土力学习题及答案第四章
- 格式:doc
- 大小:102.50 KB
- 文档页数:10
土力学习题集及详细解答《土力学》习题第1章土的组成一、填空题1.若某土样的颗粒级配曲线较缓,则不均匀系数数值较大,其夯实后密实度较大。
2.级配良好的砂土是指不均匀系数≥ 5 且曲率系数为 1~3 的土。
3.利用级配曲线可确定不均匀系数Cu;为了获得较大密实度,应选择Cu值较大的土作为填方工程的土料。
4.能传递静水压力的土中水是毛细水和重力水。
5.影响压实效果的土中气是与大气隔绝的气体,对工程性质影响不大的土中气是与大气连通的气体。
6.对于粒径小于0.075mm的颗粒分析应采用沉降分析法,对于粒径大于0.075mm的颗粒分析应采用筛分法。
7.粘性土越坚硬,其液性指数数值越小,粘性土的粘粒含量越高,其塑性指数数值越大。
8.小于某粒径土的质量占土总质量10%的粒径,称为有效粒径,小于某粒径土的质量占土总质量60%的粒径,称为限制粒径。
二、名词解释1.土的结构2.土的构造3.结合水4.强结合水5.颗粒级配三、单项选择题1.对工程会产生不利影响的土的构造为:(A)层理构造(B)结核构造(C)层面构造(D)裂隙构造您的选项( D )2.土的结构为絮状结构的是:(A)粉粒(B)碎石(C)粘粒(D)砂粒您的选项( C )3.土粒均匀,级配不良的砂土应满足的条件是(C U为不均匀系数,C C为曲率系数):(A)C U< 5(B)C U>10(C)C U> 5 且C C= 1へ3(D)C U< 5 且C C= 1へ3您的选项( A)4.不能传递静水压力的土中水是:(A)毛细水(B)自由水(C)重力水(D)结合水您的选项( D )第2章土的物理性质及工程分类一、填空题1.处于半固态的粘性土,其界限含水量分别是缩限、塑限。
2.根据塑性指数,粘性土被分为粘土及粉质粘土。
3.淤泥是指孔隙比大于 1.5 且天然含水量大于 W L 的土。
4.无粘性土根据土的颗粒级配进行工程分类,碎石土是指粒径大于2mm的颗粒超过总质量 50% 的土。
第一章:土的物理性质及工程分类名词解释1、土粒级配:是指土中各粒组的相对百分含量,或土中中各粒组占总质量的百分数。
2、不均匀系数:用来描述土粒的不均匀性大小的指标。
用公式表示 1060d d C u =3、曲率系数:用来反映颗分曲线的整体形状和细粒含量多少的指标。
用公式表示1060230)(d d d C c =4、液限:是指土体处于可塑态和流动态的界限含水率,用w l 表示。
5、塑限:是指土体处于可塑态和半固态的界限含水率。
用w p 表示。
6、塑性指数:表示粘性土呈可塑状态的含水率的变化范围,其大小等于液限与塑限的差值(去百分号)。
用公式表示100)(⨯-=p l p w w I7、液性指数:表征了粘性土的天然含水率和界限含水率之间的相对关系,用来区分天然土所处的状态。
用公式表示pppl p l I w w w w w w I -=--=8、最大干密度:在击实曲线中,当土的含水率增加到某一值时,干密度可以达到了最大值,这一干密度称为最大干密度,用ρdmax 表示。
9、最优含水率:在击实曲线中,当土的含水率增加到某一值时,干密度可以达到了最大值,这一含水率称为最优含水率,用w op 表示。
10、灵敏度:原状土的单轴抗压强度与重塑土的单轴抗压强度之比。
用公式表示uu t q q S =简答1、A 土样的孔隙比小于B 土样的孔隙比,那么A 土样一定比B 土样密实么?为什么? 答:不一定;如果对于同一种土来说,孔隙比的大小可以反映出土的密实程度;而对于不同土来说,仅仅用孔隙比是无法判断土的密实程度的,还与土样的物理性质有关。
2、什么是颗分试验?有几种方法?适用范围是什么?答:测定土体中各粒组的质量占总土重百分数,确定各粒径分布范围的试验。
常用方法有:筛分法,适用于粒径d ≥0.075mm 且P ≥90%的粗粒土;密度计法,适用于粒径d ≤0.075mm 且P ≥90%的细粒土。
对于粗细混合土可采用联合测定法。
《土力学》第四章习题集及详细解答第4章土中应力一填空题1。
土中应力按成因可分为和 .2。
土中应力按土骨架和土中孔隙的分担作用可分为和。
3.地下水位下降则原水位出处的有效自重应力。
4。
计算土的自重应力应从算起。
5。
计算土的自重应力时,地下水位以下的重度应取。
二选择题1.建筑物基础作用于地基表面的压力,称为( A ).(A)基底压力;(B)基底附加压力;(C)基底净反力;(D)附加应力2.在隔水层中计算土的自重应力c时,存在如下关系( B ).(A) =静水压力(B) =总应力,且静水压力为零(C) =总应力,但静水压力大于零(D)=总应力—静水压力,且静水压力大于零3.当各土层中仅存在潜水而不存在毛细水和承压水时,在潜水位以下的土中自重应力为( C ).(A)静水压力(B)总应力(C)有效应力,但不等于总应力(D)有效应力,但等于总应力4.地下水位长时间下降,会使( A )。
(A)地基中原水位以下的自重应力增加(B)地基中原水位以上的自重应力增加(C)地基土的抗剪强度减小(D)土中孔隙水压力增大5.通过土粒承受和传递的应力称为( A ).(A)有效应力;(B)总应力;(C)附加应力;(D)孔隙水压力6.某场地表层为4m厚的粉质黏土,天然重度=18kN/m3,其下为饱和重度sat=19 kN/m3的很厚的黏土层,地下水位在地表下4m处,经计算地表以下2m处土的竖向自重应力为( B )。
(A)72kPa ; (B)36kPa ;(C)16kPa ;(D)38kPa7.同上题,地表以下5m处土的竖向自重应力为( A ).(A)91kPa ; (B)81kPa ;(C)72kPa ;(D)41kPa8.某柱作用于基础顶面的荷载为800kN,从室外地面算起的基础深度为1。
5m,室内地面比室外地面高0.3m,基础底面积为4m2,地基土的重度为17kN/m3,则基底压力为( C ).(A)229.7kPa ;(B)230 kPa ; (C)233 kPa ;(D)236 kPa9.由建筑物的荷载在地基内产生的应力称为( B ).(A)自重应力;(B)附加应力;(C)有效应力;(D)附加压力10.已知地基中某点的竖向自重应力为100 kPa,静水压力为20 kPa,土的静止侧压力系数为0。
土力学习题集及详细解答《土力学》习题第1章土的组成一、填空题1.若某土样的颗粒级配曲线较缓,则不均匀系数数值较大,其夯实后密实度较大。
2.级配良好的砂土是指不均匀系数Cu≥ 5 且曲率系数Cc为1-3 的土。
3.利用级配曲线可确定不均匀系数Cu;为了获得较大密实度,应选择Cu值较大的土作为填方工程的土料。
4.能传递静水压力的土中水是毛细水和重力水。
5.影响压实效果的土中气是与大气隔绝的气体,对工程性质影响不大的土中气是与大气联通的气体。
6.对于粒径小于0.075mm的颗粒分析应采用沉降分析法,对于粒径大于0.075mm的颗粒分析应采用筛分法。
7.粘性土越坚硬,其液性指数数值越小,粘性土的粘粒含量越高,其塑性指数数值越大。
8.小于某粒径土的质量占土总质量10%的粒径,称为有效粒径,小于某粒径土的质量占土总质量60%的粒径,称为限制粒径二、名词解释颗粒级配:土中各个粒组的相对含量。
结合水:受电分子引力吸附于土粒表面的土中水。
强结合水:紧靠土粒表面的结合水膜。
