固体物理概念答案
- 格式:doc
- 大小:196.50 KB
- 文档页数:7
《固体物理学》概念和习题固体物理基本概念和思考题:1.给出原胞的定义。
答:最小平行单元。
2.给出维格纳-赛茨原胞的定义。
答:以一个格点为原点,作原点与其它格点连接的中垂面(或中垂线),由这些中垂面(或中垂线)所围成的最小体积(或面积)即是维格纳-赛茨原胞。
3.二维布喇菲点阵类型和三维布喇菲点阵类型。
4. 请描述七大晶系的基本对称性。
5. 请给出密勒指数的定义。
6. 典型的晶体结构(简单或复式格子,原胞,基矢,基元坐标)。
7. 给出三维、二维晶格倒易点阵的定义。
8. 请给出晶体衍射的布喇格定律。
9. 给出布里渊区的定义。
10. 晶体的解理面是面指数低的晶面还是指数高的晶面?为什么?11. 写出晶体衍射的结构因子。
12. 请描述离子晶体、共价晶体、金属晶体、分子晶体的结合力形式。
13. 写出分子晶体的雷纳德-琼斯势表达式,并简述各项的来源。
14. 请写出晶格振动的波恩-卡曼边界条件。
15. 请给出晶体弹性波中光学支、声学支的数目与晶体原胞中基元原子数目之间的关系以及光学支、声学支各自的振动特点。
(晶体含N个原胞,每个原胞含p个原子,问该晶体晶格振动谱中有多少个光学支、多少个声学支振动模式?)16. 给出声子的定义。
17. 请描述金属、绝缘体热容随温度的变化特点。
18. 在晶体热容的计算中,爱因斯坦和德拜分别做了哪些基本假设。
19. 简述晶体热膨胀的原因。
20. 请描述晶体中声子碰撞的正规过程和倒逆过程。
21. 分别写出晶体中声子和电子分别服从哪种统计分布(给出具体表达式)?22. 请给出费米面、费米能量、费米波矢、费米温度、费米速度的定义。
23. 写出金属的电导率公式。
24. 给出魏德曼-夫兰兹定律。
25. 简述能隙的起因。
26. 请简述晶体周期势场中描述电子运动的布洛赫定律。
27. 请给出在一级近似下,布里渊区边界能隙的大小与相应周期势场的傅立叶分量之间的关系。
28. 给出空穴概念。
29. 请写出描述晶体中电子和空穴运动的朗之万(Langevin)方程。
3.1 已知一维单原子链,其中第j 个格波,在第n 个格点引起的位移nj μ为:sin()nj j j j j a t naq μωδ=++j δ为任意相位因子。
并已知在较高温度下每个格波的平均能量为B k T 。
具体计算每个原子的平方平均位移。
解:(1)根据2011sin ()2T j j j t naq dt T ωδ⎰++= 其中2jT πω=为振动周期,所以22221sin ()2nj j j j j j a t naq a μωδ=++=(2) 第j 个格波的平均动能 (3) 经典的简谐运动有:每个格波的平均动能=平均势能=12格波平均能量=12B k T 振幅222B j j k T a Nm ω=, 所以 22212B nj j jk T a Nm μω==。
而每个原子的平方平均位移为:222221()2B n nj nj j jjjjjk Ta Nm μμμω====∑∑∑∑。
3.2讨论N 个原胞的一维双原子链(相邻原子间距为a ),其2N 个格波的解。
当m M =时与一维单原子链一一对应。
解:(1)一维双原子链: 22q a aππ-≤<声学波:12222411sin ()m M mM aq mM m M ωβ-⎧⎫⎡⎤+⎪⎪=--⎨⎬⎢⎥+⎣⎦⎪⎪⎩⎭当m M =时,有2224(1cos )sin 2aqaq m m ββω-=-= 。
光学波:12222411sin ()m M mM aq mM m M ωβ+⎧⎫⎡⎤+⎪⎪=+-⎨⎬⎢⎥+⎣⎦⎪⎪⎩⎭当m M =时,有2224(1cos )cos 2aqaq m m ββω+=+= 。
(2)一维双原子链在m M =时的解 22224sin 2422cos 2aq m q aq aam βωππβω-+⎧=⎪⎪-≤<⎨⎪=⎪⎩与一维单原子链的解 224sin 2aqq m aaβππω=-≤<是一一对应的。
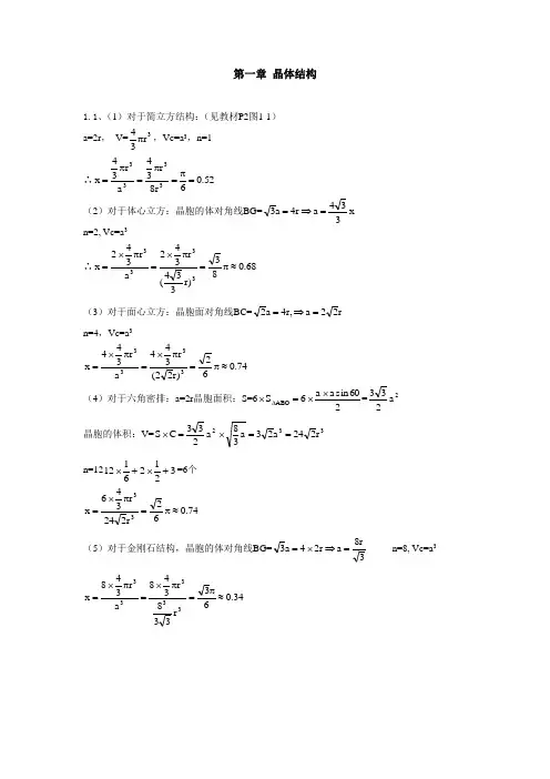
1.1 如果将等体积球分别排列成下列结构,设x 表示钢球所占体积与总体积之比,证明结构x简单立方π/ 6 ≈0.52 体心立方3π/ 8 ≈0.68 面心立方2π/ 6 ≈0.74六方密排2π/ 6 ≈0.74 金刚石3π/16 ≈0.34解:设钢球半径为r ,根据不同晶体结构原子球的排列,晶格常数a 与r 的关系不同,分别为:简单立方:a = 2r金刚石:根据金刚石结构的特点,因为体对角线四分之一处的原子与角上的原子紧贴,因此有1.3 证明:体心立方晶格的倒格子是面心立方;面心立方晶格的倒格子是体心立方。
证明:体心立方格子的基矢可以写为面心立方格子的基矢可以写为根据定义,体心立方晶格的倒格子基矢为同理与面心立方晶格基矢对比,正是晶格常数为4π/ a的面心立方的基矢,说明体心立方晶格的倒格子确实是面心立方。
