高等数学不等式的证明试题及答案
- 格式:doc
- 大小:289.50 KB
- 文档页数:5
高三数学不等式证明试题答案及解析1.已知均为正数,证明:.【答案】证明见解析.【解析】不等式是对称式,特别是本题中不等式成立的条件是,因此我们可以用基本不等式,注意对称式的应用,如,对应的有,,这样可得①,同样方法可得,因此有②,①②相加,再应用基本不等式就可证明本题不等式了.因为a,b,c均为正数,由均值不等式得a2+b2≥2ab, b2+c2≥2bc, c2+a2≥2ac.所以a2+b2+c2≥ab+bc+ac.同理,故a2+b2+c2+≥ab+bc+ac+≥6.所以原不等式成立. 10分【考点】不等式的证明.2.已知a,b均为正数,且a+b=1,证明:(1)(2)【答案】见解析【解析】(1)因为a+b=1,所以,a-1=-b,b-1=-a,故=,当且仅当a=b时等号成立。
(2)==当且仅当a=b时等号成立。
3.在中,不等式成立;在凸四边形ABCD中,不等式成立;在凸五边形ABCDE中,不等式成立,,依此类推,在凸n边形中,不等式__ ___成立.【答案】【解析】我们可以利用归纳推理的方法得到不等式,从而得出结论.【考点】归纳推理.4.已知a,b,x,y均为正数且>,x>y.求证:>.【答案】见解析【解析】证明:∵-=,又>且a,b均为正数,∴b>a>0.又x>y>0,∴bx>ay.∴>0,即>.5.若a,b,c为不全相等的正数,求证:lg+lg+lg>lga+lgb+lgc.【答案】见解析【解析】证明:由a,b,c为正数,得lg≥lg;lg≥lg;lg≥lg.而a,b,c不全相等,所以lg+lg+lg>lg+lg+lg="lg" (abc)=lga+lgb+lgc.即lg+lg+lg>lga+lgb+lgc.6.下面四个图案,都是由小正三角形构成,设第个图形中有个正三角形中所有小正三角形边上黑点的总数为.图1 图2 图3 图4(Ⅰ)求出,,,;(Ⅱ)找出与的关系,并求出的表达式;(Ⅲ)求证:().【答案】(Ⅰ)12,27,48,75. (Ⅱ),.(Ⅲ)详见解析.【解析】(Ⅰ)求出,,,,第二个图形的黑点个数为第一个图形的黑点个数加上外面的三角形上的黑点个数,即,第三个图形的黑点个数为第二个图形的黑点个数加上外面的三角形上的黑点个数,即,以此类推可求出,;(Ⅱ)观察,,,可得到,后一个图形的黑点个数是前一个图形外多加一个三角形,而且每一条边都比内一个三角形多两个黑点,即,即,求出的表达式,像这种关系可用叠加法,即写出,,,,,把这个式子叠加,即可得出的表达式;(Ⅲ)求证:(),先求出的关系式,得,由于求证的不等式右边是常数,可考虑利用放缩法,即,这样既可证明.试题解析:(Ⅰ)由题意有,,,,,.(Ⅱ)由题意及(Ⅰ)知,,即,所以,,,, 5分将上面个式子相加,得:6分又,所以. 7分(Ⅲ),∴. 9分当时,,原不等式成立. 10分当时,,原不等式成立. 11分当时,,原不等式成立. 13分综上所述,对于任意,原不等式成立. 14分【考点】归纳推理,放缩法证明不等式.7.设正有理数是的一个近似值,令.(Ⅰ)若,求证:;(Ⅱ)比较与哪一个更接近,请说明理由.【答案】(Ⅰ)详见解析;(Ⅱ)比更接近.【解析】(Ⅰ)若,求证:,只需证即可,即;(Ⅱ)比较与哪一个更接近,只需比较它们与差的绝对值的大小,像这一类题,可采用作差比较法.试题解析:(Ⅰ),,.(Ⅱ),,,而,,所以比更接近.【考点】作差法证明不等式.8.设实数满足,求证:.【答案】详见解析.【解析】作差,分解因式,配方,判断符号.试题解析:作差得 1分4分. 6分因为,所以不同时为0,故,,所以,即有. 10分【考点】不等式的证明.9.设f(x)=lnx+-1,证明:(1)当x>1时,f(x)< (x-1);(2)当1<x<3时,f(x)<.【答案】(1)见解析(2)见解析【解析】证明:(1)(证法一)记g(x)=lnx+-1- (x-1).则当x>1时,g′(x)=+-<0,g(x)在(1,+∞)上单调递减.又g(1)=0,有g(x)<0,即f(x)< (x-1).(证法二)由均值不等式,当x>1时,2<x+1,故<+.①令k(x)=lnx-x+1,则k(1)=0,k′(x)=-1<0,故k(x)<0,即lnx<x-1.②由①②得,当x>1时,f(x)< (x-1).(2)(证法一)记h(x)=f(x)-,由(1)得h′(x)=+-=-<-=.令g(x)=(x+5)3-216x,则当1<x<3时,g′(x)=3(x+5)2-216<0.因此g(x)在(1,3)内是递减函数,又由g(1)=0,得g(x)<0,所以h′(x)<0.因此h(x)在(1,3)内是递减函数,又由h(1)=0,得h(x)<0.于是当1<x<3时,f(x)<. (证法二)记h(x)=(x+5)f(x)-9(x-1),则当1<x<3时,由(1)得h′(x)=f(x)+(x+5)f′(x)-9< (x-1)+(x+5)-9= [3x(x-1)+(x+5)(2+)-18x]<= (7x2-32x+25)<0.因此h(x)在(1,3)内单调递减,又,所以,即.10.( 本小题满分12分)已知集合中的元素都是正整数,且,对任意的且,有.(Ⅰ)求证:;(Ⅱ)求证:;(Ⅲ)对于,试给出一个满足条件的集合【答案】(Ⅰ) 证明:见解析;(Ⅱ)证明:见解析;(Ⅲ).【解析】(1)因为,对任意的且,有.所以两边分别相加得.即.(2)由(Ⅰ)可得;同理,所以,即.(3)由(1)知,令,可取大于1的任意整数,令;同理令;;,则,令,则,令,则,令,则,令.就得到满足条件的一个集合.(Ⅰ) 证明:依题意有,又,因此.可得.所以.即.…………………4分(Ⅱ)证明:由(Ⅰ)可得.又,可得,因此.同理,可知.又,可得,所以均成立.当时,取,则,可知.又当时,.所以.……………………………………………………8分(Ⅲ)解:对于任意,,由可知,,即.因此,只需对,成立即可.因为;;;,因此可设;;;;.由,可得,取.由,可得,取.由,可得,取.由,可得,取.所以满足条件的一个集合.……………12分其它解法,请酌情给分.11.选修4-5:不等式选讲(本小题满分10分)已知实数满足,且,求证:【答案】见解析。
专题2.16 导数-不等式的证明利用导数证明不等式问题,具体方法如下:(1)直接构造函数法:证明不等式()()f x g x >(或()()f x g x <)转化为证明()()0f x g x ->(或()()0f x g x -<),进而构造辅助函数()()()h x f x g x =-;(2)适当放缩构造法:一是根据已知条件适当放缩;二是利用常见放缩结论;(3)构造“形似”函数,稍作变形再构造,对不等式同解变形,根据相似结构构造辅助函数.1.已知函数()()ln f x x ax a =-∈R . (1)若()f x 存在极值,求a 的取值范围; (2)当1a =-时,求证:()1xf x xe ≤-.【试题来源】2021届高三下学期4月冲刺联考 【答案】(1)()0,∞+;(2)证明见解析.【分析】(1)对函数求导,分0a ≤和0a >两种情况,分别判断出函数的单调性与极值,可得a 的取值范围;(2)当1a =-时,设()2ln 1h x xe x x =---,()1xf x xe ≤-成立,即证明()0h x ≥,对函数求导判断出单调性和最值,可得命题成立. 【解析】(1)函数()f x 的定义域为()0,∞+,()11axf x a x x-'=-=, 当0a ≤时,对任意的0x >,()0f x '>, 故()f x 在()0,∞+上单调递增,()f x 无极值; 当0a >时,当10,x a ⎛⎫∈ ⎪⎝⎭时,()0f x '>,()f x 单调递增; 当1,x a ⎛⎫∈+∞⎪⎝⎭时,()0f x '<,()f x 单调递减. 故()f x 在1x a=处取得极大值,无极小值.综上所述,若()f x 存在极值,则a 的取值范围为()0,∞+. (2)当1a =-时,()1ln 1xxxe f x xe x x --=---.设()2ln 1h x xe x x =---,其定义域为()0,∞+,则证明()0h x ≥即可.()()11x x h x x e x +'=+-,设()()u x h x '=,则()()2120xu x x e x'=++>, 故函数()h x '在()0,∞+上单调递增.131022h ⎛⎫⎛⎫'=-< ⎪ ⎪ ⎪⎝⎭⎝⎭,()1220h e '=->.()0h x '∴=有唯一的实根01,12x ⎛⎫∈ ⎪⎝⎭,且01xe x =,00ln x x ∴=-.当00x x <<时,()0h x '<;当0x x >时,()0h x '>, 故函数()h x 的最小值为()0h x .()()0000000ln 1110x h x h x x e x x x x ∴≥=---=+--=. ()1x f x xe ∴≤-.【名师点睛】本题考查导数解决函数的单调性问题,考查导数证明不等式,解决本题的关键点是构造()2ln 1h x xe x x =---,将命题()1xf x xe ≤-成立,转化为证明()0h x ≥,对函数求导判断出单调性和最值,可得命题成立,考查学生逻辑推理能力和计算能力,属于中档题.2.已知函数()xf x e alnx =-.(1)若函数()f x 在定义域内为增函数,求实数a 的取值范围; (2)当2a e =时,求证:()0f x >.【试题来源】四川省绵阳市2021届高三第三次诊断 【答案】(1)(],0-∞;(2)证明见解析.【分析】(1)首先求出函数的导函数,依题意可得0x xe a x-≥在()0,∞+恒成立,再分0a ≤和 0a >两种情况讨论,即可得解;(2)易知()2xe f x e x'=-在()0,∞+上单调递增,再根据零点存在性定理可得存在()01,2x ∈,使得()00f x '=,即可得到()f x 在()00,x 单调递减,在()0,x +∞单调递增,即可得证.【解析】(1)由()x f x e alnx =-,得()()0xaf x e x x'=->. 函数()f x 在定义域内为增函数,()0x xa xe af x e x x-'∴=-=≥在()0,∞+恒成立.当0a ≤时,()0f x '≥,满足题意;当 0a >时,设()()0xh x xe a x =->.易得()()10xh x x e '=+>,∴函数()h x 在()0,∞+上为增函数,()()00h x h a ∴>=-≥,即0a ≤与 0a >矛盾.综上,实数a 的取值范围为(],0-∞.(2)易知()2xe f x e x'=-在()0,∞+上单调递增,又()210f e e '=-<,()2202ef '=>,∴存在()01,2x ∈,使得()00f x '=,即02x c e x =,002lnx x ∴=-.当()00,x x ∈时,()0f x '<,当()0,x x ∈+∞时,()0f x '>,∴函数()f x 在()00,x 单调递减,在()0,x +∞单调递增.()()02222222000001 22220x e f x e e lnx e x e x e e e x x ⎛⎫∴≥-=--=+->- ⎪⎭=⎝.()0f x ∴>.【名师点睛】导函数中常用的两种常用的转化方法:一是利用导数研究含参函数的单调性,常化为不等式恒成立问题.注意分类讨论与数形结合思想的应用;二是函数的零点、不等式证明常转化为函数的单调性、极(最)值问题处理.3.已知对任意0x ≥,()()ln 102axf x x x =+-≥+恒成立 (1)求a 的范围; (2)证明:11123599++⋅⋅⋅+<.(参考数据:e 2.7=,2e 7.4=,3e 20.1=,4e 50.6=,5e 148.4=)【试题来源】百校联盟2021届高考复习全程精练模拟卷新高考(辽宁卷)数学(二)试题 【答案】(1)(],2-∞;(2)证明见解析.【分析】(1)求出导函数,分成2a ≤和2a >两种情况讨论,求出a 的范围; (2)由(1)构造21ln 21n n n+<+,对n 取1,2,3……48后用累加法求和可得. 【解析】(1)()()()()()()()22242421201212x a x a af x x x x x x +-+-'=-=≥++++, 令()()()24242g x x a x a =+-+-,当2a ≤时,()0g x ≥即()0f x '≥恒成立,故()f x 在()0,∞+单调递增, 又()00f =,故()0f x ≥恒成立,当2a >时,由()0420g a =-<,设00x >且()00g x =,则00x x <<时,()0g x <即()0f x '<,因此在()00,x 上()f x 单调递减, 又()00f =,故00x x <<时,()0f x <,不符合题意, 综上,a 的取值范围为(],2-∞.(2)由(1)知,取2a =,当0x >时,()2ln 12xx x +>+, 故对*n N ∈,12121ln 1ln 1212n n n n n n+⎛⎫<+⇒< ⎪+⎝⎭+,所以422223502350ln ln ln ln ln 50ln e 4359912491249⎛⎫++⋅⋅⋅+<++⋅⋅⋅+=⋅⋅⋅⋅=<= ⎪⎝⎭,所以11123599++⋅⋅⋅+<. 【名师点睛】(1)恒成立求参数的范围的处理方法:①参变分离,转化为不含参数的最值问题;②不能参变分离,直接对参数讨论,研究()f x 的单调性及最值;③特别地,个别情况下()()f x g x >恒成立,可转换为()()min max f x g x >(二者在同一处取得最值). (2)利用导数证明不等式的形式比较多,其本质是利用导数判断单调性,利用单调性比较大小.4.设函数2()(ln )(0)f x x a x a x a =-+≠. (1)讨论()f x 的单调性;(2)当0a >时,若()f x 的最小值为0,证明:222231+++ln(1)()12n n n N n*+⋅⋅⋅>+∈. 【试题来源】内蒙古赤峰市2021届高三下学期3月模拟考试 【答案】(1)答案见解析;(2)证明见解析.【分析】(1)先求函数的导数,然后结合定义域分类讨论;(2)由()min 0f x =,得1a =,从而2ln x x x -≥, 令*11,n x n N n +=>∈,有()211ln ln 1ln n n n n n n ++⎛⎫>=+- ⎪⎝⎭,由不等式的可加性可获得证明.【解析】(1)由题意函数()f x 的定义域为()0,∞+,()()()2222'21x a x a a x ax af x x a x x x +---⎛⎫=-+== ⎪⎝⎭,当0a >时,()()()()0,,'0,,,'0x a f x x a f x ∈<∈+∞>, 所以()f x 在()0,a 上单调递减,在(),a +∞上单调递增; 当0a <时,()()0,,'0,,,'022a a x f x x f x ⎛⎫⎛⎫∈-<∈-+∞> ⎪ ⎪⎝⎭⎝⎭, 所以()f x 在0,2a ⎛⎫- ⎪⎝⎭上单调递减,在,2a⎛⎫-+∞ ⎪⎝⎭上单调递增.(2)由(1)知()()2min ln 0f x f a a a ==-=,所以1a =,所以()2ln 0f x x x x =--≥,即2ln x x x -≥,对于任意0x >恒成立,当且仅当1x =时,等号成立,令*11,n x n N n +=>∈,则2111ln n n n n n n +++⎛⎫⎛⎫⎛⎫-> ⎪ ⎪ ⎪⎝⎭⎝⎭⎝⎭,整理得()211ln ln 1ln n n n n n n ++⎛⎫>=+- ⎪⎝⎭, 所以()()()()222231···ln 2ln1ln 3ln 2?··ln 1ln ln 112n n n n n ++++>-+-+++-=+⎡⎤⎣⎦. 【名师点睛】含有参数的单调性讨论,一般要注意定义和找准临介值,证明和数列有关的不等式,一是要注意结合单调性和最值找到恰当的不等式,二是不等式可加性或可乘性的运用. 5.已知函数21()cos 22f x x x =+-,21()sin e 2bx g x x x =+-. (1)求函数()f x 的最小值;(2)若关于x 的不等式()()f x g x ≥在[0,)x ∈+∞恒成立,求实数b 的取值范围. 【试题来源】山东省聊城市2021届高三二模联考 【答案】(1)1-;(2)[1,+)∞.【分析】(1)求导分析单调性从而求得最小值;(2)不等式()()f x g x ≥等价于e sin cos 20bx x x -+-≥,设()e sin cos 2bxp x x x =-+-,通过求导讨论参数分析单调性,求得最小值,即可求得结果. 【解析】(1)21()cos 22f x x x =+-,()sin f x x x '=-. 令()sin h x x x =-,则()1cos h x x '=-因为()0h x '≥在R 上恒成立,所以()h x 在R 上单调递增.因为(0)0h =,所以当0x <时,()0h x <;当0x >时,()0h x >. 即(0)0f '=,当0x <时,()0f x '<;当0x >时,()0f x '>, 所以()f x 在(],0-∞上单调递减,在[)0,+∞上单调递增,因此,()f x 的最小值为(0)1f =-;(2)不等式()()f x g x ≥等价于e sin cos 20bx x x -+-≥.设()e sin cos 2bxp x x x =-+-,则由题意得()0p x ≥在[0,)x ∈+∞内恒成立,()e cos sin bx p x b x x '=--,(0)1p b '=-.①当1b <时,(0)0p '<,这时00x ∃>,使当()00,x x ∈时,()0p x '<, 从而()p x 在[]00,x 上单调递减,因为(0)0p =,所以当()00,x x ∈时,()0p x <,这与()0p x ≥在[0,)+∞内恒成立不符.②当1b ≥时,对于任意的0x ≥,bx x ≥,从而e e bx x ≥,这时()e sin cos 2xp x x x ≥-+-. 设()e sin cos 2xq x x x =-+-,则()e cos sin xq x x x '=--设()e 1xx x ϕ=--,则()e 1xx ϕ'=-,当0x ≥时,()0x ϕ'≥,所以()ϕx 在[0,+)∞上单调递增, 因为(0)0ϕ=,所以当0x ≥时,()0x ϕ≥,即e 1x x ≥+, 因此,()1cos sin 0q x x x x '≥-+-≥,所以()q x 在0,+上单调递增,因为(0)0q =,所以当0x ≥时,()0q x ≥,从而()0p x ≥. 综上,实数b 的取值范围为[1,+)∞.【名师点睛】已知不等式能恒成立求参数值(取值范围)问题常用的方法: (1)函数法:讨论参数范围,借助函数单调性求解;(2)分离参数法:先将参数分离,转化成求函数的值域或最值问题加以解决;(3)数形结合法:先对解析式变形,进而构造两个函数,然后在同一平面直角坐标系中画出函数的图象,利用数形结合的方法求解.6.