.4个B.2个C.1个D.0个7.椭圆4x2+9y2=1的焦点坐标是()A.(±,0)B.(0,±)C.(±,0)D.(±,0)8.若椭圆2kx2+ky2=1的一个焦点坐标是(0,4),则实数k的值为()A.B.﹣C.D.﹣9.已知椭圆上的一点P到椭圆一个焦点的距离为3,则P到另一焦点距离为()A.9B.7C.5D.3二.填空题(共6小题)10.(2009•湖北模拟)如图Rt△ABC中,AB=AC=1,以点C为一个焦点作一个椭圆,使这个椭圆的另一个焦点在AB边上,且这个椭圆过A、B两点,则这个椭圆的焦距长为_________.11.若P是椭圆+=1上任意一点,F1、F2是焦点,则∠F1PF2的最大值为_________.12.F1、F2是椭圆+=1的两个焦点,P是椭圆上一点,则|PF1|•|PF2|有最_________值为_________.13.经过两点P1(),P2(0,)的椭圆的标准方程_________.14.已知焦距为8,离心率为0.8,则椭圆的标准方程为_________.15.点P在椭圆+=1上,F1,F2是椭圆的焦点,若PF1⊥PF2,则点P的坐标是_________.三.解答题(共5小题)16.已知椭圆的中心在坐标原点,焦点在x轴上,离心率为,且过点(1,2),求椭圆的标准方程.17.已知中心在原点,长轴在x轴上的椭圆的两焦点间的距离为,若椭圆被直线x+y+1=0截得的弦的中点的横坐标为﹣,求椭圆的方程.18.已知椭圆的焦点在x轴上,离心率为,且过点P(1,),求该椭圆的方程.19.求适合下列条件的椭圆的标准方程:(1)焦点在x轴上,a=6,e=;(2)焦点在y轴上,c=3,e=.20.已知椭圆两焦点的坐标分别是(﹣2,0),(2,0),并且经过点(2,),求椭圆方程.21.已知:△ABC的一边长BC=6,周长为16,求顶点A的轨迹方程.参考答案与试题解析一.选择题(共9小题)1.(2015•兴国县一模)椭圆ax2+by2=1与直线y=1﹣x交于A、B两点,过原点与线段AB中点的直线的斜率为,则的值为()A.B.C.D.考点:椭圆的简单性质.专题:综合题.分析:联立椭圆方程与直线方程,得ax2+b(1﹣x)2=1,(a+b)x2﹣2bx+b﹣1=0,A(x1,y1),B(x2,y2),由韦达定理得AB中点坐标:(),AB中点与原点连线的斜率k===.解答:解:联立椭圆方程与直线方程,得ax2+b(1﹣x)2=1,(a+b)x2﹣2bx+b﹣1=0,A(x1,y1),B(x2,y2),,y1+y2=1﹣x1+1﹣x2=2﹣=,AB中点坐标:(),AB中点与原点连线的斜率k===.故选A.点评:本题考查直线和圆锥曲线的经综合运用,解题时要认真审题,仔细解答,注意合理地进行等价转化.2.(2012•香洲区模拟)已知方程表示焦点在y轴上的椭圆,则实数k的取值范围是()A.B.(1,+∞)C.(1,2)D.考点:椭圆的简单性质.专题:计算题;圆锥曲线的定义、性质与方程.分析:根据椭圆的标准方程,得焦点在y轴上的椭圆方程中,x2、y2的分母均为正数,且y2的分母较大,由此建立关于k的不等式组,解之即得实数k的取值范围.解答:解:∵方程表示焦点在y轴上的椭圆,∴,解之得1<k<2实数k的取值范围是(1,2)故选:C点评:本题给出标准方程表示焦点在y轴上的椭圆,求参数k的取值范围,着重考查了椭圆的标准方程的概念,属于基础题.3.(2007•安徽)椭圆x2+4y2=1的离心率为()A.B.C.D.考点:椭圆的简单性质.专题:综合题.分析:把椭圆的方程化为标准方程后,找出a与b的值,然后根据a2=b2+c2求出c的值,利用离心率公式e=,把a与c的值代入即可求出值.解答:解:把椭圆方程化为标准方程得:x2+=1,得到a=1,b=,则c==,所以椭圆的离心率e==.故选A点评:此题考查学生掌握椭圆的离心率的求法,灵活运用椭圆的简单性质化简求值,是一道综合题.4.(2006•东城区二模)椭圆+=1的右焦点到直线y=x的距离是()A.B.C.1D.考点:椭圆的简单性质;点到直线的距离公式.专题:计算题.分析:根据题意,可得右焦点F(1,0),由点到直线的距离公式,计算可得答案.解答:解:根据题意,可得右焦点F(1,0),y=x可化为y﹣x=0,则d==,故选B.点评:本题考查椭圆的性质以及点到直线的距离的计算,注意公式的准确记忆.5.以两条坐标轴为对称轴的椭圆过点P(,﹣4)和Q(﹣,3),则此椭圆的方程是()A.+y2=1 B.x2+=1C.+y2=1或x2+=1D.以上均不对考点:椭圆的标准方程.专题:圆锥曲线的定义、性质与方程.分析:设经过两点P(,﹣4)和Q(﹣,3),的椭圆标准方程为mx2+ny2=1(m>0,n>0,m≠n),利用待定系数法能求出椭圆方程.解答:解:设经过两点P(,﹣4)和Q(﹣,3),的椭圆标准方程为mx2+ny2=1(m>0,n>0,m≠n),代入A、B得,,解得m=1,n=,∴所求椭圆方程为x2+=1.故选:B.点评:本题考查椭圆标准方程的求法,是中档题,解题时要认真审题,注意椭圆简单性质的合理运用.6.已知P为椭圆+=1上的点,F1、F2为其两焦点,则使∠F1PF2=90°的点P有()A.4个B.2个C.1个D.0个考点:椭圆的简单性质.专题:直线与圆;圆锥曲线的定义、性质与方程.分析:根据椭圆的标准方程,得出a、b、c的值,由∠F1PF2=90°得出点P在以F1F2为直径的圆(除F1、F2),且r<b,得出圆在椭圆内,点P不存在.解答:解:∵椭圆+=1中,a=4,b=2,∴c==2;∴焦点F1(﹣2,0),F2(2,0);又∵∠F1PF2=90°,∴点P在以F1F2为直径的圆x2+y2=4上(除F1、F2),又∵r=2<2=b,∴圆被椭圆内含,点P不存在.点评:本题考查了椭圆的标准方程与圆的标准方程的应用问题,解题时应灵活利用∠F1PF2=90°,是基础题.7.椭圆4x2+9y2=1的焦点坐标是()A.(±,0)B.(0,±)C.(±,0)D.(±,0)考点:椭圆的简单性质.专题:圆锥曲线的定义、性质与方程.分析:把椭圆方程化为标准方程,再利用c=即可得出.解答:解:椭圆4x2+9y2=1化为,∴a2=,b2=,∴c==∴椭圆的焦点坐标为(±,0).故选:C.点评:熟练掌握椭圆的标准方程及其性质是解题的关键.8.若椭圆2kx2+ky2=1的一个焦点坐标是(0,4),则实数k的值为()A.B.﹣C.D.﹣考点:椭圆的简单性质.专题:圆锥曲线的定义、性质与方程.分析:由椭圆的焦点坐标为(0,4)可得k>0,化椭圆方程为标准式,求出c,再由c=4得答案.解答:解:由2kx2+ky2=1,得,∵椭圆2kx2+ky2=1的一个焦点坐标是(0,4),∴,,则,.∴,解得.故选:C.点评:本题考查了椭圆的简单几何性质,考查了椭圆的标准方程,是基础题.9.已知椭圆上的一点P到椭圆一个焦点的距离为3,则P到另一焦点距离为()A.9B.7C.5D.3考点:椭圆的简单性质;椭圆的定义.专题:综合题.分析:由椭圆方程找出a的值,根据椭圆的定义可知椭圆上的点到两焦点的距离之和为常数2a,把a的值代入即可求出常数的值得到P到两焦点的距离之和,由P到一个焦点的距离为3,求出P到另一焦点的距离即可.解答:解:由椭圆,得a=5,则2a=10,且点P到椭圆一焦点的距离为3,由定义得点P到另一焦点的距离为2a﹣3=10﹣3=7.故选B点评:此题考查学生掌握椭圆的定义及简单的性质,是一道中档题.二.填空题(共6小题)10.(2009•湖北模拟)如图Rt△ABC中,AB=AC=1,以点C为一个焦点作一个椭圆,使这个椭圆的另一个焦点在AB边上,且这个椭圆过A、B两点,则这个椭圆的焦距长为.考点:椭圆的简单性质.专题:计算题.分析:设另一焦点为D,则可再Rt△ABC中,根据勾股定理求得BC,进而根据椭圆的定义知AC+AB+BC=4a求得a.再利用AC+AD=2a求得AD最后在Rt△ACD中根据勾股定理求得CD,得到答案.解答:解析:设另一焦点为D,∵Rt△ABC中,AB=AC=1,∴BC=∵AC+AD=2a,AC+AB+BC=1+1+=4a,∴a=又∵AC=1,∴AD=.在Rt△ACD中焦距CD==.故答案为:.点评:本题主要考查了椭圆的简单性质和解三角形的应用.要理解好椭圆的定义和椭圆中短轴,长轴和焦距的关系.11.若P是椭圆+=1上任意一点,F1、F2是焦点,则∠F1PF2的最大值为.考点:椭圆的简单性质.专题:圆锥曲线的定义、性质与方程.分析:先根据椭圆方程求得a和b的大小,进而利用椭圆的基本性质,确定最大角的位置,求出∠F1PF2的最大值.解答:解:根据椭圆的方程可知:+=1,∴a=2,b=,c=1,由椭圆的对称性可知,∠F1PF2的最大时,P在短轴端点,此时△F1PF2是正三角形,∴∠F1PF2的最大值为.故答案为:.点评:本题主要考查了椭圆的应用.当P点在短轴的端点时∠F1PF2值最大,这个结论可以记住它.在做选择题和填空题的时候直接拿来解决这一类的问题.12.F1、F2是椭圆+=1的两个焦点,P是椭圆上一点,则|PF1|•|PF2|有最大值为16.考点:椭圆的简单性质.专题:计算题;圆锥曲线的定义、性质与方程.分析:运用椭圆的定义,可得|PF1|+|PF2|=2a=8,再由基本不等式,即可求得|PF1|•|PF2|的最大值.解答:解:椭圆+=1的a=4,则|PF1|+|PF2|=2a=8,则|PF1|•|PF2|≤()2=16,当且仅当|PF1|=|PF2|=4,则|PF1|•|PF2|有最大值,且为16.故答案为:大,16点评:本题考查椭圆的定义和性质,考查基本不等式的运用:求最值,考查运算能力,属于基础题.13.经过两点P1(),P2(0,)的椭圆的标准方程=1.考点:椭圆的标准方程.专题:圆锥曲线的定义、性质与方程.分析:设椭圆方程为mx2+ny2=1(m>0,n>0,m≠n),把两点P1(),P2(0,)代入,能求出结果.解答:解L:设椭圆方程为mx2+ny2=1(m>0,n>0,m≠n)把两点P1(),P2(0,)代入,得:,解得m=5,n=4,∴椭圆方程为5x2+4y2=1,即=1.故答案为:=1.点评:本题考查椭圆的标准方程的求法,是基础题,解题时要认真审题,注意椭圆性质的合理运用.14.