注意,倒格子不是真实空间的几何分布,因此该面心立方只是形式上的,或者说是倒格子空间中的布拉菲格子。
根据定义,面心立方的倒格子基矢为同理而把以上结果与体心立方基矢比较,这正是晶格常数为4πa的体心立方晶格的基矢。
证明:根据定义,密勒指数为的晶面系中距离原点最近的平面ABC 交于基矢的截距分别为即为平面的法线根据定义,倒格子基矢为则倒格子原胞的体积为1.6 对于简单立方晶格,证明密勒指数为(h, k,l)的晶面系,面间距d 满足其中a 为立方边长。
解:根据倒格子的特点,倒格子与晶面族(h, k,l)的面间距有如下关系因此只要先求出倒格,求出其大小即可。
因为倒格子基矢互相正交,因此其大小为则带入前边的关系式,即得晶面族的面间距。
1.7 写出体心立方和面心立方晶格结构的金属中,最近邻和次近邻的原子数。
若立方边长为a ,写出最近邻和次近邻的原子间距。
答:体心立方晶格的最近邻原子数(配位数)为8,最近邻原子间距等于次近邻原子数为6,次近邻原子间距为a ;面心立方晶格的最近邻原子数(配位数)为12,最近邻原子间距等于次近邻原子数为6,次近邻原子间距为a 。
《固体物理学》概念和习题答案《固体物理学》概念和习题固体物理基本概念和思考题:1.给出原胞的定义。
答:最⼩平⾏单元。
2.给出维格纳-赛茨原胞的定义。
答:以⼀个格点为原点,作原点与其它格点连接的中垂⾯(或中垂线),由这些中垂⾯(或中垂线)所围成的最⼩体积(或⾯积)即是维格纳-赛茨原胞。
3.⼆维布喇菲点阵类型和三维布喇菲点阵类型。
4. 请描述七⼤晶系的基本对称性。
5. 请给出密勒指数的定义。
6. 典型的晶体结构(简单或复式格⼦,原胞,基⽮,基元坐标)。
7. 给出三维、⼆维晶格倒易点阵的定义。
8. 请给出晶体衍射的布喇格定律。
9. 给出布⾥渊区的定义。
10. 晶体的解理⾯是⾯指数低的晶⾯还是指数⾼的晶⾯?为什么?11. 写出晶体衍射的结构因⼦。
12. 请描述离⼦晶体、共价晶体、⾦属晶体、分⼦晶体的结合⼒形式。
13. 写出分⼦晶体的雷纳德-琼斯势表达式,并简述各项的来源。
14. 请写出晶格振动的波恩-卡曼边界条件。
15. 请给出晶体弹性波中光学⽀、声学⽀的数⽬与晶体原胞中基元原⼦数⽬之间的关系以及光学⽀、声学⽀各⾃的振动特点。
(晶体含N个原胞,每个原胞含p个原⼦,问该晶体晶格振动谱中有多少个光学⽀、多少个声学⽀振动模式?)16. 给出声⼦的定义。
17. 请描述⾦属、绝缘体热容随温度的变化特点。
18. 在晶体热容的计算中,爱因斯坦和德拜分别做了哪些基本假设。
19. 简述晶体热膨胀的原因。
20. 请描述晶体中声⼦碰撞的正规过程和倒逆过程。
21. 分别写出晶体中声⼦和电⼦分别服从哪种统计分布(给出具体表达式)?22. 请给出费⽶⾯、费⽶能量、费⽶波⽮、费⽶温度、费⽶速度的定义。
23. 写出⾦属的电导率公式。
24. 给出魏德曼-夫兰兹定律。
25. 简述能隙的起因。
26. 请简述晶体周期势场中描述电⼦运动的布洛赫定律。
27. 请给出在⼀级近似下,布⾥渊区边界能隙的⼤⼩与相应周期势场的傅⽴叶分量之间的关系。
28. 给出空⽳概念。
第一章 参考答案1体心立方格子和面心立方格子互为正倒格子,试证明之。
证:体心立方格子的固体物理学原胞(Primitive cell )的三个基矢是)(2),(2),(2321→→→→→→→→→→→→-+=+-=++-=k j i a a k j i a a k j i a a ⎪⎪⎪⎭⎪⎪⎪⎬⎫+=+=+==⨯⋅=ΩΩ⨯=Ω⨯=Ω⨯=→→→→→→→→→→→→→→→→→→→→→)(2)(2)(22122,2:3213321213132321j i a b i k a b k j ab aa a a a ab a a b a a b ππππππ定义它们是倒点阵面心立方的三个基矢。
2 对六角密堆积结构固体物理学原胞基矢如→→→→→→→→=+-=+=kc a ja i a a j a i a a 321232232求倒格子基矢。
解:;,213→→→⊥a a a→→→→→→→→+-=+===ja i a a ja i a a a a a 2322322121)33(32)32(22332123213→→→→→→→→→→→→+=+Ω=Ω⨯==⨯⋅=Ω=j i aac a i ac j a a b ca aa a a kc a πππ ⎪⎭⎫ ⎝⎛+-=Ω⎪⎭⎫ ⎝⎛⨯=→→→→→j i a a a b 3332/2132ππ→→→→=Ω⎪⎭⎫⎝⎛⨯=kc a a b ππ2/22133求解简单立方中晶面指数为(hkl)的晶面簇间距。
解:正格子基矢是 →→→→→→===k a c j a b i a a ,,令 为相应的倒基矢→→→***,,c b a21222***,,3***)()()(2222)(222-→→→→→→→→→→→→→→→→→⎥⎦⎤⎢⎣⎡++==++=++==⨯⋅=Ω===a l a k ahK d kl a j k a i h a c l b k a h K a c b a kac j ab i aa hklnkl l k h πππππππ4 试证明六角密集结构中c/a=如图所示,ABC 分别表示六角密排结构中三个原子,D 表示中心的原子。
