2018级硕士研究生拟录取公示名单
- 格式:pdf
- 大小:4.46 MB
- 文档页数:95
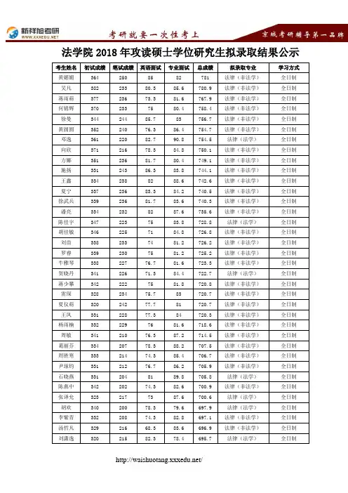
法学院2018年攻读硕士学位研究生拟录取结果公示考生姓名初试成绩笔试成绩英语面试专业面试总成绩拟录取专业学习方式黄媚媚364 250 85 82 781 法律(非法学)全日制吴凡382 233 80.3 85.6 780.9 法律(非法学)全日制蒋雨萌377 236 73.3 81.6 767.9 法律(非法学)全日制何锦辉370 233 75 80.4 758.4 法律(非法学)全日制徐曼344 244 85.7 83 756.7 法律(非法学)全日制黄圆圆352 240 76.3 86.4 754.7 法律(非法学)全日制邓逸361 220 82.7 90.8 754.5 法律(法学)全日制向欣371 216 78.3 84.8 750.1 法律(非法学)全日制方娜351 236 81.7 80.4 749.1 法律(非法学)全日制施扬331 243 86.3 83.8 744.1 法律(非法学)全日制王鑫334 238 82 88.6 742.6 法律(非法学)全日制夏宁337 236 83.3 84.2 740.5 法律(非法学)全日制徐武兵339 236 81.7 83.6 740.3 法律(非法学)全日制潘亮334 232 82 87.6 735.6 法律(非法学)全日制陈佳宇347 223 75 83.8 728.8 法律(法学)全日制胡佳敏346 225 71 84.8 726.8 法律(非法学)全日制刘苗338 233 74 81.2 726.2 法律(非法学)全日制罗睿339 230 75 81.2 725.2 法律(非法学)全日制牛雅琴338 227 76.7 81.6 723.3 法律(非法学)全日制贺晓丹341 226 71.3 84.4 722.7 法律(法学)全日制蒋少攀342 222 75 81.8 720.8 法律(非法学)全日制雷琛328 234 75.7 83 720.7 法律(非法学)全日制夏仪萌320 242 77.7 81 720.7 法律(非法学)全日制王凤331 228 77.3 84 720.3 法律(非法学)全日制杨雨楠332 229 76 81.6 718.6 法律(非法学)全日制周敏341 210 76.3 87.2 714.5 法律(非法学)全日制葛丽芬334 207 78.3 88.2 707.5 法律(非法学)全日制周胜寒333 214 74.3 85.4 706.7 法律(非法学)全日制尹琢钧331 212 76.7 86.2 705.9 法律(非法学)全日制石晓燕331 204 81 89.8 705.8 法律(法学)全日制陈燕中342 202 74.3 82.6 700.9 法律(非法学)全日制张译允323 217 73 87.6 700.6 法律(法学)全日制胡欢340 200 78.3 79.6 697.9 法律(法学)全日制李紫青332 208 74.3 82.8 697.1 法律(非法学)全日制汤哲凡329 216 68.3 83.6 696.9 法律(非法学)全日制刘潇逸320 215 82.3 78.4 695.7 法律(法学)全日制贺如意336 208 73.3 76 693.3 法律(法学)非全日制杨洪明327 201 75.7 85.2 688.9 不录袁慧325 209 74 80 688 法律(非法学)非全日制陈儒322 208 76 81.2 687.2 不录解晋317 197 83.7 83.6 681.3 不录王子元326 182 86.7 86.4 681.1 不录刘秋雨323 198 72 87.4 680.4 不录刘通成322 196 75 86.4 679.4 不录石春花324 190 80.7 84.6 679.3 法律(非法学)全日制周圣330 185 76.7 80.4 672.1 法律(非法学)非全日制唐玲319 194 74.3 84.2 671.5 法律(非法学)非全日制向阳明月316 184 81.7 87.6 669.3 法律(法学)非全日制张世成315 195 75.7 82.4 668.1 不录吴涛315 180 84.3 88.2 667.5 不录张振飞319 193 68.3 85.8 666.1 不录陈婷318 181 81.7 84.4 665.1 法律(非法学)非全日制唐正勇321 183 73 85.8 662.8 法律(非法学)非全日制吴轩兰317 183 79.3 82.8 662.1 不录王玉冰315 180 81.3 84.6 660.9 不录罗国艳321 187 71.7 80.4 660.1 法律(非法学)非全日制王帅320 183 75.3 81.4 659.7 不录唐志怡318 182 74 81.6 655.6 法律(非法学)非全日制张娉305 181 79.7 87 652.7 法律(非法学)全日制朱永燕298 187 76.7 84.2 645.9 法律(法学)全日制杜祥319 181 68.3 77.6 645.9 不录薛宁316 0 0 0 316 不录唐雪315 0 0 0 315 不录刘洋315 0 0 0 315 不录张浩然326 法律(法学)全日制姬洁洁329 法律(法学)全日制杨欣325 法律(法学)全日制向鑫347 法律(法学)全日制李双伶320 法律(非法学)全日制曹珊0 法律(法学)全日制刘鹏飞0 法律(非法学)全日制陈慧聪0 法律(非法学)全日制高凡0 法律(非法学)全日制毛佳妮0 法律(非法学)全日制任财0 法律(非法学)全日制冯越340 264 81.7 82 767.7 法学理论全日制蒋露361 238 87.3 78.5 764.8 法学理论全日制贺永超341 243 79.3 87.2 750.5 法学理论全日制彭娟337 225 88 93.3 743.3 法学理论全日制罗正标359 234 74 75.5 742.5 不录张余瑛360 244 72.3 65.8 742.1 不录张东洋353 236 77.7 68.3 735 不录吴联梅344 252 66 69.7 731.7 法学理论非全日制胡杰344 237 68 71.3 720.3 不录胡亚军360 180 76.7 79.2 695.9 法学理论非全日制黄鑫344 法学理论全日制李弋戈371 259 88.7 91.3 810 国际法学全日制屈丹365 253 80.3 88.5 786.8 国际法学全日制邢伟斌386 213 88.7 89.5 777.2 国际法学全日制张毅358 230 72.7 89.8 750.5 国际法学全日制全宏亮356 203 84 81 724 国际法学全日制张育铭339 186 74.7 83 682.7 