2017高一升高二暑假结业考试
- 格式:doc
- 大小:427.50 KB
- 文档页数:7
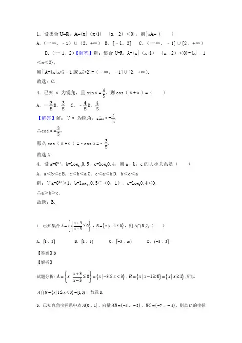
1.设集合U=R ,A={x |(x +l ) (x ﹣2)<0},则∁U A=( ) A .(一∞,﹣1)∪(2,+∞) B .[﹣l ,2] C .(一∞,﹣1]∪[2,+∞)D .(一1,2)【解答】解:集合U=R ,A={x|(x+l ) (x ﹣2)<0}={x|﹣1<x <2},则∁U A={x|x ≤﹣1或x ≥2}=(﹣∞,﹣1]∪[2,+∞). 故选:C .4.已知α为锐角,且sinα=,则cos (π+α)=( ) A .一 B . C .﹣ D .【解答】解:∵α为锐角,sinα=, ∴cosα=,那么cos (π+α)=﹣cosα=﹣. 故选A .4.设a=60.4,b=log 0.40.5,c=log 80.4,则a ,b ,c 的大小关系是( ) A .a <b <c B .c <b <a C .c <a <b D .b <c <a解:∵a=60.4>1,b=log 0.40.5∈(0,1),c=log 80.4<0, ∴a >b >c . 故选:B .1. 已知集合{}30 103x A x B x x x ⎧+⎫=≤=-≥⎨⎬-⎩⎭,,则A B 为( )A .[]1 3,B .[)1 3,C .[)3 -∞,D .(]3 3-, 【答案】B 【解析】 试题分析:{}3|0|333x A x x x x +⎧⎫=≤=-≤<⎨⎬-⎩⎭,{}{}|10|1B x x x x =-≥=≥,所以{}|13[1,3)AB x x =≤<=,故选B.5. 已知直角坐标系中点()0 1A ,,向量()()4 3 7 4AB BC =--=--,,,,则点C 的坐标为()A.()11 8,B.()3 2,C.()11 6--,D.()3 0-, 【答案】C考点:向量的坐标运算.6. 已知24cos 0352παπα⎛⎫+=-<< ⎪⎝⎭,,则sin sin 3παα⎛⎫++ ⎪⎝⎭等于( )A .43-B .33- C.33 D .43 【答案】A 【解析】试题分析:因为24cos 35πα⎛⎫+= ⎪⎝⎭,所以1311sin sin sin cos sin 3cos sin 3222πααααααα⎛⎫⎛⎫++=++=+ ⎪ ⎪⎝⎭⎝⎭22433cos 3cos 3cos 333πππααπα⎡⎤⎛⎫⎛⎫⎛⎫=-=+-=-+=- ⎪ ⎪ ⎪⎢⎥⎝⎭⎝⎭⎝⎭⎣⎦,故选A. 考点:三角恒等变换与诱导公式.7. 已知12132111 log log 332a b c ⎛⎫=== ⎪⎝⎭,,,则( ) A .c b a >> B .b c a >> C.b a c >> D .a b c >> 【答案】C考点:指数、对数的性质.9. 将函数2sin 26y x π⎛⎫=+ ⎪⎝⎭的图象向右平移14个周期后,所得图象对应的函数为()f x ,则函数()f x 的单调递增区间( )A .()5 1212k k k Z ππππ⎡⎤-+∈⎢⎥⎣⎦,B .()511 1212k k k Z ππππ⎡⎤++∈⎢⎥⎣⎦, C.()57 2424k k k Z ππππ⎡⎤-+∈⎢⎥⎣⎦, D .()719 2424k k k Z ππππ⎡⎤++∈⎢⎥⎣⎦, 【答案】A. 【解析】试题分析:函数2sin 26y x π⎛⎫=+ ⎪⎝⎭的周期T π=,所以44T π=,函数2sin 26y x π⎛⎫=+ ⎪⎝⎭的图象向右平移4π后所得函数的解析式为()2sin 2()2sin(2)463f x x x πππ⎡⎤=-+=-⎢⎥⎣⎦,由222()232k x k k Z πππππ-≤-≤+∈得函数()f x 的单调递增区间为()5 1212k k k Z ππππ⎡⎤-+∈⎢⎥⎣⎦,,故选A. 11.已知向量=(t ,1)与=(4,t )共线且方向相同,则实数t=_______. 12.已知sinα=,且<α<π,则tan2α=_______.11.已知向量=(t ,1)与=(4,t )共线且方向相同,则实数t= 2 . 【解答】解: =(t ,1)=(4,t ), ∵与共线,∴t 2﹣4=0,解得t=±2. 又与同向, ∴t=2.故答案为:2. 12.已知sinα=,且<α<π,则tan2α= . .【解答】∵sinα=,且<α<π,∴cosα=﹣,∴tanα=﹣∴tan2α==.14. 设实数x y,满足70310350x yx yx y+-≤⎧⎪-+≤⎨⎪--≥⎩,则2z x y=-的最小值为.【答案】8【解析】试题分析:作出不等式组70310350x yx yx y+-≤⎧⎪-+≤⎨⎪--≥⎩表示的平面区域如图:根据图形得:当直线2z x y=-经过点B时z取得最大值,由70310x yx y+-=⎧⎨-+=⎩解得:()5 2B ,,∴max5228z=⨯-=.17.设Sn为各项不相等的等差数列{an}的前n项和,已知a3a5=3a7,S3=9.(1)求数列{an}通项公式;(2)设Tn为数列{}的前n项和,求的最大值.【解答】解:(1)设{an}的公差为d,∵a3a5=3a7,S3=9,∴,解得(舍去)或,∴an=2+(n﹣1)×1=n+1;(2)∵,∴== =,∴,当且仅当,即n=2时“=”成立,即当n=2时,取得最大值.17. (本小题满分12分)在ABC △中, A B C ,,的对边分别为 a b c ,,, 83C b π==,,ABC △的面积为103.(Ⅰ)求c 的值; (Ⅱ)求()cos B C -的值. 【答案】(Ⅰ)7c =;(Ⅱ)1314.(Ⅱ)由(Ⅰ)得2224925641cos 2707a cb B ac +-+-===,由于B 是三角形的内角,得243sin 1cos B B =-=, 所以()4331113cos cos cossin sin337214B C B B ππ-=+=⨯+⨯= (12分) 考点:1.正弦定理与余弦定理;2.三角恒等变换.【名师点睛】本题考查正弦定理与余弦定理、与三角恒等变换,属中档题;解三角形问题的主要工具就是正弦定理、余弦定理,在解题过程中要注意边角关系的转化,根据题目需要合理选择合理的变形方向,利用三角恒等变换公式进行转化. 18. (本小题满分12分)已知数列{}n a 是公差为2的等差数列,数列{}n b 满足1211 2b b ==,,若*n N ∈时,11n n n n a b b nb -+-=.(Ⅰ)求{}n b 的通项公式; (Ⅱ)设11n n n C a a +=,求{}n c 的前n 项和n S . 【答案】(Ⅰ)112n n b -⎛⎫= ⎪⎝⎭;(Ⅱ)269n nS n =+. 试题解析: (Ⅰ)由数列{}n b 满足1211 2b b ==,,1n n n n a b b nb --=, 当1n =时,1221a b b b -=,即1113322a a =⇒=,又因为数列{}n a 是公差为2的等差数列,所以21n a n =+ (3分) 由21n a n =+得()1121n n n n b b nb +++-=, 化简得:12n n b b +=,即112n n b b +=,即数列{}n b是以1为首项,以12为公比的等比数列,所以112nnb-⎛⎫= ⎪⎝⎭. (6分)考点:1.等差数列、等比数列的定义与性质;2.裂项相消法求和.(注:文档可能无法思考全面,请浏览后下载,供参考。
