物理化学计算题1
- 格式:doc
- 大小:1.11 MB
- 文档页数:10
物理化学习题题目一某物质的熔点为100°C,沸点为200°C。
若将36g的该物质从液态加热到气态,需要吸收多少热量?已知该物质的熔化热为40 cal/g,汽化热为80 cal/g。
解答:首先计算熔化过程需要的热量。
根据熔化热的定义,熔化过程需要的热量可以通过以下公式计算:Q = m * ΔHf其中,Q为热量,m为物质的质量,ΔHf为熔化热。
将已知数据代入公式计算:Q1 = 36g * 40 cal/g = 1440 cal接下来计算汽化过程需要的热量。
根据汽化热的定义,汽化过程需要的热量可以通过以下公式计算:Q = m * ΔHv其中,Q为热量,m为物质的质量,ΔHv为汽化热。
将已知数据代入公式计算:Q2 = 36g * 80 cal/g = 2880 cal所以,将36g的该物质从液态加热到气态需要吸收的总热量为:Q总 = Q1 + Q2 = 1440 cal + 2880 cal = 4320 cal题目二某有机物A的摩尔热容为25 J/(mol·K),某有机物B的摩尔热容为40J/(mol·K)。
已知在一定温度下,物质A和物质B的摩尔比为1:2,试求混合物的摩尔热容。
解答:首先计算物质A和物质B在混合物中所占的摩尔数。
根据题目中给出的摩尔比,我们可以设物质A的摩尔数为x,物质B的摩尔数为2x。
根据摩尔热容的定义,摩尔热容可以通过以下公式计算:C = Q / (n * ΔT)其中,C为摩尔热容,Q为热量,n为物质的摩尔数,ΔT为温度变化。
将物质A和物质B的摩尔热容代入公式计算:C_A = 25 J/(mol·K) C_B = 40 J/(mol·K)混合物的总摩尔数为x + 2x = 3x。
根据题目中给出的温度变化,假设为ΔT,混合物的热量可以通过以下公式计算:Q = C_A * n_A * ΔT + C_B * n_B * ΔT将已知的摩尔热容和摩尔数代入公式计算:Q = 25 J/(mol·K) * x * ΔT + 40 J/(mol·K) * 2x * ΔT = 25x ΔT + 80x ΔT = 105x ΔT所以混合物的摩尔热容为:C_混合物 = Q / (n_混合物* ΔT) = (105x ΔT) / (3x * ΔT) = 35 J/(mol·K)题目三某物质的密度为2.5 g/mL,摩尔质量为40 g/mol。
热力学第一定律1. 1 mol某一理想气体在恒定外压为1.01 x 102 kPa下,从10升膨胀到16升,同时吸热125 J则此过程的ΔU为多少焦耳?( )(A) -248 J (B) +842 J (C) -482 J (D) +482 J2.下述说法中,哪一种正确?( ) 第一定律说明,封闭体系的(A) 吸热Q是状态函数(B) 对外做功W是状态函数(C) Q-W是状态函数(D)热力学能U是状态函数3.公式H=U+pV中,p表示什么含意?( )(A)体系总压力(B) 体系各组分分压(C) 1.01 x 102 kPa (D) 外压4. 理想气体进行绝热自由膨胀后,下述答案中,哪一个不正确?( )(A) Q = 0 (B) W = 0 (C) ΔU = 0 (D) ΔH = 0 (E)都正确5.将某理想气体从温度T1加热到T2,若此变化为非恒容途径,则其热力学能的变化ΔU应为何值?( ) (A) ΔU = 0 (B) ΔU = C V (T2-T1)(C) ΔU不存在(D) ΔU等于其他值6本题中,Q V应为何值?( )(A) Q V=0 (B) Q V =C V(T2-T1)(C) Q V不存在(D) Q V等于其他值7. 将某理想气体从温度T1加热到T2,若此变化为非恒压途径,则其焓变ΔH应为何值?( ) (A) ΔH =0 (B) ΔH =C p(T2-T1)(C) ΔH不存在(D) ΔH等于其他值8.一个纯物质的膨胀系数a= 1/V(∂V/ ∂T)p = 1/T(T为绝对温度),则该物质的摩尔恒压热容C p,下述答案中,哪一个正确?( )(A) 与体积V无关(B)与压力p无关(C) 与温度T无关9.若一气体的方程为pV=RT + a p(a>0), 则下述答案中,哪一个正确?( )(A) (∂U/∂V)T=0 (B) (∂U/∂p)T=0(C) (∂U/∂T)V=0 (D) (∂U/∂T)p=010.某理想气体的 =C p/C v=1.40,则该气体应为何种气体?( )(A) 单原子分子气体(B)双原子分子气体(C) 三原子分子气体(D) 四原子分子气体二、判断题:1. 因为Q,W不是系统的性质,而与过程有关,所以热力学过程中(Q-W)的值也应由具体过程决定。
动力学1A 一、选择题 1. 连串反应 Ak 1Bk 2C 其中 k 1= 0.1 min -1, k 2= 0.2 min -1,假定反应开始时只有 A ,且浓度为 1 mol ·dm -3 ,则 B 浓度达最大的时间为: ( )(A) 0.3 min (B) 5.0 min (C) 6.93 min (D) ∞ 2. 平行反应 Ak 1B (1); Ak 2D (2),其反应 (1) 和(2) 的指前因子相同而活化能不同,E 1为 120 kJ ·mol -1,E 2为 80 kJ ·mol -1,则当在 1000K 进行时,两个反应速率常数的比是: ( )(A) k 1/k 2= 8.138×10-3 (B) k 1/k 2= 1.228×102(C) k 1/k 2= 1.55×10-5 (D) k 1/k 2= 6.47×104 3. 如果臭氧 (O 3) 分解反应 2O 3→ 3O 2的反应机理是: O 3→ O + O 2 (1) O + O 3→ 2O 2 (2) 请你指出这个反应对 O 3而言可能是: ( )(A) 0 级反应 (B) 1 级反应 (C) 2 级反应 (D) 1.5 级反应4. 化学反应速率常数的 Arrhenius 关系式能成立的范围是: ( ) (A) 对任何反应在任何温度范围内 (B) 对某些反应在任何温度范围内 (C) 对任何反应在一定温度范围内 (D) 对某些反应在一定温度范围内5. 如果反应 2A + B = 2D 的速率可表示为:r = -12d c A /d t = - d c B /d t = 12d c D /d t则其反应分子数为: ( )(A) 单分子 (B) 双分子 (C) 三分子 (D) 不能确定3 (A) kp H 23 p N 2 (B) kp H 22p N 2(C) kpH2pN2(D) kpH2pN227. 在反应 A k1Bk2C,Ak3D 中,活化能E1> E2> E3,C 是所需要的产物,从动力学角度考虑,为了提高 C 的产量,选择反应温度时,应选择: ( )(A) 较高反应温度 (B) 较低反应温度(C) 适中反应温度 (D) 任意反应温度8. [X]0 [Y][Z] 增加 0.0050 mol·dm-3所需的时间/ s0.10 mol·dm-3 0.10 mol·dm-3 720.20 mol·dm-3 0.10 mol·dm-3 180.20 mol·dm-3 0.05 mol·dm-3 36对于反应 X + 2Y → 3Z,[Z] 增加的初始速率为: ( )(A) 对 X 和 Y 均为一级 (B) 对 X 一级,对 Y 零级(C) 对 X 二级,对 Y 为一级 (D) 对 X 四级,对 Y 为二级9. 一级反应,反应物反应掉 1/n所需要的时间是: ( )(A) -0.6932/k (B) (2.303/k) lg[n/(n-1)](C) (2.303/k) lg n (D) (2.303/k) lg(1/n)10. 关于反应速率理论中概率因子P的有关描述,不正确的是: ( )(A) P与∆≠S m有关(B) P体现空间位置对反应速率的影响(C) P与反应物分子间相对碰撞能有关(D) P值大多数<1,但也有>1的二、填空题12. 60Co广泛用于癌症治疗, 其半衰期为5.26 a (年), 则其蜕变速率常数为:_________________, 某医院购得该同位素20 mg, 10 a后剩余 ______________mg。
物理化学练习题及答案
以下是物理化学练题及其答案:
1. 已知氯气在0℃时密度比空气大
2.44倍,求氯气的摩尔质量。
答案:70.91 g/mol
2. 算出10mol一氧化碳和15mol氧气在完全燃烧下产生的水的
质量并写出反应式。
答案:反应式2CO + O2 → 2CO2;水的质量为180g。
3. 有一容积为1L的,温度为25℃,内装有SO2Dioxide,在标
准状况下浓度为1mol/L。
求体积为1L的内的SO2质量。
答案:64.07g
4. 已知非极性H2O2在正己烷中的溶解度为0.25 g/L,求该物
质在正己醇中的溶解度。
假设两种溶剂的体积相等。
答案:0.2 g/L
5. 已知分子式为C4H10的有机物A和分子式为C2H6O的有机物B在相同的条件下燃烧生成的CO2的质量之比为27:22,求A 和B的分子式。
答案:A为C4H10,B为C2H6O2。
6. 在65℃时,硫的三种同素异形体均匀自由某室温下倾斜的中慢慢流出。
它们的密度分别为1.96,2.07和2.30g/cm³。
问它们按照密度从小到大的顺序排列,应先流出的是哪一个?