不录吴诗环0 国际法学全日制周宇381 209 85.7 82.4 758.1 环境与资源保护法学全日制岳瑞洁371 203 81.7 82.6 738.3 环境与资源保护法学全日制李秋梅335 229 71 82.2 717.2 不录符湘琳368 环境与资源保护法学全日制王琛扬384 225 85.3 90 784.3 经济法学全日制马瑛368 247 81 84 780 不录付巧梅354 224 93.3 83 754.3 经济法学非全日制林敏342 255 83.7 73.3 754 经济法学非全日制王思惟354 232 87.7 79.6 753.3 经济法学非全日制凡小会369 200 85.7 82 736.7 不录曹谨哲393 180 78.3 81 732.3 经济法学全日制彭南勇352 经济法学全日制李曦0 经济法学全日制梁鹏0 经济法学全日制林文翟0 经济法学全日制李依宸392 247 87 78 804 民商法学全日制朱筑行383 202 86 75.6 746.6 不录高艺瑜391 194 81 68.8 734.8 民商法学非全日制苏悦心358 217 70.7 82.5 728.2 不录宋志飞317 191 77 87 672 民商法学全日制李俊才327 182 60 82.5 651.5 民商法学全日制龙娅妮0 民商法学全日制杨纯0 民商法学全日制李家维0 民商法学全日制郭溢0 民商法学全日制闫素洁0 民商法学全日制李治0 民商法学全日制文豪娟392 240 76 90 798 诉讼法学全日制朱丹亚364 249 80 80 773 不录刘芳云335 238 80 83.3 736.3 诉讼法学非全日制李燕338 242 77 78.3 735.3 不录彭骞335 0 0 0 0 不录谭雅文377 诉讼法学全日制金晓芮344 诉讼法学全日制汪闰月0 诉讼法学全日制雷泓荟0 诉讼法学全日制邓皓迪0 诉讼法学全日制张苑晖360 277 82 87.6 806.6 卫生法学全日制周昕宇375 208 81.7 85 749.7 卫生法学非全日制唐钰340 237 81.7 81.8 740.5 不录王琳博0 卫生法学全日制谢令怡0 文化法学全日制何静361 215 77.3 80.3 733.6 宪法学与行政法学全日制胡梦丽376 195 80 81.6 732.6 宪法学与行政法学全日制戴维358 195 76.7 72.5 702.2 宪法学与行政法学全日制贾宁琦342 190 78.7 88.8 699.5 不录李婷348 185 86.7 73.5 693.2 不录梅纯清342 180 69.3 88.3 679.6 宪法学与行政法学非全日制蹇菲335 180 84 65.8 664.8 宪法学与行政法学非全日制余佳露407 宪法学与行政法学全日制闫嘉琦372 宪法学与行政法学全日制蒋湘琼0 宪法学与行政法学全日制杨帆391 239 78.3 84.8 793.1 刑法学全日制张高榕358 264 77 92 791 不录袁景玉349 229 83.7 82.5 744.2 不录高立萍0 刑法学全日制古楚0 刑法学全日制何银362 251 81.7 87.2 781.9 知识产权法学全日制邢家仪363 245 86.7 83 777.7 知识产权法学全日制孙莉353 258 75.7 86.2 772.9 知识产权法学非全日制张佳341 220 84.7 83.8 729.5 不录母运龙0 知识产权法学全日制许黎0 知识产权法学全日制谭思扬390 知识产权法学全日制。
001文学院050101文艺学103198320803566王文颖001文学院050101文艺学103198321508358黄明曦001文学院050101文艺学103198320803570柏红果001文学院050101文艺学103198370615376于汇001文学院050101文艺学104868111015390龚文豪调剂生001文学院050101文艺学103198131500646李心001文学院050101文艺学102698101010032赵蕊调剂生001文学院050101文艺学103198321207678邱亚男001文学院050101文艺学103198520119608许君怡001文学院050101文艺学103198330711411叶梦婷001文学院050101文艺学103198431418495孙成龙001文学院050101文艺学103198415917792曹光耀001文学院050101文艺学103198442018882邬树丽001文学院050101文艺学103198410616504王雪凝001文学院050101文艺学103198370615291岳凯月001文学院050101文艺学103198103190169王雯杰推免生001文学院050101文艺学103198103190170秦烺推免生001文学院050101文艺学103198103190171闫紫晴推免生001文学院050101文艺学103198103570440韦妙推免生001文学院050101文艺学103198103700465刘闫推免生001文学院050101文艺学103198104460588荣敏敏推免生001文学院050101文艺学103198104760638任威威推免生001文学院050101文艺学103198107360794赵学敏推免生001文学院050101文艺学103198111170839沈玉洁推免生001文学院050101文艺学103198111170840吴春雨推免生001文学院050102语言学及应用语言学103198421418036刘寒蕊001文学院050102语言学及应用语言学103198345713536汪怡波001文学院050102语言学及应用语言学103198351113890黄彤001文学院050102语言学及应用语言学103198321808829杭明丽001文学院050102语言学及应用语言学103198340512450戴玉玲001文学院050102语言学及应用语言学103198345713535张杨001文学院050102语言学及应用语言学103198120400123陈奕竹001文学院050102语言学及应用语言学102698101020008钱佳璐调剂生001文学院050102语言学及应用语言学103198360114046林燕001文学院050102语言学及应用语言学103198320803696郝星月001文学院050102语言学及应用语言学103198620520139王伟东001文学院050102语言学及应用语言学103198430918410李玉洁001文学院050102语言学及应用语言学103198140600884王蓉001文学院050102语言学及应用语言学103198101840093柳明烨推免生001文学院050102语言学