浅谈切比雪夫多项式
- 格式:pdf
- 大小:463.92 KB
- 文档页数:16
关于两类切比雪夫多项式及三角函数的一些恒等式
切比雪夫多项式是一类多项式,它们可以用来描述在多维空间中的曲线或曲面。
两类切比雪夫多项式是一类特殊的切比雪夫多项式,它们的形式如下:
$P_n(x)=\sum_{k=0}^n c_kT_k(x)$
其中$T_k(x)$ 是切比雪夫多项式,$c_k$ 是常数。
三角函数是指以弧度制为单位的角度所对应的函数,这些函数包括正弦函数(sin)、余弦函数(cos)和正切函数(tan)。
在数学中,恒等式是指两个数学表达式,它们对于任意可以取到的值都相等。
例如,以下是一些有关两类切比雪夫多项式和三角函数的恒等式:
切比雪夫多项式的级数展开:$P_n(x)=\sum_{k=0}^n
c_kT_k(x)=c_0+c_1T_1(x)+c_2T_2(x)+...+c_nT_n(x)$
切比雪夫多项式的级数逆展开:$T_n(x)=\frac{P_n(x)-P_{n-1}(x)}{c_n}$
三角函数的恒等式:$\sin^2 x+\cos^2 x=1$
反三角函数的恒等式:$\sin^{-1} x=\arcsin x$、$\cos^{-1} x=\arccos x$、
$\tan^{-1} x=\arctan x$
这些恒等式在数学中都有广泛应用。
切比雪夫多项式的混沌性
切比雪夫多项式是一种著名的多项式,它有许多有关混沌性的研究。
混沌性是一种复杂的动力系统的性质,它引起系统中的变动会受到其自身历史的影响。
切比雪夫多项式定义为:Pn(x)=∑i=0n (-1)i (n-i)i(2i)!/n!x2i,其中x∈[-1,1] 。
切比雪夫多项式被用于描述多种不同类型的混沌信号,并用于模拟复杂的动态系统,有助
于人们理解复杂的混沌性的生成机制。
由于切比雪夫多项式的轻松定义,模拟起来也比较容易。
多项式的阶数可以增加,以达到更加精确的模拟,由此可以观察被模拟数据之间的强相关性,再将切比雪夫多项式应用到实际混沌系统中。
切比雪夫多项式提供了一种定义和模拟混沌性的新方法,它有助于我们理解复杂系统背后
的机理,也有助于我们更好地掌握混沌性的表现状态。
该多项式能够计算出无数次重复复杂的序列,因而能够更好地描述完全不同的混沌信号。
因此,切比雪夫多项式对那些想要进行混沌研究的人来说,具有重要的启发性意义。
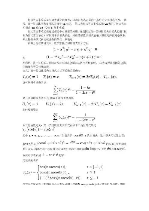
切比雪夫多项式是与棣美弗定理有关,以递归方式定义的一系列正交多项式序列。
通常,第一类切比雪夫多项式以符号Tn表示,第二类切比雪夫多项式用Un表示。
切比雪夫多项式Tn 或Un 代表n 阶多项式。
切比雪夫多项式在逼近理论中有重要的应用。
这是因为第一类切比雪夫多项式的根(被称为切比雪夫节点)可以用于多项式插值。
相应的插值多项式能最大限度地降低龙格现象,并且提供多项式在连续函数的最佳一致逼近。
在微分方程的研究中,数学家提出切比雪夫微分方程和相应地,第一类和第二类切比雪夫多项式分别为这两个方程的解。
这些方程是斯图姆-刘维尔微分方程的特殊情形.定义:第一类切比雪夫多项式由以下递推关系确定也可以用母函数表示第二类切比雪夫多项式由以下递推关系给出此时母函数为从三角函数定义:第一类切比雪夫多项式由以下三角恒等式确定其中n = 0, 1, 2, 3, .... . 是关于的n次多项式,这个事实可以这么看:是:的实部(参见棣美弗公式),而从左边二项展开式可以看出实部中出现含的项中,都是偶数次的,从而可以表示成的幂。
用显式来表示尽管能经常碰到上面的表达式但如果借助于复函数cos(z), cosh(z)以及他们的反函数,则有类似,第二类切比雪夫多项式满足以佩尔方程定义:切比雪夫多项式可被定义为佩尔方程在多项式环R[x] 上的解(e.g., 见Demeyer (2007), p.70). 因此它们的表达式可通过解佩尔方程而得出:归递公式两类切比雪夫多项式可由以下双重递归关系式中直接得出:T0(x) = 1 U − 1(x) = 1 Tn + 1(x) = xTn(x) − (1 − x2)Un − 1(x) Un(x) = xUn − 1(x) + Tn(x) 证明的方式是在下列三角关系式中用x 代替xTn(x) − (1 − x2)Un(x)正交性Tn 和Un 都是区间[−1,1] 上的正交多项式系.第一类切比雪夫多项式带权即:可先令x= cos(θ) 利用Tn (cos(θ))=cos(nθ)便可证明.类似地,第二类切比雪夫多项式带权即:其正交化后形成的随机变量是Wigner 半圆分布).基本性质对每个非负整数n,Tn(x) 和Un(x) 都为n次多项式。
