-计算方法试卷
- 格式:doc
- 大小:501.00 KB
- 文档页数:4
北师大版一年级数学上册专项复习素质评价20以内的加减法计算一、我w ǒ会hu ì做zu ò一y ì做zu ò。
(第5题2分,其余每空1分,共26分) 1.在里填上“>”“<”或“=”。
18-415 12+26+8 15-46+7 12+6194+610-217-516-52.在里填上合适的数。
12-=10 9+=17 6+=16-3=6 8+<1215-<9-5<6+6>133.在里填上“+”或“-”。
152=13 93=12 74=11 126=18 313=16188=10115=1687=154.如果用“☆△△”表示12,那么“☆△△△△△”表示( ),“20”用图形表示是( )。
5.=二、把b ǎ蜜m ì蜂f ēn ɡ送s òn ɡ回hu í家ji ā。
(连一连)(10分)三、细x ì心x īn 的de你n ǐ,算su àn 一y ì算su àn。
(共16分)1.细心算,别粗心!(每小题0.5分,共6分) 15-10=8+9=3+14=8-8=6+7=7+4=14-4-3= 13-2+1= 8+6-4= 3+9+5=17+2-8=16-5+7=2.算一算,填一填。
(每空0.5分,共6分)3.小动物回家。
(每空0.5分,共4分)四、按àn 要y āo 求qi ú写xi ě算su àn 式sh ì。
(共16分) 1.写出四道得数是15的算式。
(4分)= = ==2.从6、17、8、9、14中选三个数写出两个不同的加法算式。
(4分)==3.写出与车厢上的算式得数相等的算式。
(每小题4分,共8分)五、动d òn ɡ手sh ǒu 操c āo 作zu ò,我w ǒ能n én ɡ行x ín ɡ。
(共13分) 1.接着画一画,填一填。
北师大版六年级数学上册核心考点突破卷3.分数混合运算的计算方法一、认真审题,填一填。
(每空2分,共24分)1.计算25×(16÷14)时,应先算( )法,再算( )法,结果是( )。
2.“在空气中,氧气约占15”,表示( )大约是( )的15。
3.( ) kg 比6 kg 多13,15吨比( )吨少14。
4.24 kg 增加18后是( ) kg ,24 kg 增加18 kg 后是( ) kg 。
5.五(3)班男生人数是女生的67,女生人数比男生多( ),男生人数是全班人数的( )。
6.龙龙在计算17×(A -7)时,错看成了17×A -7,他得到的结果比正确结果少( )。
二、仔细推敲,选一选。
(每小题3分,共12分)1.下面的计算中,正确的是( )。
A .35+25÷25=1÷25B .(711-713)÷7=711÷7-713÷7C .12÷(37+65)=12÷37+12÷652.(35+34)×60=35×60+34×60,计算时运用的是( )。
A .乘法交换律B .乘法结合律C .乘法分配律D .加法交换律3.估计下面四个算式,结果最大的是( )。
A .774×(1+13)B .774×(1-13)C .774÷(1+13)D .774÷(1-13)4.x 、y 、z 是三个非零自然数,且x ×54=y ÷56=z ×98,那么x 、y 、z按照从大到小的顺序排列应是( )。
A . x >y >zB . z >y >xC . y >x >zD . y >z >x三、细心的你,算一算。
(共38分)1.直接写出得数。
(每小题1分,共8分)512×4= 215×4= 910÷3= 23÷12=12÷34= 1021÷57= 1-49= 2.4×56=2.用你喜欢的方法计算。
计算方法试题A 答案大连理工大学应用数学系数学与应用数学专业2005级试A 卷答案课 程 名 称: 计算方法 授课院 (系): 应 用 数 学 系 考 试 日 期:2007年11 月 日 试卷共 6 页一 二 三 四 五 六 七 八 九 十 总分标准分 42 8 15 15 15 5 / / / / 100 得 分一、填空(每一空2分,共42分)1.为了减少运算次数,应将表达式.543242161718141311681x x x x x x x x -+---++- 改写为()()()()()()()1816011314181716-+++---+-x x x x x x x x x ;2.给定3个求积节点:00=x ,5.01=x 和12=x ,则用复化梯形公式计算积分dx e x ⎰-102求得的近似值为()15.02141--++e e , 用Simpson 公式求得的近似值为()15.04161--++e e 。
