环境职业健康安全法律法规清单
- 格式:xls
- 大小:131.00 KB
- 文档页数:28
职业健康安全法律法规和其他要求清单2024最新)一、国家法律法规:1.《中华人民共和国劳动法》2.《安全生产法》3.《职业病防治法》4.《刑法》5.《人民警察法》6.《安全生产责任条例》7.《消防法》8.《劳动合同法》二、行业法律法规:1.建筑行业:-《建筑施工安全管理条例》-《建设工程项目安全生产管理办法》-《建筑起重机械安全使用管理规定》2.煤矿行业:-《煤矿安全规程》-《煤矿安全监察条例》-《煤炭生产安全规程》3.化工行业:-《危险化学品安全管理条例》-《化学品环境管理条例》-《化工行业安全生产操作规程》4.食品行业:-《食品卫生法》-《餐饮业卫生管理办法》-《食品安全法》三、职业健康安全管理标准:四、企业内部安全管理规定:1.安全生产管理制度2.职业健康安全责任制度3.应急预案4.事故调查和分析程序5.人身安全防护措施6.安全培训制度7.设备维护保养规定8.环境评估报告五、其他要求:1.安全培训合格证书2.职业健康安全管理人员资质证书3.安全生产设备的检验合格证书4.发放个人防护用品及其合格证书5.安全生产岗位操作证书6.安全生产事故统计报告7.安全生产年度检查报告六、相关机构要求:1.国家安全生产监管部门的监督检查要求2.劳动保障部门的职业健康安全相关要求3.消防部门的防火安全要求4.卫生部门的职业病预防要求以上是2024年最新的职业健康安全法律法规和其他要求清单,企业需根据实际情况进行合规操作,并及时更新了解最新的法规要求。
同时,还需要不断加强人员培训,提高职业健康安全管理水平,保障员工的人身安全和身体健康。
适用法律法规和其他要求清单
例。
183.危险化学品登记管理办法2012年5月212012年7月
1日国家安全生产监督管理
总局令53号
全文适用于公司危险化学品管理
184.危险货物品名表2007.8.2 2007.9.10 GB 12268--2005
全文本标准适用于危险货物运输、储存、生产、经营、使用和处置。
185.高毒物品目录2003 二OO三年六
月十日卫法监发[2003]142号
全文适用于公司职业健康管理
186.危险化学品登记管理办法1992-09-28 1993-07-01 GB 13690-1992
全文适用于常用危险化学品的分类及包装标志,也适用于其他化学品的分类和包装标志。
187.常用化学危险品贮存通则1995.3.1 1995.3.1 GB15603-1995
全文适用于常用化学危险品出、入库,贮存及养护。
188.有毒作业分级1990年4月23
日1991年1月
1日
GB12331—90
全文
本标准规定了从事有毒作业危害条
件分级的技术规则。
是一项劳动保护
科学管理的基标准。
编制:审核:批准:年月日。
质量环境职业健康安全法律法规其它要求清单质量环境职业健康安全(QEHS)法律法规其它要求清单主要是用来确保企业在生产经营过程中符合国家相关法律法规以及各种职业健康安全要求和环境保护要求,减少不必要的安全事故和环境污染,保障员工的身体健康和安全,同时也是促进企业可持续和稳定发展的必要条件之一。
本文将从三个方面介绍相关法规和要求。
一、质量管理法规要求1. ISO9001:ISO9001质量管理体系标准是企业管理体系的国际标准之一,要求企业建立和实现质量管理体系,包括质量保证、质量控制和质量改进等方面。
2. GB/T19001:GB/T19001质量管理体系标准是国家标准,它是根据ISO9001标准制定的国家标准,并对其进行了一些修订和补充,主要适用于中小企业。
3. 核心供应商管理:对供应商进行认证和监管,确保其提供的产品或服务符合企业的要求和标准,同时也要求供应商做好自己的质量管理。
二、环境保护要求1.《中华人民共和国环境保护法》:该法规要求企业在生产过程中必须严格遵守环境保护法律法规,对生产过程中产生的废气、废水、废渣等要进行处理和排放达到国家规定的标准。
2. 《中华人民共和国大气污染防治法》:该法律法规要求企业必须使用环保设备和技术,减少废气排放量,保护大气环境。
3. 《中华人民共和国水污染防治法》:该法律法规要求企业必须对废水进行处理并达到水质标准,保护水环境。
