高一数学必修一 期末测试卷 含详细答案解析
- 格式:doc
- 大小:966.79 KB
- 文档页数:8
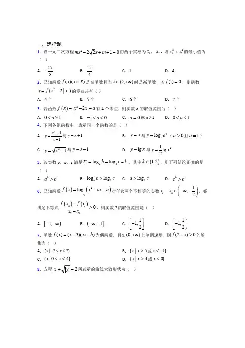
一、选择题1.设一元二次方程210mx m -++=的两个实根为1x ,2x ,则2212x x +的最小值为( ) A .178-B .154C .1D .42.已知函数()()f x x R ∈是奇函数且当(0,)x ∈+∞时是减函数,若(1)0f =,则函数2(2||)y f x x =-的零点共有( )A .4个B .5个C .6个D .7个3.若函数()22f x x x a =--有4个零点,则实数a 的取值范围为( ) A .01a <≤B .10a -<<C .0a =或1a >D .01a <<4.下列各组函数中,表示同一个函数的是( )A .211x y x -=-与1y x =+B .y x =与log xa y a =(0a >且1a ≠)C .y =1y x =-D .lg y x =与21lg 2y x =5.若实数a ,b ,c 满足232log log ab c k ===,其中()1,2k ∈,则下列结论正确的是( ) A .b c a b >B .log log a b b c >C .log b a c >D .b a c b >6.已知函数()()213log f x x ax a =--对任意两个不相等的实数1x 、21,2x ⎛⎫∈-∞- ⎪⎝⎭,都满足不等式()()21210f x f x x x ->-,则实数a 的取值范围是( ) A .[)1,-+∞B .(],1-∞-C .11,2⎡⎤-⎢⎥⎣⎦D .11,2⎡⎫-⎪⎢⎣⎭7.函数()(3)()f x x ax b =--为偶函数,且在(0,)+∞上单调递增,则(2)0f x ->的解集为( ) A .{|22}x x -<< B .{|5x x >或1}x <- C .{|04}x x << D .{|4x x >或0}x <8.方程2x =所表示的曲线大致形状为( )A .B .C .D .9.已知函数()f x 的定义域为R ,对任意的 12,x x <都有1212()(),f x f x x x -<-且(3)4,f =则(21)2f x x ->的解集为( )A .(2,)+∞B .(1,)+∞C .(0,)+∞D .(1,)-+∞10.已知x ,y 都是非零实数,||||||x y xy z x y xy =++可能的取值组成的集合为A ,则下列判断正确的是( ) A .3A ∈,1A -∉B .3A ∈,1A -∈C .3A ∉,1A -∈D .3A ∉,1A -∉11.已知集合{}|02A x x =<<,集合{}|11B x x =-<<,集合{}|10C x mx =+>,若()AB C ⊆,则实数m 的取值范围为( )A .{}|21m m -≤≤B .1|12m m ⎧⎫-≤≤⎨⎬⎩⎭C .1|12m m ⎧⎫-≤≤⎨⎬⎩⎭D .11|24m m ⎧⎫-≤≤⎨⎬⎩⎭12.已知()()()()22221234()4444f x x x c xx c x x c x x c =-+-+-+-+,集合{}{}127()0,,,M x f x x x x Z ===⋯⊆,且1234c c c c ≤≤≤,则41c c -不可能的值是( ) A .4B .9C .16D .64二、填空题13.已知函数()2log,02 sin,2104x xf xx xπ⎧<<⎪=⎨⎛⎫≤≤⎪⎪⎝⎭⎩,若1234x x x x<<<且()()()()1234f x f x f x f x===,则()()341222x xx x--的取值范围为____________. 14.已知函数2()221f x ax ax ax=--+有两个零点,则实数a的取值范围是________. 15.若3763,a b==则21a b+的值为_______16.如图,在面积为2的平行四边形OABC中,AC CO⊥,AC与BO交于点E.若指数函数()01xy a a a=>≠,经过点E,B,则函数()af x xx=-在区间[]1,2上的最小值为________.17.已知()13=f x x,则不等式(21)f x-()230f x++>的解集为_________.18.函数1,1()32,12xa xf x ax x⎧+>⎪=⎨⎛⎫-+≤⎪⎪⎝⎭⎩是R上的单调递增函数,则实数a取值范围为________.19.已知集合:A={x|x2=1},B={x|ax=1},且A∩B=B,则实数a的取值集合为______.20.若关于x的不等式2054x ax≤++≤的解集为A,且A只有二个子集,则实数a的值为_____.三、解答题21.已知函数()f x为偶函数,当0x≥时,()11xxef xe-=+.(1)求当0x<时,函数()f x的解析式;(2)判断函数()f x在(),0-∞上的单调性并证明;(3)设函数()()()2g x f ax f x a=--+,使函数()g x有唯一零点的所有a构成的集合记为M,求集合M.22.某校学生研究学习小组发现,学生上课的注意力指标随着听课时间的变化而变化,老师讲课开始时,学生的兴趣激增;接下来学生的兴趣将保持较理想的状态一段时间,随后学生的注意力开始分散.设()f t表示学生注意力指标.该小组发现()f t随时间t(分钟)的变化规律(()f t 越大,表明学生的注意力越集中)如下:10060(010)10()340(1020)15640(2040)t a t f t t t t ⎧-≤≤⎪⎪=⎨<≤⎪⎪-+<≤⎩(0a >且1a ≠).若上课后第5分钟时的注意力指标为140,回答下列问题: (1)求a 的值;(2)上课后第5分钟和下课前第5分钟比较,哪个时间注意力更集中?并请说明理由; (3)在一节课中,学生的注意力指标至少达到140的时间能保持多长? 23.已知函数()f x 是定义在()(),00,-∞⋃+∞上的偶函数,当0x >时,()232f x ax ax =-+,(a R ∈).(1)求()f x 的函数解析式:(2)当1a =时,求满足不等式()21log f x >的实数x 的取值范围. 24.已知函数()()()ln 1ln 1f x x x =+--. (1)判断并证明函数()f x 的奇偶性; (2)用定义法证明()f x 在定义域上是增函数; (3)求不等式()()2520f x f x -+-<的解集. 25.已知函数()222f x x ax =++,[]5,5x ∈-.(1)当1a =-时,求函数()f x 的最大值和最小值;(2)求实数a 的取值范围,使()y f x =在区间[]5,5-上是单调函数. (3)求函数()f x 的最小值()g a 的表达式,并求()g a 的最大值. 26.已知命题p :x ∈A ={x|a -1<x <a +1,x ∈R},命题 q :x ∈B ={x|x 2-4x +3≥0}. (1)或A∩B =∅,A ∪B =R ,求实数a (2)若是p 的必要条件,求实数a.【参考答案】***试卷处理标记,请不要删除一、选择题 1.C 解析:C 【分析】由一元二次方程有两个实根,可知0m ≠且0∆≥,可求出m 的取值范围,然后结合韦达定理可得到2212x x +的表达式,结合m 的取值范围可求出答案.【详解】∵一元二次方程210mx m -++=有两个实根,∴(()20410m m m ≠⎧⎪⎨∆=--+≥⎪⎩,解得21m -≤≤且0m ≠.又12x x m+=,121m x x m +⋅=,则()2221212122x x x x x x +=+-⋅212m m m ⎛⎫+-⨯ ⎪⎪= ⎝⎭2822m m =-- 令1t m=,因为21m -≤≤且0m ≠,所以12t ≤-或1t ≥,则221222117822888t t t x x ⎛⎫=--=-- ⎪⎝⎭+,当12t =-时,2212x x +取得最小值2111781288⎛⎫---= ⎪⎝⎭.故选:C. 【点睛】本题考查了一元二次方程根的判别式的应用,考查韦达定理的应用,考查学生的计算能力与推理能力,属于中档题.2.D解析:D 【解析】根据题意,函数y=f (x )是定义域为R 的奇函数,则f (0)=0,当x ∈(0,+∞)时是减函数,且f (1)=0,则函数在(0,+∞)上只有一个零点, 若函数y=f (x )是奇函数且当x ∈(0,+∞)时是减函数,则f (x )在(-∞,0)为减函数,又由f (1)=0,则f (-1)=-f (1)=0,则函数在(-∞,0)上只有一个零点, 故函数y=f (x )共有3个零点,依次为-1、0、1, 对于函数()22y f x x =-, 当221x x -=-时,解得1x =±, 当220x x -=时,解得2x =±或0x =,当221x x -=时,解得1x =+1x =--故函数()22y f x x =-的零点共有7个. 故选D点睛:本题考查函数的零点的判断,涉及函数的奇偶性与单调性的综合运用,关键是分析得到函数y=f (x )的零点,注意计算的准确性.3.D解析:D 【分析】 令0f x,可得22x x a -=,作出()22g x x x =-的图象,令直线y a =与()g x 的图象有4个交点,可求出实数a 的取值范围. 【详解】 令0f x,则22x x a -=,构造函数()22g x x x =-,作出()g x 的图象,如下图,()g x 在()0,2上的最大值为()1121g =-=,当01a <<时,直线y a =与()g x 的图象有4个交点, 所以函数()f x 有4个零点,实数a 的取值范围为01a <<. 故选:D. 【点睛】本题考查函数的零点,注意利用数形结合方法,考查学生的计算求解能力,属于中档题.4.B解析:B 【分析】分析各个选项中每组函数的定义域和对应关系,若定义域和对应关系均相同则为同一个函数,由此判断出正确选项. 【详解】A .211x y x -=-的定义域为{}1x x ≠,1y x =+的定义域为R ,所以不是同一个函数;B .y x =与log xa y a =的定义域均为R ,且log xa y a =即为y x =,所以是同一个函数; C .21y x =-(][),11,-∞-+∞,1y x =-的定义域为R ,所以不是同一个函数;D .lg y x =的定义域为()0,∞+,21lg 2y x =的定义域为{}0x x ≠,所以不是同一个函数, 故选:B. 【点睛】思路点睛:同一函数的判断步骤:(1)先判断函数定义域,若定义域不相同,则不是同一函数;若定义域相同,再判断对应关系;(2)若对应关系不相同,则不是同一函数;若对应关系相同,则是同一函数.5.D解析:D 【分析】首先确定a ,b ,c 的取值范围,再根据指对互化得到2k b =,3k c =,再代入选项,比较大小. 【详解】由题意可知a ∈(0,1),b ∈(2,4),c ∈(3,9),且23k k b c ==,,对于A 选项,01b a <<,1c b >可得到b c a b <,故选项A 错误;对于B 选项,log log 2log 20k a a a b k ==<,log log 3log 30k b b b c k ==>,所以log log a b b c <,故B 选项错误;对于C 选项,22log log 3log 31k kb c a ==>>,故C 选项错误;对于D 选项,1a b b b <=,1b c c c >=,而c >b ,所以b a c b >,故D 选项正确. 故选:D . 【点睛】关键点点睛:本题考查指对数比较大小,本题的关键是首先确定,,a b c 的大小,并结合指对数运算化简选项中的对数式,再和中间值0或1比较大小,本题属于中档题型.6.C解析:C 【分析】由题意可知,函数()()213log f x x ax a =--在区间1,2⎛⎫-∞- ⎪⎝⎭上单调递增,利用复合函数的单调性可知,内层函数2u x ax a =--在区间1,2⎛⎫-∞- ⎪⎝⎭上单调递减,且0>u 对任意的1,2x ⎛⎫∈-∞- ⎪⎝⎭恒成立,进而可得出关于实数a 的不等式组,由此可解得实数a 的取值范围. 【详解】因为()()21210f x f x x x ->-,所以()()213f x log x ax a =--在1,2⎛⎫-∞- ⎪⎝⎭上是增函数,令2u x ax a =--,而13log y u =是减函数,所以2u x ax a =--在1,2⎛⎫-∞-⎪⎝⎭上单调递减,且20u x ax a =-->在1,2⎛⎫-∞- ⎪⎝⎭上恒成立,所以212211022a a a ⎧≥-⎪⎪⎨⎛⎫⎛⎫⎪----≥ ⎪ ⎪⎪⎝⎭⎝⎭⎩,解得112a -≤≤. 故选:C. 【点睛】本题考查利用对数型复合函数在区间上的单调性求参数,解题时还应注意真数要恒为正数,考查分析问题和解决问题的能力,属于中等题.7.B解析:B 【分析】根据函数是偶函数,求出a ,b 关系,结合单调性确定a 的符号即可得到结论. 【详解】2()(3)()(3)3f x x ax b ax a b x b =--=-++为偶函数, 所以22()(3)3(3)3f x ax a b x b ax a b x b -=+++-=++ 30a b ∴+=,即3b a =-,则2()(3)(3)(3)(3)9f x x ax a a x x ax a =-+=-+=-, 在(0,)+∞上单调递增,0a ∴>,则由(2)(1)(5)0f x a x x -=--->,得(1)(5)0x x +->, 解得1x <-或5x >,故不等式的解集为{|1x x <-或5}x >. 故选:B 【点睛】思路点睛:解答本题只要按部就班化简转化函数为偶函数和单调性即可得解.由函数的奇偶性得到3b a =-,由函数的单调性得到0a >.8.D解析:D 【分析】先利用方程得到图像的对称性,再作0y ≥,0x ≥时的图像,利用对称性即得结果. 【详解】由方程2x =可知图像关于原点中心对称,也关于坐标轴对称.20,44x y y =-≥-≤≤,20,22y x x =-≥-≤≤.当0y ≥,0x ≥时,方程2x y +=转化成()22y x =-,作图如下:再利用对称性即得图像为 D. 故选:D. 【点睛】本题解题关键是利用绝对值的性质得到图像的对称性,就只需要画0y ≥,0x ≥部分图像,即突破问题.9.A解析:A 【分析】由题可得[][]1122()()0f x x f x x ---<,可构造函数()()F x f x x =-是R 上的增函数,原不等式可转化为()()213F x F ->,再结合增函数的性质可求出答案. 【详解】 由题意,[][]121211221122()()()()()()0f x f x x x f x x f x x f x x f x x -<-⇔-<-⇔---<, 因为12,R x x ∈且12,x x <所以函数()()F x f x x =-是R 上的增函数.()3(3)31F f =-=,因为(21)2(21)(21)1f x x f x x ->⇔--->,所以()()213F x F ->, 则213x ->,解得2x >. 故选:A. 【点睛】本题考查了函数的单调性的应用,构造函数()()F x f x x =-是解决本题的关键,属于中档题.10.B解析:B 【分析】分别讨论,x y 的符号,然后对||||||x y xy z x y xy =++进行化简,进而求出集合A ,最后根据集合元素的确定性即可得出答案.【详解】当0x >,0y >时,1113z =++=; 当0x >,0y <时,1111z =--=-; 当0x <,0y >时,1111z =-+-=-; 当0x <,0y <时,1111z =--+=-. 所以3A ∈,1A -∈. 故选:B. 【点睛】本题考查了对含有绝对值符号的式子的化简,考查了集合元素的特点,考查了分类讨论思想,属于一般难度的题.11.B解析:B 【分析】求出A ∪B ={x |﹣1<x <2},利用集合C ={x |mx +1>0},(A ∪B )⊆C ,分类讨论,可得结论. 【详解】由题意,A ∪B ={x |﹣1<x <2}, ∵集合C ={x |mx +1>0},(A ∪B )⊆C ,①m <0,x 1m -<,∴1m -≥2,∴m 12≥-,∴12-≤m <0; ②m =0时,C =R,成立;③m >0,x 1m ->,∴1m-≤-1,∴m ≤1,∴0<m ≤1, 综上所述,12-≤m ≤1, 故选:B . 【点睛】此题考查了并集及其运算,以及集合间的包含关系,考查分类讨论的数学思想,属于中档题.12.A解析:A 【分析】先设,i i x y 是方程204i x x c -+=()1,2,3,4i =的根,4,i i i i i x y x y c +=⋅=,再依题意分析根均为整数,列举根的所有情况,确定44c =和1c 的可能情况,得到41c c -的最小取值和其他可能的情况,即得结果. 【详解】设,i i x y 是方程204i x x c -+=()1,2,3,4i =的根,则由根和系数的关系知4,i i i i i x y x y c +=⋅=,又{}{}127()0,,,M x f x xx x Z ===⋯⊆,说明方程204i x x c -+=()1,2,3,4i =有一个方程是两个相等的根,其他三个方程是两个不同的根,由于根均为整数且和为4,则方程的根有以下这些情况:…,()()()()()()()()()6,105,9,4,8,3,7,2,6,1,5,0,4,1,3,2,2------,乘积分别为…,-60,-45,-32,-21,-12,-5,0,3,4.因为1234c c c c ≤≤≤,故44c =,123,,c c c 来自于4前面的任意可能三个不同的数字,1c 最小,故当15c =时41c c -最小,等于9,故不可能取4,能取9;当112c =-或160c =-时41c c -可以取16,64. 故选:A. 【点睛】本题解题关键是能依据题意分析方程204i x x c -+=()1,2,3,4i =的根的可能情况,既是整数又满足和为4,判断44c =,再根据1c 的可能情况,确定41c c -的可能结果,以突破难点.二、填空题13.【分析】根据解析式画出函数图象去绝对值并结合对数的运算性质求得根据正弦函数的对称性求得将化为结合二次函数的性质即可得出结果【详解】函数画出函数图象如下图所示:由函数图象可知若则因为与关于对称则且去绝 解析:()0,12【分析】根据解析式,画出函数图象.去绝对值并结合对数的运算性质求得12x x ⋅,根据正弦函数的对称性求得34x x +,将()()341222x x x x --化为2441220x x -+-,结合二次函数的性质,即可得出结果. 【详解】函数()2log ,02sin ,2104x x f x x x π⎧<<⎪=⎨⎛⎫≤≤ ⎪⎪⎝⎭⎩,画出函数图象如下图所示:由函数图象可知,若()()()()1234f x f x f x f x k ====,则()0,1k ∈, 因为1234x x x x <<<,3x 与4x 关于6x =对称, 则2122log log x x =,3412x x +=,且4810x <<, 去绝对值化简可得2122log log x x -=,即2122log log 0x x +=,由对数运算可得()212log 0x x ⋅= 所以121x x ⋅=,则()()()3434343412222420x x x xx x x x x x --=-=++-()23444442012201220x x x x x x =-=--=-+-,令21220y x x =-+-,()8,10x ∈,因为21220y x x =-+-是开口向下,对称轴为6x =的二次函数, 所以21220y x x =-+-在()8,10x ∈上单调递减,所以10012020649620y -+-<<-+-, 即012y <<; 即()()()34244122212200,12x x x xx x --=-+-∈故答案为: ()0,12.【点睛】本题考查了分段函数的性质及应用,涉及求二次函数的最值,根据数形结合的方法求解即可,属于中档题.14.【分析】由函数有两个零点等价于且再求解即可【详解】解:令两边平方整理可得又由已知有且则解得或又方程有两不等实根则解得即综上可得实数a 的取值范围是故答案为:【点睛】本题考查了二次方程的解的个数问题重点解析:11,43⎛⎫⎪⎝⎭【分析】由函数()21f x ax =+有两个零点等价于240a a ->且2244(4)0a a a ∆=-->,再求解即可.【详解】21ax =-,两边平方整理可得22(4)210a a x ax --+=, 又由已知有210ax -≥且2(4)0a a -≠, 则240a a ->,解得14a >或0a <,又方程22(4)210a a x ax --+=有两不等实根, 则2244(4)0a a a ∆=-->,解得103a <<, 即1143a <<, 综上可得实数a 的取值范围是11,43⎛⎫⎪⎝⎭, 故答案为:11,43⎛⎫ ⎪⎝⎭. 【点睛】本题考查了二次方程的解的个数问题,重点考查了运算能力,属中档题.15.1【分析】将指数式化为对数式得代入可得根据换底公式可求值【详解】由题意可得∵故答案为:1【点睛】本题主要考查对数与指数的互化对数的换底公式的应用考查基本运算求解能力解析:1 【分析】将指数式化为对数式得3log 63a =,7log 63b =,代入可得,372121log 63log 63a b +=+,根据换底公式可求值. 【详解】由题意可得,3log 63a =,7log 63b =, ∵6363363721212log 3log 7log 631log 63log 63a b +=+=+== 故答案为:1 【点睛】本题主要考查对数与指数的互化,对数的换底公式的应用,考查基本运算求解能力.16.【分析】设点则点B 的坐标为由题意得则再根据平行四边形的面积求得由此得得函数的解析式从而得函数的的单调性与最值【详解】解:设点则点B 的坐标为∵∴∵平行四边形OABC 的面积又平行四边形OABC 的面积为2 解析:3-【分析】设点(),tE t a ,则点B 的坐标为()2,2tt a ,由题意得22tt aa =,则2t a =,再根据平行四边形的面积求得12t =,由此得4a =,得函数()f x 的解析式,从而得函数()f x 的的单调性与最值. 【详解】解:设点(),tE t a ,则点B 的坐标为()2,2tt a ,∵22t t a a =,∴2t a =,∵平行四边形OABC 的面积24t S OC AC a t t =⨯⨯==, 又平行四边形OABC 的面积为2,∴42t =,12t =,所以122a =,4a =, ∴()4f x x x=-在[]1,2为增函数,∴函数()f x 的最小值为()4111f =-=3-, 故答案为:3-. 【点睛】本题主要考查指数函数的图象和性质,考查利用函数的单调性求最值,属于中档题.17.【分析】先利用幂函数性质和奇函数定义判断是R 上单调递增的奇函数再结合奇偶性和单调性解不等式即可【详解】由幂函数性质知时在是增函数故函数在是增函数又定义域是R 而故是R 上的奇函数根据奇函数对称性知在R 上解析:1,2⎛⎫-+∞ ⎪⎝⎭【分析】先利用幂函数性质和奇函数定义判断()f x 是R 上单调递增的奇函数,再结合奇偶性和单调性解不等式即可. 【详解】由幂函数性质知,01α<<时y x α=在[)0,+∞是增函数,故函数()13=f x x 在[)0,+∞是增函数,又()f x 定义域是R ,而()()()1133=f x x x f x =-=---,故()f x 是R 上的奇函数,根据奇函数对称性知,()f x 在R 上单调递增.故不等式(21)f x -() 230f x ++>即(21)f x -()() 2323f x f x >-+=--,故2123x x ->--,即12x >-,故解集为1,2⎛⎫-+∞ ⎪⎝⎭.故答案为:1,2⎛⎫-+∞ ⎪⎝⎭.【点睛】 思路点睛:利用函数奇偶性和单调性解不等式问题:(1)()f x 是奇函数,图像关于原点中心对称,利用奇函数性质将不等式()()12f g x f g x ⎡⎤⎡⎤<⎣⎦⎣⎦形式,再利用单调性得到()1g x 和()2g x 的大小关系,再解不等式即可;(2)()f x 是偶函数,图像关于y 轴对称,利用偶函数性质将不等式()()12f g x f g x ⎡⎤⎡⎤<⎣⎦⎣⎦形式,再利用单调性得到()1g x 和()2g x 的大小关系,再解不等式即可.18.【分析】根据指数函数和一次函数的性质得出关于的不等式组即可求解【详解】由题意函数是上的单调递增函数可得解得即实数取值范围故答案为:【点睛】利用函数的单调性求解参数的取值范围:根据函数的单调性将题设条解析:8[,6)3【分析】根据指数函数和一次函数的性质,得出关于a 的不等式组,即可求解. 【详解】由题意,函数1,1()32,12x a x f x a x x ⎧+>⎪=⎨⎛⎫-+≤ ⎪⎪⎝⎭⎩是R 上的单调递增函数, 可得13021322a a a a ⎧⎪>⎪⎪->⎨⎪⎪+≥-+⎪⎩,解得863a ≤<,即实数a 取值范围8[,6)3.故答案为:8[,6)3. 【点睛】利用函数的单调性求解参数的取值范围:根据函数的单调性,将题设条件转化为函数的不等式(组),即可求出参数的值或范围; 若分段函数是单调函数,则不仅要保证在各区间上单调性一致,还要确保在整个定义域内是单调的.19.{-101}【分析】由已知得B ⊆A 从而B=∅或B={-1}或B={1}进而或=-1或由此能求出实数a 的取值集合【详解】∵A={x|x2=1}={-11}A∩B=B ∴B ⊆A ∴B=∅或B={-1}或B=解析:{-1,0,1} 【分析】由已知得B ⊆A ,从而B=∅或B={-1},或B={1},进而0a =,或1a =-1或11a=,由此能求出实数a 的取值集合.【详解】∵A={x|x 2=1}={-1,1}, A∩B=B ,∴B ⊆A , ∴B=∅或B={-1},或B={1}, ∴0a =,或1a =-1或11a=, 解得a=0或a=-1或a=1. ∴实数a 的取值集合为{-1,0,1}. 故答案为:{-1,0,1}. 【点睛】本题考查集合的求法,是基础题,解题时要认真审题,注意交集的性质的合理运用.20.【分析】由题得集合A 里只有一个元素所以只有一个解令得到再检验得解【详解】因为集合只有二个子集所以集合A 里只有一个元素由题得只有一个解令令当时不等式(1)的解为不等式(2)解为不等式组的解集为不满足题 解析:2±【分析】由题得集合A 里只有一个元素.所以22+501102x ax x ax ⎧+≥⎨++≤⎩()()只有一个解,令12=00∆∆=,得到2a a =±=±,再检验得解. 【详解】因为集合A 只有二个子集, 所以集合A 里只有一个元素.由题得22+501102x ax x ax ⎧+≥⎨++≤⎩()()只有一个解,令21=200,a a ∆-=∴=±令22=40,2a a ∆-=∴=±.当a =1)的解为R ,不等式(2)解为22x -≤≤组的解集为{|22x x --≤≤,不满足题意;当a =-1)的解为R ,不等式(2)解为x -≤,不等式组的解集为{|x x -≤≤,不满足题意;当2a =时,不等式(1)的解集为R ,不等式(2)的解为1x =-,不等式组的解集为{|1}x x =-,满足题意;当2a =-时,不等式(1)的解集为R ,不等式(2)的解为1x =,不等式组的解集为{|1}x x =,满足题意.故答案为2a =±. 【点睛】本题主要考查集合的子集的个数,考查一元二次不等式的解集,意在考查学生对这些知识的理解掌握水平和分析推理能力.三、解答题21.(1)()11xxe f x e-=+;(2)函数()f x 在(),0-∞上单调递减,证明见详解;(3){}1,0,1,2M =-.【分析】(1)当0x <时,0x ->,()1111x xx xe ef x e e-----==++,利用函数的奇偶性求解即可;(2)函数()f x 在(),0-∞上单调递减,利用定义证明函数的单调性即可;(3)把函数()g x 有唯一零点的问题转化为方程()()20f ax f x a --+=有唯一的解的问题,利用函数的奇偶性和单调性得到2ax x a =-+,两边平方,利用方程有唯一的解即可得出结果. 【详解】(1)当0x <时,0x ->, 又函数()f x 为偶函数,则()()1111x xx xe ef x f x e e-----===++, 所以函数()f x 的解析式为()11xxe f x e-=+; (2)函数()f x 在(),0-∞上单调递减, 设任意120x x <<,则()()()()()12212112212111111x x x x x x x x e e e e f x f x e e e e ----=-=++++, 因为xy e =在R 上单调递增, 所以12x x e e <,即120x x e e -<, 所以()()21f x f x <,所以函数()f x 在(),0-∞上单调递减; (3)因为函数()f x 为偶函数, 所以函数()f x 在()0,∞+上单调递减,函数()()()2g x f ax f x a =--+的零点就是方程()()20f ax f x a --+=的解, 因为函数()g x 有唯一零点,所以方程()()20f ax f x a --+=有唯一的解, 因为函数()f x 为偶函数, 所以方程变形为:()()2fax f x a =-+,因为函数()f x 在()0,∞+上单调递减, 所以2ax x a =-+, 平方得:()()()22212220a xa x a -+-+-=,当210a -=时,即1a =±,经检验方程有唯一解; 当210a -≠时,()()()222424120a a a ∆=----=,得()22200a a a -=⇒=或2a =, 综上可得:集合{}1,0,1,2M =-. 