砂粒、碎石等粗粒土的结构为单粒结构,粉粒(粒径0.05mm~0.005mm)的结构为蜂窝结构,粘粒(粒径 < 0.005mm)的结构为絮凝结构或絮状结构。
第2章土的物理性质及工程分类一、填空题1.处于半固态的粘性土,其界限含水量分别是缩限Ws 、塑限Wp 。
2.根据塑性指数,粘性土被分为粘土及粉质粘土。
3.淤泥是指孔隙比大于 1.5 且天然含水量大于 wL 的土。
4.无粘性土根据土的颗粒级配进行工程分类,碎石土是指粒径大于2mm的颗粒超过总质量 50%的土。
5.冻胀融陷现象在季节性冻土中易发生,其主要原因是土中水分向冻结区迁移积聚的结果。
6.粘性土的灵敏度越高,受后其强度降低就越大,所以在施工中应注意保护基槽,尽量减少对坑底土的结构扰动。
7.通常可以通过砂土的相对密实度或标准贯入锤击试验的锤击数判定无粘性土的密实程度。
二、名词解释.液性指数:粘性土的天然含水量和塑限的差值与塑性指数之比。
土力学第四版习题答案第一章:土的物理性质和分类1. 土的颗粒大小分布曲线如何绘制?- 通过筛分法或沉降法,测量不同粒径的土颗粒所占的比例,然后绘制颗粒大小分布曲线。
2. 如何确定土的密实度?- 通过土的干密度和最大干密度以及最小干密度,计算土的相对密实度。
3. 土的分类标准是什么?- 根据颗粒大小、塑性指数和液限等指标,按照统一土壤分类系统(USCS)进行分类。
第二章:土的力学性质1. 土的应力-应变关系是怎样的?- 土的应力-应变关系是非线性的,通常通过三轴试验或直剪试验获得。
2. 土的强度参数如何确定?- 通过土的三轴压缩试验,确定土的内摩擦角和凝聚力。
3. 土的压缩性如何影响地基沉降?- 土的压缩性越大,地基沉降量越大,反之亦然。
第三章:土的渗透性1. 什么是达西定律?- 达西定律描述了土中水流的速度与水力梯度成正比的关系。
2. 如何计算土的渗透系数?- 通过渗透试验,测量土样在一定水力梯度下的流速,计算渗透系数。
3. 土的渗透性对边坡稳定性有何影响?- 土的渗透性增加可能导致边坡内部水压力增加,降低边坡的稳定性。
第四章:土的剪切强度1. 什么是摩尔圆?- 摩尔圆是一种图解方法,用于表示土的应力状态和剪切强度。
2. 土的剪切强度如何影响基础设计?- 土的剪切强度决定了基础的承载能力,是基础设计的重要参数。
3. 土的剪切强度与哪些因素有关?- 土的剪切强度与土的类型、密实度、含水量等因素有关。
第五章:土的压缩性与固结1. 固结理论的基本原理是什么?- 固结理论描述了土在荷载作用下,孔隙水逐渐排出,土体体积减小的过程。
2. 如何计算土的固结沉降?- 通过固结理论,结合土的压缩性指标和排水条件,计算土的固结沉降量。
3. 固结过程对土工结构有何影响?- 固结过程可能导致土工结构产生不均匀沉降,影响结构的稳定性和使用寿命。
第六章:土的应力路径和强度准则1. 什么是应力路径?- 应力路径是土体在加载过程中应力状态的变化轨迹。
《土质学与土力学》习题库第一章习题一.填空题1.土粒粒径越,颗粒级配曲线越,不均匀系数越,颗粒级配越。
为了获得较大密实度,应选择级配的土粒作为填方或砂垫层的材料。
2.粘土矿物基本上是由两种原子层(称为品片)构成的,一种是,它的基本单元是Si—0四面体,另一种是,它的基本单元是A1—OH八面体。
3.土中结构一般分为、和三种形式。
4.衡量天然状态下粘性土结构性强弱的指标是,其定义是值愈大,表明土的结构性,受扰动后土的强度愈多。
5.土中主要矿物有、和。
它们都是由和组成的层状晶体矿物。
6.饱和细砂土和干细砂土都无法形成直立边坡,而非饱和细砂土则可以,这是因为在起作用。
二.选择题1.在毛细带范围内,土颗粒会受到一个附加应力。
这种附加应力性质主要表现为( )(A)浮力; (B)张力; (C)压力。
2.对粘性土性质影响最大的是土中的( )。
(A)强结合水; (B)弱结合水; (C)自由水; (D)毛细水。
3.砂类土的重要特征是( )。
(A)灵敏度与活动度; (B)塑性指数与液性指数;(C)饱和度与含水量; (D)颗粒级配与密实度。
4.土中所含“不能传递静水压力,但水膜可缓慢转移从而使土具有一定的可塑性的水,称为( )。
(A)结合水; (B)自由水; (C)强结合水; (D)弱结合水。
5.软土的特征之一是( )。
(A)透水性较好; (B)强度较好; (C)天然含水量较小; (D)压缩性较高。
6.哪种土类对冻胀的影响最严重?( )(A)粘土; (B)砂土; (C)粉土。
7.下列粘土矿物中,亲水性最强的是( )。
(A)高岭石; (B)伊里石; (C)蒙脱石8.对土粒产生浮力的是( )。
(A)毛细水; (B)重力水; (C)强结合水, (D)弱结合水。
(9)毛细水的上升,主要是水受到下述何种力的作用?( )(A)粘土颗粒电场引力作用; (B)孔隙水压力差的作用(C)水与空气交界面处的表面张力作用。
(10)软土的特征之一是( )。
《土质学与土力学》习题库第一章习题一.填空题1.土粒粒径越,颗粒级配曲线越,不均匀系数越,颗粒级配越。
为了获得较大密实度,应选择级配的土粒作为填方或砂垫层的材料。
2.粘土矿物基本上是由两种原子层(称为品片)构成的,一种是,它的基本单元是Si—0四面体,另一种是,它的基本单元是A1—OH八面体。
3.土中结构一般分为、和三种形式。
4.衡量天然状态下粘性土结构性强弱的指标是,其定义是值愈大,表明土的结构性,受扰动后土的强度愈多。
5.土中主要矿物有、和。
它们都是由和组成的层状晶体矿物。
6.饱和细砂土和干细砂土都无法形成直立边坡,而非饱和细砂土则可以,这是因为在起作用。
二.选择题1.在毛细带范围内,土颗粒会受到一个附加应力。
这种附加应力性质主要表现为( )(A)浮力; (B)张力; (C)压力。
2.对粘性土性质影响最大的是土中的( )。
(A)强结合水; (B)弱结合水; (C)自由水; (D)毛细水。
3.砂类土的重要特征是( )。
(A)灵敏度与活动度; (B)塑性指数与液性指数;(C)饱和度与含水量; (D)颗粒级配与密实度。
4.土中所含“不能传递静水压力,但水膜可缓慢转移从而使土具有一定的可塑性的水,称为( )。
(A)结合水; (B)自由水; (C)强结合水; (D)弱结合水。
5.软土的特征之一是( )。
(A)透水性较好; (B)强度较好; (C)天然含水量较小; (D)压缩性较高。
6.哪种土类对冻胀的影响最严重?( )(A)粘土; (B)砂土; (C)粉土。
7.下列粘土矿物中,亲水性最强的是( )。
(A)高岭石; (B)伊里石; (C)蒙脱石8.对土粒产生浮力的是( )。
(A)毛细水; (B)重力水; (C)强结合水, (D)弱结合水。
(9)毛细水的上升,主要是水受到下述何种力的作用?( )(A)粘土颗粒电场引力作用; (B)孔隙水压力差的作用(C)水与空气交界面处的表面张力作用。
(10)软土的特征之一是( )。
《土质学与土力学》习题库注:红色标注的内容是不考试的内容,黑色的内容为考试内容。
第一章习题一.填空题1.土粒粒径越,颗粒级配曲线越,不均匀系数越,颗粒级配越。
为了获得较大密实度,应选择级配的土粒作为填方或砂垫层的材料。
2.粘土矿物基本上是由两种原子层(称为品片)构成的,一种是,它的基本单元是Si—0四面体,另一种是,它的基本单元是A1—OH八面体。
3.土中结构一般分为、和三种形式。