答案:轻硫S8。
以上是物理化学练题及答案。
第一章 化学热力学基本定律与函数复习思考题1. 状态函数有何特点,当体系进行任一循环过程时,其状态函数的变化值是多少?2. 设有一封闭体系,当其始、末态确定之后,判断下列各种物理量是否有确定的值。
(1) W(Q=0); (2)Q; (3)Q(W=0); (4)Q-W。
3. 试证明在无有效功的恒容过程中ΔU=QV。
此过程中的ΔH又是多少(用公式表示)?是否仍可用过程热来量度?4. 将273.15 K 、1 mol 的冰缓缓加热,使其在恒压下蒸发为373.15 K 的水蒸气,此过程热用T C p O)d H (2373.15K K 15.273m ,⎰计算对不对?5. 对1 mol 理想气体,从同一始态(p、T 、V )出发,分别进行恒温可逆膨胀或绝热可逆膨胀至相同体积的末态,其所做的膨胀功哪一过程大?6. 1 mol 气体从同一始态出发,分别进行恒温可逆膨胀或恒温不可逆膨胀达到相同的末态,由于恒温可逆膨胀时所做的功Wr 大于恒温不可逆膨胀时的体积功Wir ,则Q r >Q ir 。
对否? 为什么?7. 任一气体从同一始态出发分别经绝热可逆膨胀或绝热不可逆膨胀达到体积相同的末态,而末态的压强相同吗?8. 说明下列热化学方程式能表明什么。
CH 3CH 2OH (l )+CH 3COOH (l )==== CH 3COOC 2H 5(l)+H 2O(l)Θm r H ∆(298K )= 8 238.30 J ·mol -1 当此反应达到平衡时,乙醇、乙酸、脂及水的物质的量分别为31、31、32及32mol ,求32mol 的乙醇与适量乙酸转化为脂及水所吸收的热。
9. 热为过程函数,为何计算化学反应的恒压热效应Qp 时又只取决于始、末态?10. 在标准状态下,CO (g,Θp )+21O 2(g,Θp )==== CO 2(g, Θp )的Θm r H ∆(298K)值即为Θm r H ∆(CO 2,g,298K),对否? 2H 2(g,Θp )+O 2(g,Θp )====2H 2O(g, Θp )的Θm r H ∆(298K )值等于Θm f H ∆(H2O,g,298K),并等于Θm c H ∆(H 2,298K ),对不对? 11. 298.15 K 、Θp 下,液氮的标准生成热为零吗?12. 试指出下列公式的适用条件:(1) ⎰∆+∆=∆ΘΘ21d )()(1m r 2m r T T p TC T H T H ;(2) RT Q Q V p )g (B m ,m ,∑+=ν13. 含有放射性元素物质的蜕变反应的热效应可用各物质的标准生成焓计算吗? 为什么?14. 如果不断地将理想气体进行恒温膨胀,则所吸收的热全部转变为功,这不就是单一热源也能做功的实例吗?如何解释?15. 在同一始、末态间,可逆过程的热温商大于不可逆过程的热温商,即“可逆过程的熵变化值大于不可逆过程的熵变化值”。
高材15级物理化学试题A一、分析及相图题1、真实气体的行为规则是什么?真实气体能否被液化?其条件是什么?答:分子之间有相互作用力,分子本身占有体积,分子不断作无规则热运动;能被液化,气体温度低于Tc(临界温度)。
2、质量作用定律对于复杂反应是否适应?答:否,质量作用定律只适用于基元反应,对于非基元反应,只能对其反应机理的每一步基元反应适用。
3、现在有人想利用海洋中不同深度的温度不同,设计一种循环操作的机器,使海水的热力学能转换成有用的机械功。
这是不是违反热力学第二定律?为什么?答:不违反,海洋深层的温度低于表面,由于相对密度的原因,温度低的水总在海洋的下层,因为不是从单一的热源吸热做功,所以不违反热力学第二定律。
4、任一封闭系统在任意指定的始末状态之间可设计出无数多个具体的途径,各具体途径的热和功皆不相等,但每个途径的热和功的代数和皆相等,原因何在?答:封闭系统在指定的始末状态之间,任一指定途径的Qi+Wi=Δu,而Δu是状态函数的增量。
对于指定系统,Δu只取决于始末状态而与途径无关,故各途径的热和功…5、气相反应NO(g)+1/2O2(g) → NO2(g)在298 K,101.325 kPa下进行。
若有关气体均可视为理想气体,则因理想气体的热力学能只是温度的函数,故上述反应的△U = 0,又因是等温等压过程,Q=nC p,m△T=0。
此种说法是否正确?为什么?答:不正确,对于一定质量一定组成的理想气体,其热力学能只是温度的函数,有相变化或化学变化时不满足上述条件,也就是得不到ΔU=0的结论,只适用于系统在无相变化及化学变化且ω′=0的等压过程下的的情况,而有化学变化时套用公式则不对。
6、知道了化学反应方程式,能否确定其反应级数和反应分子数?答:不能,反应级数由实验得到,可通过尝试法,半衰期法,初始速率法等加以确定,通常一个化学反应不是按其计量数所示个数分子直接碰撞,而是经过一系列分子直接碰撞发生的步骤7、一定量100℃,100 kPa的水,在等温等压条件下变成水蒸气。
物理化学试卷十十一(1)班级姓名分数一、选择题( 共9题18分)1. 基元反应A + B - C →A - B + C 的摩尔反应焓∆r H m< 0, B - C 键的键能为εBC,A为自由基,则反应活化能等于:( )(A) 0.30 εBC(B) 0.05 εBC(C) 0.05 εBC + ∆H m(D) 0.05 εBC - ∆H m2. 放射性Pb201的半衰期为8 h,1 g 放射性Pb201在24 h 后还剩下:( )(A) 1/8 g(B) 1/4 g(C) 1/3 g(D) 1/2 g3. 某反应物反应掉7/8 所需的时间恰好是它反应掉1/2 所需时间的3 倍,则该反应的级数是:( )(A) 零级(B) 一级反应(C) 二级反应(D) 三级反应4. 某反应物起始浓度相等的二级反应,k = 0.1 dm3·mol-1·s-1,c0= 0.1 mol·dm-3,当反应率降低9 倍所需时间为:( )(A) 200 s(B) 100 s(C) 30 s(D) 3.3 s5. 某二级反应,反应物消耗1/3 需时间10 min,若再消耗1/3 还需时间为:( )(A) 10 min(B) 20 min(C) 30 min(D) 40 min6. 若反应A + B kk + -C +D 正逆向均为二级反应,则平衡常数K与正逆向速率常数k+ , k- 间的关系为:( )(A) K > k+/ k-(B) K < k+/ k-(C) K = k+/ k-(D) K与k+/ k-关系不定7. 一个反应的活化能是33 kJ·mol-1, 当T = 300 K 时,温度每增加1K,反应速率常数增加的百分数约是:( )(A) 4.5%(B) 90%(C) 11%(D) 50%8. 某反应的反应物消耗一半的时间正好是反应物消耗1/4 的时间的2 倍,则该反12应的级数是: ( ) (A) 0.5 级反应 (B) 0 级反应 (C) 1 级反应(D) 2 级反应9. 两个一级平行反应 A k 1B ,Ak 2C ,下列哪个结论是不正确的:( ) (A) k 总= k 1+ k 2 (B) k 1/k 2= [B]/[C] (C) E 总= E 1+ E 2(D) t 12= 0.693/(k 1+ k 2)二、填空题 ( 共 9题 17分 )10. 在300 K 时, 鲜牛奶5 h 后即变酸, 但在275 K 的冰箱里,可保存50 h, 牛 奶变酸反应的活化能是______________________________________。