【点睛】关键点睛:把函数()g x 有唯一零点的问题转化为方程()()20f ax f x a --+=有唯一的解的问题是解决本题的关键.22.(1)4a =;(2)上课后第5分钟时比下课前第5分钟时注意力更集中.理由见解析;(3)853分钟. 【分析】(1)由5t =时对应的函数值为140,得a 的方程,解方程可得a 的值; (2)先求35t =时对应的函数值,再与140比较大小;(3)实际上解不等式()140f t ≥,分三段依次求解,最后将三段解集求并集. 【详解】(1)由题意得,当5t =时,(t)14C f =,即51006014010a⋅-=,解得4a =. (2)因为(5)140f =,(35)1535640115f =-⨯+=,所以(5)(35)f f >,故上课后第5分钟时比下课前第5分钟时注意力更集中. (3)①当010t <≤时,由(1)知,()10046014010tf t =⋅-≥,解得510t ≤≤; ②当1020t <≤时,()340140f t =>恒成立; ③当2040t <≤时,(t)15640140f t =-+≥, 解得100203t <≤.综上所述,10053t ≤≤.故学生的注意力指标至少达到140的时间能保持10085533-=分钟. 【点睛】本题考查函数的应用,比较基础,第三问关键点是注意对t 的分类讨论,最后合成并集.23.(1)()2232,032,0ax ax x f x ax ax x ⎧-+>=⎨++<⎩;(2)()()()()3,21,00,12,3---.【分析】(1)根据已知和函数的奇偶性可得0x <的解析式从而求得()f x ; (2)当1a =时,分别解每一段小于1的不等式,最后求两段的并集可得答案. 【详解】(1)设0x <,0x ->,()232f x ax ax -=++,又∵()f x 为偶函数,()()f x f x -=,∴()232f x ax ax =++. 综上:()2232,032,0ax ax x f x ax ax x ⎧-+>=⎨++<⎩. (2)当1a =时,可知:0x >,()2232log 1x x -<+,原不等式等价于22320322x x x x ⎧-+>⎨-+<⎩,解得()()0,12,3x ∈,同理可知:0x <,()2232log 1x x +<+,原不等式等价于22320322x x x x ⎧++>⎨++<⎩,解得()()1,03,2x ∈---,综上:实数x 的取值范围为()()()()3,21,00,12,3---.【点睛】求分段函数的解析式,要根据函数的奇偶性、对称性、周期性等结合已知条件进行求解,要注意定义域.24.(1)奇函数,证明见解析;(2)证明见解析;(3)}{23x x <<. 【分析】(1)求出函数定义域,求出()()()()ln 1ln 1f x x x f x -=--+=-即可得到奇偶性; (2)任取1211x x -<<<,则()()12f x f x -122111ln 11x x x x ⎛⎫+-=⋅ ⎪+-⎝⎭,得出与0的大小关系即可证明;(3)根据奇偶性解()()()2522f x f x f x -<--=-,结合单调性和定义域列不等式组即可得解. 【详解】(1)由对数函数的定义得1010x x ->⎧⎨+>⎩,得11x x <⎧⎨>-⎩,即11x -<<所以函数()f x 的定义域为()1,1-.因为()()()()ln 1ln 1f x x x f x -=--+=-, 所以()f x 是定义上的奇函数. (2)设1211x x -<<<,则()()()()()()121122ln 1ln 1ln 1ln 1f x f x x x x x -=+---++-122111ln 11x x x x ⎛⎫+-=⋅ ⎪+-⎝⎭因为1211x x -<<<,所以12011x x <+<+,21011x x <-<-, 于是12211101,0111x x x x +-<<<<+-. 则1221110111x x x x +-<⋅<+-,所以122111ln 011x x x x ⎛⎫+-⋅< ⎪+-⎝⎭所以()()120f x f x -<,即()()12f x f x <,即函数()f x 是()1,1-上的增函数. (3)因为()f x 在()1,1-上是增函数且为奇函数.所以不等式()()2520f x f x -+-<可转化为()()()2522f x f x f x -<--=-所以1251121252x x x x -<-<⎧⎪-<-<⎨⎪-<-⎩,解得23x <<.所以不等式的解集为}{23x x <<.【点睛】此题考查判断函数的奇偶性和单调性,利用单调性解不等式,关键在于熟练掌握奇偶性和单调性的判断方法,解不等式需要注意考虑定义域. 25.(1)最大值为37,最小值为1;(2)(][),55,-∞-+∞;(3)()22710,52,552710,5a a g a a a a a +≤-⎧⎪=--<<⎨⎪-≥⎩,()max 2g a =.【分析】(1)利用二次函数的基本性质可求得函数()f x 在区间[]5,5-上的最大值和最小值; (2)分析二次函数()y f x =图象的开口方向和对称轴,然后对函数()y f x =在区间上为增函数或减函数两种情况分类讨论,结合题意可得出关于实数a 的不等式,进而可求得实数a 的取值范围;(3)对实数a 的取值进行分类讨论,分析二次函数()f x 在区间[]5,5-上的单调性,进而可求得()g a 关于a 的表达式,并求出a 在不同取值下()g a 的取值范围,由此可得出()g a 的最大值.【详解】(1)当1a =-时,()()222211f x x x x =-+=-+.所以,函数()f x 在区间[]5,1-上为减函数,在区间[]1,5上为减函数,当[]5,5x ∈-时,()()min 11f x f ==, ()517f =,()537f -=,所以,()()max 537f x f =-=;(2)二次函数()222f x x ax =++的图象开口向上,对称轴为直线x a =-. ①若函数()y f x =在区间[]5,5-上是增函数,则5a -≤-,解得5a ≥;②若函数()y f x =在区间[]5,5-上是减函数,则5a -≥,解得5a ≤-.综上所述,实数a 的取值范围是(][),55,-∞-+∞; (3)二次函数()222f x x ax =++的图象开口向上,对称轴为直线x a =-.①当5a -≤-时,即当5a ≥时,函数()y f x =在区间[]5,5-上为增函数,则()()52710g a f a =-=-,此时()23g a ≤-;②当55a -<-<时,即当55a -<<时,函数()y f x =在区间[)5,a --上为减函数,在区间(],5a -上为增函数,则()()22g a f a a =-=-,此时()(]2223,2g a a =-∈-;③当5a -≥时,即当5a ≤-时,函数()y f x =在区间[]5,5-上为减函数, 则()()52710g a f a ==+,此时()271023g a a =+≤-.综上所述,()22710,52,552710,5a a g a a a a a +≤-⎧⎪=--<<⎨⎪-≥⎩,()max 2g a =. 【点睛】方法点睛:“动轴定区间”型二次函数最值的方法:(1)根据对称轴与区间的位置关系进行分类讨论;(2)根据二次函数的单调性,分别讨论参数在不同取值下的最值,必要时需要结合区间端点对应的函数值进行分析;(3)将分类讨论的结果整合得到最终结果.26.(1) a =2;(2) a =2【详解】解:(1)由题意得B ={x|x≥3或x≤1},由A∩B =∅,A ∪B =R ,可知A =∁R B =(1,3)∴⇒a=2-(2)∵B={x|x≥3或x≤1},∴:x∈{x|1<x<3}.∵是p的必要条件.即p⇒,∴A⊆∁R B=(1,3)∴⇒2≤a≤2⇒a=2.本试题主要考查了命题的真值,以及集合的运算的综合运用,以及二次不等式的求解问题.。
高一数学必修一第一学期期末测试卷(人教版浙江)(含答案和解析)第I 卷 选择题部分(共40分)一、选择题:本大题共10小题,每小题4分,共40分.在每小题给出的四个选项中,只有一项是符合题目要求的.1.(2020·全国高一课时练习)已知集合{}1013M =-,,,,{}13N =-,,则集合M N ⋂中元素的个数是( ) A .0B .1C .2D .32.(2020·湖南长沙市·长郡中学高一月考)下列函数中,既是偶函数又在(0,)+∞单调递增的是( ) A .2x y =B .3y x =C .cos y x =D .||y ln x =3.(2020·渝中区·重庆巴蜀中学高三月考)已知函数,0()1,0x e x f x x x ⎧≤=⎨->⎩,则()()1f f =( )A .0B .1C .eD .1e -4.(2020·广东揭阳市·高一期末)已知lg lg 0a b +=,则函数()x f x a =与函数1()log bg x x =的图象可能是( )A .B .C .D .5.(2020·浙江高一期中)已知函数()1xf x e =-,()22g x x x =-+,若存在a R ∈,使得()()f a g b =,则实数b 的取值范围是( )A .()0,2B .[]0,2C .(1+D .1⎡⎣6.(2020·淮安市阳光学校高一月考)某养鸭户需要在河边用围栏围起一个面积为2200m 的矩形鸭子活动场地,面向河的一边敞开不需要围栏,则围栏总长最小需要多少米?( ) A .20B .40C .60D .807.(2020·浙江高一期中)已知函数()||f x x x =,当[,2]x t t ∈+时,恒有不等式(2)4()f x t f x +>成立,则实数t 的取值范围是( ) A .(2,)+∞B .[2,)+∞C .(,2)-∞D .(,2]-∞8.(2020·江苏南通市·高二期中)“a >1,b >1”是“log a b +log b a ≥2”的( )条件 A .充分不必要 B .必要不充分 C .充要D .既不充分也不必要9.(2020·全国高一课时练习)定义集合的商集运算为|,,A m x x m A n B B n ⎧⎫==∈∈⎨⎬⎩⎭,已知集合{2,4,6}S =,|1,2k T x x k S ⎧⎫==-∈⎨⎬⎩⎭,则集合S T T ⋃中的元素个数为( )A .5B .6C .7D .810.(2020·长春市·吉林省实验高一期末(理))已知()sin (0)3f x x πωϕω⎛⎫=++> ⎪⎝⎭同时满足下列三个条件:①T π=;②3y f x π⎛⎫=- ⎪⎝⎭是奇函数;③()06f f π⎛⎫<⎪⎝⎭.若()f x 在[)0,t 上没有最小值,则实数t 的取值范围是( ) A .50,12π⎛⎤⎥⎝⎦B .50,6π⎛⎤⎥⎝⎦C .511,1212ππ⎛⎤⎥⎝⎦D .511,612ππ⎛⎤⎥⎝⎦第II 卷 非选择题部分(共110分)二、填空题:本大题共7小题,多空题每题6分,单空题每题4分,共36分.11.(2018·江苏苏州市·高一期末)函数lg(2)y x =-的定义域是______.12.(2018·江苏苏州市·高一期末)已知函数232,1,(),1,x x f x x x -≤⎧=⎨>⎩ 则函数()()2g x f x =-的零点个数为______.13.(2019·福建漳州市·龙海二中高三月考(文))已知tan()24πα-=,则sin(2)4πα-的值等于__________.14.(2020·浙江高一课时练习)里氏震级M 的计算公式为:M=lgA ﹣lgA 0,其中A 是测震仪记录的地震曲线的最大振幅,是相应的标准地震的振幅,假设在一次地震中,测震仪记录的最大振幅是1000,此时标准地震的振幅A 0为0.001,则此次地震的震级为 级;9级地震的最大的振幅是5级地震最大振幅的 倍.15.(2020·浙江杭州市·高三期中)已知34a =,2log 3b =,则ab =________;4b =________. 16.(2020·全国高一课时练习)设函数()sin f x A B x =+,当0B <时,()f x 的最大值是32,最小值是12-,则A =_____,B =_____. 17.(2020·浙江高一单元测试)已知4sin 5α,,2παπ⎛⎫∈ ⎪⎝⎭,则cos α=________,tan 2α=________.三、解答题:本大题共5小题,共74分.解答应写出文字说明、证明过程或演算步骤.18.(2020·安徽省蚌埠第三中学高一月考)计算下列各式的值: (1)()2223327389.682--⎛⎫⎛⎫---+ ⎪ ⎪⎝⎭⎝⎭;(2)941451log log 3log 5log 272⋅--+. 19.(2020·全国高一单元测试)已知函数()()()log 1log 1a a f x x x =+--,其中0a >且1a ≠.()1判断()f x 的奇偶性并予以证明; ()2若1a >,解关于x 的不等式()0f x >.20.(2020·湖北荆州市·荆州中学高一期末)(1)已知角α的终边经过点(,6)P x ,且5cos 13α=-,求sin α和tan α的值. (2)已知1cos 7α=,13cos()14αβ-=,且02πβα<<<,求角β. 21.(2020·北京密云区·高一期末)已知函数2()cos cos f x x x x =-. (1)求函数()f x 的最小正周期和单调区间; (2)求函数()f x 的零点.22.(2020·浙江高一期中)已知函数2()21x xaf x a -=⋅+为奇函数,其中a 为实数. (1)求实数a 的值;(2)若0a >时,不等式()(())20xf f x f t +⋅<在[1,1]x ∈-上恒成立,求实数t 的取值范围.高一数学必修一第一学期期末测试卷(人教版浙江)(含答案和解析)第I 卷 选择题部分(共40分)一、选择题:本大题共10小题,每小题4分,共40分.在每小题给出的四个选项中,只有一项是符合题目要求的.1.(2020·全国高一课时练习)已知集合{}1013M =-,,,,{}13N =-,,则集合M N ⋂中元素的个数是( ) A .0 B .1C .2D .3【答案】B 【解析】{}1013M =-,,,,{}13N =-,{}1M N ∴⋂=故选:B2.(2020·湖南长沙市·长郡中学高一月考)下列函数中,既是偶函数又在(0,)+∞单调递增的是( ) A .2x y = B .3y x =C .cos y x =D .||y ln x =【答案】D 【解析】根据题意,依次分析选项:对于A ,2x y =,为指数函数,其定义域为R ,不是偶函数,不符合题意; 对于B ,3y x =,为幂函数,是奇函数,不符合题意;对于C ,cos y x =,为偶函数,在(0,)+∞不是增函数,不符合题意; 对于D ,,0(),0lnx x y ln x ln x x ⎧==⎨-<⎩,为偶函数,且当0x >时,y lnx =,为增函数,符合题意;故选:D .3.(2020·渝中区·重庆巴蜀中学高三月考)已知函数,0()1,0x e x f x x x ⎧≤=⎨->⎩,则()()1f f =( )A .0B .1C .eD .1e -【答案】B 【解析】0((1))(0)1f f f e ===,故选:B4.(2020·广东揭阳市·高一期末)已知lg lg 0a b +=,则函数()x f x a =与函数1()log bg x x =的图象可能是( )A .B .C .D .【答案】B 【解析】lg lg 0,lg 0a b ab +=∴=,即1ab =.∵函数()f x 为指数函数且()f x 的定义域为R ,函数()g x 为对数函数且()g x 的定义域为()0,∞+,A 中,没有函数的定义域为()0,∞+,∴A 错误;B 中,由图象知指数函数()f x 单调递增,即1a >,()g x 单调递增,即01b <<,ab 可能为1,∴B 正确;C 中,由图象知指数函数()f x 单调递减,即01a <<,()g x 单调递增,即01b <<,ab 不可能为1,∴C 错误;D 中,由图象知指数函数()f x 单调递增,即1a >,()g x 单调递减,即1b >,ab 不可能为1,∴D 错误. 故选:B.5.(2020·浙江高一期中)已知函数()1xf x e =-,()22g x x x =-+,若存在a R ∈,使得()()f a g b =,则实数b 的取值范围是( ) A .()0,2B .[]0,2C .(12,12+D .12,12⎡⎤⎣⎦【答案】C 【解析】()11x f x e =->-,所以,()221g b b b =-+>-,整理得2210b b --<,解得1212b <故选:C.6.(2020·淮安市阳光学校高一月考)某养鸭户需要在河边用围栏围起一个面积为2200m 的矩形鸭子活动场地,面向河的一边敞开不需要围栏,则围栏总长最小需要多少米?( ) A .20B .40C .60D .80【答案】B 【解析】设此矩形面向河的一边的边长为x ,相邻的一边设为y , 由题意得200xy =, 设围栏总长为l 米,则240l x y =+≥=, 当且仅当2x y =时取等号, 此时20,10x y ==; 则围栏总长最小需要40米; 故选:B.7.(2020·浙江高一期中)已知函数()||f x x x =,当[,2]x t t ∈+时,恒有不等式(2)4()f x t f x +>成立,则实数t 的取值范围是( ) A .(2,)+∞ B .[2,)+∞ C .(,2)-∞ D .(,2]-∞【答案】A 【解析】||y x =为偶函数,y x =为奇函数 ()||f x x x ∴=奇函数当0x 时,2()f x x =为增函数,由奇函数在对称区间上单调性相同可得函数()f x 在R 上增函数 又不等式(2)4()f x t f x +>可化为(2)|2|4||2|2|(2)x t x t x x x x f x ++>==故当[,2]x t t ∈+时,不等式(2)4()f x t f x +>恒成立, 即当[,2]x t t ∈+时,不等式22x t x +>恒成立 即2x t <恒成立 即22t t +< 解得2t >故实数t 的取值范围是(2,)+∞ 故选:A8.(2020·江苏南通市·高二期中)“a >1,b >1”是“log a b +log b a ≥2”的( )条件 A .充分不必要 B .必要不充分 C .充要 D .既不充分也不必要【答案】A 【解析】∵1log log log log a b a a b a b b+=+,又1,1a b >>,∴log 0a b >,即1log 2log a a b b +≥=当且仅当a b =时等号成立, 而11,28a b ==时有110log log log 2log 3a b a a b a b b +=+=>,显然1,1a b >>不一定成立; 综上,所以有1,1a b >>是log log 2a b b a +≥充分不必要条件. 故选:A9.(2020·全国高一课时练习)定义集合的商集运算为|,,A m x x m A n B B n ⎧⎫==∈∈⎨⎬⎩⎭,已知集合{2,4,6}S =,|1,2k T x x k S ⎧⎫==-∈⎨⎬⎩⎭,则集合S T T ⋃中的元素个数为( )A .5B .6C .7D .8【答案】B 【解析】∵集合的商集运算为|,,A m x x m A n B B n ⎧⎫==∈∈⎨⎬⎩⎭, 集合{2,4,6}S =,|1,{0,1,2}2k T x x k S ⎧⎫==-∈=⎨⎬⎩⎭, ∴{}1,2,3,4,6ST =, ∴{}0,1,2,3,4,6ST T=. ∴集合STT ⋃元素的个数为6个.故选:B.10.(2020·长春市·吉林省实验高一期末(理))已知()sin (0)3f x x πωϕω⎛⎫=++> ⎪⎝⎭同时满足下列三个条件:①T π=;②3y f x π⎛⎫=- ⎪⎝⎭是奇函数;③()06f f π⎛⎫<⎪⎝⎭.若()f x 在[)0,t 上没有最小值,则实数t 的取值范围是( ) A .50,12π⎛⎤⎥⎝⎦B .50,6π⎛⎤⎥⎝⎦C .511,1212ππ⎛⎤⎥⎝⎦D .511,612ππ⎛⎤⎥⎝⎦【答案】D 【解析】 由t π=,可得2=2ππωω=⇒因为3y f x π⎛⎫=-⎪⎝⎭是奇函数 所以sin 23x πϕ⎛⎫+- ⎪⎝⎭是奇函数,即,3k k z πϕπ-=∈又因为()06f f π⎛⎫<⎪⎝⎭,即()2sin sin 3k k ππππ⎛⎫+<+⎪⎝⎭所以k 是奇数,取k=1,此时43πϕ= 所以函数()5sin 2sin 233f x x x ππ⎛⎫⎛⎫=+=- ⎪ ⎪⎝⎭⎝⎭因为()f x 在[)0,t 上没有最小值,此时2,2333x t πππ⎡⎫-∈--⎪⎢⎣⎭所以此时432,332t πππ⎛⎤-∈ ⎥⎝⎦解得511,612t ππ⎛⎤∈ ⎥⎝⎦. 故选D.第II 卷 非选择题部分(共110分)二、填空题:本大题共7小题,多空题每题6分,单空题每题4分,共36分.11.(2018·江苏苏州市·高一期末)函数lg(2)y x =-的定义域是______.【答案】(,2)-∞ 【解析】由题设有20x ->,解得2x <,故函数的定义域为(),2-∞,填(),2-∞. 12.(2018·江苏苏州市·高一期末)已知函数232,1,(),1,x x f x x x -≤⎧=⎨>⎩ 则函数()()2g x f x =-的零点个数为______. 【答案】2 【解析】()g x 的零点即为()0g x =的解.当1x ≤时,令322x -=,解得12x =,符合;当1x >,令22x =,解得x =()g x 的零点个数为2.13.(2019·福建漳州市·龙海二中高三月考(文))已知tan()24πα-=,则sin(2)4πα-的值等于__________.【答案】10【解析】 由tan 1tan()241tan πααα--==+,解得tan 3α=-,因为22sin(2)2cos 2)(2sin cos cos sin )422πααααααα-=-=-+2222222sin cos cos sin 2tan 1tan 2cos sin 21tan ααααααααα-+-+=⨯=++222(3)1(3)21(3)10⨯--+-==+-. 14.(2020·浙江高一课时练习)里氏震级M 的计算公式为:M=lgA ﹣lgA 0,其中A 是测震仪记录的地震曲线的最大振幅,是相应的标准地震的振幅,假设在一次地震中,测震仪记录的最大振幅是1000,此时标准地震的振幅A 0为0.001,则此次地震的震级为 级;9级地震的最大的振幅是5级地震最大振幅的 倍.【答案】6,10000 【解析】根据题意,假设在一次地震中,测震仪记录的最大振幅是1000,此时标准地震的振幅为0.001,则M=lgA ﹣lgA 0=lg1000﹣lg0.001=3﹣(﹣3)=6. 设9级地震的最大的振幅是x ,5级地震最大振幅是y , 9=lgx+3,5=lgy+3,解得x=106,y=102,∴62101000010x y ==. 故答案耿:6,10000.15.(2020·浙江杭州市·高三期中)已知34a =,2log 3b =,则ab =________;4b =________. 【答案】2 9 【解析】因为34a =,所以3log 4a =,又2log 3b =, 因此32lg 4lg3log 4log 32lg3lg 2ab =⋅=⋅=;222log 32log 3log 944229b ====. 故答案为:2;9.16.(2020·全国高一课时练习)设函数()sin f x A B x =+,当0B <时,()f x 的最大值是32,最小值是12-,则A =_____,B =_____. 【答案】121- 【解析】根据题意,得3212A B A B ⎧-=⎪⎪⎨⎪+=-⎪⎩,解得1,12A B ==-.故答案为:1,12- 17.(2020·浙江高一单元测试)已知4sin 5α,,2παπ⎛⎫∈ ⎪⎝⎭,则cos α=________,tan 2α=________.【答案】35247【解析】由已知得3cos 5α==-,所以445tan 335α==--,242243tan 27413α⎛⎫⨯- ⎪⎝⎭==⎛⎫-- ⎪⎝⎭. 故答案为:35;247. 三、解答题:本大题共5小题,共74分.解答应写出文字说明、证明过程或演算步骤.18.(2020·安徽省蚌埠第三中学高一月考)计算下列各式的值: (1)()2223327389.682--⎛⎫⎛⎫---+ ⎪ ⎪⎝⎭⎝⎭; (2)941451log log 3log 5log 272⋅--+. 【答案】(1)3;(2)174. 【解析】(1)根据指数幂的运算法则,可得()2223327389.682--⎛⎫⎛⎫---+ ⎪ ⎪⎝⎭⎝⎭222333333(24441399)1[()]22--⎛⎫=--+ -⎪⎝-+⎭==.(2)根据对数的运算法则,可得941451log log 3log 5log 272⋅--+ 325211111log 2log log 5log 2414224341722=-⨯+-+=-+-+=.19.(2020·全国高一单元测试)已知函数()()()log 1log 1a a f x x x =+--,其中0a >且1a ≠.()1判断()f x 的奇偶性并予以证明; ()2若1a >,解关于x 的不等式()0f x >.【答案】(1)奇函数,证明见解析;(2)()0,1. 【解析】()1要使函数有意义,则{1010x x +>->,即{11x x >-<,即11x -<<, 即函数的定义域为()1,1-,则()()()()()()log 1log 1log 1log 1a a a a f x x x x x f x ⎡⎤-=-+-+=-+--=-⎣⎦, 则函数()f x 是奇函数.()2若1a >,则由()0.f x >得()()log 1log 10a a x x +-->,即()()log 1log 1a a x x +>-, 即11x x +>-,则0x >, 定义域为()1,1-,01x ∴<<,即不等式的解集为()0,1.20.(2020·湖北荆州市·荆州中学高一期末)(1)已知角α的终边经过点(,6)P x ,且5cos 13α=-,求sin α和tan α的值.(2)已知1cos 7α=,13cos()14αβ-=,且02πβα<<<,求角β. 【答案】(1)12sin 13α=,12tan 5α=-(2)3πβ=【解析】 (1)55cos 132x α==-⇒=-, ∴5,62P ⎛⎫- ⎪⎝⎭∴12sin 13α==,612tan 552α==--;(2)由1cos 7α=,02πα<<,得sin 7α=, 由13cos()14αβ-=,02πβα<<<,得02παβ<-<,得sin()αβ-=所以cos cos[()]cos cos()sin sin()βααβααβααβ=--=-+-11317142=⨯=, 又02πβ<<,∴3πβ=.21.(2020·北京密云区·高一期末)已知函数2()cos cos f x x x x =-. (1)求函数()f x 的最小正周期和单调区间; (2)求函数()f x 的零点.【答案】(1)T π=;单调递增区间为[,]63k k ππππ-+,k Z ∈;单调递减区间为5[,]36k k ππππ++ ,k Z ∈; (2)6x k ππ=+或2x k π=+π,k Z ∈.【解析】(1)2()cos cos f x x x x -cos 21222x x +=-1sin 262x π⎛⎫=-- ⎪⎝⎭,即()1sin 262f x x π⎛⎫=-- ⎪⎝⎭, 所以()f x 的最小正周期22T ππ==. 因为sin y x =的单调增区间为2,222k k ππππ⎡⎤-+⎢⎥⎣⎦,k Z ∈,令222262k x k πππππ-≤-≤+,解得63k xk ππππ,k Z ∈.因为sin y x =的单调减区间为32,222k k ππππ⎡⎤+⎢⎥⎣⎦+,k Z ∈,令3222262k x k πππππ-++≤≤, 解得536k x k ππππ++≤≤,k Z ∈. 所以()f x 的单调递增区间为,63k k ππππ⎡⎤-+⎢⎥⎣⎦,k Z ∈.单调递减区间为5,36ππk πk π⎡⎤++⎢⎥⎣⎦,k Z ∈. (2)函数1()sin 262f x x π⎛⎫=-- ⎪⎝⎭的零点, 令1sin(2)062x π--=,即1sin(2)62x π-=.2266x k πππ-=+或52266x k πππ-=+,k Z ∈ 解得6x k ππ=+或2x k π=+π,k Z ∈所以()f x 的零点为6x k ππ=+或2x k π=+π,k Z ∈22.(2020·浙江高一期中)已知函数2()21x xaf x a -=⋅+为奇函数,其中a 为实数. (1)求实数a 的值;(2)若0a >时,不等式()(())20xf f x f t +⋅<在[1,1]x ∈-上恒成立,求实数t 的取值范围.【答案】(1)±1;(2)1,5⎛⎫-∞- ⎪⎝⎭. 【解析】(1)由函数2()21x xaf x a -=⋅+为奇函数,可得()()f x f x -=-, 代入可得:222121x x x xa aa a ----=⋅+⋅++, 整理可得:2222(2)1(2)x a a x -=-,所以21a =, 解得:1a =±;(2)若0a >,由(1)知1a =,所以212()12121x x xf x -==-++, 由2x 为增函数,21x u =+为增函数且210x u =+>, 又因为2u 为减函数,所以2u-为增函数, 所以()f x 为增函数, 又因为()f x 为奇函数,由()(())20xf f x f t +⋅<可得:()20x f x t +⋅<,即21+2021x x x t -⋅<+在[1,1]x ∈-上恒成立, 若0t ≥,1x =时不成立,故0t <, 令2x s =,则1(,2)2s ∈, 整理可得:2(1)10t s t s ⋅++-<, 令2()(1)1g s t s t s =⋅++-,若1122t t +-≤或122t t +-≥ 需131()0242g t =-<,(2)610g t =+<,可得1156t -≤<-或12t ≤-,若11222t t +<-<,需1()02t g t+-<, 解得1125t -<<-,综上可得:实数t 的取值范围为1,5⎛⎫-∞- ⎪⎝⎭.。