2017年高一升高二英语试题(考试时间:30分钟全卷满分: 100分)选择题部分一、单项选择题(18分)1._______ come again.A.DoB. CanC. MayD. Did2.Let me introduce myself to you all, _______?A.may youB. will youC. won’t ID. won’t you3.Doctors have said that as many as 50 percent of patients don’t take medicine ____ directed.A.likeB. soC. whichD. as4.---Have you known each other for long?---Not very long, _______ we started to work in the company.A.afterB. beforeC. whenD. since5.He is rather difficult to make friends with, but his friendship, , is more true than any other.A.once gainedB. when to gainC. after is gainedD. while gaining6._______ method you choose, so long as you finish the job on time.A.It isn’t a matter to me whatB. What doesn’t matter is thatC. It doesn’t matter to me whichD. No matter which二、改错(12分)(1)We stopped to rest for a while and to drink some waters from a stream.(2)We climb everywhere, not only in America. We have been to Europe many time.(3)I sold a hundred of tickets by myself.(4)As a result,people in the modern world generally live much more longer than peoplein the past.三、填空(20分)1、_______________ he said at the meeting astonished everybody present.2、____________________________________in the movie was the father’s deep love for hisson.3、It is not rare in_____ 90s that people in_______ fifties are going to university forfurther education.4、Some people would rather ride bike as bake riding has of trouble of taking buses.5、The weather was__________cold that I didn’t like to leave my room.四、语法填空。
新疆维吾尔自治区2017年夏季普通高中学业水平考试试题物理一.单项选择题(本题共25小题,每小题2分,共50分)1.下列物理量属于矢量的是()A. 质量B.重力C.时间D.路程2. 下列单位属于国际单位制中的基本单位的是( )A . kg B. N C. W D. J3. 关于惯性的说法正确的是( )A. 运动的物体才有惯性B. 静止的物体没有惯性C. 质量大的物体惯性大D. 速度大的物体惯性大4.2017年5月4日,某校高一和高二学生组织了一场足球赛。
在比赛的表述中涉及到时间的是()A .比赛于下午4点30分开始 B.开场20min时,红队率先进球C .比赛30min时,蓝队率先换人 D.整场比赛共进行了90min6.下列关于力和运动的关系说法正确的是()A.力是改变物体惯性的原因B. 力能维持物体的速度的大小C. 力是改变物体运动状态的原因D.力能维持物体运动的方向5.关于地球能否看成质点,下列说法正确的是()A .地球质量太大,不能把地球看成质点B.地球体积太大,不能把地球看成质点C. 研究地球自转时,可以把地球看成质点D.研究地球绕太阳公转时,可以把地球看成质点7.关于速度和加速度的关系说法正确的是()A .速度为零,加速度一定为零 B.速度越小,加速度越小C . 速度变化量越小,加速度越小 D.速度变化越慢,加速度越小8. 两个质量分布均匀的小球A、B,它们的质量分别为m、6m,球心之间的距离为R,引力常量为G,则A、B两球之间的万有引力大小是()ARGm2B2RGmCRGm26D226RGm9.若用a代表行星椭圆轨道的半长轴,T代表公转周期,比值K是一个对所有行星都相同的常量。
下列关于开普勒第三定律的表达式正确的是()AKTa=BKTa=22CKTa=23DKTa=3210 .下列关于电磁打点计时器的说法正确的是()A. 使用的是交流电源,工作电压在6V 以下B. 使用的是交流电源,工作电压220VC. 当电源频率是50Hz 时,它每隔0.2s 打一个点D. 当电源频率是50Hz 时,它每隔1s 打一个点 11. 关于路程和位移说法正确的是( ) A. 物体通过的路程不等于零,其位移也不为零 B. 物体通过的路径不同,但它们的位移可能相同 C. 物体有相同的位移时,它们的路程一定相同 D. 物体沿直线朝同一方向运动时,通过的路程就是位移 12 下列说法正确的是()A . 能量在转移和转化的过程中总量是守恒的B.能量耗散表明,能量的总量是不守恒的 C .随着科技发展,能量是可以凭空产生的D.随着科技发展,永动机是可以制成的 13.一个物体受到大小分别为4N 和6N 的两个力的作用,其合力大小的范围是( ) A. 4N ≤F ≤10N B. 2N ≤F ≤10N C . 6N ≤F ≤10N D. 4N ≤F ≤6N 14.站在电梯里的人有“失重”的感觉,此时电梯可能正在( ) A.减速下降 B.加速上升 C.匀速上升 D.加速下降 15.下列速度中,指平均速度的是( )A.汽车通过大桥全程的速度B.小球从高处下落到地面时的速度C.子弹射出枪口的速度D.运动员冲过终点时的速度16.如图所示,静止在水平面上的物体受到的重力为G ,支持力为FN ,物体对桌面的压力为F'N 。
适用精选文件资料分享九江一中 2017 届高三物理 7 月暑期阶段试题(带答案)九江一中 7 月测试物理试卷 ( 时间 :90 分钟满分 :110 分命题 : 高二物理组 ) 一、选择题 ( 本题共 12 小题 , 每题 4 分, 合计 48 分, 1 ~8题单项选择, 9 ~12 题多项选择。
全对得 4 分,漏选得 2 分,错选得 0 分。