三、职业健康安全要求1.《中华人民共和国安全生产法》:该法规要求企业必须采取必要的措施防止和减少安全生产事故的发生,保障员工的身体健康和安全。
2.《中华人民共和国职业病防治法》:该法律法规要求企业必须对职业病危害因素进行控制,保障员工职业健康。
3. 《中华人民共和国劳动法》:劳动法规定了劳动者的基本权利和义务,以及劳动合同签订、工资支付、工作时间、休息休假、劳动保护、职业培训等方面的具体规定。
综上所述,企业在生产经营过程中,必须重视质量管理、环境保护和职业健康安全,符合国家相关法律法规和相关要求,从而保证企业的稳定和可持续发展。
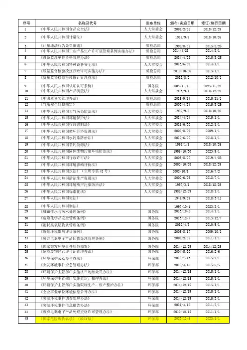
环境、职业健康安全管理体系适用法律法规清单序号名称颁发机关颁发日期实施日期1 中华人民共和国宪法(节选)全国人民代表大会2001.08.31 (修订)2 中华人民共和国刑法(节选)全国人民代表大会2011.2.25 (修订)3 中华人民共和国产品质量法全国人大常委会2000.07.08 2000.09.014 中华人民共和国合同法全国人民代表大会2007.6.29 2008.1.15 中华人民共和国劳动合同法中华人民共和国主席令第七十三号2012.12.28 2013.7.16 中华人民共和国消费者权益保护法全国人大常委会2014.3.15 2014.3.157 中华人民共和国消防法全国人大常委会2008.10.28 2009.5.18 中华人民共和国标准化法中华人民共和国主席令第11号1988.12.29 1989.4.19 中华人民共和国统计法全国人大常委会1983.12.08 1984.01.0110 中华人民共和国环境保护法全国人大常委会2015.1.1 2015.1.111 中华人民共和国水污染防治法主席令第87号2008.2.28 2008.6.112 中华人民共和国水污染防治法实施细则国家环保局2000.3.20 2000.3.2013 中华人民共和国固体废物污染环境防治法全国人大常委会2004.12.29(修订)2005.04.0114 中华人民共和国大气污染防治法中华人民共和国主席令第32号2000.4.29 2000.9.1序号名称颁发机关颁发日期实施日期15 中华人民共和国大气污染防治法实施细则国家环保局1991.05.24 1991.07.0116 中华人民共和国环境噪声污染防治法中华人民共和国主席令第77号1996.10.29 1997.3.117 电子废物污染环境防治管理办法环保总局第40号2007.9.7 2008.2.118 中华人民共和国环境影响评价法中华人民共和国主席令第77号2002.10.28 2003.9.119 中华人民共和国清洁生产促进法中华人民共和国72号主席令2002.6.29 2003.1.120 中华人民共和国节约能源法中华人民共和国主席令第77号1997.11.1 1998.1.121 建设项目环境保护管理条例国务院令第253号1998.11.29 1998.11.2922 环境标准管理办法环保总局令第3号1999.4.1 1999.4.123 国家危险废物名录中华人民共和国环境保护部、中华人民共和国国家发展和改革委员会令第1号2008.8.124 中华人民共和国道路交通安全法全国人大常委会2003.10.28 2004.05.0125 中华人民共和国环境保护行政处罚办法国家环保局1999.07.08 1999.07.0826 中华人民共和国清洁生产促进法全国人民代表大会2002.6.29 2003.1.127 河南省固体废物污染环境防治条例河南省第十一届人大常务委员会二十三次会议通过2012.1.1 2012.1.128 工伤保险条例国务院2003.4.27 2004.1.129 排污费征收标准管理办法国家环境保护总局国家经济贸易委员会令第31号2003.2.28 2003.2.28序号名称颁发机关颁发日期实施日期30 河南省排污费征收使用管理办法河南省人民政府令第78号2003.10.1831 全国环境监测管理条例83年城乡建设环境保护部第31号令1983.7.21 1983.7.2132 环境监测管理办法环保总局令39号2007.7.133 