(11(1)2xx ≤+≥-; (2)已知1()xf x e x a=+-,求0f x 的根的个数;(3)求证:若0x >,则21(42xe x x >+-. 【试题来源】辽宁省“决胜新高考名校交流“2021届高三3月联考【答案】(1)证明见解析;(2)当1a <时,函数()f x 没有零点;当1a =时,()f x 有一个零点;当1a >时,函数()f x 有两个零点;(3)证明见解析.【分析】(1)用分析法分析“1(1)2x x +≥-,只需证2114x x x +≤++,只需证204x ≥”,用综合法写出证明过程.(2)由指数函数0x e >,结合符号法则先分段讨论,易知当(,)x a ∈+∞时,无零点;当(,)x a ∈-∞时,将分式型函数零点转化为整式型函数的零点问题,构造研究新函数的单调性与极值;再分类讨论极值与0的大小,最后利用零点存在性定理确定零点个数;(3)借助(1)中已证不等式,将根式形式转化为一次形式,再构造新函数,求证新函数最小值大于零即可.其中最小值在求解时,要注意导函数隐零点问题的处理,利用零点满足的等量关系将指数运算降阶回代,从而达到化简求值的目的.【解析】(1)证明:当1x ≥-时,24x ≥,且102x +>,1122x x≤=+=+(当且仅当0x =时,等号成立).1(1)2xx ≤+≥-. (2)1()xf x e x a=+-,(,)(,)x a a ∴∈-∞⋃+∞,当x a >时,0x e >,10x a>-,则()0f x >恒成立,∴函数()f x 没有零点; 当x a <时,1()1()xxe x af x e x a x a-+=+=--. 令()()1xh x e x a =-+,()h x 的零点即为函数()f x 的零点.则()(1)xh x e x a '=-+,令()0h x '=,解得1x a =-,∴当(,1)x a ∈-∞-时,()0h x '<,()h x 是减函数;当(1,)x a a ∈-时,()0h x '>,()h x 是增函数,∴函数()h x 在(,)a -∞上的最小值为1(1)1a h a e --=-.当1a =时,()10h a -=,又10a -=,即0是函数()f x 的唯一的零点; 当1a <时,1(1)10a h a e --=->, ∴函数()f x 没有零点;当1a >时,1(1)10a h a e--=-<,又()()110ah a e a a =-+=>,且()h x 在(1,)a a -是增函数,由零点存在性定理知,()h x 在(1,)a a -有且仅有一个零点;又22()()11a aa aa e a h a e a a e e---=--+=-+=,令()2ag a e a =-, 则()20ag a e '=->,()g a ∴在(1,)+∞是增函数,则()(1)20g a g e >=->,即()0h a ->,又(1)0h a -<,且()h x 在(,1)a -∞-是减函数, 由零点存在性定理知,()h x 在(,1)a -∞-有且仅有一个零点; 故当1a >时,函数()f x 有两个零点.综上所述,当1a <时,函数()f x 没有零点;当1a =时, ()f x 有一个零点;当1a >时,函数()f x 有两个零点.(3)证明:由(1)知当0x >12x<+, ∴只需证当0x >时,21(2)1422x x e x x ⎛⎫>+++- ⎪⎝⎭.设221()(2)142222x x x M x e x x e x x ⎛⎫=-++-+=--+ ⎪⎝⎭,则()22xM x e x '=--.令()22xx e x ϕ=--,则()2xx e ϕ'=-,由()0x ϕ'=,解得ln 2x =,当(0,ln 2)x ∈,()0x ϕ'<,()ϕx 在()0,ln 2上单调递减,且()(0)10x ϕϕ<=-<,()ϕx 无零点,当()ln 2,x ∈+∞,()0x ϕ'>,()ϕx 在()ln 2,+∞上单调递增.又(ln 2)2ln 20ϕ=-<,且2(2)60e ϕ=->,()M x '∴在0,上只有一个零点0x ,0ln 22x <<,且0x 满足000()220xM x e x '=--=,即0022x ex =+,()M x ∴在()00,x 上单调递减,在()0,x +∞上单调递增,022min 000()2240x M x e x x x ∴=--+=->,即()0M x >.21(2)1422x x e x x ⎛⎫∴>+++- ⎪⎝⎭.又12x +>20x +>,21(42x e x x ∴>+-. 【名师点睛】这是一类借助导函数隐零点求解函数最值的问题.通常的思维过程分为观察、判断、虚设、回代几个阶段,首先观察有无特殊零点,其次判断是否存在零点,如果存在,则设出零点,分析原函数的单调性,判定隐零点处取到函数最值,最后找出零点满足的等量关系回代求值,回代过程中注意运算在降阶角度的分析,如本题中指数运算简化为二次运算求值.7.已知函数()sin f x ax x =-,()(0,)x a R ∈+∞∈. (1)若()0f x >,求a 的取值范围;(2)当1a =时,证明:2()cos xf x x e -+>.【试题来源】2021届云南省昆明市高考“三诊一模”第二次教学质量检测 【答案】(1)[1,)+∞;(2)证明见解析.【分析】(1)对函数f (x )求导,按导函数值恒正、恒负、可正可负三类讨论,求解得a 的范围;(2)利用分析法把要证不等式等价转化为(22sin cos )1xx x x e -+>,再构造函数,利用函数单调性推理得证. 【解析】(1)()cos f x a x '=-,当1a ≥时,()0f x '≥,函数()f x 在(0,)+∞单调递增,故()(0)0f x f >=,满足题意;1a ≤-时,()0f x '≤,函数()f x 在(0,)+∞单调递减,故()(0)0f x f <=,不满足题意; 11a -<<时,令()0f x '=,在(0,)π上存在0x ,使得0cos x a =成立,故00x x <<时,()0f x '<,()f x 在0(0,)x 单调递减,则()(0)0f x f <=,不满足题意, 综上:a 的取值范围是[1,)+∞; (2)1a =时,()sin f x x x =-,要证2()cos xf x x e -+>,即证22sin cos x x x x e --+>,即证(22sin cos )1xx x x e -+>,设()(22sin cos )xg x x x x e =-+,则()[(22cos sin )(22sin cos )]xg x x x x x x e '=--+-+,[2(sin )2)]4x x x x e π=-++,由(1)得sin x x >,而2)204x π+≥>,即()0h x '>,()g x 在(0,)+∞单调递增,()(0)1g x g >=,所以(0,)x ∀∈+∞,1a =时,2()cos xf x x e -+>.【名师点睛】(1)由不等式成立,求参数范围,可以分离参数,转化为恒成立问题;也可以求导,再对参数分类讨论处理.(2)证明函数不等式,通过等价转化,构造新函数,利用函数的性质解决. 8.已知函数()2ln f x x ax x x =--,a ∈R .(1)若()f x 在[)1,+∞单调递增,求a 的取值范围;(2)若n +∈N ,求证:23111111113333n ⎛⎫⎛⎫⎛⎫⎛⎫++++< ⎪⎪⎪ ⎪⎝⎭⎝⎭⎝⎭⎝⎭【试题来源】甘肃省2021届第二次高考诊断 【答案】(1)(],1-∞;(2)证明见解析.【分析】(1)由函数()y f x =在[)1,+∞上单调递增,则()0f x '≥在[)1,+∞上恒成立,由()min 12ln a x x +≤-求解.(2)由(1)的结论,取1a =,有()()10f x f ≥=,即ln 1≤-x x在[)1,+∞上恒成立,然后令113n n x =+,有11ln 133nn ⎛⎫+≤ ⎪⎝⎭求解. 【解析】(1)因为函数()y f x =在[)1,+∞上单调递增, 所以()()2ln 10f x x a x '=--+≥在[)1,+∞上恒成立,则有12ln a x x +≤-在[)1,+∞上恒成立,即()min 12ln a x x +≤-. 令函数()2ln g x x x =-,()12g x x'=-, 所以[)1,x ∈+∞时,()0g x '>,()g x 在[)1,+∞上单调递增,所以()()min 12g x g ==,所以有12a +≤,即1a ≤,因此(],1a ∈-∞. (2)由(1)可知当(],1a ∈-∞时,()2ln f x x ax x x =--为增函数,不妨取1a =,则有()2ln f x x x x x =--在[)1,+∞上单调递增,所以()()10f x f ≥=,即有ln 1≤-x x 在[)1,+∞上恒成立, 令113n n x =+,则有11ln 133nn ⎛⎫+≤ ⎪⎝⎭, 所以()22111111ln 1ln 1ln 1333333n nn +⎛⎫⎛⎫⎛⎫++++++≤+++∈ ⎪ ⎪ ⎪⎝⎭⎝⎭⎝⎭N , 所以()2111111ln 1111333232n n n +⎡⎤⎛⎫⎛⎫⎛⎫⎛⎫+++≤-<∈ ⎪⎪ ⎪ ⎪⎢⎥⎝⎭⎝⎭⎝⎭⎝⎭⎣⎦N ,因此1223111111113333n e ⎛⎫⎛⎫⎛⎫⎛⎫++++<= ⎪⎪⎪ ⎪⎝⎭⎝⎭⎝⎭⎝⎭. 【名师点睛】(1)利用导数研究函数的单调性的关键在于准确判定导数的符号,当f (x )含参数时,需依据参数取值对不等式解集的影响进行分类讨论.(2)若可导函数f (x )在指定的区间D 上单调递增(减),求参数范围问题,可转化为f ′(x )≥0(或f ′(x )≤0)恒成立问题,从而构建不等式,要注意“=”是否可以取到. 9.已知函数()ln ()mf x x mx m x=--∈R . (1)讨论函数()f x 的单调性;(2)若1m =,求证:11[()]ln(1)1ea f x x a x ++-+-<.【试题来源】普通高等学校招生全国统一考试数学预测卷(三) 【答案】(1)答案见解析;(2)证明见解析.【分析】(1)2221()m mx x m f x m x x x++'=---=-,0x >,分0m =,0m ≠两种情况,根据二次函数的性质,利用判别式结合函数的定义域,由导数的正负判断;(2)将证明111ln ln(1)1e a x a x x +⎛⎫--+-< ⎪⎝⎭,转化为证11ln(1)e 1(1ln )ea a x x x ax x ++++--<然后令()1ln h x x x ax =--, ()()ln(1)0k x x x x =+->,用导数法证明.【解析】(1)2221()m mx x mf x m x x x++'=---=-,0x >, 若0m =,则1()0f x x'=-<,函数()f x 在(0,)+∞上单调递减. 若0m ≠,则二次函数2y mx x m =++的判别式214m ∆=-, 当0∆≤,即12m ≤-或12m ≥时, 若12m ≤-,则()0f x '≥,等号不恒成立,函数()f x 在(0,)+∞上单调递增; 若12m ≥,则()0f x '≤,等号不恒成立,函数()f x 在(0,)+∞上单调递减. 当0∆>,即1122m -<<且0m ≠时,令()0f x '=,即20mx x m ++=,此时1x =2x =,121x x m +=-,121=x x ,若102m <<,则1x ,20x <,此时()0f x '<恒成立,函数()f x 在(0,)+∞上单调递减; 若102m -<<,则210x x <<,当()20,x x ∈时,()0f x '>, 当()21,x x x ∈时()0f x '<,当()1,x x ∈+∞时,()0f x '>,即函数()f x 在()20,x 和()1,x +∞上单调递增,在()21,x x 上单调递减. 综上,当0m ≥时,函数()f x 在(0,)+∞上单调递减; 当12m ≤-时,函数()f x 在(0,)+∞上单调递增;当102m -<<时,函数()f x 在⎛ ⎝⎭和⎫+∞⎪⎪⎝⎭上单调递增,在1122m m ⎛⎫-+--⎪ ⎪⎝⎭上单调递减. (2)要证111ln ln(1)1e a x a x x +⎛⎫--+-<⎪⎝⎭,即证11ln(1)e 1(1ln ) ea a x x x ax x ++++--<.记()1ln h x x x ax =--,则()ln 1h x x a '=---,令()0h x '=,得(1)e a x -+=, 当()(1)0,e a x -+∈时,()0h x '>,()h x 单调递增;当()(1)e,a x -+∈+∞时,()0h x '<,()h x 单调递减,所以()1(1)111e 1()e1eea a a a h x h +-++++≤=+=.令()()ln(1)0k x x x x =+->,则()11011x k x x x'=-=-<++, 所以()k x 在()0,∞+上递减,则()()00k x k <=,即ln(1)(0)x x x +<>恒成立,所以11ln(1)e 1(1ln )ea a x x x ax x ++++--<恒成立,故11[()]ln(1)1ea f x x a x ++-+-<.【名师点睛】判断函数的单调性,求函数的单调区间、极值等问题,最终归结到判断f ′(x )的符号问题上,而f ′(x )>0或f ′(x )<0,最终可转化为一个一元一次或一元二次不等式问题.若含参数,则含参数的二次不等式的解法常常涉及到参数的讨论问题,只要把握好下面的四个“讨论点”,一切便迎刃而解.分类标准一:二次项系数是否为零,目的是讨论不等式是否为二次不等式;分类标准二:二次项系数的正负,目的是讨论二次函数图象的开口方向;分类标准三:判别式的正负,目的是讨论二次方程是否有解;分类标准四:两根差的正负,目的是比较根的大小.10.已知函数()ln f x x x =. (1)求曲线()y f x =在点()e,e 处的切线方程(2)若5()e ()2xg x f x x =-,求证:当1≥x 时,()3g x >-. 【试题来源】普通高等学校招生全国统一考试数学预测卷(六) 【答案】(1)2e 0x y --=;(2)证明见解析.【分析】(1)求导数,得切线斜率,由点斜式写出直线方程并整理;(2)题意即证当1≥x 时,5e ln 302x x x x -+>.利用1≥x 时,e 1x x >≥放缩,255e ln 3ln 322x x x x x x x -+>-+,只要证25ln 302x x x -+>,为此构造新函数253()ln 2h x x x x =-+,利用导数求得它的最小值妈可完成证明.【解析】本题考查导数的几何意义、利用导数研究函数的单调性、最值,不等式的证明. (1)()ln 1f x x '=+(0)x >,(e)ln e 12f '=+=,所以曲线()y f x =在点(e,e)处的切线方程为2(e)e y x =-+,整理得2e 0x y --=. (2)要证当1≥x 时,()3g x >-, 即证当1≥x 时,5e ln 302xx x x -+>. (利用放缩法进行放缩,然后证明25ln 302x x x -+>,即可证明5e ln 302x x x x -+>) 当1≥x 时,e 1x x >≥恒成立,ln 0x ≥,所以2e ln ln x x x x x ≥,故有255e ln 3ln 322xx x x x x x -+≥-+. 若证得25ln 302x x x -+>,即可证得5e ln 302xx x x -+>.下面证明25ln 302x x x -+>.不等式两侧同时除以2x 可将不等式转化为253ln 02x x x-+>, (构造函数253()ln 2h x x x x=-+,根据函数()h x 的单调性求得函数()h x 在区间[)1,+∞上的最小值,根据最小值大于0证得结果)令253()ln 2h x x x x =-+,则223331562512(4)(23)()222x x x x h x x x x x x+-+-=+-==', 当312x ≤<时,()0h x '<,()h x 单调递减; 当32x >时,()0h x '>,()h x 单调递增.所以当1≥x 时,2335331()ln ln 0322233222h x h ⎛⎫≥=-+=-> ⎪⎝⎭⎛⎫⨯ ⎪⎝⎭, 故当1≥x 时,()3g x >-.所以原不等式成立.【名师点睛】本题考查导数的几何意义,考查用导数证明不等式.证明不等式关键是在于转化,一是利用不等式的放缩简化函数式,二是构造新函数,转化为求新函数的最值. 11.设0x >,()ln 1x a x ≤-恒成立. (1)求a 的取值集合;(2)设0x >,证明:()11xf x x ⎛⎫=+ ⎪⎝⎭是增函数,且()e f x <(e 为自然对数的底数).【试题来源】2021届新高考同一套题信息原创卷(三) 【答案】(1){}1;(2)证明见解析.【分析】(1)构造函数()()()ln 10f x x a x x =-->,利用导数与最值的关系,求出()f x 的最大值,并利用()f x 的最大值小于等于0,即可求出a 的取值集合;(2)令()()()1ln ln 10m x f x x x x ⎛⎫==+> ⎪⎝⎭,并讨论()m x 的单调性,再利用复合函数单调性证明()f x 是增函数,将证明()e f x <转化为证明()ln 1f x <,再转化为证明1ln 11x x ⎛⎫+< ⎪⎝⎭即可.【解析】(1)原不等式恒成立等价于()ln 10x a x --≤恒成立,设函数()()()ln 10f x x a x x =-->,由于1x >时,ln 0x >,所以0a >.()1f x a x '=-,当10x a<<时,()0f x '>; 当1x a<时,()0f x '<,所以()f x 的最大值为11ln 11ln f a a aa a ⎛⎫=-+=-- ⎪⎝⎭,原不等式恒成立等价于()f x 的最大值1ln 0a a --≤. 设()()1ln 0g a a a a =-->,()11g a a'=-,同理可知()g a 的最小值为()10g =,所以1ln 0a a --≥, 所以使得1ln 0a a --≤的a 的取值集合为{}1. (2)证明:设()()()()1ln ln 1ln 1ln 0m x f x x x x x x x ⎛⎫==+=+->⎡⎤ ⎪⎣⎦⎝⎭, 则()1ln 111x m x x x⎛⎫'=++- ⎪+⎝⎭1ln 11x x x x +=+-+. 令()011x t t x =<<+,在1ln ln x t x+=-,设()()1ln m x h t t t '==--. 由(1)的结论知()0h t ≥(1t =时取等号),所以()0h t >,即()0m x '>, 所以0x >时,()m x 是增函数,而ln y x =也是增函数,所以0x >时,()11xf x x ⎛⎫=+ ⎪⎝⎭是增函数.