已知焦距为8,离心率为0.8,则椭圆的标准方程为,或.考点:椭圆的标准方程.专题:圆锥曲线的定义、性质与方程.分析:由椭圆的焦距是8,离心率0.8,先求出a=5,c=4,b,由此能求出椭圆的标准方程.解答:解:∵椭圆的焦距是8,离心率0.6,∴,解得a=5,c=4,b2=25﹣16=9,∴椭圆的标准方程为,或.故答案为:,或.点评:本题考查椭圆的标准方程的求法,是基础题,解题时要避免丢解.15.点P在椭圆+=1上,F1,F2是椭圆的焦点,若PF1⊥PF2,则点P的坐标是(3,4),(3,﹣4),(﹣3,4),(﹣3,﹣4).考点:椭圆的简单性质.专题:圆锥曲线的定义、性质与方程.分析:由椭圆方程求出椭圆的焦点坐标,根据PF1⊥PF2得=0,与椭圆方程联立解得即可.解答:解:由椭圆+=1,得F1(﹣5,0),F2(5,0)设P(x,y),=0,①即(x+5)(x﹣5)+y2=0因为P在椭圆上,所以+=1,②两式联立可得x=±3,∴P(3,4),P(3,﹣4),P(﹣3,4),P(﹣3,﹣4)故答案为:P(3,4),P(3,﹣4),P(﹣3,4),P(﹣3,﹣4).点评:本题主要考查了椭圆的几何性质,向量的应用.三.解答题(共5小题)16.已知椭圆的中心在坐标原点,焦点在x轴上,离心率为,且过点(1,2),求椭圆的标准方程.考点:椭圆的标准方程.专题:圆锥曲线的定义、性质与方程.分析:先假设椭圆的方程,再利用的椭圆C的离心率为,且过点(1,2),即可求得椭圆C的方程.解答:解:设椭圆方程为,椭圆的半焦距为c,∵椭圆C的离心率为,∴,∴,①∵椭圆过点(1,2),∴②由①②解得:b2=,a2=49∴椭圆C的方程为.点评:本题重点考查椭圆的标准方程,考查椭圆的性质,解题的关键是待定系数法.17.已知中心在原点,长轴在x轴上的椭圆的两焦点间的距离为,若椭圆被直线x+y+1=0截得的弦的中点的横坐标为﹣,求椭圆的方程.考点:椭圆的标准方程.分析:首先,设椭圆的标准方程为:=1 (a>b>0),然后,设出直线与椭圆的两个交点坐标,然后,将这两个交点坐标代入椭圆方程,两个方程相减,得到关于a,b的一个方程,再结合给定的a,c的关系式,求解即可.解答:解:设椭圆的标准方程为:=1(a>b>0),∵椭圆被直线x+y+1=0截得的弦的中点的横坐标是﹣,∴弦的中点的纵坐标是﹣,设椭圆与直线x+y+1=0的两个交点为P(x1,y1),Q(x2,y2).则有+=1 ①+=1 ②①﹣②,化简得+=0 ③x1+x2=2×(﹣)=﹣,y1+y2=2×()=﹣,且=﹣1,∴由③得a2=2b2,又由题意2c=,有c=,则可求得c2==b2,a2=,∴椭圆的标准方程为:+=1.点评:本题重点考查了椭圆的几何性质、标准方程、直线与椭圆的位置关系等知识,属于中档题,涉及到弦的中点问题,处理思路是“设而不求”的思想.18.已知椭圆的焦点在x轴上,离心率为,且过点P(1,),求该椭圆的方程.考点:椭圆的标准方程.专题:圆锥曲线的定义、性质与方程.分析:设椭圆方程为(a>b>0),由已知得,由此能求出椭圆方程.解答:解:设椭圆方程为(a>b>0),由已知得,解得,b2=1,∴椭圆方程为.点评:本题考查椭圆方程的求法,是基础题,解题时要认真审题,注意椭圆性质的合理运用.19.求适合下列条件的椭圆的标准方程:(1)焦点在x轴上,a=6,e=;(2)焦点在y轴上,c=3,e=.考点:椭圆的标准方程.专题:计算题;圆锥曲线的定义、性质与方程.分析:(1)由离心率公式,求得c,再由a,b,c的关系,求得b,即可得到椭圆方程;(2)由离心率公式,求得a,再由a,b,c的关系,求得b,即可得到椭圆方程.解答:解:(1)a=6,e=,即,解得c=2,b2=a2﹣c2=32,则椭圆的标准方程为:=1;(2)c=3,e=,即,解得,a=5,b2=a2﹣c2=25﹣9=16.则椭圆的标准方程为:=1.点评:本题考查椭圆的性质和方程,考查运算能力,属于基础题.20.已知椭圆两焦点的坐标分别是(﹣2,0),(2,0),并且经过点(2,),求椭圆方程.考点:椭圆的标准方程.专题:圆锥曲线的定义、性质与方程.分析: 直接根据焦点的坐标设出椭圆的方程,再根据点的坐标求出结果. 解答: 解:椭圆两焦点的坐标分别是(﹣2,0),(2,0), 所以:设椭圆的方程为:由于:椭圆经过点(2,), 则:, 且a 2=b 2+4, 则:, 解得:. 椭圆方程为:.点评: 本题考查的知识要点:椭圆方程的求法,属于基础题型.21. 以BC 边为x 轴,BC 线段的中垂线为y 轴建立直角坐标系,则A 点的轨迹是椭圆,其方程为:116y 25x 22=+。
椭圆单元测试题案场各岗位服务流程销售大厅服务岗:1、销售大厅服务岗岗位职责:1)为来访客户提供全程的休息区域及饮品;2)保持销售区域台面整洁;3)及时补足销售大厅物资,如糖果或杂志等;4)收集客户意见、建议及现场问题点;2、销售大厅服务岗工作及服务流程阶段工作及服务流程班前阶段1)自检仪容仪表以饱满的精神面貌进入工作区域2)检查使用工具及销售大厅物资情况,异常情况及时登记并报告上级。
班中工作程序服务流程行为规范迎接指引递阅资料上饮品(糕点)添加茶水工作要求1)眼神关注客人,当客人距3米距离时,应主动跨出自己的位置迎宾,然后侯客迎询问客户送客户注意事项15度鞠躬微笑问候:“您好!欢迎光临!”2)在客人前方1-2米距离领位,指引请客人向休息区,在客人入座后问客人对座位是否满意:“您好!请问坐这儿可以吗?”得到同意后为客人拉椅入座“好的,请入座!”3)若客人无置业顾问陪同,可询问:请问您有专属的置业顾问吗?,为客人取阅项目资料,并礼貌的告知请客人稍等,置业顾问会很快过来介绍,同时请置业顾问关注该客人;4)问候的起始语应为“先生-小姐-女士早上好,这里是XX销售中心,这边请”5)问候时间段为8:30-11:30 早上好11:30-14:30 中午好 14:30-18:00下午好6)关注客人物品,如物品较多,则主动询问是否需要帮助(如拾到物品须两名人员在场方能打开,提示客人注意贵重物品);7)在满座位的情况下,须先向客人致歉,在请其到沙盘区进行观摩稍作等待;阶段工作及服务流程班中工作程序工作要求注意事项饮料(糕点服务)1)在所有饮料(糕点)服务中必须使用托盘;2)所有饮料服务均已“对不起,打扰一下,请问您需要什么饮品”为起始;3)服务方向:从客人的右面服务;4)当客人的饮料杯中只剩三分之一时,必须询问客人是否需要再添一杯,在二次服务中特别注意瓶口绝对不可以与客人使用的杯子接触;5)在客人再次需要饮料时必须更换杯子;下班程序1)检查使用的工具及销售案场物资情况,异常情况及时记录并报告上级领导;2)填写物资领用申请表并整理客户意见;3)参加班后总结会;4)积极配合销售人员的接待工作,如果下班时间已经到,必须待客人离开后下班;1.3.3.3吧台服务岗1.3.3.3.1吧台服务岗岗位职责1)为来访的客人提供全程的休息及饮品服务;2)保持吧台区域的整洁;3)饮品使用的器皿必须消毒;4)及时补充吧台物资;5)收集客户意见、建议及问题点;1.3.3.3.2吧台服务岗工作及流程阶段工作及服务流程班前阶段1)自检仪容仪表以饱满的精神面貌进入工作区域2)检查使用工具及销售大厅物资情况,异常情况及时登记并报告上级。
椭圆基础训练题姓名____________分数______________一、选择题1 .方程my x ++16m -2522=1表示焦点在y 轴上的椭圆,则m 的取值范围是 ( )A .—16〈m 〈25B .—16〈m 〈29 C .29〈m<25 D .m>292 .已知椭圆1162522=+y x 上的一点P 到椭圆一个焦点的距离为3,则P 到另一焦点距离为 ( ) A .2B .3C .5D .73 .椭圆2241x y +=的焦距是( )A B .1C D .24 .对于椭圆22525922=+y x ,下列说法正确的是( )A .焦点坐标是()40±,B .长轴长是5C .准线方程是425±=yD .离心率是54 5 .椭圆2212x y +=的焦距是 ( )A .1B .2C .3D .46 .如果方程222=+ky x 表示焦点在y 轴的椭圆,那么实数k 的取值范围是( )A .),0(+∞B .)2,0(C .),1(+∞D .)1,0(7 .若椭圆221169x y +=上一点P 到它的右焦点是3,那么点P 到左焦点的距离是 ( )A .5B .1C .15D .88 .设p 是椭圆2212516x y +=上的点.若12F F ,是椭圆的两个焦点,则12PF PF +等于 ( ) A .4B .5C .8D .109 .已知F 1、F 2是椭圆192522=+y x 的两个焦点,AB 是过F 2的弦,则△ABF 1 的周长等于 ( ) A .100 B .50C .20D .1010.椭圆4x 2+2y 2=1的准线方程是( )A .x=±1B .x=±21 C .y=±1 D .y=±21 11.已知椭圆1162522=+y x 上一点P 到椭圆一个点的距离为3,则P 点到另一个焦点距离为 ( ) A .2B .3C .5D .712.已知椭圆的长轴长是短轴长的2倍,则椭圆的离心率等于学科网( )A .12B .22C .2D .32学科网 13.椭圆2216x y m +=的焦距为2,则m 的取值是 ( )A .7B .5C .5或7D .1014.椭圆161522=+y x 的两条准线方程是 ( )A .2175-=y ,2175=y B .2175-=x ,2175=x C .y=-5,y=5 D .x=-5,x=5 15.椭圆2214x y +=的长轴长为 ( )A .16B .2C .8D .416.若椭圆x a 22+y b22=1的两焦点F 1、F 2三等分它两准线间的距离,则此椭圆的离心率为 ( )A .3B .33C .63D .以上均不对17.若椭圆x y b222161+=过点()-23,,则其焦距为 ( )A .23B .25C .43D .4518.已知焦点在x 轴上的椭圆的离心率为,21它的长轴等于圆0152:22=--+x y x C 的半径,则椭圆的标准方程为 ( )A .13422=+y xB .1121622=+y xC .1422=+y x D .141622=+y x 19.若椭圆两准线间的距离是焦距的4倍,则该椭圆的离心率为( )A .21。