污染源监测管理办法环发[1999]246号1999.11.1 1999.11.134 环境监测质量管理规定环发[2006]114号2006.7.28 2006.7.2835 河南省环境监测管理办法河南省人民政府令第68号2002.4.1 2002.4.136 河南省水污染防治条例省人大政府第11届12次常务会议通过2010.3.137 河南省减少污染物排放条例河南省十二届人大常务委员会四次会议通过2013.9.2638 河南省环保厅关于加强“十二五”主要污染物总量减排监测体系建设运行情况考核工作的通知豫环文【2013】192号2013.10.839 河南省环境监测预警响应规定(试行)豫环文〔2013〕178号2013.8.2240 中华人民共和国妇女权益保障法主席令40号2005.8.28 2005.12.141 工业企业厂界环境噪声排放标准GB12348.2008 国家环境保护总局2008.10.1 2008.10.142 声环境质量标准GB 3096.2008 环境保护部2008.8.19 2008.10.143 社会生活环境噪声排放标准GB22337.2008 国家质检总局2008.9.19 2008.1.144 一般工业固体废物贮存、处置场污染控制标准GB18599.2001国家环保局2001.12.28 2002.7.1序号名称颁发机关颁发日期实施日期45 危险废物填埋污染控制标准GB18598.2001 国家环保局2001.12.28 2002—7.146 中华人民共和国职业病防治法主席令第60号2011.12.31 2011.12.3147 工业企业职工听力保护规范卫法监法[1999]第620号1999.12.24 1999.12.2448 职业健康监护管理办法卫生部令第23号2002.3.28 2002.5.149 职业病诊断与鉴定管理办法卫生部令第24号2002.3.28 2002.3.2850 职业病目录(卫生部劳动和社会保障部)卫发监发[2002]108号2002.4.18 2002.4.1851 职业病危害因素分类目录卫发监发[2002]63号2002.3.11 2002.3.1152 河南省职业病防治条例河南省人大常委会颁布1998.11.25 1998.11.2553 工作场所职业卫生监督管理规定国家安监总局第47号令2012.4.27 2012.6.154 消防安全标志设置要求(GB15630—1995)国家质量监督检验检疫总局1996.02.01 1996.02.0155 郑州市排放污染物申报登记管理实施细则郑州市环境保护局1996.10.1 1996.10.156 国务院关于环境保护若干问题的解决国务院1996.08.13 1996.08.1357 突发公共卫生应急条例国务院2003.05.09 2003.05.0958 机关、团体、企业、事业单位消防安全管理规定公安部2001.10.19 2002.05.0159 汽车加速行驶车外噪声限值及测量方法GB1495.2002 国家环境保护总局2002.1.4 2002.10.160 生活垃圾填埋场污染控制标准GB 16889.2008)中华人民共和国环境保护部2008.4.2 2008.7.1序号名称颁发机关颁发日期实施日期61 河南省污染源限期治理管理办法河南省人民政府令(第24号)2011.1.5 2011.1.562 河南省环境污染治理设施监督管理暂行办法河南省人民政府令第148号2012.5.21 2012.5.2163 河南省劳动防护用品监督管理办法省安监局2009.07.03 2009.07.0364 河南省实施《工伤保险条例》暂行办法省政府2003.12.19 2003.12.1965 关于印发突发事件应急演练指南的通知国务院应急办函[2009]62号2009.10.21 2009.10.2566 劳动防护用品监督管理规定安监总局令1号2005.7.23 2005.9.167 生产经营单位安全培训规定安监总局令3号2006.1.17 2006.3.168 安全生产违法行为行政处罚办法安监局令令15号2014.12.30 2014.12.3069 生产安全事故应急预案管理办法安监总局令17号2009.4.1 2009.5.170 