一:选择题1.对于只作体积功的封闭系统,正确表达热力学第一定律的式子是( )Vdp dH Q d dV p dU Q c W Q U b W Q U a amb -=-=+=+=∆δδδδ)()()()( 2.一封闭系统经两条不同途径从始态变化到终态,下列式子那些可以成立?( )11212121)()()(H Q d U U c W W b Q Q a ∆=∆=∆==)(3. 计算体积功的基本公式为( ))()()()()()(1122212112V p V p W d pdV W c dV p W b V V p W a amb --=-=-=--=⎰∑ 4.一个与环境完全绝热的寝室,室内有一电冰箱正在工作,打开冰箱门,冷气传向室内,试问室内温度将如何变化?( ) (a )不断升高 (b) 不断降低 (c) 保持不变 (d) 无法判断5.对于状态函数的描述,下列说法哪个是不恰当的?( )(a)是状态的单值函数。
(b) 其改变值只决定于始、终态,与变化途径无关。
(c) 其简单组合必也是状态函数。
(d) 其微分是全微分。
6.理想气体恒温膨胀由1000kPa 变化到100kPa ,试问: 0)()(0)()(0)(0)()(H d U c W b Q a ∆∆)(7.常温下气体物质的恒压摩尔热容与恒容摩尔热容相比( ):无法比较)()()()(,,,,,,d C C c C C b C C a m V m p m V m p m V m p =<> 8.一绝热容器中间用一隔板隔开,一边抽成真空,另一边装有1000kPa 、298.15K 的理想气体,抽掉隔板后气体充满整个容器,达平衡后容器内的温度将( ):(a) 高于298.15K (b) 低于298.15K (c) 等于298.15K (d) 无法判断9.一真空绝热筒,有一活塞与大气相通,打开活塞后气体立即进入筒中,当筒内压力与大气压力相等时关闭活塞,则筒内温度( )(a) 高于大气T (b) 低于大气T (c) 等于大气T (d) 无法判断10一绝热筒内装有1000kPa 气体,其温度与大气相等,打开活塞气体喷出筒外,当筒内压力与大气压力相等时迅速关闭活塞,此时()(a) 筒T >大气T (b) 筒T <大气T (c)筒T =大气T (d) 无法判断11.298.15K ,101.325kPa 下反应 )()(44aq ZnSO Cu aq CuSO Zn +=+可经途径(1)使反应在烧杯中进行,途径(2)使反应在可逆电池中进行,则下列那些式子成立?( )12112121)()(H Q c H Q c Q Q b H H a ∆=∆==∆=∆)()( 12.在封闭系统内当热从系统传向环境时,系统的热力学能和焓( )(a) 必降低 (b)必升高 (c) 保持不变 (d) 不一定降低13.一定量理想气体由同一始态出发,分别经恒温可逆膨胀和绝热可逆膨胀到相同终态压力时,终态体积哪个大?( ))()())(d V V c V V b V V a 绝热恒温绝热恒温绝热恒温(=<>无法判断14. 一定量理想气体由同一始态出发,分别经恒温可逆膨胀和绝热可逆膨胀到相同终态体积时,终态压力哪个大?( ))()())(d p p c p p b p p a 绝热恒温绝热恒温绝热恒温(=<>无法判断 15.下列那些式子可以用⎰=∆21dT C H p 计算过程的焓变?( )水在常压下由25℃升温到75℃;(b) 理想气体恒压下进行化学反应水在恒压下蒸发为水蒸气; (d) 恒容钢筒中理想气体由25℃升温到75℃。
杨婷蔚徐鑫鑫2.3 在25℃及恒定压力下,电解1mol水(H2O,l),求过程的体积功。
H2O(l) = H2(g) + 1/2O2(g)解: n = 1mol25℃,101.325kPaH2O(l) H2(g) + O2(g)n1=1mol 1mol + 0.5mol = n2V1 = V l V(H2) + V(O2) = V2恒温恒压化学变化过程, 应用式(2.2.3)W=-p ambΔV =-(p2V2-p1V1)≈-p2V2 =-n2RT=-3.718kJ舒海鑫2.4 系统由相同的始态达到了相同的末态。
若途径a的Qa=2.078kJ,Wa=-4.157kJ,而途径b的Qb=-0.692kJ。
求Wb解:ΔU只取决于封闭系统的始、末状态,而与具体途径无关因为:系统由相同的始态达到了相同的末态所以:ΔU1 = ΔU2即Qa +wa = Qb + wb2.078kJ + (-4.157)kJ = -0.692kJ + wbWb = -1.387kJ陆爱玲2-5 始态为25℃,200kPa的5 mol 某理想气体,经a,b两不同途径到达相同的末态。
途径a 先经绝热膨胀到– 28.57℃,100kPa,步骤的功Wa= - 5.57kJ;在恒容加热到压力200 kPa 的末态,步骤的热Qa= 25.42kJ。
途径b为恒压加热过程。
求途径b的Wb及Qb。
解:过程为5mol 5mol 5molWa=-5.57 kJ Qa=25.42kJ25℃-28.57℃t0℃200kPa 100kPa 200kPaV1 V2 V3V1=nrT1/P1=5×8.314×298.15÷(200×1000)=0.06197m3V2=nrT2/P2=5×8.314×(-28.57+273.15)÷(100×1000)=0.10167m3Wb=-Pamb(v2-v1)=-200×1000×(0.10167-0.06197)=-7940 J=-7.940KJ对a过程△U=Wa+Qa=(-5.57+25.42)kJ =19.85kJ对b过程△U=Wb+QbQ b= △U-Wb=(19.85+7.940)kJ=27.79kJ李淳玉2.6 4 mol的某理想气体,温度升高20 C,求的值。
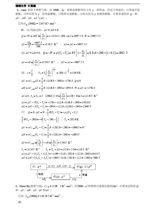
物理化学 计算题1.1mol 单原子理想气体,由298K 、5p 的始态膨胀到压力为p 的终态,经过下列途径:⑴等温可逆膨胀;⑵外压恒为p 的等温膨胀;⑶绝热可逆膨胀;⑷外压恒为p 的绝热膨胀。
计算各途经的Q 、W 、∆U 、∆H 、∆S 、∆A 与∆G 。
巳知m S (298K) = 126 J·K -1·mol -1 。