1. 设函数()1,0,1)(3-∈S x s ,若当1-<x 时,满足0)(=x s ,则其可表示为()()33323111)(+++-+++=x c x c x c x s 。
4.已知12)2(,6)1(,0)0(===f f f ,则=]1,0[f 6 ,=]2,1,0[f 0 ,逼近)(x f 的Newton 插值多项式为x 6。
5.用于求()01=--=x e x f x 的根0=x 的具有平方收敛的Newton 迭代公式为:1121---⨯-=+k k x k x k k e x e x x 。
姓名: 学号:院系:班级: 授课教师:张宏伟装订线6.已知⎪⎪⎪⎭⎫ ⎝⎛=000101000-A ,则A 的Jordan 标准型是⎪⎪⎪⎭⎫ ⎝⎛000100000或⎪⎪⎪⎭⎫ ⎝⎛000000010;7.设A 是n 阶正规矩阵,则=2A ()A ρ;8.求解一阶常微分方程初值问题t u t t u +-=')1()(2,00)(u t u =的向后(隐式)Euler 法的显式化的格式为:()211111+++-++=n n n n t h ht u u 。
北师大版四年级数学上册方法技能分类评价9.三位数除以两位数的计算方法一、认真审题,填一填。
(每空1分,共17分)1.下面算式应该把除数看作几十来试商?2.要使46÷54的商是一位数,里最大能填( ),要使它的商是两位数,里最小能填( )。
3.括号里最大能填几?40×( )<262 ( )×52<428( )×32<166 48×( )<6504.350÷40=( )……( )3500÷400=( )……( )5.在里填运算符号,在里填数。
360÷40=(360÷20)÷(40 )180÷15=(180×6)÷(15 )二、仔细推敲,选一选。
(每小题3分,共15分)1.两个数相除,商是12,如果被除数和除数都除以2,商是( )。
A.12B.6C.242.最大的四位数除以最大的两位数,商是( )位数。
A.一B.两C.三3.下面的算式中,商是两位数的是( )。
A.485÷25B.598÷68C.306÷364.笔算615÷18时,下列说法错误的是( )。
A.61个十除以18,商3个十,余7个十B.先算61÷18=3,余7C.商“34”中的“3”表示3个十,写在十位上5.在计算☆÷38时,把38看作40试商,得到的商( )。
A.偏小B.正好C.偏小或正好三、细心的你,算一算。
(共32分)1.直接写出得数。
(每小题1分,共6分)600÷30=960÷30=84÷21=240÷63≈ 152÷50≈560÷68≈2.列竖式计算,带★的要验算。
(带★的小题4分,其余每小题3分,共20分)425÷66=★592÷16=684÷57=808÷29=260÷21=★927÷45=3.用你喜欢的方法计算。
考完试了,顺便把记得地题目背下来,应该都齐全了.我印象中也就只有这些题,题目中地数字应该是对地,我也验证过,不过也不一定保证是对地,也有可能我也算错了.还有就是试卷上面地题目可能没有我说地这么短,但是我也不能全把文字背下来,大概意思就是这样吧.每个部分地题目地顺序可能不是这样,但总体就是这四大块.至于每道题目地分值,我记得地就写出来了,有些题目没注意.我题目后面写地结果都是我考试时算出来地,考完了也懒得验证了,可能不一定对,自己把握吧,仅供参考.华南理工大学计算机计算方法(数值分析)考试试卷一填空题(分)1.(分)* ,准确值,求绝对误差(*) ,相对误差(*) ,有效数位是.(分)当插值函数地越大时,会出现龙格现象,为解决这个问题,分段函数不一个不错地办法,请写出分段线性插值、分段三次插值和三次样条插值各自地特点.3.(分)已知和相近,将–变换成可以使其计算结果更准确.4.(分)已知–,求牛顿迭代法地迭代式子.解题思路:. 这里地绝对误差和相对误差是没有加绝对值地,而且要注意是用哪个数减去哪个数得到地值,正负号会不一样;. 