椭圆单元测试题(含答案)一. 选择题1. 下列哪个不是椭圆的性质?A. 任何椭圆都有两个焦点B. 椭圆的离心率小于1C. 椭圆是一条闭合曲线D. 直径是椭圆上任意两点的距离的最大值答案:D2. 下列哪个公式可以用来计算椭圆面积?A. $S = \frac{\pi}{2}ab$B. $S = \pi ab$C. $S = \frac{4}{3}\pi ab$D. $S = 2\pi ab$答案:B3. 一个椭圆的长轴长度是6,短轴长度是4,则该椭圆的离心率是多少?A. $\frac{3}{4}$B. $\frac{\sqrt{2}}{2}$C. $\frac{4}{5}$D. $\frac{5}{6}$答案:C二. 填空题1. 椭圆的离心率等于$\rule{1.5cm}{.15mm}$除以$\rule{1.5cm}{.15mm}$。
答案:焦距差,长轴长度2. 设椭圆的长轴长度为$a$,短轴长度为$b$,则其离心率的计算公式为$\rule{5cm}{.15mm}$。
答案:$\epsilon = \frac{\sqrt{a^2 - b^2}}{a}$三. 计算题1. 已知一个椭圆的长轴长度是10,短轴长度是8,求它的面积。
解:由公式$S = \pi ab$可得,该椭圆的面积为$S = \pi \times 10 \times 8 = 80\pi$。
答案:$80\pi$2. 已知一个椭圆的长轴长度是12,离心率是$\frac{1}{2}$,求它的短轴长度。
解:由公式$\epsilon = \frac{\sqrt{a^2 - b^2}}{a}$可得,$b =a\sqrt{1-\epsilon^2}$。
代入数据,可得$b = 6\sqrt{3}$。
答案:$6\sqrt{3}$。
椭圆专题训练卷一、单选题1.(2019·宁波市第四中学高二期中)设p 是椭圆2212516x y +=上的点.若12F F ,是椭圆的两个焦点,则12PF PF +等于( )A .4B .5C .8D .102.(2020·全国高三课时练习(理))设x 、y ∈R ,则“|x |≤4且|y |≤3”是“216x +29y ≤1”的( ) A .充分而不必要条件 B .必要而不充分条件 C .充分必要条件D .既不充分也不必要条件3.(2019·浙江省春晖中学高二月考)已知椭圆221102x y m m +=--的焦点在y 轴上,且焦距为4,则m 等于( ) A .4B .5C .7D .84.(2020·雅安市教育科学研究所高三一模(理))已知椭圆()222210x y a b a b+=>>的左顶点为A ,上顶点为B ,且OA (O 为坐标原点),则该椭圆的离心率为( )A B C D5.(2020·四川资阳 高三其他(理))已知椭圆C :()222210x y a b a b +=>>经过点),且C 的离心率为12,则C 的方程是( ) A .22143x y +=B .22186x y +C .22142x y +=D .22184x y +=6.(2020·全国高三课时练习(理))已知O 为坐标原点,F 是椭圆C :22221(0)x y a b a b+=>>的左焦点,A ,B 分别为C 的左,右顶点.P 为C 上一点,且PF ⊥x 轴.过点A 的直线l 与线段PF 交于点M ,与y 轴交于点E .若直线BM 经过OE 的中点,则C 的离心率为( ) A .13B .12C .23D .347.(2020·河北枣强中学高三月考(文))已知椭圆C 的方程为()222210x y a b a b +=>>,焦距为2c ,直线:4l y x =与椭圆C 相交于A ,B 两点,若2AB c =,则椭圆C 的离心率为( )A .2B .34C .12D .148.(2020·甘肃城关 兰大附中高三月考(理))已知1F ,2F 分别为椭圆221168x y +=的左、右焦点,M 是椭圆上的一点,且在y 轴的左侧过点2F 作12F MF ∠的角平分线的垂线,垂足为N ,若2ON =(O 为坐标原点)则21MF MF -等于( )A .4B .2C D 9.(2020·黑龙江南岗 哈师大附中高三其他(文))已知1F 、2F 是椭圆22143x y +=的左、右焦点,点P 是椭圆上任意一点,以1PF 为直径作圆N ,直线ON 与圆N 交于点Q (点Q 不在椭圆内部),则12QF QF ⋅=( )A .B .4C .3D .110.(2019·宁波市第四中学高二期中)设椭圆22221x y a b+=0)a b >>(的左、右焦点分别为12(,0)(,0)F c F c -,,点(,)2aN c 在椭圆的外部,点M 是椭圆上的动点,满足11232MF MN F F +<恒成立,则椭圆离心率e 的取值范围是( )A .(0B .1)C .5)6, D .5(,1)6二、多选题11.(2019·江苏省苏州实验中学高二月考)已知椭圆22221(0)x y a b a b+=>>的左焦点F ,焦距为2,过点F的弦长最小值不小于2,则该椭圆的离心率可以是( ) A .45B .23C .12D .1312.(2019·辽宁葫芦岛 高二月考)椭圆C :2211612x y +=的右焦点为F ,点P 是椭圆C 上的动点,则||PF 的值可能是( ) A .1B .3C .4D .813.(2020·岳麓 湖南师大附中高二期末)设椭圆22:143x y C +=的左、右焦点分别为12,F F ,点P 为椭圆C上一动点,则下列说法中正确的是( ) A .当点P 不在x 轴上时,12PF F ∆的周长是6 B .当点P 不在x 轴上时,12PF F ∆面积的最大值为3 C .存在点P ,使12PF PF ⊥ D .1PF 的取值范围是[1,3]14.(2020·山东中区 济南外国语学校高三月考)我们通常称离心率为512-的椭圆为“黄金椭圆”.如图,已知椭圆2222:1(0)x y C a b a b+=>>,1212,,,A A B B 为顶点,12,F F 为焦点,P 为椭圆上一点,满足下列条件能使椭圆C 为“黄金椭圆”的有( )A .111222||,||,||A F F F F A 为等比数列B .11290F B A ∠=︒C .1PF x ⊥ 轴,且21//PO A BD .四边形1221A B A B 的内切圆过焦点12,F F 三、单空题15.(2020·商丘市回民中学高二期末(理))若椭圆的方程为221102x y a a +=--,且此椭圆的焦距为4,则实数a =________.16.(2020·河北桃城 衡水中学高三其他(文))已知椭圆C 的中心在原点,焦点在x 轴上,若C 的短轴长为2个相邻的五等分点,则此椭圆的标准方程为________.17.(2020·河南中原 郑州一中高三其他(文))已知A 、F 分别是椭圆C :22221x y a b+=()0a b >>的下顶点和左焦点,过A 且倾斜角为60︒的直线l 分别交x 轴和椭圆C 于M ,N 两点,且N 点的纵坐标为35b ,若FMN 的周长为6,则FAN 的面积为_____.四、双空题18.(2019·浙江高二学业考试)椭圆2214x y +=的离心率是___________,焦距长是________.19.(2020·上海高二课时练习)椭圆22192x y +=的焦点为F 1,F 2,点P 在椭圆上,若14PF =,2PF =_______;12F PF ∠的小大为__________.20.(2019·浙江高二期中)若方程22121x y m m+=+-表示椭圆,则实数m 的取值范围是______;当1m =-时,椭圆的焦点坐标为______.21.(2020·福建高三其他(理))已知椭圆22:143x y C +=的焦点是12,F F ,,A B 是C 上(不在长轴上)的两点,且1//2F A F B .M 为1F B 与2F A 的交点,则M 的轨迹所在的曲线是______;离心率为_____. 五、解答题22.(2020·上海高二课时练习)已知椭圆的中心在原点,焦距为6,且经过点(0,4).求它的标准方程.23.(2019·于都县第二中学高二月考(文))焦点在x 轴上的椭圆的方程为2214x ym+=,点(2,1)P 在椭圆上.(1)求m 的值.(2)依次求出这个椭圆的长轴长、短轴长、焦距、离心率. 24.(2019·永济市涑北中学校高二月考(理))设点是椭圆上一动点,椭圆的长轴长为,离心率为.(1)求椭圆的方程; (2)求点到直线距离的最大值.25.(2019·河南宛城 南阳中学高二月考(理))已知椭圆的两焦点为12(1,0),(1,0)F F -,P 为椭圆上一点,且12F F 是1PF 与2PF 的等差中项. (1)求此椭圆方程;(2)若点P 满足1260F PF ︒∠=,求12PF F ∆的面积.26.(2019·牡丹江市第三高级中学高二期末(文))已知点(2,1)P -在椭圆()222:102x yC a a +=>上,动点,A B 都在椭圆上,且直线AB 不经过原点O ,直线OP 经过弦AB 的中点. (1)求椭圆C 的方程; (2)求直线AB 的斜率.27.(2018·西藏拉萨中学高二期末(理))椭圆C 的中心在坐标原点,焦点在x 轴上,右焦点F 的坐标为(2,0),且点F 6. (1)求椭圆C 的方程;(2)过点F 作斜率为k 的直线l ,与椭圆C 交于A 、B 两点,若43OA OB ⋅>-,求k 的取值范围.一、单选题1.(2019·宁波市第四中学高二期中)设p 是椭圆2212516x y +=上的点.若12F F ,是椭圆的两个焦点,则12PF PF +等于( )A .4B .5C .8D .10【答案】D 【解析】因为椭圆的方程为2251162x y +=,所以225a =,由椭圆的的定义知12=210PF PF a +=,故选D .2.(2020·全国高三课时练习(理))设x 、y ∈R ,则“|x |≤4且|y |≤3”是“216x +29y ≤1”的( ) A .充分而不必要条件 B .必要而不充分条件 C .充分必要条件 D .