(完整版)数列简单练习题
- 格式:doc
- 大小:139.55 KB
- 文档页数:4
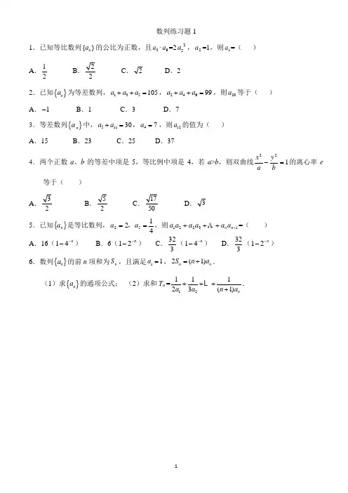
《2.3 等差数列的前n项和》测试题一、选择题1.(2008陕西卷)已知是等差数列,,,则该数列前10项和等于( )A.64B.100C.110 D .120考查目的:考查等差数列的通项公式与前项和公式及其基本运算.答案:B解析:设的公差为. ∵,,∴两式相减,得,.∴,.2.(2011全国大纲理)设为等差数列的前项和,若,公差,,则( )A.8B.7C.6D.5考查目的:考查等差数列通项公式的应用、前项和的概念.答案:D解析:由得,,即,将,代入,解得.3.(2012浙江理)设是公差为的无穷等差数列的前项和,则下列命题错误的是( )A.若,则数列有最大项B.若数列有最大项,则C.若数列是递增数列,则对任意,均有D.若对任意,均有,则数列是递增数列考查目的:考查等差数列的前项和公式及其性质.答案:C解析:根据等差数列的前项和公式,可得,因为,所以其图像表示的一群孤立的点分布在一条抛物线上. 当时,该抛物线开口向下,所以这群孤立的点中一定有最高点,即数列有最大项;反之也成立,故选项A、B的两个命题是正确的. 选项C的命题是错误的,举出反例:等差数列-1,1,3,5,7,…满足数列是递增数列,但.对于选项D的命题,由,得,因为此式对任意都成立,当时,有;若,则,与矛盾,所以一定有,这就证明了选项D的命题为真.二、填空题4.(2011湖南理)设是等差数列的前项和,且,,则.考查目的:考查等差数列的性质及基本运算.答案:81.解析:设的公差为. 由,,得,. ∴,故.5.(2008湖北理)已知函数,等差数列的公差为. 若,则.考查目的:考查等差数列的通项公式、前项和公式以及对数的运算性质,考查运算求解能力.答案:.解析:∵是公差为的等差数列,∴,∴,∴,∴.6.(2011广东理)等差数列前9项的和等于前4项的和. 若,,则____.考查目的:考查等差数列的性质及基本运算.答案:10.解析:设等差数列前项和为. ∵,∴;∵,∴. ∴,故.三、解答题7.设等差数列的前项和为,且,求:⑴的通项公式及前项和;⑵.考查目的:考查等差数列通项公式、前项和的基本应用,考查分析问题解决问题的能力.答案:⑴;.⑵解析:设等差数列的公差为,依题意,得,解得.⑴;⑵由,得.当时,.当时,,∴8.(2010山东理)已知等差数列满足:,,的前项和为.⑴求及;⑵令,求数列的前项和.考查目的:考查等差数列的通项公式与前项和公式等基础知识,考查数列求和的基本方法以及运算求解能力.答案:⑴,;⑵.解析:⑴设等差数列的公差为,因为,,所以有,解得,,所以,.⑵由⑴知,所以,所以,即数列的前项和.一、选择题1.(2009广东文)已知等比数列的公比为正数,且,,则( ).A. B. C.D.2考查目的:考查等比数列通项公式的基本应用.答案:B解析:设公比为,由已知得,得,又因为等比数列的公比为正数,所以,故.2.(2007天津理)设等差数列的公差,.若是与的等比中项,则( ).A.2B.4C.6D.8考查目的:考查等差数列、等比数列的概念与通项公式、等比中项的概念等基础知识及基本运算能力.答案:B解析:∵,∴;又∵是与的等比中项,∴,即;∵,∴,解得,或(舍去).3.(2010江西理数)等比数列中,,,函数,则( )A. B. C.D.考查目的:多项式函数的导数公式、等比数列的性质等基础知识,考查学生的创新意识,综合与灵活地应用所学数学知识、思想和方法解决问题的能力.答案:C.解析:∵是多项式函数,∴的常数项的一次项系数,∴.二、填空题4.(2007重庆理)设为公比的等比数列,若和是方程的两根,则__________.考查目的:考查一元二次方程、等比数列的概念等基础知识,考查分析问题解决问题的能力.答案:18.解析:根据题意,得,,∴,∴.5.(2009江苏卷)设是公比为的等比数列,,令,若数列有连续四项在集合中,则 .考查目的:考查等比数列的概念、等价转化思想和分析推理能力.答案:.解析:根据题意可知,有连续四项在集合中,因为是等比数列,且公比满足,所以这四项只能依次是,所以公比,.6.(2012辽宁理)已知等比数列为递增数列,且,,则数列的通项公式______________.考查目的:考查等比数列的通项公式及方程思想和逻辑推理能力.答案:.解析:∵,∴,得,∴;又∵,∴,∴,解得或(舍去),∴.三、解答题7.已知数列的首项,关于的二次方程(,且)都有实数根,且满足.⑴求证:是等比数列;⑵求的通项公式.考查目的:考查等比数列的概念、通项公式、一元二次方程的根与系数的关系等基础知识,考查综合运用知识分析问题解决问题的能力.答案:⑴略;⑵.解析:⑴由题设可得,,(,且);又由,得. 所以,即(),化为(,且),又,所以是首项为,公比为的等比数列.⑵由⑴的结论,得,所以的通项公式为.8.(2012广东文)设数列前项和为,数列的前项和为,满足,.⑴求的值;⑵求数列的通项公式.考查目的:考查等比数列的概念、递推公式的处理方法、化归思想,考查分析问题解决问题的能力.答案:⑴;⑵.解析:⑴当时,. 因为,所以,求得.⑵当时,,∴①,∴②. ②①得,所以. ∵,易求得,∴,∴. 所以是以3为首项,2为公比的等比数列,,故所以,.置:首页>>高中数学>>教师中心>>同步教学资源>>课程标准实验教材>>同步试题>>必修5《2.5 等比数列的前n项和》测试题一、选择题1.(2007陕西理)各项均为正数的等比数列的前项和为,若,,则( )A.16B.25C.30D.80考查目的:考查等比数列的前项和公式及运算求解能力.答案:C.解析:由,可知,的公比,∴①,②,②式除以①式,得,解得(舍去),代入①,得. ∴.2.(2010天津理)已知是首项为的等比数列,是的前项和,且,则数列的前项和为( )A.或B.或C.D.考查目的:考查等比数列前项和公式的应用及等比数列的性质.答案:C解析:设的公比为,若,则,,不合题意,所以. 由,得,得,所以,因此是首项为1,公比为的等比数列,故前5项和为.3.设等比数列的前项和为,若,则等于( )A. B. C.D.考查目的:考查等比数列前项和公式及性质等基础知识,考查运算求解能力.答案:A.解析:解法1:若公比,则,∴. 由,得,∴,∴.解法2:由可知,公比(否则有).设,则,根据,,也成等比数列,及,,得,∴,故.二、填空题4.在等比数列中,已知,则公比.考查目的:考查等比数列的前项和公式及其中包含的分类讨论思想.答案:1或.解析:由已知条件,可得,当时,,符合题意;当时,由,消去,得,解得或(舍去). 综上可得,公比或.5.(2009浙江理)设等比数列的公比,前项和为,则.考查目的:考查等比数列通项公式与前项和公式的基本应用.答案:15.解析:∵,,∴.6.已知等比数列的首项为,是其前项和,某同学经计算得,,,后来该同学发现其中一个数算错了,则算错的那个数是,该数列的公比是 .考查目的:考查等比数列的概念、前项和概念及公式等基础知识,考查分析问题解决问题的能力.答案:,.解析:假设正确,则由,得,所以公比,可计算得,,但该同学算只算错了一个数,所以不正确,,正确,可得,,所以公比.三、解答题7.(2010重庆文)已知是首项为,公差为的等差数列,为的前项和.⑴求通项及;⑵设是首项为,公比为的等比数列,求数列的通项公式及其前项和.考查目的:考查等差数列、等比数列的通项公式与前项和公式的基本应用以及运算求解能力.答案:⑴,;⑵,.解析:⑴因为是首项为,公差为的等差数列,所以,.⑵由题意,所以,.8.(2012陕西理)设是公比不为1的等比数列,其前项和为,且成等差数列.⑴求数列的公比;⑵证明:对任意,成等差数列.考查目的:考查等比数列的通项公式、前项和公式、等差数列的概念等基础知识,考查推理论证能力.答案:⑴;⑵略.解析:⑴设数列的公比为(). 由成等差数列,得,即. 由,得,解得(舍去),所以数列的公比为.⑵证法一:对任意,,所以对任意,成等差数列.证法二:对任意,,,∴,因此,对任意,成等差数列.第二章《数列》测试题(一)一、选择题1.(2012安徽理)公比为等比数列的各项都是正数,且,则( ).A.4B.5C.6D.7考查目的:考查等比数列的通项公式与性质、对数的概念与运算等基础知识.答案:B.解析:∵,∴,∵的各项都是正数,∴,∴,∴.2.(2011江西理)已知数列的前项和满足:,且,那么( ).A.1B.9C.10D.55考查目的:考查数列的递推公式、等差数列的概念及通项公式、与的关系.答案:A解析:令,得,∵,∴,∴是首项为,公差为的等差数列,,因此,.3.(2011天津理)已知为等差数列,其公差为,且是与的等比中项,为的前项和,,则的值为( ).A.-110B.-90C.90D.110考查目的:考查等比中项的概念以及等差数列通项公式、前项和公式的基本应用.答案:D解析:设等差数列的公差为,根据题意得,即,将代入,并解得,所以.4.(2012湖北理)定义在上的函数,如果对于任意给定的等比数列,仍是等比数列,则称为“保等比数列函数”. 现有定义在上的如下函数:①;②;③;④.则其中是“保等比数列函数”的的序号为( ).A.①②B.③④C.①③ D.②④考查目的:本题考察等比数列的性质及函数计算.答案:C.解析:对于①,,所以是“保等比数列函数”;对于②,,所以不是“保等比数列函数”;对于③,,所以是“保等比数列函数”;对于④,,所以不是“保等比数列函数”.5.已知数列满足,当时,,则( ).A.1B.2C.-1D.-2考查目的:考查数列递推公式的运用、周期数列的概念与判断,考查分析判断能力.答案:A.解析:由条件可得该数列为:,所以是周期为的周期数列,所以.6.(2012上海理)设,,在中,正数的个数是( ).A.25B.50C.75D.100考查目的:数列前项和的概念、三角函数的周期性,考查综合运用知识分析问题解决问题的能力.答案:D.解析:当时,;当时,,但其绝对值要小于时相应的值;当时,;当时,,但其绝对值要小于时相应的值;当时,. ∴当时,均有.二、填空题7.(2009北京理)已知数列满足:,,,,则______;_________.考查目的:考查数列的概念、周期数列等基础知识.答案:1,0.解析:依题意,得,.8.(2011湖北理)《九章算术》“竹九节”问题:现有一根9节的竹子,自上而下各节的容积成等差数列,上面4节的容积共为3升,下面3节的容积共4升,则第5节的容积为升.考查目的:考查等差数列的概念、基本运算以及运算能力.答案:.解析:记题中的等差数列为,公差为,前项和为. 根据题意知,,两式联立解得,,∴.9.(2010天津文)设是等比数列,公比,为的前项和.记,,设为数列的最大项,则 .考查目的:考查等比数列的前项和公式及平均值不等式等基础知识,考查运算能力.答案:4.解析:根据等比数列前项和公式,得.∵,当且仅当,即时取等号,而,∴当时,取最大值,即数列的最大项为,所以.10.(2011江苏卷)设,其中成公比为的等比数列,成公差为1的等差数列,则的最小值是________.考查目的:考查等差数列、等比数列的概念和通项公式,考查不等式的有关知识及推理判断能力.答案:.解析:由题意可得,∴. ∵,∴当取最小值时,,∴,即的最小值是.11.(2012四川理)记为不超过实数的最大整数,例如,,,.设为正整数,数列满足,,现有下列命题:①当时,数列的前3项依次为5,3,2;②对数列都存在正整数,当时总有;③当时,;④对某个正整数,若,则. 其中的真命题有____________.(写出所有真命题的编号)考查目的:本题属于新概念问题,主要考查对新概念的理解、不等式的性质,以及数列知识的灵活运用和推理论证能力.答案:①③④解析:易证,对于取整函数有下列性质:性质1:当时,;性质2:对,有;性质3:若,,则. ①当时,,,故①为真;②当时,易知该数列为:(1与2交替出现),所以②为假;③∵,∴;由题易知,对一切,均为正整数,所以无论是奇数还是偶数,均有,故③为真;④若对某个正整数,则由,得,∴,∵是正整数,∴.又∵,,∴(或由③为真,及,直接可得),故,因此④为真.第二章《数列》测试题(二)三、解答题12.(2009浙江文)设为数列的前项和,,,其中是常数.⑴求及;⑵若对于任意的,,,成等比数列,求的值.考查目的:考查数列的通项与前项和以及它们之间的关系,考查等比数列的概念以及运算求解能力.答案:⑴,;⑵或.解析:⑴当时,;当时,.而也适合上式,所以.⑵∵,,成等比数列,∴,即,化简并整理得. ∵此式对成立,∴或.13.(2010全国卷Ⅱ文)已知是各项均为正数的等比数列,且,.⑴求的通项公式;⑵设,求数列的前项和.考查目的:考查等比数列的通项公式与前项和公式、方程与方程组等基础知识,考查运算求解能力.答案:⑴.⑵.解析:⑴设的公比为,则.由已知,有,化简得,解得,(舍去),所以.⑵由⑴知,所以.14.(2008湖南理)数列满足⑴求,,并求数列的通项公式;⑵设,,证明:当时,.考查目的:考查数列递推公式的运用、等差数列、等比数列的概念和通项公式、三角函数等基础知识,考查数列求和、不等式证明的基本方法,以及分析问题解决问题的能力.答案:⑴,,;⑵略.解析:⑴∵,,∴,.一般地,当时,,即,所以数列是首项为1、公差为1的等差数列,因此.当时,,所以数列是首项为2、公比为2的等比数列,因此.∴数列的通项公式为.⑵由⑴知,,①,②,得,,∴.要证明当时,成立,只需证明当时,成立.证明:要证明,只需证明.令,则,∴当时,.∴当时,.于是当时,.15.(2012广东理)设数列的前项和为,满足,且,,成等差数列.⑴求的值;⑵求数列的通项公式;⑶证明:对一切正整数,有.考查目的:考查数列和不等式的概念及其性质、数列与函数的关系等基础知识,考查数列递推公式的运用、不等式放缩等基本方法,考查综合运用知识分析问题的能力、推理论证能力和运算求解能力.答案:⑴;⑵;⑶略.解析:⑴在中,令得;令得,解得,.又∵,∴解得.⑵由,得.又∵也满足,∴成立,∴,∴,∴.⑶(法一)∵,∴,∴.(法二)∵,∴,当时,,,,…,,累乘得,∴.。
数列基础练习题(简单)1.在等差数列中已知a 1=12, a 6=27,则d=___________ 2.2()a b +与2()a b -的等差中项是_______________ 3.等差数列-10,-6,-2,2,…前___项的和是54 4.数列{}n a 的前n 项和23n S n n -=,则n a =___________ 5. 已知数列{}n a 的通项公式a n =3n -50,则当n=___时,S n 的值最小,S n 的最小值是_______。
二、挑选题1. 在等差数列{}n a 中31140a a +=,则45678910a a a a a a a -+++-+的值为()A.84 B.72 C.60 D.48 2. 在等差数列{}n a 中,前15项的和1590S = ,8a 为()A.6B.3C.12D.43. 等差数列{}n a 中, 12318192024,78a a a a a a ++=-++=,则此数列前20项的和等于A.160 B.180 C.200 D.2204. 设n S 是数列{}n a 的前n 项的和,且2n S n =,则{}n a 是()A.等比数列,但不是等差数列B.等差数列,但不是等比数列C.等差数列,且是等比数列D.既不是等差数列也不是等比数列5. 数列3,7,13,21,31,…的通项公式是()A. 41n a n =-B. 322n a n n n =-++C.21n a n n =++ 三、计算题1. 按照下列各题中的条件,求相应的等差数列{}n a 的有关未知数:(1)151,,5,66n a d S ==-=-求n 及n a ;(2)12,15,10,n n d n a a S ===-求及2. 设等差数列{}n a 的前n 项和公式是253n S n n =+,求它的前3项,并求它的通项公式一、填空题1. 若等比数列的首项为4,公比为2,则其第3项和第5项的等比中项是______.2. 在等比数列{a n }中,(1)若a 7·a 12=5,则a 8·a 9·a 10·a 11=____;(2)若a 1+a 2=324,a 3+a 4=36,则a 5+a 6=______;(3)若q 为公比,a k =m ,则a k +p =______;(4)若a n >0,q=2,且a 1·a 2·a 3…a 30=230,则a 3·a 6·a 9…a 30=_____.3. 一个数列的前n 项和S n =8n -3,则它的通项公式a n =____.4. 在2和30之间插入两个正数,使前三个成为等比数列,后三个成等差数列,则这两个正数之和是_______.二、挑选题1.数列m ,m ,m ,…,一定[ ]A..是等差数列,但不是等比数列B .是等比数列,但不是等差数列 C .是等差数列,但不一定是等比数列D .既是等差数列,又是等比数列2已知a,b,c 成等比数列,且x,y 分离为a 与b 、b 与c 的等差中项,则y c x a +的值为()(A )21 (B )-2 (C )2 (D )不确定3数列1,0,2,0,3,…的通项公式为()(A )a n =2)1(n n n --(B )a n =4])1(1)[1(n n --+ (C )a n =???0n 为偶数为奇数n n (D )a n =4])1(1)[1(n n ---一、解答题1.已知数列{a n }的通项公式为a n =3n +2n +(2n-1),求前n 项和。
数列练习题一、等差数列1. 已知等差数列的前三项分别是2,5,8,求第10项的值。
2. 一个等差数列的前5项和为35,前10项和为110,求该数列的公差。
3. 已知等差数列的公差为3,第5项为12,求第8项的值。
4. 等差数列的前7项和为49,第8项为11,求第4项的值。
5. 已知等差数列的公差为2,第3项为8,求前6项的和。
二、等比数列1. 已知等比数列的前三项分别是2,6,18,求第6项的值。
2. 一个等比数列的前4项和为21,前8项和为189,求该数列的公比。
3. 已知等比数列的公比为3,第4项为81,求第7项的值。
4. 等比数列的前5项和为31,第6项为48,求第3项的值。
5. 已知等比数列的公比为1/2,第2项为4,求前5项的和。
三、数列的通项公式1. 已知数列的前三项分别是1,3,5,推测数列的通项公式。
2. 已知数列的前四项分别是2,6,12,20,推测数列的通项公式。
3. 已知数列的前三项分别是1,4,9,推测数列的通项公式。
4. 已知数列的前四项分别是1,4,9,16,推测数列的通项公式。
5. 已知数列的前三项分别是1,2,3,推测数列的通项公式。
四、数列的求和1. 求等差数列1,3,5,7,9,…的前10项和。