《固体物理学》部分习题解答1.3 证明:体心立方晶格的倒格子是面心立方;面心立方晶格的倒格子是体心立方。
解由倒格子定义体心立方格子原胞基矢倒格子基矢同理可见由为基矢构成的格子为面心立方格子面心立方格子原胞基矢倒格子基矢同理可见由为基矢构成的格子为体心立方格子1.4 证明倒格子原胞的体积为,其中为正格子原胞体积证倒格子基矢倒格子体积1.5证明:倒格子矢量垂直于密勒指数为的晶面系。
证:容易证明与晶面系正交。
1.6如果基矢构成简单正交系证明晶面族的面间距为说明面指数简单的晶面,其面密度较大,容易解理证简单正交系倒格子基矢倒格子矢量晶面族的面间距面指数越简单的晶面,其晶面的间距越大晶面上格点的密度越大,这样的晶面越容易解理1.9 指出立方晶格(111)面与(100)面,(111)面与(110)面的交线的晶向解(111)面与(100)面的交线的AB-AB平移,A与O重合。
B点位矢(111)与(100)面的交线的晶向——晶向指数(111)面与(110)面的交线的AB——将AB平移,A与原点O重合,B点位矢(111)面与(110)面的交线的晶向――晶向指数2.1.证明两种一价离子组成的一维晶格的马德隆常数为.证设想一个由正负两种离子相间排列的无限长的离子键,取任一负离子作参考离子(这样马德隆常数中的正负号可以这样取,即遇正离子取正号,遇负离子取负号),用r表示相邻离子间的距离,于是有前边的因子2是因为存在着两个相等距离的离子,一个在参考离子左面,一个在其右面,故对一边求和后要乘2,马德隆常数为当X=1时,有2.3 若一晶体的相互作用能可以表示为求1)平衡间距2)结合能W(单个原子的)3)体弹性模量4)若取,计算值。
解1)晶体内能平衡条件2) 单个原子的结合能3) 体弹性模量晶体的体积——A为常数,N为原胞数目晶体内能体弹性模量由平衡条件体弹性模量()4)2.6.用林纳德—琼斯(Lennard—Jones)势计算Ne在bcc(球心立方)和fcc(面心立方)结构中的结合能之比值.解2.7.对于,从气体的测量得到Lennard—Jones势参数为计算结合成面心立方固体分子氢时的结合能(以KJ/mol单位),每个氢分子可当做球形来处理.结合能的实验值为0.751kJ/mo1,试与计算值比较.解以为基团,组成fcc结构的晶体,如略去动能,分子间按Lennard—Jones势相互作用,则晶体的总相互作用能为:因此,计算得到的晶体的结合能为2.55KJ/mol,远大于实验观察值0.75lKJ/mo1.对于的晶体,量子修正是很重要的,我们计算中没有考虑零点能的量子修正,这正是造成理论和实验值之间巨大差别的原因.3.1.已知一维单原子链,其中第个格波,在第个格点引起的位移为,,为任意个相位因子,并已知在较高温度下每个格波的平均能量为,具体计算每个原子的平方平均位移。
固体物理简答题及答案
答案:长声学格波不会导致离子晶体的宏观极化,因为其振动模式是整体性的,不会产生电偶极矩。
离子晶体的宏观极化是由于晶体中存在非中心对称性,导致电子云分布不均匀,形成宏观电偶极矩。
这种非中心对称性可以来自晶体结构的不对称性或者离子的偏离。
因此,只有存在非中心对称性的晶体才能产生宏观极化。
答案:紧束缚近似模型是将晶格中的原子看作是紧密连接的,电子在原子之间跳跃的过程被描述为一个量子力学隧穿过程。
该模型的主要结论是,能带结构可以解释为原子轨道的重叠和混合,具有禁带和导带,同时也可以解释材料的磁性和光学性质。
该模型对于描述分子和表面物理也有一定的应用。
答案:半导体掺杂可以引入杂质原子,使其在晶体中形成杂质能级,改变半导体的导电特性。
在N型半导体中,施主杂质原子提供自由电子,增加导电能力;在P型半导体中,受主杂质原子接受自由电子,形成空穴,增加导电能力。
掺杂浓度越高,导电能力越强。
1. 基元,点阵,原胞,晶胞,布拉菲格子,简单格子,复式格子。
基元:在具体的晶体中,每个粒子都是在空间重复排列的最小单元;点阵:晶体结构的显著特征就是粒子排列的周期性,这种周期性的阵列称为点阵; 原胞:只考虑点阵周期性的最小重复性单元;晶胞:同时计及周期性与对称性的尽可能小的重复单元;布拉菲格子:是矢量Rn=mA1+nA2+lA3全部端点的集合,A1,A2,A3分别为格点到邻近三个不共面格点的矢量;简单格子:每个基元中只有一个原子或离子的晶体;复式格子:每个基元中包含一个以上的原子或离子的晶体;2. 晶体的宏观基本对称操作,点群,螺旋轴,滑移面,空间群。
宏观基本对称操作:1、2、3、4、6、i 、m 、4,点群:元素为宏观对称操作的群螺旋轴:n 度螺旋轴是绕轴旋转2/n π与沿转轴方向平移T t j n=的复合操作 滑移面:对*一平面作镜像反映后再沿平行于镜面的*方向平移该方向周期的一半的复合操作空间群:保持晶体不变的所有对称操作3. 晶向指数,晶面指数,密勒指数,面间距,配位数,密堆积。