) 1.高跷运动是一项新式运动,图甲为弹簧高跷.当人抓住扶手用力蹬踏板压缩弹簧后.人就向上弹起,从而带动高跷跳跃,如图乙.则以下说法正确的选项是 () A.人向上弹起过程中,向来处于超重状态B.人向上弹起过程中,踏板对人的作用力大于人对踏板的作用力C.弹簧压缩到最低点时,高跷对人的作用力大于人的重力 D.弹簧压缩到最低点时,高跷对地的压力等于人和高跷的总重力 2 .倾角为θ=30°的长斜坡上有 C、O、B 三点, CO=OB=10 m,在 O点竖直地固定一长 10 m的直杆端与 C点间和坡底 B 点间各连有一圆滑的钢绳,且各穿有一钢球 ( 视为质点 ) ,两球从 A 点由静止开始,同时分别沿两钢绳滑到钢绳尾端,以以以下图,则小球在钢绳上滑行的时间tAC 和 tAB 分别为 (g =10 m/s2)() A .2 s 和 2 s B.2 s和2 s C.2 s 和 4 s D .4 s 和 2 s 3 .以以以下图,一只猫在桌边猛地将桌布从鱼缸下拉出,鱼缸最后没有滑出桌面.若鱼缸、桌布、桌面两两之间的动摩擦因数均相等,则在上述过程中: ( ) A .桌布对鱼缸摩擦力的方向向左 B .鱼缸在桌布上的滑动时间和在桌面上的相等 C.若猫增大拉力,鱼缸遇到的摩擦力将增大 D.若猫减小拉力,鱼缸必然不可以滑出桌面 4 .以以以下图,圆滑水平面上搁置一斜面体 A,在其粗糙斜面上静止一物块 B,开始时 A 处于静止.从某时辰开始,一个从0 逐渐增大的水平向左的力 F 作用在 A上,使 A 和 B 一起向左做变加快直线运动.则在 B 与 A 发生相对运动以前的一段时间内 ( ) A.B对 A 的压力和摩擦力均逐渐增大 B .B 对 A 的压力和摩擦力均逐渐减小 C.B对 A的压力逐渐增大, B 对 A 的摩擦力逐渐减小 D.B 对 A的压力逐渐减小, B 对 A 的摩擦力逐渐增大 5 .以以以下图,圆滑水平面上搁置质量分别为 m、2m和 3m的三个木块,此中质量为 m的木块放在质量为 2m的木块上,质量为 2m和 3m的木块间用一不可以伸长的轻绳相连,轻绳能承受的最大拉力为 T. 现用水平拉力 F 拉质量为 3m的木块,使三个木块以同一加快度运动,下说法正确的选项是 () A.当适用精选文件资料分享F 逐渐增添 1 N时,轻绳中拉力增添 0.5 N B.当 F 逐渐增大到 T 时,轻绳恰好被拉断C.当F 逐渐增大到1.5T 时,轻绳会被拉断D.轻绳刚要被拉断时,质量为 m和 2m的木块间的摩擦力为 0.5T 6 .质量为 M的皮带轮工件搁置在水平桌面上,一细绳绕过皮带轮的皮带槽,一端系一质量为 m的重物,另一端固定在桌面上.以以以下图,工件与桌面、绳之间以及绳与桌面边沿之间的摩擦都忽视不计,桌面上绳索与桌面平行,则重物着落过程中,工件的加快度为() A .2mgM +4m B.2mgM+2m C.mg2M D.mgM+m 7.山地滑雪是人们喜欢的一项体育运动.以以以下图,一滑雪坡由斜面 AB和圆弧面 BC构成,BC圆弧面和斜面相切于B,与水平面相切于C,竖直台阶CD底端与倾角为θ的斜坡DE相连.第一次运动员从A 点由静止滑下经过C此后飞落到 DE上,第二次从 AB间的 A′点( 图中未标,即 AB>A′B)由静止滑下经过C点后也飞落到DE上,运动员两次与斜坡DE接触时速度与水平方向的夹角分别为φ1 和φ2,不计空气阻力和滑道的摩擦力,则( ) A .φ1>φ2 B.φ1<φ2 C.φ1=φ2 D.没法确立两角的大小关系 8 .以以以下图,一足够长的木板倾斜搁置,倾角为 45°. 今有一弹性小球,自空中某处自由开释,小球竖直着落了 h 高度后落到木板上反弹时的速度大小不变,碰撞前后,速度方向与木板夹角相等,小球在木板上碰撞了多次.则小球与木板第一次碰撞点与第二次碰撞点间的距离为 ( 空气阻力不计 )( ) A.4h B.42h C.6h D.62h 9.以以以下图, A、B 两球分别套在两圆滑无量长的水平直杆上,两球经过一轻绳绕过必然滑轮 ( 轴心固定不动 ) 相连,某时辰连接两球的轻绳与水平方向的夹角分别为α、β,A球向左的速度为 v,以下说法正确的是 () A .此时 B 球的速度为 cosαcos βv B .此时 B 球的速度为 cosβcosαv C.当β增大到等于 90°时,B 球的速度达到最大,A球的速度为 0 D.在整个运动过程中,绳对 B球的拉力向来做正功10.以以以下图, A、B、C三球的质量均为 m,轻质弹簧一端固定在斜面顶端、另一端与 A 球相连, A、B 间固定一个轻杆, B、C由一轻质细线连接.倾角为θ的圆滑斜面固定在地面上,弹簧、轻杆与细线均平行于斜面,初始时系统处于静止状态,细线被烧断的瞬时,以下说法正确的选项是 () A .B 球的受力状况未变,加快度为零 B .A、B适用精选文件资料分享两个小球的加快度均沿斜面向上,大小均为12gsin θ C.A、B 之间杆的拉力大小为32mgsin D.C球的加快度沿斜面向下,大小为 gsin θ11.带滑轮的平板 C放在水平桌面上,小车 A 经过绕过滑轮的轻绳与物体 B 相连,以以以下图. A、C间及绳与滑轮间摩擦力不计, C与桌面间动摩擦因数为μ,最大静摩擦力等于滑动摩擦力, A、C质量均为m,小车 A 运动时平板 C保持静止,物体 B 的质量 M可改变,则以下说法正确的选项是 ( ) A .当 M=m时, C遇到桌面的摩擦力大小为 mg B.当 M=m时, C遇到桌面的摩擦力大小为 12mgC.在 M改变时,保持C静止必然满足μ>13 D.无论μ值为多大,C都会保持静止12 .在高处以初速度v1 水平抛出一个带刺飞镖,在走开抛出点水平距离 l 、2l 处有 A、B 两个吝啬球以速度 v2 匀速上涨,先后被飞镖刺破 ( 以为飞镖质量很大,刺破气球不会改变其平抛运动的轨迹 ) 。
2017年高二地理暑假作业(一)读“2月份大洋表面海水等温线分布图”(图4),完成1~2题。
1.A海区比B海区等温线稠密的原因是①有暖流经过②寒暖流交汇③温差大④温差小A.①③ B.②④ C.①④ D.②③2.甲处洋流对沿岸气候的影响主要是①增温②降温③增湿④减湿A.①③ B.②④ C.①④ D.②③读“中国人口分布图”(图12),完成3~5题。
图123.关于我国人口分布的叙述,正确的是A.干旱地区多,湿润地区少B.山区多,平原少C.沿海地区多,内陆地区少D.北方多,南方少4.我国“黑河—腾冲”一线以西地区面积占全国的57%,人口只占6%。
下列关于其成因的分析不正确的是A.气候干燥,生态脆弱B.地形复杂,多高山、高原C.经济发展水平较低,交通不便D.人口的出生率低5.我国东部地区环境人口容量较西部地区大。
下列关于其成因的分析不正确的是A.东部地区科技水平较高B.东部地区耕地资源、水资源更丰富C.东部地区经济发展水平较高D.东部地区人均消费水平更高2015年以来,难民潮困扰欧洲。
读难民潮迁移路径图(图11),完成6~7题。
6.引起2015年难民潮的根本原因是A.收入下降B.灾害频繁C.战争威胁D.就业困难7.这次难民潮对欧洲带来的地理影响是A.缓解劳动力不足的矛盾B.有利于提高欧洲的环境人口容量C.提高欧洲的人口自然增长率D.提高欧洲国家社会保障水平位于鄂西北山区十堰市的第二汽车制造厂(某著名汽车公司)是20世纪60年代末期在“三线”建设中选址建设的国家重点企业。
在当时严峻的国际形势和特殊的国内社会环境下,“三线”建设中国家重点工业建设的基本指导思想是“散(分散布局)、山(工厂进山)、洞(生产设备进洞)”。
据此回答8~10题。
8. 第二汽车制造厂当初选址十堰是合理的,主要理由是A. 接近原料、燃料产地B. 接近消费市场C. 交通方便、水源充足D. 国防安全需要9. 20世纪90年代,该著名汽车公司确立了建设“汉江汽车工业走廊”的发展目标,目前已初步形成十堰(商用车制造)、襄阳(轻型商用车及中高档轿车制造)、随州(专用汽车制造)、武汉(乘用车制造)四大整车生产基地及众多的零部件生产基地。
高二年级暑期夏令营结业考试(120分,120分钟)第I卷(选择题,共24分)说明1-12题为选择题,每小题2分,共12分,填涂到答题卡上。
第二卷为笔答题,请用黑色签字笔作答。
一、语言文字运用(每小题2分,共16分)1.下列词语中,加点字的注音全都正确的一项是A.干谒.(yè)锱.铢(zī)腈.纶丝(qíng)窗明几.(jī)净B.伛偻.(lǚ)劈.柴(pī)冷飕飕..(sōu)薄祚.寒门(zuò)C.春禊.(xì)晕.车(yùn)白炽.(chì)灯不肖.子孙(xiào)D.推搡.(sǎng)濩.落(hù)黑魆魆..(xū)牝.(pìng)鸡司晨2.下列各句中,没有错别字的一项是A.有观点认为,由于近年来房价迅速攀升,对于动则价值千万元的房产,如果是家庭惟一住房,作为遗产留给子女,但子女又交不出数百万的遗产税,是否要被剥夺继成权。