高一数学期末考试测试卷参考答案1.B【详解】因为,所以,则,所以复数所对应的向量的坐标为.故选:B 2.A【详解】,故选:A.3.D【详解】向量在上的投影为,向量在上的投影向量为.故选:D.4.C 【详解】由题意,可得,即因为,所以,即,故△ABC 是直角三角形故选:C 5.A【详解】由可得: ,故 ,解得 ,故 ,故选:A 6.C【详解】根据题意:概率等于没有黄球的概率减去只有白球或只有红球的概率.即.故选:.7.D【详解】对于A ,空间中两直线的位置关系有三种:平行、相交和异面,故A 错误;对于B ,若空间中两直线没有公共点,则这两直线异面或平行,故B 错误;对于C ,和两条异面直线都相交的两直线是异面直线或相交直线,故C 错误;12i z z +=⋅()2i 11z -⋅=()()112i 12i 12i 2i 12i 112i 555z ----====------z 12,55⎛⎫-- ⎪⎝⎭()441414333333AD AB BD AB BC AB AC AB AB AC a b =+=+=+-=-+=-+ a b ·cos 3a π ab 1·cos ·232b a b b b π=⨯= 1cos 22a b C a ++=⨯cos b C a=2222b a b c a ab+-=222a b c =+90A =︒sin 2sin B C =2b c =22222567cos 248b c a c A bc c +--===2,4c b ==11sin 4222ABC S bc A ==⨯⨯ 3331115162312p ⎛⎫⎛⎫⎛⎫=---= ⎪ ⎪ ⎪⎝⎭⎝⎭⎝⎭C对于D ,如图,在长方体中,当所在直线为所在直线为时,与相交,当所在直线为所在直线为时,与异面,若两直线分别是正方体的相邻两个面的对角线所在的直线,则这两直线可能相交,也可能异面,故D 正确.(8题)故选:D8.A【详解】在△ABC 中,b cos A =c﹣a ,由正弦定理可得sin B cos A =sin C ﹣sin A ,可得sin B cos A =sin (A +B )﹣sin A =sin A cos B +cos A sin B ﹣sin A ,即sin A cos B =sin A ,由于sin A ≠0,所以,由B ∈(0,π),可得B=,设AD =x,则CD =2x ,AC =3x ,在△ADB ,△BDC,△ABC 中分别利用余弦定理,可得cos ∠ADB=,cos ∠CDB =,cos ∠ABC =,由于cos ∠ADB =﹣cos ∠CDB ,可得6x 2=a 2+2c 2﹣12,再根据cos ∠ABC =,可得a 2+c 2﹣9x 2=ac ,所以4c 2+a 2+2ac =36,根据基本不等式可得4c 2+a 2≥4ac ,所以ac ≤6,当且仅当a =c 所以△ABC 的面积S =ac sin ∠ABC ac A .9.AC【详解】对于A ,是纯虚数,故A 正确;对于B ,,对应的点的坐标为,位于第四象限,故B 错误;对于C ,复数的共轭复数为,故C 正确;对于D ,,故D 错误.故选:AC10.BC ABCD A B C D -''''A B ',a BC 'b a b A B ',a B C 'b a b 12121212121cos 2B =3π2244x c x +-22448x a x +-22292a c x ac+-12122z 12(1i)2i 13i z z -=--=-(1,3)-1z 11i z =+12(1i)2i 2i 2z z =-⋅=+11.【详解】对于A ,由,则,故A 错误;对于B ,与相互独立,则与相互独立,故,故B 正确;对于CD ,互斥,则,,故C 正确,D 错误.故选:BC11.BC【详解】对于A 选项,由图形可知,直线、异面,A 错;对于B 选项,连接,因为,则直线与所成角为或其补角,易知为等边三角形,故,因此,直线与所成的角为,B 对;对于C 选项,分别取、的中点、,连接、、,因为四边形为正方形,、分别为、的中点,所以,且,又因为,则四边形为矩形,所以,,且,同理可证,且,因为平面,则平面,因为平面,则,因为,、平面,所以,平面,因为平面,所以,,因此,平面与平面所成二面角的平面角为,因为平面,平面,所以,,又因为,故为等腰直角三角形,故,因此,平面与平面所成二面角的平面角为,C 对;对于D 选项,易知,又因为且,则四边形为等腰梯形,分别过点、在平面内作、,垂足分别为、,()()0.2,0.6P A P B ==()()1P A P B+≠A B A B ()()()()()()10.48P AB P A P B P A P B ==-=,A B ()()()0.8P A B P A P B ⋃=+=()()0P AB P =∅=AM BN 1AD 1//MN CD MN AC 1ACD ∠1ACD △160ACD ∠= MN AC 60 AB CD E F ME MF EF ABCD E F AB CD //AE DF AE DF =AD AE ⊥AEFD EF AB ⊥//EF AD 1//MF DD 12MF DD ==1DD ⊥ABCD MF ⊥ABCD AB ⊂ABCD AB MF ⊥EF MF F ⋂=EF MF ⊂EMF AB ⊥EMF ME ⊂EMF AB ME ⊥AMB ABCD MEF ∠MF ⊥ABCD EF ⊂ABCD MF EF ⊥2MF EF ==MEF 45MEF Ð=o AMB ABCD 45 BN ===1A M =1//MN A B 112MN A B =1A BNM M N 1A BNM 1MP A B ⊥1NQ A B ⊥P Q因为,,,所以,,所以,,因为,,,则四边形为矩形,所以,,所以,所以,,由A 选项可知,平面截正方体所得的截面为梯形,故截面面积为,D 错.故选:BC.12.2【详解】.故答案为:2.13.【详解】在中,由正弦定理可得,,又由题知,所以,整理得,,在中,由余弦定理得,,所以,又,所以.故答案为:.14. 【详解】由题意,恰有一个人面试合格的概率为:,甲签约,乙、丙没有签约的概率为;1A M BN =1MA P NBQ ∠=∠190MPA NQB ∠=∠= 1Rt Rt A MP BNQ △≌△1A P BQ =//MN PQ 1MP A B ⊥1NQ A B ⊥MNQP PQ MN ==112A B PQ A P BQ -====MP ===BMN 1A BNM ()1922A B MN MP +⋅==()2202a kb b a b kb k k -⋅=⋅-⇔-=⇔= π3ABC sin sin sin C c A B a b =++sin sin sin a b C a c A B -=-+a b c a c a b-=-+222b a c ac =+-ABC 2222cos b a c ac B =+-1cos 2B =()0,B π∈3B π=3π49793113113114(1)(1(1(1)(1)(14334334339P =⨯-⨯-+-⨯⨯-+-⨯-⨯=13112(1)4333P =⨯-⨯=甲未签约,乙、丙都签约的概率为甲乙丙三人都签约的概率为,所以至少一人签约的概率为.故答案为:;.15.【详解】(1)由频率分布直方图可得分数不小于60的频率为:,则分数小于60的频率为:,故从总体的500名学生中随机抽取一人,其分数小于60的概率估计为;(2)由频率分布直方图易得分数小于70的频率为,分数小于80的频率为,则测评成绩的第分位数落在区间上,所以测评成绩的第分位数为;(3)依题意,记事件 “抽到的学生分数小于30”,事件 “抽到的学生是男生”,因为分数小于40的学生有5人,其中3名男生;所以“抽到的学生是男生”的概率为,因为分数小于30的学生有2人,其中1名男生,所以“抽到的学生分数小于30” 的概率为,因为事件表示“抽到的学生分数小于30且为男生”,满足条件的只有1名男生,所以,因为,所以这两个事件不相互独立.16.【详解】(1)由,,故,由余弦定理可得,即,即,13111(143336P=-⨯⨯=3311143312P =⨯⨯=2117336129++=4979()0.020.040.02100.8++⨯=10.80.2-=0.20.40.875%[)70,8075%0.35701078.750.4+⨯=A =B =()35P B =()25P A =AB ()15P AB =()()()P A P B P AB ≠sin θ=π,π2θ⎛⎫∈ ⎪⎝⎭cos θ==2222cos 54413BD AB AD AB AD θ=+-⋅=++=BD CD ==sin sin AB BD ADB θ=∠sin sin AB ADB BD θ∠=⋅==则故有,故,;(2),,故,则,其中,则当,即ABCD 的面积最大,此时,即此时小路BD.17.【详解】(1)取棱的中点,连接、、,则就是所求作的线,如图:在正方体中,连,是的中点,为的中点,则,且,于是得四边形是平行四边形,有,而平面,平面,因此平面,πcos cos sin 2ADC ADB ADB ⎛⎫∠=+∠=-∠= ⎪⎝⎭2222cos 4132225AC AD CD AD CD ADC ⎛=+-⋅∠=+-⨯= ⎝5AC =22111117sin 222222ABCD ABD BCD S S S AB AD BD θ=+=⋅+=+⨯= 1sin 2ABD S AB AD θθ=⋅= 2222cos 549BD AB AD AB AD θθθ=+-⋅=+-=-21922BCD S BD θ==- ()995sin 22ABCD ABD BCD S S S θθθϕ=+=+-=-+ sin ϕ=π0,2ϕ⎛⎫∈ ⎪⎝⎭π2θϕ-=πcos cos sin 2θϕϕ⎛⎫=+=-= ⎪⎝⎭2917BD ⎛=-= ⎝1DD F AF CF AC ,,FC FA CA 1111ABCD A B C D -EF E 1CC F 1DD EF CD BA ∥∥EF CD BA ==ABEF AF BE ∥BE ⊂1BD E AF ⊄1BD E AF 1BD E又,,即四边形为平行四边形,则,又平面,平面,于是有平面,而,平面,从而得平面平面,所以就是所求作的线.(2)在正方体中,连接,如图,且,则四边形为平行四边形,有,三棱锥的体积,所以四棱锥的体积.18.【详解】(1)解:由频率分布直方图,根据平均数的计算公式,估计这次知识能力测评的平均数:分.(2)解:由频率分布直方图,可得的频率为,的频率为,所以用分层随机抽样的方法从,两个区间共抽取出4名学生,可得从抽取人,即为,从中抽取人,即为,从这4名学生中随机抽取2名依次进行交流分享,有 ,共有12个基本事件;其中第二个交流分享的学生成绩在区间的有:,共有3个,所以概率为.(3)解:甲最终获胜的可能性大.理由如下:由题意,甲至少得1分的概率是,1FD CE ∥1FD CE =1CED F 1CF ED ∥1ED ⊂1BD E CF ⊄1BD E CF 1BD E CF AF F ⋂=,CF AF ⊂AFC AFC 1BD E ,,FC FA CA 1111ABCD A B C D -11111,,,,,,AD BC EA EB EC ED AC 11AB C D ∥11AB C D =11ABC D 1112ABC D ABC S S = △1E ABC -111111112()21233263E ABC A BC E BC E V V S AB BC C E AB --==⋅=⋅⋅=⨯⨯⨯= 11E ABC D -111423E ABC D E ABC V V --==(650.01750.015850.045950.03)1084.5x =⨯+⨯+⨯+⨯⨯=[)60,700.1[]90,1000.3[)60,70[]90,100[)60,701a []90,10031,2,3()()()()(),1,,2,,3,1,2,1,3,a a a ()()()()()()()2,3,1,,2,,3,,2,1,3,1,3,2a a a []60,70()()()1,,2,,3,a a a 31124P ==4750可得,其中,解得,则甲的2分或3分的概率为:,所以乙得分为2分或3分的概率为,因为,所以甲最终获胜的可能性更大.19.【详解】(1)由题知,,所以∠AOB 是所折成的直二面角的平面角,即OA ⊥OB .因为,所以AO ⊥平面,所以OC 是AC 在平面内的射影,在四边形ABCD是等腰梯形中,,高得,,在和中,, 所以,,所以,因为AO ⊥平面,平面,所以,因为,所以平面,因为平面,所以(2)由(1)知,,所以⊥平面AOC .设,过点E 作于点F ,连接,因为,所以平面,因为平面,所以所以是二面角的平面角.由(1)知得,,高得,.所以,,12471(1)(1)(1)2550p ----=01p ≤≤45p =1241241241243(1(1(12552552552555P =⨯⨯-+⨯-⨯+-⨯⨯+⨯⨯=253255>1OA OO ⊥1OB OO ⊥1OO OB O = 1OBCO 1OBCO 3AB CD =h =tan A =6AB =2CD =1OO =1Rt OO B 1Rt OO C △11tan OB OO B OO ∠==111tan O C O OC OO ∠===160OO B ∠=︒130O OC ∠=︒1OC BO ⊥1OBCO 1BO ⊂1OBCO 1AO BO ⊥AO OC O = 1BO ⊥AOC AC ⊂AOC 1AC BO ⊥1AC BO ⊥1OC BO ⊥1BO 1OC O B E ⋂=EF AC ⊥1O F 1EF O B E = AC ⊥1O EF 1O F ⊂1O EF 1O F AC⊥1O FE ∠1O AC O --3AB CD =h =tan A =6AB =2CD =3OA =1OO =11O C =所以,因为平面平面,平面平面,,所以平面,因为平面,所以 所以又所以二面角1O A =AC =1AOO D ⊥1BOO C 1AOO D 11BOO C OO =11OO CO ⊥1CO ⊥1AOO D 1AO ⊂1AOO D 11CO AO ^111O A O C O F AC ⋅=11sin30O E OO =⋅= 111sin O E O FE O F ∠==1O AC O --。
一、选择题1.已知关于x 的方程2(3)10ax a x +-+=在区间1(,)2+∞上存在两个实数根,则实数a 的取值范围是( ) A .2332a << B .213a < C .9aD .293a < 2.若关于x 的一元二次方程(2)(3)x x m --=有实数根1x ,2x ,且12x x <,则下列结论中错误的是( )A .当0m =时,12x =,23x =B .14m ≥-C .当0m >时,1223x x <<<D .二次函数()()12y x x x x m =--+的图象与x 轴交点的坐标为()2,0和()3,0 3.已知定义在R 上的奇函数()f x 满足()()f x f x π+=- ,当0,2x π⎡⎤∈⎢⎥⎣⎦时,()f x =,则函数()()()1g x x f x π=-- 在区间3-,32ππ⎡⎤⎢⎥⎣⎦上所有零点之和为( ) A .πB .2πC .3πD .4π4.定义:若函数()y f x =的图像上有不同的两点,A B ,且,A B 两点关于原点对称,则称点对(),A B 是函数()y f x =的一对“镜像”,点对(),A B 与(),B A 看作同一对“镜像点对”,已知函数()23,02,0xx f x x x x ⎧-<⎪=⎨-≥⎪⎩,则该函数的“镜像点对”有( )对.A .1B .2C .3D .45.已知1311531log ,log ,363a b c π-===,则,,a b c 的大小关系是( )A .b a c <<B .a c b <<C .c b a <<D .b c a << 6.计算log 916·log 881的值为( ) A .18B .118C .83D .387.已知函数()f x 是定义在R 上的偶函数,且函数()f x 在[0,)+∞上是减函数,如果()31f =-,则不等式()110f x -+≥的解集为( ) A .](2-∞,B .[)2,+∞C .[]24-,D .[]14,8.已知函数22|1|,7,()ln ,.x x e f x x e x e --⎧+-≤<=⎨≤≤⎩若存在实数m ,使得2()24f m a a =-成立,则实数a 的取值范围是( ) A .[-1,+∞) B .(-∞,-1]∪[3,+∞) C .[-1,3] D .(-∞,3]9.若函数32()21f x ax x x =+++在(1,2)上有最大值无最小值,则实数a 的取值范围为( )A .34a >-B .53a <-C .5334a -<<- D .5334a -≤≤- 10.设集合A={2,1-a ,a 2-a +2},若4∈A ,则a =( ) A .-3或-1或2 B .-3或-1C .-3或2D .-1或211.若集合3| 01x A x x -=≥+⎧⎫⎨⎬⎩⎭,{|10}B x ax =+≤,若B A ⊆,则实数a 的取值范围是( ) A .1,13⎡⎫-⎪⎢⎣⎭B .1,13⎛-⎤⎥⎝⎦C .(,1)[0,)-∞-+∞ D .1[,0)(0,1)3-⋃12.已知集合{},M m m a a b Q ==+∈,则下列四个元素中属于M 的元素的个数是( )①1A .4B .3C .2D .1二、填空题13.已知f (x )=23,123,1x x x x x +≤⎧⎨-++>⎩,则函数g (x )=f (x )-e x 的零点个数为________. 14.(文)已知函数2cos ,1()21,1xx f x x x π⎧≤⎪=⎨⎪->⎩,则关于x 的方程2()3()20f x f x -+=的实根的个数是________个.15.函数()()()212log 24f x ax x a R =-+∈,若()f x 的值域为(],1-∞,则a 的值为______.16.若函数()()20.2log 1f x kx kx =-+的定义域是R ,则实数k 的取值范围是______.17.定义在R 上的减函数()f x 满足(0)4f =,且对任意实数x 都有()(2)4f x f x +-=,则不等式|()2|2f x -<的解集为____________.18.若函数()y f x = 的定义域为[-1,3],则函数()()211f xg x x +=-的定义域 ___________19.已知集合{}1,2,5,7,13,15,16,19A =,设,i j x x A ∈,若方程(0)i j x x k k -=>至少有三组不同的解,则实数k 的所有可能取值是________20.若集合2{|(2)20,A x x a x a =-++-<x ∈Z }中有且只有一个元素,则正实数a 的取值范围是________三、解答题21.中国“一带一路”倡议提出后,某科技企业为抓住“一带一路”带来的机遇,决定开发生产一款大型电子设备,生产这种设备的年固定成本为500万元,每生产x 台需要另投入成本()C x (万元).当年产量不足80台时,21()402C x x x =+(万元),当年产量不小于80台时,8100()1012180C x x x=+-(万元),若每台设备售价为100万元,通过市场分析,该企业生产的电子设备能全部售完.(1)求年利润y (万元)关于年产量x (台)的函数关系式.(2)年产量为多少台时,该企业在这一电子设备的生产中所获利润最大?并求出这个最大利润.22.函数()f x 是定义在R 上的奇函数,当0x >时,()241f x x x =-+.(1)求函数()f x 的解析式:(2)根据解析式在图画出()f x 图象. (3)讨论函数()()g x f x m =-零点的个数.23.已知函数()log (0,1)a f x x a a =>≠,且(4)(2)1f f -=. (1)求函数()f x 的表达式;(2)判断函数()(2)(2)g x f x f x =++-的奇偶性,并说明理由.24.(1)求满足不等式221139x x --⎛⎫> ⎪⎝⎭的x 的取值集合;(2)求函数235()log (45)f x x x =--的单调递减区间.25.定义:满足()f x x =的实数x 为函数()f x 的“不动点”,已知二次函数()()20f x ax bx a =+≠,()1f x +为偶函数,且()f x 有且仅有一个“不动点”.(1)求()f x 的解析式;(2)若函数()()2g x f x kx =+在()0,4上单调递增,求实数k 的取值范围;(3)是否存在区间[](),m n m n <,使得()f x 在区间[],m n 上的值域为[]3,3m n ?若存在,请求出m ,n 的值;若不存在,请说明理由.26.已知集合{()(1)0}M xx t x =-+≤∣,{|21}N x x =|-|<. (1)当2t =时,求M N ⋃; (2)若N M ⊆,求实数t 的取值范围.【参考答案】***试卷处理标记,请不要删除一、选择题 1.B 解析:B 【分析】可设2()(3)1f x ax a x =+-+,0a ≠,讨论0a >,0a <,结合对称轴与区间的关系和1()2f 的符号、判别式的符号,解不等式可得所求范围. 【详解】解:方程有两个实数根,显然0a ≠,可设2()(3)1f x ax a x =+-+,对称轴是32ax a-=, 当0a >时,要使二次方程在区间1(,)2+∞上有两个实数根,如图所示,则需3122a a ->,且113()10242a f a -=++>,且2(3)40a a ∆=--, 即为302a <<且23a >,且9a 或1a ,则213a <;当0a <时,要使二次方程在区间1(,)2+∞上有两个实数根,如图所示,则需3122a a ->,且113()10242a f a -=++<,且2(3)40a a ∆=--, 即为302a <<且23<a ,且9a 或1a ,则a ∈∅.综上可得,a 的取值范围是213a <.故选:B . 【点睛】本题解题关键是结合二次函数的图象特征研究二次方程根的分布,分类讨论借助图象准确列出不等关系,突破难点.2.C解析:C 【分析】画出函数()()23y x x =--的图像,然后对四个选项逐一分析,由此得出错误结论的选项. 【详解】画出二次函数()()23y x x =--的图像如下图所示,当0m =时,122,3x x ==成立,故A 选项结论正确. 根据二次函数图像的对称性可知, 当 2.5x =时,y 取得最小值为14-, 要使()()23y x x m =--=有两个不相等的实数根, 则需14m >-,故B 选项结论正确. 当0m >时,根据图像可知122,3x x <>,故C 选项结论错误.由()()23x x m --=展开得2560x x m -+-=, 根据韦达定理得12125,6x x x x m +=⋅=-. 所以()()()2121212y x x x x m x x x x x x m =--+=-+++()()25623x x x x =-+=--,故()()12y x x x x m =--+与x 轴的交点坐标为()()2,0,3,0. 故选:C. 【点睛】思路点睛:一元二次方程根的分布,根据其有两个不等的实根,结合根与系数的关系、函数图象,判断各选项的正误.3.D解析:D 【解析】函数()()()1g x x f x π=--在区间3,32ππ⎡⎤-⎢⎥⎣⎦上的零点就是函数()y f x =与函数1()h x x π=-的交点的横坐标. ∵()()f x f x π+=-∴()()2f x f x π+=,即函数()f x 的周期为2π,且函数()f x 的图象关于直线2x π=对称.又可得()()2f x f x π+=--,从而函数()f x 的图象关于点(π,0)对称.函数1()h x x π=-的图象关于点(π,0)对称. 画出函数f(x),h(x)的图象(如下所示),根据图象可得函数f(x),h(x)的图象共有4个交点,它们关于点(π,0)对称. 所以函数()()()1g x x f x π=--在区间3,32ππ⎡⎤-⎢⎥⎣⎦上所有零点之和为2π+2π=4π. 选D .点睛:解答本题的关键是将函数()()()1g x x f x π=--零点问题转化为两个函数图象交点的横坐标问题,借助函数图象的直观性使得问题得到解答,这是数形结合在解答数学题中的应用,解题中要求正确画出函数的图象.同时本题中还用到了函数的周期性、对称性、奇偶性之间的互相转化,对于这些知识要做到熟练运用.4.C解析:C 【分析】由新定义可知探究y 轴左侧部分图像关于原点中心对称的图像与y 轴右侧部分图像的交点个数即得结果. 【详解】由题意可知,函数()y f x =的图像上有不同的两点,A B ,且,A B 两点关于原点对称,则称点对(),A B 是函数()y f x =的一对“镜像”,因为()23,02,0x x f x x x x ⎧-<⎪=⎨-≥⎪⎩,由y 轴左侧部分()3,0xy x =-<图像关于原点中心对称的图像3x y --=-,即3xy -=,()0x >,作函数3xy -=,()0x >和()22,0y x x x =-≥的图象如下:由图像可知两图象有三个公共点,即该函数有3对“镜像点对”. 故选:C. 【点睛】本题解题关键是理解新定义,寻找对称点对,探究y 轴左侧部分图像关于原点中心对称的图像与y 轴右侧部分图像的交点个数,通过数形结合,即突破难点.5.D解析:D 【分析】根据指数函数和对数函数性质,借助0和1进行比较. 【详解】由对数函数性质知151log 16>,13log 03π<,由指数函数性质知13031-<<,∴b c a <<. 故选:D . 【点睛】方法点睛:本题考查指数式、对数式的大小比较,比较指数式大小时,常常化为同底数的幂,利用指数函数性质比较,或化为同指数的幂,利用幂函数性质比较,比较对数式大小,常常化为同底数的对数,利用对数函数性质比较,如果不能化为同底数或同指数,或不同类型的数常常借助中间值如0或1比较大小.6.C解析:C 【分析】根据对数的运算性质,换底公式以及其推论即可求出. 【详解】原式=23443232448log 2log 3log 2log 3233⋅=⋅=. 故选:C . 【点睛】本题主要考查对数的运算性质,换底公式以及其推论的应用,属于基础题.7.C解析:C 【分析】根据题意可得()f x 在[0,)+∞上为减函数,结合奇偶性以及()31f =-可得(|1|)f x f ⇒-|1|3x -,解出x 的取值范围,即可得答案.【详解】函数()f x 是定义在R 上的偶函数,且函数()f x 在[0,)+∞上是减函数, 所以()f x 在(,0)-∞上是增函数,由f (3)1=-,则不等式(1)10(1)1(1)f x f x f x f -+⇒--⇒-(3)(|1|)f x f ⇒-(3)|1|3x ⇒-, 解之可得24x -, 故不等式的解集为[2-,4]. 故选:C . 【点睛】将奇偶性与单调性综合考查一直是命题的热点,解这种题型往往是根据函数在所给区间上的单调性,根据奇偶性判断出函数在对称区间上的单调性(偶函数在对称区间上单调性相反,奇函数在对称区间单调性相同),然后再根据单调性列不等式求解.8.C解析:C 【分析】根据函数()f x 的图象,得出值域为[2-,6],利用存在实数m ,使2()24f m a a =-成立,可得22246a a --,求解得答案. 【详解】作出函数22|1|,7()ln ,x x e f x x e x e --⎧+-<=⎨⎩的图象如图: (7)6f -=,2()2f e -=-,∴值域为[2-,6],若存在实数m ,使得2()24f m a a =-成立,22246a a ∴--,解得13a -,∴实数a 的取值范围是[1-,3].故选:C【点睛】本题考查分段函数的性质,考查函数值域的求解方法,同时考查了数形结合思想的应用,属于中档题.函数图象是函数的一种表达形式,它形象地揭示了函数的性质,为研究函数的数量关系提供了“形”的直观性.归纳起来,图象的应用常见的命题探究角度有:1、确定方程根的个数;2、求参数的取值范围;3、求不等式的解集;4、研究函数性质.9.C解析:C 【详解】分析:函数()3221f x ax x x =+++在()1,2上有最大值无最小值,则极大值在()1,2之间,一阶导函数有根在()1,2,且左侧函数值小于0,右侧函数值大于0,列不等式求解 详解:f ′(x )=3ax 2+4x +1,x ∈(1,2).a =0时,f ′(x )=4x +1>0,函数f (x )在x ∈(1,2)内单调递增,无极值,舍去. a ≠0时,△=16﹣12a . 由△≤0,解得43a ≥,此时f ′(x )≥0,函数f (x )在x ∈(1,2)内单调递增,无极值,舍去.