晶向(列)指数:布拉菲格子中所有格点均可看作分列在一系列平行直线族上,取一个格点沿晶向到邻近格点的位移基失由互质的(l1/l2/l3)表示;晶面指数:布拉菲格子中所有格点均可看作分列在一系列平行平面族上,取原胞基失为坐标轴取离原点最近晶面与三个基失上的截距的倒数由互质的(h1/h2/h3)表示;密勒指数:晶胞基失的坐标系下的晶面指数;配位数:晶体中每个原子(离子)周围的最近邻离子数称之为该晶体的配位数;面间距:晶面族中相邻平面的间距;密堆积:空间内最大密度将原子球堆砌起来仍有周期性的堆砌结构;4. 倒易点阵,倒格子原胞,布里渊区。
倒易点阵:有一系列在倒空间周期性排列的点-倒格点构成。
倒格点的位置可由倒格子基矢表示,倒格子基矢由…确定倒格子原胞:倒空间的周期性重复单元(区域),每个单元包含一个倒格点布里渊区:在倒格子中如以*个倒格点作为原点,画出所有倒格矢的垂直平分面,可得到倒格子的魏格纳塞茨原胞,即第一布里渊区5. 布拉格方程,劳厄方程,几何结构因子。
第一章 晶体结构1.1、(1)对于简立方结构:(见教材P2图1-1)a=2r , V=3r 34π,Vc=a 3,n=1 ∴52.06r8r34a r 34x 3333=π=π=π= (2)对于体心立方:晶胞的体对角线BG=x 334a r 4a 3=⇒= n=2, Vc=a 3∴68.083)r 334(r 342a r 342x 3333≈π=π⨯=π⨯= (3)对于面心立方:晶胞面对角线BC=r 22a ,r 4a 2=⇒= n=4,Vc=a 374.062)r 22(r 344a r 344x 3333≈π=π⨯=π⨯= (4)对于六角密排:a=2r 晶胞面积:S=6260sin a a 6S ABO ⨯⨯=⨯∆=2a 233 晶胞的体积:V=332r 224a 23a 38a 233C S ==⨯=⨯ n=1232126112+⨯+⨯=6个 74.062r224r 346x 33≈π=π⨯= (5)对于金刚石结构,晶胞的体对角线BG=3r 8a r 24a 3=⇒⨯= n=8, Vc=a 334.063r 338r 348a r 348x 33333≈π=π⨯=π⨯=1.3证明:(1)面心立方的正格子基矢(固体物理学原胞基矢):123()2()2()2a a j k a a i k a a i j ⎧=+⎪⎪⎪=+⎨⎪⎪=+⎪⎩r r r r r rr r r由倒格子基矢的定义:1232()b a a π=⨯Ωr r r31230,,22(),0,224,,022a a a a a a a a a a Ω=⋅⨯==r r rQ ,223,,,0,()224,,022i j ka a a a a i j k a a ⨯==-++r rr r r r r r213422()()4a b i j k i j k a aππ∴=⨯⨯-++=-++r r rr r r r同理可得:232()2()b i j k ab i j k aππ=-+=+-r r r r r r r r 即面心立方的倒格子基矢与体心立方的正格基矢相同。
固体物理答案1.“晶格振动”理论是半经典理论。
答:晶体中的格点表示原子的平衡位置,晶格振动便是指原子在格点附近的振动。
晶格振动的研究是从晶体热力学性质开始的杜隆-珀替定理总结了固体热容量在室温和更高的温度适合而在较低的温度下固体的热容量开始随温度的降低而不断降低,从而进一步发展出了量子热熔理论。
但是经典晶格振动理论知识局限于固体的热学性质,故是半经典理论。
首先只能求解牛顿方程,并引入了格波,而且每个格波的能量可用谐振子能量来表示。
之后进行了量子力学修正,量子力学修正体现在谐振子能量不用经典谐振子能量表示式,而用量子谐振子能量表示式。
2.声学波和光学波的区别。
长光学支格波与长声学支格波的本质差别。
格波支数的关系。
定性地讲,声学波描述了元胞质心的运动,光学波描述了元胞内原子的相对运动。
描述元胞内原子不同的运动状态是二支格波最重要的区别。
长光学支格波的特征是每个原胞内的不同原子做相对振动,振动频率较高,它包含了晶格振动频率最高的振动模式.长声学支格波的特征是原胞内的不同原子没有相对位移,原胞做整体运动,振动频率较低,它包含了晶格振动频率最低的振动模式,波速是一常数.任何晶体都存在声学支格波,但简单晶格(非复式格子)晶体不存在光学支格波.4.低温时,由德拜模型,V随温度下降而快速下降。
当温度趋于零时,V亦趋于零。
比热随温度的下降速度T3。
高温时,比热与温度的关系更加符合爱因斯坦模型。
比热与温度的一次方呈正比。
当温度T极大时4,对绝缘体费米能级Ef必处在导带、禁带、价带的哪一个?为什么?5,原子间的排斥作用和吸引作用有何关系各自起主导的范围是什么在原子由分散无规的中性原子结合成规则排列的晶体过程中,吸引力起了主要作用。
