工字钢主梁计算书
- 格式:docx
- 大小:117.25 KB
- 文档页数:13
工字钢支撑系统计算书1、设计参考规范和依据《钢结构设计规范》《钢结构工程施工及验收规范》《钢结构工程施工及验收规范》《纬九路通道施桥》2、使用材料2.1支撑横梁采用双排工40a型钢支撑纵、横梁采用单工字钢。
力学参数:A=172.2cm2,I=43440 cm4,h=40 cm;2.2. 支撑横梁采用单排工40a型钢力学参数:A=86.1cm2,I=2 1720cm4,h=40 cm;2.3沙箱和底部支柱沙箱内芯采用φ426×12mm;外管采用φ530×10mm,力学参数见后。
2.4材质说明结构参数:Q235B钢材,允许应力为175Mpa,允许剪应力为101.04 Mpa则单根40工字钢的允许弯矩为190KN·m,允许剪力36.16KN3计算荷载荷载组合(1)模板:底模和横梁采用80kg/m2,q1=80×9.65=772kg/m =7.72KN/m (2)混凝土:容重25 KN/m3 , q2=25×9.65=241.25KN/m(3)人群机具:q3=1.5KPa×4=6 KN/m(4)倾倒:q4=2.0 KPa(5)振捣:q5=2.0 KPa考虑各方面不利因素,恒载分项系数取1.2,活载分项系数取1.4,重力加速度取:10kg/s2;q=((7.72+241.25) ×1.2+6)/9.65+(2+2)×1. 4=37.18 KPa。
(按9.65米线性分布)因箱形桥纵横形式一致。
荷载未考虑倒角部分,为安全起见设定系数为1.2则总荷载为44.62 KPa44.62kN/m9.65m梁宽荷载线性分布图4、横向型钢检算4.1采用两点支撑M max=ql2/8=44.62×9.65×9.65/8= 519.39 KN·mT max=ql/2=(44.62×9.65)/2=215.3 KN采用两点支撑需设置519.39/190=2.73根=3根215.3/37.18=5.79 根=6根采用两点支撑不合适。
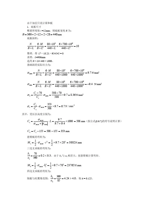
由于加层只设计梁和板1.底板尺寸靴梁厚度取t =12mm ,则底板宽度B 为:440282122360=⨯+⨯+=B mm底板面积:36226801067001010440440N M B L B L L L⋅⨯⨯⨯+=+=⨯⨯⨯⨯ 整理,得 L 2-18.2L -954545 = 0求得,L =986mm选用B ×L = 440×1000。
基础面的实际应力为:36max 22680106700109.744010004401000N M B L B L σ⋅⨯⨯⨯=+=+=⨯⨯⨯⨯N/mm 2 36min22680106700109.444010004401000N M B L B L σ⋅⨯⨯⨯=-=-=-⨯⨯⨯⨯ N/mm 2 12max 170508709.78.36508C C σσ--=⋅=⨯=N/mm 2 2max 121/7.67.9508353mm N C C =⨯=⋅=σσ 其中,受压区高度分别为:50810004.97.97.9min max max 1=⨯+=⋅+=L C σσσmm (按公式(8.6.7)的符号说明计算) 35315550815512=-=-=C C mm悬臂板的弯矩为:3802287.9212122max 1=⨯⨯=⋅⋅=c M σN.mm 三边支承板的弯矩为:3.02.03607011<==a b ,由于b 1与a 1相差大,按悬臂板计算弯矩。
23765707.92121221max 3=⨯⨯=⋅⋅=b M σN.mm 四边支承板的弯矩为: 隔板与柱翼缘范围:0.424.48536022>==a b ,取α = 0.125。
75508536.8125.022224=⨯⨯=⋅⋅=a M σαN.mm柱腹板与靴梁范围:柱身范围底板的受压区长边b' = c 2,96.11803532=='=''a c a b ,取α=0.101。
工字钢人行天桥计算一、工程概略人行天桥桥梁宽度为 1.5m,桥梁长 12m,主梁采纳工字钢,桥面采纳 5mm厚钢板满铺。
二、计算模型自己行天桥构造依据简支构造计算,荷载依据静力荷载计算,人群荷载依据满人荷载。
三、根本参数桥梁宽度〔 m〕桥梁长度〔 m〕人群荷载重度〔 KN/m2)1.5122.5钢板厚度〔 m〕钢板单位重〔 kg/m3)重力加快度〔 N/kg〕0.0057.859.8四、人群及钢板荷载人群荷载=45KN钢板荷载= 6.92KN荷载共计 =人群荷载 +钢板荷载=51.92 KN五、工字钢构造形式工字钢片数3工字钢构造型号28a 对应的有关参数h(mm)b(mm)d(mm)t(mm)r(mm)r1(mm)2801228.513.710.5 5.3截面面积〔 cm2)理论质量〔 kg/m)Ix:Sx55.40443.49224.6Ix(cm4)Wx(cm3)ix(cm)Iy(cm4)Wy(cm3)iy(cm) 711050811.334556.6 2.5工字钢采纳材质为Q235x轴的塑性展开系数 Yx 1.05弹性模量抗弯设计值 f(N/mm2)抗弯设计值 fv(N/mm2)挠度控制值 L/250 〔mm)E〔GPa) 20512548200六、构造受力构造计算时,模拟每片梁所受荷载一致,梁上荷载为均布荷载部署。
每片工字钢受力=22.42KN工字钢均布荷载 q= 1.87KN/m工字钢最大弯矩 Mmax=33.63KN.m支点反力 R=11.21KN七、强度及刚度验算最大曲折正应力σ max=63.06N/mm2<f知足要求支点处剪应力τ=53.62N/mm2<fv知足要求最大挠度 fmax=35.48mm<L/250知足要求综上表格,输入3片25a工字钢计算,挠度不知足要求;输入3片25b工字钢计算,挠度计算47.41mm,介于上述荷载未算工字钢间横向连结件自重,实质挠度计算值会超出挠度控制值。
