微积分及三角函数公式合集
- 格式:doc
- 大小:530.00 KB
- 文档页数:6
高等数学微积分公式大全一、基本导数公式⑴()0c '= ⑵1x xμμμ-= ⑶()sin cos x x '=⑷()cos sin x x '=- ⑸()2tan sec x x '= ⑹()2cot csc x x '=- ⑺()sec sec tan x x x '=⋅ ⑻()csc csc cot x x x '=-⋅⑼()xxee'= ⑽()ln xxaaa '= ⑾()1ln x x'=⑿()1log ln xax a'= ⒀()arcsin x '= ⒁()arccos x '=⒂()21arctan 1x x '=+ ⒃()21arccot 1x x '=-+⒄()1x '=⒅'=二、导数的四则运算法则()u v u v '''±=± ()uv u v uv '''=+ 2u u v uv v v '''-⎛⎫= ⎪⎝⎭三、高阶导数的运算法则 (1)()()()()()()()n n n u x v x u x v x ±=±⎡⎤⎣⎦ (2)()()()()n n cu x cu x =⎡⎤⎣⎦(3)()()()()n n nu ax b a uax b +=+⎡⎤⎣⎦(4)()()()()()()()0nn n k k k n k u x v x c u x v x -=⋅=⎡⎤⎣⎦∑ 四、基本初等函数的n 阶导数公式 (1)()()!n nxn = (2)()()n ax b n ax b e a e ++=⋅ (3)()()ln n x x n a a a =(4)()()sin sin 2n n ax b a ax b n π⎛⎫+=++⋅⎡⎤ ⎪⎣⎦⎝⎭ (5) ()()cos cos 2n nax b a ax b n π⎛⎫+=++⋅⎡⎤ ⎪⎣⎦⎝⎭ (6)()()()11!1n n nn a n ax b ax b +⋅⎛⎫=- ⎪+⎝⎭+ (7) ()()()()()11!ln 1n n n na n axb ax b -⋅-+=-⎡⎤⎣⎦+五、微分公式与微分运算法则 ⑴()0d c = ⑵()1d xxdx μμμ-= ⑶()sin cos d x xdx =⑷()cos sin d x xdx =- ⑸()2tan sec d x xdx = ⑹()2cot csc d x xdx =- ⑺()sec sec tan d x x xdx =⋅ ⑻()csc csc cot d x x xdx =-⋅ ⑼()xxd ee dx = ⑽()ln xxd a aadx = ⑾()1ln d x dx x=⑿()1logln xad dx x a =⒀()arcsin d x =⒁()arccos d x = ⒂()21arctan 1d x dx x =+ ⒃()21arccot 1d x dx x=-+ 六、微分运算法则⑴()d u v du dv ±=± ⑵()d cu cdu = ⑶()d uv vdu udv =+ ⑷2u vdu udvd v v -⎛⎫= ⎪⎝⎭七、基本积分公式⑴kdx kx c =+⎰ ⑵11x x dx c μμμ+=++⎰ ⑶ln dxx c x=+⎰ ⑷ln xxa a dx c a=+⎰ ⑸x x e dx e c =+⎰ ⑹cos sin xdx x c =+⎰ ⑺sin cos xdx x c =-+⎰⑻221sec tan cos dx xdx x c x ==+⎰⎰ ⑼221csc cot sin xdx x c x ==-+⎰⎰⑽21arctan 1dx x c x =++⎰ ⑾arcsin x c =+八、补充积分公式tan ln cos xdx x c =-+⎰ cot ln sin xdx x c =+⎰ sec ln sec tan xdx x x c =++⎰ csc ln csc cot xdx x x c =-+⎰2211arctan xdx c a x a a=++⎰ 2211ln 2x adx c x a a x a-=+-+⎰arcsinxc a=+ ln x c =+十、分部积分法公式⑴形如n ax x e dx ⎰,令nu x =,axdv e dx =形如sin n x xdx ⎰令nu x =,sin dv xdx =形如cos n x xdx ⎰令nu x =,cos dv xdx = ⑵形如arctan n x xdx ⎰,令arctan u x =,ndv x dx =形如ln n x xdx ⎰,令ln u x =,ndv x dx =⑶形如sin ax e xdx ⎰,cos ax e xdx ⎰令,sin ,cos axu e x x =均可。
高数微积分公式三角函数公式考研整理表姓名:职业工种:申请级别:受理机构:填报日期:A4打印/ 修订/ 内容可编辑高等数学公式导数公式:基本积分表:三角函数的有理式积分:一些初等函数:两个重要极限:三角函数公式:·诱导公式:·和差角公式:·和差化积公式:·倍角公式:·半角公式:·正弦定理:·余弦定理:·反三角函数性质:高阶导数公式——莱布尼兹(Leibniz)公式:中值定理与导数应用:曲率:定积分的近似计算:定积分应用相关公式:空间解析几何和向量代数:文件编号:F8-65-23-08-CC 多元函数微分法及应用微分法在几何上的应用:文件编号:F8-65-23-08-CC 方向导数与梯度:多元函数的极值及其求法:重积分及其应用:柱面坐标和球面坐标:曲线积分:曲面积分:高斯公式:斯托克斯公式——曲线积分与曲面积分的关系:常数项级数:级数审敛法:绝对收敛与条件收敛:幂级数:函数展开成幂级数:一些函数展开成幂级数:欧拉公式:三角级数:傅立叶级数:周期为的周期函数的傅立叶级数:微分方程的相关概念:一阶线性微分方程:全微分方程:二阶微分方程:二阶常系数齐次线性微分方程及其解法:二阶常系数非齐次线性微分方程整理丨尼克本文档信息来自于网络,如您发现内容不准确或不完善,欢迎您联系我修正;如您发现内容涉嫌侵权,请与我们联系,我们将按照相关法律规定及时处理。
三角积分公式大全24个1. 基本积分公式。
- ∫sin xdx = -cos x + C- ∫cos xdx=sin x + C- ∫sec^2xdx=tan x + C- ∫csc^2xdx = -cot x + C- ∫sec xtan xdx=sec x + C- ∫csc xcot xdx = -csc x + C2. 降幂公式相关积分。
- ∫sin^2xdx=(1)/(2)(x - (1)/(2)sin2x)+C,推导:sin^2x=(1 - cos2x)/(2),然后积分。