B.最近,深圳试行住房公基金提取新规,九大类重大疾病或重大手术可申请提取本人账户余额。
这引来了山西太原市民的关注。
C.博爱县柏山镇马营观村村民钟和钢和杜晓玲夫妇在电话中说,他们家养鸡厂附近的排涝河最近被有关部门修成了景观河,河两岸、河底都被硬化,导至排水不畅,造成大批鸡死亡。
D.鲁迅先生在给孙用的信中痛心地说:“书坊专为牟利,是不好的,这能使中国没有好书。
为了帮助中国青年世界语者从风雨荆棘中踏出一条希望的道路,鲁迅先生不辞辛苦,经过一年半的奔波,终于联系到一家小书坊愿意接受出版这部长诗。
3.下列各句中,没有语病的一项是A.我们遵守的第一个诺言,就是对朋友的一种感恩;感谢他们的无私陪伴和支持,感谢他们让我们在悲伤哭泣无助的时候能给予一双坚强的羽翼。
B.如果我们能够看准时机,把握机会,那么今天所投资百万元带来的效益,恐怕是五年后投资千万元也比不上的。
C.在重新入主克里姆林宫的“新普京时代”,普京能否实现“自我超越”,从某种角度讲也是俄罗斯能否进入一个“新发展期”的重要节点。
山西八校2017届高三物理暑假末结业试题(有答案)西省三区2017届八校联考暑假结业考物理试卷题号一、选择题二、综合题三、计算题总分得分一、选择题(每空4分,共48分)1、对于下列现象的解释,正确的是()A.蹦床运动员在空中上升和下落过程中,都处于失重状态B.物体超重时惯性大,失重时惯性小,完全失重时不存在惯性.撤掉水平推力后,物体很快停下,说明力是维持物体运动的原因D.宇航员在围绕地球做匀速圆周运动的航天飞机中,处于完全失重状态时受力平衡2、足够长的木板质量为1,沿水平地面做匀减速运动.t=0时刻,在木板上无初速放一质量为2的物块,物块与木板、木板与地面间的动摩擦因数相同.分别用v1和v2表示木板和物块的速度,下列反映v1和v2变化的图线中正确的是()A.B..D.3、足球运动员已将足球踢向空中,如右图所示,下列描述足球在向斜上方飞行过程中某时刻的受力图中,正确的是()(G为重力,F 为脚对球的作用力,Ff为空气阻力)4、质量=0g的某同学站在观光电梯地板上,用速度传感器记录了电梯在一段时间内运动的速度随时间变化情况(以竖直向上为正方向).由图象提供的信息可得()A.在0~1s内,观光电梯上升的高度为2B.在~1s内,电梯内的同学处于超重状态.在20~2s与2~3s内,观光电梯的平均速度大小均为10/s D.在2~3s内,观光电梯在减速上升,该同学的加速度大小2/s2、如图所示,物体P左边用一根水平轻弹簧和竖直墙壁相连,放在粗糙水平面上,静止时弹簧的长度大于弹簧的原长.若再用一个从零开始逐渐增大的水平力F向右拉P,直到把P拉动.在P被拉动之前的过程中,弹簧对P的弹力N的大小和地面对P的摩擦力f的大小的变化情况是()A.N始终增大,f始终减小B.N先不变后增大,f先减小后增大.N保持不变,f始终减小D.N保持不变,f先减小后增大6、完全相同的三块木块并排固定在水平面上,一颗子弹以水平速度射入,若子弹在木块中做匀减速直线运动,且穿过第三块木块后子弹的速度恰好为零,则子弹依次射入每块木块时的速度之比或穿过每块木块所用的时间之比正确的是()Av1︰v2︰v3=3︰2︰1 Bv1︰v2︰v3=︰︰1t1︰t︰t3=1︰︰Dt1︰t2︰t3=︰︰17、如图,质量分别为和的两物块(均可视为质点,且>)分别在同样大小的恒力作用下,沿水平面由静止开始做直线运动,两力与水平面的夹角相同,两物块经过的位移相同.设此过程中F1对做的功为1,F2对做的功为2,则()A.无论水平面光滑与否,都有1=2 B.若水平面光滑,则1>2.若水平面粗糙,则1>2 D.若水平面粗糙,则1<28、一物体从某一高度自由落下,落在直立于地面的轻弹簧上,如图所示.在A点,物体开始与弹簧接触,到B点时,物体速度为零,然后被弹回.下列说法中正确的是()A.物体从A下降到B的过程中,速率不断变小B.物体从B上升到A的过程中,速率不断变大.物体从A下降到B,以及从B上升到A的过程中,速率都是先增大,后减小D.物体在B点时,所受合力为零9、质量不计的弹簧下端固定一小球。
高2017级数学理科暑假试卷二一、单选题1.已知20191z i =-,则2z i +=( ) AB .C .2 D2.在极坐标系中,点(2,)π6A 与(2,)6πB -之间的距离为( ) A .1B .2C .3D .43.双曲线2219y x -=的渐近线的斜率是( )A .19± B .13± C .3±D .9±4.圆sin )ρθθ=+的圆心坐标是( )A .1,4π⎛⎫⎪⎝⎭B .2,4π⎛⎫⎪⎝⎭C .4π⎫⎪⎭D .,24π⎛⎫⎪ ⎪⎝⎭5.设随机变量ξ服从正态分布()1,4N ,且()20.3P ξ>=,则()01P ξ<<=( ) A .0.15 B .0.2 C .0.4 D .0.7 6.若曲线3()ln f x x a x =-在点)(1,(1)f 处的切线与直线30x y +-=平行,则实数a =( ) A .4- B .2- C .2 D .47.已知离散型随机变量X 服从二项分布()~6,X B p ,且()1E X =,则()D X = ( )A .13B .12C .23D .568.从10名高三年级优秀学生中挑选3人担任校长助理,则甲、乙至少有1人入选,而丙没有入选的概率为( ) A .1724B .715C .49120D .7309.用数学归纳法证明 “ (n ∈N *,n >1)”时由n =k(k >1)不等式成立,推证n =k +1时左边应增加的项数是( )A .k +1B .kC .2kD .2k +110.在平面直角坐标系xOy 中,已知抛物线2:4C y x =的焦点为F ,过点F 的直线l 与抛物线C 交于P ,Q 两点,若3FP FQ +=0,则OPQ ∆的面积为( )A.3B C .3D .11.已知椭圆2222:1(0)x y C a b a b+=>>的右焦点为F ,短轴的一个端点为P ,直线:430l x y -=与椭圆相交于A 、B 两点.若||||6AF BF +=,点P 到直线l 的距离不小于65,则椭圆离心率的取值范围为A .9(0,]5B .C .D .1(312.已知()f x 的定义域为()0,∞+,()f x '为()f x 的导函数,且满足()()f x xf x '<-,则不等式()()()2111f x x f x +>--的解集是( ) A .()0,1 B .()2,+∞ C .()1,2 D .()1,+∞ 二、填空题13.52(1)x x x ⎛⎫+- ⎪⎝⎭展开式中的常数项是_________(用数字作答)14.将三位老师分配到4所学校实施精准帮扶,若每位老师只去一所学校,每所学校最多去2人,则不同的分配方法有_____________ 种(用数字作答).15.已知圆锥曲线的一个焦点坐标为,则该圆锥曲线的离心率为 .16.在平面直角坐标系中,以坐标原点为极点,x 轴的非负半轴为极轴且单位长度相同建立极坐标系,若直线1,x t y a t =+⎧⎨=-⎩(t为参数)被曲线4cos ρθ=-截得的弦长为a 的值为___三、解答题17.求适合下列条件的圆锥曲线的标准方程: (1)抛物线的焦点是椭圆的上顶点;(2)椭圆的焦距是8,离心率等于.18.某厂生产的产品在出厂前都要做质量检测,每一件一等品都能通过检测,每一件二等品通过检测的概率为34.现有10件产品,其中7件是一等品,3件是二等品.(1)随机选取1件产品,求能够通过检测的概率; (2)随机选取3件产品,(i )记一等品的件数为X ,求X 的分布列; (ii )求这三件产品都不能通过检测的概率.19.小明某天偶然发现班上男同学比女同学更喜欢做几何题,为了验证这一现象是否具有普遍性,他决定在学校开展调查研究:他在全校3000名同学中随机抽取了50名,给这50名同学同等难度的几何题和代数题各一道,让同学们自由选择(1)能否据此判断有97.5%的把握认为选代数题还是几何题与性别有关?(2)用以上列联表中女生选做几何题的频率作为概率,从该校所有女生(该校女生超过1200人)中随机选5名女生,记5名女生选做几何题的人数为X,求X的数学期望()E X和方差()D X.参考公式:22()()()()()n ad bcKa b c d a c b d-=++++,其中n a b c d=+++.20.已知椭圆22221(0)x ya ba b+=>>),一个焦点在直线4y=-上,直线l与椭圆交于P Q,两点,其中直线OP的斜率为1k,直线OQ的斜率为2k。