搁置主梁验算计算书计算依据:1、《建筑施工扣件式钢管脚手架安全技术规范》JGJ130-20112、《建筑施工门式钢管脚手架安全技术规范》JGJ128-20103、《建筑结构荷载规范》GB50009-20124、《钢结构设计规范》GB50017-2003一、基本参数主梁离地高度(m) 58.25 主梁布置方式 普通主梁 主梁间距(mm) 900主梁与建筑物连接方式 平铺在楼板上 锚固点设置方式 U 型锚固螺栓 锚固螺栓直径d(mm) 20 主梁长度L x (mm)6000 梁/楼板混凝土强度等级C25 主梁左侧外锚固点到建筑物边缘的距离a1(mm)100主梁右侧外锚固点到建筑物边缘的距离a2(mm)100主梁左侧建筑物内锚固长度L m1(mm) 100 主梁右侧建筑物内锚固长度L m2(mm) 100 混凝土与螺栓表面的容许粘结强度[τb ](N/mm 2)2.5 锚固螺栓抗拉强度设计值[f t ](N/mm 2)50二、荷载布置参数平面图立面图三、主梁验算q'=g k=0.241=0.241kN/m第1排:F'1=F1'/n z=4.98/1=4.98kN 第2排:F'2=F2'/n z=4.98/1=4.98kN 第3排:F'3=F3'/n z=4.98/1=4.98kN 第4排:F'4=F4'/n z=4.98/1=4.98kN 第5排:F'5=F5'/n z=4.98/1=4.98kN 第6排:F'6=F6'/n z=4.98/1=4.98kN 荷载设计值:q=1.2×g k=1.2×0.241=0.289kN/m第1排:F1=F1/n z=4.98/1=4.98kN第2排:F2=F2/n z=4.98/1=4.98kN第3排:F3=F3/n z=4.98/1=4.98kN第4排:F4=F4/n z=4.98/1=4.98kN第5排:F5=F5/n z=4.98/1=4.98kN第6排:F6=F6/n z=4.98/1=4.98kN1、强度验算弯矩图(kN·m)σmax=M max/W=3.961×106/185000=21.41N/mm2≤[f]=215N/mm2符合要求!2、抗剪验算剪力图(kN)τmax=Q max/(8I zδ)[bh02-(b-δ)h2]=39.595×1000×[94×1802-(94-6.5)×158.62]/(8×16600000×6.5)=38.743N/mm2τmax=38.743N/mm2≤[τ]=125N/mm2符合要求!3、挠度验算变形图(mm)νmax=0.339mm≤[ν]=l/250=5800/250=23.2mm符合要求!4、支座反力计算R1=-39.593kN,R2=48.12kN,R3=4.843kN,R4=12.233kN,R5=42.516kN,R6=-36.504kN四、上拉杆件验算钢丝绳型号6×37(a) 钢丝绳公称抗拉强度(N/mm2) 1870(钢芯) 钢丝绳直径(mm) 16 钢丝绳不均匀系数α0.85钢丝绳安全系数k 9 钢丝绳绳夹型式马鞍式拴紧绳夹螺帽时螺栓上所受力T(kN) 15.19 钢丝绳绳夹数量[n] 3花篮螺栓在螺纹处的有效直径d e(mm) 19 花篮螺栓抗拉强度设计值[f t](N/mm2) 170主梁拉环直径d(mm) 20 焊缝厚度h e(mm) 10焊缝长度l w(mm) 100 角焊缝强度设计值f tw(N/mm2) 160钢丝绳绳卡作法钢丝绳连接吊环作法上拉杆件角度计算:α1=arctanL1/L2=arctan(2900/2900)=45°α2=arctanL1/L2=arctan(2900/2900)=45°上拉杆件支座力:R S1=n z R3=1×4.843=4.843kNR S2=n z R4=1×12.233=12.233kN主梁轴向力:N SZ1=R S1/tanα1=4.843/tan45°=4.843kNN SZ2=R S2/tanα2=12.233/tan45°=12.233kN上拉杆件轴向力:N S1=R S1/sinα1=4.843/sin45°=6.849kNN S2=R S2/sinα2=12.233/sin45°=17.3kN上拉杆件的最大轴向拉力N S=max[N S1...N Si]=17.3kN钢丝绳:查(《建筑施工计算手册》江正荣著2001年7月第一版)表13-4、13-5、13-6得,钢丝绳破断拉力总和:F g=224.57kN[F g]=α× F g/k=0.82×224.57/9=20.461kN≥N S=17.3kN符合要求!绳夹数量:n=1.667[Fg]/(2T)=1.667×20.461/(2×15.19)=2个≤[n]=3个符合要求!花篮螺栓验算:σ=[F g]/(π×d e2/4)=20.461×103/(π×192/4)=72.165N/mm2≤[ft]=170N/mm2符合要求!拉环验算:σ =[F g]/(2A)=2[F g]/πd2=2×20.461×103/(π×202)=32.564N/mm2≤[f]=65N/mm2注:[f]为拉环钢筋抗拉强度,按《混凝土结构设计规范》9.7.6 每个拉环按2个截面计算的吊环应力不应大于65N/mm2符合要求!拉环详图(主梁为工字钢)角焊缝验算:σf=N S/(h e×l w)=17.3×103/(10×100)=17.3N/mm2≤βf f t w=1.22×160=195.2N/mm2正面角焊缝的强度设计值增大系数βf=1.22符合要求!五、主梁整体稳定性验算主梁轴向力:N =[N SZ1-N SZ2]/n z=[4.843-12.233]/1=7.39kN压弯构件强度:σmax=M max/(γW)+N/A=3.961×106/(1.05×185×103)+7.39×103/3060=22.805N/mm2≤[f]=2 15N/mm2塑性发展系数γ符合要求!受弯构件整体稳定性分析:其中φb -- 均匀弯曲的受弯构件整体稳定系数:查表《钢结构设计规范》(GB50017-2003)得,φb=2.8由于φb大于0.6,根据《钢结构设计规范》(GB50017-2003)附表B,得到φb值为0.97。
盖梁(系梁)支架计算书本工程上系梁、盖梁分A、B、C三种型号,分别为φ2.0m柱盖(系)梁、φ1.8m柱盖(系)梁、φ1.5m柱盖(系)梁,施工时均采用抱箍和工字钢配合作支承架。
定型钢底模下设I16工字钢背销(横桥向铺设),间距为50cm;I16工字钢背销下设两根I50C工字钢支承(纵桥向);I50C工字钢置于柱上钢抱箍上(每个墩柱上设一个钢抱箍)。
支架计算时按φ2.0m柱顶盖梁(最大盖梁)支承计算。
1、I50C工字钢受力计算:1.1、按板梁底板处的荷载计算偏安全;相关数据查《路桥施工计算手册》。
1.1.1、荷载计算①、单位长度混凝土荷载:φ2.0m:N1=V〃γ砼=2.20×1.6(梁高)×25≈88KN/M②、单位长度施工荷载:N2=2kpa×2.2=4.4KN/M③、单位长度振捣砼时产生的荷载:N3=2.0KPa×1.698=3.396KN/M○4、钢筋自重:N4=651㎏/m=6.51KN /m○5、单位长度I50c工字钢自重:N4=109㎏/m=1.09KN /m○6、单位长度模板自重:1KN /m(模板厂提供)则q=N1+N2+N3+ N4+N5+N6=88+4.4+3.4+6.51+1.09+1=104.4KN/m用两根工字钢承重所以取荷载值:q=104.4/2=52.2KN/m 作为工字钢荷载。