及应用语言学103198103200394谈倩推免生001文学院050102语言学及应用语言学103198103700466杨晨推免生001文学院050102语言学及应用语言学103198103940510黄蔚雯推免生001文学院050102语言学及应用语言学103198104760639闫培艺推免生001文学院050102语言学及应用语言学103198105300664周思佳推免生001文学院050102语言学及应用语言学103198105300665姜营推免生001文学院050103汉语言文字学103198370214891朱咏梅001文学院050103汉语言文字学103198431018426胡丹001文学院050103汉语言文字学103198511119346欧阳佳丽001文学院050103汉语言文字学103198422518234吴晓悦001文学院050103汉语言文字学103198131100600张慧001文学院050103汉语言文字学103198321808830马思奇001文学院050103汉语言文字学103198460419090朱轶群001文学院050103汉语言文字学103198340412298孙伟芳001文学院050103汉语言文字学103198322109972王悦001文学院050103汉语言文字学103198322210173张敏001文学院050103汉语言文字学105588111105618张莹调剂生001文学院050103汉语言文字学103198340712720许紫筠001文学院050103汉语言文字学103198414217358程慧001文学院050103汉语言文字学103198370915743刘妍妍001文学院050103汉语言文字学103198321408145陈晨001文学院050103汉语言文字学103198500419178李金花001文学院050103汉语言文字学103198322009626赖子含001文学院050103汉语言文字学103198100750029武松静推免生001文学院050103汉语言文字学103198101650078王玉娇推免生001文学院050103汉语言文字学103198103700467黄萍推免生001文学院050103汉语言文字学103198103850505吴清颖推免生001文学院050103汉语言文字学103198104760640杨梅推免生001文学院050103汉语言文字学103198107180782李红红推免生001文学院050103汉语言文字学103198107240785王怡推免生001文学院050103汉语言文字学103198111170841钱添艳推免生001文学院050103汉语言文字学103198116460853王恬推免生001文学院050104中国古典文献学103198322310493王天骄001文学院050104中国古典文献学103198320803733王悦001文学院050104中国古典文献学103198321408146莫培001文学院050104中国古典文献学103198331011514叶静燕001文学院050104中国古典文献学103198320803728刘佳怡001文学院050104中国古典文献学103198320804825尤崇玲001文学院050104中国古典文献学103198370415170顾晗001文学院050104中国古典文献学103198371115882金子杨001文学院050104中国古典文献学103198360314258段玉燕001文学院050104中国古典文献学103198612219955胡钰001文学院050104中国古典文献学103198320803732戴林举001文学院050104中国古典文献学103198330411284黄雪001文学院050104中国古典文献学103198320803722王子伟001文学院050104中国古典文献学103198421818086严乙峰001文学院050104中国古典文献学100278218100770宋雨濛调剂生001文学院050104中国古典文献学103198340812783张冉冉001文学院050104中国古典文献学103198442118898蓝雨001文学院050104中国古典文献学103198102280110李洁推免生001文学院050105中国古代文学103198130500381陈鸿喆001文学院050105中国古代文学103198320803577郭昕001文学院050105中国古代文学102848210809273廖雯调剂生001文学院050105中国古代文学103198320803612丁晓宇001文学院050105中国古代文学103198360314253赵时龙001文学院050105中国古代文学103198320803621华雨虹001文学院050105中国古代文学103198611319897李泽群001文学院050105中国古代文学103198321808813王子秋001文学院050105中国古代文学103198370214873夏苏皖001文学院050105中国古代文学103198330110981李超001文学院050105中国古代文学103198131500649王冠通001文学院050105中国古代文学103198130300307马思雨001文学院050105中国古代文学103198322310481徐新娣001文学院050105中国古代文学103198320803623陈微001文学院050105中国古代文学103198321207684李志明001文学院050105中国古代文学103198340612568朱家琦001文学院050105中国古代文学103198370214872白珊珊001文学院050105中国古代文学103198321608542胡大力001文学院050105中国古代文学103198420617935张珂001文学院050105中国古代文学103198345713533严瑶001文学院050105中国古代文学103198351113886陈舒昕001文学院050105中国古代文学103198321608540侍光浩001文学院050105中国古代文学103198100280002韩明亮推免生001文学院050105中国古代文学103198102950139王文意推免生001文学院050105中国古代文学103198102980142孙秀雯推免生001文学院050105中国古代文学103198103190172巴吟月推免生001文学院050105中国古代文学103198103190173邱晔推免生001文学院050105中国古代文学103198103190174王晨韵推免生001文学院050105中国古代文学103198103190175陈灿推免生001文学院050105中国古代文学103198103190