高一暑假结业考试试卷一、语文(共100分)(一)文言文阅读(20分)阅读下面文言文,完成1-5题。
[文言文材料](请根据实际考试内容提供一段文言文材料,并附相应题目)1. 解释文中划线的词语。
(5分)2. 翻译文中划线的句子。
(5分)3. 概括文中人物的主要事迹。
(5分)4. 分析文中所表达的主旨。
(5分)5. 根据文中内容,回答相关问题。
(5分)(二)现代文阅读(30分)阅读下面现代文,完成6-10题。
[现代文材料](请根据实际考试内容提供一段现代文材料,并附相应题目)6. 概括文章的主要内容。
(5分)7. 分析作者的写作手法。
(5分)8. 理解文中的关键句子。
(5分)9. 评价文中人物形象。
(5分)10. 根据文章内容,回答相关问题。
(10分)(三)作文(50分)请以“我眼中的夏天”为题,写一篇不少于800字的记叙文或议论文。
二、数学(共100分)1-10题,每题2分,共20分。
[选择题内容](请根据实际考试内容提供10道选择题,并附选项)(二)填空题(20分)11-20题,每题2分,共20分。
[填空题内容](请根据实际考试内容提供10道填空题)(三)解答题(60分)21-30题,每题6分,共60分。
[解答题内容](请根据实际考试内容提供10道解答题)三、英语(共100分)(一)听力(20分)1-10题,每题2分,共20分。
[听力材料](请根据实际考试内容提供听力材料和题目)(二)阅读理解(30分)阅读A、B、C三篇短文,完成11-25题。
[阅读材料](请根据实际考试内容提供三篇短文,并附相应题目)(三)完形填空(20分)26-40题,每题1分,共20分。
[完形填空材料](请根据实际考试内容提供一篇完形填空文章和题目)请以“My Dream School”为题,写一篇不少于120词的短文。
四、物理(共100分)(一)选择题(20分)1-10题,每题2分,共20分。
[选择题内容](请根据实际考试内容提供10道选择题,并附选项)(二)填空题(20分)11-20题,每题2分,共20分。
2017年北京市夏季普通高中会考数 学 试 卷第一部分 选择题(每小题分,共分)在每个小题给出的四个备选答案中,只有一个是符合题目要求的. 1.已知集合{123}A =,,,{13}B =-,,那么集合AB 等于A .{3}B .{1123}-,,,C .{11}-,D .{13}x x -≤≤2.如果直线l 与直线320x y +-=平行,那么直线l 的斜率是A .3B .3-C .13D .13-3.不等式2230x x --<的解集为A .(13)-,B .(31)-,C .(1)(3)-∞-+∞,, D .(3)(1)-∞-+∞,,4.已知向量(12)=-,a ,(2)y =,b ,且⊥a b ,那么y 等于A .1-B .1C .4-D .45.已知tan =3α,那么tan (π+)α等于A .3-B .13-C .13D .36.某程序框图如图所示,如果输入x 的值是2,那么输出y 的值是375开始 是否输入A. 2B. 4C. 5D. 67.要得到函数πsin()4y x =+的图象,只需将函数sin y x =的图象 A .向左平移π4个单位 B .向右平移π4个单位 C .向上平移π4个单位 D .向下平移π4个单位 8.给出下列四个函数:○11y x =-; ○22y x =; ○3ln y x =; ○43y x =. 其中偶函数的序号是 A .○1B .○2C .○3D .○49.在△ABC 中,2a =,b ,3c =,那么角B 等于A .π6B .π4C .π3D .5π1210.已知数列{}n a 的前n 项和2=1n S n -,那么3a 等于A .5B .6C .7D .811.已知正数a b ,满足10ab =,那么a b +的最小值等于A .2BC .D .2012.22log 8log 4-等于A .1B .2C .5D .613.某几何体的三视图如图所示,那么该几何体的体积是14.函数21 0()1 0x x f x x x⎧-⎪=⎨>⎪⎩,≤,,零点的个数为A .0B .1C .2D.315.22ππcossin 1212-等于 A. B. C D 16.不等式组 1 02 00x y x y x --⎧⎪+-⎨⎪⎩≤,≤,≥表示的平面区域的面积等于A .32B .2C .94D .5217.已知定义在R 上的函数()f x 是单调函数,其部分图象如图所示,那么不等式()3f x <的解集为A .(0)+∞,B .(0)-∞,C .(2)-+∞,D .(2)-∞-, 18.已知圆221x y 与圆222(3)(0)xy r r 相外切,那么r 等于A .1B .2C .3D .420.已知向量(02)=,a ,(10)=,b ,那么向量2-a b 与b 的夹角为19.在植树活动中,每名同学可从两种树苗中任选一种进行种植,那么甲乙两名同学选择同一种树苗的概率是 A .14B .13C .12D .34A .135︒B .120︒C .60︒D .45︒21.某地区有网购行为的居民约10万人. 为了解他们网上购物消费金额占日常消费总额的比例情况,现从中随机抽取168人进行调查,其数据如右表所示. 由此估计,该地区网购消费金额占日常消费总额的比例在20%及以下的人数大约是 A .1.68万 B .3.21万 C .4.41万 D .5.59万22.已知数列{}n a 满足1+n n a a n +=,那么其前4项的和4S 等于A .3B .4C .5D .623.如图,在长方体1111ABCD A B C D -中,E F G H ,,,分别是棱111111A B BB CC C D ,,,的中点,那么 A .1//BD GH B .//BD EFC .平面//EFGH 平面11A BCD D .平面//EFGH 平面ABCD24.如图,在△ABC 中,点D 在线段BC 上,2BD DC =. 如果AD x AB y AC =+,那么A .1233x y ==,B .2133x y ==,C .2133x y =-=,D .1233x y ==-,25.从2008年京津城际铁路通车运营开始,高铁在过去几年里快速发展,并在国民经济和日常生活中扮演着日益重要的角色. 下图是2009年至2016年高铁运营总里程...数的折线图(图中的数据均是每年12月31日的统计结果).根据上述信息,下列结论中正确的是A .截止到2015年12月31日,高铁运营总里程数超过2万公里B .2011年与2012年新增..高铁运营里程数之和超过了0.5万公里C .从2010年至2016年,新增..高铁运营里程数最多的一年是2014年 D .从2010年至2016年,新增..高铁运营里程数逐年递增 第二部分 解答题(每小题分,共分)26.(本小题满分分)已知函数()sin 2cos2f x x x =+.