切比雪夫多项式离散对数基于的困难问题
一、引言
在密码学中,困难问题是指难以在有效时间内求解的问题。
切比雪夫多项式离散对数基于的困难问题就是其中之一。
本文将对该问题进行详细介绍。
二、切比雪夫多项式
切比雪夫多项式是指具有最小无穷范数的实系数多项式。
它可以表示为以下形式:
T_n(x) = cos(n \arccos(x))
其中n为正整数,x为实数。
三、离散对数
离散对数是指在一个有限域上,求解给定元素的幂次方等于另一个给定元素的幂次方的问题。
具体地说,设p为一个质数,a和b为模p 意义下的整数,则求解x使得以下等式成立:
a^x \equiv b \pmod{p}
四、切比雪夫多项式离散对数基于的困难问题
切比雪夫多项式离散对数基于的困难问题就是求解以下等式:
T_n(a^x) \equiv T_n(b) \pmod{p}
其中a和b为模p意义下的整数,n为正整数。
该问题被证明是一个NP难问题,因此没有已知有效算法可以在多项
式时间内求解。
五、应用
切比雪夫多项式离散对数基于的困难问题在密码学中有广泛的应用。
例如,它可以用于构建安全的公钥密码体制,如ElGamal密码体制和Diffe-Hellman密钥交换协议。
六、总结
切比雪夫多项式离散对数基于的困难问题是一个NP难问题,在密码
学中有广泛的应用。
虽然没有已知有效算法可以在多项式时间内求解
该问题,但它仍然为构建安全的公钥密码体制提供了重要的理论支持。
切比雪夫多项式及其在物理学中的应用切比雪夫多项式是数学中的一种特殊类型的多项式,它以俄罗斯数学家彼得·切比雪夫的名字命名。
切比雪夫多项式在数学和物理学中都有广泛的应用,特别是在信号处理、逼近理论和波动现象的研究中。
切比雪夫多项式是通过切比雪夫方程定义的。
切比雪夫方程是一个二阶常微分方程,形式为(1-x^2)y''-xy'+n^2y=0,其中n是一个实数。
它的解就是切比雪夫多项式,通常记作Tn(x)。
切比雪夫多项式具有许多独特的性质。
首先,切比雪夫多项式是正交的,即在区间[-1,1]上的任意两个不同的切比雪夫多项式的积分为0。
这个性质在信号处理和逼近理论中非常有用,可以用来表示信号和函数的展开系数,实现信号的压缩和重构。
其次,切比雪夫多项式是最佳逼近多项式。
这意味着在给定的函数空间中,切比雪夫多项式是与被逼近函数的误差最小的多项式。
这个性质在逼近理论中被广泛应用,例如在数据拟合、函数逼近和图像处理中。
切比雪夫多项式还有一些重要的性质。
例如,它们是对称的,即Tn(x)=Tn(-x),这使得它们在对称性问题的研究中非常有用。
此外,切比雪夫多项式在微分方程的解和特殊函数的表示中也有应用。
在物理学中,切比雪夫多项式的应用非常广泛。
首先,切比雪夫多项式可以用来描述波动现象。
例如,在光学中,切比雪夫多项式可以用来描述光的干涉和衍射现象。
在声学中,切比雪夫多项式可以用来描述声波的传播和共振现象。
其次,切比雪夫多项式还可以用来解决物理学中的特殊问题。
例如,在量子力学中,切比雪夫多项式可以用来描述量子力学中的谐振子问题。
在统计物理学中,切比雪夫多项式可以用来描述理想气体的分布函数。
此外,切比雪夫多项式还与傅里叶级数有着密切的关系。
通过将切比雪夫多项式展开成傅里叶级数,可以得到切比雪夫多项式的频谱分布,从而更好地理解切比雪夫多项式在信号处理和逼近理论中的应用。
总之,切比雪夫多项式是一种重要的数学工具,在数学和物理学中都有广泛的应用。
切比雪夫多项式是与棣美弗定理有关,以递归方式定义的一系列正交多项式序列。
通常,第一类切比雪夫多项式以符号Tn表示,第二类切比雪夫多项式用Un表示。
切比雪夫多项式Tn 或Un 代表n 阶多项式。