既不充分也不必要条件【答案】B 【解析】“|x |≤4且|y |≤3”表示的平面区域M 为矩形区域,“216x +29y ≤1”表示的平面区域N 为椭圆216x +29y ≤1及其内部, 则如图显然N 在M 内, 故选:B .3.(2019·浙江省春晖中学高二月考)已知椭圆221102x y m m +=--的焦点在y 轴上,且焦距为4,则m 等于( ) A .4 B .5C .7D .8【答案】D 【解析】∵ 椭圆221102x y m m +=--的焦点在y 轴上,∴ 22a m =-,210b m =-, ∵ 焦距为4, ∴ 24c =即24c =,在椭圆中:222a b c =+即2(10)4m m -=-+,解得:8m =, 故选:D4.(2020·雅安市教育科学研究所高三一模(理))已知椭圆()222210x y a b a b+=>>的左顶点为A ,上顶点为B ,且OA (O 为坐标原点),则该椭圆的离心率为( )A .3B .3C .2D .3【答案】B 【解析】依题意可知3ab ,即3b =,又c ===,所以该椭圆的离心率3c e a ==. 故选:B5.(2020·四川资阳 高三其他(理))已知椭圆C :()222210x y a b a b +=>>经过点),且C 的离心率为12,则C 的方程是( ) A .22143x y +=B .22186x y +C .22142x y +=D .22184x y +=【答案】A 【解析】依题意,可得2131412a ⎧+=⎪=,解得2243a b ⎧=⎨=⎩,故C 的方程是22143x y +=. 故选:A 点睛:求椭圆标准方程的两种思路方法(1)定义法:根据椭圆的定义,确定22a b ,的值,结合焦点位置可写出椭圆方程.(2)待定系数法:这种方法是求椭圆方程的常用方法,具体思路是先定形,再定量,即首先确定焦点所在位置,然后再根据条件建立关于a b ,的方程组.如果焦点位置不确定,也可把椭圆方程设22100()mx ny m n m n >>≠+=,,的形式.6.(2020·全国高三课时练习(理))已知O 为坐标原点,F 是椭圆C :22221(0)x y a b a b+=>>的左焦点,A ,B 分别为C 的左,右顶点.P 为C 上一点,且PF ⊥x 轴.过点A 的直线l 与线段PF 交于点M ,与y 轴交于点E .若直线BM 经过OE 的中点,则C 的离心率为 A .13B .12C .23D .34【答案】A 【解析】试题分析:如图取P 与M 重合,则由2(,0),(,)b A a M c a--⇒直线22:()(0,)bb a AM y x a Ec a a c=+⇒-+-同理由222221(,0),(,)(0,)33b b b b B a Mc G a c e a a c a c a c -⇒⇒=⇒=⇒=+-+,故选A.7.(2020·河北枣强中学高三月考(文))已知椭圆C 的方程为()222210x y a b a b +=>>,焦距为2c ,直线2:4l y x =与椭圆C 相交于A ,B 两点,若2AB c =,则椭圆C 的离心率为( ) A .32B .34C .12D .14【答案】A 【解析】设直线与椭圆在第一象限内的交点为()x,y A ,则24y x =由2AB c =,可知22OA x y c =+=2224x x c ⎛⎫+= ⎪ ⎪⎝⎭,解得22x =, 所以221,33A c ⎛⎫ ⎪ ⎪⎝⎭把点A 代入椭圆方程得到222222131c a b ⎫⎛⎫⎪ ⎪⎝⎭⎝⎭+=,整理得4281890e e -+=,即()()2243230e e --=,因01e <<,所以可得3e =故选A 项.8.(2020·甘肃城关 兰大附中高三月考(理))已知1F ,2F 分别为椭圆221168x y +=的左、右焦点,M 是椭圆上的一点,且在y 轴的左侧过点2F 作12F MF ∠的角平分线的垂线,垂足为N ,若2ON =(O 为坐标原点)则21MF MF -等于( ) A .4 B .2C .32D .332【答案】A 【解析】延长2F N 交1MF 的延长线于点P ,作图如下:因为MN 为12F MF ∠的角平分线,且2F N MN ⊥, 所以2MF MP =,所以2111MF MF MP MF F P -=-=, 因为,O N 分别为122,F F F P 的中点, 所以ON 为12PF F ∆的中位线, 所以1122ON F P ==, 所以21124MF MF F P ON -===. 故选:A9.(2020·黑龙江南岗 哈师大附中高三其他(文))已知1F 、2F 是椭圆22143x y +=的左、右焦点,点P 是椭圆上任意一点,以1PF 为直径作圆N ,直线ON 与圆N 交于点Q (点Q 不在椭圆内部),则12QF QF ⋅=( )A .23B .4C .3D .1【答案】C 【解析】连接2PF ,设椭圆的基本量为,,a b c ,()()()()2212121QF QF QO OF QO OF QO QF ⋅=+⋅+=-,()221222222322PF PF QN NO c c a c b ⎛⎫=+-=+-=-== ⎪⎝⎭故答案为:C10.(2019·宁波市第四中学高二期中)设椭圆22221x y a b+=0)a b >>(的左、右焦点分别为12(,0)(,0)F c F c -,,点(,)2aN c 在椭圆的外部,点M 是椭圆上的动点,满足11232MF MN F F +<恒成立,则椭圆离心率e 的取值范围是( ) A .2(0, B .21) C .25)6, D .5(,1)6【答案】D 【解析】∵点,2a N c ⎛⎫ ⎪⎝⎭在椭圆的外部,∴222214c a a b +>,2212b a < ,由椭圆的离心率22121122c b e a a ==--=> ,122MF MN a MF MN +=-+, 又因为2MF MN -+≤2NF ,且22aNF =,要11232MF MN F F +<恒成立,即22a MF MN -+≤32222a a c +<⨯,则椭圆离心率的取值范围是5,16⎛⎫⎪⎝⎭.故选D . 二、多选题11.(2019·江苏省苏州实验中学高二月考)已知椭圆22221(0)x y a b a b+=>>的左焦点F ,焦距为2,过点F的弦长最小值不小于2,则该椭圆的离心率可以是( ) A .45B .23C .12D .13【答案】CD 【解析】由22c =,则1c =.过点F 的弦长最小值为222b a≥,即22b a ≥即有222a c a -≥,即2210a a --≥,解得:a ≥或152a(舍),122c e a=≤=. 故选: CD.12.(2019·辽宁葫芦岛 高二月考)椭圆C :2211612x y +=的右焦点为F ,点P 是椭圆C 上的动点,则||PF 的值可能是( ) A .1 B .3C .4D .8【答案】BC 【解析】由题意可得4a =,16122c ,则26a cPF a c .故选:BC .13.(2020·岳麓 湖南师大附中高二期末)设椭圆22:143x y C +=的左、右焦点分别为12,F F ,点P 为椭圆C上一动点,则下列说法中正确的是( )A .当点P 不在x 轴上时,12PF F ∆的周长是6B .当点P 不在x 轴上时,12PF F ∆C .存在点P ,使12PF PF ⊥D .1PF 的取值范围是[1,3] 【答案】ABD 【解析】由椭圆方程可知,2,a b ==,从而1c ==. 据椭圆定义,1224PF PF a +==,又1222F F c ==, 所以12PF F ∆的周长是6,A 项正确. 设点()()000,0P x y y ≠,因为122F F =, 则12120012PF F S F F y y ∆⋅==.因为003y b <=,则12PF F ∆项正确. 由椭圆性质可知,当点P 为椭圆C 短轴的一个端点时,12F PF ∠为最大. 此时,122PF PF a ===,又122F F =,则12PF F ∆为正三角形,1260F PF ︒∠=,所以不存在点P ,使12PF PF ⊥,C 项错误.由图可知,当点P 为椭圆C 的右顶点时,1PF 取最大值,此时13PF a c =+=; 当点P 为椭圆C 的左顶点时,1PF 取最小值,此时11PF a c =-=, 所以1[1,3]PF ∈,D 项正确, 故选:ABD .14.(2020·山东中区 济南外国语学校高三月考)我们通常称离心率为12的椭圆为“黄金椭圆”.如图,已知椭圆2222:1(0)x y C a b a b+=>>,1212,,,A A B B 为顶点,12,F F 为焦点,P 为椭圆上一点,满足下列条件能使椭圆C 为“黄金椭圆”的有( )A .111222||,||,||A F F F F A 为等比数列B .11290F B A ∠=︒C .1PF x ⊥ 轴,且21//PO A BD .四边形1221A B A B 的内切圆过焦点12,F F 【答案】BD 【解析】2222:1(0)x y C a b a b+=>>()()()()1212,0,,0,0,,0,A a A a B b B b ∴--,()()12,0,,0F c F c -对于A :111222||,||,||A F F F F A 为等比数列则2112212||||||A F F A F F ⋅=()()222a c c ∴-=2a c c ∴-=13e ∴=不满足条件,故A 错误; 对于B :11290F B A ∠=︒222211112A F B F B A ∴=+ ()2222a c a a b ∴+=++220c ac a ∴+-=即210e e ∴+-=解得e =或e = 故B 正确;对于C :1PF x ⊥ 轴,且21//PO A B2,b P c a ⎛⎫∴- ⎪⎝⎭21POA B k k =即2b c ab a =--解得bc =222a b c =+2c e a ∴===不满足题意,故C 错误; 对于D :四边形1221A B A B 的内切圆过焦点12,F F 即四边形1221A B A B 的内切圆的半径为c ,ab ∴=422430c a c a ∴-+=42310e e ∴-+=解得232e +=(舍去)或232e =e ∴=故D 正确 故选:BD 三、单空题15.