4.衡量天然状态下粘性土结构性强弱的指标是,其定义是值愈大,表明土的结构性,受扰动后土的强度愈多。
5.土中主要矿物有、和。
它们都是由和组成的层状晶体矿物。
二.选择题1.在毛细带范围内,土颗粒会受到一个附加应力。
这种附加应力性质主要表现为( )(A)浮力; (B)张力; (C)压力。
2.对粘性土性质影响最大的是土中的( )。
(A)强结合水; (B)弱结合水; (C)自由水; (D)毛细水。
3.砂类土的重要特征是( )。
(A)灵敏度与活动度; (B)塑性指数与液性指数;(C)饱和度与含水量; (D)颗粒级配与密实度。
4.土中所含“不能传递静水压力,但水膜可缓慢转移从而使土具有一定的可塑性的水,称为( )。
(A)结合水; (B)自由水; (C)强结合水; (D)弱结合水。
5.软土的特征之一是( )。
(A)透水性较好; (B)强度较好; (C)天然含水量较小; (D)压缩性较高。
6.哪种土类对冻胀的影响最严重?( )(A)粘土; (B)砂土; (C)粉土。
7.下列粘土矿物中,亲水性最强的是( )。
(A)高岭石; (B)伊里石; (C)蒙脱石8.对土粒产生浮力的是( )。
(A)毛细水; (B)重力水; (C)强结合水, (D)弱结合水。
(9)毛细水的上升,主要是水受到下述何种力的作用?( )(A)粘土颗粒电场引力作用; (B)孔隙水压力差的作用(C)水与空气交界面处的表面张力作用。
(10)软土的特征之一是( )。
(A)透水性较好; (B)强度较好; (C)天然含水量较小; (D)压缩性较高三.问答题2.什么是颗粒级配曲线,它有什么用途?3.粘土矿物有哪几种?对土的矿物性质有何影响?并说明其机理?6.试比较土中各种水的特征。
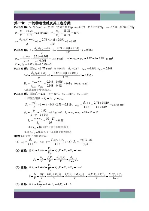
第一章 土的物理性质及其工程分类P 60[2-2] 解:V=21.7cm 3,m=72.49-32.54=39.95g ,m S =61.28-32.54=28.74g ,m W =72.49-61.28=11.21g7.2195.39==V m ρ=1.84g/ cm 3,74.2821.11==sw m m w =39% 07.1184.1)39.01(174.21)1(=-+⨯⨯=-+=ρωρW S d eP 60[2-3] 解:963.0185.1)34.01(171.21)1(=-+⨯⨯=-+=ρωρWS d e 963.01963.071.21++=++=e e d s sat ρ=1.87 g/ cm 3,87.0187.1=-=-='W sat ρρρ g/ cm 3g ργ'='=0.87×10=8.7 kN/m 3P 60[2-4] 解:已知77.1=ρg/cm 3, w =9.8%,s d =2.67,461.0min =e ,943.0max =e∴656.0177.1)098.01(167.21)1(=-+⨯⨯=-+=ρωρW S d e ,∈=--=--=6.0461.0943.0656.0943.0min max max e e e e D r (0.33,0.67)∴该砂土处于中密状态。
P 60[2-5] 解:已知s d =2.73,w =30%,=L w 33%,=P w 17%土样完全饱和→1=r S ,sat ρρ=819.073.23.01=⨯=⇒==e e wd S S r ,819.01819.073.21++=++=e e d s sat ρ=1.95 g/ cm 3 3.0195.11+=+=w d ρρ=1.5 g/ cm 3,161733=-=-=P L p w w I 81.0161730=-=-=P P LI w w I 10<16=p I ≤17→该土为粉质粘土0.75<81.0=L I ≤1→该土处于软塑状态[附加1-1]证明下列换算公式:(1)w s d e d ρρ+=1;(2)γee S sw r ++=1γγ;(3)n n w S w s r γγ)1(-=(1)证明:设e V V V V V Ve V S V V SV S +=+===⇒=1,1w s s w s s s s d ed V V d V V V m ρρρρ+====1 (2)证明:设e V V V V V Ve V S V V SV S +=+===⇒=1,1V g V V V g m m V mg V G s s w w s w )()(ρργ+=+===ee S V V V S sw r s s w v r ++=+=1γγγγ (3)证明:设n V n V n VVV s v v -==⇒==1,,1∴nn w gV gV w V V w V V m m V m V V S w s v w s s v w s s ss v w s wv w w v w r γγρρρρρρρ)1(-====== [附加1-2]解:V=72cm 3,m=129.5g ,m S =121.5g ,m W =129.5-121.5=8g%6.65.1218===⇒S W m m ω 6.0172/5.129)066.01(17.21)1(=-+⨯⨯=-+=ρωρW S d e %7.296.07.2066.0=⨯==e d S S r ω 0.1872105.129=⨯===V mg V G γkN/m 36.20106.16.07.21=⨯+=++=W S sat e e d γγkN/m 36.10106.20=-=-='W sat γγγkN/m 39.16106.17.21=⨯=+=W S d e d γγkN/m 3∴γγγγ'>>>d sat[附加1-3]解:已知s d =2.68,w =32%,土样完全饱和→1=r S86.068.232.01=⨯=⇒==e ed S Sr ω02.1986.1)32.01(1068.286.01)1(=+⨯⨯=⇒=-+=γγωγW S d e kN/m 3[附加1-4]解:已知66.1=ρg/cm 3,s d =2.69,(1)干砂→w =0 ∴62.0166.1)01(169.21)1(=-+⨯⨯=-+=ρρw d e W S(2)置于雨中体积不变→e 不变∴%2.969.262.04.04.0=⨯=⇒==w e wd S S r [附加1-5]解:已知m=180g ,1w =18%,2w =25%,sss s s w m m m m m m m w -=-==18011=18%→s m =152.54g∴)(12w w m m s w -=∆=152.54×(0.25-0.18)=10.68g[附加1-6]实验室内对某土样实测的指标如下表所示,计算表土中空白部分指标。
《土质学与土力学》习题库注:红色标注的内容是不考试的内容,黑色的内容为考试内容。
第一章习题一.填空题1.土粒粒径越,颗粒级配曲线越,不均匀系数越,颗粒级配越。
为了获得较大密实度,应选择级配的土粒作为填方或砂垫层的材料。
2.粘土矿物基本上是由两种原子层(称为品片)构成的,一种是,它的基本单元是Si—0四面体,另一种是,它的基本单元是A1—OH八面体。
3.土中结构一般分为、和三种形式。
4.衡量天然状态下粘性土结构性强弱的指标是,其定义是值愈大,表明土的结构性,受扰动后土的强度愈多。
5.土中主要矿物有、和。
它们都是由和组成的层状晶体矿物。
二.选择题1.在毛细带范围内,土颗粒会受到一个附加应力。