切比雪夫多项式在逼近理论中有重要的应用。
这是因为第一类切比雪夫多项式的根(被称为切比雪夫节点)可以用于多项式插值。
相应的插值多项式能最大限度地降低龙格现象,并且提供多项式在连续函数的最佳一致逼近。
在微分方程的研究中,数学家提出切比雪夫微分方程和相应地,第一类和第二类切比雪夫多项式分别为这两个方程的解。
这些方程是斯图姆-刘维尔微分方程的特殊情形.定义:第一类切比雪夫多项式由以下递推关系确定也可以用母函数表示第二类切比雪夫多项式由以下递推关系给出此时母函数为从三角函数定义:第一类切比雪夫多项式由以下三角恒等式确定其中n = 0, 1, 2, 3, .... . 是关于的n次多项式,这个事实可以这么看:是:的实部(参见棣美弗公式),而从左边二项展开式可以看出实部中出现含的项中,都是偶数次的,从而可以表示成的幂。
用显式来表示尽管能经常碰到上面的表达式但如果借助于复函数cos(z), cosh(z)以及他们的反函数,则有类似,第二类切比雪夫多项式满足以佩尔方程定义:切比雪夫多项式可被定义为佩尔方程在多项式环R[x] 上的解(e.g., 见Demeyer (2007), p.70). 因此它们的表达式可通过解佩尔方程而得出:归递公式两类切比雪夫多项式可由以下双重递归关系式中直接得出:T0(x) = 1 U − 1(x) = 1 Tn + 1(x) = xTn(x) − (1 − x2)Un − 1(x) Un(x) = xUn − 1(x) + Tn(x) 证明的方式是在下列三角关系式中用x 代替xTn(x) − (1 − x2)Un(x)正交性Tn 和Un 都是区间[−1,1] 上的正交多项式系.第一类切比雪夫多项式带权即:可先令x= cos(θ) 利用Tn (cos(θ))=cos(nθ)便可证明.类似地,第二类切比雪夫多项式带权即:其正交化后形成的随机变量是Wigner 半圆分布).基本性质对每个非负整数n,Tn(x) 和Un(x) 都为n次多项式。
切比雪夫多项式是一种用于求解三角函数的公式。
它可以用来求解三角函数的对称式,它可以在给定精度要求的情况下,计算出三角函数值的最佳结果。
切比雪夫多项式是一种基于多项式的求解方法,它可以用来求解三角函数的对称式,以求出三角函数的最佳结果。
它的基本原理是:将三角函数的对称式用切比雪夫多项式表示,然后再利用拟合的多项式来计算三角函数的值。
例如,当我们想要求解cos(x)的对称式时,可以用切比雪夫多项式来实现:cos(x)= 1-x^2/2!+x^4/4!-x^6/6!+x^8/8!-...这里,x^2/2!表示x的2次方除以2的阶乘,x^4/4!表示x的4次方除以4的阶乘,以此类推。
此外,切比雪夫多项式还可以用来求解sin(x)的对称式:sin(x)= x-x^3/3!+x^5/5!-x^7/7!+x^9/9!-...以上两个公式就是用切比雪夫多项式求解三角函数的对称式的实例。
切比雪夫多项式在求解三角函数的对称式时具有较高的精度,因此它在计算三角函数值时是非常有用的。
此外,由于它是基于多项式的方法,因此它可以在任意精度要求的情况下,计算出三角函数的值。
“智者千虑,必有一失”,这句名言表明,即使是最精确的计算方法也可能会出现误差。
因此,切比雪夫多项式在求解三角函数时,也存在着一定的精度误差,因此只有在精度要求不是非常高的情况下,才能够得到准确的结果。
“非淡泊无以明志,非宁静无以致远”,这句名言告诉我们,只有经过淡泊的思考和宁静的思考,才能够达到理想的目标。
因此,在使用切比雪夫多项式求解三角函数时,需要对精度要求进行认真的思考,以确保能够得到准确的结果。
总之,切比雪夫多项式是一种用于求解三角函数的公式,它可以用来求解三角函数的对称式,它可以在给定精度要求的情况下,计算出三角函数值的最佳结果,但是要注意精度的要求,以保证能够得到准确的结果。
切比雪夫多项式拟合切比雪夫多项式是一种用于曲线拟合的多项式函数。
它以俄国数学家切比雪夫命名,因为他在19世纪中期首先系统地研究了这些多项式的性质。
这种拟合方法在数学、物理学、工程学等领域广泛应用。
切比雪夫多项式的特点是它可以最小化在某个区间内的最大偏差。