解:(1)等温过程:ΔU = ΔH = 0,J5.3987K J 38.132985.3987J 5.3987J 5.39875ln 298314.81ln 1-R 21-=∆=∆⋅===∆-==⨯⨯⨯=⎪⎪⎭⎫ ⎝⎛=-=G A T Q S W p p nRT W Q ,;(2) ΔU = ΔH = 0,()()221118.31429810.21982J p Q W p V V RT p ⎛⎫=-=-=-=⨯⨯-= ⎪⎝⎭J 5.3987KJ 38.13ln 1-21-=∆=∆⋅=⎪⎪⎭⎫ ⎝⎛=∆A G p p nR S , (3) K 8.1565298355212112=⨯=⎪⎪⎭⎫ ⎝⎛==--γγγp p T T , ()()()()()()()J129652988.1566.1122934J143182988.1566.1121761K J 6.1125ln 126ln 2980J1761J 29342988.15625J 17612988.1562312121-2121m ,m ,=-⨯--=--∆=∆=-⨯--=--∆=∆⋅=-=⎪⎪⎭⎫ ⎝⎛-===∆-=∆=-=-⨯=∆=∆=-=-⨯=∆=∆T T S H G T T S U A R p p R K S S S S U W R T nC H Q R T nC U p V ,,,(4) ()()12212230V V p T T R W U Q --=-=∆=,,()()()()()()()()()J76612986.1126.2021181983J84542986.1126.2021181190K J 11836.56.112K J 6.112K J 36.5ln ln J19832986.20225J 19902986.20223K 6.2025129829823112211221-121-11-2112m ,12m ,12m ,222=⨯-⨯--=--∆=∆=⨯-⨯--=--∆=∆⋅=+=∆+=⋅=⋅=⎪⎪⎭⎫ ⎝⎛+⎪⎪⎭⎫ ⎝⎛=∆-=-⨯=-=∆=-=-⨯=-=∆=⎪⎭⎫ ⎝⎛⨯--=-T S T S H G T S T S U A S S S S p p nR T T nC S R T T nC H WR T T nC U T T R T R p p V ,,2.10mol H 2(理想气体),C V ,m = 5/2R J·K -1·mol -1,在298K 、p ө时绝热可逆地压缩到10p ө,计算该过程的Q 、W 、∆U 、∆H 、∆S 、∆F 和∆G 。
物理化学(上册)试卷1 班级班级 姓名姓名 分数分数一、选择题 ( 共 8题 40分 ) 1. 5 分 (1436) 1436 体系中若有2%的Cl 2分子由振动基态到第一振动激发态,Cl 2分子的振动波数分子的振动波数 1~v =5569 cm -1,则该体系的温度为则该体系的温度为( ) (A) 2060 K (B) 1000 K (C) 3000 K (D) 206 K 2. 5 分 (1004) 1004 某气体的状态方程为p [(V /n )-b ]=RT ,式中b 为常数, n 为物质的量。
若该气体经一等温过程,压力自p 1变至p 2,则下列状态函数的变化,何者为零? ( ) (A) ΔU (B) ΔH (C) ΔS (D) ΔG3. 5 分 (0005) 0005 现有两个微分式:现有两个微分式:d Z 1=Y (3X 2+Y 2)d X +X (X 2+2Y 2)d Yd Z 2=Y (3X 2+Y )d X +X (X 2+2Y )d Y式中d Z 2代表体系的热力学量,Y ,Z 是独立变量。
是独立变量。
若分别沿若分别沿Y =X 与Y =X 2途径从始态X =0,Y =0 至终态X =1,Y =1 积分,可以证明d Z 2为全微分的应是: ( ) (A) d Z 1 (B) d Z 2 (C) d Z 1和d Z 2 (D) 都不是都不是4. 5 分 (2582) 2582下图为 A , B 二元体系的 t -x 图,当组成为 M 的溶液缓缓冷却至温度t 1时,(1)若以纯固体为标准态,则液相中 A 的活度: ( ) (A) a A >1 (B) a A =1 (C) a A <1(2)若以过冷液体 A 为标准态, 则 A 的活度: ( ) (A) a A >1 (B) a A =1 (C) a A <15. 5 分 (0162) 0162始态完全相同(p 1,V 1,T 1)的一个理想气体体系和另一个范德华气体体系,分别进行绝热恒外压(p 0)膨胀。
动力学1A 一、选择题 1. 连串反应 Ak 1Bk 2C 其中 k 1= 0.1 min -1, k 2= 0.2 min -1,假定反应开始时只有 A ,且浓度为 1 mol ·dm -3 ,则 B 浓度达最大的时间为: ( )(A) 0.3 min (B) 5.0 min (C) 6.93 min (D) ∞ 2. 平行反应 Ak 1B (1); Ak 2D (2),其反应 (1) 和(2) 的指前因子相同而活化能不同,E 1为 120 kJ ·mol -1,E 2为 80 kJ ·mol -1,则当在 1000K 进行时,两个反应速率常数的比是: ( )(A) k 1/k 2= 8.138×10-3 (B) k 1/k 2= 1.228×102(C) k 1/k 2= 1.55×10-5 (D) k 1/k 2= 6.47×104 3. 如果臭氧 (O 3) 分解反应 2O 3→ 3O 2的反应机理是: O 3→ O + O 2 (1) O + O 3→ 2O 2 (2) 请你指出这个反应对 O 3而言可能是: ( )(A) 0 级反应 (B) 1 级反应 (C) 2 级反应 (D) 1.5 级反应4. 化学反应速率常数的 Arrhenius 关系式能成立的范围是: ( ) (A) 对任何反应在任何温度范围内 (B) 对某些反应在任何温度范围内 (C) 对任何反应在一定温度范围内 (D) 对某些反应在一定温度范围内5. 如果反应 2A + B = 2D 的速率可表示为:r = -12d c A /d t = - d c B /d t = 12d c D /d t则其反应分子数为: ( )(A) 单分子 (B) 双分子 (C) 三分子 (D) 不能确定3 (A) kp H 23 p N 2 (B) kp H 22p N 2(C) kpH2pN2(D) kpH2pN227. 在反应 A k1Bk2C,Ak3D 中,活化能E1> E2> E3,C 是所需要的产物,从动力学角度考虑,为了提高 C 的产量,选择反应温度时,应选择: ( )(A) 较高反应温度 (B) 较低反应温度(C) 适中反应温度 (D) 任意反应温度8. [X]0 [Y][Z] 增加 0.0050 mol·dm-3所需的时间/ s0.10 mol·dm-3 0.10 mol·dm-3 720.20 mol·dm-3 0.10 mol·dm-3 180.20 mol·dm-3 0.05 mol·dm-3 36对于反应 X + 2Y → 3Z,[Z] 增加的初始速率为: ( )(A) 对 X 和 Y 均为一级 (B) 对 X 一级,对 Y 零级(C) 对 X 二级,对 Y 为一级 (D) 对 X 四级,对 Y 为二级9. 一级反应,反应物反应掉 1/n所需要的时间是: ( )(A) -0.6932/k (B) (2.303/k) lg[n/(n-1)](C) (2.303/k) lg n (D) (2.303/k) lg(1/n)10. 关于反应速率理论中概率因子P的有关描述,不正确的是: ( )(A) P与∆≠S m有关(B) P体现空间位置对反应速率的影响(C) P与反应物分子间相对碰撞能有关(D) P值大多数<1,但也有>1的二、填空题12. 60Co广泛用于癌症治疗, 其半衰期为5.26 a (年), 则其蜕变速率常数为:_________________, 某医院购得该同位素20 mg, 10 a后剩余 ______________mg。