要证明()e f x <等价于证明()ln 1f x <,即证1ln 11x x ⎛⎫+< ⎪⎝⎭,即证11ln 1x x⎛⎫+< ⎪⎝⎭, 设11k x +=,则()111k k x=->,即证()ln 11k k k <->, 由(1)的结论知ln 1k k ≤-(当且仅当1k =时取等号),由于1k >, 所以ln 1k k <-,即()e f x <成立.【名师点睛】求解不等式恒成立时参数的取值范围问题,一般常用分离参数的方法,但是如果分离参数后对应的函数不便于求解其最值,或者求解其函数最值繁琐时,可采用直接构造函数的方法求解. 12.已知函数2()ln (0)a af x x a x x =-+≠. (1)当1a =时,求()f x 的极值; (2)当0a >时,证明:不等式23()22a f x x x <+-成立. 【试题来源】2021年高考预测押题密卷Ⅰ卷【答案】(1)极小值0,无极大值;(2)证明见解析.【分析】(1)利用导数求得()f x 的单调区间,进而求得()f x 的极值.(2)化简不等式,通过构造函数法,结合导数证得不等式成立. 【解析】(1)当1a =时,()()211ln 0f x x x x x=-+>, ()()()2'2333211122x x x x f x x x x x x+-+-=+-==, 所以()f x 在区间()0,1上()'0fx <,()f x 递减,在区间()1,+∞上()'0f x >,()f x 递增.所以()f x 在1x =处取得极小值()10f =,没有极大值. (2)要证0a >时,不等式23()22a f x x x <+-成立, 即证223ln 22a a a x x x x x -+<+-成立,即证3ln 202a x x x --+<成立. 构造函数()()3ln 20,02a g x x x x a x =--+>>,()2'22x x a g x x-++=, 由于22y x x a =-++开口向下,对称轴为14x =,过点()0,,0a a >, 所以22y x x a =-++存在零点0x ,且012x >. 22000020,2x x a a x x -++==-,所以()g x 在区间()00,x 上()'0g x >,()g x 递增,在区间()0,x +∞上()'0g x <,()g x 递减.所以当0x x =时,()g x 取得极大值也即是最大值为()2000000000002335ln 2ln 2ln 4222x x a g x x x x x x x x x -=--+=--+=-+,'5114ln 4,42xy x x y x x -=-+=-=,所以5ln 42y x x =-+在区间1,2⎛⎫+∞ ⎪⎝⎭上递减,当12x =时,151ln 2ln 2ln 2ln ln102222y =-+=-==<=, 所以()0005ln 402g x x x =-+<, 即3ln 202a x x x --+<成立.【名师点睛】证明含有参数的不等式恒成立问题,可利用构造函数法,结合导数来进行证明. 13.已知函数f (x )=1+2m x ln x ﹣1(m ∈R )的两个零点为x 1,x 2(x 1<x 2). (1)求实数m 的取值范围;(2)求证:12112.x x e+> 【试题来源】备战2021年高考数学全真模拟卷 【答案】(1)02em <<;(2)证明见解析. 【分析】(1)求导数,分类讨论,利用函数1()ln 12m f x x x =+-(m ∈R )的两个零点,得出11ln 2022m -<,即可求实数m 的取值范围;(2)由题意方程ln 22t m t+=有两个根为t 1,t 2,不妨设111t x =,221t x =,要证明12112e x x +>,即证明122t t e+>,即证明()122h t h t e ⎛⎫<- ⎪⎝⎭.令2()()x h x h x e ϕ⎛⎫=-- ⎪⎝⎭,证明()0x ϕ<对任意10,e x ⎛⎫∈ ⎪⎝⎭恒成立即可.【解析】(1)22()2x mf x x'-=. ①0m ≤时,()0f x '>,f (x )在(0,+∞)上单调递增,不可能有两个零点; ②m >0,()0f x '>可解得x >2m ,()0f x '<可解得0<x <2m , 所以f (x )在(0,2m )上单调递减,在(2m ,+∞)上单调递增, 所以min 11()(2)ln 222f x f m m ==-, 由题意,11ln 2022m -<,所以02em <<; (2)证明:令1t x=,11ln 102f mt t x ⎛⎫=--= ⎪⎝⎭,由题意方程ln 22t m t+=有两个根为t 1,t 2,不妨设111t x =,221t x =,令12()2nt h t t +=,则2ln 1()2t h t t '+=-, 令()0h t '>,可得10<<t e ,函数单调递增;()0h t '<,可得1t e>,函数单调递减.由题意,1210t t e>>>, 要证明12112e x x +>,即证明122t t e +>,即证明()122h t h t e ⎛⎫<- ⎪⎝⎭. 令2()()x h x h x e ϕ⎛⎫=--⎪⎝⎭, 下面证明()0x ϕ<对任意10,e x ⎛⎫∈ ⎪⎝⎭恒成立,222ln 1ln 1()222x x e x x x e ϕ⎛⎫--- ⎪--⎝⎭=+⎛⎫- ⎪⎝⎭', 因为10,e x ⎛⎫∈ ⎪⎝⎭,所以ln 10x -->,222x x e ⎛⎫<- ⎪⎝⎭, 22222ln 1ln 2ln 1()0222222x x x x e e x x x x e e e ϕ⎛⎫⎛⎫-----+- ⎪ ⎪--⎝⎭⎝⎭∴>+=>⎛⎫⎛⎫⎛⎫--- ⎪ ⎪ ⎪⎝⎭⎝⎭⎝⎭', ()x ϕ∴在10,e ⎛⎫ ⎪⎝⎭上是增函数,1()0x e ϕϕ⎛⎫∴<= ⎪⎝⎭,所以原不等式成立.【名师点睛】本题考查导数知识的综合运用,解题的关键是构造合适的函数12()2nt h t t+=,将问题转化为证明()122h t h t e ⎛⎫<-⎪⎝⎭. 14.已知函数()ln f x x x =.(1)求()f x 的图象在点()()1,1A f 处的切线方程,并证明()f x 的图象上除点A 以外的所有点都在这条切线的上方;(2)若函数()()()ln 1sin 22cos2g x x x f x x =+⋅-,1,2x e π⎡⎫∈⎪⎢⎣⎭,证明:()22cos g x e e ≥. 【试题来源】备战2021年高考数学大题精做【答案】(1)切线方程为1y x =-,证明见解析;(2)证明见解析.【分析】(1)利用导数求出()f x 的图象在点()()1,1A f 处的切线方程为1y x =-,然后构造函数()()()1h x f x x =--,利用导数证明当0x >且1x ≠时,()0h x >即可; (2)求得()14ln sin 2g x x x x x ⎛⎫'=+⎪⎝⎭,分析得出()0g x '>对任意的1,2x e π⎡⎫∈⎪⎢⎣⎭恒成立,可得出函数()g x 在区间1,2e π⎡⎫⎪⎢⎣⎭上为增函数,由此可证得结论成立.【解析】(1)()ln f x x x =,则()1ln f x x '=+,所以,()11f '=,()10f =.所以,函数()f x 的图象在点()()1,1A f 处的切线方程为1y x =-. 设()ln 1h x x x x =-+,则()ln h x x '=,令()0h x '<,可得()0,1x ∈;令()0h x '>,可得()1,x ∈+∞. 所以()h x 在()0,1上单调递减,在()1,+∞上单调递增, 所以,当0x >且1x ≠时,()()10h x h >=,所以()f x 的图象上除点A 以外的所有点都在这条切线的上方; (2)由题可知()()ln 1sin 22ln cos2g x x x x x x =+⋅-,1,2x e π⎡⎫∈⎪⎢⎣⎭. 则()()sin 22ln 1cos 22ln cos 22cos 24ln sin 2xg x x x x x x x x x x'=++--+ 14ln sin 2x x x x ⎛⎫=+ ⎪⎝⎭, 因为1,2x e π⎡⎫∈⎪⎢⎣⎭,所以22,x e π⎡⎫∈⎪⎢⎣⎭,则sin 20x >, 又由(1)知ln 1x x x ≥-,当且仅当1x =时,等号成立,所以()1114ln 414440x x x x x x x +≥+-=+-≥=, 当且仅当12x =时,等号成立. 所以,上述两个等号不同时成立,则()0g x '>,所以,函数()g x 在区间1,2e π⎡⎫⎪⎢⎣⎭上为增函数, 则()122cos g x g e e e⎛⎫≥=⎪⎝⎭,原式得证. 【名师点睛】利用导数证明不等式问题,方法如下:(1)直接构造函数法:证明不等式()()f x g x >(或()()f x g x <)转化为证明()()0f x g x ->(或()()0f x g x -<),进而构造辅助函数()()()h x f x g x =-;(2)适当放缩构造法:一是根据已知条件适当放缩;二是利用常见放缩结论;(3)构造“形似”函数,稍作变形再构造,对原不等式同解变形,根据相似结构构造辅助函数.15.已知函数()ln f x x a x =+,()ln 2x g x e x x -=--. (1)讨论函数()f x 的单调性; (2)若()00g x =,求00ln x x +的值; (3)证明:2ln x x x x e x --≤+.【试题来源】备战2021年高考数学大题精做 【答案】(1)见详解;(2)0;(3)见详解.【分析】(1)求解()f x ',然后讨论a 的范围,进行判断即可. (2)根据()00g x =可得0000ln x ex x x --=+,然后换元0x t e -=,可得00ln ln t t x x +=+,最后根据(1)的条件,简单计算可得结果.(3)构造函数()2ln xh x x x x e x -=---,然后求导,根据(2)的条件进行判断可知()()0h x h x ≤,简单计算即可. 【解析】(1)函数()f x 的定义域为()0,∞+ 由()1a x a f x x x+'=+=,当0a ≥时,()0f x '>, 当0a <时,令()0f x '>,则x a >-;令()0f x '<,则0x a <<- 所以当0a ≥时,函数()f x 在()0,∞+单调递增当0a <时,函数()f x 在()0,a -单调递减,在(),a -∞单调递增(2)由()00g x =,所以000ln 20x ex x ---=,即0000ln x e x x x --=+令0x t e -=,则0ln x t -=,所以00ln ln t t x x +=+由(1)可知,当1a =时,()ln f x x x =+在()0,∞+单调递增, 所以00x t ex -==,所以000000ln ln 0x x x x e x x -+=+=-=(3)()2ln xh x x x x ex -=---,()()ln 2x h x g x e x x --=-'=容易判断()g x 在()0,∞+单调递减,且由(2)可知,()00g x =,则00ln 0x x += 所以若()00,x x ∈,()()0h x g x '=>;若()0,x x ∈+∞,()()0h x g x '=< 所以可知函数()h x 在()00,x 单调递增,在()0,x +∞单调递减 所以()()0h x h x ≤,()0200000ln x h x x x x ex -=---,又00ln x x =-,00xe x -=所以()22000000h x x x x x =+-=-,所以2ln x x x x e x --≤+【名师点睛】第(1)问利用导数并讨论a 的范围即可判断;第(2)问通过变形然后借用第(1)问的条件判断;第(3)问构造函数并借用(2)的条件可知. 16.已知函数()ln()f x x a x =++(0a >). (1)求函数()f x 的单调性;(2)设函数()g x 满足2()ln[()]f x a g x x -=+,若函数()g x 有两个不同的零点1x 、2x 且12x x <.①求实数a 的取值范围; ②证明:122x x a +<.【试题来源】备战2021年高考数学全真模拟卷【答案】(1)()f x 在()a -+∞,上单调递增;(2)①(1)+∞,;②证明见解析. 【分析】(1)求导后分析导函数的正负即可.(2)①求出2()()x ax a g x x e x x e x --=⋅-=⋅-,再令()x ah x ex -=-,问题转化为寻求a 使得()h x 的极小值小于0即可②极值点偏移问题,构造对称函数即可证明.【解析】(1)由已知得函数()f x 的定义域为()a -+∞,,则1()1f x x a'=++, 因为()x a ∈-+∞,时()0f x '>恒成立,所以()f x 在()a -+∞,上单调递增, (2)因为2()ln[()]ln f x a g x x x x a -=+=+-,所以2()()x ax a g x x e x x e x --=⋅-=⋅-,其定义域为(0)+∞,, ①设()x ah x ex -=-(0x ≥),所以()1x a h x e -'=-,令()0h x '<,则0x a ≤<,令()0h x '>,则x a >, 所以当[0)x a ∈,时()h x 单调递减,当()x a ∈+∞,时()h x 单调递增,所以()h x 的极小值为()h a , 因为函数()g x 有两个不同的零点,即()h x 有两个不同的零点, 所以需()h x 的极小值()10h a a =-<,即1a >, 因为当1a >时(0)0ah e-=>,(2)2a h a e a =-,令()2x H x e x =-(1≥x ),则()2xH x e '=-,当1≥x 时()20H x e '≥->,所以()H x 在[1)+∞,上单调递增, 所以(2)()(1)20h a H a H e =>=->,所以()h x 在(0)a ,和()a +,∞上分别有1个零点, 所以当1a >时()h x 在(0)+∞,上有两个不等零点, 即()g x 有两个不同的零点,所以实数a 的取值范围为(1)+∞,, ②由①知120x a x <<<,所以12a x a ->,要证122x x a +<,即证212x a x <-,因为()x a ∈+∞,时()h x 单调递增,故而即证21()(2)h x h a x <-, 又12()()h x h x =,即证11()(2)h x h a x <-, 设函数()(2)()x h a x h x φ=--,其中0x >, 由于()(2)22a xx a a x x a x ea x e x x e e a φ----=---+=+--,故()2()20a x x a x e e φ--'=-+≤-=,当且仅当x a =时等号成立,所以()x φ在(0)+∞,上单调递减,由于1x a <,因而1()()()()0x a h a h a φφ>=-=, 即11()(2)h x h a x <-,故而122x x a +<得证.【名师点睛】极值点偏移问题常用两种方法,一是构造对称函数,运用函数单调性证明,二是利用“对数平均不等式”证明.两个正数a 和b 的对数平均数定义:,,(,)ln ln ,,a ba b L a b a ba ab -⎧≠⎪=-⎨⎪=⎩(,)2a bL a b +≤ 17.已知函数1()ax f x x e -=⋅(a R ∈). (1)讨论函数()f x 的单调性(2)若函数()f x 的图象经过点(11),,求证:1ln ()0xf x x e +≥⋅(0x >). 【试题来源】备战2021年高考数学大题精做【答案】(1)答案见解析;(2)证明见解析. 【分析】(1)当0a =时,得到()f x 在R 上单调递增;当0a ≠时,求得导数11()()ax f x e a x a-'=⋅⋅+,结合导数的符号,即可求得函数的单调区间;(2)求得1()x f x x e -=⋅,化简11ln ()ln 1x x f x x x x e x e +=++-⋅⋅,设1()ln 1xg x x x x e =++-⋅(0x >),求得2(1)(1)()x xx x e g x x e +⋅⋅-⋅'=,设()1xh x x e =⋅-,得到()h x 在(0)+∞,上单调递增,得出当0()x ∈+∞,时()h x 在(0)1,上有唯一的零点,得出函数()g x 的单调性与最值,即可求解.【解析】(1)由题意,函数1()ax f x x e -=⋅的定义城为R ,当0a =时,()xf x e=,函数()f x 在R 上单调递增; 当0a ≠时,可得1111()()ax ax ax f x eax e e a x a---=⋅=⋅⋅+'+, 令()0f x '=,得1x a=-,①当0a <时,在区间1()a-∞-,上()0f x '>,()f x 单调递增, 在区间1()a-+∞,上()0f x '<,()f x 单调递减, ②当0a >时,在区间1()a-∞-,上()0f x '<,()f x 单调递减, 在区间1()a-+∞,上()0f x '>,()f x 单调递增, (2)若函数()f x 的图象经过点(1,1),则1(1)1a f e -==,得1a =,即1()x f x x e -=⋅,则1111ln ()ln()ln 1x x x xf x x e x x x e x e x e -+=+⋅=++-⋅⋅⋅, 设1()ln 1xg x x x x e =++-⋅(0x >),则2211(1)(1)()1x x xx x x e g x x e x x e++⋅⋅-=-++=⋅'⋅, 设()1xh x x e =⋅-,则()x xh x e x e '=+⋅,当0x >时,()0h x '>,故()h x 在(0)+∞,上单调递增, 又(0)10h =-<,(1)10h e =->,所以当0()x ∈+∞,时()h x 在(0)1,上有唯一的零点, 不妨设0()0h x =,则0010xx e ⋅-=,所以00()g x '=,当0)(0x x ∈,时,()0g x '<,()g x 单调递减,当0()x x ∈+∞,时,()0g x '>,()g x 单调递增, 故000min 00000011()()ln 1ln()1110x x x g x g x x x x e x e x e==++-=+⋅-=-=⋅⋅, 所以()0g x ≥恒成立,即1ln ()0xf x x e +≥⋅(0x >)恒成立. 【名师点睛】利用导数证明不等式问题:(1)直接构造法:证明不等式()()()()()f x g x f x g x ><转化为证明()()0f xg x ->()()(0)f x g x -<,进而构造辅助函数()()()h x f x g x =-;(2)适当放缩构造法:一是根据已知条件适当放缩;二是利用常见放缩结论;(3)构造“形似”函数,稍作变形再构造,对原不等式同解变形,根据相似结构构造辅助函数.18.已知函数()()()121x f x eae x a +=-+∈R .(1)若()f x 存在极值,求a 的取值范围; (2)当0a <时,证明:()()2ln 10f x e x -+>.【试题来源】2021届高三下学期4月冲刺联考 【答案】(1)()0,∞+;(2)证明见解析. 【分析】(1)先求导函数()12x f x e ae +'=-,再按0a ≤和0a >分类讨论即可.(2)先把要证明的不等式转化为()12ln 10x ee x +-+>,再构造函数()()12ln 1x g x e e x +=-+,用导数探究函数()g x 的最小值大于0即可.【解析】(1) ()()121x f x eae x +=-+,()12x f x e ae +'=-,当0a ≤时,()0f x '≥,则()f x 在R 上单调递增,()f x 无极值; 当0a >时,由()0f x '=,得1ln x a =+. 当(),1ln x a ∈-∞+时,()0f x '<; 当()1ln ,x a ∈++∞时,()0f x '>,所以()f x 在(),1ln a -∞+上单调递减,在()1ln ,a ++∞上单调递增. 即()f x 在1ln x a =+时取得极小值,所以若()f x 存在极值,则 a 的取值范围为()0,∞+. (2)要证明()()2ln 10f x e x -+>,即证()()()1221ln 1010x eae x e x x +-+-+>+>,由于当 0a <时,()210ae x +<,只要证()12ln 10x e e x +-+>.设()()12ln 1x g x ee x +=-+,则()211x e g x ex +'=-+,设()211x e h x e x +=-+, 则()()21201x e h x ex +'=+>+,所以()g x '在()1,-+∞上是增函数.。