生产安全事故信息报告和处置办法安监总局令21号2009.5.27 2009.7.171 河南省安全生产应急救援队伍管理办法(试行)豫安监管应急[2009]184号2009.7.1 2009.7.172 职工工伤与职业病致残程度鉴定GB/T16180.2006 中华人民共和国国家质量监督检验检疫总局2006.11.3 2007.5.173 工业场所职业病危害警示标志GBZ158.2003 质量监督检验检疫总局2003.6.3 2003.12.174 职业安全卫生管理体系审核规范国家经贸委2001.12.20 2001.12.2075 职业安全卫生管理体系指导意见国家经贸委2001.12.20 2001.12.2076 消防监督检查规定公安部2004.7.9 2004.9.1序号名称颁发机关颁发日期实施日期77 火灾事故调查规定中华人民共和国公安部令第108号2009.4.30 2009.5.178 企业事业单位专职消防队组织条例公安部等1987.1.19 1987.1.1979 仓库防火安全管理规则公安部1990.4.12 1990.4.1280 机关、团体、企业、事业单位消防安全管理规定公安部2001.11.4 2002.5.181 城镇排水与污水处理条例中华人民共和国国务院2013.12.2 2014.1.182 特种设备安全法全国人民代表大会常务委员会2013.6.29 2014.1.183 河南省安全生产条例河南省人民代表大会常务委员会2004.8.1 2010.10.184 中华人民共和国安全生产法12届全国代表大会第10次会议2014.8.31 2014.12.185 中华人民共和国计量法主席令(第八号)2013.12.28 2014.3.186 中华人民共和国清洁生产促进法主席令第五十四号2012.2.29 2012.7.187 中华人民共和国道路交通安全法国务院第49次常务会议2007.12.9 2008.05.01 编制:审核:批准日期:。
职业健康安全和环境法律法规目录
说明:《安全、职业健康、环境保护法律法规目录表》依据GB/T24001-2015《环境管理体系要求及实施指南》-6.1.3合规性义务和GB/T28001-2011《职业健康安全管理体系要求》4.3.2“法律法规”条款编制,贯标“职业健康安全、环境、质量管理体系”,控制风险和环境污染,提供法律规范。
我国已批准加入的国际公约(环境保护和职业健康安全公约)目录
中华人民共和国环境、职业健康安全法律法规目录
环境保护、安全职业健康法律法规合规性评价记录(QR/ZJJY-8.1-002)
说明依据GB/T24001-2015《环境管理体系要求》-9.1.2合规性评价和GB/T28001-2011《职业健康安全管理体系要求》4.5.2“合规性评价”条款编制,贯标“职业健康安全、环境、质量管理体系”,控制风险和环境污染,提供法律规范。
(截止2017.3.10)。
法律法规与其他要求清单
精品word文档
精品word文档
精品word文档
精品word文档
精品word文档
精品word文档
精品word文档
精品word文档
精品word文档
精品word文档
精品word文档
精品word文档
精品word文档
精品word文档
精品word文档
精品word文档
精品word文档
精品word文档
精品word文档
精品word文档
精品word文档
【本文档内容可以自由复制内容或自由编辑修改内容期待你的好评和关注,我们将会做得更好】
【本文档内容可以自由复制内容或自由编辑修改内容期待你的好评和关注,我们将会做得更好】感谢您的支持与配合,我们会努力把内容做得更好!
精品word文档。
编制部门:经营部审批:苏祖禄日期:2014.4.15
编制部门:经营部审批:苏祖禄日期:2014.4.15
环境与职业健康安全法律法规清单及适用性评价记录
编制部门:经营部审批:苏祖禄日期:2014.4.15
编制部门:经营部审批:苏祖禄日期:2014.4.15
环境与职业健康安全法律法规清单及适用性评价记录
编制部门:经营部审批:苏祖禄日期:2014.4.15
环境与职业健康安全法律法规清单及适用性评价记录
编制部门:经营部审批:苏祖禄日期:2014.4.15
编制部门:经营部审批:苏祖禄日期:2014.4.15