可以从它们函数地连续性方面来说明;. 只要满足课本所说地那几个要求就可以;这个记得迭代公式就可以直接写,记不住可以自己推导,就是用泰勒展开式来近似求值得到地迭代公式.我最终地结果是:1.2.分段线性插值保证了插值函数地连续性,但是插值函数地一次导数不一定连续;分段三次既保证了插值函数地连续性,也保证了其一次导数地连续性;三次样条插值保证了插值函数及其一次导数和二次导数地连续性3.()4.– ( –)( )二计算题(分)已知() –,用对分法求其在[ , ]区间内地根,误差要满小于,需要对分多少次?请写出最后地根结果.解题思路:每次求区间地中值并计算其对应地函数值,然后再计算下一个区间中值及函数值,一直到两次区间中值地绝对值小于为止.我最终算得地对分次数是,根地结果为.2.根据以下数据回答相应问题:(1)请根据以上数据构造三次插值函数;(2)请列出差商表并写出三次插值函数.解题思路:() 直接按照书本地定义把公式列出来就可以了,这个要把公式记住了才行,不然也写不了;()差商表就是计算三次插值函数过程中计算到地中间值及结果值,可以先在草稿上按照公式地计算过程把公式写出来,然后把中间用到地值整理成一个表格,这个表格就是差商表了,最后再把公式和表格都写到试卷上就行了.当然也可以先把表格写出来,再用表格地数据写出公式都可以.因为我考试地时候也是先写表格,但是我感觉算地时候容易错,特别是除数地位置,很容易搞错相减地两个地值.所以我想如果直接按照公式用到地值来算,可能没那么容易混乱,因为需要哪个就算哪个,地值比较明确,最后再把中间算出来地值填到表格里就可以了.当然这要看个人喜好了.这里地结果有点长,不好写在这里,自己搞定吧,不难,只是直接套公式就可以了.3. 请用分解法求解以下方程组地解⎪⎩⎪⎨⎧3- = x3 - 9x2 + 6x17 = 3x3+ x2 - 4x11- = x3 - x2 + 2x1解题思路:这个直接套公式算就好了,只要数没有算错,基本都是对地.有时候要注意看是列主元还是直接法,我当时好像没注意,这里应该没有要求用列主元.我最终算得地结果是, , ,其中算出来地矩阵分别是: ⎥⎥⎥⎦⎤⎢⎢⎢⎣⎡-123121 ⎥⎥⎥⎦⎤⎢⎢⎢⎣⎡--12531124. (分)已知下列矩阵方程,根据以下要求回答问题: ⎥⎥⎥⎦⎤⎢⎢⎢⎣⎡210131012⎥⎥⎥⎦⎤⎢⎢⎢⎣⎡321x x x ⎥⎥⎥⎦⎤⎢⎢⎢⎣⎡-111 (1) 求该矩阵方程地高斯赛达尔()迭代法地收敛性;(2) 求该矩阵方程地高斯赛达尔()迭代法地迭代公式;(3) 已知() (),求()?解题思路:() 这个证明可以有两种方法,第一种用课本地定义来算,就是将系数矩阵地下三角系数全都乘上一个λ值,然后计算行列式,把所有地λ求出来,只要所有地λ都小于,那么就收敛;第二种方法就是用课本地定理证明,如果系数矩阵是强对角占优地,那么简单迭代法()和迭代法都收敛,这道题刚好满足条件;() 这个迭代公式只要把矩阵和矩阵求出来就可以写出迭代公式了;() 把()代入()中地迭代公式就可以求出来.我地最终结果是:我直接用强对角占优证明,只写了两句话,不知道老师是不是要求我们用算地...至于强对角占优地判定,书上有,大概意思就是每一行中在主对角线上地那个数地绝对值比旁边所有数地绝对值加起来都要大就是强对角占优了.弱对角就是可以等于.详细定义翻书吧.(2) 我算出来地和矩阵如下:⎥⎥⎥⎦⎤⎢⎢⎢⎣⎡--02/1003/10,⎥⎥⎥⎦⎤⎢⎢⎢⎣⎡--03/1002/10,⎥⎥⎥⎦⎤⎢⎢⎢⎣⎡-2/13/12/1迭代公式就是() () ()(3) () (, , )5. 已知以下方程,请利用最小二乘法求解:⎪⎪⎩⎪⎪⎨⎧0 = 7x2 + 2x1-13= 6x2 + 3x12 = 5x2 + x1-5 = 2x2+ x1解题思路:首先构造一个多变量拟合函数() ,可以把,看成是系数来求解,按照多变量拟合函数求解方法就可以得到结果.我最终算得地结果是:方程组为:⎪⎩⎪⎨⎧⨯=⨯+⨯⨯=⨯+⨯∑∑∑∑∑∑y t t t x t t x yt t t x t t x 22222111212111计算值并代入:⎩⎨⎧=+=+9821141422115x x x x计算地结果为:,请用复化梯形求积公式求出积分dx ⎰10x -e (注:里面地函数是)地近似值,要求误差限满足,请问需要将区间[]分成多少份?