由△>0,解得a 43<(a ≠0),由f ′(x )=0,解得x 1243a ---=,x 223a-+=.当403a <<时,x 1<0,x 2<0,因此f ′(x )≥0,函数f (x )在x ∈(1,2)内单调递增,无极值,舍去.当a <0时,x 1>0,x 2<0,∵函数f (x )=ax 3+2x 2+x +1在(1,2)上有最大值无最小值,∴必然有f ′(x 1)=0,∴123a-<2,a <0.解得:53-<a 34-<. 综上可得:53-<a 34-<. 故选:C .点睛:极值转化为最值的性质:若()[]f x x a,b ∈在上有唯一的极小值,且无极大值,那么极小值为()f x 的最小值;若()[]f x x a,b ∈在上有唯一的极大值,且无极小值,那么极大值为()f x 的最大值;10.C解析:C 【解析】若1−a =4,则a =−3,∴a 2−a +2=14,∴A ={2,4,14}; 若a 2−a +2=4,则a =2或a =−1,检验集合元素的互异性: a =2时,1−a =−1,∴A ={2,−1,4}; a =−1时,1−a =2(舍), 本题选择C 选项.11.A解析:A 【分析】先根据分式不等式求解出集合A ,然后对集合B 中参数a 与0的关系作分类讨论,根据子集关系确定出a 的范围. 【详解】因为301x x -≥+,所以()()10310x x x +≠⎧⎨-+≥⎩,所以1x <-或3x ≥,所以{|1A x x =<-或}3x ≥,当0a =时,10≤不成立,所以B =∅,所以B A ⊆满足, 当0a >时,因为10ax +≤,所以1x a≤-,又因为B A ⊆,所以11-<-a,所以01a <<, 当0a <时,因为10ax +≤,所以1x a ≥-, 又因为B A ⊆,所以13a -≥,所以103a -≤<, 综上可知:1,13a ⎡⎫∈-⎪⎢⎣⎭.故选:A.【点睛】本题考查分式不等式的求解以及根据集合间的包含关系求解参数范围,难度一般.解分式不等式的方法:将分式不等式先转化为整式不等式,然后根据一元二次不等式的解法或者高次不等式的解法(数轴穿根法)求出解集. 12.C解析:C【分析】①②③都可以写成m a =+,a b 是否是有理数,④计算.【详解】①当1a +=+时,可得1,a b π==,这与,a b Q ∈矛盾,3==3a ∴+=,可得3,1a b == ,都是有理数,所以正确,1==,12a ∴+=-,可得11,2a b ==-,都是有理数,所以正确,④2426=+=而(22222a a b +=++, ,a b Q ∈,(2a ∴+是无理数,不是集合M 中的元素,只有②③是集合M 的元素.故选:C【点睛】本题考查元素与集合的关系,意在考查转化与化归的思想,计算能力,属于基础题型.二、填空题13.2【详解】把函数的零点个数转化为方程解的个数转化为两个函数图象与象交点的个数在同一坐标系中画出这两个函数的图象由图象可知函数g(x)=f(x)-ex 的零点个数为2解析:2【详解】 把函数的零点个数转化为方程解的个数转化为两个函数图象与象交点的个数,在同一坐标系中画出这两个函数的图象,由图象可知,函数g (x )=f (x )-e x 的零点个数为2.14.5【分析】先解方程再根据图象确定实根个数【详解】或图象如图:则由图可知实根的个数是5个故答案为:5【点睛】本题考查函数与方程考查综合分析求解能力属中档题解析:5【分析】先解方程2()3()20f x f x -+=,再根据()f x 图象确定实根个数.【详解】2()3()20()1f x f x f x -+=∴=或()2f x =,2cos ,1()21,1x x f x x x π⎧≤⎪=⎨⎪->⎩图象如图:则由图可知,实根的个数是5个故答案为:5【点睛】本题考查函数与方程,考查综合分析求解能力,属中档题.15.【分析】根据对数的性质可知且最小值为即可求得的值【详解】因为的值域为所以函数的最小值为即解得故答案为:【点睛】本题考查对数函数的值域考查对数的性质合理转化是解题的关键考查了运算能力属于中档题 解析:27【分析】根据对数的性质可知2240y ax x =-+>,且最小值为1,即可求得a 的值. 【详解】因为()()()212log 24f x ax x a R =-+∈的值域为(],1-∞,所以2240ax x -+>, 函数224y ax x =-+的最小值为12,即()20442142a a a >⎧⎪⎨⨯--=⎪⎩,解得27a =, 故答案为:27【点睛】本题考查对数函数的值域,考查对数的性质,合理转化是解题的关键,考查了运算能力,属于中档题.16.【分析】由题可知恒成立再分情况讨论即可【详解】由题可知恒成立当时成立当时当时不等式不恒成立故实数k 的取值范围是故答案为:【点睛】本题主要考查了对数的定义域以及二次函数恒成立问题属于中等题型解析:[)0,4【分析】由题可知210kx kx -+>恒成立.再分情况讨论即可.【详解】由题可知210kx kx -+>恒成立.当0k =时成立.当0k >时,24004k k k ∆=-<⇒<<. 当k 0<时,不等式不恒成立.故实数k 的取值范围是[)0,4.故答案为:[)0,4【点睛】本题主要考查了对数的定义域以及二次函数恒成立问题.属于中等题型.17.【分析】由绝对值不等式可知利用中x 的任意性得再利用函数的单调性解不等式即可【详解】因为任意实数都有且令则故不等式解得即又函数为上的减函数解得故不等式的解集为故答案为:【点睛】方法点睛:本题考查了解抽 解析:(0,2)【分析】由绝对值不等式可知0()4f x <<,利用()(2)4f x f x +-=中x 的任意性得(2)0f =,再利用函数的单调性解不等式即可.【详解】因为任意实数x 都有()(2)4f x f x +-=,且(0)4f =,令2x =,则(2)(0)4f f +=,故(2)0f =不等式|()2|22()22f x f x -<⇒-<-<,解得0()4f x <<,即(2)()(0)f f x f << 又函数()f x 为R 上的减函数,解得02x <<,故不等式|()2|2f x -<的解集为(0,2) 故答案为:(0,2)【点睛】方法点睛:本题考查了解抽象不等式,要设法把隐性划归为显性的不等式求解,方法是: (1)把不等式转化为[][]()()f g x f h x >的模型;(2)判断函数()f x 的单调性,再根据函数的单调性将不等式的函数符号“f ”脱掉,得到具体的不等式(组)来求解,但要注意奇偶函数的区别.18.【分析】由函数的定义域得出的取值范围结合分母不等于0可求出的定义域【详解】函数的定义域函数应满足:解得的定义域是故答案为:【点睛】本题考查了求函数定义域的问题函数的定义域是函数自变量的取值范围应满足 解析:[1,1)-【分析】由函数()y f x =的定义域,得出21x +的取值范围,结合分母不等于0,可求出()g x 的定义域.【详解】函数()y f x =的定义域[1-,3],∴函数(21)()1f xg x x +=-应满足: 121310x x -≤+≤⎧⎨-≠⎩解得11x -≤< ()g x ∴的定义域是[1,1)-.故答案为:[1,1)-.【点睛】本题考查了求函数定义域的问题,函数的定义域是函数自变量的取值范围,应满足使函数的解析式有意义,是基础题.19.【分析】先将的可能结果列出然后根据相同结果出现的次数确定出的取值集合【详解】将表示为可得如下结果:其中为都出现了次所以若方程至少有三组不同的解则的取值集合为故答案为:【点睛】关键点点睛:解答本题的关 解析:{}3,6,14【分析】先将i j x x -的可能结果列出,然后根据i j x x -相同结果出现的次数确定出k 的取值集合.【详解】将i j x x k -=表示为(),,i j x x k ,可得如下结果: ()()()()()()()19,1,18,16,1,15,15,1,14,13,1,12,7,1,6,5,1,4,2,1,1,()()()()()()19,2,17,16,2,14,15,2,13,13,2,11,7,2,5,5,2,3,()()()()()()19,5,14,16,5,11,15,5,10,13,5,8,7,5,2,19,7,12,()()()()()()16,7,9,15,7,8,13,7,6,19,13,6,16,13,3,15,13,2,()()()19,15,4,16,15,1,19,16,3,其中k 为3,6,14都出现了3次,所以若方程(0)i j x x k k -=>至少有三组不同的解, 则k 的取值集合为{}3,6,14,故答案为:{}3,6,14【点睛】关键点点睛:解答本题的关键是理解方程(0)i j x x k k -=>至少有三组不同的解的含义,即i j x x -的差值出现的次数不小于三次,由此可进行问题的求解.20.【分析】由f (x )=x2﹣(a+2)x+2﹣a <0可得x2﹣2x+1<a (x+1)﹣1即直线在二次函数图像的上方的点只有一个整数1则满足题意结合图象即可求出【详解】f (x )=x2﹣(a+2)x+2﹣ 解析:12(,]23由f(x)=x2﹣(a+2)x+2﹣a<0可得x2﹣2x+1<a(x+1)﹣1,即直线在二次函数图像的上方的点只有一个整数1,则满足题意,结合图象即可求出.【详解】f(x)=x2﹣(a+2)x+2﹣a<0,即x2﹣2x+1<a(x+1)﹣1,分别令y=x2﹣2x+1,y=a(x+1)﹣1,易知过定点(﹣1,﹣1),分别画出函数的图象,如图所示:∵集合A={x∈Z|f(x)<0}中有且只有一个元素,即点(0,0)和点(2,1)在直线上或者其直线上方,点(1,0)在直线下方,结合图象可得∴10 {120 311aaa-≤--≤<,解得12<a23≤故答案为(12,23]【点睛】本题考查了二次函数的性质以及参数的取值范围,考查了转化思想和数形结合的思想,属于中档题三、解答题21.(1)2160500,080281001680,80x x xyx xx⎧-+-<<⎪⎪=⎨⎛⎫⎪-+≥⎪⎪⎝⎭⎩;(2)当年产量为90台时,该企业在这一电子设备的生产中所获利润最大,最大利润为1500万元.(1)分别求080x <<和80x ≥时函数的解析式可得答案;(2)当080x <<时,21(60)13002y x =--+,配方法求最值、;当80x ≥时, 利用基本不等式求最值,然后再做比较.【详解】 (1)当080x <<时,2211100405006050022y x x x x x ⎛⎫=-+-=-+- ⎪⎝⎭, 当80x ≥时,8100810010010121805001680y x x x x x ⎛⎫⎛⎫=-+--=-+ ⎪ ⎪⎝⎭⎝⎭, 于是2160500,080281001680,80x x x y x x x ⎧-+-<<⎪⎪=⎨⎛⎫⎪-+≥ ⎪⎪⎝⎭⎩. (2)由(1)可知当080x <<时,21(60)13002y x =--+, 此时当60x =时y 取得最大值为1300(万元),当80x ≥时,8100168016801500y x x ⎛⎫=-+≤-= ⎪⎝⎭, 当且仅当8100x x=即90x =时y 取最大值为1500(万元), 综上所述,当年产量为90台时,该企业在这一电子设备的生产中所获利润最大,最大利润为1500万元.【点睛】易错点睛:利用基本不等式求最值时,要注意其必须满足的三个条件:(1)“一正二定三相等”“一正”就是各项必须为正数;(2)“二定”就是要求和的最小值,必须把构成和的二项之积转化成定值;要求积的最大值,则必须把构成积的因式的和转化成定值;(3)“三相等”是利用基本不等式求最值时,必须验证等号成立的条件,若不能取等号则这个定值就不是所求的最值,这也是最容易发生错误的地方.22.(1)()2241,00,041,0x x x f x x x x x ⎧---<⎪==⎨⎪-+>⎩;(2)答案见解析;(3)答案见解析.【分析】(1)当0x <时,0x ->,运用已知区间的解析式和奇函数的定义结合()00f =,即可求解;(2)根据(1)中的解析式作出图象即可;(3)()()g x f x m =-零点的个数即等价于()y f x =与y m =两个函数图象交点的个数,数形结合讨论m 的值即可.【详解】(1)当0x =时,()00f =,当0x <时,0x ->,()241f x x x -=++,因为()f x 时奇函数,所以()()f x f x -=-,所以()()241f x x x f x -=++=-,即()()2410f x x x x =---<,所以()2241,00,041,0x x x f x x x x x ⎧---<⎪==⎨⎪-+>⎩(2)()f x 图象如图所示:(3)由()f x 图象知:()23f -=,()23f =-,①当3m <-或3m >时,()y f x =与y m =两个函数图象有1个交点,函数()()g x f x m =-有1个零点;②当3m =±时,()y f x =与y m =两个函数图象有2个交点,函数()()g x f x m =-有2个零点;③当31m -<≤-或13m ≤<时,()y f x =与y m =两个函数图象有3个交点,函数 ()()g x f x m =-有3个零点;④当11m -<<且0m ≠时,()y f x =与y m =两个函数图象有4个交点,函数 ()()g x f x m =-有4个零点;⑤当0m =时,()y f x =与y m =两个函数图象有5个交点,函数()()g x f x m =-有5个零点;综上所述:当3m <-或3m >时,()g x 有1个零点;当3m =±时,,()g x 有2个零点;当31m -<≤-或13m ≤<时,()g x 有3个零点;当11m -<<且0m ≠时,()g x 有4个零点;当0m = 时,()g x 有5个零点;【点睛】方法点睛:判断函数零点个数的方法(1)直接法:令()0f x =,如果能求出解,那么有几个不同的解就有几个零点;(2)利用函数的零点存在性定理:利用函数的零点存在性定理时,不仅要求函数的图象在区间[],a b 上是连续不断的曲线,并且()()0f a f b ⋅<,还必须结合函数的图象与性质,(如单调性、奇偶性)才能确定函数有多少个零点;(3)图象法:画出函数()f x 的图象,函数()f x 的图象与x 轴交点的个数就是函数()f x 的零点个数;将函数()f x 拆成两个函数,()h x 和()g x 的形式,根据()()()0f x h x g x =⇔=,则函数()f x 的零点个数就是函数()y h x =和()y g x =的图象交点个数;(4)利用函数的性质:若能确定函数的单调性,则其零点个数不难得到,若所考查的函数是周期函数,则需要求出在一个周期内的零点个数,根据周期性则可以得出函数的零点个数.23.(1)2()log f x x =(2)偶函数.见解析【分析】(1)根据(4)(2)1f f -=,代入到函数的解析式中可求得2a =,可求得函数()f x 的解析式; (2)由函数()f x 的解析式,求得函数()g x 的解析式,先求得函数()g x 的定义域,再由函数的奇偶性的判断方法证得函数的奇偶性.【详解】(1)因为()log (0,1)a f x x a a =>≠,且(4)(2)1f f -=,所以log 4log 21a a -=,即log 21a =.,解得2a =,所以2()log f x x =;(2)因为()log a f x x =,所以22()log (2)log (2)g x x x =++-,由2020x x +>⎧⎨->⎩,得22x -<<,所以()g x 的定义域为()22-,, 又因为22()log (2)log (2)()g x x x g x -=-++=,所以22()log (2)log (2)g x x x =++-为偶函数.【点睛】本题考查对数函数的函数解析式的求解,函数的奇偶性的证明,属于基础题.24.(1)32x x⎧⎨⎩或}1x <- (2)(5,)+∞ 【分析】 (1)先使得()22222139x x ---⎛⎫= ⎪⎝⎭,再由3x y =的单调性求解即可; (2)先求定义域,再根据复合函数单调性的“同增异减”原则求解即可.【详解】 解:(1)因为221139x x --⎛⎫> ⎪⎝⎭,且()22222139x x ---⎛⎫= ⎪⎝⎭,所以()222133x x --->,因为3x y =在R 上单调递增,所以()2221x x -->-,解得32x >或1x <-, 则满足不等式221139x x --⎛⎫> ⎪⎝⎭的x 的取值集合为32x x ⎧⎨⎩或}1x <- (2)由题,2450x x -->,解得5x >或1x <-,则定义域为()(),15,-∞-+∞, 设245u x x =--,35log y u =, 因为35log y u =单调递减,若求()f x 的递减区间,则求245u x x =--的递增区间, 因为245u x x =--的对称轴为2x =,所以在()5,+∞上单调递增,所以函数()f x 的单调减区间为()5,+∞【点睛】本题考查解指数不等式,考查复合函数的单调区间.25.(1)21()2f x x x =-+(2)3,8⎡⎫+∞⎪⎢⎣⎭(3)4,0m n =-=,证明见解析 【分析】(1)根据二次函数的对称性求出2b a =-,再将()f x 有且仅有一个“不动点转化为方程()f x x =有且仅有一个解,从而得出()f x 的解析式;(2)当102k -=时,由一次含函数的性质得出12k =满足题意,当102k -≠时,讨论二次函数()g x 的开口方向,根据单调性确定112x k =-与区间()0,4端点的大小关系得出实数k 的取值范围;(3)由2111()(1)222f x x =--+得出16m n <,结合二次函数的单调性确定()f x 在区间[],m n 上是增函数,从而得出()3()3f m m f n n =⎧⎨=⎩,再解方程2132x x x -+=得出m ,n 的值.【详解】(1)22(1)(1)(1)(2)f x a x b x ax a b x a b +=+++=++++为偶函数20,22a b b a a+∴=∴=-- 2()2f x ax ax ∴=-f x 有且仅有一个“不动点”∴方程()f x x =有且仅有一个解,即[](21)0ax x a -+=有且仅有一个解211210,,()22a a f x x x ∴+==-=-+ (2)221()()2g x f x kx k x x ⎛⎫=+=-+ ⎪⎝⎭,其对称轴为112x k =- 函数()()2g x f x kx =+在()0,4上单调递增∴当12k <时,1412k -,解得3182k < 当12k =时,()g x x =符合题意 当12k >时,1012k <-恒成立 综上,3,8k ⎡⎫∈+∞⎪⎢⎣⎭ (3)221111()(1)2222f x x x x =-+=--+ f x 在区间[],m n 上的值域为[]3,3m n ,113,26nn ∴,故16m n < ()f x ∴在区间[],m n 上是增函数()3()3f m m f n n =⎧∴⎨=⎩,即22132 132m m m n n n ⎧-+=⎪⎪⎨⎪-+=⎪⎩ ∴,m n 是方程2132x x x -+=的两根,解得0x =或4x =- 4,0m n ∴=-=【点睛】关键点睛:已知函数21()2g x k x x ⎛⎫=-+ ⎪⎝⎭在具体区间上的单调性求参数k 的范围时,关键是讨论二次项系数的值,结合二次函数的单调性确定参数k 的范围.26.(1)[1,3)-(2)[3,)+∞【分析】(1)可得出N ={x |1 <x <3 },t =2时求出集合M ,然后进行并集的运算即可;(2)根据N M ⊆即可得出集合M ={x |-1≤x ≤t },进而可得出t 的取值范围.【详解】(1){|21}N x x =|-|<={13}xx <<∣, 当2t =时,{(2)(1)0}(1,2)M xx x =-+≤=-∣, [)1,3M N ∴⋃=-(2)N M ⊆,∴M ={x |-1≤x ≤t },3t ∴≥,∴实数t 的取值范围[3,)+∞【点睛】本题主要考查了一元二次不等式和绝对值不等式的解法,并集的定义及运算,子集的定义,考查了计算能力,属于基础题.。
新北师大版高一必修一期末测试卷(共2套附解析)综合测试题(一) 本试卷分第Ⅰ卷(选择题)和第Ⅱ卷(非选择题)两部分.满分150分.考试时间120分钟.第Ⅰ卷(选择题共60分)A.(1,2) B.(2,3)C.(3,4) D.(4,5)5.已知f(x)是定义域在(0,+∞)上的单调增函数,若f(x)>f(2-x),则x的取值范围是() A.x>1 B.x<1C.0<x<2 D.1<x<26.已知x+x-=5,则的值为()A.5B.23C.25D.277.(2014·山东高考)已知函数y=log a(x+c)(a,c为常数,其中a>0,a≠1)的图像如图,则下列结论成立的是()A.a>1,c>1 B.a>1,0<c<1D.f(2)<f(-)<f(-1)12.如果一个点是一个指数函数的图像与一个对数函数的图像的公共点,那么称这个点为“好点”,在下面的五个点M(1,1),N(1,2),P(2,1),Q(2,2),G(2,)中,“好点”的个数为()A.0 B.1C.2 D.3第Ⅱ卷(非选择题共90分)二、填空题(本大题共4个小题,每小题5分,共20分,把答案填在题中横线上)13.若已知A∩{-1,0,1}={0,1},且A∪{-2,0,2}={-2,0,1,2},则满足上述条件的集合A共有________个.14.(2014·浙江高考)设函数f(x)=若f(f(a))=2,则a=________.15.用二分法求方程x3+4=6x2的一个近似解时,已经将一根锁定在区间(0,1)(1)根据a的不同取值,判断函数f(x)的奇偶性,并说明理由;(2)若a∈(1,3),判断函数f(x)在[1,2]上的单调性,并说明理由.22.(本小题满分12分)已知f(x)是定义在R上的奇函数,当x≥0时,f(x)=a x-1.其中a>0且a≠1.23.(1)求f(2)+f(-2)的值;(2)求f(x)的解析式;(3)解关于x的不等式-1<f(x-1)<4,结果用集合或区间表示.一.选择题1.[答案] D[解析]A={x|x2-4x+3<0}={x|1<x<3},B={x|2x-3>0}={x|x>}.故A∩B={x|<x<3}.故选D.2.[答案] C[解析]由函数y=f(x)的表达式可知,函数f(x)的定义域应满足条件:,解=52-2=23.故选B.7.[答案] D[解析]本题考查对数函数的图像以及图像的平移.由单调性知0<a<1.又图像向左平移,没有超过1个单位长度.故0<c<1,∴选D.8.[答案] B[解析]f(x)=3x+3-x且定义域为R,则f(-x)=3-x+3x,∴f(x)=f(-x),∴f(x)为偶函数.同理得g(-x)=-g(x),∴g(x)为奇函数.故选B.9.[答案] D[解析]∵y=()x为减函数,<,∴()>().13.[答案] 4[解析]∵A∩{-1,0,1}={0,1},∴0,1∈A且-1?A.又∵A∪{-2,0,2}={-2,0,1,2},∴1∈A且至多-2,0,2∈A.故0,1∈A且至多-2,2∈A.∴满足条件的A只能为:{0,1},{0,1,2},{0,1,-2},{0,1,-2,2},共有4个.14.[答案][解析]此题考查分段函数、复合函数,已知函数值求自变量.令f(a)=t,则f(t)=2.∵t>0时,-t2<0≠2,∴t≤0.即t2+2t+2=2,∴t=0或-2.∴A={x|x2-7x+12=0}={3,4},B={x|x2-5x+6=0}={2,3},经检验符合题意.∴A∪B={2,3,4}.18.[解析](1)原式=log33+lg(25×4)+2+1=+2+3=.(2)∵f(x-)=(x+)2=x2++2=(x2+-2)+4=(x-)2+4∴f(x)=x2+4,∴f(x+1)=(x+1)2+4=x2+2x+5.19.[解析](1)函数有两个零点,则对应方程-3x2+2x-m+1=0有两个根,易知Δ>0,即Δ=4+12(1-m)>0,可解得m<;Δ=0,可解得m=;Δ<0,可解得m>.故m<时,函数有两个零点;(2)设1≤x1<x2≤2,则f(x2)-f(x1)=ax+-ax-=(x2-x1)[a(x1+x2)-],由1≤x1<x2≤2,得x2-x1>0,2<x1+x2<4,1<x1x2<4,-1<-<-,又1<a<3,所以2<a(x1+x2)<12,得a(x1+x2)->0,从而f(x2)-f(x1)>0,即f(x2)>f(x1),故当a∈(1,3)时,f(x)在[1,2]上单调递增.23.[解析](1)∵f(x)是奇函数,∴f(-2)=-f(2),即f(2)+f(-2)=0. (2)当x<0时,-x>0,∴f(-x)=a-x-1.由f(x)是奇函数,有f(-x)=-f(x),∵f(-x)=a-x-1,∴f(x)=-a-x+1(x<0).∴所求的解析式为f(x)=.。
综合测试题(二)本试卷分第Ⅰ卷(选择题)和第Ⅱ卷(非选择题)两部分.满分150分.考试时间120分钟.第Ⅰ卷(选择题 共60分)一、选择题(本大题共12个小题,每小题5分,共60分,在每小题给出的四个选项中,只有一项是符合题目要求的)1.(2016·四川理,1)设集合A ={x|-2≤x ≤2},Z 为整数集,则集合A ∩Z 中元素的个数是( )A .3B .4C .5D .62.已知集合A ={x|0<log4x<1},B ={x|x ≤2},则A ∩B =( )A .(0,1)B .(0,2]C .(1,2)D .(1,2]3.(2015·广东高考)下列函数中,既不是奇函数,也不是偶函数的是( )A .y =x +exB .y =x +1xC .y =2x +12xD .y =1+x24.设f(x)=⎩⎪⎨⎪⎧|x -1|-2,|x|≤111+x2,|x|>1,则f[f(12)]=( )A.12B.413C .-95D.25415.log43、log34、log 4334的大小顺序是( )A.log34<log43<log433 4B.log34>log43>log433 4C.log34>log4334>log43D.log4334>log34>log436.函数f(x)=ax2-2ax+2+b(a≠0)在闭区间[2,3]上有最大值5,最小值2,则a,b的值为( )A.a=1,b=0B.a=1,b=0或a=-1,b=3C.a=-1,b=3D.以上答案均不正确7.函数f(x)=ax+loga(x+1)在[0,1]上的最大值与最小值之和为a,则a的值为( )A.14B.12C.2 D.48.(2015·安徽高考)函数f(x)=错误!的图像如图所示,则下列结论成立的是( )A.a>0,b>0,c<0B .a<0,b>0,c>0C .a<0,b>0,c<0D .a<0,b<0,c<09.(2016·山东理,9)已知函数f(x)的定义域为R.当x <0时,f(x)=x3-1;当-1≤x ≤1时,f(-x)=-f(x);当x >12时,f(x +12)=f(x -12).则f(6)=( )A .-2B .-1C .0D .210.函数f(x)=(x -1)ln|x|-1的零点的个数为( )A .0B .1C .2D .311.设0<a<1,函数f(x)=loga(a2x -2ax -2),则使f(x)<0的x 的取值范围是( )A .(-∞,0)B .(0,+∞)C .(-∞,loga3)D .(loga3,+∞)12.有浓度为90%的溶液100g ,从中倒出10g 后再倒入10g 水称为一次操作,要使浓度低于10%,这种操作至少应进行的次数为(参考数据:lg2=0.3010,lg3=0.4771)( )A .19B .20C .21D .22第Ⅱ卷(非选择题 共90分)二、填空题(本大题共4个小题,每小题5分,共20分,把答案填在题中横线上)13.已知loga 12>0,若ax2+2x -4≤1a,则实数x 的取值范围为________.14.直线y =1与曲线y =x2-|x|+a 有四个交点,则a 的取值范围________ .15.若函数y =m·3x-1-1m·3x-1+1的定义域为R ,则实数m 的取值范围是________.16.已知实数a ≠0,函数f(x)=⎩⎪⎨⎪⎧2x +a , x<1-x -2a , x≥1,若f(1-a)=f(1+a),则a的值为________.三、解答题(本大题共6个小题,满分70分,解答应写出文字说明,证明过程或演算步骤)17.(本小题满分10分)设A ={x|x2+4x =0},B ={x|x2+2(a +1)x +a2-1=0}. (1)若A ∩B =B ,求a 的值. (2)若A ∪B =B ,求a 的值.18.(本小题满分12分)已知函数f(x)=log 12 [(12)x -1],(1)求f(x)的定义域;(2)讨论函数f(x)的增减性.19.(本小题满分12分)设函数f(x)=ax -1x +1,其中a ∈R.(1)若a =1,f(x)的定义域为区间[0,3],求f(x)的最大值和最小值;(2)若f(x)的定义域为区间(0,+∞),求a 的取值范围,使f(x)在定义域内是单调减函数.20.(本小题满分12分)(1)定义在(-1,1)上的奇函数f(x)为减函数,且f(1-a)+f(1-a2)>0,求实数a 的取值范围.(2)定义在[-2,2]上的偶函数g(x),当x ≥0时,g(x)为减函数,若g(1-m)<g(m)成立,求m 的取值范围.21.(本小题满分12分)已知函数y =f(x)的定义域为D ,且f(x)同时满足以下条件: ①f(x)在D 上单调递增或单调递减函数;②存在闭区间[a ,b]∈D(其中a<b),使得当x ∈[a ,b]时,f(x)的取值集合也是[a ,b].