环境与职业健康安全法律法规清单及适用性评价记录编制部门:经营部审批:苏祖禄日期:2014.4.15
编制部门:经营部审批:苏祖禄日期:2014.4.15
环境与职业健康安全法律法规清单及适用性评价记录
编制部门:经营部审批:苏祖禄日期:2014.4.15
编制部门:经营部审批:苏祖禄日期:2014.4.15
编制部门:经营部审批:苏祖禄日期:2014.4.15。
职业健康安全方面法律法规及部分标准清单在现代社会,职业健康安全已经成为了企业发展和员工福利保障的重要环节。
为了确保员工的身体健康和安全,国家和相关机构制定了一系列的法律法规来规范职业健康安全管理。
本文将为您列举一些职业健康安全方面的法律法规以及部分相应的标准,以帮助企业和个人更好地了解和遵守相关规定。
一、法律法规:1.中华人民共和国劳动法中华人民共和国劳动法是中国最基本的劳动法律法规,其中包括了对职业健康安全的规定。
例如,根据劳动法的相关规定,雇主有责任提供安全的工作环境和设备,并采取必要的措施确保员工的安全和健康。
2.中华人民共和国安全生产法中华人民共和国安全生产法是中国的一项基本法律,旨在加强对安全生产的监督和管理。
根据该法,企业必须建立健全的安全生产管理体系,并采取必要的措施预防和减少事故的发生。
此外,安全生产法还规定了安全生产责任的划分和相关的法律责任。
3.职业病防治法职业病防治法是保护劳动者免受职业病侵害的重要法律。
根据该法,用人单位应当依法采取措施,预防职业病的发生,提供职业病防治的必要设备、装置和药品。
同时,该法还规定了职业病危害告知、职业病诊断和职业病鉴定等方面的具体要求。
4.职业病危害因素作业场所监测规范《职业病危害因素作业场所监测规范》是国内监测职业病危害的重要标准之一。
该标准规定了职业病危害因素的监测方法和标准,以及监测过程中的操作规范。
5.职业卫生技术服务规范《职业卫生技术服务规范》是用于指导职业卫生技术服务的标准之一。
该规范包括了对职业病预防、职业健康监护、职业病危害评价等方面的具体要求,有助于提高企业职业健康管理的水平。
二、部分标准清单:1. GBZ1-2010《劳动者职业健康与安全工程术语》该标准规定了劳动者职业健康与安全工程术语的定义和应用,对于理解和使用相关术语具有重要的指导作用。
2. GB/T 18881-2014《环境与工作场所空气质量分析方法指南》该标准规定了环境与工作场所空气质量分析的方法和要求,有助于对工作场所环境中的有害物质进行监测和评估。
环境保护、职业健康、安全法律法规及标准规范目录环境保护、职业健康、安全法律法规及标准规范目录1. 环境保护1.1 环境保护基本法律法规1.1.1《中华人民共和国环境保护法》1.1.2《中华人民共和国大气污染防治法》1.1.3《中华人民共和国水污染防治法》1.1.4《中华人民共和国噪声污染防治法》1.1.5《中华人民共和国固体废物污染环境防治法》 1.2 环境管理制度1.2.1 环境影响评价制度1.2.2 环境管理体系标准1.2.3 清洁生产评价规范1.3 自然资源保护1.3.1 水资源保护法规1.3.2 森林资源保护法规1.3.3 矿产资源保护法规2. 职业健康2.1 职业健康管理法规2.1.1《中华人民共和国职业病防治法》 2.1.2《中华人民共和国工伤保险条例》 2.1.3《中华人民共和国安全生产法》 2.2 职业病防治与监测2.2.1 职业病危害因素监测规范2.2.2 职业健康档案管理规定2.2.3职业病防护设施配置与使用规范3. 安全法律法规及标准规范3.1 安全生产基本法律法规3.1.1《安全生产法》3.1.2《中华人民共和国消防法》3.1.3《特种设备安全法》3.2 建筑施工安全管理3.2.1 建筑施工企业安全管理规定3.2.2 建筑工地安全操作规范4. 附件本文档涉及的附件详见附件部分。
5. 法律名词及注释- 环境影响评价制度:指对建设项目进行环境影响评价,明确项目对环境的影响程度,以及采取的环境保护措施等。
- 清洁生产评价规范:指对企业生产过程中的环境影响进行评估,确定清洁生产技术和措施的规范。
- 中华人民共和国职业病防治法:中国法律,目的是预防和控制职业病,保护劳动者健康。