这种附加应力性质主要表现为( )(A)浮力; (B)张力; (C)压力。
2.对粘性土性质影响最大的是土中的( )。
(A)强结合水; (B)弱结合水; (C)自由水; (D)毛细水。
3.砂类土的重要特征是( )。
(A)灵敏度与活动度; (B)塑性指数与液性指数;(C)饱和度与含水量; (D)颗粒级配与密实度。
4.土中所含“不能传递静水压力,但水膜可缓慢转移从而使土具有一定的可塑性的水,称为( )。
(A)结合水; (B)自由水; (C)强结合水; (D)弱结合水。
5.软土的特征之一是( )。
(A)透水性较好; (B)强度较好; (C)天然含水量较小; (D)压缩性较高。
6.哪种土类对冻胀的影响最严重?( )(A)粘土; (B)砂土; (C)粉土。
7.下列粘土矿物中,亲水性最强的是( )。
(A)高岭石; (B)伊里石; (C)蒙脱石8.对土粒产生浮力的是( )。
(A)毛细水; (B)重力水; (C)强结合水, (D)弱结合水。
(9)毛细水的上升,主要是水受到下述何种力的作用?( )(A)粘土颗粒电场引力作用; (B)孔隙水压力差的作用(C)水与空气交界面处的表面张力作用。
(10)软土的特征之一是( )。
(A)透水性较好; (B)强度较好; (C)天然含水量较小; (D)压缩性较高三.问答题2.什么是颗粒级配曲线,它有什么用途?3.粘土矿物有哪几种?对土的矿物性质有何影响?并说明其机理?6.试比较土中各种水的特征。
《土力学》第四章练习题及答案第4章 土中应力一、填空题1.1.由土筑成的梯形断面路堤,因自重引起的基底压力分布图形是由土筑成的梯形断面路堤,因自重引起的基底压力分布图形是由土筑成的梯形断面路堤,因自重引起的基底压力分布图形是 形,桥梁墩台形,桥梁墩台等刚性基础在中心荷载作用下,基底的沉降是等刚性基础在中心荷载作用下,基底的沉降是 的。
的。
的。
2.2.地基中附加应力分布随深度增加呈地基中附加应力分布随深度增加呈地基中附加应力分布随深度增加呈 减小,同一深度处,在基底减小,同一深度处,在基底减小,同一深度处,在基底 点下,点下,附加应力最大。
附加应力最大。
3.3.单向偏心荷载作用下的矩形基础,当偏心距单向偏心荷载作用下的矩形基础,当偏心距e > l /6时,基底与地基局部时,基底与地基局部 ,,产生应力产生应力 。
4.4.超量开采地下水会造成超量开采地下水会造成超量开采地下水会造成 下降,其直接后果是导致地面下降,其直接后果是导致地面下降,其直接后果是导致地面 。
5.5.在地基中同一深度处,在地基中同一深度处,水平向自重应力数值水平向自重应力数值 于竖向自重应力,于竖向自重应力,随着深度增大,水平向自重应力数值向自重应力数值 。
6.在地基中,矩形荷载所引起的附加应力,其影响深度比相同宽度的条形基础其影响深度比相同宽度的条形基础,,比相同宽度的方形基础同宽度的方形基础 。
7.上层坚硬、下层软弱的双层地基,在荷载作用下,将发生应力 现象,反现象,反之,将发生应力之,将发生应力 现象。
现象。
现象。
二、名词解释1.1.基底附加应力基底附加应力基底附加应力2. 2. 2.自重应力自重应力自重应力3. 3. 3.基底压力基底压力基底压力4. 4. 4.地基主要受力层地基主要受力层地基主要受力层三、简答题1. 1. 地基附加应力分布规律有哪些?地基附加应力分布规律有哪些?地基附加应力分布规律有哪些?四、单项选择题1.1.成层土中竖向自重应力沿深度的增大而发生的变化为成层土中竖向自重应力沿深度的增大而发生的变化为成层土中竖向自重应力沿深度的增大而发生的变化为 :(A ) 折线减小折线减小(B ) 折线增大折线增大(C ) 斜线减小斜线减小(D ) 斜线增大斜线增大您的选项(您的选项( )2.2.宽度均为宽度均为b ,基底附加应力均为p 0的基础,同一深度处,附加应力数值最大的是:的基础,同一深度处,附加应力数值最大的是:(A ) 方形基础方形基础(B ) 矩形基础矩形基础(C ) 条形基础条形基础(D ) 圆形基础(圆形基础(b b 为直径)为直径)您的选项(您的选项( )3.3.可按平面问题求解地基中附加应力的基础是:可按平面问题求解地基中附加应力的基础是:可按平面问题求解地基中附加应力的基础是:(A ) 柱下独立基础柱下独立基础(B ) 墙下条形基础墙下条形基础(C ) 片筏基础片筏基础(D ) 箱形基础箱形基础您的选项(您的选项( )4.4.基底附加应力基底附加应力p 0作用下,地基中附加应力随深度Z 增大而减小,增大而减小,Z Z 的起算点为:的起算点为:(A ) 基础底面基础底面(B ) 天然地面天然地面(C ) 室内设计地面室内设计地面 (D ) 室外设计地面室外设计地面您的选项(您的选项( )5.5.土中自重应力起算点位置为:土中自重应力起算点位置为:土中自重应力起算点位置为:(A ) 基础底面基础底面(B ) 天然地面天然地面(C ) 室内设计地面室内设计地面(D ) 室外设计地面室外设计地面 您的选项(您的选项( )6.6.地下水位下降,土中有效自重应力发生的变化是:地下水位下降,土中有效自重应力发生的变化是:地下水位下降,土中有效自重应力发生的变化是:(A ) 原水位以上不变,原水位以下增大原水位以上不变,原水位以下增大(B ) 原水位以上不变,原水位以下减小原水位以上不变,原水位以下减小(C ) 变动后水位以上不变,变动后水位以下减小变动后水位以上不变,变动后水位以下减小(D ) 变动后水位以上不变,变动后水位以下增大变动后水位以上不变,变动后水位以下增大您的选项(您的选项( )7.7.深度相同时,随着离基础中心点距离的增大,地基中竖向附加应力:深度相同时,随着离基础中心点距离的增大,地基中竖向附加应力:深度相同时,随着离基础中心点距离的增大,地基中竖向附加应力:(A ) 斜线增大斜线增大(B ) 斜线减小斜线减小(C ) 曲线增大曲线增大(D ) 曲线减小曲线减小您的选项(您的选项( )8.8.单向偏心的矩形基础,当偏心距单向偏心的矩形基础,当偏心距e < /6/6((为偏心一侧基底边长)时,基底压应力分布图简化为:图简化为:(A ) 矩形矩形(B ) 梯形梯形(C ) 三角形三角形(D ) 抛物线形抛物线形您的选项(您的选项( )9.9.宽度为宽度为3m 的条形基础,作用在基础底面的竖向荷载N =1000kN/m 1000kN/m ,偏心距,偏心距e =0.7m 0.7m,基,基底最大压应力为:底最大压应力为:(A ) 800 kPa(B ) 417 kPa(C ) 833 kPa(D ) 400 kPa您的选项(您的选项( )10.10.埋深为埋深为d 的浅基础,基底压应力p 与基底附加应力p 0大小存在的关系为:大小存在的关系为:(A ) p < p 0(B ) p = p 0(C ) p = 2p 0(D ) p > p 0您的选项(您的选项( )11.11.矩形面积上作用三角形分布荷载时,地基中竖向附加应力系数矩形面积上作用三角形分布荷载时,地基中竖向附加应力系数K t 是/b /b、、z/b 的函数,的函数,b b指的是:指的是:(A ) 矩形的长边矩形的长边(B ) 矩形的短边矩形的短边 (C ) 矩形的短边与长边的平均值矩形的短边与长边的平均值(D ) 三角形分布荷载方向基础底面的边长三角形分布荷载方向基础底面的边长您的选项(您的选项( )12.12.某砂土地基,天然重度某砂土地基,天然重度g =18 kN/m 3,饱和重度g sat =20 kN/m 3,地下水位距地表2m 2m,地表,地表下深度为4m 处的竖向自重应力为:处的竖向自重应力为:(A ) 56kPa(B ) 76kPa (C ) 72kPa(D ) 80kPa您的选项(您的选项( )13. 均布矩形荷载角点下的竖向附加应力系数当l /b /b==1、Z/b Z/b==1时,K C =0.17520.1752;;当l /b /b==1、Z/b Z/b==2时,时,K K C =0.0840.084。