那么,我们称函数y =f(x)(x ∈D)是闭函数.(1)判断f(x)=-x3是不是闭函数?若是,找出条件②中的区间;若不是,说明理由.(2)若f(x)=k +x +2是闭函数,求实数k 的取值范围.(注:本题求解中涉及的函数单调性不用证明,直接指出增函数还是减函数即可) 22.(本小题满分12分)已知函数f(x)=log 12 (x2-mx -m.(1)若m =1,求函数f(x)的定义域;(2)若函数f(x)的值域为R ,求实数m 的取值范围;(3)若函数f(x)在区间(-∞,1-3)上是增函数,求实数m 的取值范围. 一.选择题1.[答案] C[解析] 由题可知,A ∩Z ={-2,-1,0,1,2},则A ∩Z 中元素的个数为5.故选C. 2.[答案] D[解析] 因为A ={x|0<log4x<1}={x|1<x<4}, B ={x|x ≤2}.所以A ∩B ={x|1<x<4}∩{x|x ≤2}={x|1<x ≤2}. 3.[答案] A[解析] 令f(x)=x +ex ,则f(1)=1+e ,f(-1)=-1+e -1即f(-1)≠f(1),f(-1)≠-f(1),所以 y =x +ex 既不是奇函数也不是偶函数,而BCD 依次是偶函数、奇函数、偶函数,故选A. 4.[答案] B[解析] 由于|12|<1,所以f(12)=|12-1|-2=-32,而|-32|>1,所以f(-32)=错误!=1134=413,所以f[f(12)]=413,选B. 5.[答案] B[解析] 将各式与0,1比较.∵log34>log33=1,log43<log44=1,又0<34<1,43>1,∴log 43 34<0.6.[答案] B[解析] 对称轴x =1,当a>0时在[2,3]上递增, 则错误!解得错误!当a<0时,在[2,3]上递减, 则错误!解得错误! 故选B.有log 43 34<log43<log34.所以选B.7.[答案] B[解析] ∵当a>1或0<a<1时,ax 与loga(x +1)的单调性一致, ∴f(x)min +f(x)max =a ,即1+loga1+a +loga(1+1)=a ,∴a =12.8.[答案] C[解析] 由f(x)=错误!及图像可知,x ≠-c ,-c>0,则c<0;当x =0时,f(0)=错误!>0,所以b>0;当y =0,ax +b =0,所以x =-ba >0,所以a<0.故a<0,b>0,c<0,选C.9.[答案] D[解析] ∵当x>2时,f(x +12)=f(x -12),∴f(x +1)=f(x),∴f(6)=f(5)=f(4)=…=f(1),又当-1≤x ≤1时,f(x)=-f(-x).∴f(1)=-f(-1),又因为当x<0时,f(x)=x3-1, ∴f(1)=-f(-1)=-[(-1)3-1]=2. 10.[答案] D[解析] f(x)=(x -1)ln|x|-1的零点就是方程(x -1)ln|x|-1=0的实数根,而该方程等价于方程ln|x|=1x -1,因此函数的零点也就是函数g(x)=ln|x|的图像与h(x)=1x -1的图像的交点的横坐标.在同一平面直角坐标系内分别画出两个函数的图像(图略),可知两个函数图像有三个交点,所以函数有三个零点. 11.[答案] C[解析] 利用指数、对数函数性质.考查简单的指数、对数不等式. 由a2x -2ax -2>1得ax>3,∴x<loga3. 12.[答案] C[解析] 操作次数为n 时的浓度为(910)n +1,由(910)n +1<10%,得n +1>-1lg 910=-12lg3-1≈21.8,∴n ≥21. 二.填空题13.[答案] (-∞,-3]∪[1,+∞) [解析] 由loga 12>0得0<a<1.由a x2+2x -4≤1a 得a x2+2x -4≤a -1,∴x2+2x -4≥-1,解得x ≤-3或x ≥1. 14.[答案] 1<a<54[解析] y =⎩⎪⎨⎪⎧x2-x +a ,x≥0x2+x +a ,x<0作出图像,如图所示.此曲线与y 轴交于(0,a)点,最小值为a -14,要使y =1与其有四个交点,只需a -14<1<a ,∴1<a<54.15.[答案] [0,+∞)[解析] 要使函数y =m·3x-1-1m·3x-1+1的定义域为R ,则对于任意实数x ,都有m·3x -1+1≠0,即m ≠-⎝ ⎛⎭⎪⎫13x -1.而⎝ ⎛⎭⎪⎫13x -1>0,∴m ≥0. 故所求m 的取值范围是m ≥0,即m ∈[0,+∞). 16.[答案] -34[解析] 首先讨论1-a,1+a 与1的关系. 当a<0时,1-a>1,1+a<1,所以f(1-a)=-(1-a)-2a =-1-a ; f(1+a)=2(1+a)+a =3a +2.因为f(1-a)=f(1+a),所以-1-a =3a +2. 解得a =-34.当a>0时,1-a<1,1+a>1,所以f(1-a)=2(1-a)+a =2-a. f(1+a)=-(1+a)-2a =-3a -1, 因为f(1-a)=f(1+a)所以2-a =-3a -1,所以a =-32(舍去)综上,满足条件的a =-34.三、解答题17.[分析] A ∩B =B ⇔B ⊆A ,A ∪B =B ⇔A ⊆B. [解析] A ={-4,0}. (1)∵A ∩B =B ,∴B ⊆A.①若0∈B ,则a2-1=0,a =±1. 当a =1时,B =A ;当a =-1时,B ={0},则B ⊆A.②若-4∈B ,则a2-8a +7=0,解得a =7,或a =1. 当a =7时,B ={-12,-4}, A.③若B =∅,则Δ=4(a +1)2-4(a2-1)<0,a<-1. 由①②③得a =1,或a ≤-1. (2)∵A ∪B =B ,∴A ⊆B.∵A ={-4,0},又∵B 中至多只有两个元素, ∴A =B. 由(1)知a =1.18.[解析] (1)(12)x -1>0,即x<0,所以函数f(x)定义域为{x|x<0}.(2)∵y =(12)x -1是减函数,f(x)=log 12 x 是减函数,∴f(x)=log 12 [(12)x -1]在(-∞,0)上是增函数.19.[解析] f(x)=ax -1x +1=错误!=a -错误!,设x1,x2∈R ,则f(x1)-f(x2)=a +1x2+1-a +1x1+1=错误!.(1)当a =1时,f(x)=1-2x +1,设0≤x1<x2≤3,则f(x1)-f(x2)=错误!, 又x1-x2<0,x1+1>0,x2+1>0, ∴f(x1)-f(x2)<0,∴f(x1)<f(x2), ∴f(x)在[0,3]上是增函数, ∴f(x)max =f(3)=1-24=12,f(x)min =f(0)=1-21=-1.(2)设x1>x2>0,则x1-x2>0,x1+1>0,x2+1>0. 若使f(x)在(0,+∞)上是减函数,只要f(x1)-f(x2)<0, 而f(x1)-f(x2)=错误!,∴当a +1<0,即a<-1时,有f(x1)-f(x2)<0, ∴f(x1)<f(x2).∴当a<-1时,f(x)在定义域(0,+∞)内是单调减函数. 20.[解析] (1)∵f(1-a)+f(1-a2)>0, ∴f(1-a)>-f(1-a2).∵f(x)是奇函数,∴f(1-a)>f(a2-1).又∵f(x)在(-1,1)上为减函数,∴⎩⎪⎨⎪⎧ 1-a<a2-1,-1<1-a<1,-1<1-a2<1,解得1<a< 2.(2)因为函数g(x)在[-2,2]上是偶函数,则由g(1-m)<g(m)可得g(|1-m|)<g(|m|).又当x ≥0时,g(x)为减函数,得到⎩⎪⎨⎪⎧ |1-m|≤2,|m|≤2,|1-m|>|m|,即错误!解之得-1≤m<12. 21.[解析] (1)f(x)=-x3在R 上是减函数,满足①;设存在区间[a ,b],f(x)的取值集合也是[a ,b],则⎩⎪⎨⎪⎧ -a3=b -b3=a ,解得a =-1,b =1,所以存在区间[-1,1]满足②,所以f(x)=-x3(x ∈R)是闭函数.(2)f(x)=k +x +2是在[-2,+∞)上的增函数,由题意知,f(x)=k +x +2是闭函数,存在区间[a ,b]满足②,即⎩⎨⎧ k +a +2=a k +b +2=b即a ,b 是方程k +x +2=x 的两根,化简得,a ,b 是方程x2-(2k +1)x +k2-2=0的两根,且a ≥k ,b>k.令f(x)=x2-(2k +1)x +k2-2,得错误!解得-94<k ≤-2, 所以实数k 的取值范围为(-94,-2]. 22.[解析] (1)m =1时,f(x)=log 12(x2-x -1),由x2-x -1>0可得:x>1+52或x<1-52, ∴函数f(x)的定义域为(1+52,+∞)∪(-∞,1-52). (2)由于函数f(x)的值域为R ,所以z(x)=x2-mx -m 能取遍所有的正数从而Δ=m2+4m ≥0,解得:m ≥0或m ≤-4.即所求实数m 的取值范围为m ≥0或m ≤-4.(3)由题意可知:错误!⇒2-2错误!≤m<2. 即所求实数m 的取值范围为[2-23,2).。
高一数学期末(含答案)2019-2020学年度第一学期期末考试高一数学参考答案一、选择题1.解析:根据函数y=cos(-2x)的周期公式T=2π/|ω|可知,函数的最小正周期是T=π/2.故选D。
2.解析:根据勾股定理可得r=√(4^2+3^2)=5,由任意角的三角函数定义可得cosα=-4/5.故选B。
3.删除。
4.解析:由cos(π+α)=-cosα得cosα=-1/3.故选A。
5.解析:根据三角函数的基本关系sin^2α+cos^2α=1和1-cos2α=2sin^2(α/2)可得sinα=√(1-cos^2α)=√(26/169),tanα=sinα/cosα=-2/3.故选D。
6.删除。
7.解析:由题意可得函数f(x)的图像是连续不断的一条曲线,且f(-2)0,故f(0)·f(1)<0,即函数在(0,1)内有一个零点。
故选C。
8.解析:由勾股定理可得EB=√(ED^2+DB^2)=√(1+1/9)=√(10/9),AD=AB-DB=2AB/3,故EB/AD=√(10/9)/(2AB/3)=√10/2=AB/AD。
故选A。
9.解析:由a+b=a-b两边平方得a^2+2ab+b^2=a^2-2ab+b^2,即ab=0,故a⊥b。
故选A。
10.解析:大正方形的边长为10,小正方形的边长为2,故小正方形的对角线长为2√2.由勾股定理可得大正方形的对角线长为10√2,故大正方形内切圆的半径为5-√2,故其面积为(5-√2)^2π=23π-10√2.故选A。
4sinα-2cosα = 2(2sinα-cosα) = 2(2tanα-1)cosα/√(1+4tan^2α) 4(1-2sin^2α)/(5+3tanα) = 8/135cosα+3sinα = √34sin(α+0.424)sinαcosα = 22/37tanα=2.sinα=4/√20.cosα= -1/√20cos2α=5/13.cosα=±√5/13因为α是第三象限角,所以cosα=-√5/13.sinα=-2√5/131) 设X=2x+π/3,则X=2x+2πk/3.k∈Zy=sinX的单调递减区间为[2kπ+π/3.2kπ+5π/3]。
一、选择题。
(共10小题,每题4分) 1、设集合A={x ∈Q|x>-1},则( )A 、A ∅∉B 、2A ∉C 、2A ∈D 、{}2 ⊆A2、设A={a ,b},集合B={a+1,5},若A∩B={2},则A∪B=( )A 、{1,2}B 、{1,5}C 、{2,5}D 、{1,2,5} 3、函数21)(--=x x x f 的定义域为( ) A 、[1,2)∪(2,+∞) B 、(1,+∞) C 、[1,2) D 、[1,+∞)4、设集合M={x|-2≤x ≤2},N={y|0≤y ≤2},给出下列四个图形,其中能表示以集合M 为定义域,N 为值域的函数关系的是( )5、三个数70。
3,0。
37,,㏑0.3,的大小顺序是( )A 、 70。
3,0.37,,㏑0.3,B 、70。
3,,㏑0.3, 0.37C 、 0.37, , 70。
3,,㏑0.3,D 、㏑0.3, 70。
3,0.37,6、若函数f(x)=x 3+x 2-2x-2的一个正数零点附近的函数值用二分法逐次计算,参考数据如下表:f(1)=-2 f(1.5)=0.625 f(1.25)=-0.984 f(1.375)=-0.260 f(1.438)=0.165f(1.4065)=-0.052那么方程x 3+x 2-2x-2=0的一个近似根(精确到0.1)为( ) A 、1.2 B 、1.3 C 、1.4 D 、1.57、函数2,02,0x x x y x -⎧⎪⎨⎪⎩≥=< 的图像为( )8、设()log a f x x =(a>0,a ≠1),对于任意的正实数x ,y ,都有( )A 、f(xy)=f(x)f(y)B 、f(xy)=f(x)+f(y)C 、f(x+y)=f(x)f(y)D 、f(x+y)=f(x)+f(y)9、函数y=ax 2+bx+3在(-∞,-1]上是增函数,在[-1,+∞)上是减函数,则( ) A 、b>0且a<0 B 、b=2a<0 C 、b=2a>0 D 、a ,b 的符号不定 10、某企业近几年的年产值如图,则年增长率最高的是 ( )(年增长率=年增长值/年产值)A 、97年B 、98年C 、99年D 、00年二、填空题(共4题,每题4分)11、f(x)的图像如下图,则f(x)的值域为 ;12、计算机成本不断降低,若每隔3年计算机价格降低1/3,现在价格为8100元的计算机,则9年后价格可降为 ;13、若f(x)为偶函数,当x>0时,f(x)=x,则当x<0时,f(x)= ;14、老师给出一个函数,请三位同学各说出了这个函数的一条性质: ①此函数为偶函数;②定义域为{|0}x R x ∈≠; ③在(0,)+∞上为增函数.老师评价说其中有一个同学的结论错误,另两位同学的结论正确。
高一数学上册期末考试试卷及答案解析一、单选题 1.设全集2,1,0,1,2U,集合{}{}0,1,21,2A =-,B=,则()U A B =( )A .{}01, B .{}0,1,2 C .{}1,1,2- D .{}0,1,1,2-2.“5x >”是“3x >”的( ) A .充分不必要条件 B .必要不充分条件C .充要条件D .既不充分又不必要条件3.下列命题中正确的( ) ①0与{0}表示同一个集合;②由1,2,3组成的集合可表示为{1,2,3}或{3,2,1}; ③方程(x -1)2(x -2)=0的所有解的集合可表示为{1,1,2}; ④集合{x |4<x <5}可以用列举法表示. A .只有①和④ B .只有②和③ C .只有②D .以上语句都不对 4.下列命题中,既是全称量词命题又是真命题的是( ) A .矩形的两条对角线垂直 B .对任意a ,b ∈R ,都有a 2 + b 2≥ 2(a ﹣b ﹣1) C .∃x ∈R , |x | + x = 0 D .至少有一个x ∈Z ,使得x 2 ≤2成立5.已知02x <<,则y = )A .2B .4C .5D .66.若110a b <<,则下列结论不正确的是( ) A .22a b <B .1ba <C .2b aa b +>D .2ab b <7.命题p :“2R,240x ax ax ∃∈+-≥”为假命题的一个充分不必要条件是( ) A .40aB .40a -≤<C .30a -≤≤D .40a -≤≤8.集合{1,2,4}A =,{}2B x x A =∈,将集合A ,B 分别用如图中的两个圆表示,则圆中阴影部分表示的集合中元素个数恰好为4的是( ) A .B .C .D .二、多选题9.已知集合222{2,1,4},{0,2}A a a a B a a =+-=--,5A ∈,则a 为( ) A .2B .2-C .5D .1-10.若正实数,a b 满足1a b +=,则下列说法正确的是( ) A .ab 有最小值14 B C .1122a b a b +++有最小值43D .22a b +有最小值1211.下列命题为真命题的是( ). A .若a b >,则11b a >B .若0a b >>,0c d <<,则abd c < C .若0a b >>,且0c <,则22cc a b > D .若a b >,且11a b>,则0ab < 12.若“x M x x ∀∈>,”为真命题,“3x M x ∃∈>,”为假命题,则集合M 可以是( )A .()5-∞-,B .(]31--,C .()3+∞,D .[]03,三、填空题13.若命题2:0,30p x x ax ∀≥-+>,则其否定为p ⌝:__________________.14.已知:282p x -≤-≤,:1q x >,:2r a x a <<.若r 是p 的必要不充分条件,且r 是q 的充分不必要条件,则实数a 的取值范围为______. 15.设集合{}{}21,2,R (1)0A B x x a x a ==∈-++=,若集合C = A B ,且C 的子集有4个,则实数a 的取值集合为______________. 16.若a ∈R ,0b >,3a b +=,则当=a ______时,1||3||a a b +取得最小值.四、解答题17.求解下列问题:(1)已知0b a <<,比较1a 与1b 的大小; (2)比较()()37x x ++和()()46x x ++的大小.18.已知集合{|15}A x x =<≤,{}|04B x x =<<,{}|121C x m x m =+<<-. (1)求A B ,R ()A B ⋃: (2)若BC C =,求实数m 的取值范围.19.已知不等式20x ax b -+<的解集为{}17x x <<. (1)求实数,a b 的值.(2)求不等式101ax bx +>-的解集.20.已知0,0x y >>,且280x y xy +-=,求(1)xy 的最小值; (2)x y +的最小值. 21.22.“绿水青山就是金山银山”,为了保护环境,某工厂在政府部门的鼓励下进行技术改进,把二氧化碳化为某种化工产品,经测算,该处理成本y (单位:万元)与处理量x (单位:吨)之间的函数关系可近似表示为2401600y x x =-+,3050x ≤≤,已知每处理一吨二氧化碳可获得价值20万元的某种化工产品.(1)当处理量为多少吨时,每吨的平均处理成本最少?(2)判断该技术改进能否获利?如果能获利,求出最大利润;如果不能获利,则国家至少需要补贴多少万元该工厂才不会亏损?参考答案:1.A 【分析】先求出UB ,再根据交集的定义可求()U A B ∩.【详解】{}2,0,1UB =-,故(){}0,1UAB =,故选:A.2.A 【分析】根据集合与充分必要条件的关系,判断选项. 【详解】{}5x x > {}3x x >,所以“5x >”是“3x >”的充分不必要条件. 故选:A3.C 【分析】由集合的表示方法判断①,④;由集合中元素的特点判断②,③.【详解】①{0}表示元素为0的集合,而0只表示一个元素,故①错误;②符合集合中元素的无序性,正确; ③不符合集合中元素的互异性,错误;④中元素有无穷多个,不能一一列举,故不能用列举法表示. 故选:C .4.B 【分析】根据全称量词和特称量词命题的定义判断,全称量词命题要为真命题必须对所以的成立,对选项逐一判断即可.【详解】A 选项为全称量词命题,却是假命题,矩形的两条对角线相等,并不垂直,故A 错误.C,D 选项是特称量词命题,故错误. B 选项是全称量词命题,用反证法证明, 因为()()2222222110a b a b a b +-++=-++≥所以对,a b ∀∈R ,()2221a b a b +--≥,故B 正确.故选:B. 5.【答案】A 【分析】设直角三角形的两个直角边为x ,y ,由此可得2225x y +=,又面积1=2S xy ,利用基本不等式可求面积的最大值. 【详解】设直角三角形的两个直角边为x ,y ,则2225x y +=, 又1=2S xy由基本不等式可得221125=2224x y S xy ⎛⎫+≤= ⎪⎝⎭(当且仅当x =y 立) 故选:A.6.B 【分析】由110a b <<得出0b a <<,再利用不等式的基本性质和基本不等式来判断各选项中不等式的正误. 【详解】110a b<<,0b a ∴<<,0b a ∴->->,22a b ∴<,A 选项正确;1b b a a-=>-,B 选项错误;由基本不等式可得2baa b +≥=,当且仅当1b a =时等号成立,1b a >,则等号不成立,所以2baa b +>,C 选项正确;0b a <<,2b ab ∴>,D选项正确.故选:B.【点睛】本题考查不等式正误的判断,涉及不等式的基本性质和基本不等式,考查推理能力,属于基础题.7.C 【分析】由题意,p ⌝为真命题,进而可得p ⌝为真命题时的充要条件,再根据充分与必要条件的性质判断选项即可. 【详解】命题2:R,240p x ax ax ∃∈+-≥为假命题,即命题2:R,240p x ax ax ⌝∀∈+-<为真命题.首先,0a =时,40-<恒成立,符合题意; 其次0a ≠时,则0a <且2(2)160a a ∆=+<,即40a ,综上可知,40a .结合选项可得,{}{}3040a a a a -≤≤⊆-<≤,即:30a -≤≤是40a 的一个充分不必要条件. 故选:C8.C 【分析】记U A B =⋃,然后分析每个选项对应的集合的运算并求解出结果进行判断即可.【详解】因为{}1,2,4A =,{}2B x x A=∈,所以{}2,B =--,记{}2,U AB ==--,对于A 选项,其表示(){}4U A B =,不满足;对于B 选项,其表示(){}2,U A B =--,不满足;对于C 选项,其表示(){2,U A B =--,满足;对于D 选项,其表示{}1,2A B =,不满足;故选:C.9.BC 【分析】结合元素与集合的关系,集合元素的互异性来求得a 的值.【详解】依题意5A ∈,当215a+=时,2a =或2a =-,若2a =-,则{}{}2,5,12,0,4A B ==,符合题意;若2a =,则220a a --=,对于集合B ,不满足集合元素的互异性,所以2a =不符合.当245a a -=时,1a =-或5a =,若1a =-,则212a +=,对于集合A ,不满足集合元素的互异性,所以1a =-不符合.若5a =,则{}{}2,26,5,0,18A B ==,符合题意. 综上所述,a 的值为2-或5. 故选:BC10.BCD 【分析】由已知结合基本不等式及其变形形式分别检验各选项即可判断.【详解】由正实数,a b 满足1a b +=,则2124a b ab +⎛⎫≤= ⎪⎝⎭,当且仅当12a b ==时,等号成立,所以ab 的最大值为14,故A 选项错误;由()222a b a b =+++=12a b ==时,,故B 选项正确;由11111(33)22322a b a b a b a b a b ⎛⎫+=++ ⎪++++⎝⎭111[(2)(2)]3221222322a b a b a b a b a b a b a b a b ⎛⎫=++++ ⎪++⎝⎭++⎛⎫=++ ⎪++⎝⎭14233⎛≥+= ⎝,当且仅当12a b ==时,等号成立,所以1122a b a b +++有最小值43,故C 选项正确;由222222()1()2()2222a b a b a b a b ab a b ++⎛⎫+=+-≥+-⨯== ⎪⎝⎭,当且仅当12a b ==时,等号成立,所以22a b +有最小值12,故D 选项正确. 故选:BCD.11.BCD 【解析】举反例说明选项A 错误;利用不等式的性质证明出选项B ,C 正确;利用作差法证明出选项D 正确.【详解】选项A :当取1a =,1b =-时,11b a <,∴本命题是假命题. 选项B :已知0a b >>,0cd <<,所以110dc->->,∴abd c ->-,故abd c <,∴本命题是真命题. 选项C :222211000a b a b a b >>⇒>>⇒<<,∵0c <,∴22cca b >,∴本命题是真命题. 选项D :111100b aa b a b ab->⇒->⇒>, ∵a b >,∴0b a -<,∴0ab <,∴本命题是真命题. 故选:BCD【点睛】本题考查不等式的性质,考查命题的真假,属于基础题. 12.AB 【解析】根据假命题的否定为真命题可知3x M x ∀∈≤,,又x M x x ∀∈>,,求出命题成立的条件,求交集即可知M 满足的条件.【详解】3x M x ∃∈>,为假命题,3x M x ∴∀∈≤,为真命题,可得(,3]M ⊆-∞,又x M x x ∀∈>,为真命题, 可得(,0)M ⊆-∞, 所以(,0)M ⊆-∞,故选:AB【点睛】本题主要考查了含量词命题的真假,集合的包含关系,属于中档题.13.20,30x x ax ∃≥-+≤【分析】直接利用存在量词写出其否定即可. 【详解】因为命题2:0,30p x x ax ∀≥-+>, 所以其否定p ⌝:20,30x x ax ∃≥-+≤.故答案为:20,30x x ax ∃≥-+≤.14.()5,6【分析】根据充分与必要条件,可得p ,q ,r 中集合的包含关系,再根据区间端点列式求解即可.【详解】易得:610p x ≤≤.记p ,q ,r 中x 的取值构成的集合分别为A ,B ,C ,由于r 是p 的必要不充分条件,r 是q 的充分不必要条件,则AC ,CB ,则016210a a a >⎧⎪≤<⎨⎪>⎩,解得56a <<,即实数a 的取值范围是()5,6.故答案为:()5,615.{}1,2【分析】先求出集合B 中的元素,再由C 的子集有4个,可知集合C 中只有2个元素,然后分1,2a a ==和1a ≠且2a ≠三种情况求解即可.【详解】由2(1)0x a x a -++=,得1x =或x a =, 因为集合C = A B ,且C 的子集有4个, 所以集合C 中只有2个元素, ①当1a =时,{}1B =,因为{}1,2A =,所以{}1,2A B ⋃=,即{}1,2C =,所以1a =满足题意,②当2a =时,{}1,2B =,因为{}1,2A =,所以{}1,2A B ⋃=,即{}1,2C =,所以2a =满足题意, ③当1a ≠且2a ≠时,{}1,B a =, 因为{}1,2A =,所以{}1,2,A B a =,即{}1,2,C a =,不合题意,综上,1a =或2a =,所以实数a 的取值集合为{}1,2, 故答案为:{}1,216.32-【分析】由题知3a <,进而分0<<3a 和0a <两种情况,结合基本不等式求解即可.【详解】解:因为3a b +=,0b >,所以30b a =->,即3a <.当0<<3a 时,11173||99999a ab a b a a b a b a b ++=+=++≥+, 当且仅当34a =时取等号,所以当34a =时,13a a b+取得最小值79;当0a <时,11139999a a b a b a a ba b a b ++=--=---≥-+59=, 当且仅当32a =-时取等号,所以当32a =-时,13a a b+取得最小值59.综上所述,当32a =-时,13a a b+取得最小值.故答案为:32-17.(1)11a b <(2)()()()()3746x x x x ++<++【分析】(1)利用差比较法比较大小. (2)利用差比较法比较大小.(1)11110,0,0,0,b a b a ab b a a b ab a b-<<>-<-=<<.(2)()()()()()()()()4630,737634x x x x x x x x ++=-<-+<+++++.18.(1){|05}A B x x ⋃=<≤;R(){05}A B x x x ⋃=≤>∣或;(2)52m ≤. 【分析】(1)由并集的定义及补集的定义进行计算即可; (2)BC C =等价于C B ⊆,按B =∅和B ≠∅讨论,分别列出不等式,解出实数m 的取值范围. (1)∵集合{|15}A x x =<≤,{}|04B x x =<<, ∴{|05}A B x x ⋃=<≤;R(){05}A B x x x ⋃=≤>∣或.(2) 因为BC C =,所以C B ⊆,当B =∅时,则121m m +≥-,即2m ≤;当B ≠∅时,则12110214m m m m +<-⎧⎪+≥⎨⎪-≤⎩,解得522m <≤;综上,实数m 的取值范围为52m ≤.19.(1)8,7a b ==;(2)11(,)(,)87-∞-⋃+∞【分析】(1)由解集得到方程20x ax b -+=的根,利用韦达定理可求,a b .(2)利用(1)中的结果并把分式不等式转化为一元二次不等式可求解集.【详解】(1)因为不等式20x ax b -+<的解集是{}17x x <<. 所以20x ax b -+=的解是1和7.故1771ab +=⎧⎨⨯=⎩,解得 87a b =⎧⎨=⎩. (2)由101ax bx +>-得81071x x +>-,即()()81710x x +->, 解得18x <-或17x >,故原不等式的解集为11(,)(,)87-∞-⋃+∞. 20.(1)64;(2)18.【解析】(1)由280x y xy +-=,得到821x y +=,利用基本不等式,即可求解. (2)由280x y xy +-=,得821x y +=,根据8282()()10y xx y x y x y x y +=++=++,结合不等式,即可求解.【详解】(1)由280x y xy +-=,可得821x y +=,又由0,0x y >>,可得821x y =+≥,当且仅当82x y =,即4x y =时,等号成立,即64xy ≥, 所以xy 的最小值为64. (2)由280x y xy +-=,得821x y +=,因为0,0x y >>,可得8282()()101018y x x y x y x y x y +=++=++≥+, 当且仅当82y xx y =,即12,6x y ==时等号成立,所以x y +的最小值为18.