2. 求等比数列3,6,12,24,…的前6项和。
3. 求等差数列2,5,8,11,…的前8项和。
4. 求等比数列2,4,8,16,…的前5项和。
5. 求数列1,3,6,10,15,…的前7项和。
五、综合运用1. 已知数列的前三项分别是2,4,8,求该数列的前10项和。
2. 已知等差数列的公差为2,前5项和为35,求该数列的前7项和。
3. 已知等比数列的公比为3,第3项为27,求该数列的前5项和。
4. 已知数列的通项公式为an = n^2 + n,求前8项的和。
5. 已知数列的通项公式为an = 2^n 1,求前6项的和。
六、数列的递推关系1. 已知数列满足递推关系an = an1 + 3,且a1 = 2,求a5的值。
数列综合题一、填空题1. 各项都是正数的等比数列{a n },公比q ≠1,a 5,a 7,a 8成等差数列,则公比q= 2. 已知等差数列{a n },公差d ≠0,a 1,a 5,a 17成等比数列,则18621751a a a a a a ++++=3. 3已知数列{a n }满足S n =1+n a 41,则a n =4.已知二次函数f(x)=n(n+1)x 2-(2n+1)x+1,当n=1,2,…,12时,这些函数的图像在x 轴上截得的线段长度之和为5.已知数列{a n }的通项公式为a n =log (n+1)(n+2),则它的前n 项之积为6.数列{(-1)n-1n 2}的前n 项之和为7.一种堆垛方式,最高一层2个物品,第二层6个物品,第三层12个物品,第四层20个物品,第五层30个物品,…,当堆到第n 层时的物品的个数为8.已知数列1,1,2,…,它的各项由一个等比数列与一个首项为0的等差数列的对应项相加而得到,则该数列前10项之和为9.在2和30之间插入两个正数,使前三个数成等比数列,后三个数成等差数列,则插入的这两个数的等比中项为10.已知整数对的序列如下:(1,1),(1,2),(2,1),(1,3),(2,2),(3,1),(1,4),(2,3),(3,2),(4,1),(1,5),(2,4),……,则第60个数对为 11.设等差数列{a n }的前n 项和是S n ,若a 5=20-a 16,则S 20=___________. 12.若{a n }是等比数列,a 4· a 7= -512,a 3+ a 8=124,且公比q 为整数,则a 10等于___________.13.在数列{a n }中,a 1=1,当n ≥2时,a 1 a 2… a n =n 2恒成立,则a 3+ a 5=___________. 14.设{a n }是首项为1的正项数列,且(n +1)21+n a -na 2n +a n +1 a n =0(n =1,2,3,…),则它的通项公式是a n =___________. 二.解答题1.已知数列{a n }的通项公式为a n =3n +2n +(2n-1),求前n 项和2.已知数列{a n }是公差d 不为零的等差数列,数列{a bn }是公比为q 的等比数列, b 1=1,b 2=10,b 3=46,,求公比q 及bn 。
1.已知等比数列}{n a 的公比为正数,且3a ·9a =225a ,2a =1,则1a =( ) A .21 B .22C .2D .2 2.已知{}n a 为等差数列,135105a a a ++=,24699a a a ++=,则20a 等于( ) A .1- B .1 C .3 D .73.等差数列{}n a 中,51130a a +=,47a =,则12a 的值为( ) A .15B .23C .25D .374.两个正数a 、b 的等差中项是5,等比例中项是4,若a >b ,则双曲线122=-by a x 的离心率e 等于( ) A .23 B .25 C .5017D .3 5.已知{}n a 是等比数列,41252==a a ,,则13221++++n n a a a a a a =( ) A .16(n --41) B .6(n --21) C .332(n --41) D .332(n --21)6.数列{}n a 的前n 项和为n S ,且满足11a =,2(1)n n S n a =+.(1)求{}n a 的通项公式; (2)求和T n =1211123(1)na a n a ++++.1.公差不为零的等差数列{}n a 的前n 项和为n S .若4a 是37a a 与的等比中项,832S =,则10S 等于( )A .18B .24C .60D .90 2.设n S 是等差数列{}n a 的前n 项和,已知23a =,611a =,则7S 等于( ) A .13 B .35 C .49 D .633.已知a b c d ,,,成等比数列,且曲线223y x x =-+的顶点是()b c ,,则ad 等于( ) A .3 B .2 C .1 D .2-4.若数列{}n a 是公比为4的等比数列,且12a =,则数列2{log }n a 是( ) A .公差为2的等差数列 B .公差为lg 2的等差数列 C .公比为2的等比数列 D .公比为lg 2的等比数列5.设等差数列}{n a 的前n 项和为=+++==1413121184,20,8,a a a a S S S n 则若( ) A .18B .17C .16D .156.已知数列{}n a 和{}n b 满足:11a =,22a =,0n a >,n b =*n ∈N ),且{}n b 是以q 为公比的等比数列(I )证明:22n n a a q +=; (II )若2122n n n c a a -=+,证明数列{}n c 是等比数列; (III )求和:1234212111111n na a a a a a -++++++1.等差数列{}n a 的前n 项和为n S ,且3S =6,1a =4,则公差d 等于( )A .1B .53C .2-D .32.已知{}n a 为等差数列,且7a -24a =-1, 3a =0,则公差d =( )A .-2B .-12 C .12D .2 3.各项不为零...的等差数列}{n a 中,02211273=+-a a a ,则7a 的值为( ) A .0 B .4C .04或D .24.在等差数列}{n a 中,39741=++a a a ,27963=++a a a ,则数列}{n a 的前9项之和9S 等于( ) A .66 B .99 C .144 D .297 5.在等比数列==+=101810275,5,6,}{a a a a a a a n 则中( ) A .2332--或B .32 C .23 D .2332或6.已知函数x ab x f =)( (a ,b 为常数)的图象经过点P (1,18)和Q (4,8)(1) 求函数)(x f 的解析式;(2) 记a n =log 2)(n f ,n 是正整数,n S 是数列{}n a 的前n 项和,求n S 的最小值.1.等差数列{}n a 的公差不为零,首项1a =1,2a 是1a 和5a 的等比中项,则数列的前10项之和是( )A . 90B . 100C . 145D . 1902.设{}n a 是公差不为0的等差数列,12a =且136,,a a a 成等比数列,则{}n a 的前n 项和n S =( )A .2744n n + B .2533n n + C .2324n n + D .2n n +3.各项均不为零的等差数列}{n a 中,若2110(,2)n n n a a a n n *-+--=∈≥N ,则2009S 等于( )A .0B .2C .2009D .40184. 各项都是正数的等比数列}{n a 的公比1≠q ,且132,21,a a a 成等差数列,则5443a a a a ++的值为( )A .251- B .215+ C .215- D .215+或215- 5.已知等差数列{a n }的前n 项和为n S ,若714S =,则35a a +的值为( ) A .2B .4C .7D .86.已知:数列}{n a 满足+-∈=++++N a na a a a n n ,333313221 . (1)求数列}{n a 的通项; (2)设,nn a nb =求数列}{n b 的前n 项和S n .1.若等差数列{}n a 的前5项和525S =,且23a =,则7a =( ) A .12 B .13 C .14 D .152.已知{}n a 是等差数列,124a a +=,7828a a +=,则该数列前10项和10S =( ) A .64 B .100 C .110 D .1203.在等差数列{}n a 中,284a a +=,则 其前9项的和S 9等于( ) A .18 B . 27 C .36 D .94.等差数列{}n a 的前n 项和)3,2,1(⋅⋅⋅=n S n 当首项1a 和公差d 变化时,若1185a a a ++是一个定值,则下列各数中为定值的是( ) A 、16SB .S 15C 、17SD 、18S5.在等比数列==+=101810275,5,6,}{a a a a a a a n 则中( ) A .2332--或B .32 C .23 D .2332或6.设数列{}n a 的前n 项和为n S ,且1n n S c ca =+-,其中c 是不等于1-和0的实常数. (1)求证:{}n a 为等比数列;(2)设数列{}n a 的公比()q f c =,数列{}n b 满足()()111,,23n n b b f b n N n -==∈≥,试写出1n b ⎧⎫⎪⎪⎨⎬⎪⎪⎩⎭的通项公式,并求12231n n b b b b b b -+++的结果.1.记等差数列{}n a 的前n 项和为n S ,若112a =,420S =,则6S =( ) A .16 B .24C .36D .482.设{}n a 是公比为正数的等比数列,若a 1=1,a 5=16,则数列{}n a 前7项的和为( ) A .63B .64C .127D .1283.等差数列{}n a 的前n 项和为n S ,已知2110m m m a a a -++-=,2138m S -=,则m =( )A .38B .20C .10D .94.设等差数列{}n a 的前n 项和为n S ,若39S =,636S =,则789a a a ++=( ) A .63 B .45 C .36 D .275.若互不相等的实数,,a b c 成等差数列,,,c a b 成等比数列,且310a b c ++=,则a =( ) A .4 B .2 C .-2 D .-46.已知12a =,点(a n ,a n +1)在函数2()2f x x x =+的图象上,其中n =1,2,3,…(1)证明数列{}lg(1)n a +是等比数列;(2)设T n =(1+a 1) (1+a 2) …(1+a n ),求数列{}n a 的通项及T n ;1.在等比数列{a n }中,a 2=8,a 5=64,,则公比q 为( ) A .2 B .3 C .4 D .82.等差数列{}n a 的前n 项和为n S 若=则432,3,1S a a ==( ) A .12 B .10 C .8 D .63.已知等比数列{}n a 中21a =,则其前3项的和3S 的取值范围是( ) A .(],1-∞- B .()(),01,-∞+∞ C .[)3,+∞ D .(][),13,-∞-+∞4.正项等比数列{}n a 满足142=a a ,133=S ,n n a b 3log =,则数列{}n b 的前10项和是( ) A .65 B .-65 C .25 D . -255.等差数列{a n }共有2n 项,其中奇数项的和为90,偶数项的和为72,且3312-=-a a n ,则该数列的公差为( )A .3B .-3C .-2D .-16.已知数列{}n a 的前三项与数列{}n b 的前三项对应相同,且212322a a a +++…12n n a -+8n =对任意的∈n N*都成立,数列{}1n n b b +-是等差数列.(1)求数列{}n a 与{}n b 的通项公式;(2)问是否存在k ∈N *,使得(0,1)k k b a -∈?请说明理由.1.在等比数列{}n a (n ∈N *)中,若11a =,418a =,则该数列的前10项和为( ) A .4122- B .2122- C .9122- D .11122-2.等差数列{a n }中,a 1=1,a 3+a 5=14,其前n 项和S n =100,则n =( ) A .9 B .10 C .11 D .123.已知数列}{n a 的前n 项和n S 满足:m n m n S S S +=+,且11=a ,那么=10a ( ) A . 1 B . 9 C . 10 D . 554.设{}n a 是各项为正数的无穷数列,i A 是边长为1,i i a a +的矩形面积(1,2,i =),则{}n A 为等比数列的充要条件为( ) A .{}n a 是等比数列. B .1321,,,,n a a a -或242,,,,n a a a 是等比数列.C .1321,,,,n a a a -和242,,,,n a a a 均是等比数列.D .1321,,,,n a a a -和242,,,,n a a a 均是等比数列,且公比相同.5.已知数列{}n a 满足12430,3n n a a a ++==-,则{}n a 的前10项和等于(A)()10613--- (B)()101139-- (C)()10313-- (D)()1031+3-6.已知数列{}11,5331(2,3,)n n n n a a a a n -==+-=中且 (I )试求2a ,3a 的值; (II )若存在实数}3{,nn a λλ+使得为等差数列,试求λ的值.1.已知等差数列}{n a 中,12497,1,16a a a a 则==+的值是( ) A .15 B .30C .31D .642.在各项都为正数的等比数列}{n a 中,首项a 1=3 ,前三项和为21,则a 3+ a 4+ a 5=( ) A .33 B . 72 C . 84 D .1893.设n n n A B C ∆的三边长分别为,,n n n a b c ,n n n A B C ∆的面积为n S ,1,2,3,n =,若11111,2b c b c a >+=,111,,22n n nnn n n n c a b a a a b c +++++===,则( ) A .{S n }为递减数列 B .{S n }为递增数列C .{S 2n -1}为递增数列,{S 2n }为递减数列D .{S 2n -1}为递减数列,{S 2n }为递增数列4.函数=()y f x 的图像如图所示,在区间[],a b 上可找到(2)n n ≥个不同的数12,...,,n x x x 使得1212()()()==,n nf x f x f x x x x 则n 的取值范围是( ) (A){}3,4 (B){}2,3,4 (C) {}3,4,5 (D){}2,3 5.已知数列{}n a 的前n 项和为n S ,若()112,1n n a n a S n n +=⋅=++, (1)求数列{}n a 的通项公式; (2)令n nn S T 2=,①当n 为何正整数值时,1+>n n T T ;②若对一切正整数n ,总有m T n ≤,求m 的取值范围.1.已知{}n a 为等差数列,其公差为-2,且7a 是3a 与9a 的等比中项,n S 为{}n a 的前n 项和, *n N ∈,则10S 的值为( )A .-110B .-90C .90D .110 2.等比数列x ,3x +3,6x +6,..的第四项等于( ) A .-24 B .0 C .12 D .243.设等差数列{}n a 的前n 项和为11,2,0,3n m m m S S S S -+=-==,则m = ( ) A .3B .4C .5D .64.已知{}n a 为等比数列,472a a +=,568a a =-,则110a a +=( ) A .7B .5C .-5D .-75.已知等比数列{}n a 的公比为q ,记(1)1(1)2(1)...,n m n m n m n m b a a a -+-+-+=+++*(1)1(1)2(1)...(,),n m n m n m n m c a a a m n N -+-+-+=∙∙∙∈则以下结论一定正确的是( ) A .数列{}n b 为等差数列,公差为m q B .数列{}n b 为等比数列,公比为2m q C .数列{}n c 为等比数列,公比为2m q D .数列{}n c 为等比数列,公比为mm q6.等差数列{}n a 是递增数列,前n 项和为n S ,且1a ,3a ,9a 成等比数列,255a S =.(1)求数列{}n a 的通项公式; (2)若数列{}n b 满足211n n n n n b a a +++=⋅,求数列{}n b 的前n 项的和.。