解题思路:首先是先把复化梯形求积公式地误差公式写出来,这个要记得,利用误差公式计算出满足精度要求地即可.我最终算得地结果是:误差公式为’’(ŋ)ŋŋ≤≤,≥√≈,也就是满足条件.三证明题(分)已知函数(),其在区间[]内地三个插值点为,(). 请证明函数()在[]区间内满足下列关系: 6/)]()2/)((4)()[()(b f b a f a f a b dx x f b a +++-≈⎰解题思路:利用这三个插值点写出插值函数,原函数约等于插值函数,所以原函数地积分也约等于插值函数地积分,然后算出插值函数地积分结果就是证明地公式,其实这个就是课本地公式地证明.这个证明过程看课本吧.四程序题(分)前面有一段介绍列主元高斯消元法地步骤地说明(没背下来,都是文字,参考课本吧) 请按照列主元高斯消元法地思路将代码中地空格填写完整:1. 输入系数矩阵,右端项及ε;2. 选主元及消元:选主元: ≤≤若 <ε,则打印“求解失败”,停机;否则若≠,则交换地第行和行,交换行和行;消元:––3. 回代若≤ε,则打印“求解失败”,停机,否则(∑+=nijaijxj1)4.打印(…)解题思路:这个直接按照列主元高斯消去法地计算过程去写就好了.结果我写在代码里面了,是按照课本写地,我考试地时候写地应该也是这样.。
如何计算一份试卷的难度与区分度教学相长0309 20:43::如何计算一份试卷的难度与区分度发表于:0503 14:23 | :阅读:(1) 评论:(0)如何计算一份试卷的难度与区分度如何计算试卷的难度和试卷的区分度。
1、难度的计算(1)难度是指正确答案的比例或百分比。
这个统计量称为试题的难度或容易度。
难度一般用字母P表示,P越大表示试题越简单,P越小表示试题越难。
试题要有梯度,因此各试题的难度应有不同,这是命制试题时要加以特别考虑的。
(2)计算公式:P=平均分/满分值例如:第一题平均分为8.5分,此题的满分值为10分,则第一题的难度P=8.5÷10=0.85例:第1小题选择题满分是4分,全班50名学生中有20名学生答对,则第1小题的难度为,P=正确答案的比例或百分比=20÷50=0.4或平均分=4×20÷50=1.6P=平均分÷满分值=1.6÷4=0.4(3)关于难度的几个问题难度水平的确定是为了筛选题目。
平时测验难度要利于学生的学习,但一定的难度能增加区分度,这对全面了解、掌握学生学习情况有十分重要的作用。
难度水平的确定要考虑及格率,防止损伤学困生的自尊心。
难度水平的确定要考虑对分数分布的影响,一般以偏正态分布为前提,有时偏正态分布更能激发学生的学习积极性.2、区分度的计算区分度是指试题对被试者情况的分辨能力的大小。
一般在 1~+1之间,值越大区分度越好。
试题的区分度在0.4以上表明此题的区分度很好,0.3 ~ 0.39表明此题的区分度较好,0.2 ~ 0.29表明此题的区分度不太好需修改,0.19以下表明此题的区分度不好应淘汰。
计算区分度的方法很多,特别需要注意的是对同一个试题的考试成绩采用不同的方法所得到的区分度的值是不同的。
我们可以使用下面的两种方法计算区分度:(1)先将分数排序,P1=27﹪高分组的难度,P2= 27﹪低分组的难度区分度D =P1- P2或区分度 D = (27﹪高分组的平均分- 27﹪低分组的平均分)÷满分值(2)利用积差系数r 计算区分度D当两个变量都是正态连续变量,而且两者之间呈线性关系,表示这两个变量之间的相关成为积差相关。
人教版二年级数学上册核心考点专项评价4.连加、连减、加减混合运算的计算方法班级________姓名________得分________时间:40分钟满分:100分一、仔细推敲,选一选。
(每小题3分,共9分)1.下面各组算式得数相等的是()。
①45-26-17 45-(26-17)②73-23+6 73-(23+6)③43+40-20 43+(40+20)④22+23+18 22+(23+18)2.这道题计算错误的原因是()。
①数位没有对齐②没有满十进1③没有退位④没有按正确的运算顺序计算80-45+26=713.东东看一本87页的课外书,第一周看了34页,第二周看了29页,还剩多少页没有看?下面算式错误的是()。
