钢板新旧标准比对
- 格式:pdf
- 大小:60.51 KB
- 文档页数:2
钢材新标准与旧标准比较钢材新标准与旧标准比较钢材新标准与旧标准比较中华人民共和国国家质量监督检验检疫总局和中国国家标准化管理委员会联合发布,从2008年3月1日起执行《热轧带肋钢筋》新标准(GB1499.2-2007),原标准(GB1499-1998)同时废止。
将新旧标准进行对比,存在以下几点变化:一、新的国家标准为强制性标准,而且不设过度期,3月1日起正式实施,同时废除旧标准,以往一般有两年的过度期。
二、新标准在内容方面变化较大,在适用范围、牌号、尺寸要求、力学性能、表面质量、标志、检测及判定方法等方面都有了不同的要求。
如新标准在分类、牌号上增加了细晶粒热轧钢筋:HRBF335、HRBF500;在订货合同上增加了“标准编号、产品名称、钢筋牌号、钢筋公称直径、长度及重量、特殊要求。
”在螺纹钢长度规定上,也有新的变化。
旧标准规定“允许偏差不得大于+50mm”,而新标准则规定“正常交货时偏差为±50mm,当要求最大长度时,其偏差为-50mm,当要求最小长度时,其偏差为+50mm。
”这就意味着,现在9米定尺的螺纹钢,可以短25mm,也可以长出25mm,都是符合标准的。
三、新标准在钢筋的标志识别上作了改变,“标志”就是刻在钢筋上的标记,旧标准HRB335用“2”表示(通常称为:二级钢);HRB400用“3”表示(通常称为:三级钢);HRB500用“4”表示。
而新标准的标志作了变动:HRB335用“3”表示;HRB400用“4”表示;HRB500用“5”表示;HRBF335用“C3”表示;HRBF400用“C4”表示;HRBF500用“C5”表示。
牌号带F的抗震钢筋在标牌和“质保书”上要明示。
今后看到钢筋表面刻着“4”,就是HRB400,也就是之前说的Ⅲ级螺纹。
四、新标准对钢筋性能的一些指标进行调整。
比如新标准对钢筋的抗拉强度降低了,旧标准(HRB335、HRBF335)为490Mpa,新标准改为≥455Mpa;旧标准(HRB400、HRBF400)为570Mpa,新标准则下降到≥540Mpa。
国内钢厂发布了不锈钢新牌号标准,经过比较分析,新牌号与旧牌号标识上基本没有太大变动,主要的化学元素标识都没有变动,只有碳含量标识和个别钢种里面化学元素发生变动:
1、碳(C)含量标识
1) 旧牌号:Cr之前的数字表示碳的千份之几的含量。
如201(1Cr17Mn6Ni5N):碳(C)含量千分之一;2Cr13(420),7Cr17(440A),分别表示碳(C)含量千分之二和千分之七;如果C≤0.08%为低碳,标识为“0”,如(304)0Cr18Ni9;C≤0.03%为超低碳,标识为“00”,如00Cr17Ni14Mo2(316L)。
2) 新牌号:Cr之前的数字表示碳(C)的万分之几的含量。
如201牌号为12Cr17Mn6Ni5N,表示碳(C)含量万分之十二(0.12%);304牌号为06Cr19Ni10,表示碳(C)含量万分之六(0.06%);316L牌号为022Cr17Ni12Mo2,表示碳(C)含量万分之二点二(0.022%)。
其它标识基本不变。
新牌号中碳(C)含量较之以前更加明确,对产品生产技术也有了更高的要求。
2、个别材质原料含量发生调整
3、不锈钢主要牌号对照便如下:。
钢材新标准与旧标准比较钢材新标准与旧标准比较钢材新标准与旧标准比较中华人民共和国国家质量监督检验检疫总局和中国国家标准化管理委员会联合发布,从2008年3月1日起执行《热轧带肋钢筋》新标准(GB1499.2-2007),原标准(GB1499-1998)同时废止。
将新旧标准进行对比,存在以下几点变化:一、新的国家标准为强制性标准,而且不设过度期,3月1日起正式实施,同时废除旧标准,以往一般有两年的过度期。
二、新标准在内容方面变化较大,在适用范围、牌号、尺寸要求、力学性能、表面质量、标志、检测及判定方法等方面都有了不同的要求。
如新标准在分类、牌号上增加了细晶粒热轧钢筋:HRBF335、HRBF500;在订货合同上增加了“标准编号、产品名称、钢筋牌号、钢筋公称直径、长度及重量、特殊要求。
”在螺纹钢长度规定上,也有新的变化。
旧标准规定“允许偏差不得大于+50mm”,而新标准则规定“正常交货时偏差为±50mm,当要求最大长度时,其偏差为-50mm,当要求最小长度时,其偏差为+50mm。
”这就意味着,现在9米定尺的螺纹钢,可以短25mm,也可以长出25mm,都是符合标准的。
三、新标准在钢筋的标志识别上作了改变,“标志”就是刻在钢筋上的标记,旧标准HRB335用“2”表示(通常称为:二级钢);HRB400用“3”表示(通常称为:三级钢);HRB500用“4”表示。