一、选择题(本大题共12小题,每小题5分,共60分.在每小题给出的四个选项中,只有一项是符合题目要求的)1.等比数列{a n }的公比q =-14,a 1=2,则数列{a n }是( )A .递增数列B .递减数列C .常数数列D .摆动数列2.若互不相等的实数a ,b ,c 成等差数列,a 是b ,c 的等比中项,且a +3b +c =10,则a 的值是( )A .1B .-1C .-3D .-43.等差数列{a n }中,a 3=2,a 5=7,则a 7=( ) A .10 B .20 C .16D .124.已知等比数列的各项都为正数,且当n ≥3时,a 4a 2n -4=102n ,则数列lg a 1,2lg a 2,22lg a 3,23lg a 4,…,2n -1lg a n ,…的前n 项和S n 等于( )A .n ·2nB .(n -1)·2n -1-1 C .(n -1)·2n +1D .2n +15.设等比数列{a n }的前n 项和为S n ,若S 10∶S 5=1∶2,则S 15∶S 5=( ) A .3∶4 B .2∶3 C .1∶2D .1∶36.数列{a n }满足a 1=1,a 2=1,a n +2=⎝⎛⎭⎫1+sin 2n π2a n +4cos 2n π2,则a 9,a 10的大小关系为( )A .a 9>a 10B .a 9=a 10C .a 9<a 10D .大小关系不确定7.已知数列{a n }满足a 1=1,a n +1=⎩⎪⎨⎪⎧2a n ,n 为正奇数,a n +1,n 为正偶数,则254是该数列的( )A .第8项B .第10项C .第12项D .第14项8.数列{a n }满足a 1=1,且a n +1=a 1+a n +n (n ∈N *),则1a 1+1a 2+…+1a 2 019=( )A.4 0382 020 B.4 0362 019 C.4 0322 017D.4 0342 0189.如果数列a 1,a 2-a 1,a 3-a 2,…,a n -a n -1,…是首项为1、公比为13的等比数列,那么a n =( )A.32⎝⎛⎭⎫1-13n B.32⎝⎛⎭⎫1-13n -1 C.23⎝⎛⎭⎫1-13n D.23⎝⎛⎭⎫1-13n -1 10.(2017·全国卷Ⅲ)等差数列{a n }的首项为1,公差不为0.若a 2,a 3,a 6成等比数列,则{a n }前6项的和为( )A .-24B .-3C .3D .8二、填空题(本大题共4小题,每小题5分,共20分.请把正确答案填在题中的横线上) 11.已知{a n }是等差数列,S n 为其前n 项和,n ∈N *.若a 3=16,S 20=20,则S 10的值为________.12.已知数列{a n }的通项公式为a n =2 018-3n ,则使a n >0成立的最大正整数n 的值为________.13.(2017·北京高考)若等差数列{a n }和等比数列{b n }满足a 1=b 1=-1,a 4=b 4=8,则 a 2b 2=________. 三、解答题(本大题共6小题,共70分,解答时写出必要的文字说明、证明过程或演算步骤)14.(10分)已知函数f (x )=3xx +3,数列{x n }的通项由x n =f (x n -1)(n ≥2且x ∈N *)确定.(1)求证:⎩⎨⎧⎭⎬⎫1x n 是等差数列;(2)当x 1=12时,求x 2 018.15.(12分)(2018·全国卷Ⅲ)等比数列{a n }中,a 1=1,a 5=4a 3. (1)求{a n }的通项公式;(2)记S n 为{a n }的前n 项和,若S m =63,求m .16.(12分)在等差数列{a n}中,S n为其前n项和(n∈N*),且a2=3,S4=16.(1)求数列{a n}的通项公式;(2)设b n=1a n a n+1,求数列{b n}的前n项和T n.17.(12分)(2018·浙江高考)已知等比数列{a n}的公比q>1,且a3+a4+a5=28,a4+2是a3,a5的等差中项.数列{b n}满足b1=1,数列{(b n+1-b n)a n}的前n项和为2n2+n.(1)求q的值;(2)求数列{b n}的通项公式.答案解析1.等比数列{a n}的公比q=-14,a1=2,则数列{a n}是()A.递增数列B.递减数列C .常数数列D .摆动数列解析:选D 因为等比数列{a n }的公比为q =-14,a 1=2,故a 2<0,a 3>0,…,所以数列{a n }是摆动数列.2.若互不相等的实数a ,b ,c 成等差数列,a 是b ,c 的等比中项,且a +3b +c =10,则a 的值是( )A .1B .-1C .-3D .-4解析:选D 由题意,得⎩⎪⎨⎪⎧2b =a +c ,a 2=bc ,a +3b +c =10,解得a =-4,b =2,c =8.3.等差数列{a n }中,a 3=2,a 5=7,则a 7=( ) A .10 B .20 C .16D .12解析:选D ∵{a n }是等差数列, ∴d =a 5-a 35-3=52,∴a 7=2+4×52=12.4.已知等比数列的各项都为正数,且当n ≥3时,a 4a 2n -4=102n ,则数列lg a 1,2lg a 2,22lg a 3,23lg a 4,…,2n -1lg a n ,…的前n 项和S n 等于( )A .n ·2nB .(n -1)·2n -1-1 C .(n -1)·2n +1D .2n +1解析:选C ∵等比数列{a n }的各项都为正数,且当n ≥3时,a 4a 2n -4=102n ,∴a 2n =102n,即a n =10n ,∴2n -1lg a n =2n -1lg 10n =n ·2n -1,∴S n =1+2×2+3×22+…+n ·2n -1,① 2S n =1×2+2×22+3×23+…+n ·2n ,②∴①-②得-S n =1+2+22+…+2n -1-n ·2n =2n -1-n ·2n =(1-n )·2n -1, ∴S n =(n -1)·2n +1.5.设等比数列{a n }的前n 项和为S n ,若S 10∶S 5=1∶2,则S 15∶S 5=( ) A .3∶4 B .2∶3 C .1∶2D .1∶3解析:选A 在等比数列{a n }中,S 5,S 10-S 5,S 15-S 10,…成等比数列,因为S 10∶S 5=1∶2,所以S 5=2S 10,S 15=34S 5,得S 15∶S 5=3∶4,故选A.6.数列{a n }满足a 1=1,a 2=1,a n +2=⎝⎛⎭⎫1+sin 2n π2a n +4cos 2n π2,则a 9,a 10的大小关系为( )A .a 9>a 10B .a 9=a 10C .a 9<a 10D .大小关系不确定解析:选C 当n =2k -1(k ∈N *)时,a 2k +1=2a 2k -1(k ∈N *),所以数列:a 1,a 3,a 5,…是首项为1,公比为2的等比数列,所以a 9=a 1×24=16;当n =2k (k ∈N *)时,a 2k +2=a 2k +4,所以数列:a 2,a 4,a 6,…是首项为1,公差为4的等差数列,所以a 10=a 2+4×4=17.所以a 9<a 10,故选C.7.已知数列{a n }满足a 1=1,a n +1=⎩⎪⎨⎪⎧2a n ,n 为正奇数,a n+1,n 为正偶数,则254是该数列的( )A .第8项B .第10项C .第12项D .第14项解析:选D 当n 为正奇数时,a n +1=2a n ,则a 2=2a 1=2,当n 为正偶数时,a n +1=a n+1,得a 3=3,依次类推得a 4=6,a 5=7,a 6=14,a 7=15,…,归纳可得数列{a n }的通项公式a n=⎩⎨⎧2+12n -1,n 为正奇数,2+12n -2,n 为正偶数,则2+12n -2=254,n =14,故选D.8.数列{a n }满足a 1=1,且a n +1=a 1+a n +n (n ∈N *),则1a 1+1a 2+…+1a 2 019=( )A.4 0382 020 B.4 0362 019 C.4 0322 017D.4 0342 018解析:选A ∵a n +1-a n =n +1,a n -a n -1=n -1+1,…,a 2-a 1=1+1, ∴a n +1-a 1=(1+n )n 2+n ,即a n +1=n (n +1)2+n +1, ∴a n =n (n -1)2+n =n (n +1)2,1a n=2⎝⎛⎭⎫1n -1n +1,1a 1+1a 2+…+1a 2 019=2⎝⎛⎭⎫1-12+⎝⎛⎭⎫12-13+…+⎝⎛⎭⎫12 019-12 020=2×⎝⎛⎭⎫1-12 020=4 0382 020.故选A. 9.如果数列a 1,a 2-a 1,a 3-a 2,…,a n -a n -1,…是首项为1、公比为13的等比数列,那么a n =( )A.32⎝⎛⎭⎫1-13n B.32⎝⎛⎭⎫1-13n -1 C.23⎝⎛⎭⎫1-13n D.23⎝⎛⎭⎫1-13n -1 解析:选A 由题知a 1=1,q =13,则a n -a n -1=1×⎝⎛⎭⎫13n -1.设数列a 1,a 2-a 1,…,a n -a n -1的前n 项和为S n , ∴S n =a 1+(a 2-a 1)+(a 3-a 2)+…+(a n -a n -1)=a n . 又∵S n =1×⎝⎛⎭⎫1-13n 1-13=32⎝⎛⎭⎫1-13n ,∴a n =32⎝⎛⎭⎫1-13n . 10.(2017·全国卷Ⅲ)等差数列{a n }的首项为1,公差不为0.若a 2,a 3,a 6成等比数列,则{a n }前6项的和为( )A .-24B .-3C .3D .8解析:选A 设等差数列{a n }的公差为d , 因为a 2,a 3,a 6成等比数列,所以a 2a 6=a 23, 即(a 1+d )(a 1+5d )=(a 1+2d )2. 又a 1=1,所以d 2+2d =0. 又d ≠0,则d =-2,所以{a n }前6项的和S 6=6×1+6×52×(-2)=-24.二、填空题(本大题共4小题,每小题5分,共20分.请把正确答案填在题中的横线上) 11.已知{a n }是等差数列,S n 为其前n 项和,n ∈N *.若a 3=16,S 20=20,则S 10的值为________.解析:设{a n }的首项,公差分别是a 1,d ,则⎩⎪⎨⎪⎧a 1+2d =16,20a 1+20×(20-1)2×d =20,解得a 1=20,d =-2, ∴S 10=10×20+10×92×(-2)=110.答案:11012.已知数列{a n }的通项公式为a n =2 018-3n ,则使a n >0成立的最大正整数n 的值为________.解析:由a n =2 018-3n >0,得n <2 0183=67223,又∵n ∈N *,∴n 的最大值为672. 答案:67213.(2017·北京高考)若等差数列{a n }和等比数列{b n }满足a 1=b 1=-1,a 4=b 4=8,则a 2b 2=________. 解析:设等差数列{a n }的公差为d , 等比数列{b n }的公比为q , 则a 4=-1+3d =8,解得d =3; b 4=-1·q 3=8,解得q =-2.所以a 2=-1+3=2,b 2=-1×(-2)=2, 所以a 2b 2=1.答案:1三、解答题(本大题共6小题,共70分,解答时写出必要的文字说明、证明过程或演算步骤)14.(10分)已知函数f (x )=3xx +3,数列{x n }的通项由x n =f (x n -1)(n ≥2且x ∈N *)确定.(1)求证:⎩⎨⎧⎭⎬⎫1x n 是等差数列;(2)当x 1=12时,求x 2 018.解:(1)证明:∵x n =f (x n -1)=3x n -1x n -1+3(n ≥2且n ∈N *),∴1x n =x n -1+33x n -1=13+1x n -1,∴1x n-1x n -1=13(n ≥2且n ∈N *),∴⎩⎨⎧⎭⎬⎫1x n 是等差数列. (2)由(1)知1x n =1x 1+(n -1)×13=2+n -13=n +53.∴1x 2 018=2 018+53=2 0233. ∴x 2 018=32 023. 15.(12分)(2018·全国卷Ⅲ)等比数列{a n }中,a 1=1,a 5=4a 3. (1)求{a n }的通项公式;(2)记S n 为{a n }的前n 项和,若S m =63,求m . 解:(1)设{a n }的公比为q ,由题设得a n =q n -1. 由已知得q 4=4q 2,解得q =0(舍去)或q =-2或q =2. 故a n =(-2)n-1或a n =2n -1.(2)若a n =(-2)n -1,则S n =1-(-2)n3.由S m =63,得(-2)m =-188,此方程没有正整数解.若a n =2n -1,则S n =1-2n 1-2=2n-1.由S m =63,得2m =64,解得m =6. 综上,m =6.16.(12分)在等差数列{a n }中,S n 为其前n 项和(n ∈N *),且a 2=3,S 4=16. (1)求数列{a n }的通项公式; (2)设b n =1a n a n +1,求数列{b n }的前n 项和T n . 解:(1)设等差数列{a n }的公差是d ,由已知条件得⎩⎪⎨⎪⎧a 1+d =3,4a 1+6d =16,解得a 1=1,d =2,∴a n =2n -1. (2)由(1)知,a n =2n -1, ∴b n =1a n a n +1=1(2n -1)(2n +1)=12⎝⎛⎭⎫12n -1-12n +1, T n =b 1+b 2+…+b n=12⎣⎡⎦⎤⎝⎛⎭⎫1-13+⎝⎛⎭⎫13-15+…+⎝⎛⎭⎫12n -1-12n +1 =12⎝⎛⎭⎫1-12n +1=n 2n +1.17.(12分)(2018·浙江高考)已知等比数列{a n }的公比q >1,且a 3+a 4+a 5=28,a 4+2是a 3,a 5的等差中项.数列{b n }满足b 1=1,数列{(b n +1-b n )a n }的前n 项和为2n 2+n .(1)求q 的值;(2)求数列{b n }的通项公式.解:(1)由a 4+2是a 3,a 5的等差中项, 得a 3+a 5=2a 4+4,所以a 3+a 4+a 5=3a 4+4=28,解得a 4=8.由a 3+a 5=20,得8⎝⎛⎭⎫q +1q =20,解得q =2或q =12. 因为q >1,所以q =2.(2)设c n =(b n +1-b n )a n ,数列{c n }的前n 项和为S n .由c n =⎩⎪⎨⎪⎧S 1,n =1,S n -S n -1,n ≥2,解得c n =4n -1.由(1)可得a n =2n -1,所以b n +1-b n =(4n -1)×⎝⎛⎭⎫12n -1, 故b n -b n -1=(4n -5)×⎝⎛⎭⎫12n -2,n ≥2,b n -b 1=(b n -b n -1)+(b n -1-b n -2)+…+(b 3-b 2)+(b 2-b 1)=(4n -5)×⎝⎛⎭⎫12n -2+(4n -9)×⎝⎛⎭⎫12n -3+…+7×12+3. 设T n =3+7×12+11×⎝⎛⎭⎫122+…+(4n -5)×⎝⎛⎭⎫12n -2,n ≥2. 则12T n =3×12+7×⎝⎛⎭⎫122+…+(4n -9)×⎝⎛⎭⎫12n -2+(4n -5)×⎝⎛⎭⎫12n -1, 所以12T n =3+4×12+4×⎝⎛⎭⎫122+…+4×⎝⎛⎭⎫12n -2-(4n -5)×⎝⎛⎭⎫12n -1, 所以T n =14-(4n +3)×⎝⎛⎭⎫12n -2,n ≥2. 又b 1=1,所以b n =15-(4n +3)×⎝⎛⎭⎫12n -2.。
小学数学数列练习题及答案一、选择题1. 下列数列中,公差为3的是:A. 1,4,9,14,...B. 3,6,12,24,...C. 2,4,8,16,...D. 5,10,20,40,...2. 若数列的通项公式为an = 3n + 1,其中n为自然数,那么数列的前5项依次是:A. 1,2,3,4,5B. 4,7,10,13,16C. 3,6,9,12,15D. 1,4,7,10,133. 数列1,4,7,10,...的通项公式是:A. an = 3n - 2B. an = 3n + 1C. an = 3n - 1D. an = 3n + 24. 若数列的通项公式为an = n^2,其中n为自然数,那么数列的第6项是:A. 36B. 16C. 25D. 49二、填空题1. 数列7,14,21,28,...的公差是_________。
2. 数列2,5,8,11,...的通项公式是an = __________。
3. 数列3,6,12,24,...的通项公式是an = __________。
4. 数列1,-2,4,-8,...的通项公式是an = __________。
三、解答题1. 求等差数列25,21,17,13,...的第10项。
2. 已知数列-2,-3,-5,-8,-12,...的通项公式为an = 2n^2 - 3n,求数列的第8项。
3. 将以下数列的前5项填入括号中,使其成为等差数列:2,(),(),10,()。
答案:一、选择题1. B2. B3. A4. D二、填空题1. 72. 3n-13. 3×2^(n-1)4. (-1)^(n-1)×2^(n-1)三、解答题1. 第10项为25 + (-4)×(10-1) = 25 + (-4)×9 = 25 - 36 = -11。
2. 第8项为2×8^2 - 3×8 = 128 - 24 = 104。