176李江才推免生001文学院050105中国古代文学103198103190177潘敏推免生001文学院050105中国古代文学103198103190178何振推免生001文学院050105中国古代文学103198104030533高圣怡推免生001文学院050105中国古代文学103198106730765潘昊明推免生001文学院050105中国古代文学103198106730766丁思棋推免生001文学院050105中国古代文学103198107180783王蒙推免生001文学院050105中国古代文学103198107360795雷晓萌推免生001文学院050106中国现当代文学103198320804822王雨001文学院050106中国现当代文学103198320803666王一典001文学院050106中国现当代文学103198320803663王玥001文学院050106中国现当代文学103198320803632胡锦超001文学院050106中国现当代文学103198321408137邹宜笑001文学院050106中国现当代文学103198130400349闫少婧001文学院050106中国现当代文学103198371015844姚雨璇001文学院050106中国现当代文学103198441518836张腾威001文学院050106中国现当代文学103198320803631黄明姝001文学院050106中国现当代文学103198431218443王玥001文学院050106中国现当代文学103198320803645包丽芬001文学院050106中国现当代文学106108050100466席思宇调剂生001文学院050106中国现当代文学103198330110988王钰001文学院050106中国现当代文学103198340111644何沁雨001文学院050106中国现当代文学103198371416087张淑婧001文学院050106中国现当代文学103198115300027姜溪海001文学院050106中国现当代文学103198320803639周颖001文学院050106中国现当代文学103198321909230曹萱001文学院050106中国现当代文学103198103190179施文芹推免生001文学院050106中国现当代文学103198103190180徐书艳推免生001文学院050106中国现当代文学103198103190181卜昆玉推免生001文学院050106中国现当代文学103198103190182侯悦推免生001文学院050106中国现当代文学103198103190183刘宇推免生001文学院050106中国现当代文学103198103190184邵钰婷推免生001文学院050106中国现当代文学103198103190185杨柯倪推免生001文学院050106中国现当代文学103198103190186周嘉怡推免生001文学院050106中国现当代文学103198103200395张淼推免生001文学院050106中国现当代文学103198103570441王可柯推免生001文学院050106中国现当代文学103198104450570董馨月推免生001文学院050106中国现当代文学103198105420676喻赛琼推免生001文学院050108比较文学与世界文学103358000919129戴筱筱调剂生001文学院050108比较文学与世界文学103198612519967李雯露001文学院050108比较文学与世界文学103198321307874钱佳逸001文学院050108比较文学与世界文学103198330711421张思远001文学院050108比较文学与世界文学103198370114544张妍妍001文学院050108比较文学与世界文学103198120400118金辉001文学院050108比较文学与世界文学103198320803673陈慕华001文学院050108比较文学与世界文学103198321307873王晓文001文学院050108比较文学与世界文学103198330311225高晨雨001文学院050108比较文学与世界文学103198511019308谭丹丹001文学院050108比较文学与世界文学103198120400121张冉001文学院050108比较文学与世界文学103198100650009朱亚星推免生001文学院050108比较文学与世界文学103198102950140吴雪蓉推免生001文学院050108比较文学与世界文学103198103190187杨炘婷推免生001文学院050108比较文学与世界文学103198103700468张艺馨推免生001文学院050108比较文学与世界文学103198105300666盛盈袖推免生001文学院050108比较文学与世界文学103198106020691刘一祯推免生001文学院050108比较文学与世界文学103198107240786吕小侠推免生001文学院050108比较文学与世界文学103198107360796何香凝推免生001文学院0501Z1应用文体学103198372516208赵鑫001文学院0501Z1应用文体学103198321909232朱佳美001文学院0501Z1应用文体学103198422518233沈杰001文学院0501Z1应用文体学103198321408138张瑞娜001文学院0501Z1应用文体学103198103190188陈艺璇推免生001文学院0501Z1应用文体学103198111170842陈玥推免生001文学院130300戏剧与影视学01戏剧戏曲学103198320803738平范凡001文学院130300戏剧与影视学01戏剧戏曲学103198330411285侯丹宁001文学院130300戏剧与影视学01戏剧戏曲学103198422618280黎景001文学院130300戏剧与影视学01戏剧戏曲学103198140600887王琳001文学院130300戏剧与影视学01戏剧戏曲学102848210810458周之辰调剂生001文学院130300戏剧与影视学01戏剧戏曲学103198370615310马佩玲001文学院130300戏剧与影视学02电影电视学103198351113892曾霞001文学院130300戏剧与影视学02电影电视学103198320803755侯文煜榕001文学院130300戏剧与影视学02电影电视学103198321307882陆娟001文学院130300戏剧与影视学02电影电视学103198450919030陈可馨001文学院130300戏剧与影视学02电影电视学103198432618682闫慧丽001文学院130300戏剧与影视学02电影电视学103198214201863许彤彤001文学院130300戏剧与影视学02电影电视学103198