物理化学试卷1班级姓名分数一、选择题 ( 共16题 30分 )1. 2 分 (4932)用铜电极电解 0.1mol·kg-1的 CuCl2水溶液,阳极上的反应为 ( B )(A) 2Cl- ─→ Cl2+ 2e-(B) Cu ─→ Cu2++ 2e-(C) Cu ─→ Cu++ e-(D) 2OH-─→ H2O + 12O2+ 2e-2. 2 分 (4948)金属活性排在H2之前的金属离子, 如Na+ 能优先于H+在汞阴极上析出, 这是由于:( D )(A) φ∃ (Na+/ Na) < φ∃ (H+/ H2)(B) η(Na) < η(H2)(C) φ(Na+/ Na) < φ(H+/ H2)(D) H2在汞上析出有很大的超电势, 以至于φ(Na+/ Na) > φ(H+/ H2)3. 2 分 (4869)极谱分析中加入大量惰性电解质的目的是: ( C )(A) 增加溶液电导(B) 固定离子强度(C) 消除迁移电流(D) 上述几种都是4. 2 分 (4889)下列示意图描述了原电池和电解池中电极的极化规律, 其中表示原电池阳极的是:( B )(A) 曲线1 (B) 曲线2(C) 曲线3 (D) 曲线45. 2 分 (4910)以石墨为阳极,电解 0.01 mol·kg-1 NaCl 溶液,在阳极上首先析出: ( A )(A) Cl2(B) O2(C) Cl2与 O2混合气体(D) 无气体析出已知:φ∃ (Cl2/Cl-)= 1.36 V , η(Cl2)= 0 V ,φ∃ (O2/OH-)= 0.401V , η(O2) = 0.8 V 。
6. 2 分 (5154)将铅蓄电池在 10.0 A 电流下充电 1.5 h,则 PbSO4分解的量为:(M r(PbSO4)= 303 ) ( B )(A) 0.1696 kg(B) 0.0848 kg(C) 0.3392 kg(D) 0.3564 kg7. 2 分 (5102)一贮水铁箱上被腐蚀了一个洞,今用一金属片焊接在洞外面以堵漏,为了延长铁箱的寿命,选用哪种金属片为好? ( D )(A) 铜片(B) 铁片(C) 镀锡铁片(D) 锌片8. 2 分 (4940)25℃时, H2在锌上的超电势为 0.7 V,φ∃ (Zn2+/Zn) = -0.763 V,电解一含有Zn2+(a=0.01) 的溶液,为了不使 H2析出,溶液的 pH值至少应控制在 ( A )(A) pH > 2.06(B) pH > 2.72(C) pH > 7.10(D) pH > 8.029. 2 分 (4857)298 K、0.1 mol·dm-3的 HCl 溶液中,氢电极的热力学电势为 -0.06 V,电解此溶液为: ( C ) 时,氢在铜电极上的析出电势φH2(A) 大于 -0.06 V(B) 等于 -0.06 V(C) 小于 -0.06 V(D) 不能判定*. 2 分 (4946)电解时, 在阳极上首先发生氧化作用而放电的是:( D )(A) 标准还原电势最大者(B) 标准还原电势最小者(C) 考虑极化后,实际上的不可逆还原电势最大者(D) 考虑极化后,实际上的不可逆还原电势最小者11. 2 分 (4924)298K,101.325 kPa 下,以 1 A 的电流电解 CuSO4溶液,析出 0.1 mol 铜,需时间大约是:( B )(A) 20.2 h(B) 5.4 h(C) 2.7 h(D) 1.5 h12. 2 分 (4947)通电于含有相同浓度的Fe 2+, Ca 2+, Zn 2+, Cu 2+的电解质溶液, 已知φ ∃ (Fe 2+/ Fe) = -0.440 V , φ ∃ (Ca 2+/ Ca) = -2.866 Vφ ∃ (Zn 2+/ Zn) = -0.7628 V , φ∃ (Cu 2+/ Cu) = 0.337 V当不考虑超电势时, 在电极上金属析出的次序是 : ( A )(A) Cu → Fe → Zn → Ca(B) Ca → Zn → Fe → Cu(C) Ca → Fe → Zn → Cu(D) Ca → Cu → Zn → Fe13. 2 分 (5105)在还原性酸性溶液中, Zn 的腐蚀速度较Fe 为小, 其原因是: ( D )(A) φ (Zn 2+/ Zn)(平) < φ (Fe 2+/ Fe)(平)(B) φ (Zn 2+/ Zn) < φ (Fe 2+/ Fe)(C) φ (H +/ H 2)(平, Zn) < φ (H +/ H 2)(平, Fe)(D) φ (H +/ H 2)(Zn) < φ (H +/ H 2)(Fe)14. 2 分 (4921)电解金属盐的水溶液时, 在阴极上 : ( B )(A) 还原电势愈正的粒子愈容易析出(B) 还原电势与其超电势之代数和愈正的粒子愈容易析出(C) 还原电势愈负的粒子愈容易析出(D) 还原电势与其超电势之和愈负的粒子愈容易析出15. 1 分 (4297)恒温、恒压下,可逆电池放电过程的: ( B )(A) ∆H = Q(B) ∆H < Q(C) ∆H > Q(D) ∆H 与Q 的 关系不定16. 1 分 (3864)下面哪一个公式表示了离子独立移动定律 ( C )(A) α = Λm / Λm ∞ (B) λm,+∞= t +∞ Λm ∞(C) λm,+∞,+= Λm ∞-λm,-∞ (D) Λm = k / c二、填空题 ( 共10题 20分 )17. 2 分 (4949)电解工业中, 为了衡量一个产品的经济指标,需要计算电能效率, 它的表达式是___________________________电能效率 =理论上所需的电能实际消耗的电能_____________。
物理化学习题课答案(一)班级:_______________ 姓名:_______________ 学号:_______________一. 选择题1. 对于理想气体的内能有下述四种理解:(1) 状态一定,内能也一定(2) 对应于某一状态的内能是可以直接测定的(3) 对应于某一状态,内能只有一个数值,不可能有两个或两个以上的数值(4) 状态改变时,内能一定跟着改变其中正确的是:( D )(A)(1)(2)(B)(3)(4)(C)(2)(4)(D)(1)(3)2. 下列宏观过程:(1) p,273 K 下冰融化为水(2) 电流通过金属发热(3) 往车胎内打气(4) 水在 101 325 Pa, 373 K 下蒸发可看作可逆过程的是:( A )(A)(1)(4)(B)(2)(3)(C)(1)(3)(D)(2)(4)3. 一定量的理想气体从同一始态出发,分别经 (1) 等温压缩,(2) 绝热压缩到具有相同压力的终态,以H1,H2分别表示两个终态的焓值,则有: ( C )(A) H1> H2 (B) H1= H2(C) H1< H2 (D) 不能确定4. 对于下列的四种表述:(1) 因为ΔH = Qp,所以只有等压过程才有ΔH(2) 因为ΔH = Qp,所以Qp也具有状态函数的性质(3) 公式ΔH = Qp只适用于封闭体系(4) 对于封闭体系经历一个不作其它功的等压过程,其热量只决定于体系的始态和终态上述诸结论中正确的是:( B )(A)(1)(4)(B)(3)(4)(C)(2)(3)(D)(1)(2)5. ΔH = Qp适用于下列哪个过程? ( B )(A) 理想气体从1×107Pa反抗恒定的外压1×105Pa膨胀到1×105Pa(B) 0℃、101325Pa下冰融化成水(C) 101325Pa下电解CuSO4水溶液(D) 气体从298K,101325Pa可逆变化到373K、10132.5Pa6. 