数列一、单选题1.在ABC 中,AB,45C =︒,O 是ABC 的外心,若OC AB CA CB ⋅+⋅的最大值是m ,数列{}n a 中,11a =,12n n a ma +=+,则{}n a 的通项公式为n a =()A .1231n -⋅-B .1322n -⋅-C .32n -D .1544n -⋅-2.将等比数列{}n b 按原顺序分成1项,2项,4项,…,12n -项的各组,再将公差为2的等差数列{}n a 的各项依次插入各组之间,得到新数列{}n c :1b ,1a ,2b ,3b ,2a ,4b ,5b ,6b ,7b ,3a ,…,新数列{}n c 的前n 项和为n S .若11c =,22c =,3134S =,则S 200=()A .3841117232⎡⎤⎛⎫-⎢⎥⎪⎝⎭⎢⎥⎣⎦B .3861113032⎡⎤⎛⎫-⎢⎥⎪⎝⎭⎢⎥⎣⎦C .3861117232⎡⎤⎛⎫-⎢⎥⎪⎝⎭⎢⎥⎣⎦D .38411302⎛⎫- ⎪⎝⎭3.在ABC 中,AB =,45C =︒,O 是ABC 的外心,若21OC AC ⋅-的最大值是m ,数列{}n a 中,11a =,12n n a ma +=+,则{}n a 的通项公式为n a =().A .1231n -⋅-B .1322n -⋅-C .32n -D .1544n -⋅-4.设数列{}n a 的通项公式为()()()*121cos 1N 2nn n a n n π=--⋅+∈,其前n 项和为n S ,则120S =()A .60-B .120-C .180D .2405.已知等差数列{}n a 的前n 项和为n S ,满足190S >,200S <,若数列{}n a 满足10m m a a +⋅<,则m =()A .9B .10C .19D .206.已知数列{}n a 的首项11a =,函数()()41cos 221n n f x x a x a +=+-+有唯一零点,则通项n a =()A .13n -B .12n -C .21n -D .32n -7.等差数列{}n a 的首项为正数,其前n 项和为n S .现有下列命题,其中是假命题的有()A .若n S 有最大值,则数列{}n a 的公差小于0B .若6130a a +=,则使0n S >的最大的n 为18C .若90a >,9100a a +<,则{}n S 中9S 最大D .若90a >,9100a a +<,则数列{}n a 中的最小项是第9项8.已知各项都为正数的等比数列{}n a 满足7652a a a =+,存在两项m a ,n a使得14a =,则122n m n+++的最小值为()A.118+B .2615C .74D .28159.设数列{}n a 的前n 项和为n S ,满足()2*12n n na S n N a +=∈,则下列说法正确的是()A .202120221a a ⋅<B .202120221a a ⋅>C.2022a <-D.2022a >10.数列{}n a 满足11a =,且对于任意的*N n ∈都有11n n a a a n +=++,则122015111a a a +++= ()A .10071008B .20151008C .1007504D .2015201611.在数列{}n a 中,12a =,22a =且21(1)(N )nn n a a n ++-=+-∈,100S =()A .0B .1300C .2600D .265012.童谣是一种民间文学,因为常取材于现实生活,语言幽默风趣、朗朗上口而使少年儿童易于接受,从而成为了重要的传统教育方式.有一首童谣中唱到:“玲珑塔上琉璃灯,沙弥点灯向上行.首层掌灯共三盏,明灯层层更倍增(意为:每上一层,灯的数量增加一倍).小僧掌灯到塔顶,心中默数灯几重.玲珑塔上灯火数,三百八十一盏明.灯映湖心点点红,但问塔顶几盏灯?”童谣中的玲珑塔的顶层灯的盏数为()A .96B .144C .192D .23113.已知无穷等比数列{}n a 中12a =,22a <,它的前n 项和为n S ,则下列命题正确的是()A .数列{}n S 是递增数列B .数列{}n S 是递减数列C .数列{}n S 存在最小项D .数列{}n S 存在最大项14.已知等差数列{}n a 中,前4项为1,3,5,7,则数列{}n a 前10项的和10S =()A .100B .23C .21D .1715.已知等差数列{}n a 中,其前5项的和525S =,等比数列{}n b 中,1132,8,b b ==则37a b =()A .54-或54B .54-C .45D .5416.在等比数列{}n a 中,已知对*n N ∈有1221n n a a a ++⋯+=-,那么22212n a a a ++⋯+=()A .2(21)n -B .21(21)3n -C .41n -D .1(41)3n-17.设等比数列{}n a 的各项均为正数,已知237881a a a a =,则267a a a +的最小值为()AB.C.D.18.已知等差数列{}n a 满足13512a a a ++=,10111224a a a ++=,则{}n a 的前13项的和为()A .12B .36C .78D .15619.设()n a Ω表示落在区间[],n n a 内的偶数个数.在等比数列{}n a n -中,14a =,211a =,则()4a Ω=()A .21B .20C .41D .4020.已知数列1,12-,14,18-,….则该数列的第10项为()A .1512-B .1512C .11024-D .1102421.有一个非常有趣的数列1⎧⎫⎨⎬⎩⎭n 叫做调和数列,此数列的前n 项和已经被研究了几百年,但是迄今为止仍然没有得到它的求和公式.某数学探究小组为了探究调和数列的性质,仿照“杨辉三角”.将1,12,13,14, (1),…作为第一行,相邻两个数相减得到第二行,依次类推,得到如图所示的三角形差数列,则第2行的前100项和为()A .100101B .99100C .99200D .5010122.等差数列{}n a 的前n 项和为n S ,若1a ,2020a 满足12020OA a OB a OC =+,其中A 为OBC边BC 上任意一点,则2020S =().A .2020B .1010C .1020D .223.一定数目的点在等距离的排列下可以形成一个等边三角形,这样的数被称为三角形数.如图,根据前三个点阵图形的规律,第四个点阵表示的三角形数是()A .1B .6C .10D .2024.数列{}n a 的前4项为:1111,,,25811,则它的一个通项公式是()A .121n -B .121n +C .131n -D .131n +25.已知数列1,3-,5,7-,9,…,则该数列的第10项为()A .21-B .19-C .19D .2126.在等差数列{}n a 中,若47101102a a a ++=,则311a a +=()A .2B .4C .6D .827.等差数列{}n a 中,若14a =,公差2d =,则5a =()A .10B .12C .14D .22二、多选题28.在平面四边形ABCD 中,ABD △的面积是BCD △面积的2倍,又数列{}n a 满足12a =,当2n ≥时,恒有()()1122n nn n BD a BA a BC --=-++ ,设{}n a 的前n 项和为n S ,则()A .{}n a 为等比数列B .2n n a ⎧⎫⎨⎬⎩⎭为递减数列C .{}n a 为等差数列D .()152210n n S n +=--29.已知数列{}n a 的前n 项和为n S ,11a =,121n n n S S a +=++,数列12n n n a a +⎧⎫⎨⎬⋅⎩⎭的前n 项和为*,n T n N ∈,则下列选项正确的为()A .数列{1}n a +是等差数列B .数列{1}n a +是等比数列C .数列{}n a 的通项公式为21nn a =-D .1n T <30.已知等差数列{}n a 的前n 项和为n S ,公差为d ,若10911S S S <<,则()A .0d >B .10a >C .200S <D .210S >31.记n S 为等差数列{}n a 的前n 项和,已知342,14a S ==,则()A .{}n a 是递增数列B .18a =C .523S a a =D .n S 的最小值为332.已知数列{}n a 中,13a =,()1*11N n na n a +=∈-,下列选项中能使3n a =的n 有()A .22B .24C .26D .2833.对任意数列{}n a ,下列说法一定正确的是()A .若数列{}n a 是等差数列,则数列{2}n a 是等比数列B .若数列{}n a 是等差数列,则数列{2}n a 是等差数列C .若数列{}n a 是等比数列,则数列{lg |}|n a 是等比数列D .若数列{}n a 是等比数列,则数列{lg |}|n a 是等差数列三、填空题34.在数列{}n a 及{}n b 中,1n n n a a b +=++,1n n n b a b +=+,11a =,11b =.设11n n nc a b =+,则数列{}n c 的前2018项和为_________35.已知数列{}n a 的通项为21n a n =-+,等比数列{}n b 的公比q 满足1(2)n n q a a n -=-≥且12b a =,则123...n b b b b ++++=________.36.意大利著名数学家斐波那契在研究兔子繁殖问题时,发现有这样一个数列:1,1,2,3,5,8,13,21,…,其中从第三个数起,每一个数都等于它前面两个数的和,人们把这样的一列数所组成的数列称为“斐波那契数列”,记为{}n F .利用下图所揭示的{}n F 的性质,则在等式()222220221220212022m F F F F F F -++⋅⋅⋅+=⋅中,m =______.37.将公差不为零的等差数列1a ,2a ,3a 调整顺序后构成一个新的等比数列i a ,j a ,k a ,其中{,,}{1,2,3}i j k =,试写出一个调整顺序后成等比数列的数列公比:_____.(写出一个即可).38.已知()f x 为R 上单调递增的奇函数,在数列{}n a 中,120a =,对任意正整数n ,()()130n n f a f a ++-=,则数列{}n a 的前n 项和n S 的最大值为___________.39.给定正整数n 和正数b ,对于满足条件211n a a b +-=的所有无穷等差数列{}n a ,当1n a +=________时,1221n n n y a a a +++=+++ 取得最大值.40.在我国南宋数学家杨辉所著作的《详解九章算法》一书中,用如图所示的三角形(杨辉三角)解释了二项和的乘方规律,下面的数字三角形可以看做当n 依次取0、1、2、3、L 时()na b +展开式的二项式系数,相邻两斜线间各数的和组成数列{}n a ,例11a =,211a =+,312a =+,L ,设数列{}n a 的前n 项和为n S .若20243a m =+,则2022S =___________.41.已知数列{}n a 的前n 项和343n n nS -=,记n b =,则数列{}n b 的前n 项和n T =_______.42.现有一根长为81米的圆柱形铁棒,第1天截取铁棒长度的13,从第2天开始每天截取前一天剩下长度的13,则第5天截取的长度是______米.43.已知数列{}n a 满足112,,n n a a a n +==-则求100a =___________44.已知等差数列的前n 项和为n S ,且13140,0S S ><,则使n S 取得最大值的n 为__________.45.在等差数列{}n a 中,710132a a =+,则该数列的前7项和为_________.46.已知等比数列{}n a 的前n 项和为n S ,公比1q >,且21a +为1a 与3a 的等差中项,314S =.若数列{}n b 满足2log n n b a =,其前n 项和为n T ,则n T =_________.47.已知数列{}n a 是递增数列,且满足121n n a a +=+,且1a 的取值范围是___________.48.已知等比数列{}n a 的公比为2,前n 项和为n S ,则lim nn nS a →∞=__________.49.已知数列{}n a 的首项12a =,且对任意的*n N ∈,都有122nn n a a a +=+,则lim n n a →+∞=______.50.数列{}n a 满足12a =,2111a a =-,若对于大于2的正整数n ,111n n a a -=-,则102a =__________.51.若n a 为()1nx +的二项展开式中2x 项的系数,则2limnn a n →+∞=_________.52.联合国教科文组织将3月14日确定为“国际数学日”,是因为3.14是圆周率数值最接近的数字.我国数学家刘徽首创割圆术,所谓“割圆术”,是用圆内接正多边形的面积去无限逼近圆面积并以此求取圆周率的方法.步骤是:第1步,计算圆内接正六边形的周长;第2步,计算圆内接正12边形的周长;第3步,计算圆内接正24边形的周长;以此类推,第6步,需要计算的是正______边形的周长.53.已知数列{}n a 满足11n nna a +=+,且46a =,则1a =___________.54.已知无穷数列{}n a 满足12a =,25a =,318a =,写出{}n a 的一个通项公式:______.(不能写成分段函数的形式)55.数列{}n a 的前几项和为n S ,且111,2n n a a a +==,则,4S =__________.56.若等差数列{}n a 满足202220221a a a =+=,则1a 的值为___________.57.“中国剩余定理”又称“孙子定理”.1852年,英国来华传教士伟烈亚力将《孙子算经》中“物不知数”问题的解法传至欧洲.1874年,英国数学家马西森指出此法符合1801年由高斯得到的关于同余式解法的一般性定理,因而西方称之为“中国剩余定理”.“中国剩余定理”讲的是一个关于整除的问题,现有这样一个整除问题:将1到2022这2022个数中,能被3除余1且被5整除余1的数按从小到大的顺序排成一列,构成数列{}n a ,则此数列的项数为__________.58.已知数列{}n a 中,11a =,13n n a a +=-,则5S =_________四、解答题59.已知正项数列{}n a 的前n 项和为n S 满足12311111n n S S S S n +++⋯+=+,*N n ∈.(1)求数列{}n a 的通项公式;(2)若数列{}n b 满足22na nb =,记n T 为数列{}n b 的前n 项和,()x Ω表示x 除以3的余数,求()21n T +Ω.60.已知等比数列{}n a 的各项均为正数,52a ,4a ,64a 成等差数列,且满足2434a a =,数列{}n S 的前n 项之积为n b ,且121n nS b +=.(1)求数列{}n a 和{}n b 的通项公式;(2)设21n n n n n b a d b b ++⋅=⋅,若数列{}n d 的前n 项和n M ,证明:71303n M ≤<.61.若有穷数列A :1a ,2a ,…,()*,3n a n n ∈≥N ,满足()1121,2,,2i i i i a a a a i n +++-≤-=- ,则称数列A 为M 数列.(1)判断下列数列是否为M 数列,并说明理由;①1,2,4,3②4,2,8,1(2)已知M 数列A :1a ,2a ,…,9a ,其中14a =,27a =,求349a a a +++ 的最小值.(3)已知M 数列A 是1,2,…,n 的一个排列.若1112n k k k a a n -+=-=+∑,求n 的所有取值.62.已知数列{}n a 的前n 项和为n S ,且211122n S n n =++,*N n ∈.(1)求{}n a 的通项公式;(2)若数列{}n b 满足11223113322n n n b b b a a a ++++⋅⋅⋅+=⨯-,*N n ∈,求数列{}n b 的前n 项和n T .63.已知数列{}n a 满足12a =,{}n a 的前n 项和为n S ,()()121n n a S n n ++=++∈N ,令1n n b a =+.(1)求证:{}n b 是等比数列;(2)记数列{}n nb 的前n 项和为n T ,求n T ;(3)求证:123111156n a a a a ++++<L .64.对于有限数列()12:3n A a a a n ≥ ,,,,如果()12121ni a a a a i n n +++<=- ,,,,则称数列A 具有性质P .(1)判断数列1:2323A ,,,和2:3456A ,,,是否具有性质P ,并说明理由;(2)求证:若数列12:n A a a a ,,,具有性质P ,则对任意互不相等的{}12i j k n ∈ ,,,,,,有i j k a a a +>;(3)设数列122022:A a a a ,,,具有性质P ,每一项均为整数,()1122021i i a a i +≠= ,,,,求122022a a a +++ 的最小值.65.已知数列{}n a 满足11a =,1,,2,.n n n a n a a n +⎧=⎨⎩为奇数为偶数(1)令2n n b a =,求1b ,2b 及{}n b 的通项公式;(2)求数列{}n a 的前2n 项和2n S .66.已知集合(Z 是整数集,m 是大于3的正整数).若含有m 项的数列{}n a 满足:任意的,i j M ∈,都有i a M ∈,且当i j ≠时有i j a a ≠,当i m <时有12i i a a +-=或13i i a a +-=,则称该数列为P 数列.(1)写出所有满足5m =且11a =的P 数列;(2)若数列{}n a 为P 数列,证明:{}n a 不可能是等差数列;(3)已知含有100项的P 数列{}n a 满足5105100,,,,,(1,2,3,,20)k a a a a k = 是公差为(0)d d >等差数列,求d 所有可能的值67.设数列{}n a 的前n 项和n S 满足121n n S S n +-=+(N n *∈),且11a =.(1)求证:数列{}1n a +是等比数列;(2)若()22log 1nn n b a =⋅+,求数列{}n b 的前n 项和nT 68.设数列{}n a 的前n 项和为n S ,已知13n n a a +=,且3431S S +=.(1)求{}n a 的通项公式;(2)设()()311log 3n n n b a n a =++,求数列{}n b 的前n 项和n T.69.(1)已知数列{}n a 是正项数列,12a =,且2211122n n n n n n a a a a a a +++-+=+.求数列{}n a 的通项公式;(2)已知数列{}n a 满足12a =,28a =,2143n n n a a a ++=-.求数列{}n a 的通项公式.70.已知数列{}n a 和{}n b 的通项公式:21n a n =-,2n n b =(1)求数列n n a b ⎧⎫⎨⎬⎩⎭的前n 项和n S .(2)求数列211n n n n a a a b +++⎧⎫⎨⎬⎩⎭的前n 项和n T .71.已知公差不为零的等差数列{}n a 的前n 项和为n S ,12a =,且1a ,2a ,4a 成等比数列.(1)求数列{}n a 的通项公式;(2)若11n n b S +=,数列{}n b 的前n 项和为n T ,证明:12n T <.72.设正项数列{}n a 的前n 项和为n S ,且()()647n n n S a a =-+.(1)求{}n a 的通项公式;(2)设1133nn nn n n a a b a a ++-=⋅,求数列{}n b 的前n 项和n T .73.已知数列{}{},n n a b 满足111a b ==.数列{}n n a b +是公差为q 的等差数列,数列{}n n a b 是公比为q 的等比数列,,n n a b n *≥∈N .(1)若1q =,求数列{}n a 的通项公式;(2)若01q <<,证明:12231,1n n qa b a b a b n q*++++<∈-N .74.已知数列{an }对任意的n ∈N *都满足312233333n n a a a a n ++++= .(1)求数列{an }的通项公式;(2)令bn =3413431log log n n a a -+,求数列{bn }的前n 项和为Tn .75.已知数列{}n a 的各项均为非零实数,且对于任意的正整数n ,都有23333123123()n n a a a a a a a a ++++=++++ .(1)写出数列的前三项(请写出所有可能的结果);(2)是否存在满足条件的无穷数列{}n a ,使得20172016a =-?若存在,求出这样的无穷数列的一个通项公式;若不存在,说明理由;(3)记n a 的所有取值构成的集合为n A ,求集合n A 中所有元素之和.(结论不要求证明)76.已知数列{}n a 是等差数列,{}n b 是等比数列,且22b =,34b =,11a b =,851a b +=.