1.1.2计算简图:1.1.3、支点反力:R A=R B=q×6.9/2=52.20×6.9/2=180.09KN1.1.4、最大弯矩:M max= ql2/8=52.2×6.92/8=310.66 KN〃m1.1.5、弯矩正应力:查表:I50c I x=5.064×108mm4 W x=2.08×106mm3S X=1.2091×106mm3δ=16mmσ=M max/W x=(310.66×106)/(2.08×106)=149.35MPa<[σ]×1.25=175Mpa(满足要求)1.1.6支座处总剪力值:Q x=0.625×52.2×6.9=225.11KNτmax=Q x〃S x/(I x〃δ)=225.11×103×1.2091×106/(5.064×108×16)=33.59MPa<[σ]×1.25= 106Mpa(满足要求)1.1.7跨中挠度验算ƒ=0.521qL4/100EI x=0.521×52.2×69004/ (100×2.1×105×5.064×108)=5.8㎜≤L/400=6900/400=17.25㎜(满足要求)2、I16工字钢背销受力计算:2.1、按板梁底板处的荷载计算偏安全;相关数据查《路桥施工计算手册》。
跨绕城高速连续梁支架检算书一、设计方案:1、门洞:按箱梁6m跨径重量作门洞支架设计荷载标准,纵向采用贝雷片组拼成承重主梁,横向在贝雷梁上按60cm的间距铺设15×15cm方木作为分配梁;采用标号C30,高度1米的砼条形基础作为门洞支架的基础。
本设计计算结构强度验算采用容许应力计算,不考虑荷载分项系数,但按有关规定钢材容许应力按临时性结构提高系数为1.25,即 A3钢材弯曲容许应力〔σw〕=145×1.25=181Mpa,抗压轴向容许应力〔σ〕=140×1.25=175 Mpa,抗剪容许应力〔τ〕=85×1.25=106 Mpa进行验算。
结构刚度验算时,按荷载乘以相应的分项系数,进行荷载组合。
2、支架:①底板下,支架按照60×60cm间距搭设,平杆步距120cm;②腹板宽度90cm梁段的腹板下,按照30×60cm的间距搭设,平杆步距60cm;③腹板宽度60cm梁段的腹板下,按照30×60cm的间距搭设,平杆步距120cm;④翼缘板下,按照60×90cm的间距搭设,平杆步距120cm。
二、门洞荷载分析:1、梁砼重量:门洞跨度6米最大梁体砼92.3m3,砼容重26KN/m3箱梁砼重量:g1=92.3×26 KN/m3=2400KN。
2、底模重量:1.5cm竹胶板重量:7.6×6×0.015×9.0KN/m3=6.2KN;15×15纵向主梁方木重量:13×6×0.15×0.15×7.5 KN/m3=13.2KN 10×10横向分配梁方木重量:30×7.6×0.1×0.1×7.5 KN/m3=17.1KN;底模总重量:g2=6.2+13.2+17.1=36.5KN。
3、侧模重量:1.2cm竹胶板面积:S=2×6.857×6=82.3m2;重量:82.3×0.012×7.5KN/m3=7.4KN;竖向10×10cm方木靠条(间距30cm):21根;21×6.857×0.1×0.1×2×7.5KN/m=21.6KN。
工字钢临时便桥桥计算书1、编制依据及规范标准1.1、编制依据(1)、现行施工设计标准(2)、现行钢结构设计标准(3)、现行施工安全技术标准1.2、规范标准(1)、公路桥涵设计通用规范(JTGD60-2004)(2)、公路桥涵地基与基础设计规范(JTJ024-85)(3)、公路桥涵钢结构及木结构设计规范(JTJ 025-86)2、主要技术标准及设计说明2.1、主要技术标准桥面宽度:5.0m设计荷载:公路—Ⅰ级汽车荷载桥跨布置:1×10m2.2、设计说明2.2.1、桥面板栈桥桥面板材料为A3钢板,钢板厚度为15mm,钢板焊接在中心间距400mm 的I14工字钢纵梁上。
桥面板上设置间距600mm的Φ12钢筋防滑条。
2.2.2、工字钢纵梁桥面板下设置I14工字钢纵梁,工字钢纵梁中心间距400mm,顺桥向设置。
I14工字钢纵梁搁置在中心间距1200mm的I20a工字钢横梁上。
I14纵梁与桥面板及横梁均焊接牢固。
2.2.3、工字钢横梁I14工字钢纵梁下设置中心间距1200mm的I20a工字钢横梁,横桥向设置。
I20a横梁与主梁焊接牢固。
2.2.4、主梁栈桥采用8根I63c工字钢作为主梁,8根I63c主梁中心间距600mm。
主梁与I20a横梁焊接牢固。
2.2.5、基础墩、台基础采用C30混凝土扩大基础,基础进入河床冲刷线以下1.5米,基础底进入持力层。
基础高度2.0米2.2.6.桥墩、桥台桥墩桥台采用C30混凝土桥台,桥台前墙1:0.35,背墙直立。
台帽采用钢筋混凝土结构在主梁位置预埋δ=20mm的钢板,防止压碎桥台混凝土,台帽宽1米。
桥墩墩顶宽2米在顺桥向两侧采用1:0.35背坡。
2.2.7、附属结构便桥栏杆立柱采用Φ48×1000mm钢管焊接在I20a横梁上,钢管立柱间距1500mm,露出桥面板高1.2米,立柱间采用Φ20钢筋连接。
便桥桥头两侧设置两道警示灯,以便夜间起到警示作用。
3、主要工程数量表-14、荷载计算4.1、活载计算本栈桥主要供混凝土罐车、各种机械设备运输,本桥荷载按每孔公路—Ⅰ级汽车荷载检算,则活载为:公路—Ⅰ级汽车荷载:实际600KN4.2、荷载组合另考虑冰雪等偶然荷载作用,故按以下安全系数进行荷载组合:恒载1.2,活载1.3。