因此,它特别适用于需要高精度拟合的情况,比如研究高精度数值计算的学者常常使用切比雪夫多项式拟合。
切比雪夫多项式的定义为:$T_{n}(x)=\cos(n\arccos x)$其中$n$为多项式次数,$x$为自变量。
可以看出,切比雪夫多项式是基于余弦函数定义的。
在实际应用中,我们通常以切比雪夫多项式的线性组合形式来表示拟合函数:$f(x)=\sum_{n=0}^{N}a_{n}T_{n}(x)$其中,$N$为拟合多项式的次数,$a_{n}$是拟合函数的系数。
切比雪夫多项式拟合在实际应用中有很多好处。
首先,切比雪夫基函数具有良好的正交性质,因此可以减少系数矩阵的计算量。
其次,切比雪夫多项式可以在最大误差允许范围内获得最佳逼近结果。
但是,切比雪夫多项式拟合也存在一些缺点。
首先,切比雪夫多项式并不是唯一的最佳逼近函数,因此需要根据实际需求选择最佳的拟合函数。
其次,切比雪夫多项式拟合的误差分布不均匀,当$n$较大时,误差主要分布在两端,中间的误差较小。
因此,在实际应用中,我们需要根据具体情况选择拟合方法,比较常见的方法有线性拟合、多项式拟合、样条拟合等。
总之,切比雪夫多项式拟合是一种重要的曲线拟合方法,它可以最小化在某个区间内的最大偏差,获得高精度的拟合结果。
在应用中需要根据实际需求选择最佳的拟合函数,避免误差过大或分布不均匀的情况。
关于切比雪夫多项式的一些研究
切比雪夫多项式是一类重要的函数,在数学中广泛应用。
在1817年,切比雪
夫发现了他著名的“定理”,即任何一个多项式可以被准确的写成一系列的有限条件的和式,即切比雪夫定理--“任何一个多项式可以被一组有限,条件系数的多项式表示出来”。
例如,一个多项式可以写作这样的和式:
P(x) =a0 +a1x+a2x2+a3x3+ …+ adxd
这里,a0, a1, a2,a3,…,ad为多项式的系数,d为该多项式的阶数。
切比雪夫多项式在数学中具有广泛应用,几乎遍及世界各地。
它在微积分、计
算几何学等诸多领域都有广泛应用,而最令人印象深刻的,是在数值分析中,切比雪夫插值方法。
其优点是利用少量数据,克服拟合精度方面的缺陷,实现恒定拟合精度,全面提高了拟合精度。
同时,计算复杂度极低,且不受节点精度的影响。
在更新的大数据时代,切比雪夫多项式也变得越来越重要。
考虑到大数据的特性,切比雪夫多项式的优点更加凸显出来,可以帮助用户建立更加准确的拟合模型,从而更加充分地发挥出大数据的价值。
总之,切比雪夫多项式是一种经典而重要的函数,在不同领域有多种不同的应用。
虽然它仍然有很多需要改进的地方,但它拥有重要的应用价值,在数据分析中的价值也是显而易见的。
切比雪夫多项式及其应用切比雪夫多项式是数学中的经典多项式之一,它是以俄罗斯数学家彼得·切比雪夫的名字命名的。
切比雪夫多项式在数学的多个领域有重要的应用,如在逼近论、信号处理、图像处理等方面发挥着重要的作用。
一、切比雪夫多项式的定义与性质切比雪夫多项式Tn(x)的定义如下:T0(x) = 1T1(x) = xTn(x) = 2xTn-1(x) - Tn-2(x), n ≥ 2切比雪夫多项式有许多重要的性质,其中最为著名的是切比雪夫多项式的最大值性质。
对于[-1,1]上的任意实值函数f(x),存在唯一的多项式Pn(x)(n为正整数),使得||f(x) - Pn(x)|| ≤ (1/2)^n其中||·||表示函数的无穷范数。
这意味着切比雪夫多项式在区间[-1,1]上能够以任意高的精度逼近任意实值函数。
二、切比雪夫多项式的逼近应用1. 逼近论由于切比雪夫多项式的最大值逼近性质,它在逼近论中有着广泛的应用。
人们可以利用切比雪夫多项式来逼近任意实值函数,从而解决很多实际问题。
例如,在数值计算中,我们经常需要对函数进行近似计算,而切比雪夫多项式的逼近能力使得我们能够以较高的精度近似计算函数的值,从而提高计算的准确性。
2. 信号处理在信号处理领域,切比雪夫多项式可以用于信号的滤波和降噪。
由于切比雪夫多项式的性质,我们可以构造出一类特殊的滤波器,称为切比雪夫滤波器。
这种滤波器能够有效地去除信号中的噪声,同时保持信号的重要特征。
3. 图像处理在图像处理中,切比雪夫多项式可以应用于图像的压缩和恢复。