- ∫cos^2xdx=(1)/(2)(x+(1)/(2)sin2x)+C,推导:cos^2x=(1 + cos2x)/(2),再积分。
3. 积化和差公式相关积分。
- ∫sin axcos bxdx=-(cos((a + b)x))/(2(a + b))-(cos((a - b)x))/(2(a - b))+C (a≠± b)- ∫sin axsin bxdx=(sin((a - b)x))/(2(a - b))-(sin((a + b)x))/(2(a + b))+C (a≠± b)- ∫cos axcos bxdx=(sin((a - b)x))/(2(a - b))+(sin((a + b)x))/(2(a + b))+C (a≠± b)4. 换元积分法中的三角代换相关公式(以含√(a^2)-x^{2}为例)- 令x = asin t,dx=acos tdt,则∫(dx)/(√(a^2)-x^{2)}=∫ dt=t + C=arcsin(x)/(a)+C- ∫√(a^2)-x^{2}dx=frac{a^2}{2}a rcsin(x)/(a)+(x)/(2)√(a^2)-x^{2}+C,推导:通过上述代换后进行积分。
5. 换元积分法中的三角代换相关公式(以含√(x^2)+a^{2}为例)- 令x = atan t,dx=asec^2tdt,则∫(dx)/(√(x^2)+a^{2)}=∫sec tdt=lnsec t+tant+C=lnx+√(x^2)+a^{2}+C- ∫√(x^2)+a^{2}dx=(x)/(2)√(x^2)+a^{2}+frac{a^2}{2}lnx+√(x^2)+a^{2}+C6. 换元积分法中的三角代换相关公式(以含√(x^2)-a^{2}为例)- 令x = asec t,dx=asec ttan tdt,则∫(dx)/(√(x^2)-a^{2)}=∫sec tdt=lnsec t+tant+C=lnx+√(x^2)-a^{2}+C- ∫√(x^2)-a^{2}dx=(x)/(2)√(x^2)-a^{2}-frac{a^2}{2}lnx+√(x^2)-a^{2}+C7. 三角函数的乘积积分公式(分部积分法相关)- ∫ xsin xdx=-xcos x+sin x + C,通过设u = x,dv=sin xdx,利用分部积分公式∫ udv = uv-∫ vdu得到。
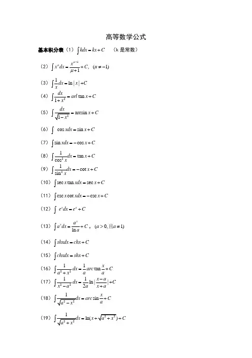
高等数学公式基本积分表(1)kdx kx C =+⎰ (k 是常数)(2)1,1x x dx C μμμ+=++⎰ (1)u ≠- (3)1ln ||dx x C x =+⎰(4)2tan 1dxarl x C x =++⎰ (5)arcsin x C =+(6)cos sin xdx x C =+⎰ (7)sin cos xdx x C =-+⎰(8)21tan cos dx x C x =+⎰(9)21cot sin dx x C x =-+⎰(10)sec tan sec x xdx x C =+⎰ (11)csc cot csc x xdx x C =-+⎰ (12)x x e dx e C =+⎰(13)ln xxa a dx C a=+⎰,(0,1)a a >≠且 (14)shxdx chx C =+⎰ (15)chxdx shx C =+⎰(16)2211tan xdx arc C a x a a =++⎰ (17)2211ln ||2x adx C x a a x a -=+-+⎰ (18)sinxarc C a=+(19)ln(x C =++(20)ln |x C =++(21)tan ln |cos |xdx x C =-+⎰ (22)cot ln |sin |xdx x C =+⎰ (23)sec ln |sec tan |xdx x x C =++⎰ (24)csc ln |csc cot |xdx x x C =-+⎰注:1、从导数基本公式可得前15个积分公式,(16)-(24)式后几节证。
2、以上公式把x 换成u 仍成立,u 是以x 为自变量的函数。
3、复习三角函数公式:2222sin cos 1,tan 1sec ,sin 22sin cos ,x x x x x x x +=+==21cos 2cos 2xx +=, 21cos 2sin 2xx -=。
注:由[()]'()[()]()f x x dx f x d x ϕϕϕϕ=⎰⎰,此步为凑微分过程,所以第一类换元法也叫凑微分法。
高等数学公式基本积分表(1)kdx kx C =+⎰ (k 是常数)(2)1,1x x dx C μμμ+=++⎰ (1)u ≠- (3)1ln ||dx x C x=+⎰(4)2tan 1dxarl x C x=++⎰(5)arcsin x C =+(6)cos sin xdx x C =+⎰(7)sin cos xdx x C =-+⎰(8)21tan cos dx x C x=+⎰(9)21cot sin dx x C x=-+⎰(10)sec tan sec x xdx x C =+⎰ (11)csc cot csc x xdx x C =-+⎰ (12)x x e dx e C =+⎰(13)ln xxa a dx C a=+⎰,(0,1)a a >≠且(14)shxdx chx C =+⎰ (15)chxdx shx C =+⎰ (16)2211tan xdx arc C a x a a=++⎰(17)2211ln ||2x a dx C x a a x a-=+-+⎰(18)sin x arc C a =+(19)ln(x C =++(20)ln |x C =++(21)tan ln |cos |xdx x C =-+⎰ (22)cot ln |sin |xdx x C =+⎰ (23)sec ln |sec tan |xdx x x C =++⎰ (24)csc ln |csc cot |xdx x x C =-+⎰注:1、从导数基本公式可得前15个积分公式,(16)-(24)式后几节证。
2、以上公式把x 换成u 仍成立,u 是以x 为自变量的函数。
3、复习三角函数公式:2222sin cos 1,tan 1sec ,sin 22sin cos ,x x x x x x x +=+==21cos 2cos 2xx +=, 21cos 2sin 2xx -=。
注:由[()]'()[()]()f x x dx f x d x ϕϕϕϕ=⎰⎰,此步为凑微分过程,所以第一类换元法也叫凑微分法。
下面是一些常见的三角函数的导数和积分公式:
1. 正弦函数(sine):