不等式的证明·典型例题【例1】已知a,b,c∈R+,求证:a3+b3+c3≥3abc.【分析】用求差比较法证明.证明:a3+b3+c3-3abc=[(a+b)3+c3]-3a2b-3ab2-3abc=(a+b+c)[(a+b)2-(a+b)c+c2]-3ab(a+b+c)=(a+b+c)[a2+b2+c2-ab-bc-ca]∵a,b,c∈R+,∴a+b+c>0.(c-a)]2≥0即 a3+b3+c3-3abc≥0,∴a3+b3+c3≥3abc.【例2】已知a,b∈R+,n∈N,求证:(a+b)(a n+b n)≤2(a n+1+b n+1).【分析】用求差比较法证明.证明:左-右=a n+1+ab n+a n b+b n+1-2a n+1-2b n+1=ab n+a n b-a n+1-b n+1=a(b n-a n)+b(a n-b n)=(b n-a n)(a-b)(*) 当a>b>0时,b n-a n<0,a-b>0,∴(*)<0;当b>a>0时,b n-a n>0,a-b<0,∴(*)<0;当a=b>0时,b n-a n=0,a-b=0,∴(*)=0.综上所述,有(a+b)(a n+b n)-2(a n+1+b n+1)≤0.即 (a+b)(a n+b n)≤2(a n+1+b n+1).【说明】在求差比较的三个步骤中,“变形”是关键,常用的变形手段有配方、因式分解等,常将“差式”变形为一个常数,或几个因式积的形式.【例3】已知a,b∈R+,求证a a b b≥a b b a.【分析】采用求商比较法证明.证明:∵a,b∈R+,∴a b b a>0综上所述,当a>0,b>0,必有a a b b≥a b b a.【说明】商值比较法的理论依据是:【例4】已知a、b、c是不全等的正数,求证:a(b2+c2)+b(c2+a2)+c(a2+b2)>6abc.【分析】采用综合法证明,利用性质a2+b2≥2ab.证明:∵b2+c2≥2bc,a>0,∴a(b2+c2)≥2abc.①同理b(c2+a2)≥2abc②c(a2+b2)≥2abc③∵a,b,c不全相等,∴①,②,③中至少有一个式子不能取“=”号∴①+②+③,得a(b2+c2)+b(c2+a2)+c(a2+b2)>6abc.【例5】已知a,b,c∈R+,求证:(1)(ab+a+b+1)(ab+ac+bc+c2)≥16abc;【分析】用综合法证明,注意构造定理所需条件.证明:(1)ab+a+b+1=(a+1)(b+1),ab+ac+bc+c2=(a+c)(b+c).∴(a+1)(b+1)(a+c)(b+c)≥16abc因此,当a,b,c∈R+,有(ab+a+b+1)(ab+ac+bc+c2)≥16abc.【说明】用均值定理证明不等式时,一要注意定理适用的条件,二要为运用定理对式子作适当变形,把式子分成若干分,对每部分运用均值定理后,再把它们相加或相乘.【分析】采用分析法证明.(*)∵a<c,b<c,∴a+b<2c,∴(*)式成立.∴原不等式成立.用充分条件代替前面的不等式.【例7】若a、b、c是不全相等的正数,求证:证明二:(综合法)∵a,b,c∈R+,abc成立.上式两边同取常用对数,得【说明】分析法和综合法是对立统一的两个方面.在证法一中,前面是分析法,后面是综合法,两种方法结合使用,使问题较易解决.分析法的证明过程恰恰是综合法的分析、思考过程,综合法的证明方法是分析思考过程的逆推.【例8】已知a>2,求证log a(a-1)·log a(a+1)<1.【分析】两个对数的积不好处理,而两个同底对数的和却易于处理.因为我们可以先把真数相乘再取对数,从而将两个对数合二为一,平均值不等式恰好有和积转化功能可供利用.证明:∵a>2,∴log a(a-1)>0,log a(a+1)>0.又log a(a-1)≠log a(a+1)∴log a(a-1)·log a(a+1)<1.【说明】上式证明如果从log a(a-1)·log a(a+1)入手,得log a(a-1)二为一了.另外,在上述证明过程中,用较大的log a a2代替较小的log a(a2-1),并用适当的不等号连结,从而得出证明.这种方法通常叫做“放缩法”.同样,也可以用较小的数代替较大的数,并用适当的不等号连结.【例9】已知:a,b,c都是小于1的正数;【分析】采用反证法证明.其证明思路是否定结论从而导出与已知或定理的矛盾.从而证明假设不成立,而原命题成立.对题中“至少∵a,b,c都是小于1的正数,故与上式矛盾,假设不成立,原命题正确.【说明】反证法是利用互为逆否命题具有等价性的思想进行推证的.反证法必须罗列各种与原命题相异的结论,缺少任何一种可能,则反证都是不完全的,遇到“至少”、“至多”、“唯一”等字句的命题常用反证法.|a|≤1.【说明】换元法是将较为复杂的不等式利用等价转换的思想转换成易证明的不等式.常用的换元法有(1),若|x|≤1,可设x=sinα,α∈R;(2)若x2+y2=1,可设x=sinα,y=cosα;(3)若x2+y2≤1,可设x=【例11】已知a1、a2、…a n,b1、b2、…b n为任意实数,求证明:构造一个二次函数它一定非负,因它可化为(a1x-b1)2+(a2x-b2)2+…+(a n x-b n)2.∴Δ≤0,(当a1,a2,…a n都为0时,所构造式子非二次函数,但此时原不等式显然成立.)【说明】上例是用判别式法证明的“柯西不等式”,它可写为:变量分别取|a+b|,|a|、|b|时就得到要证的三个式子.因此,可考虑从函数∴f(x2)>f(x1),f(x)在[0,+∞)上是增函数.取x1=|a+b|,x2=|a|+|b|,显然0≤x1≤x2.∴f(|a+b|)≤f(|a|+|b|).【说明】这里是利用构造函数,通过函数的单调性,结合放缩法来证明不等式的.应注意的是,所给函数的单调整性应予以论证.【例13】已知a,b,m,n∈R,且a2+b2=1,m2+n2=1,求证:|am+bn|≤1.证法一:(比较法)证法二:(分析法)∵a,b,m,n∈R,∴上式成立,因此原不等式成立.证法三:(综合法)∵a,b,m,n∈R,∴(|a|-|m|)2≥0,(|b|-|n|)2≥0.即a2+m2≥2|am|,b2+n2≥2|bn|∴a2+m2+b2+n2≥2(|am|+|bn|)∵a2+b2=1,m2+n2=1,∴|am|+|bn|≤1∴|am+bn|≤|am|+|bn|≤1.证法四:(换元法)由已知,可设a=sinα,b=cosα,m=sinβ,n=cosβ.于是|am+bn|=|sinαsinβ+cosαcosβ|=|cos(α-β)|≤1.【说明】一个不等式的证明方法往往不只一种,要注意依据题目特点选择恰当的方法.【例14】已知f(x)=x2-x+c,且|x-a|<1,(a,b,c∈R)求证:|f(x)-f(a)|<2(|a|+1).【分析】绝对值不等式的证明充分利用绝对值不等式性质:证明:|f(x)-f(a)|=|x2-x+c-a2+a-c|=|(x+a)(x-a)-(x-a)|=|x-a||x+a-1|<|x+a-1|=|(x-a)+2a-1|<|x-a|+|2a|+|(-1)|<1+2|a|+1=2(|a|+1).∴|f(x)-f(a)|<2(|a|+1).【例15】当h与|a|,|b|,1中最大的一个相等,求证:当|x|>h时,由已知,有|x|>h≥|a|,|x|>h≥|b|,|x|>h≥1 ∴|x|2≥b.。
高二数学不等式证明试题答案及解析1.如果用反证法证明“数列的各项均小于2”,那么应假设()A.数列的各项均大于2B.数列的各项均大于或等于2C.数列中存在一项D.数列中存在一项,【答案】D【解析】各项均小于2,的否定是存在一项大于或等于2,所以选D【考点】反证法2.用反证法证明命题“”,其反设正确的是( )A.B.C.D.【答案】B【解析】由于“a、b全为0(a、b∈R)”的否定为:“a、b至少有一个不为0”,故选 B.【考点】反证法.3.设为三角形的三边,求证:【答案】见解析【解析】本题用直接法不易找到证明思路,用分析法,要证该不等式成立,因为,所以,只需证该不等式两边同乘以转化成的等价不等式a(1+b)(1+c)+ b(1+a)(1+c)> c(1+a)(1+b)成立,用不等式性质整理为a+2ab+b+abc>c成立,用不等式性质及三角不等式很容易证明此不等式成立.试题解析:要证明:需证明: a(1+b)(1+c)+ b(1+a)(1+c)> c(1+a)(1+b) 5分需证明:a(1+b+c+bc)+ b(1+a+c+ac)> c(1+a+b+ab) 需证明a+2ab+b+abc>c 10分∵a,b,c是的三边∴a>0,b>0,c>0且a+b>c,abc>0,2ab>0∴a+2ab+b+abc>c∴成立。
14分【考点】分析法证明不等式;三角形两边之和大于第三边.4.已知:证明:.【答案】分析法或综合法【解析】证法一(用分析法):,(2分)要证,(4分)只须证:,(6分)即只须证:,(8分),成立,即成立,∴原不等式成立。
(10分)证法二(用综合法):∵(4分)∵,,∴,(6分)∴,(8分)∴,∴,原不等式成立。
(10分)【考点】不等式的证明方法,分析法、综合法。
点评:中档题,不等式的证明方法,通常考虑“差比法”“分析法”“综合法”“反证法”“放缩法”“换元法”“数学归纳法”等。
高考达标检测(六十)不等式证明1.设a ,b ,c 为正数且a +b +c =1,求证:⎝ ⎛⎭⎪⎫a +1a 2+⎝ ⎛⎭⎪⎫b +1b 2+⎝ ⎛⎭⎪⎫c +1c 2≥1003.证明:⎝⎛⎭⎪⎫a +1a 2+⎝ ⎛⎭⎪⎫b +1b 2+⎝ ⎛⎭⎪⎫c +1c 2=13(12+12+12)[⎝ ⎛⎭⎪⎫a +1a 2+⎝ ⎛⎭⎪⎫b +1b 2+⎝ ⎛⎭⎪⎫c +1c 2]≥13[1×⎝ ⎛⎭⎪⎫a +1a +1×⎝ ⎛⎭⎪⎫b +1b +1×⎝ ⎛⎭⎪⎫c +1c ]2 =13[1+(1a +1b +1c )] 2=13[1+(a +b +c )(1a +1b +1c )]2 ≥13×(1+9)2=1003. 即原不等式成立.2.(2017·大连双基测试)已知x ,y 是两个不相等的正实数,求证:( x 2y +x +y 2)( xy 2+y +x 2)>9x 2y 2.证明:因为x ,y 是正实数,所以x 2y +x +y 2≥33x 2y ·x ·y 2=3xy ,当且仅当x 2y =x =y 2,即x =y =1时,等号成立; 同理:xy 2+y +x 2≥33xy 2·y ·x 2=3xy , 当且仅当xy 2=y =x 2,即x =y =1时,等号成立. 所以(x 2y +x +y 2)(xy 2+y +x 2)≥9x 2y 2, 当且仅当x =y =1时,等号成立. 因为x ≠y ,所以( x 2y +x +y 2)( xy 2+y +x 2)>9x 2y 2. 3.已知x ,y ∈R ,且| x |<1,| y |<1. 求证:11-x 2+11-y 2≥21-xy. 证明:法一:(分析法)∵| x |<1,| y |<1, ∴11-x 2>0,11-y 2>0, ∴11-x 2+11-y2≥21-x21-y2.故要证明结论成立,只要证明21-x21-y2≥21-xy 成立. 即证1-xy ≥1-x 21-y2成立即可.∵(y -x )2≥0,有-2xy ≥-x 2-y 2, ∴(1-xy )2≥(1-x 2)(1-y 2), ∴1-xy ≥1-x21-y2>0.∴不等式成立.法二:(综合法)∵211-x 2+11-y2≤1-x 2+1-y22=2-x 2+y 22≤2-2|xy |2=1-|xy |, ∴11-x 2+11-y 2≥21-|xy |≥21-xy, ∴原不等式成立.4.设函数f (x )=| x -4 |+| x -3 |,f (x )的最小值为m . (1)求m 的值;(2)当a +2b +3c =m (a ,b ,c ∈R)时,求a 2+b 2+c 2的最小值. 解:(1)法一:f (x )=| x -4 |+| x -3 |≥| (x -4)-(x -3) |=1, 故函数f (x )的最小值为1,即m =1. 法二:f (x )=⎩⎪⎨⎪⎧2x -7,x ≥4,1,3≤x <4,7-2x ,x <3.当x ≥4时,f (x )≥1;当x <3时,f (x )>1;当3≤x <4时,f (x )=1,故函数f (x )的最小值为1,即m =1.(2)( a 2+b 2+c 2)( 12+22+32)≥( a +2b +3c )2=1, 故a 2+b 2+c 2≥114, 当且仅当a =114,b =17,c =314时取等号.故a 2+b 2+c 2的最小值为114.5.(2017·云南统一检测)已知a 是常数,对任意实数x ,不等式| x +1 |-| 2-x |≤a ≤ | x +1 |+| 2-x |都成立.(1)求a 的值;(2)设m >n >0,求证:2m +1m 2-2mn +n 2≥2n +a .解:(1)设f (x )=| x +1 |-| 2-x |, 则f (x )=⎩⎪⎨⎪⎧-3,x ≤-1,2x -1,-1<x <2,3,x ≥2,∴f (x )的最大值为3.∵对任意实数x ,| x +1 |-| 2-x |≤a 都成立,即f (x )≤a , ∴a ≥3.设h (x )=|x +1|+|2-x |, 则h (x )=⎩⎪⎨⎪⎧-2x +1,x ≤-1,3,-1<x <2,2x -1,x ≥2,则h (x )的最小值为3.∵对任意实数x ,| x +1 |+| 2-x |≥a 都成立,即h (x )≥a , ∴a ≤3. ∴a =3.(2)证明:由(1)知a =3. ∵2m +1m 2-2mn +n 2-2n =(m -n )+(m -n )+1m -n2,且m >n >0,∴(m -n )+(m -n )+1m -n2≥33m -n m -n1m -n2=3.∴2m +1m 2-2mn +n 2≥2n +a .6.(2017·吉林实验中学模拟)设函数f (x )=| x -a |. (1)当a =2时,解不等式f (x )≥4-| x -1 |;(2)若f (x )≤1的解集为[0,2],1m +12n =a (m >0,n >0),求证:m +2n ≥4.解:(1)当a =2时,不等式为| x -2 |+| x -1 |≥4, ①当x ≥2时,不等式可化为x -2+x -1≥4,解得x ≥72;②当1<x <2时,不等式可化为2-x +x -1≥4, 不等式的解集为∅;③当x ≤1时,不等式可化为2-x +1-x ≥4,解得x ≤-12.综上可得,不等式的解集为⎝ ⎛⎦⎥⎤-∞,-12∪⎣⎢⎡⎭⎪⎫72,+∞. (2)证明:∵f (x )≤1,即|x -a |≤1,解得a -1≤x ≤a +1,而f (x )≤1的解集是[0,2], ∴⎩⎪⎨⎪⎧a -1=0,a +1=2,解得a =1,所以1m +12n=1(m >0,n >0),所以m +2n =(m +2n )⎝ ⎛⎭⎪⎫1m +12n =2+m 2n +2nm≥2+2m 2n ·2nm=4, 当且仅当m =2,n =1时取等号.7.(2017·合肥模拟)已知a >0,b >0,记A =a +b ,B =a +b . (1)求2A -B 的最大值;(2)若ab =4,是否存在a ,b ,使得A +B =6?并说明理由. 解:(1)2A -B =2a -a +2b -b =-⎝ ⎛⎭⎪⎫a -222-⎝ ⎛⎭⎪⎫b -222+1≤1, 当且仅当a =b =12时等号成立,即2A -B 的最大值为1.(2)A +B =a +b +a +b ≥2ab +2ab ,因为ab =4,所以A +B ≥4+22>6,所以不存在这样的a ,b ,使得A +B =6. 8.(2016·西安质检)已知函数f (x )=| x -1 |. (1)解不等式f (2x )+f (x +4)≥8; (2)若|a |<1,|b |<1,a ≠0,求证:f ab |a |>f ⎝ ⎛⎭⎪⎫b a . 解:(1)f (2x )+f (x +4)=| 2x -1 |+| x +3 |=⎩⎪⎨⎪⎧-3x -2,x <-3,-x +4,-3≤x <12,3x +2,x ≥12,当x <-3时,由-3x -2≥8,解得x ≤-103;当-3≤x <12时,-x +4≥8无解;当x ≥12时,由3x +2≥8,解得x ≥2.所以不等式f (2x )+f (x +4)≥8的解集为⎝ ⎛⎦⎥⎤-∞,-103∪[2,+∞). (2)证明:f ab |a |>f ⎝ ⎛⎭⎪⎫b a 等价于f (ab )>|a | f ⎝ ⎛⎭⎪⎫b a ,即| ab -1 |>| a -b |. 因为| a |<1,| b |<1,所以| ab -1 |2-| a -b |2=( a 2b 2-2ab +1 )-( a 2-2ab +b 2)=( a 2-1 )( b 2-1 )> 0,所以| ab -1 |>| a -b |. 故所证不等式成立.。