土力学地基基础章节计算题及答案本页仅作为文档封面,使用时可以删除This document is for reference only-rar21year.March章节习题及答案第一章 土的物理性质1 有一块体积为60 cm 3的原状土样,重 N, 烘干后 N 。
已只土粒比重(相对密度)s G =。
求土的天然重度、天然含水量w 、干重度d 、饱和重度sat 、浮重度’、孔隙比e 及饱和度S r解:分析:由W 和V 可算得,由W s 和V 可算得d ,加上G s ,共已知3个指标,故题目可解。
363kN/m 5.1710601005.1=⨯⨯==--V W γ 363s d kN/m 2.1410601085.0=⨯⨯==--V W γ3w sws kN/m 7.261067.2=⨯===∴γγγγs s G G%5.2385.085.005.1s w =-==W W w 884.015.17)235.01(7.261)1(s =-+=-+=γγw e (1-12) %71884.06.2235.0s =⨯=⋅=e G w S r (1-14) 注意:1.使用国际单位制; 2.w 为已知条件,w =10kN/m3;3.注意求解顺序,条件具备这先做; 4.注意各的取值范围。
2 某工地在填土施工中所用土料的含水量为5%,为便于夯实需在土料中加水,使其含水量增至15%,试问每1000 kg 质量的土料应加多少水 解:分析:加水前后M s 不变。
于是:加水前: 1000%5s s =⨯+M M (1) 加水后: w s s 1000%15M M M ∆+=⨯+ (2) 由(1)得:kg 952s =M ,代入(2)得: kg 2.95w =∆M 注意:土料中包含了水和土颗粒,共为1000kg ,另外,swM M w =。
3 用某种土筑堤,土的含水量w =15%,土粒比重G s =。
分层夯实,每层先填0.5m ,其重度等=16kN/ m 3,夯实达到饱和度r S =85%后再填下一层,如夯实时水没有流失,求每层夯实后的厚度。
土力学课后习题部分答案(重庆大学出版社)第一章 土的物理性质及工程分类(教材习题) 1-1 解(1)A 曲线:卵石或碎石 (>20mm )占100﹣77=23%砾粒 (20-2mm )占 77﹣50=27%砂粒 (2-0.075mm )占 50﹣10=40%粉粒 (<0.075mm )占10%(2)A 曲线较平缓,说明A 土土粒粒度分布范围广,颗粒不均匀,故级配良好;而B 土曲线较A 土曲线陡,说明其粒度分布范围窄,土粒均匀,故级配不良。
(3)A 土 08.0d 10=6.0d 30=3.6d 60=55408./06.3/d d 1060u >===C25.10.08)/(3.6(0.6))/()(26010230c =⨯=⨯=d d d C在1-3之间,故A 土级配好 B 土 15.0d10=35.0d 30=74.0d 60=59.474/0.15.0/d d 1060u <===C1.100.15)/(0.74(0.35))/()(26010230c =⨯=⨯=d d d C只满足一个条件,故级配不良1-2 解: 119g s=m 8g119-127m m ms w==-=%72.6119/8/m s w ===m w0.6371-760.0672)/1.(112.71)/(1=+⨯⨯=-+=ρw ρG e w s 3cm /76g .172/127/===V m ρ3w s sat cm /04g .2637).0(1/637).07.(2e)(1/)(=++=++=ρe G ρ3w sat cm /04g .1'=-=ρρρ3cm /65g .172/119/===V m ρs d 38.9%0.637)0.637/(1)/(1=+=+=e e n 5%.282.7/0.6370.0672=⨯==/e wG S s r比较密度:satρ>ρ>dρ>'ρ1-3 解sv V V = ,1==s v /V V e3/4.13)11/(1068.2)1/(m kN e G w s d =+⨯=+=γγwv V V =3/4.18)11/(10)168.2()1/()()1/()(m kN e e d e V G w s w v s sat =+⨯+=++=++=γγγ%3.3768.2/1/1//=====s v w s s w w s w G G V V W W w γγ1-4 解 设31m V =kNV W d s 11=⋅=γ3407.0)107.2/(11)/(m d W V w s s s =⨯==γ3593.0407.01m V V V s v =-=-=sw W W w /= kN5.5115.0=⨯=⨯=s wW w W355.010/5.5/m W V w w w ===γ 3043.055.0593.0m V V Vw v a=-=-=1-5 解:饱和土 s G w e ⨯=)1/()(e e G w s sat ++=γγ 即sG e 4.0=10)1/()(18⨯++=e e G s以上两式联立求解 解得 05.1=e65.2=sG1-6解ss s w W W W W W w /)(/-== 可求得%16=w 时,NW 64.21=时土粒的质量Nw W W s 655.18)16.01/(64.21)1/(=+=+=其中水量为NW w W S w985.2655.1816.0=⨯=⨯=当%25'=w 时,土中水量为N W w W sw 664.4655.1825.0''=⨯=⨯=因此增加的水量NWw679.1985.2664.4=-=∆1-7 解:设饱和土为31m V =1=+=w s V V V饱和土6.0//===s s w s wG V V W Ww由上两式联立可得:382.0=s V 618.0=wVkNG V W w s s s 314.10107.2382.0=⨯⨯==γ kNW w W S w 186.631.1060.0=⨯=⨯=当%15=w 时,需要土kN W w W S86.11314.1015.1)1(=⨯=+=其中水量 kNwW W S w 547.1314.1015.0=⨯==故增加水的重量为kN W 64.4547.1186.6=-=∆1-8 解:1=e sv V V e /=Sv V V = 31m V =35.0m V V S v == vw r V V S /=34.05.08.0m V S V v r w =⨯=⨯=当水蒸发掉一半时32.02/4.02/m V V w w ===9.0/2.0/''==rwv s V V%2.72722.09.0/2.05.0==+=V1-9 证:wW W W W W W W V W V W