11根立杆计算书:1杆:长:0.25+0.35=0.6米,宽:0.95米板砼:0.6×0.975×0.12×25=1.76kN梁砼:0.125×0.48×0.6×25=0.9kN模板及支架:0.75×0.6×0.975×1.5=0.66kN活荷载:2.5×0.6×0.95=1.46kN设计:3.32×1.2+1.46×1.4=6.0kN2杆:长:0.7米,宽:0.975米板砼:0.7×0.975×0.12×25=2.05kN梁砼:0.125×0.48×0.7×25=1.05kN模板及支架:0.75×0.7×0.975×1.5=0.77kN活荷载:2.5×0.7×0.975=1.71kN设计:3.87×1.2+1.71×1.4=7kN3杆:长:0.725米,宽:0.975米板砼:0.725×0.975×0.12×25=2.12KN梁砼:0.125×0.48×0.725×25=1.09KN模板及支架:0.75×0.725×0.975×1.5=0.80KN活荷载:2.5×0.725×0.975=1.77KN设计:4.01×1.2+1.77×1.4=7.3KN4杆:长:0.375+0.45=0.825米,宽:0.975米板砼:0.825×0.975×0.12×25=2.41KN梁砼:0.12×0.48×0.825×25=1.19KN模板及支架:0.75×0.825×0.975×1.5=0.90KN活荷载:2.5×0.825×0.975=2KN设计:4.5×1.2+2×1.4=8.25杆:0.3×(0.5-0.12)×(1.15/2+0.2+0.125)×25=2.57KN 设计:2.57×1.2=3.08KN6杆:长:0.45+0.475=0.925米,宽:0.975米板砼:0.925×0.975×0.12×25=2.71KN梁砼:0.12×0.48×0.925×25=1.33KN模板及支架:0.75×0.925×0.975×1.5=1.01KN活荷载:2.5×0.925×0.975=2.25KN设计:5.03×1.2+2.25×1.4=9.27杆:板砼:0.95×(0.4+0.575)×0.12×25=2.78KN梁砼:0.125×0.48×0.95×25=1.43KN模板及支架:0.75×0.95×(0.4+0.575)×1.5=1.04KN活荷载:2.5×0.95×(0.4+0.575)=2.32KN设计:5.25×1.2+2.23×1.4=9.5KN8杆:板砼:(0.35+0.475)×0.975×0.12×25=2.41KN梁砼:0.125×0.48×(0.35+0.475)×25=1.24KN模板及支架:0.75×(0.35+0.475) ×(0.4+0.575) ×1.5=0.9KN 活荷载:2.5×(0.35+0.475) ×(0.4+0.575)=2.01KN设计:4.28×1.2+2.01×1.4=8.3KN9杆:长:0.35+0.425=0.775米,宽:0.975米板砼:0.775×0.975×0.12×25=2.27KN梁砼:0.125×0.28×0.775×25=1.16KN模板及支架:0.75×0.775×0.975×1.5=0.85KN活荷载:2.5×0.775×0.975=1.89KN设计:4.28×1.2+1.89×1.4=7.8KN10杆:长:0.85米,宽:0.975米板砼:0.85×0.975×0.12×25=2.49KN梁砼:0.125×0.48×0.85×25=1.28KN模板及支架:0.75×0.85×0.975×1.5=0.93KN活荷载:2.5×0.85×0.975=2.07KN设计:4.7×1.2+2.07×1.4=8.5KN11杆:长:0.425+0.2=0.625米,宽0.975米板砼:0.625×0.975×0.12×25=1.83KN梁砼:0.125×0.48×0.625×25=0.94KN模板及支架:0.75×0.625×0.975×1.5=0.69KN活荷载:2.5×0.625×0.975=1.52KN设计:3.46×1.2+1.52×1.4=6.3KN距离:1、0.35米;2、1.05米;3、1.75米;4、2.5米;5、2.9米;6、3.4米;7、4.35米;8、5.3米;9、6米;10、6.85米;11、7.7米。
H 钢支架设计计算书一、依据1、 《通桥(2008)-2322-Ⅵ》2、 《铁路桥梁钢结构设计规范》钢Q235许用应力[]MPa 135=σ,[]MPa w 140=σ,剪应力[]MPa 80=τ 3、 《铁路桥涵地基与基础规范》二、荷载标准值:1、模板和装配式钢桥自重:模板(千斤顶和贝雷梁上横梁重计入):m KN /3.616.322000=模板和装配式钢桥自重设计值:61.3×1.2=73.6/KN m1、查《通桥(2008)2221A -Ⅴ》31.1米梁图知:C50混凝土方量310.6m 3;混凝土容重25KN/ m 3C50混凝土重:310.6×25=7765 KN普通钢筋重:1.95+54.357=56.307t=563.57KN预应力钢筋重:117.25KN每孔梁重: m KN /1.2596.32/)25.11757.5637765(=++每孔梁重设计值:259.1×1.2=310.9KN/m3、施工附加荷载:施工人员和施工设备:1.0×1.4×13.4=7.7/KN m振捣混凝土产生的竖向荷载:1.0×1.4×5.5=7.7/KN m倾倒混凝土时产生的冲击荷载:1.0×1.4×5.5=7.7/KN m施工附加荷载设计值:7.7×3=23.1/KN m荷载总值:m KN q /6.4071.239.3106.73=++=四、箱梁计算荷载模型划分1、各部分面积计算:1/2箱梁截面划分为第Ⅰ部分;第Ⅱ部分;第Ⅲ部分各部分面积如下:AⅠ=2.16m2AⅡ=0.77 m2AⅢ=1.12 m2全截面总面积为:A总=8.76 m22、各部分沿梁长方向均部荷载计算:qⅠ=(2.16/8.76)×310.9=76.7KN/mqⅡ=(1.12/8.76)×310.9=39.7 KN/mqⅢ=(1.07/8.76)×310.9=38KN/m二、纵梁检算纵梁采用32b 工字钢,截面特性:4211626,/71.57,52.73cm I m kg q cm A === mm d cm S cm W x x 5.11,1.426,7.72633===。
托担法盖梁施工计算书一、工程概况盖梁设计尺寸:双柱式盖梁设计为长11.95m,宽2.1m,高1.6m,混凝土方量为38.35方,两柱中心距6.95m。
盖梁如图所示:I TT- 4■*二、施工方案1)预留孔:立柱施工时测好预留孔的标高位置,预埋直径110mm 硬质PVC管,较高立柱根据高差来进行标高调整,保证两预留孔处于同一个标高,施工时把有关主筋间距和上下层箍筋间距作微调;2)插入钢棒:柱顶插入一根直径为9cm,长度为300cm的钢棒,作为主梁工字钢支撑点,钢棒外伸长度一致;3)安装固定装置和机械式千斤顶。
4)吊装主梁工字钢,利用u 25精轧螺纹钢,夹紧主梁工字钢,上铺112.6工字钢作为分配梁;5)拆除钢棒,封堵预留孔:盖梁施工完成后把预留孔用细石混凝土圭寸堵三、受力计算1、设计参数1)I12.6 工字钢截面面积为:A=1810mm2截面抵抗矩:W=77< 103mm3截面惯性矩:1=488 <04mm4弹性模量E=2.1<105Mpa钢材采用Q235 钢,抗拉、抗压、抗弯强度设计值[]=215Mpa。
2)主梁工字钢横向主梁采用2片45b工字钢。