科 教学设计不等式一.考试内容:不等式.不等式的基本性质.不等式的证明.不等式的解法.含绝对值的不等式.二.考试要求:(1)理解不等式的性质及其证明.(2)掌握两个(不扩展到三个)正数的算术平均数不小于它们的几何平均数的定理,并会简单的应用.(3)掌握分析法、综合法、比较法证明简单的不等式. (4)掌握简单不等式的解法.(5)理解不等式│a │-│b │≤│a+b │≤│a │+│b │【注意】不等式在数学的各个分支中都有广泛的应用,同时还是继续学习高等数学的基础.纵观历年试题,涉及不等式内容的考题大致可分为以下几类:①不等式的证明; ②解不等式;③取值范围的问题;④应用题.三.基础知识: 1.常用不等式:(1),a b R ∈⇒222a b ab +≥(当且仅当a =b 时取“=”号).(2),a b R +∈⇒2a b+≥(当且仅当a =b 时取“=”号).(3)3333(0,0,0).a b c abc a b c ++≥>>>(4)柯西不等式22222()()(),,,,.a b c d ac bd a b c d R ++≥+∈(5)b a b a b a +≤+≤-.2.极值定理已知y x ,都是正数,则有(1)若积xy 是定值p ,则当y x =时和y x +有最小值p 2;(2)若和y x +是定值s ,则当y x =时积xy 有最大值241s . 推广 已知R y x ∈,,则有xy y x y x 2)()(22+-=+ (1)若积xy 是定值,则当||y x -最大时,||y x +最大;当||y x -最小时,||y x +最小.(2)若和||y x +是定值,则当||y x -最大时, ||xy 最小;当||y x -最小时, ||xy 最大.3.一元二次不等式20(0)ax bx c ++><或2(0,40)a b ac ≠∆=->,如果a 与2ax bx c ++同号,则其解集在两根之外; 如果a 与2ax bx c ++异号,则其解集在两根之间.简言之:同号两根之外,异号两根之间. 121212()()0()x x x x x x x x x <<⇔--<<;121212,()()0()x x x x x x x x x x <>⇔--><或.4.含有绝对值的不等式当a> 0时,有22x a x a a x a <⇔<⇔-<<.22x a x a x a >⇔>⇔>或x a <-.5.指数不等式与对数不等式(1)当1a >时,()()()()f x g x aa f x g x >⇔>;()0log ()log ()()0()()a a f x f x g x g x f x g x >⎧⎪>⇔>⎨⎪>⎩.(2)当01a <<时,()()()()f x g x aa f x g x >⇔<;()0log ()log ()()0()()a a f x f x g x g x f x g x >⎧⎪>⇔>⎨⎪<⎩四.基本方法和数学思想1.掌握不等式性质,注意使用条件;2.掌握几类不等式(一元一次、二次、绝对值不等式、简单的指数、对数不等式)的解法,尤其注意用分类讨论的思想解含参数的不等式;勿忘数轴标根法,零点分区间法; 3.掌握用均值不等式求最值的方法:在使用a+b ≥ab 2(a>0,b>0)时要符合“一正二定三相等”; 注意均值不等式的一些变形,如2222)2(;)2(2b a ab b a b a +≤+≥+;4.不等式的证明方法.在其他知识的应用. 如数列中不等式的证明方法.构造函数证明不等式的思想和方法.五.高考题回顾1.(福建卷)下列结论正确的是 ( B )A .当2lg 1lg ,10≥+≠>x x x x 时且B .21,0≥+>xx x 时当C .xx x 1,2+≥时当的最小值为2 D .当xx x 1,20-≤<时无最大值 2. (辽宁卷)在R 上定义运算).1(:y x y x -=⊗⊗若不等式1)()(<+⊗-a x a x 对任意实数x 成立,则( C )A .11<<-aB .20<<aC .2321<<-a D .2123<<-a 3. (全国卷Ⅰ) 设10<<a ,函数)22(log )(2--=x x a a a x f ,则使0)(<x f 的x 的取值范围是( )(A ))0,(-∞ (B )),0(+∞(C ))3log ,(a -∞ (D )),3(log +∞a4. (重庆卷)不等式组⎩⎨⎧>-<-1)1(log 2|2|22x x 的解集为 ( )(A) (0,3) (B) (3,2);(C) (3,4);(D) (2,4)5. (04年辽宁卷.2)对于01a <<,给出下列四个不等① 1log (1)log (1)a a a a+<+ ②1log (1)log (1)a a a a+>+③111aaaa++< ④111aaaa++>其中成立的是( ).A .①与③B .①与④C .②与③D .②与④6. (04年全国卷一.文理12)2222221,2,2,a b b c c a +=+=+=则ab bc ca ++的最小值为( ).A 12B .12 C . 12- D .127.若x,y 是正数,则2211()()22x y y x+++的最小值为( ) A.3 B.72 C. 4 D. 928. 04年湖南卷.理7)设a >0, b >0,则以下不等式中不恒成立....的是( ). A. 11()()a b a b++≥4 B. 33a b +≥22abC. 222a b ++≥22a b +D.9.(江西卷)已知实数a 、b 满足等式,)31()21(b a =下列五个关系式: ①0<b <a②a <b <0 ③0<a <b ④b <a <0 ⑤a =b其中不可能成立的关系式有( )A .1个B .2个C .3个D .4个10.解关于x 的不等式20x ax a -<- 11.已知函数x x x f -+=)1ln()(,x x x g ln )(=.(Ⅰ)求函数)(x f 的最大值;(Ⅱ)设b a <<0,证明2ln )()2(2)()(0a b ba gb g a g -<+-+<.能力测试题(本卷共150分,考试时间120分钟)一、选择题(本大题共12小题,在每小题给出的四个选项中,只有一项是符合题目要求的)1.下列命题中正确的是( )A .a >b ⇒ac 2>bc 2B .a >b ⇒a 2>b 2C .a >b ⇒a 3>b 3D .a 2>b 2⇒a >b2.设M =2a (a -2)+3,N =(a -1)(a -3),a ∈R ,则有( ) A .M >N B .M ≥N C .M <N D .M ≤N3.当|x |≤1时,函数y =ax +2a +1的值有正也有负,则实数a 的取值范围是( )A .a ≥-13B .a ≤-1C .-1<a <-13D .-1≤a ≤-134.二次不等式ax 2+bx +1>0的解集为{x |-1<x <13},则ab 的值为( )A .-6B .6C .-5D .55.已知全集U =R ,且A ={x ||x -1|>2},B ={x |x 2-6x +8<0},则(∁U A )∩B 等于( )A .[-1,4)B .(2,3)C .(2,3]D .(-1,4)6.函数y =3xx 2+x +1(x <0)的值域是( )A .(-1,0)B .[-3,0)C .[-3,1]D .(-∞,0)7.当x ≥0时,不等式(5-a )x 2-6x +a +5>0恒成立,则实数a 的取值范围是( )A .(-∞,4)B .(-4,4)C .[10,+∞)D .(1,10]8.若0<α<β<π4,sin α+cos α=a ,sin β+cos β=b ,则( )A .a <bB .a >bC .ab <1D .ab >29.(x +2y +1)(x -y +4)<0表示的平面区域为( )10.若a >0,b >0,则不等式-b <1x<a 等价于( )A .-1b <x <0或0<x <1aB .-1a <x <1bC .x <-1a 或x >1bD .x <-1b 或x >1a11.对一切实数x ,不等式x 2+a |x |+1≥0恒成立,则实数a 的取值范围是( )A .[-2,+∞)B .(-∞,-2)C .[-2,2]D .[0,+∞)12.函数y =f (x )的图象是以原点为圆心、1为半径的两段圆弧,如图所示.则不等式f (x )>f (-x )+x 的解集为( )A.⎣⎡⎭⎫-1,-255∪(0,1] B .[-1,0)∪⎝⎛⎭⎫0,255C.⎣⎡⎭⎫-1,-255∪⎝⎛⎭⎫0,255D.⎣⎡⎭⎫-1,-255∪⎝⎛⎦⎤255,1二、填空题(本大题共4小题,把答案填在题中横线上)13.设点P (x ,y )在函数y =4-2x 的图象上运动,则9x +3y 的最小值为________.14.已知不等式axx -1<1的解集为{x |x <1或x >2},则a =________.15.设实数x ,y 满足⎩⎪⎨⎪⎧x -y -2≤0,x +2y -5≥0,y -2≤0,则u =y x -xy 的取值范围是________.16.已知点A (53,5),过点A 的直线l :x =my +n (n >0),若可行域⎩⎪⎨⎪⎧x ≤my +n x -3y ≥0y ≥0的外接圆的直径为20,则实数n 的值是________.三、解答题(本大题共6小题,解答应写出文字说明,证明过程或演算步骤)17.已知a >0,b >0,且a ≠b ,比较a 2b +b 2a与a +b 的大小.18.求z =3x -2y 的最大值和最小值,式中的x ,y 满足条件⎩⎪⎨⎪⎧4x -5y +21≥0,x -3y +7≤0,2x +y -7≤0.19.若不等式x 2+ax +1≥0对于一切x ∈(0,12]成立,求a 的取值范围.20.某化工厂生产甲、乙两种肥料,生产1车皮甲种肥料能获得利润10000元,需要的主要原料是磷酸盐4吨,硝酸盐18吨;生产1车皮乙种肥料能获得利润5000元,需要的主要原料是磷酸盐1吨,硝酸盐15吨.现库存有磷酸盐10吨,硝酸盐66吨,在此基础上生产这两种肥料.问分别生产甲、乙两种肥料各多少车皮,能够产生最大的利润?21.整改校园内一块长为15 m ,宽为11 m 的长方形草地(如图A),将长减少1 m ,宽增加1 m(如图B).问草地面积是增加了还是减少了?假设长减少x m ,宽增加x m(x >0),试研究以下问题:x 取什么值时,草地面积减少? x 取什么值时,草地面积增加?22.已知二次函数f (x )=ax 2+bx +c (a ,b ,c ∈R )满足:对任意实数x ,都有f (x )≥x ,且当x ∈(1,3)时,有f (x )≤18(x +2)2成立.(1)证明:f (2)=2;(2)若f (-2)=0,求f (x )的表达式;(3)设g (x )=f (x )-m 2x ,x ∈[0,+∞),若g (x )图象上的点都位于直线y =14的上方,求实数m 的取值范围.。
不等式的证明训练题及解答一、选择题(1)若l o g a b 为整数,且l o g ab 1>l o g a b l o g b a 2,那么下列四个结论①b1>b >a 2②l o g a b +l o g b a =0 ③0<a <b <1 ④ab -1=0中正确的个数是( )A 1BC 3D 4(2)设x 1和x 2是方程x 2+px +4=0的两个不相等的实数根,则( ) A |x 1|>2且|x 2|>2 B |x 1+x 2|>4 C |x 1+x 2|<4 D |x 1|=4且|x 2|=1(3)若x ,y ∈R +,且x ≠y ,则下列四个数中最小的一个是( )A)11(2y x + B yx + (4)若x >0,y >0,且y x +≤a y x +成立,则a 的最小值是( )A22C 2D 2(5)已知a ,b ∈R +,则下列各式中成立的是( )A cos 2θ·lg a +sin 2θ·lg b <lg(a +b )B a cos2θ·b sin2θ=a +bC cos 2θ·lg a +sin 2θ·lg b >lg(a +b )D a cos 2θ·b sin2θ>a +b(6)设a ,b ∈R +,且ab -a -b ≥1,则有( )A a +b ≥2(2+1)B a +b ≤+1C a +b ≥(2+1)2D a +b ≤2(2+1)二、填空题(7)已知x 2+y 2=1,则3x +4y 的最大值是(8)设x =21y -,则x +y 的最小值是(9)若51≤a ≤5,则a +a1的取值范围是 (10)A =1+n n与13121+++ (n ∈N )的大小关系是 (11)实数yx=x -y ,则x 的取值范围是 . 三、解答证明题(12)用分析法证明:3(1+a 2+a 4)≥(1+a +a 2)2(13)用分析法证明:ab +cd ≤22c a ⋅+(14)用分析法证明下列不等式:(1)求证:15175+>+ (2)求证:4321---<---x x x x (x ≥4)(3)求证:a ,b ,c ∈R +,求证:)3(3)2(23abc c b a ab b a -++≤-+ (15)若a ,b >0,2c >a +b ,求证:(1)c 2>ab ;(2)c -ab c -2<a <c +ab c -2 (16)已知x ,y ∈R +,且x +y >2,求证:xyy x ++11与中至少有一个小于2 (17)设a ,b ,c ∈R ,证明:a 2+ac +c 2+3b (a +b +c )≥0(18)已知1≤x 2+y 2≤2,求证:21≤x 2+xy +y 2≤3 (19)设a n =)1(3221+++⨯+⨯n n (n ∈N *),求证:2)1(2)1(2+<<+n a n n n 对所有n (n ∈N *)都成立(20)已知关于x 的实系数二次方程x 2+ax +b =0,有两个实数根α,β,证明: (1)如果|α|<2,|β|<2,那么2|α|<4+b 且|b |<4 (2)如果2|α|<4+b 且|b |<4,那么|α|<2,|β|<2 不等式的证明训练题参考答案:1.A 2.B 3.D 4.B 5.A 6.A7.5 8.-1 9.[2,526] 10.A ≥n 11.(-≦,0)∪[4,+≦] 12.证明:要证3(1+a 2+a 4)≥(1+a +a 2)2只需证3[(1+a 2)2-a 2]≥(1+a +a 2)2,即证3(1+a 2+a )(1+a 2-a )≥(1+a +a 2)2≧1+a +a 2=(a +21)2+43>0 只需证3(1+a 2-a )≥1+a +a 2,展开得2-4a +2a 2≥0,即2(1-a )2≥0成立故3(1+a 2+a 4)≥(1+a +a 2)2成立13.证明:①当ab +cd <0时,ab +cd <2222d b c a +⋅+成立②当ab +cd ≥0时,欲证ab +cd ≤2222d b c a +⋅+只需证(ab +cd )2≤(2222d b c a +⋅+)2展开得a 2b 2+2abcd +c 2d 2≤(a 2+c 2)(b 2+d 2)即a 2b 2+2abcd +c 2d 2≤a 2b 2+a 2d 2+b 2c 2+c 2d 2,即2abcd ≤a 2d 2+b 2c 2只需证a 2d 2+b 2c 2-2abcd ≥0,即(ad -bc )2≥0因为(ad -bc )2≥0成立所以当ab +cd ≥0时,ab +cd ≤2222d b c a +⋅+成立综合①②可知:ab +cd ≤2222d b c a +⋅+成立14.证明:(1)欲证15175+>+ 只需证22)151()75(+>+展开得12+235>16+215,即235>4+215 只需证(235)2>(4+215)2,即4>15这显然成立故15175+>+成立(2)欲证4321---<---x x x x (x ≥4) 只需证2341-+-<-+-x x x x (x ≥4)即证22)23()41(-+-<-+-x x x x (x ≥4)展开得2x -5+22325241-⋅-+-<-⋅-x x x x x 即)2)(3()4)(1(--<--x x x x只需证[)4)(1(--x x ]2<[)2)(3(--x x ]2即证x 2-5x +4<x 2-5x +6,即4<6这显然成立 故4321---<---x x x x (x ≥4)成立(3)欲证2(ab b a -+2)≤3(33abc c b a -++) 只需证a +b -2ab ≤a +b +c -33abc即证c +2ab ≥33abc≧a ,b ,c ∈R +,≨c +2ab =c +ab +ab ≥3333abc ab ab c =⋅⋅≨c +2ab ≥33abc 成立故原不等式成立15.证明:(1)≧ab ≤(2b a +)2<c 2,≨ab <c 2(2)欲证c -ab c -2<a <c +ab c -2只需证-ab c -2<a -c <ab c -2,即|a -c |<ab c -2,即a 2-2ac +c 2<c 2-ab只需证a (a +b )<2ac≧a >0,只要证a +b <2c (已知),故原不等式成立16.证明:(反证法):假设x y y x ++11与均不小于2,即yx+1≥2,x y +1≥2,≨1+x ≥2y ,1+y ≥2x 将两式相加得:x +y ≤2,与已知x +y >2矛盾, 故xyy x ++11与中至少有一个小于2 17.证明:目标不等式左边整理成关于a 的二次式且令 f (a )=a 2+(c +3b )a +c 2+3b 2+3bc判别式Δ=(c +3b )2-4(c 2+3b 2+3bc )=-3(b +c )2≤0当Δ=0时,即b +c =0,等号成立故a 2+(c +3b )a +c 2+3b 2+3bc ≥0成立18.证明:设x =k cos θ,y =k sin θ,1≤k 2≤2≨x 2+xy +y 2=k 2(cos 2θ+cos θsin θ+sin 2θ)=k 2(1+21sin2θ) ≧sin2θ∈[-1,1]≨k 2≤k 2(1+21sin2θ)≤23k 2,故21≤x 2+xy +y 2≤319.证明:≧2)1(n n n >+=n ,≨a n >1+2+3+…+n =2)1(+n n2)1(232221+++++++<n n a n 又22)1(2)21(2n n n n n ++=++++=2)1(2122)2(22+=++<+=n n n n n ,故命题对n ∈N 都成立20.证明:依题设及一元二次方程根与系数的关系(韦达定理)得:α+β=-a ,αβ=b 则有:(1)(2)等价于证明|α|<2,|β|<2⇔2|α+β|<4+αβ,且|αβ|<4⎪⎩⎪⎨⎧+<+<⇔⎪⎩⎪⎨⎧+<+<22)4()(44424αββααβαββααβ⎪⎩⎪⎨⎧>+--<⇔0164442222βαβααβ ⎪⎩⎪⎨⎧>--<⇔0)4)(4(422βααβ⎪⎪⎩⎪⎪⎨⎧<<<⎪⎪⎩⎪⎪⎨⎧>><⇔4444442222βααββααβ或⎪⎩⎪⎨⎧<<<⎪⎩⎪⎨⎧>><⇔224224βααββααβ或⎪⎩⎪⎨⎧<<<⇔<<⇔2.2,224ββαααβ。