- 导数公式:d/dx(sin(x)) = cos(x)
- 积分公式:∫(sin(x)) dx = -cos(x) + C
2. 余弦函数(cosine):
- 导数公式:d/dx(cos(x)) = -sin(x)
- 积分公式:∫(cos(x)) dx = sin(x) + C
3. 正切函数(tangent):
- 导数公式:d/dx(tan(x)) = sec^2(x)
- 积分公式:∫(tan(x)) dx = -ln|cos(x)| + C
4. 余切函数(cotangent):
- 导数公式:d/dx(cot(x)) = -csc^2(x)
- 积分公式:∫(cot(x)) dx = ln|sin(x)| + C
5. 正割函数(secant):
- 导数公式:d/dx(sec(x)) = sec(x) * tan(x)
- 积分公式:∫(sec(x)) dx = ln|sec(x) + tan(x)| + C
6. 余割函数(cosecant):
- 导数公式:d/dx(csc(x)) = -csc(x) * cot(x)
- 积分公式:∫(csc(x)) dx = -ln|csc(x) + cot(x)| + C
这些是基本的三角函数的导数和积分公式,它们在微积分和数学分析中经常被使用。
需要注意的是,这些公式适用于常规的角度值,而非弧度制。
微分积分及常用三角函数公式集锦微分和积分是微积分的两个基本概念,它们在数学和物理学中具有广泛的应用。
常用的三角函数是在三角学中常见的函数,它们具有周期性和性质丰富,也是求解微积分问题中常用的工具之一、下面是微分、积分和常用三角函数的一些公式集锦。
微分公式:1.导数的定义:\[ f'(x) = \lim_{{dx \to 0}} \frac{{f(x+dx) - f(x)}}{{dx}} \]其中,\(f'(x)\)表示函数f(x)的导数。
2.基本导数法则:(1)常数法则:\((c)'=0\),其中c是常数。
(2)幂法则:\( (x^n)' = n \cdot x^{n-1} \),其中 n 是实数。
(3)和差法则:\( (f(x) \pm g(x))' = f'(x) \pm g'(x) \)。
(4)乘法法则:\( (f(x) \cdot g(x))' = f'(x) \cdot g(x) +f(x) \cdot g'(x) \)。
(5)除法法则:\( \left(\frac{{f(x)}}{{g(x)}}\right)' =\frac{{f'(x) \cdot g(x) - f(x) \cdot g'(x)}}{{(g(x))^2}} \)。
(6)复合函数法则:\( (f(g(x)))' = f'(g(x)) \cdot g'(x) \)。
积分公式:1.不定积分的定义:\[ \int f(x)dx = F(x) + C \]其中,\( \int \) 表示积分,f(x) 是被积函数,F(x) 是 f(x) 的一个原函数,C 是常数。
2.基本积分法则:(1)幂法则:\( \int x^n dx = \frac{{x^{n+1}}}{{n+1}}+C \),其中 n 不等于 -1(2)常数倍法则:\( \int cf(x)dx = c \int f(x)dx \),其中 c 是常数。
凑微分公式_微分积分三角函数数学公式大全一、基本微分公式1.常数微分公式:如果f(x)是一个常数c,则它的导数为f'(x)=0。
2. 幂函数微分公式:对于任何实数n,有f(x) = x^n,则它的导数为f'(x) = nx^(n-1)。
3.幂函数特殊情况微分公式:如果n=-1,则有f(x)=1/x,它的导数为f'(x)=-1/x^24.反比例函数微分公式:对于f(x)=1/x,则它的导数为f'(x)=-1/x^25. 指数函数微分公式:对于f(x) = a^x,其中a > 0, a ≠ 1,则它的导数为f'(x) = a^x * ln(a)。
6. 对数函数微分公式:对于f(x) = loga(x),其中a > 0, a ≠ 1,则它的导数为f'(x) = 1 / (x * ln(a))。
7. 三角函数微分公式:对于sin(x),它的导数为cos(x);对于cos(x),它的导数为-sin(x);对于tan(x),它的导数为sec^2(x)。
8. 反三角函数微分公式:对于arcsin(x),它的导数为1 / sqrt(1- x^2);对于arccos(x),它的导数为-1 / sqrt(1 - x^2);对于arctan(x),它的导数为1 / (1 + x^2)。
二、复合函数微分公式1.复合函数微分法则:如果f(x)和g(x)是连续可微的函数,则有以下公式。
-(f(g(x)))'=f'(g(x))*g'(x)(链式法则)-(f(g(x)))''=f''(g(x))*g'(x)^2+f'(g(x))*g''(x)(链式法则的二阶导数形式)2.反函数微分公式:如果y=f(x)的反函数是x=g(y),则有以下公式。
-g'(y)=1/f'(x),其中x=g(y)三、积分公式1.基本积分公式:对于常数c和实数n(n≠-1),有以下公式。
高等数学公式基本积分表1kdxkxC k是常数211xxdxC 1u 31lndxxCx42tan1dxarlxCx 52arcsin1dxxCx 6cossinxdxxC 7sincosxdxxC 821tancosdxxCx921cotsindxxCx 10sectansecxxdxxC 11csccotcscxxdxxC 12xxedxeC 13lnxxaadxCa01aa 且14shxdxchxC 15chxdxshxC 162211tanxdxarcCaxaa 172211ln2xadxCxaaxa18221sinxdxarcCaax 1922221lndxxaxCax 202222lndxxxaCxa 21tanlncosxdxxC22cotlnsinxdxxC 23seclnsectanxdxxxC 24csclncsccotxdxxxC 注1、从导数基本公式可得前15个积分公式16-24式后几节证。
2、以上公式把x换成u仍成立u是以x为自变量的函数。
3、复习三角函数公式2222sincos1tan1secsin22sincosxxxxxxx21cos2cos2xx 21cos2sin2xx。
注由fxxdxfxdx此步为凑微分过程所以第一类换元法也叫凑微分法。
此方法是非常重要的一种积分法要运用自如务必熟记基本积分表并掌握常见的凑微分形式及“凑”的技巧。
