二次根式50道计算题
- 格式:docx
- 大小:58.41 KB
- 文档页数:4
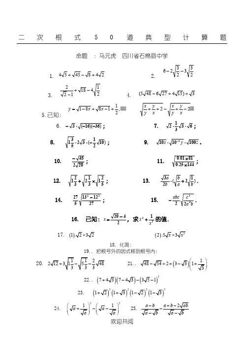
二次根式50道典型计算题1. 2484554+-+2. 2332326--3. 21418122-+- 4. 3)154276485(÷+-5. : 的值。
求代数式22,211881-+-+++-+-=x yy x x yy x x x y6.))((36163--⋅-;7.63312⋅⋅; 8.)(102132531-⋅⋅; 9. z y x 10010101⋅⋅-.10. 20245-; 11.14425081010⨯⨯..;12. 521312321⨯÷; 13.)(ba b b a 1223÷⋅. 14.27121352722-; 15.ba c abc 4322-.16. :2420-=x ,求221x x +的值.17. ()1()2()(()30,0a b -≥≥ ())40,0ab()5()6⎛÷ ⎝18. 化简:())10,0a b ≥≥ ()2()3a19.把根号外的因式移到根号内:()1.-()(2.1x -20.(231⎛++ ⎝22.. (()2771+--23. ((((2222111124. 22-28.:x y ==32432232x xy x y x y x y -++的值。
29.:11a a +=221a a +的值。
30. :,x y为实数,且13y x -+,化简:3y -31. ()11039322++=+-+-y x x x y x ,求的值32〔1〕-645×〔-448〕;〔2〕〔-64〕×〔-81〕〔3〕1452-242; 〔4〕3c 2ab 5c 2÷325b2a33. 化简:〔1〕2700; 〔2〕202-162; 〔3〕1681; 〔4〕8a 2bc 234,那么它的周长是35.假设最简二次根式是同类二次根式,那么______a =36. x y ==33_________x y xy +=37. x =21________x x -+=38. )()20002001232______________+=39. :,x y 为实数,且13y x -+,化简:3y -40. ()11039322++=+-+-y x x x y x ,求的值41. 当x 时,x 31-是二次根式42.当 时,x 43-在实数范围内有意义.43.比拟大小:23- 32-.44.=⋅b a a b 182 _;=-222425 .45.计算:=⋅b a 10253 .46.计算:2216a cb =_________________.47.当a=3时,那么=+215a ___________.48.假设xx x x --=--3232成立,那么x满足_____________________.49. xy <0=;比拟大小:-721___-34150、最简二次根式b a 34+与162++-b b a 是同类二次根式,那么a=,b=.【本文档内容可以自由复制内容或自由编辑修改内容期待你的好评和关注,我们将会做得更好】。
二次根式50道计算题一、基础题目1.计算 $ \sqrt{9} + \sqrt{16} $ 。
答案:$ \sqrt{9} + \sqrt{16} = 3 + 4 = 7 $ 。
2.计算 $ \sqrt{25} \times \sqrt{36} $ 。
答案:$ \sqrt{25} \times \sqrt{36} = 5 \times 6 = 30 $ 。
3.计算 $ 2\sqrt{49} - \sqrt{16} $ 。
答案:$ 2\sqrt{49} - \sqrt{16} = 2 \times 7 - 4 = 14 - 4 = 10 $ 。
4.计算 $ \sqrt{81} \div \sqrt{9} $ 。
答案:$ \sqrt{81} \div \sqrt{9} = 9 \div 3 = 3 $ 。
5.计算 $ (\sqrt{9} + \sqrt{4}) \times (\sqrt{16} -\sqrt{1}) $ 。
答案:$ (\sqrt{9} + \sqrt{4}) \times (\sqrt{16} -\sqrt{1}) = (3 + 2) \times (4 - 1) = 5 \times 3 = 15 $ 。
二、进阶题目6.计算 $ \sqrt{2} \times \sqrt{8} $ 。
答案:$ \sqrt{2} \times \sqrt{8} = \sqrt{2 \times 8} = \sqrt{16} = 4 $ 。
7.计算 $ (\sqrt{20} + \sqrt{5})^2 $ 。
答案:$ (\sqrt{20} + \sqrt{5})^2 = (\sqrt{20})^2 +2 \times \sqrt{20} \times \sqrt{5} + (\sqrt{5})^2 = 20 +2\sqrt{100} + 5 = 20 + 20 + 5 = 45 $ 。
8.计算 $ \sqrt{49} \div \sqrt{98} $ 。
二次根式50道典型计算题命题 :马元虎 四川省石棉县中学1。
2484554+-+2。
2332326--3。
21418122-+- 4. 3)154276485(÷+-5。
已知:的值。
求代数式22,211881-+-+++-+-=x y y x x y y x x x y6. ))((36163--⋅-; 7。
63312⋅⋅;8。
)(102132531-⋅⋅; 9。
z y x 10010101⋅⋅-.10.20245-; 11. 14425081010⨯⨯..;12. 521312321⨯÷; 13。
)(b a b b a 1223÷⋅.14。
27121352722-;15. b a c abc 4322-.16. 已知:2420-=x ,求221x x +的值.17. ()1()2()(()30,0a b -≥≥())40,0a b()5()6⎛÷ ⎝18. 化简:())10,0a b ≥≥ ()2()3a -19。
. 把根号外的因式移到根号内:()1.-()(2.1x -20.21。
(231⎛+ ⎝22。
. (()2771+--23。
((((22221111++-24。
22-26。
27。
--28。
已知:x y ==32432232x xy x y x y x y -++的值。
29。
已知:11a a+=+221a a +的值。
30. 已知:,x y 为实数,且13y x -+,化简:3y -31. 已知()11039322++=+-+-y x x x y x ,求的值。
32(1)-645×(-4错误!);(2)错误!;(3)错误!;(4)3c 错误!÷错误!错误!33. 化简:(1),2700;(2)202-162;(3)错误!;(4)错误!.34.,则它的周长是 cm 。
35。
是同类二次根式,则______a =。