(Ⅰ)(0)f = ;(将结果直接填写在答题卡...的相应位置上) (Ⅱ)求函数()f x 的最小正周期及单调递增区间.27.(本小题满分分)如图,在三棱锥P ABC -中,PB PC =,AB AC =.D ,E 分别是BC ,PB 的 中点.52555(Ⅰ)求证://DE 平面PAC ; (Ⅱ)求证:平面ABC ⊥平面PAD .28.(本小题满分分)已知数列{}n a 是公差为d 的等差数列,13a =,39a =. (Ⅰ)公差d = ;(将结果直接填写在答题卡...的相应位置上) (Ⅱ)数列{}n b 满足2n n b a =(123n =,,,),求数列{}n b 的前n 项和n S .29.(本小题满分分)已知⊙M :2240x x y -+=.(Ⅰ)⊙M 的半径r = ;(将结果直接填写在答题卡...的相应位置上) (Ⅱ)设点(03)A ,,(25)B ,,试判断⊙M 上是否存在两点C ,D ,使得四边形ABCD 为平行四边形?若存在,求直线CD 的方程;若不存在,请说明理由.5530.(本小题满分分)科学研究表明:人类对声音有不同的感觉,这与声音的强度I (单位:瓦/平方米)有关. 在实际测量时,常用L (单位:分贝)来表示声音强弱的等级,它与声音的强度I 满足关系式:0lgIL a I =⋅(a 是常数),其中120110I -=⨯瓦/平方米. 如风吹落叶沙沙声的强度11110I -=⨯瓦/平方米,它的强弱等级10L =分贝. (Ⅰ)a = ;(将结果直接填写在答题卡...的相应位置上) (Ⅱ)已知生活中几种声音的强度如下表:那么m = ;(将结果直接填写在答题卡...的相应位置上) (Ⅲ)为了不影响正常的休息和睡眠,声音的强弱等级一般不能超过50分贝,求此时声音强度I 的最大值.52017年北京市夏季普通高中会考数学试卷参考答案[说明]1. 第一部分选择题,机读阅卷.2. 第二部分解答题. 为了阅卷方便,解答题中的推导步骤写得较为详细,考生只要写明主要过程即可. 若考生的解法与本解答不同,正确者可参照评分标准给分. 解答右端所注分数,表示考生正确做到这一步应得的累加分数.第一部分 选择题 (每小题3分,共75分)第二部分 解答题 (每小题5分,共25分)26.(本小题满分分)已知函数()sin 2cos2f x x x =+.(Ⅰ)(0)f = ;(将结果直接填写在答题卡...的相应位置上) (Ⅱ)求函数()f x 的最小正周期及单调递增区间.(Ⅰ)解:(0)=f 1. ……………………………………2分(Ⅱ)解:由题意得 .所以 .因为 πππ2π22π242k x k -++≤≤,, 所以 3ππππ88k x k -+≤≤,.5π())4f x x =+T =πk ∈Z k ∈Z所以 的单调递增区间是3ππ[ππ+]88k k -,,. …………5分 27.(本小题满分分)如图,在三棱锥P ABC -中,PB PC =,AB AC =中点.(Ⅰ)求证://DE 平面PAC ; (Ⅱ)求证:平面ABC ⊥平面PAD .(Ⅰ)证明:因为 D ,E 分别是BC ,PB 的中点,所以 //DE PC .因为 DE ⊄平面PAC ,PC ⊂平面PAC ,所以 //DE 平面PAC . ……………………………………2分(Ⅱ)证明:因为 PB PC =,AB AC =,D 是BC 的中点,所以 PD BC ⊥,AD BC ⊥. 因为 PDAD D =,所以 BC ⊥平面PAD . 因为 BC ⊂平面ABC ,所以 平面ABC ⊥平面PAD . ……………………………………5分28.(本小题满分分)已知数列{}n a 是公差为d 的等差数列,13a =,39a =. (Ⅰ)公差d = ;(将结果直接填写在答题卡...的相应位置上) (Ⅱ)数列{}n b 满足2n n b a =(123n =,,,),求数列{}n b 的前n 项和n S . (Ⅰ)解:公差d =3. ……………………………………2分 (Ⅱ)解:因为 等差数列{}n a 的公差3d =,13a =,所以 3n a n =.所以232n nn b a ==⋅.所以 数列{}n b 是首项为6,公比为2的等比数列.()f x k ∈Z 55所以 6(12)62612n n n S -==⋅--. …………………………………… 5分 29.(本小题满分分)已知⊙M :2240x x y -+=.(Ⅰ)⊙M 的半径r = ;(将结果直接填写在答题卡...的相应位置上) (Ⅱ)设点(03)A ,,(25)B ,,试判断⊙M 上是否存在两点C ,D ,使得四边形ABCD 为平行四边形?若存在,求直线CD 的方程;若不存在,请说明理由.(Ⅰ)解:⊙M 的半径r =2. ……………………………………1分 (Ⅱ)解:由2240x x y -+=得 22(2)4x y -+=.所以 ⊙M 的半径2r =,圆心(20)M ,. 由点(03)A ,,(25)B ,可得 直线AB 的斜率为53120-=-,AB =如果存在点C ,D ,使得四边形ABCD 为平行四边形,那么AB CD ∥,AB CD =.设直线CD 的方程为y x b =+,则点M 到直线CD的距离d =由()2222CD r d =+可得 2(2)422b +=+,解得 0b =,或4b =-.当0b =时,直线CD 的方程为0x y -=,此时(22)C ,,(00)D ,; 当4b =-时,直线CD 的方程为40x y --=,此时(40)C ,,(22)D -,. 所以 ⊙M 上存在两点C ,D ,使得四边形ABCD 为平行四边形. …5分30.(本小题满分分)科学研究表明:人类对声音有不同的感觉,这与声音的强度I (单位:瓦/平方米)有关. 在实际测量时,常用L (单位:分贝)来表示声音强弱的等级,它与声音的强度I 满足关系式:0lgIL a I =⋅(a 是常数),其中120110I -=⨯瓦/平方米. 如风吹落叶沙沙声的强度11110I -=⨯瓦/平方米,它的强弱等级10L =分贝.(Ⅰ)a = ;(将结果直接填写在答题卡...的相应位置上) (Ⅱ)已知生活中几种声音的强度如下表:55第 11 页 共 11 页那么m = ;(将结果直接填写在答题卡...的相应位置上) (Ⅲ)为了不影响正常的休息和睡眠,声音的强弱等级一般不能超过50分贝,求此时声音强度I 的最大值. (Ⅰ)解:a =10. ……………………………………1分(Ⅱ)解:m =20. ……………………………………3分(Ⅲ)解:由题意,得 50L ≤.所以 1210lg 50110I -⨯⨯≤. 解不等式,得 70I -≤1.答:此时声音强度I 的最大值为70-1瓦/平方米. …………………………5分。
山东省2017年6月普通高中学业水平考试1.有丝分裂是真核生物进行细胞分裂的主要方式。
下列过程中与有丝分裂无关的是()A.细细菌增殖B.着丝点分裂C.纺锤体形成D.DNA分子复制2.下列性状属于相对性状的是()A.猫的白毛与狗的黑毛B.兔的长毛与粗毛C.人的色觉正常与色盲D.豌豆花的腋生与紫色3.1946年科学家从高等植物中分离出了生长素。
下列叙述中与生长素无关的是()A.微量高效B.极性运输C.具有两重性D.促进细胞分裂4.人的肤色正常与白化由一对等位基因A和a控制。
ー对正常夫妇生了一个患白化的女孩,该夫妇再生一个正常男孩的概率是()A.1/2B.3/4C.1/8D.3/85.下列叙述哪项不是衰老细胞的特征()A.多种酶的活性降低B.细细胞膜的通透性改变C.细胞内的水分减少D.细胞膜表面糖蛋白减少6.哺乳动物成熟红细胞在蒸馏水中会吸水涨破,将溶出细胞外的物质去掉,剩下的结构称为“血影”。