截面面积为:A=11100mm2截面抵抗矩:W=150<0 103mm3截面惯性矩:I=33760<104mm4弹性模量E=2.1<105Mpa3)钢棒钢棒采用u 90mm高强钢棒(A45), 截面面积为:A=3.14<452=6362mm2,抗剪强度设计值]T]=125Mpa。
2、荷载计算1)混凝土自重荷载(考虑立柱混凝土重量)W 1=38.35< 26=444.3kN;2)支架、模板荷载A、2片145b组成主梁,长12m,纵向工字钢长4.5m,间距30cm。
W2=12X 0.874X 2+0.142 X4.5 x( 11/0.3 ) =54.3kN;B、定型钢模板,重量由厂家设计图查询得到。
W3=6800X 10=68kN ;3) 施工人员、机械重量。
钢 骨 梁 计 算 书1 计算系数钢骨梁截面 500mm *1800mm 采用Q235工字钢, a E =2.065210/N mm ⨯,a I =332(138224)361428241428[()(138224)36]212212⨯+⨯⨯+⨯⨯+⨯⨯+=101.740010⨯,'a a f f ==2002/N mm . af b =13mm f t =3mm , w h =1428mm , w t =24mm ., 0h =1800-25-25-50=1700mm 梁跨29m.混凝土标号为C30, c f =152/N mm , t f =1.52/N mm , c E =3.04210/N mm ⨯,受拉纵筋选用HRB400, y f =3602/N mm , 'y f =3602/N mm , s E =24210/N mm ⨯.材料强度设计值及弹性模量均按照<型钢混凝土组合结构设计规程>选取,以下简称<型规>. 2 内力读取采用PKPM 内力计算结果 内力控制组合为恒+活,弯矩设计值0M =9526KN*M,剪力设计值0V =1210KN.恒载作用下弯矩标准值为1M =4730KN*M,满布活载作用下弯矩标准值为2M =2750KN*M.3 钢板局部稳定性验算af b /f t =138/36=3.84<23 , w h /w t =59.5<107,满足<型规>4.3.4条规定,可以不进行局部稳定性验算.4 承载力计算(1)正截面受弯计算最小配筋率要求 45t f /y f =0.1875<0.2,最小配筋为0.2%⨯500⨯1700=17002mm .下部配8根25,上部配4根25,满足最小配筋率要求, 1δ=150361700+=0.11, 2δ=1800150361700--=0.95根据<型规>5.1.2-4公式155003604490300362003608490300362000aw x N ⨯⨯+⨯⨯+⨯⨯-⨯⨯-⨯⨯+=得1550036044900aw x N ⨯⨯-⨯⨯+=,7500705600aw x N +=设10201.25, 1.25h x h x δδ<>,则1292>x >150,,按照<型规>5.1.2-5公式计算,得120[2.5()]aw w a N t h f ςδδ=-+,0.8120.003b y a sf f E ζ=++⨯=0.682, x =480mm,满足10201.25, 1.25h x h x δδ<>.根据<型规>5.2.1-8和5.2.1-9,0.682⨯1700=1159.4>480>150+36+24=210,满足规范要求. 根据<型规>5.1.2-1,计算承载力极限弯矩为''''''000()()()2c y s s a af a aw x M f bx h f A h a f A h a M =-+-+-+ 其中aw M ={[1428(48015036)](48015036)}24200506------⨯⨯⨯24⨯200⨯506=2040192000N mm •=2040.2KN m•480253615500480(1700)3604490(170025)20036300(1700150)222aw M M =⨯⨯-+⨯⨯--+⨯⨯--+=11778.38KN m •>0M =95260M 满足规范要求 (2)斜截面受弯计算根据<型规>5.1.4-1 000.45c V f bh < , 00.45c f bh =5737500N=5737.5KN>0V ,截面满足规范要求.00.080.58c a w w f bh f t h +=4995.5KN>0V =1210KN,所以满足构造配筋即可配 8@200(4)(3) 挠度计算根据<型规>5.3.2-1 短期刚度(0.22 3.75)s s s c c a a c E B E I E I E ρ=++ 其中s ρ=84905001700⨯⨯=0.0046 33050018001212c b h I ⨯⨯===1024.300010⨯2mm 计算s B =6051.71210⨯根据<型规>5.3.2-2长期刚度(1)ss l sM B B M M θ=-+梁上部为游泳池荷载,所以准永久系数取1.0 即127480s l M M M M KN M ==+=•根据<型规>5.3.3, 由'0.5s s ρρ=可得,θ=1.8综上可计算0.56s B B ==3388.951210⨯根据结构力学可知,两端铰接的梁跨中挠度45384ql f EI=,根据等效均布荷载可知, 2ql =7480⨯8,计算'f =193mm ,施工起拱1300,则最终挠度f ='29000300f -=96mm<29000300=97mm,满足<型规>4.2.8要求.(4)裂缝计算根据<型规>5.2.2 max 2.1(1.90.08)saested c E σϖψρ=+1.1(1)cM Mψ=-=260.235500180021.1(1)748010⨯⨯⨯-⨯=0.988 0.2518001428k ⨯==0.315 018001650360.54w h =--⨯=13890000.87()sa s s af f aw w MA h A h kA h σ=•+•+=67480100.87(84901762.53003616320.3152414281389)⨯⨯⨯+⨯⨯+⨯⨯⨯=2217.5/N mm(222)0.7s f f aw u n d b t kh π=+++⨯=8 3.1425(230023620.3151428)0.7⨯⨯+⨯+⨯+⨯⨯⨯=1728.154()s af aw e A A kA d u ++==4(8490300360.315241428)1728.15⨯+⨯+⨯⨯=59.06mm0.5s af awte A A kA bhρ++==8490300360.3152414280.55001800⨯+⨯+⨯⨯⨯⨯=0.06综上可得max 5217.559.062.10.988(1.9250.08)2100.06ϖ=⨯⨯+⨯⨯=0.285mm max ϖ<0.3mm ,满足<型规>4.2.9要求。