【点睛】利用基本不等式求最值时,要注意其满足的三个条件:“一正、二定、三相等”:(1)“一正”:就是各项必须为正数;(2)“二定”:就是要求和的最小值,必须把构成和的二项之积转化成定值;要求积的最大值,则必须把构成积的因式的和转化成定值;(3)“三相等”:利用基本不等式求最值时,必须验证等号成立的条件,若不能取等号则这个定值就不是所求的最值,这也是最容易发生错误的地方. 21.(1)[0,254] (2){}|2a a <【分析】(1)首先求解集合A ,再求二次函数的值域;(2)首先将不等式,参变分离得2452x x a x -+-<-,转化为求函数的最值,即可求解. (1)2230x x --≤等价于()()2310x x -⋅+≤,.解得312x -≤≤所以3|12A x x ⎧⎫=-≤≤⎨⎬⎩⎭. ∴二次函数223253424y x x x ⎛⎫=-++=--+ ⎪⎝⎭, 函数在区间31,2⎡⎤-⎢⎥⎣⎦单调递增,所以当32x =时,y 取最大值为254, 当1x =-时,y 取最小值为0,所以二次函数234y x x =-++.x A ∈的值域是[0,254]. (2)由(1)知3|12A x x ⎧⎫=-≤≤⎨⎬⎩⎭ ∵()24520x a x a +-+->恒成立. 即24520x ax x a +-+->恒成立.∴()2245x a x x -⋅>-+-恒成立. .∵312x -≤≤.∴20x -<.()()222214545122222x x x x x a x x x x x-+-+--+∴<===-+----∵20x ->,∴()1222x x-+≥-.. 当且仅当122x x -=-且312x -≤≤时,即1x =时,等号成立,. ∴2a <,故a 的取值范围为{}|2a a < 22.(1)31a b ==, (2)32a -≤<-或45a <≤ (3)53a ≥-【分析】(1)根据二次函数与对应不等式和方程的关系,利用根与系数的关系,即可求出a 、b 的值;(2)由()1f x b <-得()23220x a x a -+++<,令()()2322h x x a x a =-+++,求出()0h x <解集中恰有3个整数时a 的取值范围即可.(3)由()f x b ≥在[]31x ∈--,上恒成立,知()23210x a x a -+++在[]31x ∈--,上恒成立,化简得()()222213122x x x x a x x -+---+=--,设[]253t x =-∈--,,()2111t t g t t t t+-==-+,求出()g t 的最大值,进一步求出实数a 的取值范围;(1)解:因为函数()()2321f x x a x a b =-++++,a ,b R ∈,又()0f x >的解集为{2|x x <或4}x >,所以2,4方程()23210x a x a b -++++=的两根,由()2432421a a b ⎧+=+⎨⨯=++⎩, 解得31;a b ==, (2)由()1f x b <-得()23220x a x a -+++<, 令()()2322h x x a x a =-+++,则()()()()12h x x a x =-+-,知()20h =,故()0h x <解集中的3个整数只能是3,4,5或1-,0,1;①若解集中的3个整数是3,4,5,则516a <+≤,得45a <≤;②解集中的3个整数是1-,0,1;则211a -≤+<-,得32a -≤<-;综上,由①②知,实数a 的取值范围为32a -≤<-或45a <≤. (3)因为函数()()2321f x x a x a b =-++++,a ,b R ∈,由()f x b 在[]31x ∈--,上恒成立,知()23210x a x a -+++在[]31x ∈--,上恒成立, 化简得()()222213122x x x x a x x -+---+=--,设[]253t x =-∈--,, 设()2111t t g t t t t +-==-+,因为在()g t 在[]53--,上单调递增, 即()153133g t --+=--,所以53a ≥-. 23.(1)40吨(2)不会获利,700万元【分析】(1)根据已知条件,结合基本不等式的公式,即可求解.(2)当3050x ≤≤时,该工厂获利S ,则()2220401600(30)700S x x x x =--+=---,再结合二次函数的性质,即可求解. (1)由题意可得,二氧化碳的平均处理成本1600()40yP x x x x==+-,3050x ≤≤,当3050x ≤≤时,1600()404040P x x x =+-≥=, 当且仅当1600x x=,即40x =等号成立, 故()P x 取得最小值为(40)40P =,故当处理量为40吨时,每吨的平均处理成本最少. (2)当3050x ≤≤时,该工厂获利S , 则()2220401600(30)700S x xx x =--+=---,当3050x ≤≤时,max 7000S =-<,故该工厂不会获利,国家至少需要补贴700万元,该工厂不会亏损.。
新北师大版高一必修一期末测试卷(共 2 套附解析)综合测试题(一)本试卷分第Ⅰ卷(选择题)和第Ⅱ卷 (非选择题 )两部分.满分 150 分.考试时间120 分钟.第Ⅰ卷(选择题共 60 分)一、选择题 (本大题共12 个小题,每小题 5 分,共 60 分,在每小题给出的四个选项中,只有一项是符合题目要求的)2-4x+3<0} ,B={ x|2x-3>0} ,则 A∩B=1.(2016 全·国卷Ⅰ理,1)设集合A={ x|x( )A.(-3,-3 3 ) B.(-3,)2 2C.(1,3 3,3) 2) D.(22-5x+6x2.(2015 湖·北高考 )函数 f( x)=4-|x |+lgx-3的定义域 ( )A.(2,3) B.(2,4]C.(2,3) ∪(3,4] D.(-1,3)∪(3,6]3.下列各组函数,在同一直角坐标中,f(x)与 g( x)有相同图像的一组是( ) 11 2)2 ,g(x)=(x2 )2A.f(x)=(xB.f (x)=2-9x,g(x)=x-3x+312,g(x)=2log2xC.f (x)=(x2 )xD.f(x)=x,g(x)=lg104.函数y=lnx+2x-6 的零点,必定位于如下哪一个区间( )A.(1,2) B.(2,3)C.(3,4) D.(4,5)5.已知f( x)是定义域在(0,+∞ )上的单调增函数,若f(x)> f(2-x),则 x 的取值范围是( ) A.x>1 B.x<1C.0< x<2 D.1<x<21 1-6.已知x 2 +x 2 =5,则2 +x 2 =5,则2+1x的值为( ) xA.5 B.23第 1 页共9 页C.25 D.277.(2014 山·东高考 )已知函数y=loga(x+c)( a,c 为常数,其中a>0,a≠1)的图像如图,则下列结论成立的是( )A.a>1,c>1 B.a>1,0< c<1C.0< a<1,c>1 D.0< a<1,0< c<1x -x+3 8.若函数f( x)=3x -x与 g(x)=3 -3的定义域均为R,则( )A.f(x)与 g( x)均为偶函数B.f (x)为偶函数,g(x)为奇函数C.f (x)与 g(x)均为奇函数D.f(x)为奇函数,g(x)为偶函数2 2 12 2 29.( )3 ,( )3 ,( )3 的大小关系为( )3 5 32 A.( )3 1 2 2 2 122 2 2 2 23 >( )3 >( )3B.( )3 >( )3 >( )35 3 5 3 3C.(2 1 2 1 222 2 2 2 223) 3) 5) 3) 3) 5)3 >( 3 >( 3D.( 3 >( 3 >(310.已知函数f(x)=log121|x |=|f (x)|的实根个数是( )x,则方程 ( )2A.1 B.2C.3 D.200611.若偶函数f(x)在(-∞,- 1]上是增函数,则下列关系式中,成立的是( )A.f(-32)< f(-1)<f(2)B.f(-1)< f(-32)<f (2)C.f (2)< f(-1)< f(-32 )3D.f(2)< f(-2)<f (-1)12.如果一个点是一个指数函数的图像与一个对数函数的图像的公共点,那么称这个点第 2 页共9 页为“好点”,在下面的五个点M (1,1),N(1,2),P (2,1),Q(2,2),G(2,12)中,“好点”的个数为()A.0 B.1C.2 D.3第Ⅱ卷(非选择题共90 分)二、填空题(本大题共 4 个小题,每小题 5 分,共20 分,把答案填在题中横线上) 13.若已知A∩{ -1,0,1} ={0,1} ,且A∪{ -2,0,2} ={ - 2,0,1,2},则满足上述条件的集合 A 共有 ________个.14.(2014 浙·江高考)设函数f(x)=2+2x+2,x≤0,x-x2,x>0.2,x>0.若 f (f(a))=2,则a=________.3+4=6x2的一个近似解时,已经将一根锁定在区间(0,1)内,则下15.用二分法求方程x一步可断定该根所在的区间为________.16.函数y=log13 2-3x)的单调递减区间是________(x三、解答题(本大题共 6 个小题,满分70 分,解答应写出文字说明,证明过程或演算步骤)2+px+12= 0} ,B={ x |x2-5x+q=0} , 17.(本小题满分10 分)设全集U为R,A={ x|x若(?U A)∩B={2} ,A∩(?UB)={4} ,求A∪B.18.(本小题满分12 分)log72+(-9.8)0 (1)不用计算器计算:l og3 27+lg25+lg4+71 12,求f( x+1). (2)如果f(x-)=(x+)x x2+ 2x-m+1.19.(本小题满分12 分)已知函数f(x)=- 3x(1)当m 为何值时,函数有两个零点、一个零点、无零点;(2)若函数恰有一个零点在原点处,求m 的值.20.(本小题满分12 分)已知函数f(x)是定义在R 上的奇函数,并且当x∈(0,+∞)时,f(x)=2x.1(1)求 f (log23)的值;(2)求 f (x)的解析式.2+1 21.(本小题满分12 分)(2015 上·海高考)已知函数f(x)=axx(1)根据 a 的不同取值,判断函数f(x)的奇偶性,并说明理由;(2)若a∈(1,3),判断函数f(x)在[1,2] 上的单调性,并说明理由.x-1.其中 22.(本小题满分12 分)已知f( x)是定义在R 上的奇函数,当x≥0 时,f(x)=a共9 页第3页a>0 且a≠ 1.23.(1)求f(2)+f(-2)的值;(2)求 f (x)的解析式;(3)解关于x 的不等式-1<f(x-1)<4,结果用集合或区间表示.题择一.选1.[答案 ] D2-4x+3<0} ={ x|1<x<3} , B= { x|2x-3>0} = { x|x>3 [解析 ] A={ x|x } .23故A∩B={x|D.<x<3} .故选22.[答案 ] C4-|x |≥0,,:件[解析 ] 由函数y=f( x)的表达式可知,函数f(x)的定义域应满足条2-5x+6x-3x>0-4≤x≤xC.(2,3) ∪(3,4] ,故应选解得.即函数f(x)的定义域为x>2且x≠ 33.[答案 ] D项B 中, f(x)的定R,g(x)的定义域为[0,+∞);选项A 中, f( x)的定义域为[解析 ]选1项C 中, f(x)=(x2 )R;选义域为(-∞,- 3)∪(-3,+∞),g(x)的定义域为2=x,x∈[0,项D 中,g( x)= lg10+∞ ),g(x)=2log2x,x∈(0,+∞ ),定义域和对应关系都不同;选x=xlg10 =x,故选D.4.[答案 ] Bf(x0)=0,[解析 ] 令f(x)=ln x+2x-6,设∵f(1)=- 4<0,f(3)=ln3>0 ,又f(2) =ln2-2<0,f(2) ·f(3)<0,∴x0∈(2,3).5.[答案 ] Dx>0x>0[解析 ] 由已知得,2-x>0 ? x<2x>1x>2-x∴x∈(1,2),故选D.6.[答案 ] B共9 页第4页[解析] 2+1x1-1 -1=x + =x + x x x1 - =(x2 +x 1 2-22)=52-2=23. 故选 B. 7.[答案] D[解析] 本题考查对数函数的图像以及图像的平移. 由单调性知 0<a<1.又图像向左平移,没有超过 1 个单位长度.故 0<c<1,∴选 D.8.[答案] Bx -x + 3 [解析] f( x)=3-x x 且定义域为 R ,则 f(-x)=3 +3 ,∴f(x)=f(-x),∴ f(x)为偶函数.同理得 g(-x)=- g( x),∴ g(x)为奇函数.故选 B. 9.[答案] D2 x 为减函数, 12 [解析] ∵y =( ) <, 33 31 2 2 2 ∴( 3 >( 3.) ) 3 32 又∵y =x3 在(0,+∞ )上为增函数,且 2 2> ,3 5 2 2 2 2 ∴( 3 >( 3,) ) 3 51 2 2 2 2 2 ∴( 3 >( 3 >( 3.故选 D. 3)3)5)10.[答案 ] B1|x |及 y =|log 1 [解析] 在同一平面直角坐标系中作出函数y =( ) 22x |的图像如图所示, 易得B.11.[答案] D[解析] ∵f(x)为偶函数,∴f(2)=f(-2).又∵-2<-32<-1,且 f(x)在(-∞,-1)上是增函数,3∴f(2)< f(-2)< f(-1).12.[答案] C第 5 页共9 页[解析 ] ∵指数函数过定点(0,1),对数函数过定点(1,0)且都与y=x 没有交点,∴指数函数不过(1,1),(2,1)点,对数函数不过点(1,2),∴点M、N、P 一定不是好点.可验证:点Q (2,2)是指数函数y=( 2)x 和对数函数y=logx 和对数函数y=log12x 的交点,点G(2,2)在指数函数y=( 2x 上,且在对数函数y=log)2 4x 上.故选C.二.填空题13.[答案 ] 4[解析 ] ∵A∩{ -1,0,1} ={0,1} ,∴0,1∈A 且- 1?A.又∵ A∪{-2,0,2} ={ -2,0,1,2} ,∴1∈A 且至多-2,0,2∈A.故0,1∈ A 且至多-2,2∈A.∴满足条件的 A 只能为:{0,1} ,{0,1,2} , {0,1 ,- 2} ,{0,1 ,- 2,2} ,共有 4 个.14.[答案 ] 2[解析 ] 此题考查分段函数、复合函数,已知函数值求自变量.令f(a)=t,则f( t)=2.2<0≠2,∴ t≤0.∵t>0 时,- t即t2+2t+2= 2,∴ t=0 或- 2.当t=0 时, f(a)=0,a≤0 时, a2+2a+2=0 无解.2=0,a= 0 无解.a>0 时,- a当t=- 2 时, a≤0,a2+2a+ 2=- 2 无解2=- 2,a= 2.a>0 时- a1,1)15.[答案 ] (23-6x2+4, [解析 ]设f(x)=x显然f(0)>0 ,f(1)<0,1 1 3-6×(1 又f(2)=(2) 2)1∴下一步可断定方程的根所在的区间为( ,1).216. [答案 ] (3,+∞ )2-3x>0,∴ x>3 或x<0,[解析 ] 先求定义域,∵x又∵ y=log13 2-3x.u 是减函数,且u=x即求u 的增区间.∴所求区间为(3,+∞ ).第6页共9 页三.解答题17.[解析 ] ∵(?UA)∩B={2} ,A∩ (?UB)={4} ,∴2∈B,2?A,4∈A,4?B,根据元素与集合的关系,可得2+4p+12=042-10+q=02,解得p=-7,q=6.∴A= { x|x2-7x+12=0} ={3,4} ,B={ x|x2- 5x+6= 0} ={2,3} ,经检验符合题意.∴A∪ B={2,3,4} .318.[解析 ] (1)原式= log 332 +lg(25×4)+2+1=313+2+3=.2 21 12(2)∵f(x-x)=(x+ x)=x2+ 1 2+ 12+2= (x 2-2)+4=(x-x x 12+4 )x∴f(x)=x2+ 4,∴ f(x+1)=(x+1)2+4=x2+2x+5.2+2x-m+1=0 有两个根,易知Δ>0, 19.[解析 ] (1)函数有两个零点,则对应方程-3x4即Δ=4+12(1-m)>0,可解得m<;3Δ=0,可解得m=4 4 ;Δ<0,可解得m> 33.4故m< 时,函数有两个零点;3m=4 4时,函数有一个零点;m>3 3时,函数无零点.(2)因为0 是对应方程的根,有1-m= 0,可解得m=1.x,20.[解析 ] (1)因为f(x)为奇函数,且当x∈(0,+∞)时,f(x)= 21所以f(log23)=f(-log23)=- f(log 23)=- 23=- 3.log2(2)设任意的x∈(-∞,0),则-x∈(0,+∞),因为当x∈(0,+∞)时, f(x)=2x,所以f(-x)=2-x,R上的奇函数,则f(-x)=- f(x),又因为 f (x)是定义在所以f(x)=- f(-x)=- 2x,--x即当x∈(-∞,0)时, f( x)=- 2 ;又因为 f (0)=- f(0),所以f(0)=0,共9 页第7页x,x>02综上可知,f(x)=0,x=0.-x-2 , x<021.[解析 ] (1) f(x)的定义域为{ x|x≠0, x∈R} ,关于原点对称,2+ 1 2-1f(-x)=a(-x)=ax ,-x x当a=0 时, f(-x)=- f(x)为奇函数,当a≠0 时,由f(1)=a+1,f(- 1)= a-1,知f(-1)≠- f(1),故f( x)即不是奇函数也不是偶函数.(2)设1≤x1<x2≤2,则2 f(x2)-f(x1)=ax2+1 12- ax1-=(x2- x1)[ a( x1+x2)-x2 x11] ,x1x2由1≤x1<x2≤2,得x2- x1> 0,2<x1+x2<4,1<x1x2<4,1 1-1<-,又1< a<3,所以2<a(x1+x2)<12,<-x1x2 4得a(x1+x2)-1>0,从而f(x2)-f(x1)>0,x1x2即f( x2)> f(x1),故当a∈(1,3)时, f(x)在[1,2] 上单调递增.23.[解析 ] (1)∵f(x)是奇函数,∴f(- 2)=- f(2) ,即f(2)+f(-2)=0.(2)当x<0 时,-x>0,-x∴f(- x)= a -1.由f(x)是奇函数,有f(-x)=- f( x),∵f(- x)= a-x-1,∴ f (x)=- a-x+1(x<0).∴所求的解析式为f(x)=x-1 x≥0a-a-x+1x<0-x+1 x<0.(3)不等式等价于x-1<0-x+1+1<4 -1<-a或x-1≥0x-1- 1<4 -1<a,即x-1<0-x+1-3<a<2或x-1≥0x-1<50<a.当a>1 时,有x<1x>1-log a2或x≥ 1x<1+log a5注意此时log a2>0,loga5>0,可得此时不等式的解集为(1-log a2,1+loga5).第8页共9 页同理可得,当0<a<1 时,不等式的解集为R.综上所述,当a>1 时,不等式的解集为(1-log a2,1+loga5);当 0<a<1 时,不等式的解集为R.第9 页共9 页。
数学必修一期末测试模拟卷 含解析【说明】本试卷分为第I (选择题)和第Ⅱ卷(非选择题)两部分,满分150分,考试时间120分钟。
第I 卷 (选择题 共60分)一、单选题(本大题共12小题,每小题5分,共60分)1. 设U Z =,集合{}1,3,5,7,9A =,{}1,2,3,4,5B =,则图中阴影部分 表示的集合是( ) {}.1,3,5A {}.1,2,3,4,5B {}.7,9C {}.2,4D2. 若函数()33xxf x -=+与()33x x g x -=-的定义域均为R ,则( ).A ()f x 与()g x 均为偶函数 .B ()f x 为偶函数,()g x 为奇函数 .C ()f x 与()g x 均为奇函数 .D ()f x 为奇函数,()g x 为偶函数3. 已知函数()3log ,02,x x x f x x >⎧=⎨≤⎩则f ⎛ ⎝ ).4A 1.4B .4C - 1.4D - 4. 函数y =的定义域是( )3.,14A ⎛⎫ ⎪⎝⎭ 3.,4B ⎛⎫+∞ ⎪⎝⎭ ().1,C +∞ ()3.,11,4D ⎛⎫+∞ ⎪⎝⎭5. 552log 10log 0.25+=( ).0A .1B .2C .4D6. 函数()3log 82f x x x =-+的零点一定位于区间( )().5,6A ().3,4B ().2,3C ().1,2D7. 函数()()2312f x x a x a =+++在(),4-∞上为减函数,则实数a 是取值范围为( ).3A a ≤- .3B a ≤ .5C a ≤ .3D a =-ABU8. 若幂函数()y f x =的图象经过点19,3⎛⎫ ⎪⎝⎭,则()25f =( )1.5A 1.3B 1.25C .5D 9. 设1a >,则0.2log a ,0.2a,0.2a的大小关系是( ).A 0.2a <0.2log a <0.2a .B 0.2log a <0.2a <0.2a .C 0.2log a <0.2a <0.2a .D 0.2a <0.2a <0.2log a10. 函数22xy x =-的图象大致是( )11. 函数xy a =在[]0,1上的最大值和最小值的和为3,则函数13x y a-=在[]0,1上的最大值是( ).6A .1B .3C 3.2D12. 已知函数()lg ,01016,102x x f x x x ⎧<≤⎪=⎨-+>⎪⎩,若,,a b c 互不相等,且()()()f a f b f c ==,则abc的取值范围是( )().1,10A ().5,6B ().10,12C ().20,24D第Ⅱ卷(非选择题 共90分)二、填空题(本大题共4小题,每小题5分,共20分)13. 已知集合{}20A x x ax b =++=中有且只有一个元素1,则a = ,b = 。
高中数学必修一期末试卷一、选择题。
(共12小题,每题5分) 1、设集合A={x ∈Q|x>-1},则()A 、A ∅∉B 、2A ∉C 、2A ∈D 、{}2⊆A2.下列四组函数中,表示同一函数的是().A .f (x )=|x |,g (x )=2xB .f (x )=lg x 2,g (x )=2lg xC .f (x )=1-1-2x x ,g (x )=x +1D .f (x )=1+x ·1-x ,g (x )=1-2x3、设A={a ,b},集合B={a+1,5},若A∩B={2},则A∪B=()A 、{1,2}B 、{1,5}C 、{2,5}D 、{1,2,5} 4、函数21)(--=x x x f 的定义域为() A 、[1,2)∪(2,+∞)B 、(1,+∞)C 、[1,2)D 、[1,+∞)5、设集合M={x|-2≤x ≤2},N={y|0≤y ≤2},给出下列四个图形,其中能表示以集合M 为定义域,N 为值域的函数关系的是()6、三个数70。
3,0.37,㏑0.3,的大小顺序是() A 、70。
3,0.37,㏑0.3,B 、70。
3,,㏑0.3,0.37 C 、0.37,,70。
3,,㏑0.3,D 、㏑0.3,70。
3,0.377、若函数f(x)=x 3+x 2-2x-2的一个正数零点附近的函数值用二分法逐次计算,参考数据如下表:f(1)=-2 f(1.5)=0.625 f(1.25)=-0.984 f(1.375)=-0.260 f(1.438)=0.165f(1.4065)=-0.052那么方程x 3+x 2-2x-2=0的一个近似根(精确到0.1)为() A 、1.2B 、1.3C 、1.4D 、1.5 8.函数y =x 416-的值域是().9、函数2,02,0x x x y x -⎧⎪⎨⎪⎩≥=<的图像为()10、设()log a f x x =(a>0,a ≠1),对于任意的正实数x ,y ,都有() A 、f(xy)=f(x)f(y)B 、f(xy)=f(x)+f(y) C 、f(x+y)=f(x)f(y)D 、f(x+y)=f(x)+f(y)11、函数y=ax 2+bx+3在(-∞,-1]上是增函数,在[-1,+∞)上是减函数,则() A 、b>0且a<0B 、b=2a<0C 、b=2a>0D 、a ,b 的符号不定12、设f(x)为定义在R 上的奇函数.当x≥0时,f(x)=2x +2x+b(b 为常数),则f(-1)等于( ). A.-3B.-1C.1D.3二、填空题(共4题,每题5分)13、f(x)的图像如下图,则f(x)的值域为; 14、函数y =2-log 2x 的定义域是.15、若f (x )=(a -2)x 2+(a -1)x +3是偶函数,则函数f (x )的增区间是. 16.求满足8241-x ⎪⎭⎫⎝⎛>x -24的x 的取值集合是.三、解答题(本大题共6小题,满分44分,解答题写出必要的文字说明、推演步骤。
人教版高一数学必修一期末综合练习题(含答案)人教版高一数学必修一期末综合练题(含答案)一、单选题1.已知实数a,b,c满足lga=10=b,则下列关系式中不可能成立的是()A。
a>b>cB。
a>c>bC。
c>a>bD。
c>b>a2.已知函数f(x)=x(e^x+a),若函数f(x)是偶函数,记a=m,若函数f(x)为奇函数,记a=n,则m+2n的值为()A。
0B。
1C。
2D。
-13.命题:“对于任意实数x,x^2+x>0” 的否定是( )A。
存在实数x,使得x^2+x≤0B。
对于任意实数x,x^2+x≤0C。
存在实数x,使得x^2+x<0D。
对于任意实数x,x^2+x≥04.已知sin2α=-1/2,则cos(α+π/3)=()A。
-1/3B。
-2/3C。
1/3D。
2/35.已知ω>0,函数f(x)=cos(ωx+π/2),则ω的取值范围是()A。
(0,π/12]B。
(0,π/6]C。
(0,π/4]D。
(0,π/2]6.为了得到函数y=cos2x的图象,只需将函数y=sin(2x-π/2)的图象上所有点A。
向右平移π个单位B。
向左平移π个单位C。
向右平移π/2个单位D。
向左平移π/2个单位7.下列函数中,与函数y=x相同的是()A。
y=1/xB。
y=x^2C。
y=√xD。
y=|x|8.若2sinx-cos(π/2+x)=1,则cos2x=()A。
-8/9B。
-7/9C。
7/9D。
8/99.设A={x|x^2-4x+3≥0},B={x|x^2-6x+5≤0},则“A包含于B”是“B包含于A”的()A。
充分必要条件B。
必要不充分条件C。
充分不必要条件D。
既不充分也不必要条件10.已知集合A={x|y=ln(x+1)},集合B={x|x≤2},则A∩B等于()A。
(-1,2]B。
[0,2]C。
(0,∞)D。
(5,6]11.已知集合P={x|x-3≤2,x∈R},Q={3,5,6},则P∩Q=()A。
期末测试卷02(本卷满分150分,考试时间120分钟) 测试范围:必修第一册(人教A 版2019)一、单项选择题:本题共8小题,每小题5分,共40分.在每小题给出的四个选项中,只有一个选项是符合题目要求的.1.设集合}034|{2<+-=x x x A ,}032|{>-=x x B ,则=B A ( )。
A 、)231(,B 、)31(, C 、)323(,D 、)1(∞+,【答案】C【解析】由题意得,}31|{<<=x x A ,}23|{>=x x B ,则)323(,=B A ,故选C 。
2.命题“全等三角形的面积一定都相等”的否定是( )。
A 、全等三角形的面积不一定都相等B 、不全等三角形的面积不一定都相等C 、存在两个不全等三角形的面积相等D 、存在两个全等三角形的面积不相等 【答案】D【解析】命题是省略量词的全称命题,故选D 。
3.已知0>a ,0>b ,且12=+b a ,则ba 11+的最小值为( )。
A 、223+ B 、243+ C 、263+ D 、283+ 【答案】A【解析】∵0>a ,0>b ,∴223221)11)(2(11+≥+++=++=+ab b a b a b a b a , 即最小值为223+,故选A 。
4.已知α为第三象限角,且α=-α2cos 22sin 2,则)42sin(π-α的值为( )。
A 、1027- B 、107- C 、107 D 、1027 【答案】D【解析】由已知得)1(cos 22sin 22-α=-α,则4tan 2=α,由α为第三象限角,得2tan =α,故552sin -=α,55cos -=α,∴1027)2cos 2(sin 22)42sin(=α-α=π-α,故选D 。
5.若函数)2lg()(2a x ax x f +-=的定义域为R ,则实数a 的取值范围为( )。