在体系温度恒定的变化中,体系与环境之间: ( CD )(A) 一定产生热交换 (B) 一定不产生热交换(C) 不一定产生热交换 (D) 温度恒定与热交换无关7. 在一个刚性的绝热容器中燃 ( B ) C6H6(l) + (15/2) O2(g)6CO2(g)+ 3H2O(g)(A) ΔU = 0 ,ΔH < 0 , Q = 0(B) ΔU = 0 ,ΔH > 0 , W = 0(C) ΔU = 0 ,ΔH = 0 , Q = 0(D) ΔU ≠ 0 ,ΔH ≠ 0 , Q = 08. 体系的压力p(体系)与环境的压力p(环境)有何关系? ( D )(A) 相等 (B) 无关系(C) p(体系)> p(环境) (D) 可逆变化途径中p(体系)=p(环境)9. 如图,在绝热盛水容器中,浸有电阻丝,通以电流一段时间,如以电阻丝为体系,则上述过程的Q、W和体系的ΔU值的符号为: ( B )(A) W = 0, Q < 0,ΔU <0(B) W > 0, Q < 0,ΔU >0(C) W = 0, Q > 0,ΔU > 0(D)W < 0, Q = 0,ΔU > 010. 理想气体卡诺循环的图为下列四种情况中的哪一种? ( BC )11. 测定有机物燃烧热Qp,一般使反应在氧弹中进行,实测得热效应为QV。
一、计算题 ( 共18题 190分 )1. 10 分 (0204)0204从如下数据,计算冰在-50 °C 的标准升华热。
冰的平均热容:1.975 J·K -1·g -1水的平均热容:4.185 J·K -1·g -1水蒸气的平均热容:1.860 J·K -1·g -1冰在0°C 时熔化热:333.5 J·g -1水在100 °C 时的蒸发热:2255 J·g -12. 5 分 (0467)0467已知 298K 时,CH 4(g),CO 2(g),H 2O(l) 的标准生成热分别为 -74.8,-393.5,-285.8kJ·mol -1,请求算298 K 时CH 4(g) 的标准燃烧热。
3. 10 分 (0312)0312某单原子分子理想气体从T 1=298 K ,15p p =的初态。
(a)经绝热可逆膨胀;(b)经绝热恒外压膨胀到达终态压力2p p = 。
计算各途径的终态温度T 2,及Q ,W , ΔU ,ΔH 。
4. 10 分 (0709)0709H 2–O 2燃料电池是用p 的气体进行补充的。
在298 K 时,该电池释放的功率为1 kW 。
已知燃料消耗的速度相同,估算363 K 时电池输出的功率。
(忽略体积功,在温度变化不大时,Δf H m [H 2O(l)]和Δf G m [H 2O(l)]可视作常数)Δf H m [298 K,H 2O(l)]=-285 kJ·mol -1Δf G m [298 K,H 2O(l)]=-237 kJ·mol -15. 15 分 (0957)09574 g Ar (可视为理想气体,其摩尔质量M (Ar)=39.95 g·mol -1)在300 K 时,压力为506.6kPa ,今在等温下反抗202.6 kPa 的恒定外压进行膨胀。
热力学第一定律习题一、选择题1. 理想气体卡诺循环的图为下列四种情况中的哪些? ( B,C )2. 一定量的理想气体从同一始态出发,分别经(1) 等温压缩,(2) 绝热压缩到具有相同压力的终态,以H1,H2分别表示两个终态的焓值,则有:( C )(A) H1> H2(B) H1= H2(C) H1< H2(D) 无法确定3. 下列的过程可应用公式ΔH=Q进行计算的是:( C )(A) 不做非体积功,终态压力相同但中间压力有变化的过程(B) 不做非体积功,一直保持体积不变的过程(C) 273.15 K,p下液态水结成冰的过程(D) 恒容下加热实际气体4. 下图为某气体的p-V图。
图中A→B为恒温可逆变化, A→C为绝热可逆变化, A→D为多方不可逆变化。
B,C,D态的体积相等。
问下述各关系中哪一个错误( B ) (A) T B>T C(B) T C>T D (C) T B>T D (D) T D >T C5. 非理想气体进行绝热自由膨胀时,下述答案中哪一个错误( D )(A) Q=0 (B) W=0 (C) ΔU=0 (D) ΔH=06. 已知:Zn(s)+(1/2)O2−−→ZnO Δc H m=351.5 kJ·mol-1Hg(l)+(1/2)O2−−→HgO Δc H m= 90.8 kJ·mol-1因此Zn+HgO−−→ZnO+Hg 的Δr H m是:( B )(A) 442.2 kJ·mol-1 (B) 260.7 kJ·mol-1 (C) -62.3 kJ·mol-1(D) -442.2 kJ·mol-17.下述哪一种说法正确( D ) 。
因为ΔH p = Q p,所以:(A) 恒压过程中,焓不再是状态函数(B) 恒压过程中,体系与环境无功的交换(C) 恒压过程中,焓变不能量度体系对外所做的功(D) 恒压过程中, ΔU不一定为零8. 在一个密闭绝热的房间里放置一台电冰箱,将冰箱门打开,并接通电源使其工作,过一段时间之后,室内的平均气温将如何变化? ( A )(A) 升高(B) 降低(C) 不变(D) 不一定9. 计算化学反应的热效应,下述说法哪些正确? ( A )(1) 在同一算式中必须用同一参比态的热效应数据(2) 在同一算式中可用不同参比态的热效应数据(3) 在不同算式中可用不同参比态的热效应数据(4) 在不同算式中必须用同一参比态的热效应数据(A) 1,3 (B) 2,4(C) 1,4 (D) 2,3二、填空题10. 对于任何宏观物质,其焓H一定____>___ 内能U(填上>、<、=) ,因为H=U+pV_;对于等温理想气体反应,分子数增多的ΔH一定_____>____ΔU,因为_____ΔH=ΔU+ (Δn)RT______ 。
物理化学单元测验(一)一、选择题。
在题后括号内,填上正确答案代号。
1、对于理想气体,焦耳-汤姆孙系数μJ-T()。
(1)> 0;(2)< 0;(3)= 0;(4)不能确定。
2、在同一温度下,同一气体物质的摩尔定压热容C p,m与摩尔定容热容C V,m之间的关系为:( )。
( 1 )C p,m < C V,m;( 2 )C p,m > C V,m;( 3 )C p,m = C V,m;( 4 )难以比较。
3、公式∆H n C TpTT=⎰,m d12的适用条件是:( )。
( 1 )任何过程;( 2 )等压过程;( 3 )组成不变的等压过程;( 4 )均相的组成不变的等压过程。
4、当理想气体反抗一定的压力作绝热膨胀时,则:( )。
( 1 )焓总是不变;( 2 )热力学能总是增加;( 3 )焓总是增加;( 4 )热力学能总是减少。
5、25℃,下面的物质中标准摩尔生成焓不为零的是:()。
(1)N2(g);(2)S(s , 单斜);(3)Br2(l);(4)I2(s)。
6、范德华气体经绝热自由膨胀后,气体的温度:( )。
( 1 )上升;( 2 )下降;( 3 )不变。
7、理想气体状态方程式实际上概括了三个实验定律,它们是:( )。