小结1常用凑微分公式xuxuxuxuxuxuaueuxuxubaxuxdxfdxxxfxdxfdxxxfxdxfxdxxfxdxfxdxxfxdxfxdxxfxdxfxdx xfdaafadxaafdeefdxeefxdxfdxxxfxdxfdxxxfabaxdbaxfadxbaxfxxxxxxxxxxarcsinarctancot tancossinlnarcsinarcsin11arcsin.11arctanarctan11arctan.10cotcotcsccot.9tantansectan.8co scossincos.7sinsincossin.6ln1.5..4lnln1ln.301.201.122221法分积元换一第换元公式积分类型导数公式基本积分表三角函数的有理式积分222212211cos12sinududxxtguuuxuux一些初等函数两个重要极限axxaaactgxxxtgxxxxctgxxtgxaxxln1loglncsccscsecseccscsec222222111111arccos11arcsi nxarcctgxxarctgxxxxxCaxxaxdxCshxchxdxCchxshxdxCaadxaCxctgxdxxCxdxtgxxCctgx xdxxdxCtgxxdxxdxxxlnlncsccscsecseccscsinseccos22222222CaxxadxCxaxaaxadxCaxax aaxdxCaxarctgaxadxCctgxxxdxCtgxxxdxCxctgxdxCxtgxdxarcsinln21ln211csclncscsecln secsinlncosln22222222CaxaxaxdxxaCaxxaaxxdxaxCaxxaaxxdxaxInnxdxxdxInnnnarcsin 22ln22ln221cossin222222222222222222222020 三角函数公式·诱导公式函数角A sin cos tg ctg -α -sinα cosα -tgα -ctgα 90°-α cosα sinα ctgα tgα 90°α cosα -sinα -ctgα -tgα 180°-α sinα -cosα -tgα -ctgα 180°α -sinα -cosα tgα ctgα 270°-α -cosα -sinα ctgα tgα 270°α -cosα sinα -ctgα -tgα 360°-α -sinα cosα -tgα -ctgα 360°α sinα cosα tgα ctgα ·和差角公式·和差化积公式2sin2sin2coscos2cos2cos2coscos2sin2cos2sinsin2cos2sin2sinsinctgctgctgctgctgtgtgtgtgtg 11sinsincoscoscossincoscossinsinxxarthxxxarchxxxarshxeeeechxshxthxeechxeeshxxxxxx xxx11ln211ln1ln:2:2:22双曲正切双曲余弦双曲正弦...590457182818284.211lim1sinlim0exxxxxx·倍角公式·半角公式cos1sinsincos1cos1cos12cos1sinsincos1cos1cos122cos12cos2cos12sinctgtg·正弦定理RCcBbAa2sinsinsin ·余弦定理Cabbaccos2222 ·反三角函数性质arcctgxarctgxxx2arccos2arcsin高阶导数公式——莱布尼兹Leibniz 公式2101121nkknnnnnkkknknnuvvukknnnvunnvnuvuvuCuv 中值定理与导数应用拉格朗日中值定理。
高等数学公式基本积分表(1)kdx kx C =+⎰ (k 是常数)(2)1,1x x dx C μμμ+=++⎰ (1)u ≠- (3)1ln ||dx x C x =+⎰(4)2tan 1dxarl x C x =++⎰ (5)arcsin x C =+⎰(6)cos sin xdx x C =+⎰ (7)sin cos xdx x C =-+⎰(8)21tan cos dx x C x =+⎰(9)21cot sin dx x C x =-+⎰(10)sec tan sec x xdx x C =+⎰ (11)csc cot csc x xdx x C =-+⎰ (12)x x e dx e C =+⎰(13)ln xxa a dx C a=+⎰,(0,1)a a >≠且 (14)shxdx chx C =+⎰ (15)chxdx shx C =+⎰(16)2211tan xdx arc C a x a a =++⎰ (17)2211ln ||2x adx C x a a x a -=+-+⎰ (18)sinxarc C a=+(19)ln(x C =++(20)ln |x C =++(21)tan ln |cos |xdx x C =-+⎰ (22)cot ln |sin |xdx x C =+⎰ (23)sec ln |sec tan |xdx x x C =++⎰ (24)csc ln |csc cot |xdx x x C =-+⎰注:1、从导数基本公式可得前15个积分公式,(16)-(24)式后几节证。
2、以上公式把x 换成u 仍成立,u 是以x 为自变量的函数。
3、复习三角函数公式:2222sin cos 1,tan 1sec ,sin 22sin cos ,x x x x x x x +=+==21cos 2cos 2xx +=, 21cos 2sin 2xx -=。
第一部分:常用积分公式基本积分公式:kdx = kx + c庠m+c J Xf a x dx -———F c J lno [e x dx = e x + c cos xdx = sinx + c sin xdx = 一 cosx + c—\—dx - f sec 1 2 xdx = tan x + c cos x J —\— = f esc 2 xdx = -cotx + c sin" x 」 1 ]----- 7 dx = arctan x + c 1 + x 21^ = arcsinx + ctan xdx = - In cos x +c cot xdx = In sinx + c sec xdx = In sec x + tan x + c esc xdx = In esc x 一 cot x\ + c 1 , 1 X-- ----- -ax =—arctan —+ c a" + a ax-a x^a1 . • X i ・ ax = arcsin — + cj x p dx-+ c“+1形如 x n e ax dx ,令 u = x n , dv = e ax dx 形如 x n sin xdx 令 u 二 x n , dv = sin xdx 形如 x" cos xdx 令 u = x", dv = cos xdx 形如 x" arctan xdx ,令” =arctan x, dv = x n dx 形如 x n In xdx ,令 u =\nx, dv = xdx形如 j e ax sin xdx , j e ax cos xdx 令 u = e ax ,sin x,cos x 均可。