双排工字钢悬挑架主梁验算计算书计算依据:1、《建筑施工门式钢管脚手架安全技术规范》JGJ128-20102、《建筑施工扣件式钢管脚手架安全技术规范》JGJ130-20113、《建筑结构荷载规范》GB50009-20124、《钢结构设计标准》GB50017-20175、《混凝土结构设计规范》GB50010-2010一、基本参数平面图立面图三、主梁验算主梁材料类型工字钢主梁合并根数n z 1主梁材料规格18号工字钢主梁截面积A(cm2) 30.6 主梁截面惯性矩I x(cm4) 1660 主梁截面抵抗矩W x(cm3) 185主梁自重标准值g k(kN/m) 0.241 主梁材料抗弯强度设计值[f](N/mm2) 215主梁材料抗剪强度设计值[τ](N/mm2) 125 主梁弹性模量E(N/mm2) 206000 主梁允许挠度[ν](mm) 1/360q'=g k=0.241=0.241kN/m第1排:F'1=F1'/n z=8/1=8kN第2排:F'2=F2'/n z=8/1=8kN荷载设计值:q=1.2×g k=1.2×0.241=0.289kN/m第1排:F1=F1/n z=10.9/1=10.9kN第2排:F2=F2/n z=10.9/1=10.9kN1、强度验算弯矩图(kN·m)σmax=M max/W=15.543×106/185000=84.017N/mm2≤[f]=215N/mm22、抗剪验算剪力图(kN)τmax=Q max/(8I zδ)[bh02-(b-δ)h2]=22.205×1000×[94×1802-(94-6.5)×158.62]/(8×16600000×6 .5)=21.727N/mm2τmax=21.727N/mm2≤[τ]=125N/mm23、挠度验算变形图(mm)νmax=5.619mm≤[ν]=2×l x/360=2×1400/360=7.778mm4、支座反力计算设计值:R1=-5.602kN,R2=28.558kN四、悬挑主梁整体稳定性验算受弯构件整体稳定性分析:其中φb -- 均匀弯曲的受弯构件整体稳定系数:查表《钢结构设计标准》(GB50017-2017)得,φb=2由于φb大于0.6,根据《钢结构设计标准》(GB50017-2017)附表C,得到φb'值为0.93。
工字钢便桥设计计算书一、便桥设计便桥上部采用10根I40a工字钢的作为承重主梁,每5根分为一组,每组中工字钢间距40cm,两组间距80cm;横梁采用[20a槽钢,其中底横梁纵向布置间距1m,采用Φ20mm的U型钢筋连接,顶横梁(兼做桥面板支撑)纵向间距50cm,同样采用Φ20mm的U型钢筋连接,桥面板采用δ=10mm厚的防滑钢板纵向铺设,钢板宽度50cm,布置式错开U型连接筋。
桥墩、桥台均采用φ600×10mm的钢管,钢管顶部设置I36a双拼工字钢作为横梁,桥墩采用[20槽钢斜向连接。
二、荷载分析根据便桥使用情况分析,承受荷载主要由桥梁上部结构自重荷载q,及车辆荷载P两部分组成,其中车辆荷载为主要荷载。
如图1所示:为简化计算,桥梁自重荷载q按均布荷载考虑,车辆荷载按集中荷载考虑。
以单片工字钢受力情况分析确定q、P值。
Pq图1-荷载布置示意图1、q值确定根据设计图得出桥梁上部结构自重g:(以一跨为单位进行验算),⑴主梁(I40a):g1=67.598×10=675.98(N/m)=0.676(KN/m)⑵横梁([20):g 2=4.5×25.77×26×1010×9 =335.01(N/m)=0.335(KN/m)⑶防护栏杆:g 3=49.36×3.33×109×10 =18.26(N/m)=0.018(KN/m)⑷锚固筋:g 4=1.62×2.47×3×8×109×10 =10.667(N/m)=0.011(KN/m)⑸桥面钢板:g 5=4.404×80.278×9×109×10 =353.54(N/m)=0.354(KN/m)恒载q:q=g 1+g 2+g 3+g 4+g 5=1.394(KN/m) 为安全计算时按q=1.5KN/m 考虑。
现浇支架计算书绍兴市正源建设工程有限公司二○一四年三月现浇支架检算资料一、设计依据1.《建筑结构荷载规范》(GB50009-2001)2.《建筑桩基技术规范》(JGJ94-2008)3.《钢结构设计规范》(GB 50017-2003)4.《混凝土结构设计规范》(GB 50010-2010)5.《建筑抗震设计规范》(GB 50011-2010)6.施工支架设计图纸二、荷载参数将箱梁分几个区块进行独立验算,箱梁断面总混凝土方量14.52平方米,分成7个独立的大区块进行分析计算,桥两边翼缘板小面积不考虑计算。
具体分块如下:序号 1 2 3 4 5 6 7面积(m²) 1.7 2.1 1.7 2.31 1.7 2.1 1.7重量(T) 4.42 5.46 4.42 6 4.42 5.46 4.426 8 6 8 6 8 6工字钢数量(排)已知:1.施工荷载取:2.5 KN/m2;2.振捣荷载取:2.0 KN/m2;3.恒载分项系数:1.2;4.活载分项系数:1.4;5.倾倒混凝土时产生的冲击荷载:2.0 KN/m²;6.荷载规范将风荷载基本值的重现期由原来30年一遇改为50年一遇且不得小于0.3kN/m²三、施工支架总体布置1、支架具体结构一、中间跨支架结构:箱梁尺寸15.25米*30米。
箱梁下现浇支架桥墩边上考虑基础采用直径609*壁厚16钢支撑做基础,中间支撑采用直径1米的灌注桩做基础。
钢支撑间距为2.5米,相互钢支撑之间用16槽钢做剪刀撑,上部放置45b双拼工字钢做盖梁。
盖梁上放置40B工字钢间距40cm一道做主梁,主梁直接铺枕木。
支架具体布置见设计图纸。
四、箱梁下部贝雷梁支架跨径11米结构计算根据上面分析可知,箱梁主要被分为了4.42吨、5.46吨、6吨共计三种不同的区域进行受力分析(一)、4.42吨处支架计算1、贝雷弯矩、剪力、绕度的验算根据方案对支架最大跨径11米,宽1米处进行内力分析。