(1)玻意耳定律,分压定律和分体积定律;(2)玻意耳定律,盖·吕萨克定律和阿伏伽德罗定律;(3)玻意耳定律,盖·吕萨克定律和分压定律;(4)玻意耳定律,分体积定律和阿伏伽德罗定律。
8、某坚固容器容积100 dm3,于25℃,101.3 kPa下发生剧烈化学反应,容器内压力、温度分别升至5066 kPa和1000℃。
数日后,温度、压力降至初态(25℃和101.3 kPa),则下列说法中正确的为:()。
( 1 )该过程∆U = 0,∆H = 0( 2 )该过程∆H = 0,W≠0( 3 )该过程∆U = 0,Q≠0( 4 )该过程W = 0,Q≠09、H2和O2以2:1的摩尔比在绝热的钢瓶中反应生成H2O,在该过程中( )是正确的。
一、1 mol 理想气体由1013.25 kPa ,5 dm 3,609.4 K 反抗恒外压101.325 kPa 膨胀至40 dm 3,压力等于外压,求此过程的W 、Q 、△U 、△H 、△S 、△A 、△G 。
已知C V ,m =12.5 J ·mol -1·K -1;始态熵值S 1=200 J ·K -1。
解:K K T V p V p T 5.4874.609540101111222=⨯⨯==()()()()()()()()3332111,2111,21101.32510405 3.54610 3.546112.5487.5609.4 1.524112.58.314487.5609.4 2.5371.524 3.546 2.022amb V m p m W p V V Pa m J kJU nC T T mol J mol K K kJ H nC T T mol J mol KK kJQ U W kJ kJ ----=--=-⨯-=-⨯=-∆=-=⨯⋅⋅-=-∆=-=⨯+⋅⋅-=-=∆-=---=kJ()()1111122,111121487.51112.58.314ln 8.314ln 14.67609.41014.67200214.67p m T p S nC lnnRln mol J mol K J mol K J K T p S S S J K J K -------⎡⎤∆=-=+⋅⋅-⋅⋅=⋅⎢⎥⎣⎦=∆+=+⋅=⋅()()32211 2.53710487.5214.5609.420014.77G H T S T S J kJ ⎡⎤∆=∆--=-⨯-⨯--=⎣⎦二、始态为T 1=300 K ,p 1=200 kPa 的某双原子理想气体1 mol ,经先绝热可逆膨胀使压力降到100 kPa ,再恒压加热到T 2=300 K ,p 2=100 kPa 的终态,求整个过程的Q ,△U ,△H ,△S ,△G 。
JK J K S T H G K J molRln p p nRln S H U 1729762.53000762.51210;01121-=⋅⨯-=∆-∆=∆⋅===∆=∆=∆-- ()()()J K R mol T T nC H Q Q K K T p p T m p 15681.2463002711.246300223,224.14.1111212=-=-=∆===⨯=⎪⎪⎭⎫ ⎝⎛=--γγ四、甲醇(CH 3OH )在 101.325 kPa 下的沸点(正常沸点)为 64.65℃,在此条件下的摩尔蒸发焓Δvap H m =35.32kJ ·mol-1。
求在上述温度压力条件下,1 kg 液态甲醇全部成为甲醇蒸气时的Q 、W 、ΔU 、ΔH ,ΔS 及ΔG 。
视甲醇蒸气为理想气体。
解:根据题意可知,此蒸发过程是在相变温度及其平衡压力下进行的可逆相变化过程,若视甲醇蒸气为理想气体,且忽略液态甲醇的体积,则有kJ kJ H M m H n H Q m vap m vap p 30.1102)32.35321000(=⨯=∆=∆=∆= kJ J RT g n l V g V p W 65.87)]15.27365.64(3145.8321000[)()]()([-=+⨯⨯-=-=--=kJ kJ W Q U 65.1014)65.8730.1102(=-=+=∆1263.3)15.27365.64/(30.1102/-⋅=+==∆K kJ K kJ T Q S r 0=∆G三、1 mol ,25 ℃、p Ө的过冷水蒸气在p Ө下变为同温同压下的水,求过程的W ,ΔU ,ΔH ,ΔS ,ΔG 。
已知25 ℃时水的饱和蒸汽压力为3167 Pa ;25 ℃时水的凝聚焓1m H 43.83kJ mol -∆=-⋅。
解:kJH H H kJ mol kJ mol H n H H Vap 83.43;083.4383.431;0211=∆=∆≈∆=⋅⨯=∆=∆=∆-相变相变121ln p p nRT G =∆ 0=∆相G (水的可逆相变过程) 02≈∆G (纯凝聚相物质的G 随压力变化很小) 21G G G G ∆+∆+∆=∆相J 855800ln 12-=++=p p nRT()118.17515.298855843830--⋅=⋅--=∆-∆=∆K J K J T G H S ()1298.152479g l g W p V p V V pV nRT mol R KJ =-∆=--≈-=-=⨯⨯=-()()43830247941351g U H pV H pV H nRT J J ∆=∆-∆≈∆-=-∆-=-=六、苯的正常沸点353 K 下的△vap H m =30.77 kJ ·mol -1,今将353 K 及101.325 kPa 下的1 mol 苯液体向真空蒸发为同温同压的苯蒸气(设为理想气体)。
(1)试求算在此过程中苯吸收的热Q 与做的功W ;(2)求苯的摩尔气化熵△vap S m 及摩尔气化吉布斯函数△vap G m ; (3)求环境的熵变△S amb ;(4)应用有关原理判断上述过程是否为可逆过程; (5)298K 时苯的饱和蒸汽压是多大。
解:(1)向真空蒸发,p=0, 所以W=0;130773077vap m H n H (.)kJ .kJ ∆∆==⨯=3077183143532783U H p V H p[V(g )V(l )]H n(g )RT .kJ .J .kJ ∆∆∆∆∆=-=--=-=-⨯⨯=(2) 1130773538717vap m vap m S H /T .kJ mol/K .J K ∆∆--==⋅=⋅ △vap G m =0(3)求环境的熵变△S amb11278335378874m sys m S Q /T U /T .kJ mol /K .J K ∆∆--=-=-=-⋅=-⋅ (4)0m vap m m S S S ∆∆∆=+>,所以上述过程不是可逆过程; (5)298K 时苯的饱和蒸汽压是多大。
212111ln()vap m H p p R T T ∆=-- 211307711ln ()1013258314298353p .kJ /mol .kPa .J mol K K K--=--⋅⋅ p 2=14.63kPa五、设在273.15 K 和1.0×106 Pa 压力下,取10.0 dm 3单原子理想气体,用下列几种不同方式膨胀到末态压力为1.0×105Pa:(1)恒温可逆膨胀;(2)绝热可逆膨胀;(3)在外压恒定为1.000×105Pa 下绝热膨胀。