常用凑微分公式1. J/(tzx + b^lx = ~\f {ax + (^ax + Z?)J.f(lnx)・一d = ” (lnx”(lnx)f /dx = In x + \Jx 2 ±a 2JVx 2±a 219 分部积分法公式: + c2.3. 4.\f(e x \e x d x\f(e x )d(e x ) 5. 6."㈤心宀/“(刁㈤7. j f (cos x) • sin xd = (cos(cos x)”0 an %)• sec 2 xd =|jf (tanx)J(tanx) -[/(-)</(-)JX X11. j/(cot x)- esc 2 xd = j / (cot x^d (cot x)8.=^|/(\/7x(Vx)第二部分:常用微分、导数公式(C 二常数)(3) limV^(d 〉o) = ln-»ooJI(6) lim arc tanx =xty 2(9) lim e x = 0X-»-co(13) ]im 型+—/(兀)AxA2、常用等价无穷小关系(XTO )3、导数的四则运算法则(10)lim e x = ooX->+00(11)lim x v = 1x-»0+(12) limX —>00ci^x n+ i — • + ci n b^x m+ byX mi 4 ----- b mb°=< 000(系数不为0的情况)1、极限(1) lim^ = lXT O %(4) hmyfn = 1 (7) limarccotx = 0X —>CC(5) limarctanx = —XTOO2(8) lim arc cot x = TI A —sinx 〜x tan 兀〜兀 1cosx 〜—xln(l + x)〜xarcsin 兀〜x e x _ ]〜牙arctan x 〜x a x 一 1 〜丄 9—jr2Jl + xsinx -1\ll + x 2 - Vl-x 2 〜x 2(W ± v) =u±v f4、基本导数公式 ⑴(c/=0 (4) (cosx) = -sinx(5)(tanx) = sec 2x①_心一 s'V 2(3)(sinx) = cosx(6)(cot x) = - esc 2 % (7) (secx) = sec % • tan x(8) (cscx) =-cscx-cotx22sec x -1sin 3 x 〜(x)3(11)(in %)6、基本初等函数的n 阶导数公式 (1) (x w )W =n!(2)(严学)=(5) [cos @=a n(4) d (cos x) = - sin xdx(5)(1 (tan x) = sec 2xdx⑻ d (esc x) = - esc x • cot xdx(11) J (lnx) = —rfxXdx (13) d (arcsin 兀)=/ 】 dx (14) d (arccos x)=——,dx(16) d (arccot 兀)=一]】° d 兀、⑷a n -n\> \"+l ax + b)[1心+对~(-]厂目害yax + b)7、微分公式与微分运算法则 (l)d(c) = 0(2)d(x") = jLix^~l dx(-1)[ (3) cl (sin x) = cos xdx(15)(arctanx/ ='l + x 25、高阶导数的运算法则 (1)(14)( arccos 兀丫 = -- !——V 71-x 2(16)(arccot%y = _〔丨,(17)(兀)=1(18)(V^)丄2y[x)⑴土 ”⑴丫) ”⑴⑷土吩严(2)cu (兀)丁") =cd")(兀)(3) u^ax + b)⑷=a'u^ (ax + b) (4)w(x)-v(x)⑷严之”sin9 +方+ m 兰712>(6)d (cotx) = -csc 2 xdx(15) d (arctan x) = 厶 8、微分运算法则 ⑴ d ("士 u) = du ± du⑵ d (cw) = cdu第三部分:常用三角函数公式1 •和差公式sin(A + B)二 sin A cos B + cos A sin Bsin(A 一 B) = sin A cos B 一 cos A sin Bcos(A + B) = cos A cos B-s\nA sin B cos(A一 B) = cos A cos B + sin A sin Btan(A + B)= tan A + tan B1 - tan A tan Bcot(A + B)= cot A • cot B - 1 cot B + cotA2•倍角公式cos24 = cos 2 A-sin 2 A = l-2sin 2 A = 2cos 2 A-\sin (<7 +ft) cos a • cos b5•积化和差公式sin a sin b =——cos(d + b) -cos(d-/?) 2 cos a cosh = — cos(d + b) + cos(d-b) 21「・ -icos tz sin/? = — sin(a + /?)-sin(d-b)6•万能公式(3) d (wv) = vdu + uclvvdu 一 udvv 2tan(A-B)=tan A - tan B 1 + tan A tan B cot(A-B) = COtA>COtg + 1cot B - cot Asin2A = 2sin Acos Atan 2A = 2 tan A1 一伽2A3 •半角公式 .A /1-cosASin 7_V~2-A /1 + cos A cos — = J ------------------------2 V 2A11 - cos A tan7~ Vl + cosAsin A 1 + cosAA /1 + cosA sin Acot — = J -------------- = -------------2 V 1 - cos A 1-cos A4•和差化积公式• ・, r ・ ci + b a-b sin a + sin b = 2 sin ----------- cos --------2 2. c a + b a-b cos a + cos b =2 cos —— 2•cos. ・ f r a+b ・ a-bsin (7-sin/? = 2 cos ------------ s in --------2 2f c . a+h • a -bcos a 一 cos b =-2 sin --------- sin --------2 2tan a + tan /?