高二数学不等式证明试题答案及解析1.如果用反证法证明“数列的各项均小于2”,那么应假设()A.数列的各项均大于2B.数列的各项均大于或等于2C.数列中存在一项D.数列中存在一项,【答案】D【解析】各项均小于2,的否定是存在一项大于或等于2,所以选D【考点】反证法2.已知:,求证:.【答案】应用分析法【解析】要使原不等式成立,只要:只要,只要,只要,只要,由已知此不等式成立。
【考点】绝对值不等式的证明点评:中档题,绝对值不等式的证明问题,往往利用“分析法”,通过平方去掉“||”,加以转化。
3.证明:.【答案】数学归纳法或用放缩再拆项相消法.【解析】(ⅰ)当n=1时,,, 2分(ⅱ)假设当n=k时, 4分则当n=k+1时,要证:只需证:由于所以 11分于是对于一切的自然数,都有 12分此题也可以用放缩再拆项相消法.【考点】不等式的证明,数学归纳法,放缩法,“裂项相消法”。
点评:中档题,本题解法较为灵活,可采用数学归纳法,也可以先放缩,再利用数列求和方法“裂项相消法”。
总之,不等式证明中,“放缩”思想是常用的一中思想方法。
4.设为非负实数,满足,证明:.【答案】不等式的证明一般可以考虑运用作差法或者是利用分析法来证明。
【解析】为使所证式有意义,三数中至多有一个为0;据对称性,不妨设,则;、当时,条件式成为,,,而,只要证,,即,也即,此为显然;取等号当且仅当.、再证,对所有满足的非负实数,皆有.显然,三数中至多有一个为0,据对称性,仍设,则,令,为锐角,以为内角,构作,则,于是,且由知,;于是,即是一个非钝角三角形.下面采用调整法,对于任一个以为最大角的非钝角三角形,固定最大角,将调整为以为顶角的等腰,其中,且设,记,据知,.今证明,.即……①.即要证……②先证……③,即证,即,此即,也即,即,此为显然.由于在中,,则;而在中,,因此②式成为……④,只要证,……⑤,即证,注意③式以及,只要证,即,也即…⑥由于最大角满足:,而,则,所以,故⑥成立,因此⑤得证,由③及⑤得④成立,从而①成立,即,因此本题得证.【考点】不等式的证明点评:主要是考查了不等式的证明,方法比较多,一般是分析法和作差法构造函数法,属于难度题。
不等式的证明班级 _____ 姓名_____一、选择题(本大题共10小题,每小题5分,共50分) 1.若a >0, b >0,则)11)((ba b a ++ 的最小值是 ( )A .2B .22C .24D .42.分析法证明不等式中所说的“执果索因”是指寻求使不等式成立的( )A .必要条件B .充分条件C .充要条件D .必要或充分条件3.设a 、b 为正数,且a + b ≤4,则下列各式中正确的一个是( )A .111<+ba B .111≥+ba C .211<+b a D .211≥+ba 4.已知a 、b 均大于1,且log a C ·log b C=4,则下列各式中,一定正确的是( )A .a c ≥bB .a b ≥cC .bc ≥aD .a b ≤c5.设a =2,b=37-,26-=c ,则a 、b 、c 间的大小关系是( )A .a >b>cB .b>a >cC .b>c>aD .a >c>b 6.已知a 、b 、m 为正实数,则不等式bam b m a >++( )A .当a < b 时成立B .当a > b 时成立C .是否成立与m 无关D .一定成立7.设x 为实数,P=e x +e -x ,Q=(sin x +cos x )2,则P 、Q 之间的大小关系是( )A .P ≥QB .P ≤QC .P>QD . P<Q 8.已知a > b 且a + b <0,则下列不等式成立的是( )A .1>ba B .1≥ba C .1<ba D .1≤ba 9.设a 、b 为正实数,P=a a b b ,Q=a b b a ,则P 、Q 的大小关系是( )A .P ≥QB .P ≤QC .P=QD .不能确定10.甲、乙两人同时同地沿同一路线走到同一地点,甲有一半时间以速度m 行走,另一半时间以速度n 行走;乙有一半路程以速度m 行走,另一半路程以速度n 行走,若m ≠n ,则甲、乙两人到达指定地点的情况是( )A .甲先到B .乙先到C .甲乙同时到D .不能确定二、填空题11.若实数,,x y z 满足23()x y z a a ++=为常数,则222x y z ++的最小值为 12.函数212()3(0)f x x x x =+>的最小值为_____________。
课时达标 第70讲[解密考纲]不等式的证明以解答题进行考查,主要考查综合法、比较法,还常用柯西不等式证明不等式或求最值.1.已知a ,b 都是正数,且a ≠b ,求证:a 3+b 3>a 2b +ab 2.证明 (a 3+b 3)-(a 2b +ab 2)=(a +b )(a -b )2.因为a ,b 都是正数,所以a +b >0.又因为a ≠b ,所以(a -b )2>0.于是(a +b )(a -b )2>0,即(a 3+b 3)-(a 2b +ab 2)>0,所以a 3+b 3>a 2b +ab 2.2.已知a ,b ,c 都是正数,求证:a 2b 2+b 2c 2+c 2a 2a +b +c ≥abc .证明 因为b 2+c 2≥2bc ,a 2>0,所以a 2(b 2+c 2)≥2a 2bc ,①同理,b 2(a 2+c 2)≥2ab 2c ,②c 2(a 2+b 2)≥2abc 2,③①②③相加得2(a 2b 2+b 2c 2+c 2a 2)≥2a 2bc +2ab 2c +2abc 2,从而a 2b 2+b 2c 2+c 2a 2≥abc (a +b +c ).由a ,b ,c 都是正数,得a +b +c >0,因此a 2b 2+b 2c 2+c 2a 2a +b +c ≥abc .3.(2017·安徽联考)已知函数f (x )=|x |-|2x -1|,记f (x )>-1的解集为M .(1)求M ;(2)已知a ∈M ,比较a 2-a +1与1a 的大小.解析 (1)f (x )=|x |-|2x -1|=⎩⎪⎨⎪⎧ x -1,x ≤0,3x -1,0<x <12,-x +1,x ≥12.由f (x )>-1,得⎩⎪⎨⎪⎧ x ≤0,x -1>-1或⎩⎪⎨⎪⎧0<x <12,3x -1>-1或⎩⎪⎨⎪⎧x ≥12,-x +1>-1,解得0<x <2,故M ={x |0<x <2}.(2)由(1)知0<a <2,因为a 2-a +1-1a =a 3-a 2+a -1a =(a -1)(a 2+1)a ,当0<a <1时,(a -1)(a 2+1)a <0,所以a 2-a +1<1a ,当a =1时,(a -1)(a 2+1)a =0,所以a 2-a +1=1a, 当1<a <2时,(a -1)(a 2+1)a >0,所以a 2-a +1>1a, 综上所述当0<a <1时,a 2-a +1<1a,当a =1时, a 2-a +1=1a ,当1<a <2时,a 2-a +1>1a. 4.(2016·全国卷Ⅲ)已知函数f (x )=⎪⎪⎪⎪x -12+⎪⎪⎪⎪x +12,M 为不等式f (x )<2的解集. (1)求M ;(2)证明:当a ,b ∈M 时,||a +b <||1+ab .解析 (1)f (x )=⎩⎪⎨⎪⎧ -2x ,x ≤-12,1,-12<x <12,2x ,x ≥12. 当x ≤-12时,由f (x )<2得-2x <2, 解得x >-1,即-1<x ≤-12; 当-12<x <12时,f (x )<2,即-12<x <12; 当x ≥12时,由f (x )<2得2x <2,解得x <1,即12≤x <1. 所以f (x )<2的解集M ={x |-1<x <1}.(2)证明:由(1)知,当a ,b ∈M 时,-1<a <1,-1<b <1,从而(a +b )2-(1+ab )2=a 2+b 2-a 2b 2-1=(a 2-1)(1-b 2)<0.因此|a +b |<|1+ab |.5.(2017·全国卷Ⅱ)已知a >0,b >0,a 3+b 3=2.证明:(1)(a +b )(a 5+b 5)≥4;(2)a +b ≤2.证明 (1)(a +b )(a 5+b 5) =a 6+ab 5+b 6+a 5b=(a 3+b 3)2-2a 3b 3+ab (a 4+b 4)=4+ab (a 2-b 2)2≥4.(2)因为(a +b )3=a 3+3a 2b +3ab 2+b 3=2+3ab (a +b )≤2+3(a +b )24(a +b )=2+3(a +b )34,所以(a +b )3≤8,因此a +b ≤2.6.(2018·东北三校二模)已知a ,b ,c >0,a +b +c =1.求证: (1)a +b +c ≤3;(2)13a +1+13b +1+13c +1≥32. 证明 (1)∵由柯西不等式得(a +b +c )2=(1·a +1·b +1·c )2≤(12+12+12)·[(a )2+(b )2+(c )2]=3, 当且仅当1a =1b =1c ,即a =b =c =13时等号成立, ∴a +b +c ≤ 3.(2)∵由柯西不等式得[(3a +1)+(3b +1)+(3c +1)]·⎝⎛⎭⎫13a +1+13b +1+13c +1≥⎝ ⎛⎭⎪⎫3a +1·13a +1+3b +1·13b +1+3c +1·13c +12=9⎝⎛⎭⎫当且仅当a =b =c =13时取等号,又a +b +c =1,∴6⎝⎛⎭⎫13a +1+13b +1+13c +1≥9,∴13a +1+13b +1+13c +1≥32.。
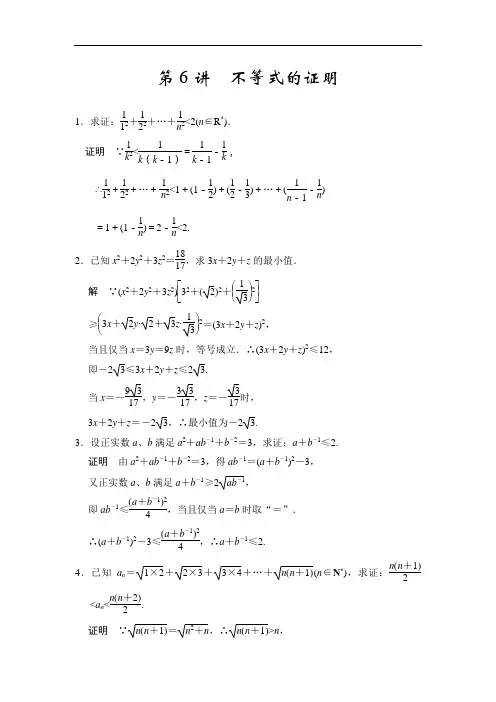
第6讲 不等式的证明1.求证:112+122+…+1n 2<2(n ∈R *).证明 ∵1k 2<1k (k -1)=1k -1-1k, ∴112+122+…+1 n 2<1+(1-12)+(12-13)+…+(1n -1-1n ) =1+(1-1n )=2-1n <2.2.已知x 2+2y 2+3z 2=1817,求3x +2y +z 的最小值.解 ∵(x 2+2y 2+3z 2)⎣⎢⎡⎦⎥⎤32+(2)2+⎝ ⎛⎭⎪⎫132 ≥⎝⎛⎭⎪⎫3x +2y ·2+3z ·132=(3x +2y +z )2, 当且仅当x =3y =9z 时,等号成立.∴(3x +2y +z )2≤12,即-23≤3x +2y +z ≤2 3.当x =-9317,y =-3317,z =-317时,3x +2y +z =-23,∴最小值为-2 3.3.设正实数a 、b 满足a 2+ab -1+b -2=3,求证:a +b -1≤2.证明 由a 2+ab -1+b -2=3,得ab -1=(a +b -1)2-3,又正实数a 、b 满足a +b -1≥2ab -1,即ab -1≤(a +b -1)24,当且仅当a =b 时取“=”. ∴(a +b -1)2-3≤(a +b -1)24,∴a +b -1≤2. 4.已知a n =1×2+2×3+3×4+…+n (n +1)(n ∈N *),求证:n (n +1)2<a n <n (n +2)2.证明 ∵n (n +1)=n 2+n ,∴n (n +1)>n ,∴a n =1×2+2×3+…+n (n +1)>1+2+3+…+n =n (n +1)2. ∵n (n +1)<n +(n +1)2, ∴a n <1+22+2+32+3+42+…+n +(n +1)2=12+(2+3+…+n )+n +12=n (n +2)2.综上得:n (n +1)2<a n <n (n +2)2.5.已知x ,y ,z 均为正数.求证:x yz +y zx +z xy ≥1x +1y +1z .证明 因为x 、y 、z 均为正数.所以x yz +y zx =1z ⎝ ⎛⎭⎪⎫x y +y x ≥2z , 同理可得y zx +z xy ≥2x ,z xy +x yz ≥2y ,当且仅当x =y =z 时,以上三式等号都成立.将上述三个不等式两边分别相加,并除以2,得x yz +y zx +z xy ≥1x +1y +1z . 6.已知a 、b 都是正实数,且ab =2.求证:(1+2a )(1+b )≥9.证明 法一 因为a 、b 都是正实数,且ab =2,所以2a +b ≥22ab =4.所以(1+2a )(1+b )=1+2a +b +2ab ≥9.法二 因为a 、b 都是正实数,所以由柯西不等式可知(1+2a )(1+b )=[12+(2a )2][12+(b )2]≥(1+2ab )2.又ab =2,所以(1+2ab )2=9.所以(1+2a )(1+b )≥9.法三 因为ab =2,所以(1+2a )(1+b )=(1+2a )⎝ ⎛⎭⎪⎫1+2a =5+2⎝ ⎛⎭⎪⎫a +1a .因为a 为正实数,所以a +1a ≥2 a ·1a =2.所以(1+2a )(1+b )≥9. 法四 因为a 、b 都是正实数,所以(1+2a )(1+b )=(1+a +a )·⎝ ⎛⎭⎪⎫1+b 2+b 2≥3·3a 2·3·3b 24=9·3a 2b 24.又ab =2,所以(1+2a )(1+b )≥9.7.设实数x 、y 、z 满足x +2y -3z =7,求x 2+y 2+z 2的最小值.证明 由柯西不等式,得(x 2+y 2+z 2)·[12+22+(-3)2]≥(x +2y -3z )2.∵x +2y -3z =7,∴x 2+y 2+z 2≥72. 当且仅当x =y 2=z -3时取等号, 即x =12,y =1,z =-32时取等号.∴x 2+y 2+z 2的最小值为72.8.已知m 、n 是正数,证明:m 3n +n 3m ≥m 2+n 2.证明 ∵m 3n +n 3m -m 2-n 2=m 3-n 3n +n 3-m 3m=(m 3-n 3)(m -n )mn =(m -n )2(m 2+mn +n 2)mn, ∵m 、n 均为正实数,∴(m -n )2(m 2+mn +n 2)mn ≥0,∴m 3n +n 3m≥m 2+n 2. 当且仅当m =n 时,等号成立.9.已知a 、b 、c 满足abc =1,求证:(a +2)(b +2)(c +2)≥27.证明 (a +2)(b +2)(c +2)=(a +1+1)(b +1+1)(c +1+1)≥3·3a ·3·3b ·3·3c=27·3abc =27.当且仅当a =b =c =1时等号成立.10.已知x 、y 、z 均为正数,求证:33⎝ ⎛⎭⎪⎫1x +1y +1z ≤ 1x 2+1y 2+1z 2.证明 由柯西不等式,得(12+12+12)⎝ ⎛⎭⎪⎫1x 2+1y 2+1z 2≥⎝ ⎛⎭⎪⎫1x +1y +1z 2.即3× 1x 2+1y 2+1z 2≥1x +1y +1z . ∴33⎝ ⎛⎭⎪⎫1x +1y +1z ≤ 1x 2+1y 2+1z 2.当且仅当1x =1y =1z 时等号成立.11.已知a ,b 为实数,且a >0,b >0.(1)求证:⎝ ⎛⎭⎪⎫a +b +1a ⎝ ⎛⎭⎪⎫a 2+1b +1a 2≥9;(2)求(5-2a )2+4b 2+(a -b )2的最小值.(1)证明 因为a >0,b >0,所以a +b +1a ≥33a ×b ×1a =33b >0,① 同理可证:a 2+1b +1a 2≥331b >0.②由①②及不等式的性质得⎝ ⎛⎭⎪⎫a +b +1a ⎝ ⎛⎭⎪⎫a 2+1b +1a 2=33b ×331b =9.(2)解 [(5-2a )2+4b 2+(a -b )2][12+12+22]≥[(5-2a )×1+2b ×1+(a -b )×2]2.所以(5-2a )2+4b 2+(a -b )2≥256.当且仅当5-2a 1=2b 1=a -b 2时取等号,即a =2512,b =512.所以当a =2512,b =512时,(5-2a )2+4b 2+(a -b )2取最小值256.12.已知a ,b 为正实数.(1)求证:a 2b +b 2a ≥a +b ;(2)利用(1)的结论求函数y =(1-x )2x +x 21-x(0<x <1)的最小值. (1)证明 法一 ∵a >0,b >0,∴(a +b )⎝ ⎛⎭⎪⎫a 2b +b 2a =a 2+b 2+a 3b +b 3a ≥a 2+b 2+2ab =(a +b )2.∴a 2b +b 2a ≥a +b ,当且仅当a =b 时等号成立.法二 ∵a 2b +b 2a -(a +b )=a 3+b 3-a 2b -ab 2ab=a 3-a 2b -(ab 2-b 3)ab =a 2(a -b )-b 2(a -b )ab=(a -b )2(a +b )ab. 又∵a >0,b >0,∴(a -b )2(a +b )ab≥0, 当且仅当a =b 时等号成立.∴a 2b +b 2a ≥a +b .(2)解 ∵0<x <1,∴1-x >0,由(1)的结论,函数y =(1-x )2x +x 21-x≥(1-x )+x =1. 当且仅当1-x =x ,即x =12时等号成立.∴函数y =(1-x )2x +x 21-x(0<x <1)的最小值为1.。