(1)求数列{}n a 、{}n b 的通项公式;(2)设11n n n a c b ++=,数列{}n c 的前n 项和为n S ,求n S .77.设各项均不等于零的数列{}n a 的前n 项和为n S ,已知1114,42n n n a S a a a +=+=.(1)求23,a a 的值,并求数列{}n a 的通项公式;(2)证明:1211121n nS S S a +++<- .78.已知{}n a 是等差数列,{}n b 是等比数列,且22b =,516b =,112a b =,34a b =.(1)求{}n a 、{}n b 的通项公式;(2)设n n n c a b =⋅,求数列{}n c 的前n 项和n S .79.已知等差数列{}n a 的前n 项和为n S ,且31a =,67S =;数列{}n b 满足11222n n b b b ++++=- .(1)求数列{}n a 和{}n b 的通项公式;(2)记tan()n n n c b a π=⋅,求数列{}n c 的前3n 项和.80.已知数列{an }的前n 项和为n S ,*1(N )22n n a n S -∈=,数列{bn }满足b 1=1,点P(bn ,bn +1)在直线x ﹣y +2=0上.(1)求数列{an },{bn }的通项公式;(2)令n n n c a b =⋅,求数列{}n c 的前n 项和Tn ;(3)若0λ>,求对所有的正整数n 都有222nnb k a λλ-+>成立的k 的取值范围.81.已知等比数列{}n a 的公比1q >,且45656a a a ++=,54a +是4a ,6a 的等差中项.(1)求数列{}n a 的通项公式;(2)数列{}1n n a a λ+-的前n 项和为n S ,若()*21n n S n =-∈N ,求实数λ的值.82.已知数列{}n a 的前n 项和为n S ,若n n S na =,且246601860S S S S ++++= ,求1a .83.已知{}n a 为等差数列,{}n b 为等比数列,()()115435431,5,4a b a a a b b b ===-=-.(1)求{}n a 和{}n b 的通项公式;(2)记{}n a 的前n 项和为n S ,求证:()221n n n S S S n N *++<∈;(3)对任意的正整数n ,设()21132,,,,n nn n n n n a b n a a c a n b +-+⎧-⎪⎪=⎨⎪⎪⎩为奇数为偶数求数列{}n c 的前2n 项和.84.在数列{}n a 中,()*112,21n n a a a n n +==-+∈N ,数列{}n a 的前n 项和为n S .(1)证明:数列{}n a n -是等比数列,并求数列{}n a 的通项公式;(2)求n S .85.设数列{}n a 的前n 项和为n S ,若对任意的正整数n ,都有23n n S a n =-.(1)求{}n a 的通项公式;(2)求数列{(1)}n n a +⋅的前n 项和n T .86.已知数列{}n a 是等差数列,{}n b 是等比数列,且111a b ==,322b b =,441a b +=.(1)求数列{}n a 、{}n b 的通项公式;(2)设11n n n a c b ++=,数列{}n c 的前n 项和为n S ,若不等式12n n nS λ-<+对任意的n *∈N 恒成立,求实数λ的取值范围.87.甲、乙两人同时分别入职,A B 两家公司,两家公司的基础工资标准分别为:A 公司第一年月基础工资数为3700元,以后每年月基础工资比上一年月基础工资增加300元;B 公司第一年月基础工资数为4000元,以后每年月基础工资都是上一年的月基础工资的1.05倍.(1)分别求甲、乙两人工作满10年的基础工资收入总量(精确到1元)(2)设甲、乙两人入职第n 年的月基础工资分别为n a 、n b 元,记n n n c a b =-,讨论数列{}n c 的单调性,指出哪年起到哪年止相同年份甲的月基础工资高于乙的月基础工资,并说明理由.88.已知各项均不相等的等差数列{}n a 的前4项和为10,且124,,a a a 是等比数列{}n b 的前3项.(1)求,n n a b ;(2)设22121n n n n n c b a a ++=+⋅,求{}n c 的前n 项和n S .89.治理垃圾是改善环境的重要举措.A 地在未进行垃圾分类前每年需要焚烧垃圾量为200万吨,当地政府从2020年开始推进垃圾分类工作,通过对分类垃圾进行环保处理等一系列措施,预计从2020年开始的连续5年,每年需要焚烧垃圾量比上一年减少20万吨,从第6年开始,每年需要焚烧垃圾量为上一年的75%(记2020年为第1年).(1)写出A 地每年需要焚烧垃圾量与治理年数()*n n N∈的表达式;(2)设n A 为从2020年开始n 年内需要焚烧垃圾量的年平均值....,证明数列{}n A 为递减数列.90.已知{}n a 是公差不为0的等差数列,{}n b 是等比数列111a b ==,22a b =,3342a b a +=.(1)求{}n a 和{}n b 的通项公式;(2)记,,n n na n cb n ⎧=⎨⎩为奇数为偶数,求数列{}n c 的前2n 项和2n T .91.已知{}n a 是递增的等差数列,13a =,且13a ,4a ,1a 成等比数列.(1)求数列{}n a 的通项公式;(2)设数列11n n a a +⎧⎫⎨⎬⎩⎭的前n 项和为n T ,求证:11156n T ≤<.92.设等差数列{}n a 的前n 项和为n S ,且126a =-,1215S S =.(1)求{}n a 的通项公式;(2)求数列{}2nn a -的前n 项和n T .93.设数列{}n a 是等比数列,其前n 项和为n S .(1)从下面两个条件中任选一个作为已知条件,求{}n a 的通项公式;①{}11,2n a S =-是等比数列;②233421,61S a S a =+=+.(2)在(1)的条件下,若31n n b a -=,求数列{}n b 的前n 项和n T .注:如果选择多个条件分别作答,按第一个解答计分.94.已知{}n a 是等比数列,0n a >,1329a a a =,12312323a a a ++=.(1)求{}n a 的通项公式;(2)记n S 为数列{}n a 的前n 项和,求使得1n n S na +≥的正整数n 的所有取值.95.已知数列{}n a 的通项公式为2n a n n λ=+,若数列{}n a 为递增数列,求λ的取值范围.96.设{}{}n n a b 、是两个数列,()()12122n n n n M A a B n n -⎛⎫⎪⎝⎭,,,,,为直角坐标平面上的点.对*N n n n M A B ∈,、、三点共线.(1)求数列{}n a 的通项公式;(2)若数列{}n b 满足:1122212log n nn na b a b a b c a a a +++=+++ ,其中{}n c 是第三项为8,公比为4的等比数列.求证:点列()()()11221,2,,n n P b P b P n b 、、、在同一条直线上;(3)记数列{}{}n n a b 、的前m 项和分别为m A 和m B ,对任意自然数n ,是否总存在与n 相关的自然数m ,使得n m n m a B b A =若存在,求出m 与n 的关系,若不存在,请说明理由.97.已知等差数列{}n a 满足:47a =,1019a =,其前n 项和为.n S (1)求数列{}n a 的通项公式n a 及n S ;(2)若n b ={}n b 的前n 项和n T .98.在等差数列{}n a 中,已知1210a a +=,34530a a a ++=.(1)求数列{}n a 的通项公式;(2)若数列{}n n a b +是首项为1,公比为3的等比数列,求数列{}n b 的前n 项和n S .五、双空题99.“一尺之棰,日取其半,万世不竭”出自我国古代典籍《庄子·天下》,其中蕴含着等比数列的相关知识.已知长度为4的线段AB ,取AB 的中点C ,以AC 为边作等边三角形(如图①),该等边三角形的面积为1S ,在图①中取CB 的中点1C ,以1CC 为边作等边三角形(如图②),图②中所有的等边三角形的面积之和为2S ,以此类推,则3S =___________;1nii iS==∑___________.100.已知[]x 表示不超过x 的最大整数,例如:[]2.32=,[]1.72-=-.在数列{}n a 中,[]lg n a n =,记n S 为数列{}n a 的前n 项和,则2022a =______;2022S =______.参考答案:1.A 【解析】【分析】先由正弦定理得到2sin b B =,02b <≤2211122a b =+-,由向量数量积的几何意义,得22122b AC OC AC =⋅= ,22122CB OC CB a ⋅=-=- ,进而计算出3m =,再使用构造法求解通项公式【详解】设BC a =,AC b =,AB c =,则在ABC 中,由正弦定理sin sin c bC B=及c 45C =︒,得2sin b B =,∵0180B ︒<<︒,∴0sin 1B <≤,∴02b <≤.在ABC 中,由余弦定理及2222cos c a b ab C =+-及c =45C =︒,2211122a b =+-.因为O 是ABC 的外心,所以O 在线段AC ,CB 上的射影为相应线段的中点,由向量数量积的几何意义,得22122b AC OC AC =⋅=,22122CBOC CB a ⋅=-=- ,()OC AB CA CB OC AC CB CA CB OC AC OC CB CA CB⋅+⋅=⋅++⋅=⋅+⋅+⋅ 222222211111111222222b a b a a b b =-+=-++-=-.∵02b <≤,∴2113b -<-≤,所以OC AB CA CB ⋅+⋅的最大值为3.即3m =.由132n n a a +=+,得()1131n n a a ++=+.所以数列{}1n a +是首项112a +=,公比为3的等比数列.所以1123n n a -+=⨯,即1231n n a -=⨯-.故选:A 【点睛】构造法求解数列的通项公式,是经常考查的知识点,要结合递推数列的结构特点,选择合适的方法进行构造,常见的构造类型有()11n n a pa q p +=+≠和()11nn n a pa q p +=+≠等.2.A 【解析】【分析】由已知求得等比数列的首项和公比,以及等差数列的首项,再求得数列{}n c 的前200项中含有数列{}n a 的前7项,含有数列{}n b 的前193项,运用分组求和的方法可求得答案.【详解】解:由已知得11b =,12a =,2331214b c S c c ==--=,等比数列{}n b 的公比14q =.令21122221nn n T -=++++=- ,则663T =,7127T =,8255T =所以数列{}n c 的前200项中含有数列{}n a 的前7项,含有数列{}n b 的前193项,故()()20012181292S b b b a a a =+++++++ 1933841176112472172123214⎛⎫- ⎪⎡⎤⨯⎛⎫⎝⎭=++⨯=-⎢⎥ ⎪⎝⎭⎢⎥⎣⎦-⨯.故选:A .3.A 【解析】【分析】设AC b =,AB c =,由正余弦定理可得2sin b B =,结合三角形外心性质、向量数量积的几何意义求得21OC AC ⋅-的最大值为3,进而可得()1131n n a a ++=+,利用等比数列的定义写出通项公式.【详解】设AC b =,AB c =,在ABC 中,由sin sin c bC B=及c =45C =︒,得2sin b B =,∵0180B ︒<<︒,则0sin 1B <≤,∴02b <≤.因为O 是ABC 的外心,所以O 在线段AC ,CB 上的射影为相应线段的中点,由向量数量积的几何意义,得222111OC AC AC b ⋅-=-=- ,而2113b -<-≤,所以21OC AC ⋅-的最大值为3.即3m =.由132n n a a +=+,得()1131n n a a ++=+.所以数列{}1n a +是首项112a +=,公比为3的等比数列.所以1123n n a -+=⨯,即1231n n a -=⨯-.故选:A 4.D 【解析】【分析】分别取43n k =-,42k -,41k -和4k ,*k N ∈,可验证出43424148k k k k a a a a ---+++=,利用周期性可验算得到结果.【详解】当43n k =-,*N k ∈时,cos 02n π=,431k a -=;当42n k =-,*N k ∈时,1os 2c n π=-,()()4224211186k a k k -=⨯--⨯-+=-+⎡⎤⎣⎦;当41n k =-,*N k ∈时,cos 02n π=,411k a -=;当4n k =,*N k ∈时,cos12n π=,424118k a k k =⨯-+=.()4342414186188k k k k a a a a k k ---∴+++=+-+++=,12012082404S ∴=⨯=.故选:D 5.B 【解析】【分析】根据给定条件,利用等差数列的前n 项和结合等差数列性质,求出异号的相邻两项即可作答.【详解】等差数列{}n a 的前n 项和为n S ,则1191910191902a a S a +=⨯=>,有100a >,1202010112010()02a a S a a +=⨯=+<,有11100a a <-<,显然数列{}n a 是递减的,且10110a a ⋅<,因10m m a a +⋅<,所以10m =.故选:B 6.C 【解析】【分析】由奇偶性定义可判断出()f x 为偶函数,由此可确定唯一零点为0x =,从而得到递推关系式;利用递推关系式可证得数列{}1n a +为等比数列,由等比数列通项公式可推导得到n a .【详解】()()()()()()4411cos 221cos 221n n n n f x x a x a x a x a f x ++-=-+--+=+-+= ,()f x ∴为偶函数,图象关于y 轴对称,()f x ∴的零点关于y 轴对称,又()f x 有唯一零点,()f x ∴的零点为0x =,即()()10210n n f a a +=-+=,121n n a a +∴=+,即()1121n n a a ++=+,又112a +=,∴数列{}1n a +是以2为首项,2为公比的等比数列,12n n a ∴+=,则21n n a =-.故选:C.【点睛】关键点点睛:本题考查函数与数列的综合应用问题;解题关键是能够根据奇偶性的性质确定函数的唯一零点为0x =,从而结合零点确定数列的递推关系式,由递推关系式证得数列{}1n a +为等比数列.7.B 【解析】【分析】由n S 有最大值可判断A ;由6139100a a a a +=+=,可得90a >,100a <,利用91018182+=a a S 可判断BC ;90a >,9100a a +<得90a >,991010a a a a =<-=,可判断D.【详解】对于选项A ,∵n S 有最大值,∴等差数列{}n a 一定有负数项,∴等差数列{}n a 为递减数列,故公差小于0,故选项A 正确;对于选项B ,∵6139100a a a a +=+=,且10a >,∴90a >,100a <,∴179=170S a >,910181802a a S +=⨯=,则使0n S >的最大的n 为17,故选项B 错误;对于选项C ,∵90a >,9100a a +<,∴90a >,100a <,故{}n S 中9S 最大,故选项C 正确;对于选项D ,∵90a >,9100a a +<,∴90a >,991010a a a a =<-=,故数列{}n a 中的最小项是第9项,故选项D 正确.故选:B.8.B 【解析】【分析】根据等比数列的知识求得,m n 的关系式,结合基本不等式求得122n m n+++的最小值.【详解】因为7652a a a =+,所以2q =或1q =-,又0n a >,所以2q =.14a =14a =,所以6m n +=,则()28m n ++=,()2121212112282m n n m n m n m n +++⎛⎫+=++=⋅++ ⎪+++⎝⎭()22121822m m n n m n m n +⎡⎤+=+++⎢⎥++⎣⎦()22113131828m n m n ⎛+⎛⎫ =+++≥++ ⎪ +⎝⎭⎝118+=,由()222m nm n+=+可得取等号时)2n m =+,但,m n *∈N ,无解;又6m n +=,经检验1m =且5n =时有最小值2615.故选:B 9.A 【解析】【分析】根据()2*1n n na S n N a +=∈求出1a 的值,判断数列{}2n S 是等差数列,求出n S 的通项公式,再求出n a ,然后逐个分析判断即可【详解】因为数列{}n a 的前n 项和为n S ,满足()2*12n n na S n N a +=∈,所以当1n =时,()211*112a S n N a +=∈,解得11a =或11a =-,当2n ≥时,()2111112n n n n n n n n n a S a S S a a S S --+==+=-+-,整理得2211n n S S --=,所以数列{}2nS 是以1为公差的等差数列,当11a =±时,21(1)n S n n =+-=,所以=n S 或n S=所以1-=-=n n n a S S 11a =满足此式,或1n n n a S S -=-=11a =-满足此式,所以2022a =或2022a =,所以CD 错误,当=n a20212022a a ⋅=1<,当n a =20212022a a ⋅=1<,所以A 正确,B 错误,故选:A 10.B 【解析】【分析】先利用累加法求得数列{}n a 的通项公式,再利用裂项相消法去求122015111a a a +++ 的值.【详解】由11a =,11n n a a a n +=++,可得11n n a a n +-=+则2n ≥时,()()11232211()()n n n n n a a a a a a a a a a ---=-+-++-+-+ ()1321(1)2nn n n =+-++++=+ 又11122a ==⨯,则数列{}n a 的通项公式为(1)2n n a n =+则()1211211n a n n n n ⎛⎫==- ⎪++⎝⎭则122015111a a a +++ 1111111201522112232015201620161008⎡⎤⎛⎫⎛⎫⎛⎫⎛⎫-+-++-=-= ⎪ ⎪ ⎪ ⎪⎢⎥⎝⎭⎝⎭⎝⎭⎝⎣=⎭⎦ 故选:B 11.D 【解析】【分析】分n 为奇数和n 为偶数两种情况讨论,再利用分组求和法及等差数列前n 项和的公式,即可得出答案.