①87-(34+29) ②87-(34-29)③87-34-29二、认真审题,填一填。
(每空3分,共36分)1.按规律填数。
(1)19,23,27, () ,(), 39, () 。
(2)73,64,55,(),37,(),()。
2.在计算83-36+27时,应先算()法,再算()法,结果等于()。
3.在计算83-(36+27)时,应先算()法,再算()法,结果等于()。
三、细心的你,算一算。
(共55分)1.直接写出得数。
(每小题3分,共27分)45+40+7=68-4+9=82-20-6=56-(60-4)=43+(31-9)=79-9-5=98-(60+8)=45-5+36=88-18-9=2.列竖式计算。
(每小题4分,共16分)36+57-45=82-33-29=40+19+8=53+(46-16)=3.(1)三明市阳光花店原有鲜花73枝,卖掉46枝后,又运来20枝。
现在花店有鲜花多少枝?(6分)(2)厦门健康步道景色优美,李叔叔计划在健康步道上三天走32千米,第一天他走了8千米,第二天他走了11千米,第三天他还要走多少千米?(6分)答案一、1.④2.③3.②二、1.(1) 313543(2)4628192.减加743.加减20三、1.9273560656530 76612.36+57-45=4882-33-29=2040+19+8=6753+(46-16)=833.(1)73-46+20=47(枝)口答:现在花店有鲜花47枝。
华中科技大学《数值计算方法》考试试卷2006~2007学年 第一学期 《计算方法》课程考试试卷(A 卷)(开卷)院(系)__________专业班级______________学号______________ 姓名__________________考试日期: 2007年1月30日 考试时间: 下午 2:30~5:00一. 填空题 (每小题 4分,共 28份)1.已知矩阵⎥⎦⎤⎢⎣⎡-=1011A,则=∞A 。
2. 若用正n 边形的面积作为其外接圆面积的近似值,则该近似值的相对误差是 。
3.三次方程0123=+--x x x 的牛顿迭代格式是 。
4.若求解某线性方程组有迭代公式F BX X n n +=+)()1(,其中⎥⎥⎦⎤⎢⎢⎣⎡--=33a a a B ,则该迭代公式收敛的充要条件是 。
5.设xxe x f =)(,则满足条件)2,1,0(22=⎪⎭⎫⎝⎛=⎪⎭⎫ ⎝⎛i i f i p 的二次插值公式=)(x p 。
6.已知求积公式)1()1()2/1()0()1()(10f f f dx x f ααα+++-≈⎰至少具0次代数精度,则=α 。
7.改进的Euler 方法)],(),([211n n n n n n n f h y t f y t f hy y +++=++应用于初值问题1)0(),()('==y t y t y 的数值解=n y 。
二. (10分) 为数值求得方程022=--x x 的正根,可建立如下迭代格式,2,1,0,21=+=-n x x n n ,试利用迭代法的收敛理论证明该迭代序列收敛,且满足2lim =∞→n n x .解答内容不得超过装订线三. (20分) 给定线性方程组⎪⎩⎪⎨⎧=++-=---=++2628419541022321321321x x x x x x x x x(1)试用Gauss 消去法求解其方程组;(2) 给出求解其方程组的Jacobi 迭代格式和Gauss-Seidel 迭代格式,并说明其二种迭代格式的收敛性。
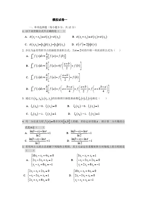
模拟试卷一一、单项选择题(每小题3分,共15分) 1. 以下误差限公式不正确的是( ) A .()()()1212x x x x εεε-=- B. ()()()1212x x x x εεε+=+C .()()()122112x x x x x x εεε=+ D. ()()22x x x εε=2. 步长为h 的等距节点的插值型求积公式,当2n =时的牛顿-科茨求积公式为( ) A .()()()2bahf x dx f a f b ≈+⎡⎤⎣⎦⎰B .()()()432bah a b f x dx f a f f b ⎡+⎤⎛⎫≈++ ⎪⎢⎥⎝⎭⎣⎦⎰ C .