(2020·商丘市回民中学高二期末(理))若椭圆的方程为221102x y a a +=--,且此椭圆的焦距为4,则实数a =________. 【答案】4或8 【解析】因为221102x y a a +=--是椭圆的方程,所以100a ->且a 20->,所以210a <<,由椭圆的方程可得()2c 102122a a a =---=-,又2c 4=,所以1224a -=,解得4a =或8a =. 故答案为4或816.(2020·河北桃城 衡水中学高三其他(文))已知椭圆C 的中心在原点,焦点在x 轴上,若C 的短轴长为2个相邻的五等分点,则此椭圆的标准方程为________.【答案】2212524x y +=【解析】椭圆的短轴长为,即2b =,∴b = .∵两个焦点恰好为长轴的2个相邻的五等分点,∴1225c a =⨯,得5a c =, 又因为222a b c =+,故可解得1c =,5a =,故该椭圆的标准方程为2212524x y +=.故答案为:2212524x y +=.17.(2020·河南中原 郑州一中高三其他(文))已知A 、F 分别是椭圆C :22221x y a b+=()0a b >>的下顶点和左焦点,过A 且倾斜角为60︒的直线l 分别交x 轴和椭圆C 于M ,N 两点,且N 点的纵坐标为35b ,若FMN 的周长为6,则FAN 的面积为_____.【解析】 如图所示,由题意得,()0,A b -,(),0F c -,直线MN 的方程为3y x b =-,把35y b =代入椭圆方程解得45x a =,∴4355N a b ⎛⎫ ⎪⎝⎭,, ∵N 在直线MN 上,∴34355b a b =-,解得3b a =又222a b c =+,∴222)3b c =+,解得3b c =, 令3y x b =-=0,则3M ⎫⎪⎭,即(),0M c ,∴M 为椭圆的右焦点,∴2FM c =, 由椭圆的定义可知,2NF NM a +=, ∵FMN 的周长为6,∴226a c +=, ∵3b a =2a c =,∴1,2,3c a b === ∴()13883255FANSFM b b c b ⎡⎤=⋅⋅--=⋅=⎢⎥⎣⎦故答案为:35. 四、双空题18.(2019·浙江高二学业考试)椭圆2214x y +=的离心率是___________,焦距长是________.323【解析】椭圆2214x y +=得:2,1,a b c ===2214x y +=椭圆的焦距长为:19.(2020·上海高二课时练习)椭圆22192x y +=的焦点为F 1,F 2,点P 在椭圆上,若14PF =,2PF =_______;12F PF ∠的小大为__________.【答案】2 ;23π; 【解解:因为由椭圆的定义,我们可知1221222121212121222||||cos 21642812422PF PF a PF a PF PF PF F F PF F F PF PF PF +=∴=-+-∆∠=⨯+-==-⨯⨯中,20.(2019·浙江高二期中)若方程22121x y m m+=+-表示椭圆,则实数m 的取值范围是______;当1m =-时,椭圆的焦点坐标为______. 【答案】11(2,)(,1)22---; (0,1),(0,1)-. 【解析】①根据椭圆的方程特征,方程22121x y m m+=+-表示椭圆,则201021m m m m+>⎧⎪->⎨⎪+≠-⎩解得:11(2,)(,1)22m ∈---; ②1m =-时,椭圆的方程2212y x +=,焦点在y 轴,其坐标分别为(0,1),(0,1)-故答案为:①11(2,)(,1)22m ∈---;②(0,1),(0,1)- 21.(2020·福建高三其他(理))已知椭圆22:143x y C +=的焦点是12,F F ,,A B 是C 上(不在长轴上)的两点,且1//2F A F B .M 为1F B 与2F A 的交点,则M 的轨迹所在的曲线是______;离心率为_____. 【答案】椭圆 45【解析】设()11,A x y ,()22,C x y 则()22,B x y --,1AF 的斜率不为0,可设1:1AF l x my =- 则122:11BF y y l x x =+-①,211:11AF y y l x x =--② 所以()12121221212121211112224y y y y y y y y x x x x my my m y y m y y ⋅=⋅=⋅=+------++ 联立221143x my x y =-⎧⎪⎨+=⎪⎩得2242303m y my ⎛⎫+--= ⎪⎝⎭,得122243m y y m +=+,122343y y m -=+ 所以222316133y x m -=--+由①②得()12122112y y x x m y y y y ++-+=-,所以35x m y = 所以22231316353y x x y -=-⎛⎫-+⎪⎝⎭整理得222215344x x +=⎛⎫⎛⎫⎪ ⎪⎝⎭⎝⎭,所以M 的轨迹所在的曲线是椭圆,14554e == 故答案为:椭圆;45.五、解答题22.(2020·上海高二课时练习)已知椭圆的中心在原点,焦距为6,且经过点(0,4).求它的标准方程.【答案】2212516x y +=或221167y x +=【解析】(1)若椭圆的焦点在x 轴上,设椭圆的标准方程为22221(0)x ya b a b+=>>.将点(0,4)代入,得4b =.由26c =,解得3c =.22225∴=+=a b c ,从而椭圆方程为2212516x y +=; (2)若椭圆的焦点在y 轴上,设椭圆的标准方程为22221(0)y xa b a b+=>>.将点(0,4)代入,得4a =.由26c =,解得3c =,2227b a c =-=,从而椭圆方程为221167y x +=. 综上所述,椭圆的标准方程为2212516x y +=或221167y x +=.23.(2019·于都县第二中学高二月考(文))焦点在x 轴上的椭圆的方程为2214x ym+=,点2,1)P 在椭圆上.(1)求m的值.(2)依次求出这个椭圆的长轴长、短轴长、焦距、离心率.【答案】(1)2(2)长轴长4、短轴长22、焦距22、离心率2 2【解析】(1)由题意,点(2,1)P在椭圆上,代入,得222114m+=,解得2m=(2)由(1)知,椭圆方程为22142x y+=,则2,2,2a b c===椭圆的长轴长24a=;’短轴长222b=;焦距222c=;离心率22cea==.24.(2019·永济市涑北中学校高二月考(理))设点是椭圆上一动点,椭圆的长轴长为,离心率为.(1)求椭圆的方程;(2)求点到直线距离的最大值.【答案】(1);(2)【解析】(1)由已知得,得椭圆(2)设,则当时,.25.(2019·河南宛城 南阳中学高二月考(理))已知椭圆的两焦点为12(1,0),(1,0)F F -,P 为椭圆上一点,且12F F 是1PF 与2PF 的等差中项.(1)求此椭圆方程;(2)若点P 满足1260F PF ︒∠=,求12PF F ∆的面积.【答案】(1) 22143x y +=;(2) 3【解析】(1)设所求椭圆方程为22221(0,0)x y a b a b+=>>, 根据已知可得2221212242,2,413F F PF PF a a b a c =∴+==∴==-=-=, 所以此椭圆方程为22143x y +=; (2)在12PF F ∆中,设12,PF m PF n ==,由余弦定理得:22242cos604()22cos60163m n mn m n mn mn mn︒︒=+-⋅∴=+--⋅=- 121134sin 6004322PF F mn S mn ︒∆=∴=⋅=⨯=26.(2019·牡丹江市第三高级中学高二期末(文))已知点(2,1)P -在椭圆()222:102x y C a a +=>上,动点,A B 都在椭圆上,且直线AB 不经过原点O ,直线OP 经过弦AB 的中点.(1)求椭圆C 的方程;(2)求直线AB 的斜率.【答案】(1)22182x y +=;(2)12. 【解析】(1)将(2,1)P -代入22212x y a +=, 得()2222112a -+=,28a =. 故椭圆方程为22182x y +=. (2)当直线AB 斜率不存在时不合题意,故设直线:AB y kx m =+,1122(,),(,)A x y B x y ,AB 的中点为00(,)M x y ,由22182y kx m x y =+⎧⎪⎨+=⎪⎩得222()148480k x kmx m +++-=, 0122()14214km x x x k +=-=+,00214m y kx m k =+=+, 直线OP 经过弦AB 的中点,则OM OP k k =,0012y x =-, 142m km =--,12k ∴=,即直线AB 的斜率为12. 27.(2018·西藏拉萨中学高二期末(理))椭圆C 的中心在坐标原点,焦点在x 轴上,右焦点F 的坐标为(2,0),且点F 到短轴的一个端点的距离是6.(1)求椭圆C 的方程;(2)过点F 作斜率为k 的直线l ,与椭圆C 交于A 、B 两点,若43OA OB ⋅>-,求k 的取值范围. 【答案】解(I )(II ) 【解析】(I )由已知,;,故椭圆C 的方程为………………4分(II )设则A、B坐标是方程组的解.消去,则,………………7分所以k的取值范围是………………12分。
《椭圆》单元测试题一、选择题:本大题共12小题,每小题5分,共60分。
在每小题给出的四个选项中,只有一项是符合题目要求的。
1。
已知曲线C 的方程为+=1,则“a>b”是“曲线C 为焦点在x 轴上的椭圆”的( C )A .充分必要条件B .充分不必要条件C .必要不充分条件D .既不充分也不必要条件2. 椭圆=1的离心率为,则k 的值为( C )A .﹣21B .21C .﹣或21 D .或213。
椭圆131222=+y x 的一个焦点为1F ,点P 在椭圆上,如果线段1PF 的中点M 在y 轴上,那么点M 的纵坐标是 ( C ) A 。