=2 tan2 sin a = ------- —1 + tarr27 •平方关系- ? CIl-tarr —2 cos a = ----------- -1 +tarr2小 a 2 tan —2tan a = ---------- —1 一 tarr2• 22isin x + cos x = l sec 2 x-tan 2 x = 1csc 2x-cot 2x = l8 •倒数关系tan x • cot 兀=1 9 •商数关系 sinxtan x = --------cosx 10•正弦定理:—sec x • cos x = 1 cosxcot x = --------sinx c11•余弦定理:c 2 =a 2 +h 2 -2abcosC12•反三角函数性质: arcsin x = ---- arccosx2=2Rsin A sin B sin C71arctgx = ------- a rcctgx(7) d (sec 兀)= secx ・ tan xdx1 厂. -i sin <7 cos/? = — sin(d+b) + sin(d-b)。
高等数学公式基本积分表(1)kdx kx C =+⎰ (k 是常数)(2)1,1x x dx C μμμ+=++⎰ (1)u ≠-(3)1ln ||dx x Cx =+⎰(4)2tan 1dxarl x C x=++⎰ (5)arcsin x C=+(6)cos sin xdx x C =+⎰ (7)sin cos xdx x C =-+⎰(8)21tan cos dx x C x =+⎰(9)21cot sin dx x Cx=-+⎰ (10)sec tan sec x xdx x C=+⎰ (11)csc cot csc x xdx x C =-+⎰(12)x x e dx e C=+⎰(13)ln xxa a dx C a=+⎰,(0,1)a a >≠且(14)shxdx chx C =+⎰ (15)chxdx shx C =+⎰(16)2211tan xdx arc C a x a a =++⎰(17)2211ln ||2x adx C x a a x a-=+-+⎰(18)sinxarc C a=+(19)ln(x C=+(20)ln |x C=+(21)tan ln |cos |xdx x C =-+⎰(22)cot ln |sin |xdx x C=+⎰(23)sec ln |sec tan |xdx x x C =++⎰ (24)csc ln |csc cot |xdx x x C=-+⎰注:1、从导数基本公式可得前15个积分公式,(16)-(24)式后几节证。
2、以上公式把x 换成u 仍成立,u 是以x 为自变量的函数。
3、复习三角函数公式:2222sin cos 1,tan 1sec ,sin 22sin cos ,x x x x x x x +=+==21cos 2cos 2xx +=,21cos 2sin 2xx -=。
注:由[()]'()[()]()f x x dx f x d x ϕϕϕϕ=⎰⎰,此步为凑微分过程,所以第一类换元法也叫凑微分法。
微积分公式、三角公式和向量运算法则表一、基本导数公式⑴()0c '= ⑵()1uu xux-'= ⑶()sin cos x x '=⑷()cos sin x x '=- ⑸()2tan sec x x '= ⑹()2cot csc x x '=- ⑺()sec sec tan x x x '=⋅ ⑻()csc csc cot x x x '=-⋅⑼()xxee'= ⑽()ln xxaaa '= ⑾()1ln x x'=⑿()1log ln xax a'= ⒀()arcsin x '= ⒁()arccos x '=⒂()21arctan 1x x '=+ ⒃()21arccot 1x x '=-+⒄()1x '=⒅'=二、导数的四则运算法则()u v u v '''±=± ()uv u v uv '''=+ 2u u v uv v v '''-⎛⎫= ⎪⎝⎭三、高阶导数的运算法则 (1)()()()()()()()n n n u x v x u x v x ±=±⎡⎤⎣⎦ (2)()()()()n n cu x cu x =⎡⎤⎣⎦(3)()()()()n n nu ax b a uax b +=+⎡⎤⎣⎦(4)()()()()()()()0nn n k k k n k u x v x c u x v x -=⋅=⎡⎤⎣⎦∑ 四、基本初等函数的n 阶导数公式 (1)()()!n nxn = (2)()()n ax b n ax b e a e ++=⋅ (3)()()ln n x x n a a a =(4)()()sin sin 2n n ax b a ax b n π⎛⎫+=++⋅⎡⎤ ⎪⎣⎦⎝⎭ (5) ()()cos cos 2n nax b a ax b n π⎛⎫+=++⋅⎡⎤ ⎪⎣⎦⎝⎭ (6)()()()11!1n n nn a n ax b ax b +⋅⎛⎫=- ⎪+⎝⎭+ (7) ()()()()()11!ln 1n n n na n axb ax b -⋅-+=-⎡⎤⎣⎦+五、微分公式与微分运算法则 ⑴()0d c = ⑵()1d xxdx μμμ-= ⑶()sin cos d x xdx =⑷()cos sin d x xdx =- ⑸()2tan sec d x xdx = ⑹()2cot csc d x xdx =- ⑺()sec sec tan d x x xdx =⋅ ⑻()csc csc cot d x x xdx =-⋅ ⑼()xxd ee dx = ⑽()ln xxd a aadx = ⑾()1ln d x dx x=⑿()1log ln xad dx x a= ⒀()arcsin d x = ⒁()arccos d x =⒂()21arctan 1d x dx x =+ ⒃()21arccot 1d x dx x =-+ 六、微分运算法则⑴()d u v du dv ±=± ⑵()d cu cdu = ⑶()d uv vdu udv =+ ⑷2u vdu udvd v v -⎛⎫= ⎪⎝⎭七、基本积分公式⑴kdx kx c =+⎰⑸x x e dx e c =+⎰ ⑹cos sin xdx x c =+⎰ ⑺sin cos xdx