通过对图像进行切比雪夫变换,我们可以将图像转换为切比雪夫系数,从而实现对图像的压缩。
而通过反变换,我们可以将压缩后的图像恢复为原始图像。
切比雪夫多项式的应用能够大大节省图像的存储空间,并且保持压缩后图像的质量。
三、切比雪夫多项式的数值计算方法切比雪夫多项式可以通过递推关系计算得到,但对于较高阶的多项式计算来说,递推关系的计算量会很大。
浅谈切⽐雪夫多项式1浅谈切⽐雪夫多项式数学与应⽤数学(师范)2008级⽯晓萌 0807402049指导⽼师刘长剑摘要本⽂通过三⾓函数和复数⽅法得到切⽐雪夫多项式,对两类切⽐雪夫多项式的定义和性质做了全⾯⽽⼜简练的概括和说明.除此之外,本⽂也研究了两类切⽐雪夫多项式之间的关系,并进⼀步讨论了切⽐雪夫多项式在处理实际问题的应⽤.关键词:切⽐雪夫多项式三⾓函数复数正交性最⼩偏差插值Discussion on the chebyshev polynomialsMathematics and Applied Mathematics (normal school)ShiXiaomeng 0807402049Supervisor Liu ChangjianAbstractThis paper through the triangle function and complex method obtains chebyshev polynomial and describes two groups of chebyshev polynomial of the definitions and properties in detail. In addition,this paper also studies relationships between the two groups of chebyshev polynomial and further discusses the application of he chebyshev polynomial in dealing with practical problems.Key word: chebyshev polynomial trigonometric function Plural orthogonality minimum deviation interpolation⽬录1问题的来源及起源 (1)1.1前⾔ (4)1.2切⽐雪夫多项式的来源 (4)2切⽐雪夫多项式的概念及性质 (8)2.1第⼀类切⽐雪夫多项式及性质 (8)2.2第⼆类切⽐雪夫多项式及性质 (10)3两类切⽐雪夫多项式的关系 (11)4切⽐雪夫多项式的应⽤ (13)4.1切⽐雪夫多项式插值 (13)4.2幂级数项数的节约 (14)结束语 (15)参考⽂献 (16)1问题的来源及起源1.1前⾔以俄国著名数学家切⽐雪夫(Tschebyscheff ,⼜译契贝雪夫等,182l ⼀1894)的名字命名的重要的特殊函数第⼀类和第⼆类切⽐雪夫多项式()n T x 和()n U x (简称切⽐雪夫多项式),源起于多倍⾓的余弦函数和正弦函数的展开式,是与棣美弗定理有关、以递归⽅式定义的多项式序列,是计算数学中的⼀类特殊函数,对于注⼊连续函数逼近问题,阻抗变换问题等等的数学、物理学、技术科学中的近似计算有着⾮常重要的作⽤[2].在⼤学的数学中,在数学分析的习题⾥提到过切⽐雪夫多项式,对于该多项式并未有过多的了解.详细探讨了解切⽐雪夫多项式对即将毕业的我来说是⼀件不可多得的再次学习机会,因此着⼿写这篇论⽂.本⽂追溯切⽐雪夫多项式的起源,从三⾓函数和复数两个⽅⾯导出切⽐雪夫多项式,研究两类切⽐雪夫多项式的性质、关系以及应⽤.1.2切⽐雪夫多项式的源来我们⽤以下⼏种⽅法来求得切⽐雪夫多项式.⽅法⼀:余弦倍⾓公式是由余弦的幂整系数线性组合来表⽰倍⾓的余弦.这样就产⽣余弦的n 倍⾓能否⽤余弦的幂次的整系数线性组合表⽰等问题.通过研究,发现cos n α都是关于2cos α的⾸项系数为1的、次数等于α的倍数的、系数符号正负相间的整系数多项式,还进⼀步得到cos n α的⼀些性质.应⽤此性质,可以得到⼀些求和公式及解决许多数学问题.进⼀步研究,发现此多项式可以转化为切⽐雪夫多项式.