43± B 。
22± C 。
23± D 。
43±4。
设椭圆短轴的一点与两个焦点组成一个正三角形,焦点到椭圆长轴端点的最短距离为,则焦点在y轴上的椭圆方程是(D )A .+=1 B .+或+=1 C .+=1 D .+=15。
如图,边长为a 的正方形组成的网格中,设椭圆C 1、C 2、C 3的离心率分别为e 1、e 2、e 3,则( D )A .e 1=e 2<e 3B .e 2=e 3<e 1C .e 1=e 2>e 3D .e 2=e 3>e 16. 已知椭圆x 2+y 2=a 2(a >0)与A (2,1),B(4,3)为端点的线段没有公共点,则a 的取值范围是( B ) A . B .或C .或D .7. 已知点F 1、F 2分别是椭圆的左、右焦点,过F 1且垂直于x 轴的直线与椭圆交于A 、B 两点,若△ABF 2是锐角三角形,则该椭圆的离心率e 的取值范围是( B ) A .(0,﹣1) B .(﹣1,1)C .(0,﹣1)D .(﹣l ,1)8. 已知点P 是椭圆+y 2=1上任一点,F 为椭圆的右焦点,Q (3,0),且|PQ|=|PF|,则满足条件的点 P的个数为( C )A .4B .3C .2D .09。
完整版)椭圆经典练习题两套(带答案)A组基础过关1.选择题1.已知椭圆的长轴长是短轴长的2倍,则椭圆的离心率等于多少?A。
2B。
2/3C。
1/2D。
1/3解析:由题意得2a=2b,所以a=b,又a²=b²+c²,所以b=c,所以a=2c,e=c/a=1/2,答案为C。
2.中心在原点,焦点在x轴上,若长轴长为18,且两个焦点恰好将长轴三等分,则此椭圆的方程是什么?A。
(x²/81)+(y²/72)=1B。
(x²/81)+(y²/9)=1C。
(x²/81)+(y²/45)=1D。
(x²/81)+(y²/36)=1解析:依题意知2a=18,所以a=9,2c=3×2a,所以c=3,所以b=a-c=81-9=72,所以椭圆方程为(x²/81)+(y²/72)=1,答案为A。
3.椭圆x²+4y²=1的离心率是多少?A。
2/3B。
2C。
1/2D。
3解析:先将x²+4y²=1化为标准方程,得(x/1)²+(y/(1/2))²=1,所以a=1,b=1/2,所以c=√(a²-b²)=√(3)/2,所以e=c/a=√(3)/2,答案为A。
2.解答题1.设F₁、F₂分别是椭圆4x²+y²=1的左、右焦点,P是第一象限内该椭圆上的一点,且PF₁⊥PF₂,则点P的横坐标为多少?解析:由题意知,点P即为圆x²+y²=3与椭圆4x²+y²=1在第一象限的交点,解方程组x²+y²=3和4x²+y²=1,得点P的横坐标为√(2/3),答案为√(2/3)。
2.已知椭圆G的中心在坐标原点,长轴在x轴上,离心率为2,且椭圆G上一点到其两个焦点的距离之和为12,则椭圆G的方程是什么?解析:依题意设椭圆G的方程为a²x²+b²y²=1(a>b>0),因为椭圆上一点到其两个焦点的距离之和为12,所以2a=12,所以a=6,又因为椭圆的离心率为2,所以c=a/2=3,所以b=√(a²-c²)=3√5,所以椭圆G的方程为36x²+45y²=1,答案为C。
椭圆练习题一、 选择题:(本大题共12小题,每小题5分,共60分,在每小题给出的四个选项中有只有一项是符合题目要求的.) 1.椭圆63222=+y x 的焦距是( )A .2B .)23(2-C .52D .)23(2+2.F 1、F 2是定点,|F 1F 2|=6,动点M 满足|MF 1|+|MF 2|=6,则点M 的轨迹是( ) A .椭圆 B .直线 C .线段 D .圆 3.若椭圆的两焦点为(-2,0)和(2,0),且椭圆过点)23,25(-,则椭圆方程是 ( )A .14822=+x yB .161022=+x yC .18422=+x yD .161022=+y x4.方程222=+ky x 表示焦点在y 轴上的椭圆,则k 的取值范围是( )A .),0(+∞B .(0,2)C .(1,+∞)D .(0,1)5. 过椭圆12422=+y x 的一个焦点1F 的直线与椭圆交于A 、B 两点,则A 、B 与椭圆的另一焦点2F 构成2ABF ∆,那么2ABF ∆的周长是( )A . 22B . 2C . 2D . 16.已知椭圆的对称轴是坐标轴,离心率为31,长轴长为12,则椭圆方程为( ) A .112814422=+y x 或114412822=+y x B . 14622=+y x C .1323622=+y x 或1363222=+y x D . 16422=+y x 或14622=+y x 7. 已知k <4,则曲线14922=+y x 和14922=-+-k y k x 有( ) A . 相同的短轴 B . 相同的焦点 C . 相同的离心率 D . 相同的长轴8.椭圆192522=+yx 的焦点1F 、2F ,P 为椭圆上的一点,已知21PF PF ⊥,则△21PF F 的面积为( ) A .9 B .12 C .10 D .89.椭圆131222=+y x 的焦点为1F 和2F ,点P 在椭圆上,若线段1PF 的中点在y 轴上,那么1PF 是2PF 的( )A .4倍B .5倍C .7倍D .3倍10.椭圆1449422=+y x 内有一点P (3,2)过点P 的弦恰好以P 为中点,那么这弦所在直线的方程为( ) A .01223=-+y x B .01232=-+y xC .014494=-+y xD . 014449=-+y x11.椭圆141622=+y x 上的点到直线022=-+y x 的最大距离是( )A .3B .11C .22D .1012.过点M (-2,0)的直线M 与椭圆1222=+y x 交于P 1,P 2,线段P 1P 2的中点为P ,设直线M 的斜率为k 1(01≠k ),直线OP 的斜率为k 2,则k 1k 2的值为( ) A .2 B .-2C .21 D .-21 二、 填空题:(本大题共4小题,每小题4分,共16分,把答案填在题中横线上.)13.椭圆2214x y m +=的离心率为12,则m = . 14.设P 是椭圆2214x y +=上的一点,12,F F 是椭圆的两个焦点,则12PF PF 的最大值为 ;最小值为 .15.直线y =x -21被椭圆x 2+4y 2=4截得的弦长为 .16.已知圆Q A y x C ),0,1(25)1(:22及点=++为圆上一点,AQ 的垂直平分线交CQ 于M ,则点M 的轨迹方程为 .三、解答题:(本大题共6小题,共74分,解答应写出文字说明.证明过程或演算步骤.) 17.已知三角形ABC 的两顶点为(2,0),(2,0)B C -,它的周长为10,求顶点A 轨迹方程.18.椭圆的一个顶点为A(2,0),其长轴长是短轴长的2倍,求椭圆的标准方程.19.点P到定点F(2,0)的距离和它到定直线x=8的距离的比为1:2,求点P的轨迹方程,并指出轨迹是什么图形.20.中心在原点,一焦点为F1(0,52)的椭圆被直线y=3x-2截得的弦的中点横坐标是21,求此椭圆的方程.21.已知椭圆的中心在坐标原点O,焦点在坐标轴上,直线y=x+1与椭圆交于P和Q,且OP⊥OQ,|PQ|=210,求椭圆方程22.椭圆12222=+byax(a>b>)0与直线1=+yx交于P、Q两点,且OQOP⊥,其中O为坐标原点.(1)求2211ba+的值;(2)若椭圆的离心率e满足33≤e≤22,求椭圆长轴的取值范围.椭圆练习题参考答案题号 1 2 3 4 5 6 7 8 9 10 11 12 答案ACDDABD13、3或316 14、 4 , 1 15、5382 16、121425422=+yx17、3)(x 15922±≠=+y x 18、解:(1)当A (2,0)为长轴端点时,a =2 , b =1,椭圆的标准方程为: ;(2)当为短轴端点时,,,椭圆的标准方程为: ;19.解:设P (x ,y ),根据题意,|PF|=(x-2)2-y 2,d=|x-8|,因为|PF|d =12 ,所以 (x-2)2-y 2 |x-8| = 12.化简,得3x 2+4y 2=48,整理,得x 216 +y 212=1,所以,点P 的轨迹是椭圆。
椭圆测试题一、选择题(本题共12 道小题,每小题 5 分,共 60 分)M :x 2y21.已知直线xy 3交椭圆163于 A ,B 两点,若 C , D 为椭圆 M 上的两点,四边形 ACBD 的对角线 CD ⊥ AB ,则四边形 ACBD 的面积的最大值为 ( ) A .4 3B .8 6C .2 6D .8 333332.已知 F 1、 F 2 是双曲线 M :y 22x2 1 的焦点, y2 5x 是双曲线 M 的一条渐近线,离4 m5心率等于 3的椭圆 E 与双曲线 M 的焦点相同, P 是椭圆 E 与双曲线 M 的一个公共点,设4|PF 1| ·|PF 2| = n ,则( )A . n = 12B . n = 24C . n = 36D . n 12且 n 24且 n 36223.已知椭圆 E : x2y 2 1 ( a b 0 )的右焦点 F ,短轴的一个端点为M ,直线abl : 3x 4 y 0 交椭圆 E 于 A , B 两点,若 AF BF 4 ,且点 M 到直线 l 的距离不小于4,则椭圆的离心率 e 的取值范围为()5A . (0, 3 ]B . (0, 3]C. [3,1)D . [ 3,1)242414.已知焦点在 x 轴上的椭圆的离心率为 2 ,且它的长轴长等于圆C :x 2 +y 2 -2x - 15= 0 的半径,则椭圆的标准方程是()A . x 2+ y2= 1B . x 2 + y 2 =1431612C . x 2+ y 2= 1D . x 2+ y2= 141645.设椭圆的标准方程为x 2 y 21, 若其焦点在 x 轴上 ,则 k 的取值范围是 () k3 5 kA.4< k<5B.3<k<5C. k>3D.3< k<46.设离心率为1 的椭圆 x 2y 2 1的右焦点与双曲线 x 2y 21的右焦点重合,则椭圆2a 2b 23方程为 ()(A ) x2y 21( B ) x2y 21( C ) x2y 21 (D ) x 2y 2 1438612 1616 127.