在吸引力的作用下,原子间的距离缩小到一定的程度,原子间才出现排斥力。
当排斥力与吸引力相等时,晶体达到稳定结合状态。
可见,晶体要达到稳定结合状态,吸引力与排斥力缺一不可。
设此时相邻原子间的距离为r0,当相邻原子间的距离r>r0时,吸引力起主导作用;当相邻原子间的距离r<r0时,排斥力起主导作用6,固体能带论的两个基本假设是什么7,你认为单原子分子的晶格存在强烈的红外吸收吗?离子晶体晶格又如何?说明理由。
固体物理简答题及答案简答题1、原子结合成晶体时,原子的价电子产生重新分布,从而产生不同的结合力,分析离子性、共价性、金属性和范德瓦耳斯性结合力的特点。
答案:离子性结合:正、负离子之间靠库仑吸引力作用而相互靠近,当靠近到一定程度时,由于泡利不相容原理,两个离子的闭合壳层的电子云的交迭会产生强大的排斥力。
当排斥力和吸引力相互平衡时,形成稳定的离子晶体;共价性结合:靠两个原子各贡献一个电子,形成所谓的共价键;金属性结合:组成晶体时每个原子的最外层电子为所有原子所共有,因此在结合成金属晶体时,失去了最外层(价)电子的原子实“沉浸”在由价电子组成的“电子云”中。
在这种情况下,电子云和原子实之间存在库仑作用,体积越小电子云密度越高,库仑相互作用的库仑能愈低,表现为原子聚合起来的作用。
XXX耳斯性结合:惰性元素最外层的电子为8个,具有球对称的稳定封闭结构。
但在某一瞬时由于正、负电中心不重合而使原子呈现出瞬时偶极矩,这就会使其它原子产生感应极矩。
非极性分子晶体就是依靠这瞬时偶极矩的互作用而结合的。
2.什么叫简正振动形式?简正振动数量、格波数量或格波振动形式数量是不是是一回事?答案:为了使问题既简化又能抓住主要矛盾,在分析讨论晶格振动时,将原子间互作用力的泰勒级数中的非线形项忽略掉的近似称为简谐近似.在简谐近似下,由N个原子构成的晶体的晶格振动,可等效成3N个独立的谐振子的振动.每个谐振子的振动模式称为简正振动模式,它对应着所有的原子都以该模式的频率做振动,它是晶格振动模式中最简单最基本的振动方式.原子的振动,或者说格波振动通常是这3N个简正振动模式的线形迭加.简正振动数目、格波数目或格波振动模式数目是一回事,这个数目等于晶体中所有原子的自由度数之和,即等于3N.3.长光学支格波与长声学支格波本质上有何差别?答案:长光学支格波的特征是每个原胞内的不同原子做相对振动,振动频率较高,它包含了晶格振动频率最高的振动模式.长声学支格波的特征是原胞内的不同原子没有相对位移,原胞做整体运动,振动频率较低,它包含了晶格振动频率最低的振动模式,波速是一常数.任何晶体都存在声学支格波,但简单晶格(非复式格子)晶体不存在光学支格波.4.长声学格波能否导致离子晶体的宏观极化?答案:长光学格波所以能导致离子晶体的宏观极化,其根源是长光学格波使得原胞内不同的原子(正负离子)产生了相对位移.长声学格波的特点是,原胞内所有的原子没有相对位移.因此,长声学格波不能导致离子晶体的宏观极化.5.何谓极化声子?何谓电磁声子?答案:长光学纵波引起离子晶体中正负离子的相对位移,离子的相对位移产生出宏观极化电场,称长光学纵波声子为极化声子.由本教科书的(3.103)式可知,长光学横波与电磁场相耦合,使得它具有电磁性质,人们称长光学横波声子为电磁声子.6、什么是声子?答案:晶格振动的能量量子。
《固体物理学》概念和习题固体物理基本概念和思考题:1.给出原胞的定义。
答:最小平行单元。
2.给出维格纳-赛茨原胞的定义。
答:以一个格点为原点,作原点与其它格点连接的中垂面(或中垂线),由这些中垂面(或中垂线)所围成的最小体积(或面积)即是维格纳-赛茨原胞。
3.二维布喇菲点阵类型和三维布喇菲点阵类型。
4. 请描述七大晶系的基本对称性。
5. 请给出密勒指数的定义。
6. 典型的晶体结构(简单或复式格子,原胞,基矢,基元坐标)。
7. 给出三维、二维晶格倒易点阵的定义。
8. 请给出晶体衍射的布喇格定律。
9. 给出布里渊区的定义。
10. 晶体的解理面是面指数低的晶面还是指数高的晶面?为什么?11. 写出晶体衍射的结构因子。
12. 请描述离子晶体、共价晶体、金属晶体、分子晶体的结合力形式。
13. 写出分子晶体的雷纳德-琼斯势表达式,并简述各项的来源。
14. 请写出晶格振动的波恩-卡曼边界条件。
15. 请给出晶体弹性波中光学支、声学支的数目与晶体原胞中基元原子数目之间的关系以及光学支、声学支各自的振动特点。
(晶体含N个原胞,每个原胞含p个原子,问该晶体晶格振动谱中有多少个光学支、多少个声学支振动模式?)16. 给出声子的定义。
17. 请描述金属、绝缘体热容随温度的变化特点。
18. 在晶体热容的计算中,爱因斯坦和德拜分别做了哪些基本假设。
19. 简述晶体热膨胀的原因。
20. 请描述晶体中声子碰撞的正规过程和倒逆过程。
21. 分别写出晶体中声子和电子分别服从哪种统计分布(给出具体表达式)?22. 请给出费米面、费米能量、费米波矢、费米温度、费米速度的定义。
23. 写出金属的电导率公式。
24. 给出魏德曼-夫兰兹定律。