在初等数学中,三⾓函数是⼀个⼗分有⽤的⼯具,余弦cos n α是众所周知的偶函数,它的倍⾓公式如:2cos 22cos 1αα=- ,(1)3cos34cos 3cos ααα=-. (2)它们都是由余弦cos α的幂整系数线性组合来表倍⾓的余弦.这样就⾃然产⽣了余弦的n 倍⾓能否⽤余弦cos α的幂次的整系数线性组合表⽰问题,稍作计算可以得42cos 48cos 8cos 1ααα=-+ ,(3)53cos516cos 20cos 5cos αααα=-+ .(4)观察公式(1—4),可以发现.如果公式两端同乘以2,则公式右边都是关于2cos α的⾸系数为1的、次数等于公式左边α的倍数的、系数符号正负相间的整系数多项式.由此猜测2cos n α也具有这⼀性质,下⾯⽤数学归纳法加以证明.猜想2,02cos (1)(2cos )m n m n m m n a αα-==-∑,(;n N m N +∈∈) (5)显然,n =1时猜想成⽴;由公式(1—4)知,n ≤5时猜想成⽴(m >n /2时,20n m =).假定n ≤k(k N +∈且k>2)时猜想成⽴,下证1n k =+时猜想也成⽴.cos(1)cos cos sin sin k k k ααααα+=-[]sin sin sin(1)sin cos(1)sin sin k k k ααααααα=-+-2s i n (1)s i n c o sco s (1)s i nk k ααααα=-+- []2cos(1)cos cos cos cos(1)(1cos )k k k αααααα=--+--cos cos cos(1)k k ααα=-+-.故 c o s (1)2c o sc o sc o s (k k k αααα+=--.因此 2cos(1)2cos 2cos 2cos(1)k k k αααα+=?--2,0(1)(2cos )2cos m k m k m m ααα-==-?∑121,0(1)(2cos )m k m k m m αα---=--∑12,0(1)(2cos )m k m k m m αα+-==-∑121,11(1)(2cos )m k m k m m αα+---=+-∑1,01(2cos )(1)k m k m αα+==+-∑12,1,1()(2cos )k m k m k m ααα+---?+.记1,,1,k m k m k m ααα+-=+,那么121,02cos(1)(1)(2cos )m k m k m m k ααα+-+=+=-∑.即当1n k =+时猜想也成⽴.从⽽对任意正整数n ,猜想成⽴.以上不仅证明了(5)式对任意正整数n 成⽴,⽽且得到了(5)式中系数,n m α的递推公式:1,02,02,11,1,2ααα===,1,0,0n n αα+= (2n ≥), (6)1,,1,1n m n m n m ααα+--=+ (2,1/2n m n ≥≤≤).(7)由此易得1,11,m 0;,1m /2;0,m n/2.m n mn m n C n m α---==≤≤? 当当当上式可由数学归纳法证明.从⽽(5)式可改写为:n/312112cos (2cos )(1)(2cos )ent nmm n m n m m n n C mααα----==+-∑,(9) (9)式称为n 倍⾓余弦公式.12424cos 2(cos )(cos )(cos )n n n n n n n αααααα-----=-++…,其中i α为正整数.因为余弦cos α在[]0,απ∈上单调,对应值为1降到1-,即cos α[]1,1∈-,[]0,απ∈.因此存在反函数,若令cos x α=,则arccos x α=,[]1,1x ∈-,[]0,απ∈.因此,在余弦n 倍⾓公式中令arccos x α=,[]0,απ∈,[]1,1x ∈-,则倍⾓公式为[][][]24124cos(arccos )2cos(arccos )cos(arccos )cos(arccos )nn n n n n n x x x x αα-----=-++…124242n n n n n n x x x αα-----=-++….