“血影”的主要成分是()A.纤维素、果胶B.多糖、脂脂肪酸C.磷脂、蛋白质D.胆固醇、DNA7.下列关于群落的叙述,错误的是()A.群落由植物和动物构成B.人类活动影响群落演替C.群落在垂直结构上有分层现象D.物种组成是区分不同样落的重要特征8.自从尼伦柏格和马太破译了第一个遗传密码子,到1966年科学家们完成了全部密码子的破译工作。
下列关于密码子和反密码子位置的叙述中,正确的是中()A.密码子位于DNA上B.密码子位于mRNAC.反密码子位于rRNA上D.反密码子位于mRNA上9.研究人类的遗传病时,我们可以从家庭系谱图中获取信息。
下图是一个单基因遗传病家庭系谱图,据图可判定该遗传病的遗传方式是()A.伴X染色体隐性遗传B.常染色体隐性遗传C.伴X染色体显性遗传D.常染色体显性遗传10.实验证明,钾离子不能透过人工脂类双层膜,但在人工脂类双层膜中加入少量缬氨霉素,钾离子即可从高浓度一侧跨(穿)膜到达低浓度一侧,其他离子则不能通过。
2017年上海市普通高中学业水平合格性考试化学试卷本试卷共6页,含30小题,满分为100分,考试时量90分钟。
本卷可能用到的相对原子质量数据:H—1C—12O—16S—32Cl—35.5Na—23Mg—24Fe—56一、选择题(本题包括25小题,每小题2分,共50分,每小题只有一个选项符合题意)1.世界气候大会与2009年12月在丹麦首都哥本哈根召开,商讨2012至2020年全球温室气体减排协议。
下列物质属于温室气体的是()A.N2B.H2C.CO2D.O22.海洋是一个巨大的宝藏,期待着人们的开发和利用。
下列物质不经过化学变化就能从海水中获得的是()A.单质溴B.单质镁C.烧碱D.食盐3.下列行为不是..健康文明的生活方式的是()A.不偏食,注意营养均衡B.每天坚持适度锻炼C.沉迷网络聊天、游戏D.不吸烟、不酗酒,远离毒品4.垃圾处理无害化、减量化和资源化逐渐被人们所认识。
垃圾的分类收集是实现上述理念的重要措施。
某垃圾箱上贴有如右图所示的标志,向此垃圾箱中丢弃的垃圾是()A.危险垃圾B.可回收物C.有害垃圾D.其他垃圾5.当光束通过下列分散系时,能观察到丁达尔效应的是()A.盐酸B.Fe(OH)3胶体C.氯化钠溶液D.CuSO4溶液6.实验室制取下列气体时,不能用排气法收集,而只能用排水法收集的是()A.NH3B.Cl2C.CO2D.NO7.实验室中,有关试剂的保存方法错误的是()A.烧碱溶液保存在带玻璃塞的试剂瓶中B.液溴用水封保存C.少量金属钠保存在煤油中D.浓硝酸保存在棕色细口瓶中8.下列实验操作或装置正确的是()A.点燃酒精灯B.蒸馏C.过滤D.稀释浓硫酸9.据报载我国最近合成新的同位素,其中一种是18572Hf(铪),它的质子数是()A.72B.113C.185D.25710.下列物质中,只含..共价键的是()A.NaCl B.Na2O C.HCl D.NaOH11.Na2CO3俗名纯碱,下面是对纯碱采用不同分类法的分类。
山西三区八校联考化学试题一、选择题:每题3分,42分。
1、表示下列变化的化学用语正确的是( )A .Na2CO3的水解:CO32-+H2O H2CO3+2OH -B .用石墨电极电解硫酸铜溶液:2Cu2++4OH -2Cu +O2↑+2H2O C .钢铁发生吸氧腐蚀的正极反应式为:O2 +2H2O +4e- = 4OH -D .草酸使酸性高锰酸钾溶液褪色:2MnO4—+5C2O42—+16H+=2Mn2++10CO2↑+8H2O2、在两份相同的Ba(OH)2溶液中,分别滴入物质的量浓度相等的H2SO4、NaHSO4溶液,其导电能力随滴入溶液体积变化的曲线如右图所示。
下列分析不正确的是( )A .①代表滴加H2 SO4溶液的变化曲线B .b 点,溶液中大量存在的离子是Na+、OH –C .c 点,两溶液中含有相同量的OH –D .a 、d 两点对应的溶液均显中性3、.往含0.2mol NaOH 和0.1mol Ca(OH)2的溶液中持续稳定地通入CO2气体,当通入气体的体积为6.72L (标准状况下)时立即停止,则在这一过程中,溶液中离子数目和通入CO2气体的体积关系正确的图像是(气体的溶解忽略不计)( )A B C D4、现有200mLNH4HCO3和Na2CO3的混合溶液,加入含a mol 氢氧化钠的溶液并加热,恰好反应完全;继续加入含bmolHCl 的盐酸恰好反应完全,则该混合溶液中c(Na+)为 ( ) (提示:NH4++OH 一=====NH3+H2O )A .(0.5b-0.5a)mol/LB .C .D .(5b-5a)mol/L5、设NA 为阿伏伽德常数的数值,下列说法正确的是( )A .18 g H2O 含有10NA 个质子B.25℃时,PH=13的NaOH溶液中含有的OH-数目为0.1NAC.标准状况下,22.4 L氨水含有NA个NH3分子D.56 g铁片投入足量浓H2SO4中生成NA个SO2分子6、某溶液中有NH4+、Mg2+、Fe2+和Al3+四种阳离子,若向其中加入过量的氢氧化钠溶液,微热并搅拌,再加入过量盐酸,溶液中大量减少的阳离子组合是()A.NH4+、Mg2+ B.Mg2+、Fe2+ C.NH4+、Fe2+ D.Mg2+、Al3+7、2013年12月15日,嫦娥三号着陆器与巡视器分离,“玉兔号”巡视器顺利驶抵月球表面。
山东省2017年夏季普通高中学业水平考试地理试题(总8页)-本页仅作为预览文档封面,使用时请删除本页-山东省2017年夏季普通高中学业水平考试地理试题第I卷(共50分)北京时间2015年7月24日0点,美国国家航空航天局宣布发现一颗与地球相似指数为98.系外行星。
这颗行星被命名为Kepler452b,位于其母恒星的“宜居带”内,恒星传递给行星的热量适中,行星表面温度适宜,能够维持液态水的存在。
据此完成1?2题。
1.该行星表面温度适宜的原因是()A.大气的保温作用强B.自转周期适中C.与恒星的距离适中D.存在液态水2.美国国家航空航天局宣布这一发现时,东九区的区时是A. 7 月 24 日 23 : 00B. 7 月 24 日 1 : 00C. 7 月 23 日 23 :00 D. 7 月 23 日 1 : 00“二十四节气”是我国独有的农业物候历,对农业生产具有重要的指导意义。
据此完成3?4题。
3.农谚“白露早,寒露迟,秋分种麦正当时”,最适用于我国的A.东北平原B.华北平原C.青藏高原D.珠江三角洲4.每年12月7日前后为我国的“大雪”节气,北方地区经常出现降雪天气。
该天气现象的形成最可能受下列哪种天气系统控制下图示意大西洋局部洋流分布。
读图完成5?6题5.流经甲处的洋流①自北向南流动②自南向北流动③为寒流④为暖流A. ①③B. ①④C.②③D. ②④6.拉布拉多半岛北部是苔原景观,而同纬度的卑尔根却是森林景观。
造成这种景观差异的原因是A.拉布拉多半岛北部受西风带的影响大B.拉布拉多半岛北部受墨西哥湾暖流的影响大C.卑尔根多晴朗天气,太阳辐射强度大D.卑尔根受北大西洋暖流的影响大山东多杨树、柳树等落叶阔叶树,福建多樟树、榕树等常绿阔叶树。
据此完成7?8题。
7.山东境内的杨树、柳树之所以落叶,主要是因为冬半年A.风力强劲B.旱情严重C.寒冷干燥D. 土壤盐碱化8.导致山东和福建两地树种差异的主导因素是A.地形B. 土壤C.水分D.热量丹霞地貌是一种红色陆相碎屑岩(砂岩、砾岩等)地貌,以赤壁丹崖为特色,多丹崖、尖峰、深切曲流、峡谷等自然景观。
1.设集合U=R ,A={x |(x +l ) (x ﹣2)<0},则∁U A=( ) A .(一∞,﹣1)∪(2,+∞) B .[﹣l ,2] C .(一∞,﹣1]∪[2,+∞)
D .(一1,2)【解答】解:集合U=R ,A={x |(x +l ) (x ﹣2)<0}={x |﹣1
<x <2},
则∁U A={x |x ≤﹣1或x ≥2}=(﹣∞,﹣1]∪[2,+∞). 故选:C .