x c =-+⎰⑻221sec tan cos dx xdx x c x ==+⎰⎰ ⑼221csc cot sin xdx x c x ==-+⎰⎰ ⑽21arctan 1dx x c x=++⎰ ⑾arcsin x c =+八、补充积分公式2211arctan xdx c a x a a=++⎰ 2211ln 2x adx c x a a x a-=+-+⎰arcsinxc a=+ ln x c =+九、下列常用凑微分公式十、分部积分法公式⑴形如n ax x e dx ⎰,令nu x =,axdv e dx =形如sin n x xdx ⎰令nu x =,sin dv xdx =形如cos n x xdx ⎰令nu x =,cos dv xdx = ⑵形如arctan n x xdx ⎰,令arctan u x =,ndv x dx =形如ln n x xdx ⎰,令ln u x =,ndv x dx =⑶形如sin ax e xdx ⎰,cos ax e xdx ⎰令,sin ,cos axu e x x =均可。
高中常用微积分公式表微积分可以被认为是数学的核心部分,高中的学生在学习高数的过程中,微积分公式是学习的重要组成部分。
下面我们来了解一些常见的高中数学微积分公式。
首先,让我们来看看一些基础的微积分公式。
1、求导公式:$frac{d}{dx}(u(x)cdot v(x))=u(x)cdotv(x)+u(x)cdot v(x)$2、求积分公式:$int u(x)cdot v(x);dx=u(x)cdot v(x)-int u(x)cdot v(x);dx$3、泰勒公式:$f(x)=f(a)+frac{f(a)}{1!}(x-a)+frac{f(a)}{2!}(x-a)^2+frac{f ^{(3)}(a)}{3!}(x-a)^3+cdots$4、微分中值定理:如果在$[a,b]$区间内,函数$f(x)$连续,则存在一个$cin[a,b]$使得$f(c)=frac{f(b)-f(a)}{b-a}$。
接下来,看看一些更复杂的微积分公式。
1、三角函数的偏导公式:$frac{partial}{partialx}Sin(x)=Cos(x)$、$frac{partial}{partial x}Cos(x)=-Sin(x)$2、极限公式:$lim_{xrightarrow a}f(x)=L$3、改变变量公式:$int f(x)dx=int f(x(t))x(t)dt$4、泰勒展开公式:$f(x)=f(a)+frac{1}{1!}f(a)(x-a)+frac{1}{2!}f(a)(x-a)^2+frac {1}{3!}f^{(3)}(a)(x-a)^3+cdots$最后,我们来看看一些极端的微积分公式。
1、极限的运算公式:$lim_{xrightarrow 0}frac{Sin(x)}{x}=1$2、Stoke公式:$int_{C}overrightarrow{F}cdot doverrightarrow{s}=iint_{S}(ablatimesoverrightarrow{F})cdot doverrightarrow{S}$3、有界分的定公式:$int_{a}^{b}f(x);dx=F(b)-F(a)$4、微分的运算公式:$frac{d^2y}{dx^2}=frac{d}{dx}frac{dy}{dx}$通过以上介绍,相信大家都能够更加熟悉高中常用的微积分公式了。
第一部分:常用积分公式基本积分公式: 1kdx kx c =+⎰2 11x x dx c μμμ+=++⎰ 3ln dxx c x =+⎰4 ln xxa a dx c a=+⎰ 5 x xe dx ec =+⎰6 cos sin xdx x c =+⎰7 sin cos xdx x c =-+⎰8221sec tan cos dx xdx x c x ==+⎰⎰9 221csc cot sin xdx x c x ==-+⎰⎰ 10 21arctan 1dx x c x=++⎰ 11arcsin x c =+12 tan ln cos xdx x c =-+⎰ 13 cot ln sin xdx x c =+⎰14 sec ln sec tan xdx x x c =++⎰ 15 csc ln csc cot xdx x x c =-+⎰162211arctan xdx c a x a a=++⎰ 172211ln 2x a dx c x a a x a-=+-+⎰ 18arcsinxc a=+19ln x c =+分部积分法公式1 形如n ax x e dx ⎰,令n u x =,axdv e dx =2 形如sin n x xdx ⎰令nu x =,sin dv xdx =3 形如cos n x xdx ⎰令nu x =,cos dv xdx = 4 形如arctan n x xdx ⎰,令arctan u x =,ndv x dx =5 形如ln n x xdx ⎰,令ln u x =,ndv x dx =6 形如sin ax e xdx ⎰,cos ax e xdx ⎰令,sin ,cos axu e x x =均可。
常用凑微分公式 1. ()()()1f ax b dx f ax b d ax b a+=++⎰⎰ 2.()()()11f x x dx f x d x μμμμμ-=⎰⎰3. ()()()1ln ln ln f x dx f x d x x⋅=⎰⎰4. ()()()x x x x f e e dx f e d e ⋅=⎰⎰5. ()()()1ln x x x x f a a dx f a d a a⋅=⎰⎰ 6. ()()()sin cos sin sin f x xdx f x d x ⋅=⎰⎰ 7. ()()()cos sin cos cos f x xdx f x d x ⋅=-⎰⎰ 8.()()()2tan sectan tan f x xdx f x d x ⋅=⎰⎰9.2dx f d=⎰ 10.21111()()()f dx f d x x x x =-⎰⎰11.