s w s s s s d ==-=-=-=-//)(1/1)//()/(1/γγ1-10 解:663.011.17/))073.01(1065.2(1/)1(=-+⨯⨯=-+=γγw G e w s33min /9.14/0149.02000/85.29/m kN cm N V W s d ====γ)1/(/max min e G w S d +=γγ )1/(1065.29.14max e +⨯=779.0max =e33min /3.16/0163.02000/5.32/m kN cm N V W s d ====γ )1/(/min min e G w S d +=γγ)1/(1065.23.16min e +⨯=626.0min =e758.0)626.0779.0/()663.0770.0()/()(min max max =--=--=e e e e D r%2.29663.0/073.065.2/=⨯=⨯=e G S w s r γ1-11 解:在压实以前419.0)72.01/(72.0)1/(=+=+=e e n在1m 2的地基面积中,土粒体积为391.25)419.01()1(m V n V S=⨯-=-=在压实以后,土粒体积减少33.0m 381.0)3.05/()91.23.05(/)(=---=-=V V V n S616.0)381.01/(381.0)1/(=-=-=n n e此时583.0)52.075.0/()616.075.0()/()(min max max =--=--=e e e e D r1-12 解:gm w 81523=-=%3.53533.015/8/====s w m m w162440=-=-=P L p w w I813.116/)2453()/()(=-=--=P L P L w w w w I1710<<P I 粉质粘土 1>L I 流态1-13 解:(1)A 土30=PI > B 土11=PI故A 土粘粒含量多 (2)由)/1/()1()1/()1(r s w s w sS G w w d e w G ⨯++⨯=++⨯=γγγ因为是饱和土1%100==r SA 土 3/97.16)69.253.01/()53.01(1069.2m kN =⨯++⨯=γB 土 3/03.20)71.226.01/()26.01(1071.2m kN =⨯++⨯=γB 土的天然重度大(3))1/(w d+=γγA 土 3/09.11)53.01/(97.16m kN d =+=γ B 土3/89.15)26.01/(03.20m kN d =+=γB 土的干重度大 (4)因为是饱和土 sG w e ⨯=A 土 43.169.253.0=⨯=eB 土70.071.226.0=⨯=eA 土的孔隙比大1-14 解:因为大于2mm 粒径的土粒占总质量的%50%16)511(<=+。
第2章土的物理性质及分类1. 有一完全饱和的原状土样切满于容积为21.7cm3的环刀内,称得总质量为72.49g,经1 05℃烘干至恒重为61.28g,已知环刀质量为32.54g,土粒相对密度(比重)为2.74,试求该土样的湿密度、含水量、干密度及孔隙比(要求按三项比例指标定义求解)。
2. 某原状土样的密度为1.85g/cm 3、含水量为34%、土粒相对密度为2.71,试求该土样的饱和密度、有效密度和有效重度(先导得公式然后求解)。
3. 某砂土土样的密度为1.77g/cm3,含水量为9.8%,土粒相对密度为2.67,烘干后测定最小孔隙比为0.461,最大孔隙比为0.943,试求孔隙比和相对密度,判断该砂土的密实度。
4. 某一完全饱和粘性土试样的含水量为30%,土粒相对密度为2.73 ,液限为33%,塑限为17%,试求孔隙比、干密度和饱和密度,并按塑性指数和液性指数分别定出该粘性土的分类名称和软硬状态。
1.解:2.解:设土颗粒体积为1由得3.解:由因为1/3< SPAN>所以该砂土的密实度为中密。
4.解:由得因为10<I P=16<17,该粘性土应定名为粉质粘土;因为0.75<I L=0.81<1.0,所以该粘性土的状态为软塑。
第3章土的渗透性及渗流3. 某渗透装置如图3-3所示。
砂Ⅰ的渗透系数;砂Ⅱ的渗透系数;砂样断面积A=200,试问:(1)若在砂Ⅰ与砂Ⅱ分界面处安装一测压管,则测压管中水面将升至右端水面以上多高?(2)砂Ⅰ与砂Ⅱ界面处的单位渗流量q多大?4. 定水头渗透试验中,已知渗透仪直径,在渗流直径上的水头损失,在60s时间内的渗水量,求土的渗透系数。
一、简答题1地下水渗流时为什么会产生水头损失?水在土体中流动时,由于受到土粒的阻力,而引起水头损失。
并称单位体积土颗粒所受到的渗流作用力称为渗流力。
3.为什么室内渗透试验与现场测试得出的渗透系数有较大差别?3. 【答】室内试验和现场试验渗透系数有较大差别,主要在于试验装置和试验条件等有关,即就是和渗透系数的影响因素有关,详见上一题。
4-3. 在两种不同的土上进行降水头渗透试验,数据见下表。
求这两种土的渗透系数。
如果这两种土为相邻的土层,各厚2.0m,求平行和垂直于层面方向的平均渗透系数。
测管面积(cm2)4测管初始水头100cm土样面积(cm2)300测管最终水头20cm土样高度(cm)5 经过时间1号土2×104s2号土6×104s解:由题可得A=300cm2a=4 cm2l=5cm h1=100cm h2=20cm K=al/Atln(h1/h2)t1=2×104s t2=6×104sk1=4×5/300×2×104×ln(100/20)=5.36×10-8m/sk1=4×5/300×6×104×ln(100/20)=1.79×10-8m/s土层水平向的平均渗透系数:kh=(k1h1+k2h2)/(h1+h2)=4.76×10-8m/s土层竖直向的平均渗透系数:kv=(h1+h2)/(h1/k1+h2/k2)=4.03×10-8m/s4-4. 试验装置如下图所示,已知土样长l=30cm,G s=2.72,e=0.63,(1) 若水头差 h=20cm,土样单位体积上的渗透力多少?(2) 判断土样是否发生流土?(3) 求土样发生流土的水头差?解:(1)j=γw×ii=Δh÷lj =γw×Δh÷l=6.67KN/ m3(2)渗透力方向与重力反向当Δh×γw=l×γ时发生流土i cr=γ’÷γw=(G S—1)÷(1+e)=1.06i=Δh÷l=0.67<i cr=1.06(3)要使其发生流土,则i≥i cri cr=γ’÷γw=1.06=Δh÷lΔh=l×i cr=31.8CM即:发生流土所需的水头差为31.8CM。