320803754黄雨楠001文学院130300戏剧与影视学02电影电视学103198141301153贾颛颛001文学院130300戏剧与影视学02电影电视学103198141301152肖志平001文学院130300戏剧与影视学02电影电视学103198150101490崔国琪001文学院130300戏剧与影视学02电影电视学103198370315092张晓铭001文学院130300戏剧与影视学02电影电视学103198321808840任志鑫001文学院130300戏剧与影视学02电影电视学103198372516212李超001文学院130300戏剧与影视学02电影电视学103198414017217鲁嘉茜001文学院130300戏剧与影视学02电影电视学100278218290082胡斐斗调剂生001文学院130300戏剧与影视学02电影电视学103198100650010罗雅文推免生001文学院130300戏剧与影视学02电影电视学103198101650079赵力坤推免生001文学院130300戏剧与影视学02电影电视学103198103190189程诗涵推免生001文学院130300戏剧与影视学02电影电视学103198103190190任俪濒推免生001文学院130300戏剧与影视学02电影电视学103198103190355张端推免生001文学院130300戏剧与影视学02电影电视学103198104450571李鑫推免生001文学院130300戏剧与影视学02电影电视学103198104450572王倩推免生001文学院130300戏剧与影视学02电影电视学103198104750612王胜男推免生001文学院130300戏剧与影视学02电影电视学103198104760641赵婧慧推免生001文学院130300戏剧与影视学02电影电视学103198105420677朱璐瑶推免生002新闻与传播学院050300新闻传播学103198350513796詹怡002新闻与传播学院050300新闻传播学103198320803785曹亚群002新闻与传播学院050300新闻传播学100018000180681张丽颖调剂生002新闻与传播学院050300新闻传播学103198322009636韦璐002新闻与传播学院050300新闻传播学100338013145018孟亮亮调剂生002新闻与传播学院050300新闻传播学103198321909248李建勋002新闻与传播学院050300新闻传播学103198347013597罗凡002新闻与传播学院050300新闻传播学103198350213737蔡文玲002新闻与传播学院050300新闻传播学103198322410836刘言002新闻与传播学院050300新闻传播学103198120400127周粟伊002新闻与传播学院050300新闻传播学100028113321171龙彦儒调剂生002新闻与传播学院050300新闻传播学103198342213303李辰002新闻与传播学院050300新闻传播学105328430307176聂思佳调剂生002新闻与传播学院050300新闻传播学103198370114551朱彬彬002新闻与传播学院050300新闻传播学103198372516214崔琳002新闻与传播学院050300新闻传播学103198370615315张雅倩002新闻与传播学院050300新闻传播学103198142201478李燕燕002新闻与传播学院050300新闻传播学103198370815586冯硕002新闻与传播学院050300新闻传播学103198340111665董邦露002新闻与传播学院050300新闻传播学103198340111672汪华嫱002新闻与传播学院050300新闻传播学103198100110001张茹雪推免生002新闻与传播学院050300新闻传播学103198100650011付娜娜推免生002新闻与传播学院050300新闻传播学103198100680023程静推免生002新闻与传播学院050300新闻传播学103198101470075宋玉生推免生002新闻与传播学院050300新闻传播学103198101650080王姗姗推免生002新闻与传播学院050300新闻传播学103198101650081韩翼帆推免生002新闻与传播学院050300新闻传播学103198102850125刘雨涵推免生002新闻与传播学院050300新闻传播学103198102870127陈嘉莹推免生002新闻与传播学院050300新闻传播学103198102930135甄智推免生002新闻与传播学院050300新闻传播学103198102980143金亦儒推免生002新闻与传播学院050300新闻传播学103198103070165张寒推免生002新闻与传播学院050300新闻传播学103198103190191高灵萱推免生002新闻与传播学院050300新闻传播学103198103190192黄琳舒推免生002新闻与传播学院050300新闻传播学103198103190193宋亦涵推免生002新闻与传播学院050300新闻传播学103198103190194吴雨晴推免生002新闻与传播学院050300新闻传播学103198103190195袁伟航推免生002新闻与传播学院050300新闻传播学103198103370406万思蔚推免生002新闻与传播学院050300新闻传播学103198103570442宋慧玲推免生002新闻与传播学院050300新闻传播学103198103700469何修豪推免生002新闻与传播学院050300新闻传播学103198103700470胡施颖推免生002新闻与传播学院050300新闻传播学103198104450573杨丹推免生002新闻与传播学院050300新闻传播学103198104450574赵晓彤推免生002新闻与传播学院050300新闻传播学103198104750613管舒婷推免生002新闻与传播学院050300新闻传播学103198106380744张郑武文推免生002新闻与传播学院050300新闻传播学103198106380745李佳佳推免生002新闻与传播学院050300新闻传播学103198107240787刘梦琦推免生002新闻与传播学院055200新闻与传播103198110800012陆子健002新闻与传播学院055200新闻与传播103198320805912王韵清002新闻与传播学院055200新闻与传播103198320806004纪文婷002新闻与传播学院055200新闻与传播103198322009830田晨002新闻与传播学院055200新闻与传播103198420917959汪婧002新闻与传播学院055200新闻与传播103198320805929江嘉涵002新闻与传播学院055200新闻与传播103