()()()2cot csccot cot f x xdx f x d x ⋅=⎰⎰第二部分:常用微分、导数公式(c=常数)1、极限(1)0sin lim 1x xx→= (2)()10lim 1x x x e →+= (3))1n a o >=(4)1n = (5)limarctan 2x x π→∞=(6)lim tan 2x arc x π→-∞=-(7)limarccot 0x x →∞= (8)lim arccot x x π→-∞= (9)lim 0x x e →-∞=(10)lim x x e →+∞=∞ (11)0lim 1xx x +→= (12)0101101lim 0n n n m m x m a n mb a x a x a n m b x b x b n m--→∞⎧=⎪⎪+++⎪=<⎨+++⎪∞>⎪⎪⎩L L (系数不为0的情况) (13)000()()limx x x xf x f x y x →+∆-∆=∆∆2、常用等价无穷小关系(0x →)sin ~x x tan ~x x arcsin ~x x arctan ~x x 211cos ~2x x - ()ln 1~x x + 1~x e x - 1~ln x a x a -()11~x x ∂+-∂ 21sec 1~2x x -211~2x2~x33sin ~()x x3、导数的四则运算法则()u v u v '''±=± ()uv u v uv '''=+ 2u u v uv v v '''-⎛⎫= ⎪⎝⎭4、基本导数公式⑴()0c '= ⑵1x x μμμ-= ⑶()sin cos x x '= ⑷()cos sin x x '=- ⑸()2tan sec x x '= ⑹()2cot csc x x '=- ⑺()sec sec tan x x x '=⋅ ⑻()csc csc cot x x x '=-⋅⑼()x x e e '= ⑽()ln x x a a a '= ⑾()1ln x x'=⑿()1log ln x a x a '=⒀()arcsin x '= ⒁()arccos x '=⒂()21arctan 1x x '=+ ⒃()21arccot 1x x '=-+⒄()1x '=⒅'=5、高阶导数的运算法则 (1)()()()()()()()n n n u x v x u x v x ±=±⎡⎤⎣⎦ (2)()()()()n n cu x cu x =⎡⎤⎣⎦(3)()()()()n n nu ax b a uax b +=+⎡⎤⎣⎦(4)()()()()()()()0nn n k k k n k u x v x c u x v x -=⋅=⎡⎤⎣⎦∑ 6、基本初等函数的n 阶导数公式 (1)()()!n n x n = (2)()()n ax b n ax b e a e ++=⋅ (3)()()ln n x x n a a a =(4)()()sin sin 2n n ax b a ax b n π⎛⎫+=++⋅⎡⎤ ⎪⎣⎦⎝⎭(5) ()()cos cos 2n n ax b a ax b n π⎛⎫+=++⋅⎡⎤ ⎪⎣⎦⎝⎭(6)()()()11!1n n nn a n ax b ax b +⋅⎛⎫=- ⎪+⎝⎭+ (7)()()()()()11!ln 1n n n na n axb ax b -⋅-+=-⎡⎤⎣⎦+7、微分公式与微分运算法则⑴()0d c = ⑵()1d x x dx μμμ-= ⑶()sin cos d x xdx = ⑷()cos sin d x xdx =- ⑸()2tan sec d x xdx = ⑹()2cot csc d x xdx =- ⑺()sec sec tan d x x xdx =⋅ ⑻()csc csc cot d x x xdx =-⋅ ⑼()x x d e e dx = ⑽()ln x x d a a adx = ⑾()1ln d x dx x= ⑿()1log ln x a d dx x a =⒀()arcsin d x =⒁()arccos d x =⒂()21arctan 1d x dx x =+ ⒃()21arccot 1d x dx x=-+8、微分运算法则⑴()d u v du dv ±=± ⑵()d cu cdu =⑶()d uv vdu udv =+ ⑷2u vdu udvd v v -⎛⎫= ⎪⎝⎭第三部分:常用三角函数公式1.和差公式sin()sin cos cos sin A B A B A B +=+ sin()sin cos cos sin A B A B A B -=- cos()cos cos sin sin A B A B A B +=- cos()cos cos sin sin A B A B A B -=+tan tan tan()1tan tan A B A B A B ++=- tan tan tan()1tan tan A BA B A B --=+cot cot 1cot()cot cot A B A B B A ⋅-+=+ cot cot 1cot()cot cot A B A B B A ⋅+-=- 2.倍角公式sin 22sin cos A A A = 2222cos 2cos sin 12sin 2cos 1A A A A A =-=-=- 22tan tan 21tan AA A=- 3.半角公式sin2A = cos 2A =sin tan21cos A A A ==+ sin cot 21cos A A A==- 4.和差化积公式sin sin 2sincos 22a b a b a b +-+=⋅ sin sin 2cos sin22a b a ba b +--=⋅ cos cos 2cos cos 22a b a b a b +-+=⋅ cos cos 2sin sin 22a b a ba b +--=-⋅()sin tan tan cos cos a b a b a b++=⋅5.积化和差公式()()1sin sin cos cos 2a b a b a b =-+--⎡⎤⎣⎦()()1cos cos cos cos 2a b a b a b =++-⎡⎤⎣⎦()()1sin cos sin sin 2a b a b a b =++-⎡⎤⎣⎦ ()()1cos sin sin sin 2a b a b a b =+--⎡⎤⎣⎦6.万能公式22tan2sin 1tan 2aa a=+ 221tan 2cos 1tan 2a a a -=+ 22tan2tan 1tan 2aa a=- 7.平方关系22sin cos 1x x += 22sec n 1x ta x -= 22csc cot 1x x -=8.倒数关系tan cot 1x x ⋅= sec cos 1x x ⋅= c sin 1cs x x ⋅=9.商数关系sin tan cos x x x =cos cot sin xx x= 10.正弦定理:R C cB b A a 2sin sin sin ===11.余弦定理:C ab b a c cos 2222-+= 12.反三角函数性质:arcctgx arctgx x x -=-=2arccos 2arcsin ππ。