4.已知α为锐角,且sinα=,则cos (π+α)=( ) A .一
B .
C .﹣
D .
【解答】解:∵α为锐角,sinα=, ∴cosα=,
那么cos (π+α)=﹣cosα=﹣. 故选A .
4.设a=60.4,b=log 0.40.5,c=log 80.4,则a ,b ,c 的大小关系是( ) A .a <b <c B .c <b <a C .c <a <b D .b <c <a
解:∵a=60.4>1,b=log 0.40.5∈(0,1),c=log 80.4<0, ∴a >b >c . 故选:B .
1. 已知集合{}30 103x A x B x x x ⎧+⎫
=≤=-≥⎨⎬-⎩⎭
,,则A B 为( )
A .[]1 3,
B .[)1 3,
C .[)3 -∞,
D .(]3 3-, 【答案】B 【解析】 试题分析:{}3|
0|333x A x x x x +⎧⎫
=≤=-≤<⎨⎬-⎩⎭
,{}{}|10|1B x x x x =-≥=≥,所以{}|13[1,3)A
B x x =≤<=,故选B.
5. 已知直角坐标系中点()0 1A ,
,向量()()4 3 7 4AB BC =--=--,,,,则点C 的坐标
为( )
A.()11 8,
B.()3 2,
C.()11 6--,
D.()3 0-, 【答案】
C
考点:向量的坐标运算.
6. 已知24cos 0352παπα⎛⎫+=-<< ⎪⎝⎭,,则sin
sin 3παα⎛
⎫++ ⎪⎝
⎭等于( )
A .43-
B .33- C.33 D .43 【答案】A 【解析】
试题分析:因为24
cos 35
πα⎛
⎫+
= ⎪⎝
⎭,所以1311sin sin sin cos sin 3cos sin 3222πααααααα⎛⎫⎛⎫
++=++=+ ⎪ ⎪⎝⎭⎝⎭
22433cos 3cos 3cos 333πππααπα⎡⎤⎛
⎫⎛⎫⎛
⎫
=-=+
-=-+=- ⎪ ⎪ ⎪
⎢⎥⎝⎭⎝
⎭⎝⎭
⎣⎦
,故选A. 考点:三角恒等变换与诱导公式.
7. 已知1
2
132111 log log 33
2a b c ⎛⎫=== ⎪⎝⎭,
,,则( ) A .c b a >> B .b c a >> C.b a c >> D .a b c >> 【答案】C
考点:指数、对数的性质.
9. 将函数2sin 26y x π⎛
⎫=+ ⎪⎝
⎭的图象向右平移14个周期后,所得图象对应的函数为()f x ,则
函数()f x 的单调递增区间( )
A .()5 1212k k k Z ππππ⎡⎤-+∈⎢⎥⎣⎦,
B .()511 1212k k k Z ππππ⎡
⎤++∈⎢⎥⎣⎦
, C.()57 2424k k k Z ππππ⎡⎤-+∈⎢⎥⎣⎦, D .()719 2424k k k Z ππππ⎡
⎤++∈⎢⎥⎣⎦
, 【答案】A. 【解析】
试题分析:函数2sin 26y x π⎛⎫=+ ⎪⎝⎭的周期T π=,所以44T π=,函数2sin 26y x π⎛
⎫=+ ⎪⎝
⎭的图
象向右平移
4π后所得函数的解析式为()2sin 2()2sin(2)463f x x x πππ⎡
⎤=-+=-⎢⎥⎣
⎦,由
222()232k x k k Z ππ
π
ππ-
≤-
≤+
∈得函数()f x 的单调递增区间为
()5 1212k k k Z ππππ⎡⎤-+∈⎢⎥⎣
⎦,,故选A. 11.已知向量=(t ,1)与=(4,t )共线且方向相同,则实数t=_______. 12.已知sin α=,且<α<π,则tan2α=_______.
11.已知向量=(t ,1)与=(4,t )共线且方向相同,则实数t= 2 . 【解答】解: =(t ,1)=(4,t ), ∵与共线,
∴t 2﹣4=0,解得t=±2. 又与同向, ∴t=2.
故答案为:2. 12.已知sin α=,且<α<π,则tan2α= . .
【解答】∵sin α=,且
<α<π,
∴cos α=﹣, ∴tan α=﹣
∴tan2α==.
14. 设实数x y
,满足
70
310
350
x y
x y
x y
+-≤
⎧
⎪
-+≤
⎨
⎪--≥
⎩
,则2
z x y
=-的最小值为
.
【答案】8
【解析】
试题分析:作出不等式组
70
310
350
x y
x y
x y
+-≤
⎧
⎪
-+≤
⎨
⎪--≥
⎩
表示的平面区域如图:
根据图形得:当直线2
z x y
=-经过点B时z取得最大值,
由
70
310
x y
x y
+-=
⎧
⎨
-+=
⎩
解得:()
5 2
B,,∴
max
5228
z=⨯-=.
17.设S n为各项不相等的等差数列{a n}的前n项和,已知a 3a5=3a7,S3=9.(1)求数列{a n}通项公式;
(2)设T n为数列{}的前n项和,求的最大值.
【解答】解:(1)设{a n}的公差为d,
∵a3a5=3a7,S3=9,
∴,
解得(舍去)或,
∴a n=2+(n﹣1)×1=n+1;
(2)∵,
∴
=
= =
,
∴,
当且仅当,即n=2时“=”成立,
即当n=2时,取得最大值.
17. (本小题满分12分)
在ABC △中, A B C ,,的对边分别为 a b c ,,, 83
C b π
==,,ABC △的面积为103.
(Ⅰ)求c 的值; (Ⅱ)求()cos B C -的值. 【答案】(Ⅰ)7c =;(Ⅱ)
13
14
.
(Ⅱ)由(Ⅰ)得2224925641
cos 2707
a c
b B a
c +-+-===,
由于B 是三角形的内角,得243
sin 1cos B B =- 所以()4331113
cos cos cos
sin sin
3
3
7214
B C B B π
π
-=+=
+⨯= (12分) 考点:1.正弦定理与余弦定理;2.三角恒等变换.
【名师点睛】本题考查正弦定理与余弦定理、与三角恒等变换,属中档题;解三角形问题的主要工具就是正弦定理、余弦定理,在解题过程中要注意边角关系的转化,根据题目需要合
理选择合理的变形方向,利用三角恒等变换公式进行转化. 18. (本小题满分12分)
已知数列{}n a 是公差为2的等差数列,数列{}n b 满足121
1 2
b b ==,,若*n N ∈时,11n n n n a b b nb -+-=.
(Ⅰ)求{}n b 的通项公式; (Ⅱ)设1
1
n n n C a a +=
,求{}n c 的前n 项和n S . 【答案】(Ⅰ)1
12n n b -⎛⎫
= ⎪
⎝⎭
;(Ⅱ)269
n n
S n =
+. 试题解析: (Ⅰ)由数列{}n b 满足121
1 2
b b ==
,,1n n n n a b b nb --=, 当1n =时,1221a b b b -=,即1113
322
a a =⇒=,
又因为数列{}n a 是公差为2的等差数列,所以21n a n =+ (3分) 由21n a n =+得()1121n n n n b b nb +++-=, 化简得:12n n b b +=,即
112
n n b b +=, 即数列{}n b 是以1为首项,以1
2
为公比的等比数列, 所以1
12n n b -⎛⎫
= ⎪
⎝⎭
. (6分)
考点:1.等差数列、等比数列的定义与性质;2.裂项相消法求和.。