- 职业健康档案管理规定:规定企业应建立和管理员工的职业健康档案,记录职业病防护措施、职业病发生情况等。
- 安全生产法:中华人民共和国法律,旨在保护人民的人身安全和财产安全,规定了安全生产的基本要求和责任。
本文档为环境保护、职业健康、安全法律法规及标准规范的综合目录,供参考使用。
职业健康安全关联法律法规及其他要求清单职业健康安全(Occupational Health and Safety,OHS),是指为了保障从事工作的人们的身体和心理健康以及工作环境的安全而制定的一系列法律法规和要求。
职业健康安全法律法规及其他要求的清单如下:1.《劳动法》:我国的《劳动法》是保障劳动者权益的基本法律,其中包括了一些与职业健康安全相关的规定,如雇主必须提供安全的工作环境、防止劳动者职业病和意外伤害等。
2.《安全生产法》:《安全生产法》是我国专门针对生产过程中的安全问题而颁布的法律,其中涉及了职业健康安全的要求,如规定了企事业单位必须建立健全安全生产责任制度,加强职业卫生和职业毒害防治等。
3.《职业病防治法》:《职业病防治法》是我国专门针对劳动者职业病防治的法律,其中包括了雇主必须提供洁净的劳动环境、提供个人防护用品、进行职业病危害因素评估等要求。
4.《矿山安全法》:矿山作为一个高风险的行业,具有特殊的职业健康安全要求。
《矿山安全法》对矿山领域的安全生产进行了规范,包括要求矿主提供安全的工作环境、落实职业健康安全管理制度等。
5.《建筑施工管理条例》:建筑行业是一个高风险的行业,需要特别注意职业健康安全。
《建筑施工管理条例》规定了建筑工地的安全管理措施,包括建立安全生产责任制度、发放个人防护用品、组织职业卫生检查等。
6.《道路交通安全法》:道路交通是一个与职业健康安全密切相关的领域。
《道路交通安全法》规定了驾驶员在驾驶过程中必须注意保护自身和他人的安全,包括禁止酒驾、限制疲劳驾驶等。
7.《化学品管理条例》:化学品工业是一个存在安全风险的行业。
《化学品管理条例》对化学品的安全管理进行了规定,包括要求企事业单位建立化学品安全管理制度、提供必要的个人防护用品等。
8.国家标准和行业标准:除了法律法规外,国家和行业还有一些标准,如《安全生产标准化》、《劳动保护用品》等,这些标准对职业健康安全提出了具体要求,有助于指导企事业单位进行安全管理。
职业健康安全适用法律法规清单随着社会的进步和人们对劳动环境的关注,职业健康安全成为了一个重要的议题。
为了保障员工的权益,各国都制定了一系列职业健康安全的法律法规。
本文将为您整理了一份职业健康安全适用的法律法规清单,以供参考。
一、国际组织制定的法规1.《国际劳工组织公约》和《国际劳工组织宪章》:这两个国际劳工组织的文件是在国际范围内保障职业健康安全的重要依据。
其内容包括了职业病的预防、职业事故的防范、劳动者权益的保护等。
2.《国际劳工组织职业健康与安全管理体系标准》(OHSAS18001):该标准是为了帮助组织建立和实施职业健康与安全管理体系而制定的。
二、中国制定的法律法规1.《中华人民共和国劳动法》:该法规明确了劳动者在工作中享有的职业健康安全权益,并要求雇主提供安全卫生条件。
2.《中华人民共和国职业病防治法》:该法规规定了职业病的防治措施、职业病鉴定和赔偿等事项。
3.《中华人民共和国安全生产法》:该法规要求企事业单位建立健全安全生产责任制度和安全生产管理制度,保障员工的人身安全和健康。
4.《中华人民共和国职业病防护条例》:该条例规定了划定职业病危害因素接触限值、职业病防护技术措施、职业病防护设施等要求。
三、美国制定的法律法规1.《美国安全与健康法案》(OSHA):该法案要求雇主提供安全和健康的工作环境,确保员工不受伤害。
2.《美国职业安全与健康管理体系》(OSHAS18001):该管理体系是一套关于全面管理职业安全与健康的标准。
四、欧洲制定的法律法规1.《欧洲劳工保护指令》:该指令对所有欧洲国家的工作环境和劳动条件提供了最低安全标准。
2.《欧洲职业健康与安全管理体系标准》(OHSAS18001):该标准要求组织建立和实施职业健康与安全管理体系,确保员工的健康与安全。
五、其他国家制定的法律法规在全球范围内,各个国家也都制定了相应的法律法规来保护职业健康安全。
例如:1. 加拿大颁布了《加拿大劳动部职业健康与安全法规》。