25. 简述能隙的起因。
26. 请简述晶体周期势场中描述电子运动的布洛赫定律。
27. 请给出在一级近似下,布里渊区边界能隙的大小与相应周期势场的傅立叶分量之间的关系。
28. 给出空穴概念。
29. 请写出描述晶体中电子和空穴运动的朗之万(Langevin)方程。
《固体物理学》概念和习题固体物理基本概念和思考题:1.给出原胞的定义。
答:最小平行单元。
2.给出维格纳-赛茨原胞的定义。
答:以一个格点为原点,作原点与其它格点连接的中垂面(或中垂线),由这些中垂面(或中垂线)所围成的最小体积(或面积)即是维格纳-赛茨原胞。
3.二维布喇菲点阵类型和三维布喇菲点阵类型。
4. 请描述七大晶系的基本对称性。
5. 请给出密勒指数的定义。
6. 典型的晶体结构(简单或复式格子,原胞,基矢,基元坐标)。
7. 给出三维、二维晶格倒易点阵的定义。
8. 请给出晶体衍射的布喇格定律。
9. 给出布里渊区的定义。
10. 晶体的解理面是面指数低的晶面还是指数高的晶面?为什么?11. 写出晶体衍射的结构因子。
12. 请描述离子晶体、共价晶体、金属晶体、分子晶体的结合力形式。
13. 写出分子晶体的雷纳德-琼斯势表达式,并简述各项的来源。
14. 请写出晶格振动的波恩-卡曼边界条件。
15. 请给出晶体弹性波中光学支、声学支的数目与晶体原胞中基元原子数目之间的关系以及光学支、声学支各自的振动特点。
(晶体含N个原胞,每个原胞含p个原子,问该晶体晶格振动谱中有多少个光学支、多少个声学支振动模式?)16. 给出声子的定义。
17. 请描述金属、绝缘体热容随温度的变化特点。
18. 在晶体热容的计算中,爱因斯坦和德拜分别做了哪些基本假设。
19. 简述晶体热膨胀的原因。
20. 请描述晶体中声子碰撞的正规过程和倒逆过程。
21. 分别写出晶体中声子和电子分别服从哪种统计分布(给出具体表达式)?22. 请给出费米面、费米能量、费米波矢、费米温度、费米速度的定义。
23. 写出金属的电导率公式。
24. 给出魏德曼-夫兰兹定律。
25. 简述能隙的起因。
26. 请简述晶体周期势场中描述电子运动的布洛赫定律。
27. 请给出在一级近似下,布里渊区边界能隙的大小与相应周期势场的傅立叶分量之间的关系。
28. 给出空穴概念。
29. 请写出描述晶体中电子和空穴运动的朗之万(Langevin)方程。
固体物理学·习题指导配合《固体物理学(朱建国等编著)》使用2020年6月21日第1章晶体结构 0第2章晶体的结合 (13)第3章晶格振动和晶体的热学性质 (22)第4章晶体缺陷 (35)第5章金属电子论 (39)第1章晶体结构有许多金属即可形成体心立方结构,也可以形成面心立方结构。
从一种结构转变为另一种结构时体积变化很小.设体积的变化可以忽略,并以R f和R b代表面心立方和体心立方结构中最近邻原子间的距离,试问R f/R b等于多少答:由题意已知,面心、体心立方结构同一棱边相邻原子的距离相等,都设为a:对于面心立方,处于面心的原子与顶角原子的距离为:R f=2a对于体心立方,处于体心的原子与顶角原子的距离为:R b=2a那么,Rf Rb晶面指数为(123)的晶面ABC是离原点O最近的晶面,OA、OB和OC分别与基失a1,a2和a3重合,除O点外,OA,OB和OC上是否有格点若ABC面的指数为(234),情况又如何答:晶面族(123)截a1,a2,a3分别为1,2,3等份,ABC面是离原点O最近的晶面,OA的长度等于a1的长度,OB的长度等于a2长度的1/2,OC的长度等于a3长度的1/3,所以只有A 点是格点。
若ABC面的指数为(234)的晶面族,则A、B和C都不是格点。
二维布拉维点阵只有5种,试列举并画图表示之。
答:二维布拉维点阵只有五种类型,两晶轴ba、,夹角ϕ,如下表所示。
4长方2,πϕ=≠ba简单长方(图中4所示)有心长方(图中5所示)1mm,2mm1 简单斜方2 简单正方3 简单六角4 简单长方5 有心长方二维布拉维点阵在六方晶系中,晶面常用4个指数(hkil)来表示,如图所示,前3个指数表示晶面族中最靠近原点的晶面在互成120°的共平面轴a1,a2,a3上的截距a1/h,a2/k,a3/i,第四个指数表示该晶面的六重轴c上的截距c/l.证明:i=-(h+k)并将下列用(hkl)表示的晶面改用(hkil)表示:(001)(133)(110)(323)(100)(010)(213)答:证明设晶面族(hkil)的晶面间距为d,晶面法线方向的单位矢量为n°。
1. 基元,点阵,原胞,晶胞,布拉菲格子,简单格子,复式格子。
基元:在具体的晶体中,每个粒子都是在空间重复排列的最小单元;点阵:晶体结构的显著特征就是粒子排列的周期性,这种周期性的阵列称为点阵; 原胞:只考虑点阵周期性的最小重复性单元;晶胞:同时计及周期性与对称性的尽可能小的重复单元;布拉菲格子:是矢量Rn=mA1+nA2+lA3全部端点的集合,A1,A2,A3分别为格点到邻近三个不共面格点的矢量;简单格子:每个基元中只有一个原子或离子的晶体;复式格子:每个基元中包含一个以上的原子或离子的晶体;2. 晶体的宏观基本对称操作,点群,螺旋轴,滑移面,空间群。