【详解】解:当n 为奇数时,20n n a a +-=,所以数列{}n a 的奇数项是以0为公差的等差数列,当n 为偶数时,22n n a a +-=,所以数列{}n a 的偶数项是以2为公差的等差数列,所以2,,n n a n n ⎧=⎨⎩为奇数为偶数,所以()()10050210025024610010026502S +=⨯+++++=+=L .故选:D.12.C 【解析】【分析】由条件可得玲珑塔的灯盏数从首层到顶层为等比数列,由条件列方程求玲珑塔的顶层灯的盏数.【详解】由题意可得玲珑塔的灯盏数从首层到顶层为等比数列,设其首层为1a ,公比q ,顶层为n a ,前n 项和为n S 由已知可得13a =,2q =,381n S =,由等比数列的前n 项和公式可得132********n nn a a q a a q --==-=--,所以192n a =.故玲珑塔的顶层灯的盏数为192,故选:C.13.C 【解析】【分析】对AB ,举公比为负数的反例判断即可对CD ,设等比数列{}n a 公比为q ,分0q >和0q <两种情况讨论,再得出结论即可【详解】对AB ,当公比为12-时,2311,,2a a =-=此时12332,1,2S S S ===,此时{}n S 既不是递增也不是递减数列;对CD ,设等比数列{}n a 公比为q ,当0q >时,因为22a <,故22q <,故01q <<,此时()2122111n nn q q S qq q-==----,易得n S 随n 的增大而增大,故{}n S 存在最小项1S ,不存在最大项;当0q <时,因为22a <,故22q -<,故10q -<<,2211nn q S q q =---,因为1q <,故当n 为偶数时,2211nn q S q q =---,随着n 的增大而增大,此时222111nn q S q q q =-<---无最大值,当2n =时有最小值222S q =+;当n 为奇数时,2211nn q S q q=+--,随着n 的增大而减小,故222111nn q S q q q=+>---无最小值,有最大值12S =.综上,当0q <时,因为22221q q +<<-,故当2n =时有最小值222S q =+,当1n =时有最大值12S =综上所述,数列{}n S 存在最小项,不一定有最大项,故C 正确;D 错误故选:C 14.A 【解析】【分析】先求出公差,再由等差数列求和公式求解即可.【详解】设公差为d ,则312d =-=,则1010910121002S ⨯=⨯+=.故选:A.15.D 【解析】【分析】由等差数列求和公式求出35a =,由等比数列通项公式基本量计算得到公比,进而求出6714b b q ==,从而求出结果.【详解】由题意得:()155355252a a S a +===,解得:35a =,设等比数列{}n b 的公比是q ,因为1132,8b b ==,所以1228q =,解得:124q =,显然60q >,所以62q =,所以6714b b q ==,所以3754a b =故选:D 16.D 【解析】【分析】利用“1n =时,11a S =;当2n时,1n n n a S S -=-”即可得到n a ,进而得到数列2{}n a 是等比数列,求出公比和首项,再利用等比数列的前n 项和公式即可得出.【详解】设等比数列{}n a 的公比为q ,1221n n n S a a a =++⋯+=- ,∴当2n 时,1112121n n n S a a a ---=++⋯+=-,111222n n n n n n a S S ---∴=-=-=.∴2122221(2)4(2)n n n n a a ---==,当1n =时,11211a =-=,21221a a +=-,解得22a =,22214a a =.也符合2214n n a a -=,∴数列2{}n a 是等比数列,首项为1,公比为4.∴22212411(41)413n n na a a -++⋯+==--.故选:D 17.C 【解析】【分析】设等比数列{}n a 的公比为(0)q q >,根据题意得到2673339q a a qa +=+,结合基本不等式,即可求解.【详解】设等比数列{}n a 的公比为(0)q q >,因为23784581a a a a a ==,所以53a =,又因为235553326739,a a a a a q a q q q q===⋅=,所以3267339q a a q a +=+≥=当且仅当3339q q =时,即613q =时,等号成立,所以267a a a +的最小值为.故选:C.18.C 【解析】【分析】利用已知等式可求得等差数列的公差d 和首项1a ,由等差数列求和公式可求得结果.【详解】设等差数列{}n a 公差为d ,13512a a a ++= ,10111224a a a ++=,()1011121352412a a a a a a d ∴++-++==,解得:12d =,135********a a a a d a ∴++=+=+=,解得:13a =,{}n a ∴的前13项的和为11312131213397824a d ⨯⨯+=+=.故选:C.19.C 【解析】【分析】设{}n a n -的公比为q ,根据1a 和2a 求出q ,从而得n a 和4a ,再根据()n a Ω的定义可求出结果.【详解】设{}n a n -的公比为q ,则2121123141a q a --===--,所以111(1)(41)33n n n n a n a q---=-⋅=-⋅=,则3n n a n =+,所以445438a =+=.所以落在区间[]4,85内的偶数共有41个,故()441a Ω=.故选:C 20.A 【解析】【分析】根据规律可得数列通项,再求其中的项即可.【详解】通过观察可知该数列的通项公式为()1112n n n a +--=,所以()11109112512a -==-.故选:A 21.A 【解析】【分析】利用裂项相消法求和即可;【详解】解:由题可知,第2行的前100项和10011111261210012010S +++++⨯= 1111111100122334100101101=-+-+-++-= .故选:A 22.B 【解析】【分析】根据三点共线可得120201a a +=,结合等差数列的前n 项和公式求解.∵,,A B C 三点共线且12020OA a OB a OC =+,则120201a a +=∴()120202020202010102a a S +==故选:B .23.C 【解析】【分析】根据规律求得正确答案.【详解】根据规律可知,第四个点阵表示的三角形数为:123410+++=.故选:C 24.C 【解析】【分析】根据规律可得结果.【详解】将1111,,,25811可以写成1111,,,311321331341⨯-⨯-⨯-⨯-,所以{}n a 的通项公式为131n -;故选:C 25.B 【解析】【分析】由数列的前几项可得数列的一个通项公式,再代入计算可得;【详解】解:依题意可得该数列的通项公式可以为()()1121n n a n +=-⋅-,所以1019a =-.故选:B 26.D 【解析】根据等差数列的下标和性质即可解出.【详解】因为4710771110222a a a a a +=+=+,解得:74a =,所以311728a a a +==.故选:D .27.B 【解析】【分析】根据等差数列的性质直接计算即可.【详解】由等差数列的性质可知:51444212a a d =+=+⨯=;故选:B.28.BD 【解析】【分析】连AC 交BD 于E ,根据面积关系推出2AE EC =,根据平面向量知识推出BE = 1233BA BC +,结合()()1122n n n n BD a BA a BC --=-++ ,推出1122(2)n n n n a a --+=-,11222nn n n a a ---=-,求出232nn a n =-+,(23)2n n a n =-+⋅,根据等比数列的定义可判断A ;根据等差数列的定义可判断C ,根据数列的单调性可判断B ;利用错位相减法求出n S ,可判断D.【详解】如图,连AC 交BD 于E ,则1sin 21sin 2ABD BD AE AEB S S BD EC CED ⋅⋅=⋅⋅△△BCD ÐÐ=2AEEC=,即2AE EC =,所以2AE EC =,所以()2BE BA BC BE -=- ,所以BE = 1233BA BC +,设BD tBE =(1)t >,因为当2n ≥时,恒有()()1122n nn n BD a BA a BC --=-++ ,所以()()111122n nn n BE a BA a BC t t--=-++ ,()()1111231223n n n na t a t--⎧-=⎪⎪⎨⎪+=⎪⎩,所以当2n ≥时,恒有1122(2)n n n n a a --+=-,所以11222n n n n a a --=-,即11222n n n n a a ---=-,又12a =,所以112a =,所以12(1)232nn a n n =--=-+,所以(23)2n n a n =-+⋅,因为11(21)242(23)223n n n n a n n a n n ++-+⋅-+==-+⋅-+不是常数,所以{}n a 不为等比数列,故A 不正确;因为11(21)(23)2022n n n n a a n n ++-=-+--+=-<,即1122n n n n a a ++<,所以2n n a ⎧⎫⎨⎬⎩⎭为递减数列,故B 正确;因为1n n a a +-=1(21)2(23)2n n n n +-+⋅--+⋅=(21)2n n --⋅不是常数,所以{}n a 不为等差数列,故C 不正确;因为12312(1)2(3)2(23)2nn S n =⨯+-⋅+-⋅++-+⋅ ,所以2341212(1)2(3)2(23)2n n S n +=⨯+-⋅+-⋅++-+⋅ ,所以12341122(2222)(23)2n n n S n +-=⨯-++++--+⋅ ,所以114(12)22(23)212n n n S n -+--=-⨯--+⋅-110(52)2n n +=--⋅,所以1(52)210n n S n +=-⋅-,故D 正确.故选:BD 29.BCD【解析】【分析】由题知121n n a a +=+,进而得数列{1}n a +是首项为2,公比为2的等比数列,再结合通项公式和裂项求和求解即可.【详解】由121n n n S S a +=++得1121n n n n a S S a ++=-=+,即121n n a a +=+所以112(1)n n a a ++=+,由111S a ==,所以数列{1}n a +是首项为2,公比为2的等比数列,故A 错误,B 正确;所以12nn a +=,即21n n a =-,故C 正确;又1112211(21)(21)2121n n n n n n n n a a +++==-----,所以22311111111111212*********n n n n T ++=-+-+⋯+-=-<------,故D 正确.故选:BCD 30.AD 【解析】【分析】对AB ,根据通项n a 与n S 的关系可得100a <,110a >即可判断;对CD ,根据等差数列前n 项和的公式,结合等差数列的性质判断即可【详解】因为109S S <,1011S S <,所以109100S S a -=<,1110110a S S =>-,故等差数列首项为负,公差为正,所以0d >,10a <,故A 正确,B 错误;由911S S <,可知11910110S S a a -=+>,所以()()20120101110100S a a a a =+=+>,故C 错误;因为110a >,所以2111210S a =>,故D 正确.故选:AD 31.BCD 【解析】【分析】设等差数列{}n a 的公差为d ,再根据n S 与n a 的公式可得d ,进而求得n S 与n a 的通项公式,再逐个判定即可【详解】设等差数列{}n a 的公差为d ,则11224614a d a d +=⎧⎨+=⎩,解得183a d =⎧⎨=-⎩,故311n a n =-+,()()311819232n n n S n n ==-+-.故{}n a 是递减数列,A 错误;18a =,B 正确;()535191250S -⨯==,235210a a =⨯=,故C 正确;()1932n n n S =-,当1,2,3...6n =时,()1932n n n S -=,因为函数()193y x x =-的对称轴为196x =,开口向下,故当6n =时,n S 取得最小值()66193632S -⨯==;当7,8,9...n =时,()3192n n n S -=,函数()319y x x =-的对称轴为196x =,开口向上,故当7n =时,nS 取得最小值()77371972S ⨯-==,综上有n S 的最小值为3,故D 正确;故选:BCD 32.AD 【解析】【分析】由递推公式可得数列为周期数列,即得答案.【详解】解:因为13a =,()1*11N n na n a +=∈-,所以23412,,323a a a =-==,所以数列{}n a 是周期为3的数列,所以132(N )n a a n *-=∈,故122283a a a ===.故选:AD.33.AD 【解析】【分析】根据等差数列和等比数列的定义逐一判断可得选项.【详解】。
小学数学数列练习题1. 题目一:找规律已知数列 2, 4, 8, 16, 32, ...请计算数列的第十项与第十五项,并写出其规律。
解答:根据观察,数列中的每一项都是前一项乘以2得到的。
可以得出数列的通项公式为:an = 2^n,其中n为项数。
根据公式,数列的第十项为a10 = 2^10 = 1024。
数列的第十五项为a15 = 2^15 = 32768。
因此,数列的规律是每一项都是前一项乘以2。
2. 题目二:求和已知数列 3, 6, 9, 12, 15, ...请计算数列的前十项的和,并写出计算过程。
解答:根据观察,数列中的每一项都是前一项加上3得到的。
可以得出数列的通项公式为:an = 3n,其中n为项数。
我们需要计算数列的前十项的和,即S10 = a1 + a2 + a3 + ... + a10。
根据通项公式,数列的第一项为a1 = 3。
数列的第二项为a2 = 3 * 2 = 6。
数列的第三项为a3 = 3 * 3 = 9。
以此类推,数列的第十项为a10 = 3 * 10 = 30。
将各项相加得到数列的前十项的和:S10 = 3 + 6 + 9 + 12 + 15 + 18 + 21 + 24 + 27 + 30 = 165。
因此,数列的前十项的和为165。
3. 题目三:递推数列的前六项依次为1, 1, 2, 3, 5, 8。
请写出数列的通项公式,并计算数列的第十项。
解答:根据观察,数列中的每一项都是前两项之和得到的。
可以得出数列的通项公式为:an = an-1 + an-2,其中n≥3。
我们需要计算数列的第十项,即a10。
根据通项公式和已知条件,可以不断递推得到:a3 = a2 + a1 = 1 + 1 = 2a4 = a3 + a2 = 2 + 1 = 3a5 = a4 + a3 = 3 + 2 = 5a6 = a5 + a4 = 5 + 3 = 8a7 = a6 + a5 = 8 + 5 = 13a8 = a7 + a6 = 13 + 8 = 21a9 = a8 + a7 = 21 + 13 = 34a10 = a9 + a8 = 34 + 21 = 55因此,数列的第十项为55。