工字钢搁置主梁验算计算书计算依据:1、《建筑施工扣件式钢管脚手架安全技术规范》JGJ130-20112、《建筑施工门式钢管脚手架安全技术规范》JGJ128-20103、《钢结构设计规范》GB50017-2003一、基本参数作用点号各排立杆传至梁上荷载标准值F'(kN)各排立杆传至梁上荷载设计值F(kN)各排立杆距主梁外锚固点水平距离(mm)主梁间距l a(mm)1 6.138 7 140 9002 6.138 7 1040 9003 6.138 7 1940 9004 6.138 7 2840 9005 6.138 7 3740 9006 6.1387 4640 900附图如下:平面图立面图三、主梁验算主梁材料类型 工字钢 主梁合并根数n z 1 主梁材料规格14号工字钢 主梁截面积A(cm 2) 21.5 主梁截面惯性矩I x (cm 4) 712 主梁截面抵抗矩W x (cm 3)102 主梁自重标准值g k (kN/m)0.169主梁材料抗弯强度设计值[f](N/mm 2) 215 主梁材料抗剪强度设计值[τ](N/mm 2) 125主梁弹性模量E(N/mm 2)206000主梁允许挠度[ν](mm) 1/250荷载标准值:q'=g k =0.169=0.169kN/m第1排:F'1=F 1'/n z =6.138/1=6.138kN 第2排:F'2=F 2'/n z =6.138/1=6.138kN 第3排:F'3=F 3'/n z =6.138/1=6.138kN第4排:F'4=F4'/n z=6.138/1=6.138kN第5排:F'5=F5'/n z=6.138/1=6.138kN第6排:F'6=F6'/n z=6.138/1=6.138kN荷载设计值:q=1.2×g k=1.2×0.169=0.203kN/m第1排:F1=F1/n z=7/1=7kN第2排:F2=F2/n z=7/1=7kN第3排:F3=F3/n z=7/1=7kN第4排:F4=F4/n z=7/1=7kN第5排:F5=F5/n z=7/1=7kN第6排:F6=F6/n z=7/1=7kN1、强度验算弯矩图(kN·m)σmax=M max/W=15.204×106/102000=149.058N/mm2≤[f]=215N/mm2符合要求!2、抗剪验算剪力图(kN)τmax=Q max/(8I zδ)[bh02-(b-δ)h2]=76.034×1000×[80×1402-(80-5.5)×121.82]/(8×7120000×5.5)=112.316N /mm2τmax=112.316N/mm2≤[τ]=125N/mm2符合要求!3、挠度验算变形图(mm)νmax=7.623mm≤[ν]=l/250=4780/250=19.12mm符合要求!4、支座反力计算R1=-27.203kN,R2=48.459kN,R3=97.855kN,R4=-75.999kN四、主梁整体稳定性验算主梁轴向力:N =[0]/n z=[0]/1=0kN压弯构件强度:σmax=M max/(γW)+N/A=15.204×106/(1.05×102×103)+0×103/2150=141.96N/mm2≤[f]=215N/mm2 塑性发展系数γ符合要求!受弯构件整体稳定性分析:其中υb -- 均匀弯曲的受弯构件整体稳定系数:查表《钢结构设计规范》(GB50017-2003)得,υb=1.07由于υb大于0.6,根据《钢结构设计规范》(GB50017-2003)附表B,得到υb值为0.81。
现浇支架计算书绍兴市正源建设工程有限公司二○一四年三月现浇支架检算资料一、设计依据1.《建筑结构荷载规范》(GB50009-2001)2.《建筑桩基技术规范》(JGJ94-2008)3.《钢结构设计规范》(GB 50017-2003)4.《混凝土结构设计规范》(GB 50010-2010)5.《建筑抗震设计规范》(GB 50011-2010)6.施工支架设计图纸二、荷载参数将箱梁分几个区块进行独立验算,箱梁断面总混凝土方量14.52平方米,分成7个独立的大区块进行分析计算,桥两边翼缘板小面积不考虑计算。
具体分块如下:序号 1 2 3 4 5 6 7面积(m²) 1.7 2.1 1.7 2.31 1.7 2.1 1.7重量(T) 4.42 5.46 4.42 6 4.42 5.46 4.426 8 6 8 6 8 6工字钢数量(排)已知:1.施工荷载取:2.5 KN/m2;2.振捣荷载取:2.0 KN/m2;3.恒载分项系数:1.2;4.活载分项系数:1.4;5.倾倒混凝土时产生的冲击荷载:2.0 KN/m²;6.荷载规范将风荷载基本值的重现期由原来30年一遇改为50年一遇且不得小于0.3kN/m²三、施工支架总体布置1、支架具体结构一、中间跨支架结构:箱梁尺寸15.25米*30米。
箱梁下现浇支架桥墩边上考虑基础采用直径609*壁厚16钢支撑做基础,中间支撑采用直径1米的灌注桩做基础。
钢支撑间距为2.5米,相互钢支撑之间用16槽钢做剪刀撑,上部放置45b双拼工字钢做盖梁。
盖梁上放置40B工字钢间距40cm一道做主梁,主梁直接铺枕木。
支架具体布置见设计图纸。
四、箱梁下部贝雷梁支架跨径11米结构计算根据上面分析可知,箱梁主要被分为了4.42吨、5.46吨、6吨共计三种不同的区域进行受力分析(一)、4.42吨处支架计算1、贝雷弯矩、剪力、绕度的验算根据方案对支架最大跨径11米,宽1米处进行内力分析。
(1)、每米恒载45B工字钢荷载: 0.875×6×1.2=6.3KN/m式中1.15为连接件扩大系数,下面的同样。
箱梁荷载: 44.2*1.2*1.05=55.7KN/m砼超重系数:1.05;施工荷载: 2.5×1×1.4=3.5KN/m振捣荷载取:2.0×1×1.4=2.8KN/m。
倾倒混凝土时产生的冲击荷载:2.0×1×1.4=2.8KN/m 风荷载:0.3×1×1.4=0.42KN/mQ合=6.3+57.7+3.5+2.8+2.8+0.42=74.42KN/mM恒=1/8qL^2=0.125×74.42×11^2=1126KN.m注: q------每米所有载荷重量(KN/m)L------现浇梁支撑跨径(m)Q恒=q×11/2/6 =74.42×11/2/6=68KN<[σ]=170Mpa (考虑多跨连续梁中间支点受力)注:q------荷载总重(KN)剪力验算;45B工字钢 W=1500cm3σ=Mmax/W=1126/1.5/6=125Mpa<[σ]=170Mpa所以跨中基础采用6根45B工字钢是满足要求的。
(二)、5.46吨处支架计算1、贝雷弯矩、剪力、绕度的验算根据方案对支架跨径13米,宽2.63米处进行内力分析。
根据荷载分布和实际情况,按简支梁控制计算。
(1)、每米恒载45B工字钢荷载: 0.875×8×1.2=8.4KN/m式中1.15为连接件扩大系数,下面的同样。