宏观基本对称操作:1、2、3、4、6、i 、m 、4,点群:元素为宏观对称操作的群螺旋轴:n 度螺旋轴是绕轴旋转2/n π与沿转轴方向平移T t j n=的复合操作 滑移面:对某一平面作镜像反映后再沿平行于镜面的某方向平移该方向周期的一半的复合操作空间群:保持晶体不变的所有对称操作3. 晶向指数,晶面指数,密勒指数,面间距,配位数,密堆积。
晶向(列)指数:布拉菲格子中所有格点均可看作分列在一系列平行直线族上,取一个格点沿晶向到邻近格点的位移基失由互质的(l1/l2/l3)表示;晶面指数:布拉菲格子中所有格点均可看作分列在一系列平行平面族上,取原胞基失为坐标轴取离原点最近晶面与三个基失上的截距的倒数由互质的(h1/h2/h3)表示;密勒指数:晶胞基失的坐标系下的晶面指数;配位数:晶体中每个原子(离子)周围的最近邻离子数称之为该晶体的配位数;面间距:晶面族中相邻平面的间距;密堆积:空间内最大密度将原子球堆砌起来仍有周期性的堆砌结构;4. 倒易点阵,倒格子原胞,布里渊区。
倒易点阵:有一系列在倒空间周期性排列的点-倒格点构成。
倒格点的位置可由倒格子基矢表示,倒格子基矢由…确定倒格子原胞:倒空间的周期性重复单元(区域),每个单元包含一个倒格点布里渊区:在倒格子中如以某个倒格点作为原点,画出所有倒格矢的垂直平分面,可得到倒格子的魏格纳塞茨原胞,即第一布里渊区5. 布拉格方程,劳厄方程,几何结构因子。
劳厄方程0(s s )m m R S λ⋅-=布拉格方程2sin hkl d m θλ=几何结构因子:对于一定的入射方向,晶胞所有原子或离子沿某一方向的散射波动幅度与一个电子的散射波的幅度之比6. 晶体的结合能,内聚能,内能,弹性模量。
内聚能:与分离成各个孤立原子的情况相比,各个原子聚合起来形成晶体后,系统的能量将下降c U ,常把c U 称为晶体的内聚能结合能:是把一个粒子从粒子系统中分离出来或者是将粒子系统全部分离开来所需要的能量内能:是晶体内部一切微观粒子的一切运动形式所具有的能量总和 弹性模量:m TP B V V ∂⎛⎫=- ⎪∂⎝⎭ 7. 晶格振动的简谐近似,波恩-卡门边界条件。
波恩-卡门边界条件:N 个原子连成一个环的周期性边界条件;8. 格波,晶格振动的色散关系,频隙,声学波,光学波,频谱分布函数。
格波:晶体中的原子的运动以平面波的形式在晶体中传播,故把晶格振动的波色散关系:即频率-波失关系频隙:布里渊区边界上声学支和光学支之间的频率间隙;声学波:声学波是晶格振动中频率比较低的、而且频率随波矢变化较大的那一支格波。
光学波:光学波是复式晶格振动中频率比较高的、而且频率随波矢变化较小的那一支格波。
()g ω:()g d ωω等于频率ω至d ωω+之间简正模式数目除以体积V9. 声子,声子热平衡分布,声子碰撞的正常过程和倒逆过程,非简谐近似。
声子:格波能量量子的形象化概念声子是波色子,服从波色统计分布。
在温度T 处于热平衡晶格中,声子ω的平均数目为:()/11q B k T n q e ω=- 声子的碰撞必须满足能量守恒和准动量守恒:123h q q q K +=+,对于0h K =的情形,碰撞过程中声子动量没有变化,称之为正常过程,否则,称为导逆过程10. 晶格振动的比热,德拜模型,爱因斯坦模型,热膨胀,热传导。
晶格振动的比热:高温时为常量,低温时与3T 成正比爱因斯坦模型:晶体中每个原子都已相同的频率独立的做简谐运动德拜模型:对于简单晶格结构的晶体,只有三支声频波,其中两支纵波,一支横波。
在低温下热能只能激发长波声子。
在长波极限下,晶体可以看作是各向同性的连续介质,格波就是弹性波。
热膨胀:在压力为零的条件下,晶体体积随温度的变化。
热传导:晶体内能流密度与温度梯度成正比11. 费米分布,费米能,电子态密度,自由电子的比热。
费米分布:费米子所遵循的统计分布(E )/1()1B k T f E e μ-=+ 费米能:基态中电子具有的最高能量。
电子态密度:晶体每单位体积在单位能量间隔内的状态数目。
自由电子的比热:22B e B Fk T c nk E π= 12. 布洛赫波, 布洛赫定理,自由电子近似,近自由电子近似,紧束缚近似。
布洛赫波:周期性势场中电子的波函数布洛赫定理:电子的波函数具有周期性调幅的平面波形式。
自由电子近似:假设正电荷背景是均匀分布的,则电子可视为自由电子近自由电子近似:势场随空间位置的变化不太强烈,以至势场的空间起伏可看作是对自由电子情形的微扰。
紧束缚近似:用原子轨道电子波函数作为试探波函数,只考虑最近邻原子轨道间的交叠积分13. 电子能带论的三个前提,能带,能隙,价带,导带。
三个前提:绝热近似,单电子近似,周期场近似能带:当原子处于孤立状态时,其电子能级可以用一根线来表示;当若干原子相互靠近时,能级组成一束线;当大量原子共存于内部结构规律的晶体中时,密集的能级就变成了带状,即能带。