一、选择题1.设()31xf x =-,若关于x 的函数2()()(1)()g x f x t f x t =-++有三个不同的零点,则实数t 的取值范围为( ) A .102⎛⎫ ⎪⎝⎭, B .()0,2 C .()0,1 D .(]0,12.设函数3,()log ,x x a f x x x a⎧≤=⎨>⎩()0a >, 若函数()2y f x =-有且仅有两个零点,则a的取值范围是( ) A .. ()0,2B .()0,9C .()9,+∞D .()()0,29,⋃+∞3.已知函数()22,0log ,0x x f x x x ⎧≤⎪=⎨>⎪⎩若a b c <<,且满足()()()f a f b f c ==,则abc 的取值范围为( ) A .(],0-∞B .(],1-∞-C .[]2,0-D .[]4,0-4.下列等式成立的是( ) A .222log (35)log 3log 5+=+ B .2221log 3log 32-= C .222log 3log 5log (35)⋅=+D .231log 3log 2= 5.在数学史上,一般认为对数的发明者是苏格兰数学家——纳皮尔(Napier ,1550-1617年).在纳皮尔所处的年代,哥白尼的“太阳中心说”刚刚开始流行,这导致天文学成为当时的热门学科.可是由于当时常量数学的局限性,天文学家们不得不花费很大的精力去计算那些繁杂的“天文数字”,因此浪费了若干年甚至毕生的宝贵时间.纳皮尔也是当时的一位天文爱好者,为了简化计算,他多年潜心研究大数字的计算技术,终于独立发明了对数.在那个时代,计算多位数之间的乘积,还是十分复杂的运算,因此纳皮尔首先发明了一种计算特殊多位数之间乘积的方法.让我们来看看下面这个例子:这两行数字之间的关系是极为明确的:第一行表示2的指数,第二行表示2的对应幂.如果我们要计算第二行中两个数的乘积,可以通过第一行对应数字的和来实现. 比如,计算64×256的值,就可以先查第一行的对应数字:64对应6,256对应8,然后再把第一行中的对应数字加和起来:6+8=14;第一行中的14,对应第二行中的16384,所以有:64×256=16384,按照这样的方法计算:16384×32768=( ) A .134217728B .268435356C .536870912D .5137658026.若函数112xy m -⎛⎫=+ ⎪⎝⎭的图象与x 轴有公共点,则m 的取值范围是( )A .1m ≤-B .10m -≤<C .m 1≥D .01m <≤7.已知函数223,()11,x x x af x ax x a⎧--≥⎪=⎨-<⎪⎩,对于任意两个不相等的实数1x ,2x R ∈,都有不等式()()()12120x x f x f x -->⎡⎤⎣⎦成立,则实数a 取值范围是( ) A .[)3,+∞B .[]0,3C .[]3,4D .[]2,48.符号[]x 表示不超过x 的最大整数,如[]3π=,[]1.082-=-,定义函数{}[]x x x =-.给出下列结论:①函数{}x 的定义域是R ,值域为0,1;②方程{}12x =有无数个解;③函数{}x 是增函数;④函数{}x 为奇函数,其中正确结论的个数是( )A .0B .1C .2D .39.已知函数()f x 的定义域为R ,()0f x >且满足()()()f x y f x f y +=⋅,且()112f =,如果对任意的x 、y ,都有()()()0x y f x f y ⎡⎤--<⎣⎦,那么不等式()()234f x f x -⋅≥的解集为( )A .(][),12,-∞+∞ B .[]1,2 C .()1,2 D .(],1-∞10.已知x ,y 都是非零实数,||||||x y xy z x y xy =++可能的取值组成的集合为A ,则下列判断正确的是( ) A .3A ∈,1A -∉B .3A ∈,1A -∈C .3A ∉,1A -∈D .3A ∉,1A -∉11.已知}{|21M x x =-<<,3|0x N x x ⎧-⎫=≤⎨⎬⎭⎩,则M N ⋂=( ) A .()0,1 B .[)0,1C .(]1,3D .[]0,312.如果集合{}2210A x ax x =--=只有一个元素,则a 的值是( ) A .0B .0或1C .1-D .0或1-二、填空题13.已知函数()22,0,0x x x f x x x ⎧--≤=⎨>⎩,若函数()()g x f x m =-与x 轴有3个交点,则实数m 的取值范围是_________.14.若y a x =的图象与直线y x a =+(0a >)有两个不同交点,则a 的取值范围是__________.15.方程()()122log 44log 23xx x ++=+-的解为____;16.已知函数2,0()ln(1),0x x x f x x x ⎧-+≤=⎨+>⎩,若|()|f x ax ≥恒成立,则a 的取值范围是________.17.关于函数()11f x x =+-的性质描述,正确的是_________.①()f x 的定义域为[-1,0)∪(0,1]; ②()f x 的值域为R ; ③在定义域上是减函数; ④()f x 的图象关于原点对称.18.已知函数()2f x x =,()1g x a x =-,a 为常数,若对于任意1x ,[]20,2x ∈,且12x x <,都有()()()()1212f x f x g x g x -<-则实数a 的取值范围为________.19.已知集合2|230A x x x ,{}|0B x x a =-=,若B A ≠⊂,则实数a 的值为______.20.设a ,b ,c 为实数,()()()2f x x a x bx c =+++,()()()211g x ax cx bx =+++,记集合(){}|0,S x f x x R ==∈,(){}|0,T x g x x R ==∈,若S ,T 分别为集合S ,T 的元素个数,则下列结论可能成立的是________.①1S =,0T =;②1S =,1T =;③2S =,2T =;④2S =,3T =.三、解答题21.新冠肺炎疫情发生后,某公司生产A 型抗疫商品,第一个月是为国内生产,当地政府决定对该型商品免税,该型商品出厂价为每件20元,月销售量为12万件;后来国内疫情得到有效控制,从第二个月开始,该公司为国外生产该型抗疫商品,当地政府开始对该型抗疫商品征收税率为%p (0100p <<,即销售1元要征收100p元)的税,于是该型抗疫商品出厂价就上升到每件100202p-元,预计月销售量将减少2p 万件.(1)将第二个月政府对该商品征收的税y (万元)表示成p 的函数,并指出这个函数的定义域;(2)要使第二个月该公司缴纳的税额不少于1万元的前提下,又要让该公司当月获得最大销售金额,p 应为多少?22.已知函数22,01,()ln ,1x x f x x x e-≤<⎧=⎨≤≤⎩,其中e 为自然对数的底数.(1)求(f f 的值;(2)作出函数()()1F x f x =-的图象,并指出单调递减区间(无需证明) ;(3)若实数0x 满足00(())f f x x =,则称0x 为()f x 的二阶不动点,求函数()f x 的二阶不动点的个数.23.已知函数35()log 5xf x x-=+. (1)求函数()f x 的定义域;(2)判断函数()f x 奇偶性,并证明你的结论.24.已知函数()f x ()()4log 41xkx k R =++∈的图象关于y 轴对称.(1)求实数k 的值(2)设函数()g x 12421f x xx m +=+⋅-(),[]20log 3x ∈,,是否存在实数m , 使得()g x 的最小值为0?若存在, 求出m 的值,若不存在说明理由.25.对于函数()f x ,若在定义域内存在实数0x ,满足()()00f x f x -=-,则称()f x 为“M 类函数”(1)已知函数()23f x cos x π⎛⎫=- ⎪⎝⎭,试判断()f x 是否为“M 类函数”,并说明理由;(2)设()1423xx f x m +=-⋅-是定义域R 上的“M 类函数”,求实数m 的取值范围26.已知集合{|A x y ==,{}22|60B x x ax a =--<,其中0a ≥.(1)当1a =时,求集合A B ⋃,()R C A B ⋂; (2)若()R C A B B ⋂=,求实数a 的取值范围.【参考答案】***试卷处理标记,请不要删除一、选择题 1.C 解析:C 【分析】由()0g x =得()1f x =或()f x t =,作出函数()f x 的图象,可得()f x t =需有两解,有此可得t 的范围. 【详解】据题意()0g x =有三个解.由()0g x =得()1f x =或()f x t =,易知()1f x =只有一个解, ∴()f x t =必须有两解, 由图象知01t <<. 故选:C .【点睛】关键点点睛:本题考查函数零点个数问题,解题时根据零点的定义化为方程()0g x =的解的个数,进而转化为()f x t =的解的个数,再利用数形结合思想,考虑函数()y f x =的图象与直线y t =的交点个数问题.掌握转化思想是解题关键.2.D解析:D 【分析】函数()2y f x =-有且仅有两个零点等价于()y f x =与2y =两个函数图象有且仅有两个交点,数形结合即可求出a 的取值范围. 【详解】令2x =可得12x =-,22x =;令3log 2x =得39x =函数()2y f x =-有且仅有两个零点等价于()y f x =与2y =两个函数图象有且仅有两个交点,作3,()log ,x x a f x x x a ⎧≤=⎨>⎩()0a >图象如图:当02a <<时,()y f x =与2y =两个函数图象有且仅有两个交点,交点横坐标为12x =-,39x =,符合题意;当29a ≤≤时,()y f x =与2y =两个函数图象有且仅有3个交点,交点横坐标为12x =-,22x =,39x =,不符合题意;当9a >时,()y f x =与2y =两个函数图象有且仅有2个交点,交点横坐标为12x =-,22x =,不符合题意;所以a 的取值范围是:()()0,29,⋃+∞, 故选:D 【点睛】本题主要考查了已知函数的零点个数求参数的范围,函数的零点转化为对应方程的根,转化为函数图象的交点,属于中档题.3.A解析:A 【分析】画出()f x 的图象结合图象,求得1bc =、求得a 的取值范围,由此求得abc 的取值范围. 【详解】由函数()f x 的图象(如图),可知1022a b c ≤<≤<≤,由22log log b c =得22log log b c -=,所以1bc =,所以(],0abc a =∈-∞.故选:A【点睛】本小题主要考查分段函数的图象与性质,属于中档题.4.D解析:D 【分析】根据对数的运算法则和换底公式判断. 【详解】22222log 3log 5log (35)log 15log (35)+=⨯=≠+,A 错误;22221log 32log 3log 32-=-≠,B 错误;222log 3log 5log (35)⋅≠+,C 错误; 3233log 31log 3log 2log 2==,D 正确. 故选:D . 【点睛】关键点点睛:本题考查对数的运算法则.log log log ()a a a M N MN +=,log log n a a b n b =,一般log ()log log a a a M N M N +≠+.log ()log log a a a MN M N ≠⋅, 1log log n a a b b n≠. 5.C解析:C 【分析】先找到16384与32768在第一行中的对应数字,进行相加运算,再找和对应第二行中的数字即可. 【详解】由已知可知,要计算16384×32768,先查第一行的对应数字: 16384对应14,32768对应15,然后再把第一行中的对应数字加起来:14+15=29,对应第二行中的536870912, 所以有:16384×32768=536870912, 故选C. 【点睛】本题考查了指数运算的另外一种算法,关键是认真审题,理解题意,属于简单题.6.B解析:B 【分析】11()+2x y m -=与x 有公共点,转化为11()2xy -=与y m =-有公共点,结合函数图象,可得结果. 【详解】11()+2x y m -=与x 有公共点,即11()2x y -=与y m =-有公共点,11()2xy -=图象如图可知0110m m <-≤⇒-≤< 故选:B 【点睛】本题考查了函数的交点问题,考查了运算求解能力和数形结合思想,属于基础题目.7.C解析:C 【分析】根据题意,可得()f x 在R 上为单调递增函数,若x a ≥时为增函数,则3a ≥,若x a <时为增函数,则0a >,比较x=a 处两函数值的大小,即可求得答案, 【详解】因为()()()12120x x f x f x -->⎡⎤⎣⎦,所以()f x 在R 上为单调递增函数, 当x a ≥时,2()23f x x x =--的图象如图所示:因为()f x 在R 上为单调递增函数,所以3a ≥, 当x a <时,()11f x ax =-为增函数,所以0a >, 且在x=a 处222311a a a --≥-,解得4a ≤, 综上34a ≤≤, 故选:C. 【点睛】解题的关键是熟悉分段函数单调性的求法,根据单调性,先分析分段点两侧单调性,再比较分段点处函数值的大小即可,考查推理分析,化简计算的能力,属中档题.8.B解析:B 【分析】根据函数性质判断[]x 是一个常见的新定义的形式,按照新定义,符号[]x 表示不超过x 的最大整数,由此可以得到函数的性质,又定义函数{}[]x x x =-,当0x ≥时,表示x 的小数部分,由于①③是错误的,举例可判断②,根据单调性定义可判断④. 【详解】①函数{}x 的定义域是R ,但[]01x x ≤-<,其值域为)01⎡⎣,,故错误; ②由{}[]12x x x =-=,可得[]12x x =+,则 1.52.5x =,……都是方程的解,故正确; ③由②可得{}11.52=,{}12.52=……当 1.52.5x =,……时,函数{}x 的值都为12,故不是增函数,故错误; ④函数{}x 的定义域是R ,而{}[]{}x x x x -=---≠-,故函数不是奇函数,故错误;综上,故正确的是②. 故选:B. 【点睛】本题以新定义函数{}[]x x x =-的意义为载体,考查了分段函数和函数的值域、单调性等性质得综合类问题,在解答的过程中体现了分类讨论和数形结合的思想,还可以利用函数的图象进行解题.9.B解析:B 【分析】计算出()24f -=,并由()()()0x y f x f y ⎡⎤--<⎣⎦可得出函数()y f x =在R 上为减函数,再由()()234f x f x-⋅≥,可得出()()232f xx f -≥-,再由函数()y f x =在R 上的单调性可得出232x x -≤-,解出该不等式即可. 【详解】由于对任意的实数x 、y ,()()()f x y f x f y +=⋅且()0f x >. 令0x y ==,可得()()()000f f f =⋅,且()00f >,解得()01f =. 令y x =-,则()()()01f x f x f ⋅-==,()()1f x f x -=,()()1121f f -==. ()()()211224f f f ∴-=-⋅-=⨯=.设x y <,则0x y -<,由()()()0x y f x f y ⎡⎤--<⎣⎦,得()()f x f y >. 所以,函数()y f x =在R 上为减函数,由()()234f x f x-⋅≥,可得()()232f x x f -≥-.所以232x x -≤-,即2320x x -+≤,解得12x ≤≤. 因此,不等式()()234f x f x -⋅≥的解集为[]1,2.故选B. 【点睛】本题考查抽象函数的单调性解不等式,解题的关键就是将不等式左右两边转化为函数的两个函数值,并利用函数的单调性进行求解,考查分析问题和解决问题的能力,属于中等题.10.B解析:B 【分析】分别讨论,x y 的符号,然后对||||||x y xyz x y xy =++进行化简,进而求出集合A ,最后根据集合元素的确定性即可得出答案. 【详解】当0x >,0y >时,1113z =++=; 当0x >,0y <时,1111z =--=-; 当0x <,0y >时,1111z =-+-=-; 当0x <,0y <时,1111z =--+=-. 所以3A ∈,1A -∈. 故选:B. 【点睛】本题考查了对含有绝对值符号的式子的化简,考查了集合元素的特点,考查了分类讨论思想,属于一般难度的题.11.A解析:A 【分析】根据分式不等式的解法,求得{}03N x x =<≤,再结合集合的交集的运算,即可求解. 【详解】由题意,集合{}3|003x N x x x x ⎧-⎫=≤=<≤⎨⎬⎭⎩, 又由}{|21M x x =-<<,所以{}()010,1M N x x ⋂=<<=. 故选:A. 【点睛】本题主要考查了集合交集的概念及运算,以及分式不等式的求解,其中解答中正确求解集合N 是解答的关键,着重考查运算与求解能力.12.D解析:D 【分析】由题意得知关于x 的方程2210ax x --=只有一个实数解,分0a =和00a ≠⎧⎨∆=⎩两种情况讨论,可得出实数a 的值. 【详解】由题意得知关于x 的方程2210ax x --=只有一个实数解.当0a =,{}12102A x x ⎧⎫=--==-⎨⎬⎩⎭,合乎题意;当0a ≠时,则440a ∆=+=,解得1a =-. 综上所述:0a =或1-,故选D. 【点睛】本题考查集合的元素个数,本质上考查变系数的二次方程的根的个数,解题要注意对首项系数为零和非零两种情况讨论,考查分类讨论思想,属于中等题.二、填空题13.【分析】先将函数与轴有个交点转化成与的交点问题再作出分段函数的图像利用数形结合求得范围即可【详解】依题意函数与轴有个交点即与有3个交点作分段函数的图像如下由图可知的取值范围为故答案为:【点睛】方法点 解析:()0,1【分析】先将函数()()g x f x m =-与x 轴有3个交点,转化成()y f x =与y m =的交点问题,再作出分段函数()y f x =的图像,利用数形结合求得m 范围即可. 【详解】依题意,函数()()g x f x m =-与x 轴有3个交点, 即()y f x =与y m =有3个交点,作分段函数()22,0,0x x x f x x x ⎧--≤=⎨>⎩的图像如下,由图可知,m 的取值范围为()0,1. 故答案为:()0,1. 【点睛】方法点睛:已知函数有零点(方程有根)求参数值(取值范围)常用的方法: (1)直接法:直接求解方程得到方程的根,再通过解不等式确定参数范围; (2)分离参数法:先将参数分离,转化成求函数的值域问题加以解决;(3)数形结合法:先对解析式变形,进而构造两个函数,然后在同一平面直角坐标系中画出函数的图像,利用数形结合的方法求解.14.【分析】首先根据已知题意画出图形然后根据数形结合分析的取值范围需要注意为的斜率【详解】根据题意的图象如图:结合图象知要想有两个不同交点的斜率要大于的斜率的取值范围是故答案为:【点睛】本题考查函数图象 解析:()1,+∞【分析】首先根据已知题意画出图形,然后根据数形结合分析a 的取值范围,需要注意a 为y ax =的斜率. 【详解】根据题意y a x =的图象如图:()0a >,结合图象知,要想有两个不同交点y ax ∴=的斜率要大于y x a =+的斜率a ∴的取值范围是1a >.故答案为:()1,+∞ 【点睛】本题考查函数图象的交点问题,考查数形结合能力,属于中等题型.15.【分析】直接利用对数的运算法则化简求解即可【详解】解:可得即:解得(舍去)可得经检验是方程的解故答案为:【点睛】本题考查方程的解的求法对数的运算法则的应用考查计算能力 解析:2【分析】直接利用对数的运算法则化简求解即可. 【详解】 解:()()122log 44log 23x x x ++=+-()()1222log 44log log 232x x x +∴+=+-可得()()122log 44log 232x x x++=-⎡⎤⎣⎦, 即:()144232x x x++=-,()223240xx -⋅-=,解得21x =-(舍去)24x =,可得2x =.经检验2x =是方程的解. 故答案为:2. 【点睛】本题考查方程的解的求法,对数的运算法则的应用,考查计算能力.16.【分析】分两种情况讨论当时结合图象可知;当时再分两种情况讨论分离参数后化为函数的最值可解得结果【详解】当时则恒成立等价于恒成立函数的图象如图:由图可知;当时所以恒成立等价于恒成立若则若则恒成立所以综 解析:10a -≤≤【分析】分0x >,0x ≤两种情况讨论,当0x >时,结合图象可知0a ≤;当0x ≤时,再分0x =,0x <两种情况讨论,分离参数后化为函数的最值可解得结果. 【详解】当0x >时,()ln(1)0f x x =+>,则|()|f x ax ≥恒成立等价于ln(1)x ax +≥恒成立,函数ln(1)y x =+的图象如图:由图可知0a ≤;当0x ≤时,2()0f x x x =-+≤,所以|()|f x ax ≥恒成立等价于2x x ax -≥恒成立,若0x =,则a R ∈,若0x <,则1a x ≥-恒成立,所以1a ≥-, 综上所述:10a -≤≤. 故答案为:10a -≤≤ 【点睛】结论点睛:本题考查不等式的恒成立与有解问题,可按如下规则转化: ①若()k f x ≥在[,]a b 上恒成立,则max ()k f x ≥; ②若()k f x ≤在[,]a b 上恒成立,则min ()k f x ≤; ③若()k f x ≥在[,]a b 上有解,则min ()k f x ≥; ④若()k f x ≤在[,]a b 上有解,则max ()k f x ≤;17.①②④【分析】求出函数的定义域值域判断①②根据单调性的定义判断③根据奇偶性的定义与性质判断④【详解】函数满足解得或故函数的定义域为故①正确当时当时所以函数值域为故②正确③虽然时函数单调递减当时函数单解析:①②④ 【分析】求出函数的定义域,值域判断①②,根据单调性的定义判断③,根据奇偶性的定义与性质判断④. 【详解】函数()f x =21011x x ⎧-⎪⎨+≠⎪⎩,解得10x -<或01x <,故函数的定义域为[1-,0)(0⋃,1].故①正确.当[1x ∈-,0)时(][)(]2211,(),00,1x f x x ∈+∞⇒===-∞∈⇒,当(0x ∈,1]时,(][)220,,111x x ∈∈⇒+∞⇒()[0f x ===,)+∞,所以函数值域为R ,故②正确.③虽然[1x ∈-,0)时,函数单调递减,当(0x ∈,1]时,函数单调递减,但在定义域上不是减函数,故③错误.④由于定义域为[1-,0)(0⋃,1],()11f x x x==+-,则()()f x f x -=-,()f x 是奇函数,其图象关于原点对称,故④正确.故答案为:①②④. 【点睛】本题通过对多个命题真假的判断,综合考查函数的单调性、值域、函数的定义域与对称性,属于难题.这种题型综合性较强,也是高考的命题热点,同学们往往因为某一处知识点掌握不好而导致“全盘皆输”,因此做这类题目更要细心、多读题,尽量挖掘出题目中的隐含条件,另外,要注意从简单的自己已经掌握的知识点入手,然后集中精力突破较难的命题.18.02【分析】构造函数F (x )=f (x )﹣g (x )利用F (x )的单调性求出a 【详解】解:对于任意x1x2∈02且x1<x2都有f (x1)﹣f (x2)<g (x1)﹣g (x2)即f (x1)﹣g (x1)<f解析:[0,2] 【分析】构造函数F (x )=f (x )﹣g (x ),利用F (x )的单调性求出a 【详解】解:对于任意x 1,x 2∈[0,2],且x 1<x 2,都有f (x 1)﹣f (x 2)<g (x 1)﹣g (x 2),即f (x 1)﹣g (x 1)<f (x 2)﹣g (x 2),令F (x )=f (x )﹣g (x )=x 2﹣a |x ﹣1|,即F (x 1)<F (x 2),只需F (x )在[0,2]单调递增即可,当x =1时,F (x )=0,图象恒过(1,0)点, 当x >1时,F (x )=x 2﹣ax +a , 当x <1时,F (x )=x 2+ax ﹣a , 要使F (x )在[0,2]递增,则当1<x ≤2时,F (x )=x 2﹣ax +a 的对称轴x =12a≤,即a ≤2, 当0≤x <1时,F (x )=x 2+ax ﹣a 的对称轴x =02a-≤,即a ≥0, 故a ∈[0,2], 故答案为:[0,2] 【点睛】考查恒成立问题,函数的单调性问题,利用了构造函数法,属于中档题.19.-1或3【分析】解方程用列举法表示集合AB 由即得解【详解】集合若故a=-1或3故答案为:-1或3【点睛】本题考查了集合的包含关系考查了学生概念理解数学运算能力属于基础题解析:-1或3 【分析】解方程,用列举法表示集合A ,B ,由B A ≠⊂,即得解. 【详解】 集合2|230{1,3}Ax x x ,{}|0{}B x x a a =-==若B A ≠⊂,故a =-1或3 故答案为:-1或3 【点睛】本题考查了集合的包含关系,考查了学生概念理解,数学运算能力,属于基础题.20.①②③【分析】①根据得到方程无实根推出或;再由此判断根的个数即可判断①;②取分别判断根的个数即可判断②;③取分别判断根的个数即可判断③;④当时方程有三个根所以由此求根的个数即可判断④【详解】①当时方解析:①②③ 【分析】①根据0T =,得到方程()()()2110=+++=g x ax cx bx 无实根,推出0a =,240b c -<或0a b c ===;再由此判断()0f x =根的个数,即可判断①;②取240a b c ≠⎧⎨-<⎩,分别判断()0f x =,()0g x =根的个数,即可判断②;③取20040a c b c ≠⎧⎪≠⎨⎪-=⎩分别判断()0f x =,()0g x =根的个数,即可判断③;④当3T =时,方程()()()2110=+++=g x ax cx bx 有三个根,所以0a ≠,0c ≠,240b c ->,由此求()0f x =根的个数,即可判断④.【详解】①当0T =时,方程()()()2110=+++=g x ax cx bx 无实根,所以0a =,240b c -<或0a b c ===;当0a b c ===时,()3f x x =,由()0f x =得0x =,此时1S =;当0a =,240b c -<时,()()2=++f x x x bx c ,由()0f x =得0x =,此时1S =;故①成立; ②当2040a b c ≠⎧⎨-<⎩时,由()()()20=+++=f x x a x bx c 得x a =-,即1S =;由()()()2110=+++=g x ax cx bx 得1x a=-;即1T =;存在②成立;③当20040a cbc ≠⎧⎪≠⎨⎪-=⎩时,由()()()20=+++=f x x a x bx c 得x a =-或2b x =-;由()()()2110=+++=g x ax cx bx 得 1x a =-或2=-x b;只需2b a ≠,即可满足2S =,2T =;故存在③成立;④当3T =时,方程()()()2110=+++=g x ax cx bx 有三个根,所以0a ≠,0c ≠,240b c ->,设0x 为()0g x =的一个根,则00x ≠,且200001111f a b c x x x x ⎛⎫⎛⎫⎛⎫=+++ ⎪ ⎪⎪⎝⎭⎝⎭⎝⎭()03010g x x ==,故01x 为方程()0f x =的根.此时()0f x =有三个根,即3T =时,必有3S =,故不可能是2S =,3T =;④错;故答案为:①②③ 【点睛】本题主要考查方程根的个数与集合的综合,会判断方程根的个数即可,属于常考题型.三、解答题21.(1)2610p p y p-=-,定义域为()0,6;(2)2p =时,公司销售金额最大.【分析】(1)由题可得第二个月该商品销量为()122p -万件,月销售收入为100(122)202p p-⋅-万元,则可得出对该商品征收的税; (2)由1y ≥可得25p ≤≤,销售收入()100(6)()2510p g p p p-=≤≤-单调递减,即可求出最值. 【详解】解:(1)依题意,第二个月该商品销量为()122p -万件, 月销售收入为100(122)202p p-⋅-万元,当地政府对该商品征收的税为100(122)(6)20210010p py p p p p=-⋅⋅=-⋅--(万元).所以所求函数为2610p p y p-=-. 由60p ->及0p >得,所求函数的定义域为()0,6.(2)由1y ≥得26110p p p-≥-化简得27100p p -+≤, 即(2)(5)0p p --≤,解得25p ≤≤, 所以当25p ≤≤,税收不少于1万元;第二个月,当税收不少于1万元时,公司的销售收入为()100(6)()2510p g p p p-=≤≤-,因为100(6)400()1001010p g p p p -==+--在区间[]2,5上是减函数,所以max ()(2)50g p g ==(万元). 所以当2p =时,公司销售金额最大.【点睛】本题考查函数的实际应用,解题的关键是正确理解题目,建立正确的函数关系式,根据函数的单调性求最值.22.(1)(())1f f e =;(2)图象见解析,递减区间为10,2⎡⎤⎢⎥⎣⎦,[]1,e .(3)3【分析】(1)分段函数求值,根据x 的范围代入即可;(2)画出函数图象,结合图象求出函数单调性;(3)写出(())f f x 分段函数,根据(())f f x x =,求出解的个数 【详解】解:(1)因为1e >,所以1()2f e ln e ==,所以1(())()12f f e f ==. (2)()|()1|F x f x =-,所以函数图象如下所示:递减区间为10,2⎡⎤⎢⎥⎣⎦,[]1,e .(3)根据题意,012x,(())(22)f f x ln x =-,当112x <<,(())42f f x x =-,当1x e ,(())22f f x lnx =-,当012x时,由(())(22)f f x ln x x =-=,记()(22)g x ln x x =--,则()g x 在1[0,]2上单调递减,且(0)20g ln =>,11()022g =-<, 故()g x 在1[0,]2上有唯一零点1x ,即函数()f x 在1[0,]2上有唯一的二阶不动点1x . 