已知椭圆 E 的中心在坐标原点,离心率为1, E 的右焦点与抛物线 C : y 28x 的焦点重2合, A ,B 是 C 的准线与 E 的两个焦点,则 |AB|=( )A . 3B .6C. 9 D . 12x 28.已知 P 是椭圆4 +y 2=1 上的动点,则 P 点到直线l : x+y-25=0 的距离的最小值为( )105102A.2B.2C. 5D.5x 2y 2 19.已知 A , B 是椭圆 E :a 2b 2( a >b > 0)的左、右顶点,M 是 E 上不同于 A ,B 的4任 意 一 点 , 若 直 线 AM , BM 的 斜 率 之 积 为9 , 则 E 的 离 心 率 为 ()2325A.3B.3C. 3D.3y1x 2( p 0)x 2y 2110.已知抛物线2 p焦点是 F,椭圆5的右焦点是F 22交,若线段 FF抛物线于点 M ,且抛物线在点 M 处的切线与直线 x3y平行,则 p=()A.3 B. 3C.23 D.431683311.已知 F 1, F 2 是椭圆 C 的两个焦点, P 是 C 上的一点,若 PF 1⊥ PF 2,且∠ PF 2F 1=60 °,则C 的离心率为( )A . 13B . 23C .3 1D . 3 12212. 已知椭圆x 2 y 2 1 左右焦点分别为 F 1, F 2 ,过 F 1 的直线 l 交椭圆于 A, B 两点,则 82| AF 2 || BF 2 | 的最大值为()A . 3 2B . 4 2C . 6 2D . 7 2二、填空题(本题共4 道小题,每小题5 分,共 20 分)13.已知椭圆x2y21(a b0) 的左、右焦点为12 ,离心率为3,过 F 2 的直线 lC : 22F , F3a b交椭圆 C 于 A , B 两点.若 AF 1 B 的周长为 4 3 ,则椭圆 C 的标准方程为.14. 已知椭圆x2y2 1的离心率为2,则实数 m= .4 m 215. 设椭圆 x2 y2 1 a b 0 的上顶点为 B,右顶点为 A,右焦点为 F , E 为椭圆下半部a2 b2分上一点,若椭圆在 E 处的切线平行于AB ,且椭圆的离心率为2,则直线 EF 的斜率2是.16. x2 y 21(a b 0) 的右焦点为F,短轴的一个端点为P,直线已知椭圆b2a2l : x 2 y 0 交椭圆于A,B两点,若 | AF | | BF | 2 ,点P到直线l的距离不小于55,则椭圆离心率的取值范围是.三、解答题(本题共 4 道小题 ,第 1 题 15 分,第 2 题 15 分 ,第 3 题 15 分 ,第 4 题 15 分 ,共60分)17.如图所示,直线y kx b( k 0, b 0) 与椭圆x2y 2 1 交于 A, B 两点,记OAB 的面4积为 S .(1 )当 k 0 时,求S的最大值;(2 )当 AB 2, S 1 时,求直线AB 的方程.x 2 y 21(a b 0) 过点 (0,4),离心率为3 .18.设椭圆 C: 2b 2a 5 (1)求椭圆 C 的方程;(2)求过点 (3,0)且斜率为4的直线被椭圆 C 所截线段的长及中点坐标.5x 2 y 21 19.设椭圆 C : 22 1(a b 0) 的焦点为 F 1 ( 3,0)、 F 2 ( 3,0) ,且该椭圆过点( 3, ) .ab2(1 )求椭圆 C 的标准方程;(2 )若椭圆 C 上的点 M ( x 0,y 0 ) 满足 MF 1MF 2 ,求 y 0 的值 .x 2 y 20 )的离心率是2,其左、右焦点分别为 F 1,20.已知椭圆 C : 2 b 2 1( a ba2F ,短轴顶点分别为 A , B ,如图所示,ABF 2 的面积为 1.2( 1)求椭圆 C 的标准方程;( 2)过点 P( 1,1)且斜率为 k 的直线 l 交椭圆 C 于 M , N 两点(异于 A , B 点),证明:直线 BM 和 BN 的斜率和为定值 .试卷答案1.B由题意可得,解得或不妨设,则,直线的方程为可设直线的方程为联立,消去,得到直线与椭圆有两个不同的交点则解得设,,当时,取得最大值四边形 ACBD 的面积的最大值为故选2.A因为是双曲线的渐进线,故,所以,双曲线方程为,其焦点坐标为.又椭圆的离心率为,故椭圆的半长轴长为.不妨设,则由双曲线和椭圆的定义有,故,,选 A .3.A不妨取 M 0, b4b 4, M 到l的距离d , b 1,设左焦点 F1,由椭圆的对称性5 5BF AF1,AF BFAF AF1 2a 4,a 2 ,4 c2 b2 1, c 3 ,e3故选 A 24.A故选: A .5.A由题意得k-3>5-k>0,所以4<k<5.6.D由题意得,双曲线的方程,可知,又椭圆的离心率为,即,所以,则,所以,故选 D.7.B结合抛物线的标准方程可得椭圆中:,且,故:,由通径公式可得:.本题选择 B 选项 .8.A设,由点到直线距离公式有,最小值为.9.D由题意方程可知,A( -a, 0), B (a, 0),设 M ( x0, y0),,则,整理得:①即②联立①②得故选 D10.D设点 M(x,y) ,抛物线,F,由点三点共线得到解得 p=.11.D在中,设,则,又由椭圆定义可知则离心率,故选 D.12.D分析:先求出 |AB| 的最小值,再求的最大值.详解:由题得所以当 AB ⊥ x 轴时, |AB| 最小, |A最大.当AB ⊥ x 轴时, |AB|=所以 |A最大值为13. x 2y 2 1 3 2因 为 离 心 率 为 , 过 的 直 线 交 于两 点 . 若 的 周 长 为 , 所 以,解得的方程为 ,故答案为 .14. 2 或 8①若焦点在 轴上,则,即,∴∴,即.②若焦点在 轴上,则,即,∴∴得到 ,即.故答案为 或 .15. 2 16. ,340 217.(1)由题意得,此时0 b 1,将 y b 代入椭圆方程得:x 2 b 21 , x2 1 b 2 ,所以, AB4 1 b 2 ,4S1AB b1 b 2b 2 (1 b 2)b22(1 b 2 ) b 2122当且仅当 b21,即 b2 (0,1) 时等号成立,所以 S 的最大值为 1................7 分22y kx b2 1 2 222(2)由2得 (k ) x 2kbx b 1 0 ( * ),其中 1,xy244kb14当0时,设 A(x 1,y 1 )、 B(x 2, y 2 ) , 方程( * )两个不等根为 x 1、 x 2 ,则有x 1 x 22kb, x 1 x 2 b 2 1 ,k 21k 2 144AB( x 1 x 2 )2( y 1 y 2 )2(x 1x 2 ) 2[1 (y 1y 2 )2 ][1 (y 1 y 2) 2 ] ( x 1 x 2 )2 4x 1 x 2x x x x1 22AB1 24k b 2 ,①.................11 分k1 2k4由 AB 2,S1 得, O 到直线 AB 距离为 1,则| b |1,即 b 2 k 21 , ...........13 分1 k2代入①化简得, k4k21 0 ,所以, k21 , b2 k213,经检验,满足 0 ,422又因为 k0, b 0 ,所以 k2, b6,直线 AB 的方程为 y2 x 6 . .......15 分2222(不考虑0 或者未检验扣 1 分)18.(1)由题意得: bc 32b 2c 2,解得 a5 ,4,,又因为 aa 522椭圆 C 的方程为xy 1 . .................6 分25 16(2)过点 (3,0) 且斜率为4的直线方程为 y4 ( x 3) ,55设直线被椭圆 C 所截线段的端点为 A(x 1,y 1 )、 B(x 2, y 2 ) ,中点为 M ( x 1+ x 2 ,y 1y 2 ) ,22222y4 ( x 3) 与xy3x80 , 41 0 恒成立,1联立消元得: x525 16方程两个不等根为 x 1、 x 2 ,x 1x 2 3,y 1 2 y 2 4 (33)6, x 1x 282 25 25所以,直线被椭圆 C 所截线段中点坐标为 ( 3, 6 ) ;..................10 分2 5AB( x 1 x 2 )2( y 1 y 2 )2(x 1 x 2 ) 2[1 (y 1y2 )2][1 (y 1 y 2) 2 ] ( x 1 x 2 )2 4x 1 x 2x 1 x 2x 1 x 2AB116 32 4( 8)41 ,直线被椭圆 C 所截线段长为 41 ....................15 分25 5 5(解出 x 1、x 2 再求线段长也可,中点坐标也可以用点差法求解,但如果不解点而又不考虑0 扣 1 分,弦长公式不证明扣 1 分)21 ) 23(19.(1)由题意得,21 ,且 a2 23 ,解得a 2b 2ba 2 4,b 2 1 ,所以椭圆 C 的标准方程为 x 2y 21 ................6 分4(若用定义先解出2a 也可,或用通径长解出基本量也可)(2)点 M ( x 0, y 0 ) 满足 MF 1 uuuur uuuurMF 2 ,则有 MF 1 MF 2 0 且 y 00 ,则2 2而点 M (x ,y ) 在椭圆 C 上,则x0221②00 4 y0联立①②消去x02,得 y02 1 0 ,所以 y0 3 . ...............14 分3 3(不考虑 y0 0 ,或者用斜率转化垂直关系时不考虑分母不为0 扣 1 分)20.(1)c2 , a2 2c2, b2 c2,又 bc 1, b c 1, a2 a2所以椭圆的标准方程为xy2 1 2(2)证明:设直线l 的方程为y k( x 1) 1 , M (x1, y1 ), N (x2 , y2 )y k ( x 联立x2y 22 1) 1得(2 k21)x24k(k1)x 2k24k 0 1x1 x2 4k (k 1) , x1x2 2k2 4k ,2k 2 1 2k 2 1K BMy1 1 y2 1 k(x1 1) 2 k( x2 1) 2 K BNx2 x1 x2x12kk 2 k 2 (k 2)( x1 x2 ) x1 x2 2k x1x2= 2k (k 2) 4k(k 1) 2k 2( k 1) 22k 2 4k直线 BM 与BN的斜率之和为定值。