198340312235蒋烨002新闻与传播学院055200新闻与传播103198322310700陆子娇002新闻与传播学院055200新闻与传播103198411916784王思宇002新闻与传播学院055200新闻与传播103198320805979徐霖晨002新闻与传播学院055200新闻与传播103198130400369胡劭斐002新闻与传播学院055200新闻与传播103198370114786王芸芸002新闻与传播学院055200新闻与传播103198440418752蔡瑞002新闻与传播学院055200新闻与传播103198370715525周晓晨002新闻与传播学院055200新闻与传播103198320806007霍蓓002新闻与传播学院055200新闻与传播103198460419114盛淑淑002新闻与传播学院055200新闻与传播103198130600465陈珺璐002新闻与传播学院055200新闻与传播103198350313783陈艳娇002新闻与传播学院055200新闻与传播102698124030488陈仪凌调剂生002新闻与传播学院055200新闻与传播104868103011821史炎荣调剂生002新闻与传播学院055200新闻与传播103198340111890时斌杰002新闻与传播学院055200新闻与传播103198140100802林倩梅002新闻与传播学院055200新闻与传播103198320805995张肖梦002新闻与传播学院055200新闻与传播103198370615426柏丽娟002新闻与传播学院055200新闻与传播103198422818342王晓琳002新闻与传播学院055200新闻与传播103198322410904康袁璐002新闻与传播学院055200新闻与传播103198322009834任婷002新闻与传播学院055200新闻与传播103198421017968王婧婧002新闻与传播学院055200新闻与传播103198100650012张晓雅推免生002新闻与传播学院055200新闻与传播103198100700028刘凤双推免生002新闻与传播学院055200新闻与传播103198101470076翟星渊推免生002新闻与传播学院055200新闻与传播103198102980144朱霜推免生002新闻与传播学院055200新闻与传播103198103190196沙雪昊推免生002新闻与传播学院055200新闻与传播103198103300404曹滋宇推免生002新闻与传播学院055200新闻与传播103198103370407张若禺推免生002新闻与传播学院055200新闻与传播103198103370408章琳帆推免生002新闻与传播学院055200新闻与传播103198103450421金苏美推免生002新闻与传播学院055200新闻与传播103198103570443春茹推免生002新闻与传播学院055200新闻与传播103198103700471宗祺推免生002新闻与传播学院055200新闻与传播103198104590605张洪芹推免生002新闻与传播学院055200新闻与传播103198104750614葛宏蔚推免生002新闻与传播学院055200新闻与传播103198104750615王晓晴推免生002新闻与传播学院055200新闻与传播103198105300667周婕推免生002新闻与传播学院055200新闻与传播103198105300668朱美滟推免生002新闻与传播学院055200新闻与传播103198105890687葛佳铭推免生002新闻与传播学院055200新闻与传播103198106190712俞全威推免生002新闻与传播学院055200新闻与传播103198106190713张译允推免生002新闻与传播学院055200新闻与传播103198107490815程欣推免生002新闻与传播学院055200新闻与传播103198110650829李雪菲推免生002新闻与传播学院055200新闻与传播103198110780838陈颖莹推免生002新闻与传播学院130300戏剧与影视学103198414117308翟邵琪002新闻与传播学院130300戏剧与影视学103198340111676汪汉002新闻与传播学院130300戏剧与影视学103198320803863冯笑002新闻与传播学院130300戏剧与影视学103198321808851张悦002新闻与传播学院130300戏剧与影视学103198321307890徐雁翎002新闻与传播学院130300戏剧与影视学103198320803850胡颖002新闻与传播学院130300戏剧与影视学103198100750030常宇琪推免生002新闻与传播学院130300戏剧与影视学103198103190197乔莹推免生002新闻与传播学院130300戏剧与影视学103198103190356周维炜推免生002新闻与传播学院130300戏剧与影视学103198103370409郤鼎昌推免生002新闻与传播学院130300戏剧与影视学103198105200658李欣推免生002新闻与传播学院130300戏剧与影视学103198106380746施品推免生002新闻与传播学院130300戏剧与影视学103198111170843李智推免生002新闻与传播学院135105广播电视103198430518379佘晓琴002新闻与传播学院135105广播电视103198320806781赵琳002新闻与传播学院135105广播电视103198330111132王安琪002新闻与传播学院135105广播电视103198320806758宗久悦002新闻与传播学院135105广播电视103198370715536李雯002新闻与传播学院135105广播电视103198320806764吴坚韧002新闻与传播学院135105广播电视103198320806779吴瑱辉002新闻与传播学院135105广播电视103198320806796徐仁飞002新闻与传播学院135105广播电视103198322009859罗宇婷002新闻与传播学院135105广播电视103198320806813潘希佳002新闻与传播学院135105广播电视103198410216424黄月002新闻与传播学院135105广播电视103198422518275段慧欣002新闻与传播学院135105广播电视103198320806790杜雅倩002新闻与传播学院135105广播电视103198531119797赵江南002新闻与传播学院135105广播电视103198320806810戴颖姝002新闻与传播学院135105广播电视103198320806751唐蓝薇002新闻与传播学院135105广播电视103198152101547杨丰卉002新闻与传播学院135