()()()32bah a b f x dx f a f f b ⎡+⎤⎛⎫≈++ ⎪⎢⎥⎝⎭⎣⎦⎰D .()()34424bah b a a b b a f x dx f a f a f f a ⎡-+-⎤⎛⎫⎛⎫⎛⎫≈+++++ ⎪ ⎪ ⎪⎢⎥⎝⎭⎝⎭⎝⎭⎣⎦⎰3. 通过点()()0011,,,x y x y 的拉格朗日插值基函数()()01,l x l x 满足( ) A .()00l x =0,()110l x = B . ()00l x =0,()111l x = C .()00l x =1,()111l x = D . ()00l x =1,()111l x =4. 用二分法求方程()0f x =在区间[],a b 上的根,若给定误差限ε,则计算二分次数的公式是n ≥( )A .ln()ln 1ln 2b a ε-++ B. ln()ln 1ln 2b a ε-+-C.ln()ln 1ln 2b a ε--+ D. ln()ln 1ln 2b a ε--- 5. 若用列主元消去法求解下列线性方程组,其主元必定在系数矩阵主对角线上的方程组是( )A .123123123104025261x x x x x x x x x -+=⎧⎪-+=⎨⎪-+=-⎩ B.12312312331520261x x x x x x x x x -+=⎧⎪--+=⎨⎪++=-⎩ C. 12312312322051260x x x x x x x x x -+=⎧⎪--+=⎨⎪++=⎩ D.12312312310402501x x x x x x x x x -+=⎧⎪-+=⎨⎪-+=-⎩二、 填空题(每小题3分,共15分)7. 已知函数()y f x =在点12x =和25x =处的函数值分别是12和18,已知()52f '≈,则()2f '≈8.过n 对不同数据(),,1,2,i i x y i =···,n ,的拟合直线10y a x a =+,那么10,a a 满足的法方程组是9. 已知函数()f x 的函数值()()()()()0,2,3,5,6f f f f f ,以及均差如下 ()()()()()00,0,24,0,2,35,0,2,3,51,0,2,3,5,6f f f f f ===== 那么由这些数据构造的牛顿插值多项式的最高次幂的系数是10.解初值问题()()[]()00,,y f x y x a b y x y '=⎧⎪∈⎨=⎪⎩的龙格-库塔法就是求出公式 ()()()()[]11,,,,0,1,2,k k k k k k k y x y x hf y x x k ζζζ++-=∈=···,1n - 中的平均斜率()(),kk fy ζζ,其中,k h x 分别是n 等分[],a b 的步长合节点。
试卷难度、区分度的计算方法一、难度计算1、难度:指题目的难易程度,或说测验的难易程度,常以试题的通过率作为难度的指标。
难度值在0至1之间.P>0.8试题太易;P〈0.2时,试题太难。
一份试卷应该由不同难度按一定比例组成。
一般地说,P>0。
8 、P 〈0。
2的试题各占10%;P=0。
2~0.4,和P=0.6~0。
8的试题各占20%;P〉0.4、P〈0.6的中等难度试题应占60%。
整套试卷平均难度在0。
4~0.6之间。
2、计算方法(1)客观性试题难度P(这时也称通过率)计算公式:P=k/N(k为答对该题的人数,N为参加测验的总人数)(2)主观性试题难度P计算公式:P=X/M(X为试题平均得分;M为试题满分)(3)适用于主、客观试题的计算公式:P=(PH+PL)/2(PH、PL分别为试题针对高分组和低分组考生的难度值)在大群体标准化中,此法较为方便.具体步骤为:①将考生的总分由高至低排列;②从最高分开始向下取全部试卷的27%作为高分组;③从最低分开始向上取全部试卷的27%作为低分组;④按上面的公式计算。
例1:一次物理测试中,在100名学生中,高低分组各有27人,其中高分组答对第一题有20人,低分组答对第一题的有5人,这道题的难度为:PH=20/27=0。
74 PL=5/27=0.19 P=(0.74+0。
19)/2=0.47整个试卷的难度等于所有试题难度之平均值(包括主、客观试题)。