试计算上述各过程的Q 、W 、△U 、△H 、△S 。
(1). 解:该过程的始末状态如下: KT 15.2731= KT T 15.27312==MPa p 000.11= 等温可逆膨胀 Pa p 5210000.1⨯= 3100.10dm V = ?2=Vmol n 403.4= mol n 403.4= 根据理想气体性质, 在无化学变化、无相变化的等温过程中,011=∆=∆H U ,根据热一律211lnp p nRT W Q =-=Pa Pa K mol K J mol 561110000.110000.1ln 2.273314.8403.4⨯⨯⨯⨯⋅⋅⨯=-- = 23.03kJ ⎰==∆211ln p p nR T Q S rδPa Pa mol K J mol 561110000.110000.1ln 314.8403.4⨯⨯⨯⋅⋅⨯=-- =13.84-⋅K J (2) 绝热可逆过程始末态如下: 理想气体 理想气体 mol n 403.4= mol n 403.4= K T 15.2731= 0=r Q 2T =Pa p 6110000.1⨯= Pa p 5210000.1⨯=首先利用过程方程求出末态温度2T ,因为只要2T 确定了,则Q 、W 、△U 、△H 、△S 便可求出。
根据题给数据11,47.12--⋅⋅=mol K J C m v ,则 1111,,314.847.12----⋅⋅+⋅⋅=+=mol K J mol K J R C Cm V mp = 1178.20--⋅⋅mol KJ绝热指数 667.147.1278.201111,,=⋅⋅⋅⋅==----mol K J mol K J C C mV m p γ 由绝热可逆方程 γγγγ--=122111p T p T 解出 111.66761 1.66721521.00010()()273.2108.71.00010p Pa T T K Kp Paγγ--⨯=⋅=⋅=⨯112,21() 4.40312.47(108.7273.2)v m U nC T T mol J K mol K K --∆=-=⨯⋅⋅⨯-kJ032.9-=)(12,2T T nC H m p -=∆)2.2737.108(78.20403.411K K molKJ mol -⨯⋅⋅⨯=--kJ 05.15-=⎰==∆=-=∆=0,0032.92222TQ S Q kJ U W rδ(3)绝热恒外压过程 n=4.403mol 理想气体 绝热 Q=0 n=4.403mol 理想气体T 1=273.15K, V 1 T 2= , V 2 p 1=1000000Pa 恒外压膨胀 p 2=100000Pa因为过程是一个绝热不可逆过程, 因此不能应用绝热可逆过程方程来确定系统的末态。
但W U Q =∆∴=,0Θ可适用。
且理想气体绝热恒外压过程中 )(12,T T nC U m V -=∆,)()(112212P nRT P nRT p V V p W --=--=外外故有: )()(111212,P T P T nRp T T nC m V --=-外代入题给数据解得K T 8.1742=)2.2738.174(403.447.12113K K mol mol K J U -⨯⨯⋅⋅=∆--kJ 403.5-= kJ H 003.93-=∆ kJ U W 403.533-=∆= 03=Q12,lnln P m p T S nR nC ∆=+]8.174ln)314.847.12(10000.1ln314.8[403.411611K mol K J Pa mol K J mol ⨯⋅⋅⋅++⨯⨯⋅⋅⨯=---- 142.43-⋅=K J七、 理想气体反应()()()g OH H C g O H g H C 52242→+在298K 时的热力学数据如下:物质 C 2H 4(g) H 2O(g) C 2H 5OH(g) J mol K mS --⋅⋅11$219.6 188.72 282.6kJ mol f mH -∆⋅1$ 52.26 -241.82 -235.1⑴.,,r p m C K K K K ∆=0298373设试求时的和时的;$$ ⑵.若已知:物质 C 2H 4(g) H 2O(g) C 2H 5OH(g)11,--⋅⋅K mol J C mp 43.56 33.58 65.44试求373K 时的$K 解:⑴.()1111282.6219.6188.72125.72J mol K J mol K ----==--⋅⋅=-⋅⋅∑θθr BB m 298K BΔS νS()()11(1)52.26(1)(241.82)1(235.1)45.54f kJ mol kJ mol --==-⨯+-⨯-+⨯-⋅=-⋅∑θθr B m 298K m 298K BΔΔH νH ()()()11145.54298(125.72)8.075T kJ mol J mol kJ mol ---=-=-⋅-⨯-⋅=-⋅θθθr r r m 298K m 298K m 298K ΔΔΔG H S ()()ln RT =-θθr m298K 298K ΔG K ()()3exp(/)exp{[8.07510/(8.314298)}26.03RT =-=--⨯⨯=θθr 298K m 298K ΔK G ,,$r p mC K K ∆=0373时的 ,,r p m C ∆=0Q ()()()()373298373298;∴==θθθθr r r r m K m K m K m K ΔΔΔΔS S H H ()()()11137337337345.54373(125.72) 1.35T kJ mol J mol kJ mol ---=-=-⋅-⨯-⋅=⋅θθθr r r m K m K m K ΔΔΔG H S ()()3373373exp(/)exp[ 1.3510/(8.314373)] 1.54RT =-=-⨯⨯=θθr K mK ΔK G ⑵1111(65.4443.5633.58)11.7J mol K J mol K ----==--⋅⋅=-⋅⋅∑θθr ,m B mBΔ(B)p p,C νC因为 θm r θΔ/d d Δp,m r C T H =,移相积分得()()11121373()45.54(11.7)(373298)46.42T TkJ mol K K J mol kJ mol ---=+⋅-=-⋅+-⨯-⋅=-⋅θθr r r m K m 298K ΔΔΔp,m H H C 由T C T S p,m r /Δ/d d Δθm r θ=移相积分得()()111123731373[125.72(11.7)]128.35298T J mol K J mol K T ----=+⋅=-+-⋅⋅=-⋅⋅θθr r r m K m 298K ΔΔΔlnln p,m S S C ()()()11137337337346.42373(128.35) 1.45T kJ mol J mol kJ mol ---=-=-⋅-⨯-⋅=⋅θθθr r r m K m K m K ΔΔΔG H S ()()3373373exp(/)exp[ 1.4510/(8.314373)] 1.60RT =-=-⨯⨯=θθr K mK ΔK G八、某二元凝聚相图如下图所示,其中C为不稳定化合物。