高中数学-不等式的证明精选练习(详解)1.设a ,b ,c ∈R +,且a +b +c =1.(1)求证:2ab +bc +ca +c 22≤12; (2)求证:a 2+c 2b +b 2+a 2c +c 2+b 2a ≥2.证明:(1)因为1=(a +b +c )2=a 2+b 2+c 2+2ab +2bc +2ca ≥4ab +2bc +2ca +c 2,所以2ab +bc +ca +c 22=12(4ab +2bc +2ca +c 2)≤12. (2)因为a 2+c 2b ≥2ac b ,b 2+a 2c ≥2ab c ,c 2+b 2a ≥2bc a, 所以a 2+c 2b +b 2+a 2c +c 2+b 2a≥⎝⎛⎭⎫ac b +ab c +⎝⎛⎭⎫ab c +bc a +⎝⎛⎭⎫ac b +bc a =a ⎝⎛⎭⎫c b +b c +b ⎝⎛⎭⎫a c +c a +c ⎝⎛⎭⎫a b +b a ≥2a +2b +2c =2.2.若a >0,b >0,且1a +1b =ab .(1)求a 3+b 3的最小值;(2)是否存在a ,b ,使得2a +3b =6?并说明理由.解:(1)由ab =1a +1b ≥2ab, 得ab ≥2,且当a =b =2时等号成立.故a 3+b 3≥2a 3b 3≥42,且当a =b =2时等号成立.所以a 3+b 3的最小值为4 2.(2)由(1)知,2a +3b ≥26ab ≥4 3.由于43>6,从而不存在a ,b ,使得2a +3b =6.3.设a ,b ,c ,d 均为正数,且a +b =c +d ,求证:(1)若ab >cd ,则a +b >c +d ; (2)a +b >c +d 是|a -b |<|c -d |的充要条件. 证明:(1)因为(a +b )2=a +b +2ab , (c +d )2=c +d +2cd ,由题设a +b =c +d ,ab >cd ,得(a +b )2>(c +d )2. 因此a +b >c +d .(2)①必要性:若|a -b |<|c -d |,则(a -b )2<(c -d )2,即(a +b )2-4ab <(c +d )2-4cd .因为a +b =c +d ,所以ab >cd .由(1),得a +b >c +d . ②充分性:若a +b >c +d ,则(a +b )2>(c +d )2,即a +b +2ab >c +d +2cd .因为a +b =c +d ,所以ab >cd .于是(a -b )2=(a +b )2-4ab <(c +d )2-4cd =(c -d )2.因此|a -b |<|c -d |. 综上,a +b >c +d 是|a -b |<|c -d |的充要条件.4.已知定义在R 上的函数f (x )=|x +1|+|x -2|的最小值为a .(1)求a 的值;(2)若p ,q ,r 是正实数,且满足p +q +r =a ,求证:p 2+q 2+r 2≥3.解:(1)因为|x +1|+|x -2|≥|(x +1)-(x -2)|=3,当且仅当-1≤x ≤2时,等号成立,所以f (x )的最小值等于3,即a =3.(2)证明:由(1)知p +q +r =3,又因为p ,q ,r 是正实数,所以(p 2+q 2+r 2)(12+12+12)≥(p ×1+q ×1+r ×1)2=(p +q +r )2=9,即p 2+q 2+r 2≥3.5.已知函数f (x )=|x -1|.(1)解不等式f (2x )+f (x +4)≥8;(2)若|a |<1,|b |<1,a ≠0,求证:f (ab )|a |>f ⎝⎛⎭⎫b a . 解:(1)f (2x )+f (x +4)=|2x -1|+|x +3|=⎩⎪⎨⎪⎧ -3x -2,x <-3,-x +4,-3≤x <12,3x +2,x ≥12,当x <-3时,由-3x -2≥8,解得x ≤-103; 当-3≤x <12时,-x +4≥8无解; 当x ≥12时,由3x +2≥8,解得x ≥2. 所以不等式f (2x )+f (x +4)≥8的解集为⎩⎨⎧⎭⎬⎫x ⎪⎪x ≤-103或x ≥2. (2)证明:f (ab )|a |>f ⎝⎛⎭⎫b a 等价于f (ab )>|a |f ⎝⎛⎭⎫b a , 即|ab -1|>|a -b |.因为|a |<1,|b |<1,所以|ab -1|2-|a -b |2=(a 2b 2-2ab +1)-(a 2-2ab +b 2)=(a 2-1)(b 2-1)>0,所以|ab -1|>|a -b |.故所证不等式成立.6.(·武昌调研)设函数f (x )=|x -2|+2x -3,记f (x )≤-1的解集为M .(1)求M ;(2)当x ∈M 时,证明:x [f (x )]2-x 2f (x )≤0.解:(1)由已知,得f (x )=⎩⎪⎨⎪⎧x -1,x ≤2,3x -5,x >2. 当x ≤2时,由f (x )=x -1≤-1,解得x ≤0,此时x ≤0;当x >2时,由f (x )=3x -5≤-1,解得x ≤43,显然不成立. 故f (x )≤-1的解集为M ={x |x ≤0}.(2)证明:当x ∈M 时,f (x )=x -1,于是x [f (x )]2-x 2f (x )=x (x -1)2-x 2(x -1)=-x 2+x=-⎝⎛⎭⎫x -122+14. 令g (x )=-⎝⎛⎭⎫x -122+14, 则函数g (x )在(-∞,0]上是增函数,∴g (x )≤g (0)=0.故x [f (x )]2-x 2f (x )≤0.7.已知a ,b 都是正实数,且a +b =2,求证:a 2a +1+b 2b +1≥1. 证明:∵a >0,b >0,a +b =2,∴a 2a +1+b 2b +1-1=a 2(b +1)+b 2(a +1)-(a +1)(b +1)(a +1)(b +1)=a 2b +a 2+b 2a +b 2-ab -a -b -1(a +1)(b +1)=a 2+b 2+ab (a +b )-ab -(a +b )-1(a +1)(b +1)=a 2+b 2+2ab -ab -3(a +1)(b +1)=(a +b )2-3-ab (a +1)(b +1)=1-ab (a +1)(b +1). ∵a +b =2≥2ab ,∴ab ≤1.∴1-ab (a +1)(b +1)≥0. ∴a 2a +1+b 2b +1≥1. 8.设函数f (x )=x -|x +2|-|x -3|-m ,若∀x ∈R ,1m-4≥f (x )恒成立. (1)求实数m 的取值范围;(2)求证:log (m +1)(m +2)>log (m +2)(m +3).解:(1)∵∀x ∈R ,1m -4≥f (x )恒成立,∴m +1m ≥x -|x +2|-|x -3|+4恒成立.令g (x )=x -|x +2|-|x -3|+4=⎩⎪⎨⎪⎧ 3x +3,x <-2,x -1,-2≤x ≤3,-x +5,x >3.∴函数g (x )在(-∞,3]上是增函数,在(3,+∞)上是减函数, ∴g (x )max =g (3)=2,∴m +1m ≥g (x )max =2,即m +1m -2≥0⇒m 2-2m +1m =(m -1)2m≥0, ∴m >0,综上,实数m 的取值范围是(0,+∞).(2)证明:由m >0,知m +3>m +2>m +1>1,即lg(m +3)>lg(m +2)>lg(m +1)>lg 1=0.∴要证log (m +1)(m +2)>log (m +2)(m +3).只需证lg (m +2)lg (m +1)>lg (m +3)lg (m +2), 即证lg(m +1)·lg(m +3)<lg 2(m +2),又lg(m +1)·lg(m +3)< ⎣⎡⎦⎤lg (m +1)+lg (m +3)2 2 =[lg (m +1)(m +3)]24<[lg (m 2+4m +4)]24=lg 2(m +2), ∴log (m +1)(m +2)>log (m +2)(m +3)成立.。
高中数学不等式证明题目训练卷及答案一、选择题1、若\(a > b > 0\),则下列不等式中一定成立的是()A \(a +\frac{1}{b} > b +\frac{1}{a}\)B \(\frac{b + 1}{a + 1} >\frac{b}{a}\)C \(a \frac{1}{b} > b \frac{1}{a}\)D \(\frac{2a + b}{a + 2b} >\frac{a}{b}\)答案:A解析:因为\(a > b > 0\),所以\(a b > 0\)。
A 选项:\((a +\frac{1}{b})(b +\frac{1}{a})=(a b) +(\frac{1}{b} \frac{1}{a})=(a b) +\frac{a b}{ab}> 0\),所以\(a +\frac{1}{b} > b +\frac{1}{a}\),A 选项正确。
B 选项:\(\frac{b + 1}{a + 1} \frac{b}{a} =\frac{a(b+ 1) b(a + 1)}{a(a + 1)}=\frac{a b}{a(a + 1)}\),因为\(a(a + 1) > 0\),但\(a b\)的正负不确定,所以\(\frac{b + 1}{a + 1}\)与\(\frac{b}{a}\)大小不确定,B 选项错误。
C 选项:\((a \frac{1}{b})(b \frac{1}{a})=(a b) (\frac{1}{b} \frac{1}{a})=(a b) \frac{a b}{ab}\),当\(ab > 1\)时,\((a b) \frac{a b}{ab} < 0\),C 选项错误。
D 选项:\(\frac{2a + b}{a + 2b} \frac{a}{b} =\frac{b(2a + b) a(a + 2b)}{b(a + 2b)}=\frac{b^2 a^2}{b(a +2b)}\),因为\(b^2 a^2 < 0\),\(b(a + 2b) > 0\),所以\(\frac{2a + b}{a + 2b} \frac{a}{b} < 0\),D 选项错误。
高三数学不等式的性质试题答案及解析1.“”是“”的()A.充分不必要条件B.必要不充分条件C.充要条件D.既不充分又不必要条件【答案】A【解析】∵不等式的性质,所以选A.【考点】不等式的性质.2.若为非零实数,且,则下列命题成立的是()A.B.C.D.【答案】D【解析】∵,,,∴由于a,b的正负不确定,所以A,B,C都错,所以D正确.【考点】作差法比较大小.3.已知实数满足,则下面关系是恒成立的是()A.B.C.D.【答案】D【解析】由及指数函数的性质得,所以,,选D.【考点】指数函数的性质,不等式的性质.4.设则()A.B.C.D.【答案】C.【解析】因为所以,选C.【考点】比较大小5.已知a<0,-1<b<0,那么下列不等式成立的是()A.a>ab>ab2B.ab2>ab>aC.ab>a>ab2D.ab>ab2>a【答案】D【解析】∵a<0,-1<b<0,∴ab2-a=a(b2-1)>0,ab-ab2=ab(1-b)>0.∴ab>ab2>a.也可利用特殊值法,取a=-2,b=-,则ab2=-,ab=1,从而ab>ab2>a.故应选D.6.已知f(x)=ax2-c,且-4≤f(1)≤-1,-1≤f(2)≤5,则f(3)的取值范围是()A.[-1,20]B.(-1,20)C.[-7,26]D.(-7,26)【答案】A【解析】∵f(1)=a-c,f(2)=4a-c,∴a= [f(2)-f(1)].c=-f(1)+f(2),∴f(3)=9a-c=f(2)-f(1).∵-1≤f(2)≤5,-≤f(2)≤.又-4≤f(1)≤-1,≤-f(1)≤.∴-1≤f(3)≤20.7. [2014·绵阳周测]设t=a+2b,s=a+b2+1,则下列关于t和s的大小关系中正确的是() A.t>s B.t≥s C.t<s D.t≤s【答案】D【解析】s-t=b2-2b+1=(b-1)2≥0,∴s≥t,选D项.8. [2014·银川质检]当x∈(0,+∞)时可得到不等式x+≥2,x+=++()2≥3,由此可以推广为x+≥n+1,取值p等于 ()A.n n B.n2C.n D.n+1【答案】A【解析】∵x∈(0,+∞)时可得到不等式x+≥2,x+=++()2≥3,∴在p位置出现的数恰好是不等式左边分母x n的指数n的n次方,即p=n n.9.已知且,则“”是“”的()A.充分不必要条件B.必要不充分条件C.充要条件D.既不充分也不必要条件【答案】B【解析】或,所以是的必要非充分条件.故选B.【考点】充分必要条件10.“”是“”的()A.充分而不必要条件B.必要而不充分条件C.充要条件D.既不充分也不必要条件【答案】【解析】由所以“”是“” 充分而不必要条件故选.【考点】充分性和必要性.11.(2014·十堰模拟)若不等式-a<x-1<a成立的充分条件是0<x<4,则实数a的取值范围是________.【答案】a≥3【解析】设A={x|-a<x-1<a}={x|1-a<x<1+a},B={x|0<x<4},依题意知B⊆A,因此解得a≥3. 12.已知a,b,c,d∈R,用分析法证明:ac+bd≤并指明等号何时成立.【答案】见解析【解析】(1)当ac+bd≤0时,≥0,故不等式显然成立,此时a=b=c=d=0时等号成立.(2)当ac+bd>0时,要证原不等式成立,只需证(ac+bd)2≤(a2+b2)(c2+d2),即证a2c2+2abcd+b2d2≤a2c2+a2d2+b2c2+b2d2.即证2abcd≤a2d2+b2c2,即0≤(bc-ad)2.因为a,b,c,d∈R,所以上式恒成立,故不等式成立,此时等号成立的条件为bc=ad.所以由(1)(2)知原不等式成立.13.已知经过计算和验证有下列正确的不等式:+<2,+<2,+<2,根据以上不等式的规律,请写出一个对正实数m,n都成立的条件不等式________.【答案】若m>0,n>0,则当m+n=20时,有+<2【解析】观察所给不等式可以发现:不等式左边两个根式的被开方数的和等于20,不等式的右边都是2,因此对正实数m,n都成立的条件不等式是若m>0,n>0,则当m+n=20时,有+<2.14.函数f(x)=的定义域为()A.(﹣3,0]B.(﹣3,1]C.(﹣∞,﹣3)∪(﹣3.0)D.(﹣∞,﹣3)∪(﹣3,1)【答案】A【解析】由函数f(x)=可得 1﹣2x≥0 且x+3>0,解得﹣3<x≤0,故函数f(x)=的定义域为 {x|﹣3<x≤0},故选A.15.设、,若,则下列不等式中正确的是( )A.B.C.D.【答案】D【解析】当时,,当时,,∴,∴,【考点】不等式的性质.16.(设函数f(x)=|x+a|-|x-4|,x R(1)当a=1时,解不等式f(x)<2;(2)若关于x的不等式f(x)≤5-|a+l|恒成立,求实数a的取值范围.【答案】(1);(2).【解析】本题主要考查绝对值不等式的解法、不等式的性质及恒成立问题等数学知识,考查学生的转化能力和计算能力.第一问,将函数化为分段函数,再解不等式;第二问,利用不等式的性质先求的最大值,再解这个绝对值不等式即可.试题解析:①∵,∴由得.(4分)②因为,要使恒成立,须使,即,解得.(7分)【考点】1.绝对值不等式的解法;2.不等式的性质.17.要证明a2+b2-1-a2b2≤0,只要证明()A.2ab-1-a2b2≤0B.a2+b2-1-≤0C.-1-a2b2≤0D.(a2-1)(b2-1)≥0【答案】D【解析】a2+b2-1-a2b2≤0⇔(a2-1)(b2-1)≥0.18.已知x,y均为正数,且x≠y,则下列四个数中最大的一个是()A.(+)B.C.D.【答案】A【解析】取x=1,y=2,可得(+)=,=,=,=,因此最大的是(+),故选A.19.使a<b成立的一个充分不必要条件是()A.a<b+1B.a<b-1C.>D.a3<b3【答案】B【解析】当a<b-1时,一定有a<b,但当a<b时,不一定有a<b-1,故a<b-1是a<b的充分不必要条件.A选项中的条件是必要不充分条件,C项既不是充分条件也不是必要条件,D项是充要条件.20.若A=+3与B=+2,则A,B的大小关系是()A.A>B B.A<BC.A≥B D.不确定【答案】A【解析】A-B=+3-(+2)=(-)2+≥>0,所以A>B,故选A.21.已知a,b,c∈(0,+∞),若<<,则有()A.c<a<b B.b<c<aC.a<b<c D.c<b<a【答案】A【解析】由<<,可得+1<+1<+1,即<<,所以a+b>b+c>c+a.由a+b>b+c可得a>c;由b+c>c+a可得b>a,于是有c<a<b.22.若m,n∈N*,则“a>b”是“a m+n+b m+n>a n b m+a m b n”的()A.充分而不必要条件B.必要而不充分条件C.充要条件D.既不充分也不必要条件【答案】D【解析】a m+n+b m+n>a n b m+a m b n(a m-b m)(a n-b n)>0.当a>b时,由于a,b可能为负值,m,n奇偶不定,因此不能得出(a m-b m)(a n-b n)>0;当(a m-b m)·(a n-b n)>0时,即使在a,b均为正数时也有a<b的可能,因此也得不出a>b.所以“a>b”是“a m+n+b m+n>a n b m+a m b n”的既不充分也不必要条件.【误区警示】不等式性质的使用前提23.观察下列不等式:①<1;②+<;③++<;…;则第5个不等式为________.【答案】++++<【解析】不等式左边为++…+,不等式右边为,故第5个不等式为++++<24.设a,b,c为正实数,求证:+abc≥2.【答案】见解析【解析】因为a,b,c为正实数,由均值不等式可得≥3,即≥. 所以+abc≥+abc.而+abc≥2=2,所以+abc≥225.已知函数f(x)=|x-2|,g(x)=-|x+3|+m.(1)解关于x的不等式f(x)+a-1>0(a∈R);(2)若函数f(x)的图象恒在函数g(x)图象的上方,求m的取值范围.【答案】(1)(-∞,a+1)∪(3-a,+∞);(2)(-∞,5).【解析】(1)本题是一个含参不等式的求解,需要按a=1,a>1,a<1进行讨论;(2)f(x)的图象恒在函数g(x)图象的上方,即为|x-2|>-|x+3|+m对任意实数x恒成立,分离参数为|x-2|+|x +3|>m恒成立.所以对任意实数x恒有|x-2|+|x+3|≥|(x-2)-(x+3)|=5,于是得m<5.试题解析:(1)不等式f(x)+a-1>0,即|x-2|+a-1>0,当a=1时,解集为x≠2,即(-∞,2)∪(2,+∞);当a>1时,解集为全体实数R;当a<1时,∵|x-2|>1-a,∴x-2>1-a或x-2<a-1,∴x>3-a或x<a+1,故解集为(-∞,a+1)∪(3-a,+∞).(2)f(x)的图象恒在函数g(x)图象的上方,即为|x-2|>-|x+3|+m对任意实数x恒成立,即|x-2|+|x+3|>m恒成立.又对任意实数x恒有|x-2|+|x+3|≥|(x-2)-(x+3)|=5,于是得m<5,即m的取值范围是(-∞,5).【考点】1.含参不等式的求解;2.不等式恒成立问题.26.若(m¹0)对一切x≥4恒成立,则实数m的取值范围是【答案】【解析】当时,当时,或.因为不等式对一切x≥4恒成立,所以不能满足,因此且,所以.本题恒成立问题,从解不等式出发,利用解集形式得出不等关系.【考点】不等式恒成立.27.若关于的不等式对任意的正实数恒成立,则实数的取值范围是 .【答案】【解析】解法一:由得由不等式得或所以解法二:图像法.与的图像不能同时在轴上方或下方,所以它们与轴的交点必然重合,所以本题难点在于将原不等式对正实数恒成立理解为两个不等组解集的并集为正实数集.【考点】解不等式,不等式恒成立.28.已知均为正数,证明:.【答案】详见解析.【解析】可利用三元或二元基本不等式证明,但要注意合理的配凑.试题解析:证法一:因为均为正数,由均值不等式得, 2分因为,所以. 5分故.又3,所以原不等式成立. 10分证法二:因为均为正数,由基本不等式得,,.所以. 2分同理, 5分所以.所以原不等式成立. 10分【考点】基本不等式的应用.29.设,则下列不等式一定成立的是()A.B.C.D.【答案】D【解析】本题主要考查不等式的性质,在不等式的性质中,与乘除相关的性质中有条件“均为正数”,否则不等式不一定成立,如本题中当都是负数时,都不成立,当然只能选D,事实上由于函数是增函数,故是正确的.【考点】不等式的性质.30.不等式对任意实数恒成立,则实数的取值范围为_________________【答案】[-1,4](或-1≤a≤4)【解析】因为,所以,解得.【考点】绝对值不等式的性质,恒成立问题.31.已知,.(1)求的最小值;(2)证明:.【答案】(1)最小值为3;(2)证明过程详见解析.【解析】本题主要考查利用基本不等式进行不等式的证明问题,考查学生的分析问题的能力和转化能力.第一问,用基本不等式分别对和进行计算,利用不等式的可乘性,将两个式子乘在一起,得到所求的表达式的范围,注意等号成立的条件必须一致;第二问,先用基本不等式将,,变形,再把它们加在一起,得出已知中出现的,从而求出最小值,而所求证的式子的右边,须作差比较大小,只需证出差值小于0即可.试题解析:(Ⅰ)因为,,所以,即,当且仅当时,取最小值3. 