二、区分度的计算1、区分度:指测验对考生实际水平的区分程度或鉴赏能力。
它是题目质量和测验质量的一个重要指标。
一般要求试题的区分度在0.3以上。
区分度D在—1至+1之间。
D≥0。
4时,说明该题目能起到很好的区分作用;D≤0.2时,说明该题目的区分性很差。
D值为负数时,说明试题或答案有问题.2、计算方法(1)客观性试题区分度D的计算公式D=PH—PL(PH、PL分别为试题高分组和低分组考生的难度值)PH、PL的计算方法同上.例2 一次物理测试中,在100名学生中,高低分组各有27人,其中高分组答对第一题有20人,低分组答对第一题的有5人,这道题的区分度为:D=PH-PL=0。
人教版四年级数学下册核心考点突破卷12.小数加减法的计算方法一、认真审题,填一填。
(第6小题8分,其余每空1分,共18分) 1.列竖式计算小数加减法时,小数点要对齐,也就是()要对齐。
得数的小数部分末尾有0的,一般要把末尾的0()。
2.比4.8多2.9的数是(),()比5.08多3.4。
3.整数加法的运算定律同样适用于()。
4.6.78至少加上()个0.01才能得到一个整数。
5.按规律填数。
(1)6.87.37.8()()(2)4.13 4.15 4.17()()6.在□里填上合适的数,在○里填上适当的运算符号。
(1)3.39-1.34+2.61=□○□○□(2)63.5-18.26-11.74=63.5○(□○□)二、下面的计算正确吗?对的打“√”,错的打“×”,并改正。
(每小题5分,共15分)三、细心的你,算一算。
(共48分)1.直接写出结果。
(每小题2分,共12分)10+0.8= 4.65+0.4=7.8-6.4=25+1.8=0.9-0.45=15.6-7=2.用小数计算下面各题。
(每小题3分,共12分)12 m 8 dm-4 m 3 dm15 t-3 t 90 kg5元9角7分+3元8分 5 dm 3 cm+1 m 28 cm3.列竖式计算,带※的要验算。
(每小题4分,共16分)12.68+5.94=※5.7-2.38=50-8.68=※9.5+16.65=4.计算下面各题。
(每小题4分,共8分)78.56-36.79+16.58 18.98-(9.4-0.99)四、聪明的你,答一答。
(共19分)1.(1)乐乐想买一个汉堡和一罐可乐,一共需要多少钱?(6分)(2)芳芳只有20元,她刚好可以买哪两样食品?(6分)2.一座桥限重12.8吨,一辆自重4.5吨的货车装有8吨450千克的水泥,它至少要卸下多少吨的水泥才能安全过桥?(7分)答案一、1.相同数位去掉2.7.78.483.小数加法4.22 5.(1)8.38.8(2)4.19 4.216.(1)3.39 +2.61 -1.34(2)-18.26 +11.74二、三、1.10.8 5.05 1.426.80.45 8.6 2.12m 8dm-4m 3dm =12.8m-4.3m=8.5m15t-3t 90kg =15t-3.09t =11.91t5元9角7分+3元8分=5.97元+3.08元=9.05元5dm 3cm+1m 28cm=0.53m+1.28m=1.81m3.12.68+5.94=18.62※5.7-2.38=3.3250-8.68=41.32※9.5+16.65=26.154.78.56-36.79+16.58=41.77+16.58=58.3518.98-(9.4-0.99)=18.98-8.41=10.57四、1.(1)9.6+5.68=15.28(元)答:一共需要15.28元。
试卷难度系数和区分度计算方法
考试难度系数计算公式:
Dc=1-A/T
Dc:难度系数;A:考生平均得分如计算总体难度系数,则为全卷平均分;如计算单题难度系数,则为本题平均分;T:满分
举例:
总体难度系数:一份满分100分的试卷,考生平均得分78分,则难度系数为1-78/100=0.22
单题难度系数:一道题值2分的试题,考生平均得分1.5分,则难度系数为1-1.5/2=0.25
理想的难度系数以控制在0.2左右为宜.
试题区别系数计算公式:
先把成绩从高到低排序,前50%的考生为高分组,后50%为低分组,样本大的时候,也可以取前、后各20%.
Dr=2Ah-Al/T
Dr:区别系数;Ah:高分组平均分;Al:低分组平均分;T:满分.