第4章 地基的应变部分习题解答4-1 解:(1)628.01)9.19/)2.01(107.2(1)/)1((0=-+⨯⨯=-+=γγw d e w s571.07.0)20/)628.01((628.0)/)1((10001=⨯+-=+-=s h e e e551.0)7.095.0())7.020/()571.01((571.0)/)1((2112=-⨯-+-=+-=s h e e e t(2)MPa p p e e a 2.01000)100200/()551.0571.0()/()(122121=⨯--=--=- MPa a e E t s 85.72.1/)571.01(/)1(2121=-+=+=--(3)MPa a 2.021=-属中压缩性4-3 解:(1)由)/((p p e e a --=和a e E /)1(+=列表计算1214-6 解:(1)基底附加压力 γ-+=d A F p 20/0 kpa d 1271)1820(2.7/900=⨯-+=地基为均质粘土,故不用分层,初按式(3-33)确定n zm n nb b z n 45.4)241.05.2(2)41.05.2(=-=-=取m z n 5.4=,m z 3.0= 将基底面积为相同的小块(m l 8.1= m b 1=)采用角点法 当00=z 时,000=αzm z 5.41= 4914.012285.041=⨯=αmm x z z E p s s 2.56)04914.05.4(5/127)(/00110=-⨯⨯=-=α计算z ∆层土的压缩量'n s ∆当m z 2.4'= 5156.01289.04'=⨯=α mm z z E p S s n 2.1)5156.02.44914.05.4(5/127)''(/110'=⨯-⨯=-=∆αα025.0021.02.56/2.1'/'<==∆s S n 满足要求由Mpa E s 5= 查9.0=s ψ (取k f p 75.00=)mm s s s 6.502.569.0'=⨯=⨯=ψ(2)考虑相邻基础的影响初定m z 6= m z 3.0=∆00=z 000=αz m z 61=自身荷载作用下3964.040991.0=⨯=α相邻基础的影响(荷载面积)2)(⨯-oabe oacd对面积查oacd 89.38.1/7/1==b 33.38.1/6/==b z 查得1613.0=α对面积查oabe 78.28.1/5/1==b 33.38.1/6/==b z 查得1594.0=α故0074.02)1594.01631.0(=⨯-=α 实际上4038.00074.03964.0=+=αmm z z E p s s 5.61)04038.06(5/127)(/00110=-⨯=-=αα计算z ∆土层的厚度m z 7.5'= 自身荷载作用下4128.041032.0=⨯=α相邻基础的影响(荷载面积(oacd-oabe )×2)对面积oacd 89.38.1/7/1==b 27.38.1/7.5/==b z 查得1645.0=α对面积oabe 78.28.1/5/1==b 27.38.1/7.5/==b z 查得1609.0=α故0072.02)1609.01645.0(=⨯-=α 实际上4200.00072.04128.0=+=αmm s mm z z E p S s n 5.1'025.07.0)4200.07.54038.06(5/127)''(/110=<=⨯-⨯=-=∆αα 所以满足要求mm s s 4.555.619.0'9.0=⨯==4-8 解:(1)因为土的性质和排水条件相同由21v v C C = 21v v T T = 得22221)2//()2//(H t H t i =25.140618/300/22222211=⨯=⨯=t H H t 小时=59天(2)由211233)2/()2//(H t H t =,得2365944)2//(1121213=⨯==⨯=t t H H t 天4-9 解:粘土层平均附加应力kpa z 1252/)50200(=+σ(1)最终沉降量mm H e a s z 38.1485125)1.11/(5.0)1/(=⨯⨯+=+=σ(2)23512.1)105.010/()1.11(0036.0/)1(m a e k C w v =⨯⨯+=+=-γ/年 121.05/2512.1/22=⨯==H t C T v v450/200==v 查表得%50=U2年后mm s U s t 4.748.1485.0=⨯=⨯=(3)%2.67672.08.148/100/====s s U t4=v 查得 27.0=v T 5.4512.1/527.0/22=⨯==v v C H T t 年(4)若为双面排水2)2/(H t C T v v = 125.14/5.44/2===v v C H T t 年练习一、判断题1 超固结土是指有土层历史上所经受的最大压力大于现有覆盖土的自重。
Q2第4章土中应力一简答题1.何谓土中应力?它有哪些分类与用途?2.怎样简化土中应力计算模型?在工程中应注意哪些问题?3.地下水位得升降对土中自重应力有何影响?在工程实践中,有哪些问题应充分考虑其影响?4.基底压力分布得影响因素有哪些?简化直线分布得假设条件就是什么?5.如何计算基底压力与基底附加压力?两者概念有何不同?6.土中附加应力得产生原因有哪些?在工程实用中应如何考虑?7.在工程中,如何考虑土中应力分布规律?二填空题1、土中应力按成因可分为与。
2、土中应力按土骨架与土中孔隙得分担作用可分为与。
3、地下水位下降则原水位出处得有效自重应力。
4、计算土得自重应力应从算起。
5、计算土得自重应力时,地下水位以下得重度应取。
三选择题1.建筑物基础作用于地基表面得压力,称为()。
(A)基底压力;(B)基底附加压力;(C)基底净反力;(D)附加应力2.在隔水层中计算土得自重应力c时,存在如下关系()。
(A) =静水压力(B) =总应力,且静水压力为零(C) =总应力,但静水压力大于零(D)=总应力—静水压力,且静水压力大于零3.当各土层中仅存在潜水而不存在毛细水与承压水时,在潜水位以下得土中自重应力为()。
(A)静水压力(B)总应力(C)有效应力,但不等于总应力(D)有效应力,但等于总应力4.地下水位长时间下降,会使()。
(A)地基中原水位以下得自重应力增加(B)地基中原水位以上得自重应力增加(C)地基土得抗剪强度减小(D)土中孔隙水压力增大5.通过土粒承受与传递得应力称为()。
(A)有效应力;(B)总应力;(C)附加应力;(D)孔隙水压力6.某场地表层为4m厚得粉质黏土,天然重度=18kN/m3,其下为饱与重度sat=19 kN/m3得很厚得黏土层,地下水位在地表下4m处,经计算地表以下2m处土得竖向自重应力为()。
(A)72kPa ; (B)36kPa ;(C)16kPa ;(D)38kPa7.同上题,地表以下5m处土得竖向自重应力为()。
(A)91kPa ; (B)81kPa ;(C)72kPa ;(D)41kPa8.某柱作用于基础顶面得荷载为800kN,从室外地面算起得基础深度为1、5m,室内地面比室外地面高0、3m,基础底面积为4m2,地基土得重度为17kN/m3,则基底压力为()。
(A)229、7kPa ; (B)230 kPa ; (C)233 kPa ;(D)236 kPa9.由建筑物得荷载在地基内产生得应力称为()。
(A)自重应力; (B)附加应力;(C)有效应力; (D)附加压力10.已知地基中某点得竖向自重应力为100 kPa,静水压力为20 kPa,土得静止侧压力系数为0、25,则该点得侧向自重应力为()。
(A)60 kPa ; (B)50 kPa ; (C)30 kPa ; (D)25 kPa11.由于建筑物得建造而在基础底面处产生得压力增量称为()。
(A)基底压力; (B)基底反力;(C)基底附加应力;(D)基底净反力12.计算基础及上回填土得总重量时,其平均重度一般取()。
(A)17 kN/m3; (B)18 kN/m3;(C)20 kN/m3;(D)22 kN/m313.在单向偏心荷载作用下,若基底反力呈梯形分布,则偏心距与矩形基础长度得关系为()。