当112x <<时,由(())42f f x x x =-=,得到方程的根为223x =,即函数()f x 在1(,1)2上有唯一的二阶不动点223x =. 当1x e 时,由(())22f f x lnx x =-=,记()22h x lnx x =--,则()h x 在[1,]e 上单调递减,且()110h =>, ()0h e e =-<,故()h x 在[1,]e 上有唯一零点3x ,即函数()f x 在[1,]e 上有唯一的二阶不动点3x . 综上所述,函数()f x 的二阶不动点有3个. 【点睛】(1)这是分段函数求值,基础题;(2)含绝对值的函数单调性的判断,比较容易;(3)这道题难点是要写出(())f f x 分段函数,根据(())f f x x =,求出解的个数,一定注意x 的范围.23.(1)(5,5)- (2)奇函数,见解析 【分析】(1)若()f x 有意义,则需满足505xx->+,进而求解即可; (2)由(1),先判断定义域是否关于原点对称,再判断()f x -与()f x 的关系即可. 【详解】 (1)由题,则505xx->+,解得55x -<<,故定义域为()5,5- (2)奇函数,证明:由(1),()f x 的定义域关于原点对称, 因为()()33355log log log 1055x xf x f x x x+--+=+==-+,即()()f x f x -=-, 所以()f x 是奇函数 【点睛】本题考查具体函数的定义域,考查函数的奇偶性的证明. 24.(1)12-;(2)1-. 【分析】(1)根据()()()4log 41xf x kx k R =++∈的图象关于y 轴对称.得到()()f x f x -=,再利用待定系数法法求解.(2)由(1)知()42=+⋅xx g x m ,[]20log 3x ∈,,令2x t =,[]13t ∈,得到2=+⋅y t m t ,然后利用二次函数的图象和性质求解.【详解】 (1)()()()4log 41x f x kx k R =++∈的图象关于y 轴对称.∴函数()f x 是偶函数.()()f x f x ∴-=,即()()44log 41log 41xx kx kx -+-=++,即()()()44log 411log 41xxk x kx +-+=++,即210k +=,12k ∴=-;(2)()1242142()+=+⋅-=+⋅f x xx x x g x m m ,[]20log 3x ∈,,设2x t =,则[]13t ∈,, 2∴=+⋅y t m t 在[]13t ∈,上最小值为0,又22()24m m y t =+-,[]13t ∈,,当12m-≤ 即2m ≥-时,1t =时10min y m =+=, 1m ∴=-,符合,当132m -<-< 即62m -<<-时,2m t =-时,204min m y =-=,0m ∴= 不符合,当32m-≥ 即6m ≤-时,3t =时,930min y m =+=, 3m ∴=-,不符合, 综上所述m 的值为1-. 【点睛】本题主要考查偶函数的应用,对数运算以及二次函数的图象和性质的应用,还考查了分类讨论的思想和运算求解的能力,属于中档题. 25.(1)是;答案见解析;(2)1m -. 【分析】(1)特殊值验证使得()()f x f x -=-即可;(2)因为函数满足新定义,则问题由存在问题转化为求函数值域问题,进而可以求解.【详解】解:(1)因为()2cos()2cos()2(22323f πππππ-=--=+=⨯=()2cos()2223f πππ=-==()()22f f ππ-=-, 所以存在02=x π使得函数()f x 为“M 类函数”;(2)由已知函数1()423x x f x m +=--满足:()()f x f x -=-,则化简可得:442(22)60x x x x m --+-+-=⋯①令222x x t -=+,则2442x x t -+=-,所以①可化为:2280t mt --=在区间[2,)+∞上有解可使得函数()f x 为“M 类函数”, 即18()2m t t=-在[2,)+∞有解, 而函数18()2t t -在[2,)+∞上单调递增,所以当2t =时,有最小值为18(2)122-=-, 所以1m -,故实数m 的取值范围为:[1-,)+∞.【点睛】本题考查了新定义的函数问题以及函数的有解问题,涉及到求函数的值域问题. 求函数最值和值域的常用方法:(1)单调性法:先确定函数的单调性,再由单调性求最值;(2)图象法:先作出函数的图象,再观察其最高点、最低点,求出最值;(3)基本不等式法:先对解析式变形,使之具备“一正二定三相等”的条件后用基本不等式求出最值;(4)导数法:先求导,然后求出在给定区间上的极值,最后结合端点值,求出最值;(5)换元法:对比较复杂的函数可通过换元转化为熟悉的函数,再用相应的方法求最值. 26.()[)()13,3,()1,3R A B C A B ⋃=-⋂= ()20a =【分析】(1)先求集合B,再根据交集、并集以及补集得定义求结果,(2)先根据条件化为集合关系,再结合数轴求实数a 的取值范围.【详解】(1){()(){}[]||3103,1A x y x x x ===+-≥=-当1a =时,{}{}()222|60|602,3B x x ax a x x x =--<=--<=-, 所以[)3,3,A B ⋃=-因为()()(),31,R C A =-∞-⋃+∞,所以()()1,3R C A B ⋂=(2)因为()R C A B B ⋂=,所以R B C A ⊆,当B =∅时,0a =,满足条件,{}()220|602,3a B x x ax a a a >=--<=-当时,不满足条件,因此0a =.【点睛】防范空集.在解决有关,A B A B ⋂=∅⊆等集合问题时,往往忽略空集的情况,一定先考虑∅是否成立,以防漏解.。
一、选择题1.已知汽车从踩刹车到停车所滑行的距离()m s 与速度()km/h v 之间有如下关系式:2s k M v =⋅⋅,其中k 是比例系数,且0,k M >是汽车及其载重质量之和.若某辆卡车不装货物(司机体重忽略不计)以36km/h 的速度行驶时,从刹车到停车需要走20m .当这辆卡车装载等于车重的货物行驶时,为保证安全,要在发现前面20m 处有障碍物时能在离障碍物5m 及以外处停车,则最高速度是(设司机发现障碍物到踩刹车经过1s )( ) A .36km/hB .30km/hC .24km/hD .18km/h2.对于函数()f x ,若在定义域内存在实数0x 满足()()00f x f x -=-,则称函数()f x 为“倒戈函数”.设()31xf x m =+-(m ∈R ,0m ≠)是定义在[]1,1-上的“倒戈函数”,则实数m 的取值范围是( ) A .2,03⎡⎫-⎪⎢⎣⎭B .21,33⎡⎤--⎢⎥⎣⎦C .2,03⎡⎤-⎢⎥⎣⎦D .(),0-∞3.已知函数()()f x x R ∈是奇函数且当(0,)x ∈+∞时是减函数,若(1)0f =,则函数2(2||)y f x x =-的零点共有( )A .4个B .5个C .6个D .7个4.若()()22ln 1f x x x e =+≤≤(e 为自然对数的底数),则函数()()22y f x f x =+⎡⎤⎣⎦的最大值为( ) A .6B .13C .22D .335.已知3log 2a =,那么33log 82log 6-用a 表示是( ) A .52a -B .2a -C .23(1)a a -+D .231a a --6.函数2()ln(43)f x x x =+-的单调递减区间是( )A .32⎛⎤-∞ ⎥⎝⎦,B .3,42⎡⎫⎪⎢⎣⎭C .3,2⎡⎫+∞⎪⎢⎣⎭D .31,2⎛⎤- ⎥⎝⎦7.如图是二次函数2y ax bx c =++图象的一部分,图象过点()30A -,,对称轴为1x =-,给出下面四个结论:①24b ac >;②21a b -=;③0a b c -+=;④若0y >,则()3,1x ∈-.其中正确的是( ) A .①④B .②④C .①③D .①②③8.已知函数()f x 的定义域是[]2,3-,则()23f x -的定义域是( ) A .[]7,3-B .[]3,7-C .1,32⎡⎤⎢⎥⎣⎦D .1,32⎡⎤-⎢⎥⎣⎦9.已知函数()f x 是R 上的单调函数,且对任意实数x ,都有()21213xf f x ⎡⎤+=⎢⎥+⎣⎦成立,则()2020f 的值是( ) A .202021- B .202021+C .202020202121+-D .202020202121-+10.集合{}2|6,y y x x ∈=-+∈N N 的真子集的个数是( ) A .9B .8C .7D .6111.已知非空集合M 满足:对任意x M ∈,总有2x M ∉M ,若{}0,1,2,3,4,5M ⊆,则满足条件的M 的个数是( )A .11B .12C .15D .1612.从含有3个元素的集合{},,a b c 的所有子集中任取一个,所取得子集是含有2个元素的集合的概率( ) A .310B .112C .4564D .38二、填空题13.一个人喝了少量酒后,血液中的酒精含量迅速上升到0.3/mg mL ,在停止喝酒后,血液中的酒精含量以每小时25%的速度减少,为了保障交通安全,某地根据《道路交通安全法》规定:驾驶员血液中的酒精含量不得超过0.09/mg mL ,那么这个人至少经过________小时才能开车.(精确到1小时,参考数据:lg30.48,lg 40.60≈≈)14.已知函数22()1()x xf x x e a x e a R =++∈有四个零点,则实数a 的取值范围是________.15.已知函数()()212log 23f x x ax =-+,若函数的增区间是(),1-∞,则实数a =______. 16.设log c a 、log c b 是方程2530x x +-=的两个实根,则log b ac =______.17.定义域为R 的函数()f x 满足(2)2()f x f x +=,当[0,2)x ∈时,21.5,[0,1)()0.5,[1,2)x x x x f x x -⎧-∈⎪=⎨-∈⎪⎩,若[4,2)x ∈--时,1()42t f x t ≥-恒成立,则实数t 的取值范围是______.18.对于函数()f x ,若在定义域内存在..实数x ,满足()()f x f x -=-,称()f x 为“局部奇函数”,若()12423xx f x m m +=-+-为定义域R 上的“局部奇函数”,则实数m 的取值范围是______19.已知集合{2,1}A =-,{|2,B x ax ==其中,}x a ∈R ,若A B B =,则a 的取值集合为___________.20.若集合2{|(2)20,A x x a x a =-++-<x ∈Z }中有且只有一个元素,则正实数a 的取值范围是________三、解答题21.已知关于x 的方程()2320,,,0ax bx c a b c R a ++=∈≠,其中0a b c ++=,且()320a b c c ++>.(1)求证:关于x 的方程2320ax bx c ++=有两个不等的实根; (2)若21ba-<<-,且1x ,2x 是方程2320ax bx c ++=的两个实根,求12x x -的取值范围.22.已知函数()11f x x=-,实数a 、b 满足a b <. (1)在下面平面直角坐标系中画出函数()f x 的图象;(2)若函数在区间[],a b 上的值域为1,33⎡⎤⎢⎥⎣⎦,求+a b 的值;(3)若函数()f x 的定义域是[],a b ,值域是[](),0ma mb m >,求实数m 的取值范围. 23.已知函数()23x x f x a b =⋅+⋅,其中常数,a b 满足0ab ≠. (1)若0ab >,判断函数()f x 的单调性; (2)若0ab <,求(1)()f x f x +>时x 的取值范围. 24.设函数()log (0,1)a f x x a a =>≠. (1)解不等式(26)(5)f a f a +;(2)已知对任意的实数()23,14m f m m f ⎛⎫++ ⎪⎝⎭恒成立,是否存在实数k ,使得对任意的[1,0]x ∈-,不等式()()142240x x xf f k ++--⋅>恒成立,若存在,求出k 的范围;若不存在,请说明理由.25.已知函数()2342()log log 16af x x x=⋅⋅.(1)若1a =,求方程()1f x =-的解集; (2)当[]2,4x ∈时,求函数()f x 的最小值.26.关于x 的不等式22(21)(2)0x a x a a -+++->,223()0x a a x a -++<的解集分别为M 和N(1)试求M 和N ;(2)若M N ⋂=∅,求实数a 的取值范围.【参考答案】***试卷处理标记,请不要删除一、选择题 1.D 解析:D 【分析】根据v =36km/h 时,20m s =,求出5324k M ⋅=,求出司机发现障碍物到踩刹车经过1s ,汽车行驶的距离,再由不等式25202518vk Mv --⋅可解得结果. 【详解】因为2s k M v =⋅⋅,且当v =36km/h 时,20m s =, 所以22036k M =⋅⋅,∴5324k M ⋅=, 司机发现障碍物到踩刹车经过1s ,汽车行驶的距离为10005(m)360018vv ⋅=, 由25202518v k Mv --⋅,得25520518162v v --, 即294860v v +-≤,解得2718v -≤≤. ∴则最高速度是18km/h . 故选:D. 【点睛】关键点点睛:理解题意,找出题目中的不等关系是解题关键.2.A解析:A 【分析】()31x f x m =+-是定义在[1,1]-上的“倒戈函数,即存在0[1,1]x ∈-,满足00()()f x f x -=-,即02332x x m -=--+有根,即可求出答案.【详解】()31x f x m =+-是定义在[1,1]-上的“倒戈函数,∴存在0[1,1]x ∈-满足00()()f x f x -=-,003131x x m m -∴+-=--+,002332x x m -∴=--+,构造函数00332x x y -=--+,0[1,1]x ∈-,令03x t =,1[,3]3t ∈,1122()y t t t t=--+=-+在1[,1]3单调递增,在(1,3]单调递减,所以1t =取得最大值0,13t =或3t =取得最小值43-,4[,0]3y ∴∈-,4203m ∴-<,032m ∴-<, 故选:A . 【点睛】本题考查的知识点是指数函数的性质、函数的值域,新定义“倒戈函数”,正确理解新定义“倒戈函数”的含义,是解答的关键.3.D解析:D 【解析】根据题意,函数y=f (x )是定义域为R 的奇函数,则f (0)=0,当x ∈(0,+∞)时是减函数,且f (1)=0,则函数在(0,+∞)上只有一个零点, 若函数y=f (x )是奇函数且当x ∈(0,+∞)时是减函数,则f (x )在(-∞,0)为减函数,又由f (1)=0,则f (-1)=-f (1)=0,则函数在(-∞,0)上只有一个零点, 故函数y=f (x )共有3个零点,依次为-1、0、1, 对于函数()22y f x x =-, 当221x x -=-时,解得1x =±, 当220x x -=时,解得2x =±或0x =,当221x x -=时,解得1x =+1x =--故函数()22y f x x =-的零点共有7个. 故选D点睛:本题考查函数的零点的判断,涉及函数的奇偶性与单调性的综合运用,关键是分析得到函数y=f (x )的零点,注意计算的准确性.4.B解析:B 【分析】先依题意求函数定义域,再化简函数,进行换元后求二次函数在区间上的最大值即可. 【详解】由21x e ≤≤及()2f x知221x e ≤≤,故定义域为[]1,e ,又()()()()()222222ln 2ln ln 6ln 61y f x f x x x x x x e =+=+++=++≤≤⎡⎤⎣⎦令[]ln 0,1t x =∈,则266y t t =++,易见y 在[]0,1t ∈上单调递增, 故当1t =时,即x e =时,max 16613y =++=. 故选:B. 【点睛】易错点睛:利用换元法求函数最值时,要注意函数的定义域,否则求得的易出错.5.B解析:B 【解析】试题分析:33333333log 82log 6log 22log 233log 22(log 2log 3)-=-⨯=-+3log 222a =-=-,所以答案选B .考点:指数对数的计算6.B解析:B 【分析】先求函数的定义域,再利用复合函数的单调性同增异减,即可求解. 【详解】由2430x x +->得2340x x --<,解得:14x -<<,2()ln(43)f x x x =+-由ln y t =和234t x x =-++复合而成,ln y t =在定义域内单调递增,234t x x =-++对称轴为32x =,开口向下, 所以 234t x x =-++在31,2⎛⎫- ⎪⎝⎭ 单调递增,在3,42⎡⎫⎪⎢⎣⎭单调递减,所以2()ln(43)f x x x =+-的单调减区间为3,42⎡⎫⎪⎢⎣⎭,故选:B 【点睛】本题主要考查了利用同增异减求复合函数的单调区间,注意先求定义域,属于中档题7.A解析:A 【分析】由抛物线与x 轴有两个交点,可判定①正确;由对称轴方程为12bx a=-=-,可判定②不正确;由()10f ->,可判定③不正确;由根据函数的对称性和(3)0f -=,可判定④正确. 【详解】由函数2y ax bx c =++的图象,可得函数的图象开口向下,与x 轴有两个交点,所以0a <,240b ac ∆=->,所以①正确; 由对称轴方程为12bx a=-=-,可得2a b =,所以20a b -=,所以②不正确; 由()10f ->,可得0a b c -+>,所以③不正确; 由图象可得(3)0f -=,根据函数的对称性,可得()10f =, 所以0y >,可得31x -<<,所以④正确. 故选:A. 【点睛】识别二次函数的图象应用学会“三看”:一看符号:看二次项系数的符号,它确定二次函数图象的开口方向; 二看对称轴:看对称轴和最值,它确定二次函数图象的具体位置;三看特殊点:看函数图象上的一些特殊点,如函数图象与y 轴的交点、与x 轴的交点、函数图象的最高点或最低点等.8.C解析:C 【分析】由2233x -≤-≤解得结果即可得解. 【详解】因为函数()f x 的定义域是[]2,3-,所以23x -≤≤, 要使()23f x -有意义,只需2233x -≤-≤,解得132x ≤≤。
数学必修一期末测试模拟卷 含解析【说明】本试卷分为第I (选择题)和第Ⅱ卷(非选择题)两部分,满分150分,考试时间120分钟。
第I 卷 (选择题 共60分)一、单选题(本大题共12小题,每小题5分,共60分)1. 设U Z =,集合{}1,3,5,7,9A =,{}1,2,3,4,5B =,则图中阴影部分 表示的集合是( ) {}.1,3,5A {}.1,2,3,4,5B {}.7,9C {}.2,4D2. 若函数()33xxf x -=+与()33x x g x -=-的定义域均为R ,则( ).A ()f x 与()g x 均为偶函数 .B ()f x 为偶函数,()g x 为奇函数 .C ()f x 与()g x 均为奇函数 .D ()f x 为奇函数,()g x 为偶函数3. 已知函数()3log ,02,x x x f x x >⎧=⎨≤⎩则f ⎛ ⎝ ).4A 1.4B .4C - 1.4D - 4. 函数y =的定义域是( )3.,14A ⎛⎫ ⎪⎝⎭ 3.,4B ⎛⎫+∞ ⎪⎝⎭ ().1,C +∞ ()3.,11,4D ⎛⎫+∞ ⎪⎝⎭5. 552log 10log 0.25+=( ).0A .1B .2C .4D6. 函数()3log 82f x x x =-+的零点一定位于区间( )().5,6A ().3,4B ().2,3C ().1,2D7. 函数()()2312f x x a x a =+++在(),4-∞上为减函数,则实数a 是取值范围为( ).3A a ≤- .3B a ≤ .5C a ≤ .3D a =-ABU8. 若幂函数()y f x =的图象经过点19,3⎛⎫ ⎪⎝⎭,则()25f =( )1.5A 1.3B 1.25C .5D 9. 设1a >,则0.2log a ,0.2a,0.2a的大小关系是( ).A 0.2a <0.2log a <0.2a .B 0.2log a <0.2a <0.2a .C 0.2log a <0.2a <0.2a .D 0.2a <0.2a <0.2log a10. 函数22xy x =-的图象大致是( )11. 函数xy a =在[]0,1上的最大值和最小值的和为3,则函数13x y a-=在[]0,1上的最大值是( ).6A .1B .3C 3.2D12. 已知函数()lg ,01016,102x x f x x x ⎧<≤⎪=⎨-+>⎪⎩,若,,a b c 互不相等,且()()()f a f b f c ==,则abc的取值范围是( )().1,10A ().5,6B ().10,12C ().20,24D第Ⅱ卷(非选择题 共90分)二、填空题(本大题共4小题,每小题5分,共20分)13. 已知集合{}20A x x ax b =++=中有且只有一个元素1,则a = ,b = 。
14. 若函数()()21x a x af x x+++=为奇函数,则实数a = 。
15. 函数()212x f x a-=-+恒过的定点的坐标是 。
16. 已知函数()f x 满足:当4x ≥时,()1()2xf x =;当4x <时,()()1f x f x =+。
则()22log 3f +等于 。
三、解答题:本大题共6个小题,共70分,解答应写出文字说明、证明过程或演算步骤。
17. (本小题10分)已知集合{}28A x x =≤≤,{}16B x x =<<,{}C x x a =>,U R =. (1)求A B ,()U C A B ;(2)若AC φ=,求a 的取值范围.18.计算题(本小题满分12分)(1)()122230133220183482--⎛⎫⎛⎫⎛⎫---+ ⎪ ⎪⎪⎝⎭⎝⎭⎝⎭;(2)21log 32.5log 6.25lg0.0012-+++.19.(本小题满分12分)函数()f x 是R 上的偶函数,且当0x >时,函数的解析式为()21f x x=-. (1)用定义证明()f x 在()0,+∞上是减函数; (2)求当0x <时,函数的解析式.20.(本小题满分12分)A 、B 两城相距100 km ,在两地之间距A 城x km 处的D 处建一座核电站给A 、B 两城供电。
为保证城市安全,核电站与城市距离不得少于10 km 。
已知供电费用与供电距离的平方和供电量之间成正比,比例系数0.25λ=. 若A 城供电量为20 亿度/月,B 城供电量为10 亿度/月.(1)求x 的范围;(2)把月供电总费用y 表示成x 的函数;(3)核电站建在距离A 城多远,才能使供电费用最小?21.(本小题满分12分)已知函数()()()lg 1lg 1f x x x =++-. (1)求函数()f x 的定义域; (2)判断函数()f x 的奇偶性; (3)求函数()f x 的值域.22.(本小题满分12分)已知函数()f x 对一切实数,x y 都满足()()()21f x y f y x y x +=+++,且()10f =. (1)求()0f 的值; (2)求()f x 的解析式;(3)当1[0,]2x ∈时,()32f x x a +<+恒成立,求a 的取值范围.答案解析一、单选题1. D 由venn 图知阴影部分表示的集合为{}2,4U BC A =.2.B 因为()()33x x f x f x --=+=,()()33x x g x g x --=-=-,故选B.3.B 311log 299f ⎛⎫==- ⎪⎝⎭,()2112294f f f -⎛⎫⎛⎫=-== ⎪ ⎪⎝⎭⎝⎭,故选B.4.A 由题意知()0.5log 430x ->则0431x <-<,∴314x <<.故选A . 5.C ()255552log 10log 0.25log 100.25log 252+=⨯==,故选C.6.B ()33log 382310f =-+⨯=-<,()334log 4824log 40f =-+⨯=> ∴()()340f f <,故选B.7.A 函数()f x 的对称轴为312a x +=-,要使函数在(),4-∞上为减函数,只需使 ()31,4,2a +⎛⎫-∞⊆-∞-⎪⎝⎭,即3142a +-≥,∴3a ≤-,故选A. 8.A 设()f x x α=,∵图象经过点19,3⎛⎫ ⎪⎝⎭,∴193α=,∴12α=-,即()12f x x -=。
()12125255f -==.故选A. 9.B ∵1a >,∴0.2log 0a <,00.21a<<,0.21a >,∴0.2log a <0.2a <0.2a .10.A 易知2xy =的增长速度大于2y x =,∴x →+∞时,220x y x =->;x →-∞时,220x y x =-<.排除C 、D . 又∵ 对于函数()22xf x x =-有()()240f f ==,排除B ,故选A .11.C 由于函数xy a =在[]0,1上单调,∴最大值和最小值在都在端点处取得,故有013a a +=,解得2a =,∴函数132x y -=在[]0,1上单调递增,最大值为()max 13y f ==.故选C.12.C 函数()f x 的图象如图所示: 不妨设a b c <<,则1012c <<. ∵()()f a f b =,∴lg lg a b -=.即 lg lg 0a b +=,即lg 0ab =,∴1ab =. 又∵ 1012c <<,∴ 1012abc <<,故选C . 二、填空题13.答案:-2,1解析:法一、由题意可知,0∆=且1为方程20x ax b ++=的根,∴ 有 24010a b a b ⎧-=⎨++=⎩解得 21a b =-⎧⎨=⎩法二、依题意,方程20x ax b ++=有两个相等根1,根据韦达定理可得1111a b +=-⎧⎨⨯=⎩ 解得21a b =-⎧⎨=⎩14.答案:-1解析:由()()()21x a x af x f x x-++-==--, 得()()2211x a x a x a x a -++=+++ ∴ 10a +=,1a =-.15.答案:1,12⎛⎫⎪⎝⎭解析:令210x -=,解得12x =, 又01212f a ⎛⎫=-+=⎪⎝⎭,()f x ∴过定点1,12⎛⎫ ⎪⎝⎭. 16.答案:124解析:因为22232log 22log 32log 44=+<+<+=, ()()222log 33log 3f f ∴+=+,又因为23log 34+>, ∴()()222log 33log 3f f +=+221213log 3log 3log 311111111282828324+⎛⎫⎛⎫⎛⎫==⨯=⨯=⨯= ⎪ ⎪ ⎪⎝⎭⎝⎭⎝⎭. 三、解答题 17.(1){}{}{}281618AB x x x x x x =≤≤<<=<≤.{}28U C A x x x =<>或, (){}12U C A B x x ∴=<<(2)A C φ≠,8a ∴<.18. (1)原式=344112992--+=. (2)原式=11233122-++⨯=.19.(1)设120x x <<,则 ()()()2112121222211x x f x f x x x x x -⎛⎫⎛⎫-=---=⎪ ⎪⎝⎭⎝⎭120x x <<,12210,0x x x x ∴>-> ()()120f x f x ∴->即 ()()12f x f x >,()f x ∴在()0,+∞上是减函数.(2)设0x <则0x ->,()21f x x∴-=--, 又()f x 为偶函数,()()21f x f x x ∴-==--,即()()210f x x x=--<.20.(1)x 的取值范围为1090x ≤≤(2)()()()222250.25200.25101005100-10902y x x x x x =⨯+⨯-=+≤≤;(3)由()222251515100500005100-5002500022233y x x x x x ⎛⎫=+=-+=-+⎪⎝⎭ 则当1003x =km 时,y 最小. 答:当核电站建在距A 城1003km 时,才能使供电费用最小.21.(1)由1010x x +>⎧⎨->⎩ 得11x -<<, ∴ 函数()f x 的定义域为()1,1-.(2)定义域关于原点对称,对于任意的()1,1x ∈-,有()1,1x -∈-, ()()()()lg 1lg 1f x x x f x -=-++=,∴()f x 为偶函数. (3)()()()()2lg[11]lg 1f x x x x=+-=-,令21t x =-,()1,1x ∈-,∴(0,1]t ∈又lg y t =在(0,1]上是增函数,lg10y ∴≤=∴ 函数()f x 的值域为(,0]-∞.22.(1)令1,0x y ==,则()()()10111f f =++⨯,()()0122f f ∴=-=-.(2)令0y =,则()()()01f x f x x =++, ()22f x x x ∴=+-. (3)由()32f x x a +<+,得 21a x x >-+设21y x x =-+,则21y x x =-+在1,2⎛⎫-∞ ⎪⎝⎭上是减函数, 所以21y x x =-+在1[0,]2上的范围为314y ≤≤,从而可得1a >.。