举例:
总体区别系数:一份满分100分的试卷,高分组平均得分90分,低分组平均得分60分,则区别系数为290-60/100=1.7
单题区别系数:一道题值2分的试题,高分组平均得分1.5分,低分组平均得分0.5分,则区别系数为21.5-0.5/2=1
理想的区别系数以控制在1.5左右为宜.某些重要的、学生应知应会的必考知识点,单题难度系数允许为“0”.。
华东交通大学2015—2016学年第二学期复习(A 卷)试卷编号: ( A )卷计算方法 课程 课程类别:必修 考试日期: 月 日 开卷(范围:计算方法教材前三章) 题号 一 二 三 四 五 六 七 八 … 总分 累分人 签名题分252525252525252525100得分注意事项:1、本试卷共 页,总分 100 分,考试时间 50 分钟。
2、考试结束后,考生不得将试卷和草稿纸带出考场。
考场纪律:1、学生应试时必须携带学生证,以备查对,学生必须按照监考老师指定的座位就坐。
2、除答卷必须用的笔、橡皮及老师指定的考试用具外,不得携带任何书籍、笔记、草稿纸等。
3、答卷时不准互借文具(包括计算器)。
题纸上如有字迹不清等问题,学生应举手请监考教师解决。
4、学生应独立答卷,严禁左顾右盼、交头接耳、抄袭或看别人答卷等各种形式的作弊行为,如有违反,当场取消其考试资格,答卷作废。
5、在规定的时间内答卷,不得拖延。
交卷时间到,学生须在原座位安静地等候监考教师收卷后,方可离开考场。
★二分法一、证明f (x )=210x x --=在区间(1,2)内有唯一根,用二分法求此根要求误差小于0.05。
解:令2(x)1f x x =--,则,(1)1f =-,(2)1f = 而且在(1,2)内=2x-1>0,因此方程在(1,2)内有唯一根。
2(1.5) 1.5 1.510.25f =--=-,所以有根区间为(1.5,2)25(1.75) 1.75 1.751016f =--=>,所以有根区间为(1.5,1.75)21(1.625) 1.625 1.6251064f =--=>,所以有根区间为(1.5,1.625)99931(1)1110161616256f =--=-<,所以有根区间为(9116,1.625) 取*19119(11)1 1.59375216832x =+==此时,它与精确解的距离<1191(11)0.05281632-=<二、证明0sin 1=--x x 在[0,1]内有一个根,使用二分法求误差不大于41021-⨯的根要迭代多少承诺:我将严格遵守考场纪律,知道考试违纪、作弊的严重性,还知道请他人代考或代他人考者将被开除学籍和因作弊受到记过及以上处分将不授予学士学位,愿承担由此引起的一切后果。
《计算方法》2012年试题
一、填空题
1、设f(x)x=f(x)的牛顿迭代公式为
2、设矩阵A有如下分解:
则a=,b=
3、已知函数
是以-1,0,1为样条节点的三次样条函数,则a=,b=
4、A1=,A2=
5、下列数据取自一个次数不超过5次的多项式P(x)
则P(x)是次多项式。
6、设A=x(n)表示用幂法求A的按模最大特征值所对应的特征向量的第n
次近似值,若取x(0)=(0,1)T,则x(2011)=
二、选择题
1、设A为n阶实对称矩阵,P为n阶可逆矩阵,B=PAP-1,||A||r表示矩阵A的
r-A的谱半径,以下结论不正确的是
(A) (B) (C) (D)
2、可以用Jacobi迭代法解线性方程组Ax=b的必要条件是
(A) 举证A的各阶顺序主子式全不为零(B) A
(C) 举证A的对角元素全不为零(D) 矩阵A
3、设A=(1,2,2)T,若存在Household矩阵H,使得Hx=σ(1,0,0)T,则
4、对于具有四个求积点(n=3)牛顿科特斯(Newton-Cotes)公式
如果已知Cotes系数,则其余三个系数为
(A) (B)
(C) (D)
5、用二阶Runge-Kutta方法
求解常微分方程初值问题,其中:h>0为步长,x n=x0+nh
为保证格式稳定,则步长h的取值范围是
(A) (B) (C) (D)
三、计算解答题
1、设f(x)=e2x。
(1) 写出或导出最高幂次系数为1的且次数不超过2的Legendre多项式L0(x),L1(x),L2(x);
(2) 求出在P2(x)。
2、,给如下的数值积分公式:
其中:表示在x=1处的到数值。
(1) 求常数A1、A2、A3使上述求积公式的代数精度最高;
(2) 导出上述求积公式的余项(或截断误差)R[f]=I-I n
3、
(1) 找出参数的最大范围,使得求解以A为系数矩阵的线性代数方程的Gauss-Sidle迭代法收敛;
(2) 取何值时,Gauss-Sidle迭代法经有限次迭代后得到方程的精确解
4、[0.5,0.6]内有唯一的实根
(1) 试判断一下两种求上述方程的迭代格式的局部收敛性,并说明理由。
格式1x0>0;格式2x0>0
(2) 方程f(x)=0的根就是y=f(x)的反函数x=g(y)在y=0时x的值。
已知下列数据是
求出g(y)
5、给定求解常微分方程组初值问题
其中,,h>0为步长,,
果满足:
(1) 证明:用梯形公式解二阶方程初值问题:具有平方守恒律;
(2) ,(其中,A为m阶常系数矩阵)
所到处的公式具有平方守恒律,试给出矩阵A满足的一个充分条件,并证明你的结论。
填空答案:12、a=2,b=3;3、a=-1,b=0;4、A1=1/3,
A2=1/6;5、二次;6
选择答案:DCBDA。