(A); (B); (C); (D)14.设b为基础底面宽度,则条形基础得地基主要受力层深度为( )。
(A)3b ; (B)4b ; (C)5b ; (D)6b ;15.设b为基础底面宽度,则方形基础得地基主要受力层深度为( )。
(A)1、5b ; (B)2b ; (C)2、5b ; (D)3b ;16.已知两矩形基础,一宽为2m,长为4m,另一宽为4m,长为8m,若两基础得基底附加压力相等,则两基础角点下附加应力之间得关系就是( )。
(A)两基础基底下z深度处应力竖向应力分布相同(B)小尺寸基础角点下z深度处应力与大尺寸基础角点下2z深度处应力相等(C)大尺寸基础角殿下z深度处应力与小尺寸基础焦点下2z深度处应力相等17.当地下水位突然从地表下降至基底平面处,对基底附加应力得影响就是( )。
(A)没有影响 ; (B)基底附加压力增大 ; (C)基底附加压力减小18.当地基中附加应力曲线为矩形时,则地面荷载形式为( )。
(A)圆形均布荷载 (B)矩形均布荷载(C)条形均布荷载 (D)无穷均布荷载19.计算土中自重应力时,地下水位以下得土层应采用( )。
(A)湿重度 ; (B)饱与重度 ; (C)浮重度 ; (D)天然重度20.在基底附加压力得计算公式P0=P—m d,d为()。
(A)基础平均深度(B)从室内地面算起得深度(C)从室外地面算起得深度(D)从天然地面算起得埋深,对于新填土场地应从老天然地面算起四、判断改错题1.在均质地基中,竖向自重应力随深度线性增加,而侧向自重应力则呈非线性增加2.由于土中自重应力属于有效应力,因而与地下水位得升降无关3.若地表为一无限大得水平面,则土得重力在土中任一竖直面上产生得剪应力等于零4.在基底附加压力得计算公式中,对于新填土场地,基底处土得自重应力应从填土面算起5.增大柱下独立基础得埋深,可以减小基底得平均附加压力6.柱下独立基础埋深得大小对基底附加应力影响不大7.由于土得自重应力属于有效应力,因此在建筑物建造后,自重应力仍会继续使土体产生变形8.土得静止侧压力系数K0为土得侧向与竖向自重应力之比9.在弱透水土层中,若地下水位短时间下降,则土得自重应力不会明显增大10.基底附加压力在数值上等于上部结构荷载在基底所产生得压力增量11.竖向附加应力得分布范围相当大,它不仅分布在荷载面积之下,而且还分布到荷载面积以外,这就就是所谓得附加应力集中现象五计算题1.某建筑场地得地层分布均匀,第一层杂填土厚1、5m,=17KN/;第二层粉质黏土厚4m,=19 KN/,=2、73,w =31%,地下水位在地面下2m深处;第三层淤泥质黏土厚8m,=18、2KN/,=2、74,w=41%;第四层粉土厚3m,=19、2KN/,=2、72,w=27%;第五层砂岩未钻穿。
试计算各层交界处得竖向自重应力,并绘出沿深度分布图。
(答案:第四层底=306、9KPa)2.某构筑物基础如图4-1所示,在设计地面标高处作用有偏心荷载680KN,偏心距1、31m,基础埋深为2m,底面尺寸为4m2m。
试求基底平均压力与边缘最大压力,并绘出沿偏心方向得基底压力分布图。
(答案:=301KPa)图4-13.某矩形基础得底面尺寸为4m2、4m,设计地面下深埋为1、2m(高于天然地面0、2m),设计地面以上得荷载为1200KN,基底标高处原有土得加权平均重度为18KN/。
试求基底水平面1点及2点下各3、6m深度点及点处得地基附加应力值(见图4-2)。
(答案:点处=28、3KPa)图4-24.某条形基础得宽度为2m,在梯形分布得条形荷载(基底附加应力)下,边缘(=200KPa,( =10 0KPa,试求基底宽度中点下与边缘两点下各3m及6m深度处值得值。
(答案:中点下3m及6 m处分别为59、4及31、2KPa)5.某路基得宽度为8m(顶)与16m(底),高度H为2m(图4-3),填土重度为18KN/,试求路基底面中心点与边缘点下深度位m处地基附加应力值。
(答案:中心点下2m深处=35、41KPa)图4-36. 按图4—4中给出得资料,计算地基中各土层分界处得自重应力。
如地下水位因某种原因骤然下降至▽35、0高程,细砂层得重度为=18、2kN/m3,问此时地基中得自重应力有何改变?图4—47.某场地自上而下得土层分布为:杂填土,厚度1m,=16kN/m3;粉质黏土,厚度5m,=19kN/ m3,/=10kN/m3,K0=0、32;砂土。
地下水位在地表以下2m深处。
试求地表下4m深处土得竖向与侧向有效自重应力,竖向与侧向总应力。
8. 某外墙下条形基础底面宽度为b=1、5m,基础底面标高为-1、50m,室内地面标高为±0、0 00,室外地面标高为-0、60m,墙体作用在基础顶面得竖向荷载F=230kN/m,试求基底压力P。
9. 某场地地表0、5m为新填土,=16kN/m3,填土下为黏土,=18、5kN/m3,w=20%,d s=2、7 1,地下水位在地表下1m。
现设计一柱下独立基础,已知基底面积A=5m2,埋深d=1、2m,上部结构传给基础得轴心荷载为F=1000kN。
试计算基底附加压力P0。
10. 某柱下方形基础边长4m,基底压力为300kPa,基础埋深为1、5,地基土重度为18kN/ m3,试求基底中心点下4m深处得竖向附加应力。
已知边长为2m得均布方形荷载角点与中心殿下4m深处得竖向附加应力系数分别为0、084与0、108。
11. 已知条形均布荷载P0=200kPa,荷载面宽度b=2m,试按均布矩形荷载下得附加应力计算公式计算条形荷载面中心殿下2m深处得竖向附加应力。
12.有相邻两荷载面积A与B,其尺寸,相应位置及所受荷载如图4—5所示。
若考虑相邻荷载B得影响,试求A荷载中心点以下深度z=2m处得竖向附加应力z。
图4—513.某地基地表至4、5m深度为砂土层,4、5~9、0m为黏土层,其下为不透水页岩。
地下水位距地表2、0m。
已知水位以上砂土得平均孔隙比为0、52,平均饱与度为37%,黏土得含水量为42%,砂土与黏土得相对密度均为2、65。
试计算地表至黏土层底面范围内得竖向总应力,有效应力与孔隙水压力,并绘制相应得应力分布图。
(取w=9、81kN/m3)14.图4—6中所示得柱下独立基础底面尺寸为5m×2、5m,试根据图中所给资料计算基底压力,,及基底中心点下2、7m深处得竖向附加应力。
图4—615.已知一条形基础底面尺寸为60m×4m,设基底压力均匀分布,基底中心点下2m深度处得竖向附加应力为,问基底角点下4m深度处竖向附加应力为多少?16.图4—7所示为一座平面就是L形得建筑物得筏型基础,试按角点法计算地基附加应力得概念分析建筑物上各点A~F中,哪一点得沉降最大?为什么?图4—7第四章参考答案一、简答题1、【答】土体在自重、建筑物荷载及其它因素得作用下均可产生土中应力。
一般来说土中应力就是指自重应力与附加应力。
土中应力按其起因可分为自重应力与附加应力两种。
自重应力就是指土体在自身重力作用下产生得尚未完成得压缩变形,因而仍将产生土体或地基得变形。
附加应力它就是地基产生变形得得主要原因,也就是导致地基土得强度破坏与失稳得重要原因。
土中应力安土骨架与土中孔隙得分担作用可分为有效应力与孔隙应力两种。
土中有效应力就是指土粒所传递得粒间应力。
它就是控制土得体积(变形)与强度两者变化得土中应力。