而新标准的标志作了变动:HRB335用“3”表示;HRB400用“4”表示;HRB500用“5”表示;HRBF335用“C3”表示;HRBF400用“C4”表示;HRBF500用“C5”表示。
牌号带F的抗震钢筋在标牌和“质保书”上要明示。
今后看到钢筋表面刻着“4”,就是HRB400,也就是之前说的Ⅲ级螺纹。
四、新标准对钢筋性能的一些指标进行调整。
比如新标准对钢筋的抗拉强度降低了,旧标准(HRB335、HRBF335)为490Mpa,新标准改为≥455Mpa;旧标准(HRB400、HRBF400)为570Mpa,新标准则下降到≥540Mpa。
国标、外标简介
新、旧版国标的差异
2.新标准中去掉了一些钢种:如1Cr18Ni9Ti。
3.新标准增加了一些钢种:如022Cr11Ti(对应SUH409L),00Cr17Ni12Mo2(对应AISI316L)。
4.新标准对部分钢种的成份参照美标进行了调整
N元素的要求,见下表示例:
新、旧版国标的使用说明
1.订货:08年1月新、旧标准同时接受订货;08年2月起,原则上按照新标准订货,但由于部分特殊行业的要求,并不完全停止旧标准的执行。
2.生产:对应订单标准生产。
国标、外标类似牌号对照表(2008)
注:1.同一行仅为类似钢种,成份要求不完全一致,转换钢种必须核对具体成份。
2.某一钢种已有的生产工艺适用于同类钢种。
3.美标牌号使用时,AISI可加,也可不加。
1.2 钢筋1.2.1 普通钢筋的强度标准值fyk(N/mm2):种类符号 d(mm) fyk热轧钢筋新 HPB235(Q235)φ 8∽20 235旧Ⅰ级(A3、AY3)φ- 235新 HRB335(20MnSi)Φ 6∽50 335旧Ⅱ级(20MnSi、20MnNb(b))Φ d≤25 335Φ d=25∽40 315新 HRB400 (20MnSiV、20MnSiNb、20MnTi) O 6∽50 400旧Ⅲ级(25MnSi) O - 370新 RRB400 (K20MnSi) OR 8∽40 400旧Ⅳ级(40Si2MnV、45SiMnV、45Si2MnTi) O - 540注(新):1、热轧钢筋直径d系指公称直径;2、当采用直径大于40mm的钢筋时,应有可靠的工程经验。
1.2.2 普通钢筋的抗拉、抗压强度设计值fy、fy’(N/mm2):种类符号 d(mm) fy fy’热轧钢筋新 HPB235(Q235)φ 8∽20 210 210旧Ⅰ级(A3、AY3)φ- 210 210新 HRB335(20MnSi)Φ 6∽50 300 300旧Ⅱ级(20MnSi、20MnNb(b))Φ d≤25 310 310Φ d=25∽40 290 290新 HRB400 (20MnSiV、20MnSiNb、20MnTi) O 6∽50 360 360旧Ⅲ级(25MnSi) O - 340 340新 RRB400 (K20MnSi) OR 8∽40 360 360旧Ⅳ级(40Si2MnV、45SiMnV、45Si2MnTi) O - 500 400注(新):在钢筋砼结构中,轴心受拉和小偏心受拉构件的钢筋抗拉强度设计值大于300N/mm2时,仍应桉300n/mm2取用。
1.2.3 钢筋的弹性模量Es(x105N/mm2):种类 Es新 HPB235级钢筋 2.10旧Ⅰ级钢筋、冷拉Ⅰ级钢筋 2.10新 HRB335级钢筋、HRB400级钢筋、RRB400级钢筋、热处理钢筋 2.00旧Ⅱ级钢筋、Ⅲ级钢筋、Ⅳ级钢筋、热处理钢筋、碳素钢丝、冷拔低碳钢丝 2.00新消除应力钢丝(光面钢丝、螺旋肋钢丝、刻痕钢丝)8∽40360 2.05旧冷拉Ⅱ级钢筋、冷拉Ⅲ级钢筋、冷拉Ⅳ级钢筋、刻痕钢丝、钢绞线 1.80新钢绞线 1.95注(新):必要时钢绞线可采用实测的弹性模量。
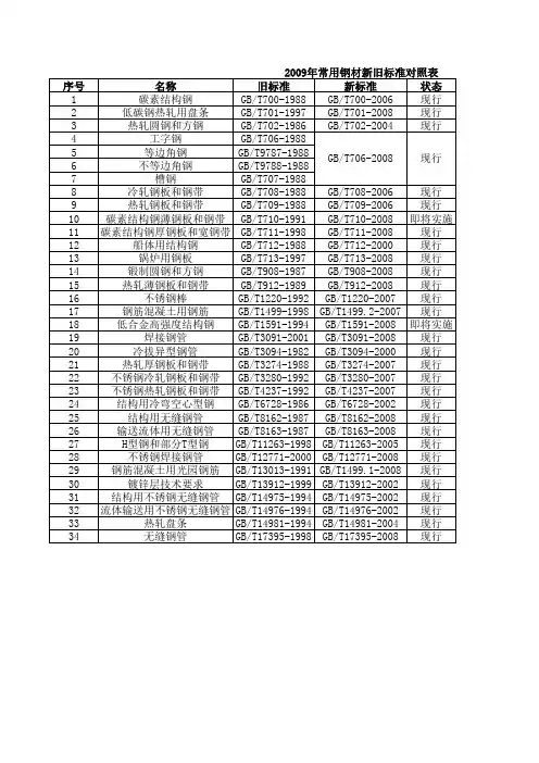
z 常用材料标准及新旧标准对照
随着科学技术的不断发展,材料标准也在不断的进行更新,以适应不断变化的各行各业的需求。
为更好、更有效地执行标准,满足ISO9002质量体系的要求,特制定“常用材料标准及新旧标准对照”,望各有关单位参照执行(自新标准发布之日起,相应旧标准不再有效)。
碳素结构钢
一般工程用铸钢
灰
铸 铁
新旧低合金高强度结构钢标准牌对照
注:摘自G B /T 1591-94
合金结构钢
弹簧钢及轴承钢
常用钢板、钢带的标准摘要
型 钢
煤 机 用 热 轧 异 型 钢
钢
管
钢 丝
非 金 属 制 品
棉 制 品
优质碳素钢
毛 毡。