105广播电视103198611419915何婷002新闻与传播学院135105广播电视103198320806778郑毅002新闻与传播学院135105广播电视103198130600478杜嘉明002新闻与传播学院135105广播电视103198322009855王一帆002新闻与传播学院135105广播电视103198340111926李鑫磊002新闻与传播学院135105广播电视103198321809084李宁002新闻与传播学院135105广播电视103198320806786俞惠康002新闻与传播学院135105广播电视103198320806811牛宇002新闻与传播学院135105广播电视103198320806804刘思彤002新闻与传播学院135105广播电视103198370315145安坤002新闻与传播学院135105广播电视103198320806807张朝晖002新闻与传播学院135105广播电视103198320806791李宜儒002新闻与传播学院135105广播电视103198320806798陆美言002新闻与传播学院135105广播电视103198341012938陈爱玲002新闻与传播学院135105广播电视103198421618083王倩002新闻与传播学院135105广播电视103198320806788胡泽立002新闻与传播学院135105广播电视103198370615443高皓璇002新闻与传播学院135105广播电视103198322210320顾添梦002新闻与传播学院135105广播电视103198370114825辛晓莹002新闻与传播学院135105广播电视103198153101594吕鑫002新闻与传播学院135105广播电视103198320806801于岱妹002新闻与传播学院135105广播电视103198341012939吴浚豪002新闻与传播学院135105广播电视103198321608675李婵002新闻与传播学院135105广播电视103198320804828陈登峰002新闻与传播学院135105广播电视103198321909449崔赛君002新闻与传播学院135105广播电视103198613920014李思002新闻与传播学院135105广播电视103198214701900刘一丁002新闻与传播学院135105广播电视103198613920013王茹002新闻与传播学院135105广播电视103198211301773王玲003公共管理学院010100哲学103198340812786郭新冉003公共管理学院010100哲学103198450819010钟嘉莉003公共管理学院010100哲学103198320803882杨筱莜003公共管理学院010100哲学103198211301767徐超003公共管理学院010100哲学103198130600445王丽莎003公共管理学院010100哲学103198320803884倪萍003公共管理学院010100哲学103198371416094李文欣003公共管理学院010100哲学103198360114057王兆达003公共管理学院010100哲学103198320803880易书凡003公共管理学院010100哲学103198130900522牛佳明003公共管理学院010100哲学103198116600037杨丽巧003公共管理学院010100哲学103198321307894雍坦003公共管理学院010100哲学103198320803883杨菊鑫003公共管理学院010100哲学103198371115892张梦雨003公共管理学院010100哲学103198321307892周瑞003公共管理学院010100哲学103198411416652邝妍彬003公共管理学院010100哲学100018000230192吴钦萍调剂生003公共管理学院010100哲学103198360714312潘鹏003公共管理学院010100哲学103198331011516张芳芳003公共管理学院010100哲学103198531119783任会林003公共管理学院010100哲学103198414017222张晨003公共管理学院010100哲学103198370114564桂彦003公共管理学院010100哲学103198320803881蒋卓宸003公共管理学院010100哲学103198432718696郑倩倩003公共管理学院010100哲学103198370114563金志烨003公共管理学院010100哲学102848210116340黄宇驰调剂生003公共管理学院010100哲学103198530119709丰宇003公共管理学院010100哲学103198141601283王袆003公共管理学院010100哲学103198100690027王紫娟推免生003公共管理学院010100哲学103198101080041卫鹤雯推免生003公共管理学院010100哲学103198101180060史文娟推免生003公共管理学院010100哲学103198102400119唐爽推免生003公共管理学院010100哲学103198103190198吴青云推免生003公共管理学院010100哲学103198103570444马腾飞推免生003公共管理学院010100哲学103198116580856邓思杨推免生003公共管理学院030200政治学103198321808853徐雯003公共管理学院030200政治学103198120500165郑雅晴003公共管理学院030200政治学103198321808854张亚兰003公共管理学院030200政治学103198650620385秦莹003公共管理学院030200政治学103198130200264公莉003公共管理学院030200政治学103198322109977夏佳凯003公共管理学院030200政治学103198414017223贾赛男003公共管理学院030200政治学103198370315095部彦君003公共管理学院030200政治学103198321608558张一凡003公共管理学院030200政治学103198320803890林娟003公共管理学院030200政治学103198370915754梁丹丹003公共管理学院030200政治学103198372516218卢鑫003公共管理学院030200政治学103198340412301潘思婷003公共管理学院030200政治学103198320803897吕恒乾003公共管理学院030200政治学103198620620151王蕾003公共管理学院030200政治学100558000003009刘逸韬调剂生003公共管理学院030200政治学103198101080042阎红霞推免生003公共管理学院030