1.设等差数列{a n}的前n项和为S n,且S4=4S2,a2n=2a n+1.(1)求数列{a n}的通项公式;(2)设数列{b n}的前n项和为T n且(λ为常数).令c n=b2n(n∈N*)求数列{c n}的前n项和R n.【解答】解:(1)设等差数列{a n}的首项为a1,公差为d,由a2n=2a n+1,取n=1,得a2=2a1+1,即a1﹣d+1=0①再由S4=4S2,得,即d=2a1②联立①、②得a1=1,d=2.所以a n=a1+(n﹣1)d=1+2(n﹣1)=2n﹣1;(2)把a n=2n﹣1代入,得,则.所以b1=T1=λ﹣1,当n≥2时,=.所以,.R n=c1+c2+…+c n=③④③﹣④得:=所以;所以数列{c n}的前n项和.2.等差数列{a n}中,a2=4,a4+a7=15.(Ⅰ)求数列{a n}的通项公式;(Ⅱ)设b n=2+n,求b1+b2+b3+…+b10的值.【解答】解:(Ⅰ)设公差为d,则,解得,所以a n=3+(n﹣1)=n+2;(Ⅱ)b n=2+n=2n+n,所以b1+b2+b3+…+b10=(2+1)+(22+2)+…+(210+10)=(2+22+...+210)+(1+2+ (10)=+=2101.3.已知数列{log2(a n﹣1)}(n∈N*)为等差数列,且a1=3,a3=9.(Ⅰ)求数列{a n}的通项公式;(Ⅱ)证明++…+<1.【解答】(I)解:设等差数列{log2(a n﹣1)}的公差为d.由a1=3,a3=9得2(log22+d)=log22+log28,即d=1.所以log2(a n﹣1)=1+(n﹣1)×1=n,即a n=2n+1.(II)证明:因为==,所以++…+=+++…+==1﹣<1,即得证.4.已知{a n}是正数组成的数列,a1=1,且点(,a n+1)(n∈N*)在函数y=x2+1的图象上.(Ⅰ)求数列{a n}的通项公式;(Ⅱ)若列数{b n}满足b1=1,b n+1=b n+2an,求证:b n•b n+2<b n+12.【解答】解:解法一:(Ⅰ)由已知得a n+1=a n+1、即a n+1﹣a n=1,又a1=1,所以数列{a n}是以1为首项,公差为1的等差数列.故a n=1+(n﹣1)×1=n.(Ⅱ)由(Ⅰ)知:a n=n从而b n+1﹣b n=2n.b n=(b n﹣b n﹣1)+(b n﹣1﹣b n﹣2)+…+(b2﹣b1)+b1=2n﹣1+2n﹣2+…+2+1=∵b n•b n+2﹣b n+12=(2n﹣1)(2n+2﹣1)﹣(2n+1﹣1)2=(22n+2﹣2n﹣2n+2+1)﹣(22n+2﹣2•2n+1+1)=﹣2n<0∴b n•b n+2<b n+12解法二:(Ⅰ)同解法一.(Ⅱ)∵b2=1b n•b n+2﹣b n+12=(b n+1﹣2n)(b n+1+2n+1)﹣b n+12=2n+1•bn+1﹣2n•bn+1﹣2n•2n+1=2n(b n+1﹣2n+1)=2n(b n+2n﹣2n+1)=2n(b n﹣2n)=…=2n(b1﹣2)=﹣2n<0∴b n•b n+2<b n+125.已知等差数列{a n}满足a1+a2=10,a4﹣a3=2(1)求{a n}的通项公式;(2)设等比数列{b n}满足b2=a3,b3=a7,问:b6与数列{a n}的第几项相等?【解答】解:(I)设等差数列{a n}的公差为d.∵a4﹣a3=2,所以d=2∵a1+a2=10,所以2a1+d=10∴a1=4,∴a n=4+2(n﹣1)=2n+2(n=1,2,…)(II)设等比数列{b n}的公比为q,∵b2=a3=8,b3=a7=16,∴∴q=2,b1=4∴=128,而128=2n+2∴n=63∴b6与数列{a n}中的第63项相等6.设等差数列{a n}的前n项和为S n,且a5+a13=34,S3=9.(1)求数列{a n}的通项公式及前n项和公式;(2)设数列{b n}的通项公式为,问:是否存在正整数t,使得b1,b2,b m(m≥3,m∈N)成等差数列?若存在,求出t和m的值;若不存在,请说明理由.【解答】解:(1)设等差数列{a n}的公差为d.由已知得即解得.故a n=2n﹣1,S n=n2(2)由(1)知.要使b1,b2,b m成等差数列,必须2b2=b1+b m,即,(8分).移项得:=﹣=,整理得,因为m,t为正整数,所以t只能取2,3,5.当t=2时,m=7;当t=3时,m=5;当t=5时,m=4.故存在正整数t,使得b1,b2,b m成等差数列.7.设{a n}是等差数列,b n=()an.已知b1+b2+b3=,b1b2b3=.求等差数列的通项a n.【解答】解:设等差数列{a n}的公差为d,则a n=a1+(n﹣1)d.∴b1b3=•==b22.由b1b2b3=,得b23=,解得b2=.代入已知条件整理得解这个方程组得b1=2,b3=或b1=,b3=2∴a1=﹣1,d=2或a1=3,d=﹣2.所以,当a1=﹣1,d=2时a n=a1+(n﹣1)d=2n﹣3.当a1=3,d=﹣2时a n=a1+(n﹣1)d=5﹣2n.8.已知等差数列{a n}的公差大于0,且a3,a5是方程x2﹣14x+45=0的两根,数列{b n}的前n项的和为S n,且S n=1﹣(1)求数列{a n},{b n}的通项公式;(2)记c n=a n b n,求证c n+1≤c n.【解答】解:(1)∵a3,a5是方程x2﹣14x+45=0的两根,且数列{a n}的公差d>0,∴a3=5,a5=9,公差∴a n=a5+(n﹣5)d=2n﹣1.又当n=1时,有b1=S1=1﹣当∴数列{b n}是等比数列,∴(2)由(Ⅰ)知,∴∴c n+1≤c n.9.已知等差数列{a n}的前n项和为S n,S5=35,a5和a7的等差中项为13.(Ⅰ)求a n及S n;(Ⅱ)令(n∈N﹡),求数列{b n}的前n项和T n.【解答】解:(Ⅰ)设等差数列{a n}的公差为d,因为S5=5a3=35,a5+a7=26,所以,…(2分)解得a1=3,d=2,…(4分)所以a n=3+2(n﹣1)=2n+1;S n=3n+×2=n2+2n.…(6分)(Ⅱ)由(Ⅰ)知a n=2n+1,所以b n==…(8分)=,…(10分)所以T n=.…(12分)10.已知等差数列{a n}是递增数列,且满足a4•a7=15,a3+a8=8.(Ⅰ)求数列{a n}的通项公式;(Ⅱ)令b n=(n≥2),b1=,求数列{b n}的前n项和S n.【解答】解:(1)根据题意:a3+a8=8=a4+a7,a4•a7=15,知:a4,a7是方程x2﹣8x+15=0的两根,且a4<a7解得a4=3,a7=5,设数列{a n}的公差为d由.故等差数列{a n}的通项公式为:(2)=又∴=11.设f(x)=x3,等差数列{a n}中a3=7,a1+a2+a3=12,记S n=,令b n=a n S n,数列的前n项和为T n.(Ⅰ)求{a n}的通项公式和S n;(Ⅱ)求证:;(Ⅲ)是否存在正整数m,n,且1<m<n,使得T1,T m,T n成等比数列?若存在,求出m,n的值,若不存在,说明理由.【解答】解:(Ⅰ)设数列{a n}的公差为d,由a3=a1+2d=7,a1+a2+a3=3a1+3d=12.解得a1=1,d=3∴a n=3n﹣2∵f(x)=x3∴S n==a n+1=3n+1.(Ⅱ)b n=a n S n=(3n﹣2)(3n+1)∴∴(Ⅲ)由(2)知,∴,∵T1,T m,T n成等比数列.∴即当m=1时,7=,n=1,不合题意;当m=2时,=,n=16,符合题意;当m=3时,=,n无正整数解;当m=4时,=,n无正整数解;当m=5时,=,n无正整数解;当m=6时,=,n无正整数解;当m≥7时,m2﹣6m﹣1=(m﹣3)2﹣10>0,则,而,所以,此时不存在正整数m,n,且1<m<n,使得T1,T m,T n成等比数列.综上,存在正整数m=2,n=16,且1<m<n,使得T1,T m,T n成等比数列.12.已知等差数列{a n}的前n项和为S n=pn2﹣2n+q(p,q∈R),n∈N+.(Ⅰ)求的q值;(Ⅱ)若a1与a5的等差中项为18,b n满足a n=2log2b n,求数列{b n}的前n和T n.【解答】解:(Ⅰ)当n=1时,a1=S1=p﹣2+q当n≥2时,a n=S n﹣S n﹣1=pn2﹣2n+q﹣p(n﹣1)2+2(n﹣1)﹣q=2pn﹣p﹣2∵{a n}是等差数列,a1符合n≥2时,a n的形式,∴p﹣2+q=2p﹣p﹣2,∴q=0(Ⅱ)∵,由题意得a3=18又a3=6p﹣p﹣2,∴6p﹣p﹣2=18,解得p=4∴a n=8n﹣6由a n=2log2b n,得b n=24n﹣3.∴,即{b n}是首项为2,公比为16的等比数列∴数列{b n}的前n项和.13.已知等差数列{a n}的前n项和为S n,且满足:a2+a4=14,S7=70.(Ⅰ)求数列a n的通项公式;(Ⅱ)设b n=,数列b n的最小项是第几项,并求出该项的值.【解答】解:(I)设公差为d,则有…(2分)解得以a n=3n﹣2.…(4分)(II)…(6分)所以=﹣1…(10分)当且仅当,即n=4时取等号,故数列{b n}的最小项是第4项,该项的值为23.…(12分)14.己知各项均为正数的数列{a n}满足a n+12﹣a n+1a n﹣2a n2=0(n∈N*),且a3+2是a2,a4的等差中项.(1)求数列{a n}的通项公式a n;(2)若b n=a n a n,S n=b1+b2+…+b n,求S n+n•2n+1>50成立的正整数n的最小值.【解答】解:(Ⅰ)∵a n+12﹣a n+1a n﹣2a n2=0,∴(a n+1+a n)(a n+1﹣2a n)=0,∵数列{a n}的各项均为正数,∴a n+1+a n>0,∴a n+1﹣2a n=0,即a n+1=2a n,所以数列{a n}是以2为公比的等比数列.∵a3+2是a2,a4的等差中项,∴a2+a4=2a3+4,∴2a1+8a1=8a1+4,∴a1=2,∴数列{a n}的通项公式a n=2n.(Ⅱ)由(Ⅰ)及b n=得,b n=﹣n•2n,∵S n=b1+b2++b n,∴S n=﹣2﹣2•22﹣3•23﹣4•24﹣﹣n•2n①∴2S n=﹣22﹣2•23﹣3•24﹣4•25﹣﹣(n﹣1)•2n﹣n•2n+1②①﹣②得,S n=2+22+23+24+25++2n﹣n•2n+1=,要使S n+n•2n+1>50成立,只需2n+1﹣2>50成立,即2n+1>52,∴使S n+n•2n+1>50成立的正整数n的最小值为5.15.设数列{a n}的前n项和为S n,且a1=1,a n+1=2S n+1,数列{b n}满足a1=b1,点P(b n,b n+1)在直线x﹣y+2=0上,n∈N*.(Ⅰ)求数列{a n},{b n}的通项公式;(Ⅱ)设,求数列{c n}的前n项和T n.【解答】解:(Ⅰ)由a n+1=2S n+1可得a n=2S n﹣1+1(n≥2),两式相减得a n+1﹣a n=2a n,a n+1=3a n(n≥2).又a2=2S1+1=3,所以a2=3a1.故{a n}是首项为1,公比为3的等比数列.所以a n=3n﹣1.由点P(b n,b n+1)在直线x﹣y+2=0上,所以b n+1﹣b n=2.则数列{b n}是首项为1,公差为2的等差数列.则b n=1+(n﹣1)•2=2n﹣1(Ⅱ)因为,所以.则,两式相减得:.所以=.。
数列测试题及答案解析一、单项选择题(每题3分,共30分)1. 数列{an}是等差数列,且a1=2,公差d=3,则a5的值为:A. 11B. 14C. 17D. 20答案:B2. 下列数列中,不是等比数列的是:A. 1, 2, 4, 8, ...B. 2, 4, 8, 16, ...C. 1, 1/2, 1/4, 1/8, ...D. 3, 6, 12, 24, ...答案:D3. 数列{bn}的通项公式为bn=2n-1,该数列的前n项和Sn为:A. n^2B. n^2 - 1C. 2^(n+1) - 1D. 2^(n+1) - 2答案:C4. 等差数列{an}中,若a2+a4=10,则a3的值为:A. 2B. 3C. 4D. 5答案:C5. 数列{cn}的前n项和为Tn,若Tn=n^2+n,则c1+c2+c3+...+c10的值为:A. 100B. 110C. 120D. 130答案:B6. 数列{dn}的前n项和为Sn,若Sn=n^2-n,则dn的通项公式为:A. 2n-1B. 2nC. n-1D. n答案:C7. 数列{en}中,e1=1,e2=2,且对于任意的n∈N*,有en+1/en=n+1,则e3的值为:A. 3B. 4C. 5D. 6答案:A8. 数列{fn}是等比数列,且f1=1,f3=8,则f2的值为:A. 2B. 4C. 8D. 16答案:B9. 数列{gn}中,g1=1,g2=3,且对于任意的n∈N*,有gn+1=2gn+1,则g3的值为:A. 7B. 9C. 11D. 13答案:A10. 数列{hn}的前n项和为Tn,若Tn=2^n-1,则hn的通项公式为:A. 2^(n-1)B. 2^nC. 2^(n-1) - 1D. 2^n - 1答案:A二、填空题(每题4分,共20分)11. 等差数列{an}中,若a1=3,d=2,则a10=________。
答案:1512. 数列{bn}的前n项和为Tn,若Tn=n^2+2n,则bn的通项公式为bn=________。
欢迎阅读《数列》练习题姓名_________班级___________一、选择题(本大题共10个小题,每小题4分,共40分,在每小题给出的四个选项中,只有一项是符合题目要求的)1.等差数列-2,0,2,…的第15项为( ) A .11 2 B .12 2 C .13 2 D .14 22.若在数列{a n }中,a 1=1,a n +1=a 2n -1(n ∈N *),则a 1+a 2+a 3+a 4+a 5=( ) A .-1 B .1 C .0 D .23.某种细胞开始有2个,1小时后分裂成4个并死去1个,2小时后分裂成6个并死去1个,3小时后分裂成10个并死去1个,…,按此规律进行下去,6小时后细胞存活的个数是( )A .33个B .65个C .66个D .129个4.设S n 为等差数列{a n }的前n 项和,若S 8=30,S 4=7,则a 4的值等于( ) A.14 B.94 C.134 D.1745.设f (x )是定义在R 上的恒不为零的函数,且对任意的实数x 、y ∈R ,都有f (x )·f (y )=f (x +y ),若a 1=12,a n =f (n )(n ∈N *),则数列{a n }的前n 项和S n 的取值范围为( )A .[12,2)B .[12,2]C .[12,1)D .[12,1]6.小正方形按照如图所示的规律排列:每个图中的小正方形的个数构成一个数列{a n },有以下结论:①a 5=15;②数列{a n }是一个等差数列;③数列{a n }是一个等比数列;④数列的递推公式为:a n +1=a n +n +1(n ∈N *).其中正确的命题序号为( )A .①②B .①③C .①④D .①7.已知数列{a n }满足a 1=0,a n +1=a n -33a n +1(n ∈N *),则a 20=( )A .0B .- 3 C. 3D.328.数列{a n }满足递推公式a n =3a n -1+3n -1(n ≥2),又a 1=5,则使得{a n +λ3n}为等差数列的实数λ=( )A .2B .5C .-12D.129.在等差数列{a n }中,a 10<0,a 11>0,且a 11>|a 10|,则{a n }的前n 项和S n 中最大的负数为( )A.S17 B.S18 C.S19D.S2010.将数列{3n-1}按“第n组有n个数”的规则分组如下:(1),(3,9),(27,81,243),…,则第100组中的第一个数是( )A.34 950 B.35 000 C.35 010D.35 050二、填空题(本大题共4个小题,每小题5分,共20分,把正确答案填在题中横线上)11.设等差数列{a n}的前n项和为S n,若S9=72,则a2+a4+a9=________.12.设数列{a n}中,a1=2,a n+1=a n+n+1,则通项a n=________..)100项2,0,n2n1232n-1<3.18.(本小题满分8分)已知数列{a n}的前n项和为S n,且a n+S n=1(n∈N*).(1)求数列{a n}的通项公式;(2)若数列{b n}满足b n=3+log4a n,设T n=|b1|+|b2|+…+|b n|,求T n.19.(本小题满分10分)已知单调递增的等比数列{a n}满足a2+a3+a4=28,且a3+2是a2,a4的等差中项.(1)求数列{a n}的通项公式;(2)若b n =n n a log a 21,S n =b 1+b 2+…+b n ,对任意正整数n ,S n +(n +m )a n +1<0恒成立,试求m 的取值范围.参考答案选择题答案题号 12345678910答案C A B C C C B C C A填空题答案第11题 24第12题第13题 a n =2·3n第14题-7【第15题】S 5=5?a 1+a 5?2=5?a 1+5?2=15,∴a 1=1. ∴d =a 5-a 15-1=5-15-1=1.∴a n =1+(n -1)×1=n . ∴1a n a n +1=1n ?n +1?.设{1a n a n +1}的前n 项和为T n ,则T 100=11×2+12×3+…+1100×101 =1-12+12-13+…+1100-1101 =1-1101=100101. 【第16题】(1)设{a n }的公差为d .由题意,a 211=a 1a 13,即(a 1+10d )2=a 1(a 1+12d ).于是d (2a 1+25d )=0.又a 1=25,所以d =0(舍去),d =-2. 故a n =-2n +27.(2)令S n =a 1+a 4+a 7+…+a 3n -2.由(1)知a 3n -2=-6n +31,故{a 3n -2}是首项为25,公差为-6的等差数列. 从而S n =n 2(a 1+a 3n -2)=n2(-6n +56)=-3n 2+28n .【第17题】(1)∵{a n }是递减的等比数列, ∴数列{a n }的公比q 是正数. 又∵{a 1,a 2,a 3}{-4,-3,-2,0,1,2,3,4},∴a 1=4,a 2=2,a 3=1.∴q =a 2a 1=24=12.∴a n =a 1q n -1=82n .(2)由已知得b n =12])1(1[8+--n n ,当n =2k (k ∈N *)时,b n =0,当n =2k -1(k ∈N *)时,b n =a n . 即b n =⎩⎨⎧0,?n =2k ,k ∈N *?,a n ,?n =2k -1,k ∈N *?.∴b 1+b 2+b 3+…+b 2n -2+b 2n -1T n T n n ⎪⎩≥+-)7(,460112n n n 【第19题】(1)n n 2a =(2)∵b n =2n ·log 12 2n =-n ·2n ,∴-S n =1×2+2×22+3×23+…+n ×2n ,① -2S n =1×22+2×23+3×24+…+(n -1)×2n +n ×2n +1.②①-②,得S n =2+22+23+…+2n -n ·2n +1=21)21(2--n -n ·2n +1=2n +1-n ·2n +1-2.∵S n +(n +m )a n +1<0,∴2n +1-n ·2n +1-2+n ·2n +1+m ·2n +1<0对任意正整数n 恒成立. ∴m ·2n +1<2-2n +1对任意正整数n 恒成立,即m <12n -1恒成立.∵12n -1>-1,∴m ≤-1,即m 的取值范围是(-∞,-1].。