5分(Ⅱ).又,所以.【考点】1.基本不等式;2.不等式的性质;3.作差比较大小.32.已知,那么下列不等式成立的是A.B.C.D.【答案】D【解析】由于每个式子中都有,故先比较的大小.因为,所以.又.【考点】不等关系.33.设函数(1)若的最小值为3,求的值;(2)求不等式的解集.【答案】(1);(2)【解析】本题考查绝对值不等式的解法和不等式恒成立问题,考查学生的分类讨论思想和转化能力以及计算能力.第一问,利用不等式的性质,得出的最小值,列出等式,解出的值;第二问,解含参绝对值不等式,用零点分段法去掉绝对值,由于已知中有和4的大小,所以直接解不等式即可,最后综合上述所得不等式的解集.试题解析:⑴因为因为,所以当且仅当时等号成立,故为所求. 4分⑵不等式即不等式,①当时,原不等式可化为即所以,当时,原不等式成立.②当时,原不等式可化为即所以,当时,原不等式成立.③当时,原不等式可化为即由于时所以,当时,原不等式成立.综合①②③可知:不等式的解集为 10分【考点】1.不等式的性质;2.绝对值不等式的解法.34.若在内恒成立,则实数的取值范围是 .【答案】【解析】本题不等式恒成立问题可采用分离参数法.在内恒成立转化为在内恒成立,即,即只要求时的最大值,易求得最大值为3,故.【考点】分离参数法.35.集合,且、、恰有一个成立,若且,则下列选项正确的是( )A.,B.,C.,D.,【答案】B【解析】从集合的定义,可三个不等式,也可得三个不等式,组合之后可知满足不等关系且,或且,或且,或且,这样可能有或或或,于是不一定成立,也不一定成立,故A,C,D都不能选,只能选B.【考点】不等关系.36.若和均为非零实数,则下列不等式中恒成立的是()A..B..C..D..【答案】D【解析】令,则,于是;令,则;令,则;,即,两边同乘以得.【考点】基本不等式37.已知,则下列不等式中总成立的是()A.B.C.D.【答案】A.【解析】,故选A.【考点】不定式的性质.38.若是任意实数,,则下列不等式成立的是( )A.B.C.D.【答案】D【解析】当时,,可排除A,B,C,故选D.【考点】不等式性质.39.设,则的大小关系是( )A.B.C.D.【答案】D【解析】,,,所以最小,而,,所以,即,所以综上得:.【考点】比较大小.40.已知函数.(1)解不等式;(2)若,且,求证:.【答案】(1)不等式的解集为;(2)证明过程详见解析.【解析】本题考查解绝对值不等式和证明不等式,意在考查考生运用函数零点分类讨论的解题思想.第一问,利用函数零点将绝对值去掉,将函数转化为分段函数,分类讨论解不等式;第二问,先利用已知函数将所证结论进行转化变成,再利用作差法先证,再开方即可.试题解析:(Ⅰ),当时,由,解得;当时,不成立;当时,由,解得.…4分所以不等式的解集为.…5分(Ⅱ)即.…6分因为,所以,所以.故所证不等式成立.…10分【考点】1.解绝对值不等式;2.作差法证明不等式.41.已知的最小值是,则二项式展开式中项的系数为()A.B.C.D.【答案】A【解析】,当且仅当时取等号,∴二项式为,∴,∴令,∴,∴.【考点】1.不等式的性质;2.二项式定理.42.若a>0,b>0,且a+b=4,则下列不等式恒成立的是()A.>B.+≤1C.≥2D.a2+b2≥8【答案】D【解析】因为a>0,b>0利用基本不等式有,当且仅当时等号成立,C 错;由得,,A错;,当且仅当时,等号成立,D正确;,当且仅当时等号成立,B错;综上可知,选D.【考点】基本不等式、不等式的性质.43.求下列不等式的解集(Ⅰ)(Ⅱ)【答案】(Ⅰ);(Ⅱ).【解析】(Ⅰ)这是一个含绝对值的不等式,解此类不等式一般可用零点分类讨论,化为解不等式组的问题,另外也可以将其变形为,然后两边平方转化为一元二次不等式求解;(Ⅱ)同样用零点分类讨论,化为解不等式组的问题,也可以利用型不等式解法求解;试题解析:(Ⅰ)解法1:原不等式等价于或或这三个不等式组的解集分别为,,,所以原不等式的解集为; 5分解法2:原不等式等价于,两边平方整理得,,解得,所以原不等式的解集为; 5分(Ⅱ)解法1:原不等式等价于或这两个不等式组的解集分别为,,所以原不等式的解集为; 10分解法2:原不等式等价于,所以或,解得或所以原不等式的解集为. 10分【考点】含绝对值的不等式.44.设,,,则()A.B.C.D.【答案】A【解析】因为,而,故.【考点】指对数的计算以及余弦符号的判断.45.设正有理数x是的一个近似值,令.(Ⅰ)若;(Ⅱ)比较y与x哪一个更接近于,请说明理由.【答案】(Ⅰ)详见解析;(Ⅱ)详见解析.【解析】试题分析;(Ⅰ)利用差比较法证明;(Ⅱ)利用差比较法证明.试题解析:(Ⅰ),,. (5分)(Ⅱ),,,,而,,即,所以比更接近于.【考点】绝对值不等式.46.若不等式对一切成立,则实数的取值范围为____________.【答案】或【解析】根据,化简原不等式为,令,则,成立,有,解得或.【考点】三角函数恒等变形,恒成立问题,二次函数的图像与性质.47.若则________________________。
1、已知a, b ∈ R,且a + b = 1。
求证:3a + 3b < 4。
以下哪个选项是正确的推导步骤?A. 利用均值不等式,得到3a + 3b ≥ 2√(3a * 3b)B. 直接计算3a + 3b的值C. 利用指数函数的性质,得到3a + 3b > 4D. 通过代入a + b = 1,化简得到3a + 3b < 4(答案:A,后续需进一步推导至D的结论)2、设x, y > 0,且x + y = 4。
下列不等式中正确的是:A. x2 + y2 ≥ 8B. √(xy) ≥ 2C. 1/(x + 1) + 1/(y + 1) ≤ 1/2D. x3 + y3 ≥ 64(答案:A)3、若a, b, c > 0,且a + b + c = 1,则下列不等式成立的是:A. a2 + b2 + c2 ≥ 1/3B. abc ≥ (1/3)3C. 1/(a + b) + 1/c ≥ 4D. √a + √b + √c ≤ 1(答案:A)4、设x > 1,y > 1,且xy = 4。
下列不等式正确的是:A. x + y ≥ 4B. x + y ≤ 4C. 1/x + 1/y ≥ 1D. 1/x + 1/y ≤ 1/2(答案:C)5、已知a, b > 0,且a + b = 2。
下列不等式中正确的是:A. a3 + b3 ≥ 8B. ab ≥ 1C. 1/a + 1/b ≤ 2D. √(a2 + b2) ≤ 2(答案:D)6、设x, y ∈ R,且xy ≠ 0。
若|x| + |y| = 2,则下列不等式恒成立的是:A. x2 + y2 ≥ 2B. 1/x2 + 1/y2 ≥ 1C. |x + y| ≥ 2D. |x - y| ≤ 2(答案:A)7、已知a, b, c ∈ R,且a - b = b - c = 1/2。
则下列不等式中正确的是:A. a2 + b2 + c2 ≥ 3/2B. ab + bc + ca ≥ -1/4C. a + b + c ≤ 3/2D. |a| + |b| + |c| ≥ 3/2(答案:B,注意此题需利用平方和与平方差公式进行推导)8、设x > 0,y > 0,且x + y = 5。
高二数学同步测试—不等式的证明班级:姓名:一、选择题(本大题共10小题,每小题5分,共50分)1.四个不相等的正数a,b,c,d成等差数列,则()A.B.C.D.2.综合法证明不等式中所说的“由因导果”是指寻求使不等式成立的()A.必要条件B.充分条件C.充要条件D.必要或充分条件3.在①,②③,其中正确的个数是()A.0 B.1 C.2 D.34.下列函数中最小值是2的是()A.B.C.D.5.设,则x,y的大小是()A. B.C.D.与m,n的取值有关6.已知a、b、m是正实数,则不等式()A.当a> b时成立B.当a< b时成立C.是否成立与m有关D.一定成立7.如果正数满足,那么()A.,且等号成立时的取值唯一B.,且等号成立时的取值唯一C.,且等号成立时的取值不唯一D.,且等号成立时的取值不唯一8.在中,a,b,c分别是所对应的边,,则的取值范围是()A.(1,2)B.C.D.9.定义,其中是△内一点,、、分别是△、△、△的面积,已知△中,,,,则的最小值是()A.8 B.9 C.16 D.1810.设的最值情况是()A.有最大值2,最小值B.有最大值2,最小值0C.有最大值10,最小值D.最值不存在一、二、填空题11.若a、b、c、d∈R,且有,,则a bcd的取值范围是_______.12.若,则函数的最小值是________.13.若的大小关系是________________________.14.某市用37辆汽车往灾区运送一批救灾物资,假设以公里/小时的速度匀速直达灾区,已知某市到灾区公路线长400公里,为了安全起见,两辆汽车的间距不得小于公里,那么这批物资全部到达灾区的最少时间是________________小时.(车身长不计)15.实数_________,y=_________.三、解答题(本大题共6题,共75分)16.(12分)已知a,b,c都是正数,且a,b,c成等比数列,求证:.17.(12分)已知A =, B = x + 1, 当x≠ 1时,试比较A与B的大小, 并说明你的理由. 18.(12分)已知,且求证:19.(12分)⑴证明:当时,不等式成立。
微积分中不等式的证明方法讨论不等式的证明题经常出现在考研题中,虽然题目各种各样,但方法无非以下几种:1.利用函数的单调性证明不等式若在),(b a 上总有0)(>'x f ,则)(x f 在),(b a 单调增加;若在),(b a 上总有0)(<'x f ,则)(x f 在),(b a 单调减少。
注:考研题的难点是,构造恰当的辅助函数,有时需要两次利用函数的单调性证明不等式,有时需要对),(b a 进行分割,分别在小区间上讨论。
例1:证明:当0a b π<<<时,sin 2cos sin 2cos b b b b a a a a ππ++>++.【分析】 利用“参数变易法”构造辅助函数,再利用函数的单调性证明.【详解】 令()sin 2cos sin 2cos ,0f x x x x x a a a a a x b πππ=++---<≤≤<, 则 ()sin cos 2sin cos sin f x x x x x x x x ππ'=+-+=-+,且()0f π'=.又 ()cos sin cos sin 0f x x x x x x x ''=--=-<,(0,s i n 0x x x π<<>时),故当0a x b π<≤≤<时,()f x '单调减少,即()()0f x f π''>=,则()f x 单调增加,于是()()0f b f a >=,即sin 2cos sin 2cos b b b b a a a a ππ++>++.【评注】 证明数值不等式一般需构造辅助函数,辅助函数一般通过移项,使不等式一端为“0”,另一端即为所作辅助函数()f x ,然后求导验证()f x 的增减性,并求出区间端点的函数值(或极限值)。
例2:设2e b a e <<<, 证明)(4ln ln 222a b e a b ->-. 【分析】即证a e a b e b 22224ln 4ln ->- 证明: 设x ex x 224ln )(-=ϕ,则 24ln 2)(ex x x -='ϕ, 2ln 12)(x x x -=''ϕ, 所以当x>e 时,,0)(<''x ϕ 故)(x ϕ'单调减少,从而当2e x e <<时,044)()(222=-='>'e e e x ϕϕ, 即当2e x e <<时,)(x ϕ单调增加.因此当2e x e <<时,)()(a b ϕϕ>, 即 a e a b e b 22224ln 4ln ->-, 故 )(4ln ln 222a b e a b ->-. 【评注】 本题也可设辅助函数为2222),(4ln ln )(e x a e a x ea x x <<<---=ϕ,请自己证明。
例3:证明不等式:0)( )1(ln )1(22>-≥-x x x x 【分析】当1=x 时,两端都等于0, 等号成立;应分∞<<<<x x 110及两种情况讨论。
即证:(1)1ln )1(,1->+>x x x x(2) 22)1(ln )1(,1-=-=x x x x(3)1ln )1(,1-<+<x x x x下面的证明就简单了。
例4:设e a b >>,证明:ba ab a b +->)(2ln 【分析】该题的关键是设辅助函数,由多种设法(1),)(2ln )(xa a x a x x f +--=e ab >> (2) )(2)ln )(ln ()(a x a x b a x f ---+=,e a b >>当然,第二种设法更简单例5:设e a x >>,0 ,证明a x a x a a )(+>+【分析】辅助函数也有多种设法(1)a x a x a a x f )()(+-=+,e a x >>,0(2) )ln(ln )()(x a a a x a x f +-+=,e a x >>,0(3) y a a y y f ln ln )(-=, e a y >>当然,第三种设法更简单。
2.利用拉格朗日中值定理证明不等式对于不等式中含有可考虑用的因子,)()(a f b f -拉格朗日中值定理先处理以下。
例6:证明:当0<b<a 时,bb a b a a b a -<<-ln 【分析】即证:b b a b a a 1ln ln 1<--< 证明:令],[,ln )(a b x x x f ∈=,在],[a b 上使用拉格朗日中值定理,知存在 ,使),(a b ∈ξξξ1)(ln ln ='=--f b a b a ,a b <<ξ所以ba 111<<ξ,即b b a b a a 1ln ln 1<--< ,变形得证。
例7:设2e b a e <<<, 证明)(4ln ln 222a b e a b ->- 【分析】即前面的例2。
证明 对函数x x f 2ln )(=在[a,b]上应用拉格朗日中值定理,得.),(ln 2ln ln 22b a a b a b <<-=-ξξξ设t t t ln )(=ϕ,则2ln 1)(t t t -='ϕ, 当t>e 时, ,0)(<'t ϕ 所以)(t ϕ单调减少,从而)()(2e ϕξϕ>,即2222ln ln e e e =>ξξ, 故 )(4ln ln 222a b e a b ->-. 例8:设0)0(,0)(=<''f x f , 证明:当+∈R x x 21,时,)()()(2121x f x f x x f +<+【分析】即证:,21x x ≤不妨设即证:)0()()()(1221f x f x f x x f +<-+,用中值定理并注意到)(x f '单调减小得证。
3.利用函数的最值证明不等式令],[)(a b x f 在区间上连续,则],[)(a b x f 在区间存在最大值M 和最小值m ,那么: M x f m ≤≤)(例9:设11≤≤x , 证明)1(,1)1(211>≤-+≤-p x x p p p 证明:令]1,0[,)1()(∈-+=x p x x f p p ,由0)1()(11=--='--p p x p px x f得11)1(---=p p x x ,球的惟一的驻点21=x , 12121)(,1)1()0(-===p f f f ,121-p 和1是)(x f 在[0,1]上的最小值和最大值。
所以:,1)1(211≤-+≤-p p p x x 4.利用泰勒公式证明不等式如果要证明的不等式中,含有函数的二阶或二阶以上的导数,一般通过泰勒公式证明不等式。
例10:)(x f 在[0,1]上具有二阶导数,且满足b x f a x f ≤''≤)(,)(,c 是(0,1)内的任意一点.证明:22)(b a c f +≤' 证明:之间。
,在x c c x f c x c f c f x f ξξ,))((21))(()()(2-''+-'+= ),0(,)(21))(()()0(121c c f c c f c f f ∈''+-'+=ξξ………………………(1) ),0(,)1)((21)1)(()()1(222c c f c c f c f f ∈-''+-'+=ξξ………………(2) (2)-(1)得:])()1)(([21)()0()1(2122c f c f c f f f ξξ''--''+'=- ])(21)1)(([21)0()1()(2122c f c f f f c f ξξ''+-''++≤'22]221[22])1[(22222b a c c b a c c b a +<+-+=+-+≤,因为 c c <2 5.积分表示的不等式的证明例11: 设f(x),g(x)在[0,1]上的导数连续,且f(0)=0,0)(≥'x f ,0)(≥'x g .证明:对任何a ]1,0[∈,有⎰⎰≥'+'ag a f dx x g x f dx x f x g 010).1()()()()()( 解:=)(x F ⎰⎰-'+'xg x f dt t g t f dt t f t g 010)1()()()()()(,则F(x)在[0,1]上的导数连续,并且=')(x F )]1()()[()1()()()(g x g x f g x f x f x g -'='-',由于]1,0[∈x 时,0)(,0)(≥'≥'x g x f ,因此0)(≤'x F ,即F(x)在[0,1]上单调递减.注意到=)1(F ⎰⎰-'+'1010)1()1()()()()(g f dt t g t f dt t f t g , 而 ⎰⎰⎰'-=='10101010)()()()()()()()(dt t g t f t f t g t df t g dt t f t g=⎰'-10)()()1()1(dt t g t f g f ,故F(1)=0.因此]1,0[∈x 时,0)(≥x F ,由此可得对任何]1,0[∈a ,有 ⎰⎰≥'+'ag a f dx x g x f dx x f x g 010).1()()()()()( 例12:设f (x ) , g (x )在[a , b ]上连续,且满足⎰⎰≥x a x adt t g dt t f )()(,x ∈ [a , b ),⎰⎰=b a b a dt t g dt t f )()(. 证明:⎰⎰≤ba b a dx x xg dx x xf )()(.解:令F (x ) = f (x ) - g (x ),⎰=x a dt t F x G )()(,由题设G (x ) ≥ 0,x ∈ [a , b ],G (a ) = G (b ) = 0,)()(x F x G ='.从而 ⎰⎰⎰⎰-=-==b a b a b a b a b a dx x G dx x G x xG x xdG dx x xF )()()()()(,由于 G (x ) ≥ 0,x ∈ [a , b ],故有0)(≤-⎰b a dx x G , 即 0)(≤⎰b a dx x xF .因此 ⎰⎰≤b a b a dx x xg dx x xf )()(.。