200政治学103198101130058张丁月推免生003公共管理学院030200政治学103198102550123李伟清推免生003公共管理学院030200政治学103198103190199陈翔推免生003公共管理学院030200政治学103198103700472王昆推免生003公共管理学院030200政治学103198103780496陶婷推免生003公共管理学院030200政治学103198103780497张珍贤推免生003公共管理学院030200政治学103198104140540徐晗推免生003公共管理学院030200政治学103198104210551周孝丹推免生003公共管理学院030200政治学103198104270557张迎雪推免生003公共管理学院030200政治学103198104340562赵馨雨推免生003公共管理学院030200政治学103198105240661从荣莉推免生003公共管理学院030200政治学103198106630759杨琴推免生003公共管理学院030200政治学103198107190784柯艺伟推免生003公共管理学院120401行政管理103198320803940夏诗集003公共管理学院120401行政管理103198320803929张春燕003公共管理学院120401行政管理103198141301163武浩杰003公共管理学院120401行政管理103198320803951张佳平003公共管理学院120401行政管理103198321508367黄烨003公共管理学院120401行政管理103198321808855闫珊珊003公共管理学院120401行政管理103198370815590孔迪003公共管理学院120401行政管理103198371315985刘晓倩003公共管理学院120401行政管理103198141901348罗扶摇003公共管理学院120401行政管理102848210613276赵建浩调剂生003公共管理学院120401行政管理104868115016203王巍调剂生003公共管理学院120401行政管理103198102160104武炳璇推免生003公共管理学院120401行政管理103198103190200曹莹推免生003公共管理学院120401行政管理103198103190357徐子润推免生003公共管理学院120401行政管理103198104450575井湛推免生003公共管理学院120401行政管理103198105120654袁梦推免生003公共管理学院120401行政管理103198105240662丁燕杰推免生003公共管理学院120401行政管理103198107360797马秀娟推免生003公共管理学院125200公共管理103198320807235刘丽丽003公共管理学院125200公共管理103198320807277邓文缘003公共管理学院125200公共管理103198320807239李卓蓉003公共管理学院125200公共管理103198320807361史轩轩003公共管理学院125200公共管理103198321909468杨琦003公共管理学院125200公共管理103198320807366陈倩云003公共管理学院125200公共管理103198320807292刘雯003公共管理学院125200公共管理103198320807278顾馨003公共管理学院125200公共管理103198320807223张霄辉003公共管理学院125200公共管理103198320807233黄鑫003公共管理学院125200公共管理103128250701261孙莹调剂生003公共管理学院125200公共管理103198320807219冒贻宣003公共管理学院125200公共管理102848250604386柏艳调剂生003公共管理学院125200公共管理103198322210334娄婕003公共管理学院125200公共管理103198320807267焦健003公共管理学院125200公共管理103198321608686蒋谦益003公共管理学院125200公共管理103198320807257赵亮003公共管理学院125200公共管理103198320807311陈洁003公共管理学院125200公共管理103198320807317马晓蓉003公共管理学院125200公共管理103198320807325周海宁003公共管理学院125200公共管理103198321308061乔蓉蓉003公共管理学院125200公共管理103198320807376陈曲003公共管理学院125200公共管理103198320807378顾璇003公共管理学院125200公共管理103198322210337倪文娟003公共管理学院125200公共管理103198320807328侯梦诗003公共管理学院125200公共管理103198320807367姜菲菲003公共管理学院125200公共管理103198321909469李迎003公共管理学院125200公共管理103198320807265汪梦琪003公共管理学院125200公共管理103198320807243葛雨婷003公共管理学院125200公共管理102848250604503梁有星调剂生003公共管理学院125200公共管理103198320807289马悦003公共管理学院125200公共管理103198320807322吉仲翔003公共管理学院125200公共管理103198320807261陈紫恒003公共管理学院125200公共管理102848250604443顾文调剂生003公共管理学院125200公共管理103198322310736舒苏003公共管理学院125200公共管理103198322310748王月003公共管理学院125200公共管理103198320807316胡捷003公共管理学院125200公共管理103198322310738秦丽莉003公共管理学院125200公共管理103198320807251胡玥003公共管理学院125200公共管理103198322310742韩德辉003公共管理学院125200公共管理103198340512547肖琳003公共管理学院125200公共管理103198330511343王祎雯003公共管理学院125200公共管理103198320807246夏之雨003公共管理学院125200公共管理103198321508440严晗003公共管理学院125200公共管理103198321508439梅玲003公共管理学院125200公共管理103198320807391谭丹丹003公共管理学院125200公共管理103198320807258李欣003公共管理学院125200公共管理103198320807228邓敏。