能隙:不存在能级的能量范围就叫做禁带,禁带的宽度叫做能隙价带:价电子所处的能带导带:以填充但未填满电子的能带。
14.电子运动的准经典近似,电子的准动量,有效质量。
准经典近似:固体中电子对外加电磁场的相应有如一质量为有效质量的经典自由电子 电子的准动量:p k =有效质量:质量为m 的电子对外加场的响应;在准经典近似中,晶体电子在外力F 作用下具有加速度a ,所以参照牛顿第二定律定义的m=F/a 称作有效质量1. 为什么晶体没有五次旋转轴?因为它们不符合空间格子的规律,根据晶体的对称定律,正五边形是不可能无缝凭借的.因此,晶体中不可能出现与格子构造不相容的五次及以上的对称轴.2. 7大晶系是根据什么来划分的?基矢取向和长度3. 为什么布拉菲格子里没有底心四角或面心四角?底心四角少反应对称性;面心四角不多反应对称性且,体积大4. 在面心立方和体心立方结构中,面原子密度最大的晶面是哪族晶面?线原子密度最大的方向是什么晶向?线密度:fcc110,bcc111;面密度:fcc111,bcc1105.为什么不能用可见光来分析晶体的结构?可见光波长太长,不能形成明显衍射现象6.根据结合力的不同,可将晶体分成哪五个结合类型?它们的基本特性怎样?离子晶体:硬而脆,有较高的溶沸点,强健分子晶体:弱键分子间作用力的大小决定了晶体的物理性质。
分子的相对分子质量越大,分子间作用力越大,晶体熔沸点越高,硬度越大。
配位数越大,原子排的越密,则分子晶体的内均数值越大,分子晶体越稳定共价晶体:强健主要由共价键结合形成的晶体。
共价键的饱和性决定了共价晶体的配位数,它只能等于原子的共价键数,而具体的晶体结构有决定于共价键的方向性。
金属晶体:配位数大,导电,有良好的延展性氢键晶体:氢键晶体,氢键晶体的结合能一般比较低、氢键具有饱和性。
7.金刚石,氯化钠,氢晶体分别是那种结合?分子晶体,离子晶体,共价晶体8.晶体中排斥力的主要来源是什么?原子核之间的库伦排斥力,泡利不相容原创产生的排斥力9.固体宏观弹性的微观本质是什么?原子间存在着相互作用力10.简述固体经典比热理论,爱因斯坦模型,德拜模型的优缺点。
低温时,一维,二维,11.求晶格振动谱时,为什么要用周期性边界条件?与实验吻合好;方便求解原子运动方程;晶格的对称性要求12.声子碰撞中的动量守恒和能量守恒分别表示什么含义?动量守恒:周期性要求能量守恒:能量守恒定律13.为什么说热膨胀由非简谐效应产生?热膨胀系数与哪些量有关?在简谐作用近似范围,温度上升原子位移幅度增大,但其平衡位置始终不变,就不会出现热膨胀。
格林爱森常数,体变模量,单位体积定容比热14.晶格的热传导系数在高温和低温时与温度的依赖关系怎样?平均自由程与平均声子数成反比,高温下Cv不变,故而热膨胀系数与温度成反比。
低温下平均自由程由于缺陷等的存在,不可能无限增长,达到定值后,热膨胀系数与Cv成正比,故而正比于T的三次方15.体积为V,晶格常数为a的金刚石,其晶格振动的波矢的数目,格波的数目,声学支与光学支的数目分别是多少?一个原胞含2个原子,原胞体积a^3/4,原胞数4*V/a^3,共6只格波频谱,其中3只光学支,三支声学支,波失总数6*4*V/a^316.温度一定时,一个光学波的声子数多呢,还是声学波的声子数多?由于光学支格波频率高于声学支,所以声学波的声子数多(波色分布)17. 黄昆方程的物理意义是什么?是描述长光频波与电磁波相互耦合的基本方程18. 长光学纵波和长声学纵波能否导致离子晶体的宏观极化?为什么长声学格波等效于连续介质弹性波?长光学波能导致离子晶体的宏观极化,其根源是长光学格波使得原胞内不同的原子(正负离子)产生了相对位移,长声学格波的特点是,原胞内原子没有相对位移。
因此,长声学格波不能导致离子晶体的宏观极化。
长声学波频率和波矢呈线性关系19. 为什么说长光学横波的能量量子为电磁耦合子?因为长光学横波能与电磁波耦合20. LST 关系的物理意义是什么?ωT →0会发生什么?由于静电介电常数一般总是大于高频介电常数,所以,长光学纵波的频率总是大于长光学横波的频率静电介电常数无穷大,即晶体内部出现自极化21. 自由电子的费米能与哪些因素有关?电子气体的数密度22. 一维,二维,三维自由电子的态密度与温度关系是怎样的?23. 低温下固体的比热与温度关系是怎样的?为什么只有费米面附近的电子对比热有贡献?24. 近自由电子近似和紧束缚近似的适用范围有何不同?其波函数有什么不同?其能隙产生的原因有何不同?25. 近自由电子近似中什么情况用简并微扰?26. 周期场中运动的电子,在布里渊区边界, 其波矢和速度分别满足什么方程? 1002h h h k K K v K ⎛⎫+=⨯= ⎪⎝⎭; 27. 为什么周期场中电子的能量是波矢的偶函数和周期函数?28. 一个能带可填充多少个电子? 2N29. 为什么要引进电子有效质量这个物理量?进有效质量的意义在于它概括了晶体内部势场的作用,使得在解决晶体中电子在外力作用下的运动规律时,可以不涉及内部势场的作用。