数列练习1.已知等差数列{}n a 满足:33,13133==a a ,则数列{}n a 的公差为A .1B .2C .3D .42.在等差数列{}n a 中,已知9,352==a a ,则数列{}n a 的公差d 为( )A.1B.1-C.2D.2-3.已知{}n a 为等差数列,且7a -24a =-1, 3a =0,则公差d =( )(A )-2 (B )-12 (C )12 (D )24.在数列{}n a 中,1a =1,12n n a a +-=,则51a 的值为( )A.99B.49C.102D. 1015.已知数列{}n a 中,21=a ,*11()2n n a a n N +=+∈,则101a 的值为A .50B .51C .52D .536.在等差数列{}n a 中,若134=a ,257=a ,则公差d 等于( )A .1B .2C .3D .47.等差数列{}n a 中,a 1=1,d=3,a n =298,则n 的值等于( ).A .98B . 100C .99D .1018.在等差数列{}n a 中,若252,5a a ==,则数列{}n a 的通项公式为 ( )A .n a n =B .2n a n =C .1n a n =-D .21n a n =-9.在等差数列{n a }中,9122a a =+6,则5a =( )A 、6B 、8C 、10D 、310.等差数列{a n }的前n 项和为S n ,若a 1=2,S 3=12,则a 6等于( )A .8B .10C .12D .1411.等差数列{}n a 中,19,793==a a ,则5a 为( )A .13B .12C .11D .1012.设n S 是等差数列{}n a 的前n 项和,且124,,S S S 成等比数列,则21a a 等于()A .1B .1或2C .1或3D .313.等差数列{}n a 的前n 项和为n S ,若231,3,a a ==则4S =( )A .12B .10C .8D .614.已知{}n a 为等差数列,n S 为其前n 项和.若19418,7a a a +==,则10S =() A .55 B .81 C .90 D .10015.设等差数列{}n a 的前n 项和为n S ,若94=a ,116=a ,则9S 等于A.10B.72C.90D.8016.在等差数列{}n a 中,已知4816a a +=,则该数列前11项和11S 等于( )(A )58 (B )88 (C )143 (D )17617.在等差数列{a n }中,a 1+a 9=10,则a 5的值为( ).A .5B .6C .8D .1018.已知{}n a 是等比数列,21,441==a a ,则公比q =( ) A 、21- B 、2- C 、2 D 、21 19.已知等差数列{a n }的公差d≠0,若a 5、a 9、a 15成等比数列,那么它的公比为A .43 B .32 C .23 D .34 20.已知{}n a 是等比数列,41252==a a ,,则公比q =( ) A .21- B .2- C .2 D .21 21.已知数列{}n a 是公比为2的等比数列,若416a =,则1a = ( )A .1B .2C .3D .422.正项等比数列{}n a 的公比为2,若21016a a =,则9a 的值是A.8B.16C.32D.6423.等比数列}{n a 中,如果585,25a a ==则2a 等于( )C.5D.124.在等比数列}{n a 中, ,8,1641=-=a a 则=7a ( )A.4-B.4± C .2- D .2±25.已知等比数列{}n a 中,74=a ,216=a ,则8a 的值 ( )A.35B.63C.321D. 321±26.在等比数列{}n a 中,若35-=a ,则=⋅82a a ( )A .-3B . 3C .-9D .927.在等比数列{}n a 中,若2n n a =,则7a 与9a 的等比中项为( )A .8aB .8a -C .8a ±D .前3个选项都不对28.若等比数列{}n a 满足153a a a =,则3a =( )(A )1 (B )1- (C )0或1 (D )1-或129.已知等比数列{}n a 的前n 项和为S n ,且132455,,24n n S a a a a a +=+=则 ( ) A .4n -1 B .4n-1 C .2n -1 D .2n-130.已知等比数列{}n a 中,各项都是正数,且2,3,1221a a a ,成等差数列,则87109a a a a ++=( )A.1.1.3+ D.3-31.如果-1,a ,b ,c ,-9成等比数列,那么( )A .b =3,ac =9B .b =-3,ac =9C .b =3,ac =-9D .b =-3,ac =-932.若1,a ,4成等比数列,3,b ,5成等差数列,则的值是( )A .B .C .±2 D.33.已知等比数列{}n a 中,若1324,,2a a a 成等差数列,则公比q =()A .1B .1或2C .2或-1D .-1参考答案1.B【解析】试题分析:由等差数列的求公差的变通公式知:n m a a d n m-=-,所以13333132133133a a d --===--,选B 考点:等差数列的公差公式2.C【解析】 试题分析:5293233a a d --===.故C 正确. 考点:等差数列的通项公式.3.B【解析】a 7-2a 4=a 3+4d -2(a 3+d )=2d =-1 ⇒ d =-12 4.D.【解析】试题分析:∵11=a ,21=-+n n a a ,∴数列}{n a 是以1为首项,2为公差的等差数列,∴10150151=+=d a a .考点:等差数列的通项公式.5.C【解析】试题分析:21,211=-=+n n a a a {}n a ∴是等差数列,公差为21,52)1101(212101=-⨯+=∴a . 考点:等差数列6.D【解析】试题分析:依题意有11313625a d a d +=⎧⎨+=⎩,解得114a d =⎧⎨=⎩,故选D.考点:等差数列的通项公式.7.B【解析】试题分析:根据等差数列通项公式有29823)1(31)1(1=-=-+=-+=n n d n a a n ,解得100=n .考点:等差数列通项公式.8.A【解析】试题分析:公差5252133a a d --===,所以2(2)2(2)n a a n d n n =+-=+-=。
数列练习题及答案一、选择题1. 已知数列{an}的前n项和为Sn,若a1=1,a2=3,且满足an+1 = an + 2n,求S5的值。
A. 25B. 28B. 30D. 312. 对于数列{bn},若b1=2,且bn+1 = 2bn + 1,求b4的值。
A. 17B. 15C. 13D. 113. 已知数列{cn}是等差数列,其公差为3,且c5=23,求c1的值。
A. 2B. 5C. 8D. 114. 数列{dn}的通项公式为dn = 2n - 1,求d10的值。
A. 19B. 17C. 15D. 135. 若数列{en}满足en = 3en-1 - 2,e1 = 1,求e3的值。
B. 5C. 3D. 1二、填空题6. 已知数列{fn}的前n项和为Sn,且满足Sn = n^2,求f3的值。
7. 对于数列{gn},若g1=4,且满足gn+1 = 3gn - 2,求g3的值。
8. 已知等比数列{hn}的首项为h1=8,公比为2,求h5的值。
9. 若数列{in}满足in = 2^n - 1,求i5的值。
10. 对于数列{jn},若j1=1,且满足jn+1 = jn^2,求j4的值。
三、解答题11. 某工厂生产的产品数量构成一个等差数列,第一年生产了100件,每年生产量比上一年多20件。
求第5年的产量,并求这5年的总产量。
12. 某公司的股票价格构成一个等比数列,第一年价格为10元,每年价格是上一年的2倍。
求第3年的股票价格,并求这3年的平均价格。
13. 已知数列{kn}的前n项和为Sn,且满足Sn = 2n^2 + n,求k5的值。
14. 对于数列{ln},若l1=1,且满足ln+1 = ln + ln-1,l2=3,求l4的值。
15. 某数列{mn}的通项公式为mn = 3^n - 2^n,求m5的值。
1. B2. A3. D4. A5. A6. 67. 108. 1289. 3110. 25511. 第5年产量为180件,5年总产量为700件。
数学数列测试题及答案一、选择题(每题3分,共30分)1. 等差数列{a_n}的首项a_1=1,公差d=2,求a_5的值。
A. 5B. 7C. 9D. 11答案:D2. 等比数列{b_n}的首项b_1=3,公比q=2,求b_3的值。
A. 12B. 15C. 18D. 24答案:D3. 数列{c_n}满足c_1=2,c_{n+1}=3c_n+1,求c_3的值。
A. 17B. 19C. 23D. 29答案:C4. 数列{d_n}的通项公式为d_n=n^2-n,求数列的前5项和S_5。
A. 25B. 30C. 35D. 40答案:C5. 数列{e_n}的前n项和为E_n,且E_n=2^n-1,求e_3的值。
A. 4B. 6C. 7D. 8答案:C6. 数列{f_n}的前n项和为F_n,且F_n=n^2,求f_4的值。
A. 12B. 14C. 16D. 18答案:C7. 数列{g_n}满足g_1=1,g_{n+1}=g_n+2,求g_5的值。
A. 9B. 10C. 11D. 12答案:A8. 数列{h_n}的通项公式为h_n=2n-1,求数列的前4项和S_4。
A. 10B. 12C. 14D. 16答案:B9. 数列{i_n}的前n项和为I_n,且I_n=n^2+n,求i_2的值。
B. 4C. 5D. 6答案:C10. 数列{j_n}满足j_1=2,j_{n+1}=j_n+3,求j_4的值。
A. 11B. 12C. 13D. 14答案:B二、填空题(每题4分,共20分)1. 等差数列{k_n}的首项k_1=3,公差d=-1,求k_4的值。
____答案:02. 等比数列{l_n}的首项l_1=4,公比q=1/2,求l_3的值。
____答案:13. 数列{m_n}满足m_1=5,m_{n+1}=2m_n-1,求m_3的值。
____答案:94. 数列{n_n}的通项公式为n_n=3n+2,求n_5的值。
____答案:175. 数列{o_n}的前n项和为O_n,且O_n=3n^2+2n,求o_4的值。
数列1.{a n }是首项a 1=1,公差为d =3的等差数列,如果a n =2005,则序号n 等于().A .667B .668C .669D .6702.在各项都为正数的等比数列{a n }中,首项a 1=3,前三项和为21,则a 3+a 4+a 5=().A .33B .72C .84D .1893.如果a 1,a 2,…,a 8为各项都大于零的等差数列,公差d ≠0,则().4m -n |6.0成立9.已知数列-1,1,2,-4成等差数列,-1,1,2,3,-4成等比数列,则212b a 的值是().A .21B .-21C .-21或21D .4110.在等差数列{a n }中,a n ≠0,a n -1-2n a +a n +1=0(n ≥2),若S 2n -1=38,则n =().A .38B .20C .10D .9二、填空题11.设f (x )=221+x ,利用课本中推导等差数列前n 项和公式的方法,可求得f (-5)+f (-4)+…+f (0)+…+f (5)+f (6)的值为. 12.已知等比数列{a n }中,(1)若a 3·a 4·a 5=8,则a 2·a 3·a 4·a 5·a 6=. (2)若a 1+a 2=324,a 3+a 4=36,则a 5+a 6=. (3)若S 4=2,S 8=6,则a 17+a 18+a 19+a 20=.13.16(2)设S n 与b n20.已知数列{a n }是首项为a 且公比不等于1的等比数列,S n 为其前n 项和,a 1,2a 7,3a 4成等差数列,求证:12S 3,S 6,S 12-S 6成等比数列.一、选择题1.{a n }是首项a 1=1,公差为d =3的等差数列,如果a n =2005,则序号n 等于().A .667B .668C .669D .6702.在各项都为正数的等比数列{a n }中,首项a 1=3,前三项和为21,则a 3+a 4+a 5=().A .33B .72C .84D .1893.如果a 1,a 2,…,a 8为各项都大于零的等差数列,公差d ≠0,则(). A .a 1a 8>a 4a 5B .a 1a 8<a 4a 5C .a 1+a 8<a 4+a 5D .a 1a 8=a 4a 54.已知方程(x 2-2x +m )(x 2-2x +n )=0的四个根组成一个首项为41的等差数列,则|m -n |等于().A .1B .43C .21D .835.等比数列{a n }中,a 2=9,a 5=243,则{a n }的前4项和为().6.成立9的值二、填空题11.设f (x )=221+x,利用课本中推导等差数列前n 项和公式的方法,可求得f (-5)+f (-4)+…+f (0)+…+f (5)+f (6)的值为. 12.已知等比数列{a n }中,(1)若a 3·a 4·a 5=8,则a 2·a 3·a 4·a 5·a 6=. (2)若a 1+a 2=324,a 3+a 4=36,则a 5+a 6=.(3)若S 4=2,S 8=6,则a 17+a 18+a 19+a 20=.13.在38和227之间插入三个数,使这五个数成等比数列,则插入的三个数的乘积为. 14.在等差数列{a n }中,3(a 3+a 5)+2(a 7+a 10+a 13)=24,则此数列前13项之和为.15.在等差数列{a n }中,a 5=3,a 6=-2,则a 4+a 5+…+a 10=.16.设平面内有n 条直线(n ≥3),其中有且仅有两条直线互相平行,任意三条直线不过同一点.若用f (n )表示这n条直线交点的个数,则f (4)=;当n >4时,f (n )=.(2)设S n 与b n203a 4成等。
等差数列
一、填空题
1. 等差数列2,5,8,…的第20项为___________.
2. 在等差数列中已知a 1=12, a 6=27,则d=___________
3. 在等差数列中已知13
d =-,a 7=8,则a 1=_______________ 4. 2()a b +与2
()a b -的等差中项是_______________ 5. 等差数列-10,-6,-2,2,…前___项的和是54 6. 正整数前n 个数的和是___________
7. 数列{}n a 的前n 项和2
3n S n n -=,则n a =___________
8. 已知数列{}n a 的通项公式a n =3n -50,则当n=___时,S n 的值最小,S n 的最小值是_______。
二、选择题
1. 在等差数列{}n a 中31140a a +=,则45678910a a a a a a a -+++-+的值为( )
A.84
B.72
C.60
D.48 2. 在等差数列{}n a 中,前15项的和1590S = ,8a 为( )
A.6
B.3
C.12
D.4
3. 等差数列{}n a 中, 12318192024,78a a a a a a ++=-++=,则此数列前20项的和等于( )
A.160
B.180
C.200
D.220
4. 在等差数列{}n a 中,若34567450a a a a a ++++=,则28a a +的值等于( )
A.45
B.75
C.180
D.300 5. 若lg 2,lg(21),lg(23)x x
-+成等差数列,则x 的值等于( ) A.0 B. 2log 5 C. 32 D.0或32 6. 数列3,7,13,21,31,…的通项公式是( )
A. 41n a n =-
B. 322n a n n n =-++
C. 2
1n a n n =++ D.不存在
7. 等差数列中连续四项为a ,x ,b ,2x ,那么 a :b 等于 ( )
A 、
B 、
C 、或 1
D 、
8. 等差数列{an}中,a15=33, a45=153,则217是这个数列的 ( ) A 、第60项 B 、第61项 C 、第62项 D 、不在这个数列中
三、计算题
1. 根据下列各题中的条件,求相应的等差数列{}n a 的有关未知数:
(1)151,,5,66
n a d S ==-=-求n 及n a ; (2)12,15,10,n n d n a a S ===-求及
2. 设等差数列{}n a 的前n 项和公式是2
53n S n n =+,求它的前3项,并求它的通项公式
3. 如果等差数列{}n a 的前4项的和gg 是2,前9项的和是-6,求其前n 项和的公式。
4. 在等差数列{a n }中,a 1=25, S 17=S 9
(1)求{a n }的通项公式
(2)这个数列的前多少项的和最大?并求出这个最大值。
5. 已知等差数列{a n }的首项为a ,记
(1)求证:{b n }是等差数列
(2)已知{a n }的前13项的和与{b n }的前13的和之比为 3 :2,求{b n }的公差。
等比数列
一、填空题
1.若等比数列的首项为4,公比为2,则其第3项和第5项的等比中项是______.
2.在等比数列{a n}中,
(2)若S3=7a3,则q=______;
(3)若a1+a2+a3=-3,a1a2a3=8,则S4=____.
3.在等比数列{a n}中,
(1)若a7·a12=5,则a8·a9·a10·a11=____;
(2)若a1+a2=324,a3+a4=36,则a5+a6=______;
4.一个数列的前n项和S n=8n-3,则它的通项公式a n=____.
5.数列{a n}满足a1=3,a n+1=-,则a n = ______,S n= ______。
二、选择题
1、已知等比数列的公比为2,前4项的和为1,则前8项的和等于()
A、15
B、17
C、19
D、21
2、设A、G分别是正数a、b的等差中项和等比中项,则有()
A、ab≥AG
B、ab<AG
C、ab≤AG
D、AG与ab的大小无法确定
3、已知{a n}是等比数列,且a n>0,a2a4+2a3a5+a4a6=25,那么a3+a5的值等于 [ ]
A.5 B.10 C.15 D.20
4、.等差数列{a n}的首项a1=1,公差d≠0,如果a1,a2,a5成等比数列,那么d等于 [ ]
A.3 B.2 C.-2 D.2或-2
5、.等比数列{a n}中,a5+a6=a7-a5=48,那么这个数列的前10项和等于 [ ]
A .1511
B .512
C .1023
D .1024
6、.等比数列{a n }中,a 2=6,且a 5-2a 4-a 3=-12,则a n 等于 [ ]
A .6
B .6·(-1)
n-2
C .6·2
n-2
D .6或6·(-1)
n-2
或6·2
n-2
7.等比数列{a n }中,若a 1+a 2+…+a n =2n -1,则2
221a a ++…+2
n a =( ) (A )4n -1
(B ))14(3
1
-n
(C )2n -1
(D))12(3
1
-n
8.设n S 为等比数列{}n a 的前n 项和,2580a a +=,则5
2
S S =( ) A .11 B .5 C .8- D .11-
三、解答题
1.已知等比数列{a n }的公比大于1,S n 为其前n 项和.S 3=7,且a 1+3、3a 2、a 3+4构成等差数列.求数列{a n }
的通项公式.
2.递增等比数列{a n }满足a 2+a 3+a 4=28,且a 3+2是a 2、a 4的等差中项.求{a n }的通项公式a n .
3.在等比数列{a n }中,a 1=2,前n 项和为S n ,数列{a n +1}也是等比数列,求:数列{a n }的通项公式a n 及前n 项和S n .
4.已知等差数列{a n }的公差为d (d ≠0),等比数列{b n }的公比为q ,若a 1=b 1=1,a 2=b 2,a 8=b 3,求数列{a n }、
{b n }的通项公式a n 及前n 项和公式S n .。