(完整版)椭圆题型练习题题目一:已知椭圆的长半轴长度为6,短半轴长度为4。
假设椭圆的焦点在x轴上,且离原点的距离为5。
求椭圆的方程。
解答一:设椭圆的焦点坐标为(F, 0),则焦距为2F。
由题意可知,F与原点之间的距离为5,即:F^2 + 0 = 5^2F^2 = 25F = ±5椭圆的焦点坐标可以是(5, 0)或(-5, 0)。
由椭圆的定义可知,焦点和点到焦点的距离之和等于常数c,即2F+c=10,其中c为椭圆的长半轴长度。
代入已知数据可得:2F + c = 102(5) + c = 10c = 10 - 2(5)c = 10 - 10c = 0因此,椭圆的方程为 x^2/36 + y^2/16 = 1。
题目二:已知椭圆的焦点在y轴上,离原点的距离为8,长半轴长度为10。
求椭圆的方程。
解答二:设椭圆的焦点坐标为(0, F),则焦距为2F。
由题意可知,F与原点之间的距离为8,即:0 + F^2 = 8^2F^2 = 64F = ±8椭圆的焦点坐标可以是(0, 8)或(0, -8)。
由椭圆的定义可知,焦点和点到焦点的距离之和等于常数c,即2F+c=18,其中c为椭圆的长半轴长度。
代入已知数据可得:2F + c = 182(8) + c = 18c = 18 - 2(8)c = 18 - 16c = 2因此,椭圆的方程为 y^2/100 + x^2/4 = 1。
Note: The above document provides two sets of exercises related to ellipses and their equations. Each exercise presents a problem and its solution in Chinese.。
1.过椭圆22221x y a b+=)0(>>b a 的左焦点F 1作x 轴的垂线交椭圆于点P ,F 2为右焦点,若∠F 1PF 2=60°,则椭圆的离心率为( ). A.25 B.33 C.21 D.31 【答案】B2.已知F 1,F 2是定点,|F 1F 2|=8,动点M 满足|MF 1|+|MF 2|=8,则动点M 的轨迹是( ).A .椭圆B .直线C .圆D .线段【答案】D3.(5分)椭圆5x 2+ky 2=5的一个焦点是(0,﹣2),则k 的值为( )A.1B.﹣1C.D.﹣【答案】A4.已知椭圆的一个焦点为(0,2),离心率为2,则其标准方程为_____________. 【答案】22184y x +=.5.椭圆221132x y m m +=--的焦距为6,则m = . 【答案】3或126.方程22113x y m m+=--表示焦点在y 轴上的椭圆,则m 的取值范围是 . 【答案】(1,2)7.若F 1、F 2是2214x y +=的两个焦点,过F 1作直线与椭圆交于A 、B 两点,则△ABF 2的周长为 .【答案】88.直线134=+y x 椭圆191622=+y x 相交于A ,B 两点,该椭圆上点P ,使得PAB ∆面积等于3,这样的点P 共有 个.【答案】29.(12分)已知椭圆C:12222=+by a x )0(>>b a 过点)22,1(A ,且离心率为22. (1)求椭圆的标准方程;(2)过右焦点的直线l 与椭圆C 相交于Q P ,两点,且Q F P F 11⊥,求直线l 的方程.【答案】(1)1222=+y x (2)直线l 的方程为017=-+y x 或017=--y x 10.(13分)已知椭圆C :14522=+y x 的两焦点为21,F F ,长轴两顶点为21,A A . (1)P 是椭圆上一点,且02130=∠PF F ,求21PF F ∆的面积;(2)过椭圆的左焦点作一条倾斜角为45°的直线l 与椭圆交于B A ,两点,求弦长||AB .【答案】(1))32(4-(2)9516 11.直线l 过点M (1,1),与椭圆+=1交于P ,Q 两点,已知线段PQ 的中点横坐标为,求直线l 的方程.【答案】即y=(1+)(x ﹣1)+1或y=(1﹣)(x ﹣1)+1.。
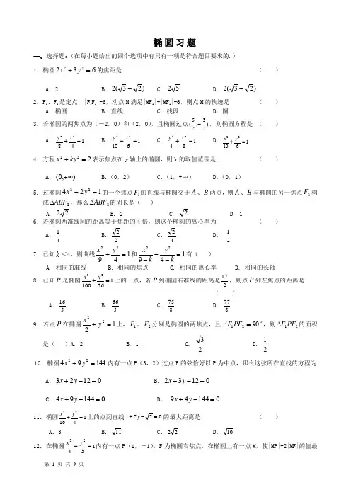
椭圆单元练习卷
一、选择题:
1.已知椭圆
116
252
2=+y x 上的一点P ,到椭圆一个焦点的距离为3,则P 到另一焦点距离为( )
A .2
B .3
C .5
D .7
2.中心在原点,焦点在横轴上,长轴长为4,短轴长为2,则椭圆方程是( )
A. 22143x y +=
B. 22134x y +=
C. 2214x y +=
D. 22
14
y x += 3.与椭圆9x 2
+4y 2
=36有相同焦点,且短轴长为45的椭圆方程是( )
A 185
8014520125201
20252222222
2=+=+=+=+y x D y x C y x B y x 4.椭圆2255x ky -=的一个焦点是(0,2),那么k 等于( )
A. 1-
B. 1
C.
5 D.
5.若椭圆短轴上的两顶点与一焦点的连线互相垂直,则离心率等于( )
A.
1
2
B.
2
C. D. 2 6.椭圆两焦点为 1(4,0)F -,2(4,0)F ,P 在椭圆上,若 △12PF F 的面积的最大值为
12,则椭圆方程为( )
A.
221169x y += B . 221259x y += C . 2212516x y += D . 22
1254
x y += 7.椭圆的两个焦点是F 1(-1, 0), F 2(1, 0),P 为椭圆上一点,且|F 1F 2|是|PF 1|与|PF 2|的等差中项,则该椭圆方程是( )。
A 16x 2+9y 2=1
B 16x 2+12y 2=1
C 4x 2+3y 2=1
D 3x 2
+4
y 2=1
8.椭圆的两个焦点和中心,将两准线间的距离四等分,则它的焦点与短轴端点连线的夹角为( 不做 )
(A)450 (B)600 (C)900 (D)120
9.椭圆
22
1259
x y +=上的点M 到焦点F 1的距离是2,N 是MF 1的中点,则|ON |为…… ( )
A. 4 B . 2 C. 8 D .
2
3 10.已知△ABC 的顶点B 、C 在椭圆x 2
3
+y 2=1上,顶点A 是椭圆的一个焦点,且椭圆的
另外一个焦点在BC 边上,则△ABC 的周长是 ( )
(A )2 3 (B )6 (C )4 3 (D )12 二、填空题:
11.方程22
1||12
x y m +=-表示焦点在y 轴的椭圆时,实数m 的取值范围是____________
12.过点(2,3)-且与椭圆229436x y +=有共同的焦点的椭圆的标准方程为_____________
13.设(5,0)M -,(5,0)N ,△MNP 的周长是36,则MNP ∆的顶点P 的轨迹方程为_______
14.如图:从椭圆上一点M 向x 轴作垂线,恰好通过椭圆的左焦点1F ,且它的长轴端点A 及短轴的端点B 的连线AB ∥OM , 则该椭圆的离心率等于_____________
三、解答题:) 15.已知椭圆的对称轴为坐标轴,离心率3
2
=e ,短轴长为58,求椭圆的方程。
16.已知点()3,0A 和圆1O :(
)
163
2
2
=+
+y x ,点M 在圆1O 上运动,点P 在半
径M O 1上,且PA PM =,求动点P 的轨迹方程。
17.已知A 、B 为椭圆22a x +2
2
925a
y =1上两点,F 2为椭圆的右焦点,若|AF 2|+|BF 2|=58a ,AB 中点到椭圆左准线的距离为2
3
,求该椭圆方程.(不做)
18.(10分)根据条件,分别求出椭圆的方程: (1)中心在原点,对称轴为坐标轴,离心率为
1
2
,长轴长为8; (2)中心在原点,对称轴为坐标轴,焦点在x 轴上,短轴的一个顶点B 与两个焦点12
,F F
组成的三角形的周长为4+12
F BF ∠=
19.(12分)已知12,F F 为椭圆
22
21(010)100x y b b
+=<<的左、右焦点,P 是椭圆上一点。
(1)求12||||PF PF ⋅的最大值;
(2)若1260F PF ∠=且12F PF ∆,求b 的值;
参考答案:
一、DCBAB B0CCAC
二、11.(1,3)(3,1)m ∈-- 12. 2211510y x += 13. 221(0)169144x y y +=≠ 14. 2
三、
15.
18014422=+y x 或 1144802
2=+y x 16. 利用定义法 ∴ 14
2
2
=+y x 17.(12分) [解析]:设)y ,A(x 11,)y ,B(x 22,,5
4
=
e 由焦半径公式有 21ex a ex a -+- =a 5
8,∴21x x + =a 2
1,
即AB 中点横坐标为a 41,又左准线方程为a x 45-=,∴2
3
4541=+a a ,即a =1,∴椭
圆方程为x 2+9
25y 2
=1.
18. (1)
2211612x y +=或22
11612
y x +=
(2)设长轴为2a ,焦距为2c ,则在2F OB ∆中,由23F OB π
∠=
得:c =
,所以
21F BF ∆的周长为2224a c a +==+,22,1a c b ∴=∴=故得:
22
141
x y +=。
19. (1)2
1212||||||||1002PF PF PF PF +⎛⎫
≤= ⎪⎝⎭
(当且仅当12||||PF PF =时取等号)
, ()12max |||100PF PF ∴⋅=
(2
)
12121||||sin 6023
F PF S PF PF ∆=
⋅=
,12256||||3PF PF ∴⋅= ① 又2221212222
1212||||2||||4||||42||||cos 60PF PF PF PF a PF PF c PF PF ⎧++⋅=⎨+-=⋅⎩2123||||4004PF PF c ⇒⋅=- ② 由①②得68c b =∴=。