箱梁荷载: 54.6*1.2*1.05=68.8KN/m砼超重系数:1.05;施工荷载: 2.5×2.63×1.4=9.21KN/m振捣荷载取:2.0×2.63×1.4=7.36KN/m。
倾倒混凝土时产生的冲击荷载:2.0×2.63×1.4=7.36KN/m Q合=8.4+68.8+9.21+7.36+7.36=101.13KN/mM恒=1/8qL^2=0.125×101.13×11^2=1530KN.m注: q------每米所有载荷重量(KN/m)L------现浇梁支撑跨径(m)Q恒=q×11/2/8 =70KN(考虑多跨连续梁中间支点受力)注:q------荷载总重(KN)剪力验算;45B工字钢 W=1500cm3σ=Mmax/W=1530/1.5/8=128Mpa<[σ]=170Mpa所以跨中基础采用8根45B工字钢是满足要求的。
(三)、6吨处支架计算1、贝雷弯矩、剪力、绕度的验算根据方案对支架跨径11米,宽2.89米处进行内力分析。
根据荷载分布和实际情况,按简支梁控制计算。
(1)、每米恒载45B工字钢荷载: 0.875×8×1.2=8.4KN/m式中1.15为连接件扩大系数,下面的同样。
箱梁荷载: 60*1.2*1.05=75.6KN/m砼超重系数:1.05;施工荷载: 2.5×2.89×1.4=10.1KN/m振捣荷载取:2.0×2.89×1.4=8.1KN/m。
倾倒混凝土时产生的冲击荷载:2.0×2.89×1.4=8.1KN/m Q合=8.4+75.6+10.1+8.1+8.1=109.8KN/mM恒=1/8qL^2=0.125×109.8×11^2=1661KN.m注: q------每米所有载荷重量(KN/m)L------现浇梁支撑跨径(m)Q恒=q×11/2/8 =109.8×11/2/8=75.5KN(考虑多跨连续梁中间支点受力)注:q------荷载总重(KN)弯矩产生的剪力验算;45B工字钢 W=1500cm3σ=Mmax/W=1661/1.5/8=138Mpa<[σ]=170Mpa所以跨中基础采用8根40B工字钢是满足要求的。
四、箱梁下部贝雷梁支架跨径7.5米结构计算根据上面分析可知,箱梁主要被分为了4.42吨、5.46吨、6吨共计三种不同的区域进行受力分析(一)、4.42吨处支架计算1、贝雷弯矩、剪力、绕度的验算根据方案对支架最大跨径7.5米,宽1米处进行内力分析。
根据荷载分布和实际情况,按简支梁控制计算。
(1)、每米恒载式中1.15为连接件扩大系数,下面的同样。
箱梁荷载: 44.2*1.2*1.05=55.7KN/m砼超重系数:1.05;施工荷载: 2.5×1×1.4=3.5KN/m振捣荷载取:2.0×1×1.4=2.8KN/m。
倾倒混凝土时产生的冲击荷载:2.0×1×1.4=2.8KN/m风荷载:0.3×1×1.4=0.42KN/mQ合=3.15+57.7+3.5+2.8+2.8+0.42=70.3KN/mM恒=1/8qL^2=0.125×70.3×7.5^2=494.3KN.m注: q------每米所有载荷重量(KN/m)L------现浇梁支撑跨径(m)Q恒=q×7.5/2/3 =70.3×7.5/2/3=87.9KN<[σ]=170Mpa (考虑多跨连续梁中间支点受力)注:q------荷载总重(KN)剪力验算;45B工字钢 W=1500cm3σ=Mmax/W=494/1.5/3=110Mpa<[σ]=170Mpa所以跨中基础采用3根45B工字钢是满足要求的。
(二)、5.46吨处支架计算1、贝雷弯矩、剪力、绕度的验算根据方案对支架跨径7.5米,宽2.63米处进行内力分析。
根据荷载分布和实际情况,按简支梁控制计算。
45B工字钢荷载: 0.875×4×1.2=4.2KN/m式中1.15为连接件扩大系数,下面的同样。
箱梁荷载: 54.6*1.2*1.05=68.8KN/m砼超重系数:1.05;施工荷载: 2.5×2.63×1.4=9.21KN/m振捣荷载取:2.0×2.63×1.4=7.36KN/m。
倾倒混凝土时产生的冲击荷载:2.0×2.63×1.4=7.36KN/m Q合=4.2+68.8+9.21+7.36+7.36=97.13KN/mM恒=1/8qL^2=0.125×97.13×7.5^2=683KN.m注: q------每米所有载荷重量(KN/m)L------现浇梁支撑跨径(m)Q恒=q×7.5/2/4 =91KN(考虑多跨连续梁中间支点受力)注:q------荷载总重(KN)剪力验算;45B工字钢 W=1500cm3σ=Mmax/W=683/1.5/4=114Mpa<[σ]=170Mpa所以跨中基础采用4根45B工字钢是满足要求的。
(三)、6吨处支架计算1、贝雷弯矩、剪力、绕度的验算根据方案对支架跨径13米,宽2.89米处进行内力分析。
根据荷载分布和实际情况,按简支梁控制计算。
(1)、每米恒载45B工字钢荷载: 0.875×4×1.2=4.2KN/m式中1.15为连接件扩大系数,下面的同样。
箱梁荷载: 60*1.2*1.05=75.6KN/m砼超重系数:1.05;施工荷载: 2.5×2.89×1.4=10.1KN/m振捣荷载取:2.0×2.89×1.4=8.1KN/m。
倾倒混凝土时产生的冲击荷载:2.0×2.89×1.4=8.1KN/m Q合=4.2+75.6+10.1+8.1+8.1=105.6KN/mM恒=1/8qL^2=0.125×105.6×7.5^2=742.5KN.m注: q------每米所有载荷重量(KN/m)L------现浇梁支撑跨径(m)Q恒=q×7.5/2/4 =105.6×7.5/2/4=99KN(考虑多跨连续梁中间支点受力)注:q------荷载总重(KN)弯矩产生的剪力验算;45B工字钢 W=1500cm3σ=Mmax/W=742.5/1.5/4=124Mpa<[σ]=170Mpa所以跨中基础采用4根45B工字钢是满足要求的。
五、横梁受力分析一、跨中双拼588*300H型钢盖梁内力分析桥墩之间净跨为28.5米,跨中盖梁承受上部现浇梁左右各一半的总重,共(7.5+11)/2米的重量。
假设上部荷载均匀作用在盖梁上,则盖梁的受力分析如下:(1)、每米恒载45B工字钢荷载: 0.875×(53×1.2×5.5+29×1.2×3.75)=420.3KN 箱梁荷载: 145.2*2.6*1.2*1.05*(5.5+3.75)=4400KN砼超重系数:1.05;施工荷载: 2.5×12×1.4×9.25=388.5KN/m振捣荷载取:2.0×12×1.4×9.25=311KN/m。