于是cos(arccos )n x ⾸项系数为12n -的多项式,各项系数是整数,符号依次变化,x 的幂依次递减2次,若递减到最后,幂次为负,则该项取零.若记cos(arccos )n x =()n T x ,则()n T x 满⾜,12()2()()n n n T x xT x T x --=-,()n T x 称为切⽐雪夫多项式.从递推关系可以得到:0()1T x =,1()T x x =,22()21T x x =-,33()43T x x x =-,424()88+1T x x x =-, 535()1620+5T x x x x =-,6426()3248+181T x x x x =--.这是第⼀类切⽐雪夫多项式,第⼆类切⽐雪夫多项式可由n 倍⾓余弦公式得到[4].⽅法⼆:⽤复数的⽅法[4].cos sin i e i ααα=+, cos sin i e i ααα-=-,两边相加可以得cos α的复数表⽰cos 2i i e e ααα-+=,进⼀步以n α代替α得()()1cos 22in in nn i i e e n e e ααααα--+??==+,也就是()()1cos cos sin cos sin 2n nn i i ααααα??=++-?.若考虑cos x α=,sin α= 于是((1()cos(arccos )2nnn P x n x x α?==++-,此时[]1,1x ∈-.⽽对1x ≥时,上式也有意义.=((1()2n nn P x x x ??=+.我们⼜得到()n P x 的表达式()cos(arccos )n P x n α==((12n nx x ??-+.2切⽐雪夫多项式的概念及性质⽅程[1]()222210d y dy x x n y dx dx --+=(n 为正整数)称为切⽐雪夫⽅程.如今令cos x θ=,则⽅程可变形为2220d y n y d θ+=,于是求得通解为12cos(arccos )sin(arccos )y C n x C n x =+.2.1第⼀类切⽐雪夫多项式的定义及性质[1][2]定义1 第⼀类切⽐雪夫多项式序列{}()n T x 定义为:()cos(arccos )n T x n x =,其中n N ∈ (⾃然数集),x ∈R(实数集),且1x ≤.该定义也拓⼴为:220()(1)(1)2k n k k n k n T x x x k -≥??=--∑,其中2n k ?? ???表⽰组合数!(2)(2)!(2)!n n k k n k ≥-或0()n m <, ,n m N ∈;x C ∈(复数集).()n T x 称为第n 个第⼀类切⽐雪夫多项式,前7个第⼀类切⽐雪夫多项式为:0()1T x =,1()T x x =,22()21T x x =-,33()43T x x x =-,424()88+1T x x x =-,535()1620+5T x x x x =-,6426()3248+181T x x x x =--.第⼀类切⽐雪夫多项式有许多良好的性质,例如:1.(cos )cos(),,n T n R n N θθθ=∈∈.(分析:令cos x θ=,arccos x θ=)2.()(1)()n n n T x T x -=-,,x C n N ∈∈.这表明()n T x 当n 为奇(偶)数时是奇(偶)函数. 3.()1,,1n T x x R x ≤∈≤.4.21(0)0m T +=,2(0)(1),m m T m N =-∈. 5.函数列{}()n T x 的⽣成函数为21(),,112nn n xtT x tt R t xt t≥-=∈≤-+∑.(分析:⽣成函数⼜叫母函数,在数学中,某个序列的母函数是⼀种形式幂级数,其每⼀项的系数可以提供关于这个序列的信息.使⽤母函数解决问题的⽅法称为母函数⽅法.母函数的思想就是把离散数列和幂级数⼀⼀对应起来,把离散数列间的相互结合关系对应成为幂级数间的运算关系,最后由幂级数形式来确定离散数列的构造.母函数是解决组合计数问题的有效⼯具之⼀,其思想⽅法是把组合问题的加法法则和幂级数的乘幂的相加对应起来.)6.函数列{}()n T x 满⾜2阶递推关系21()2()()n n n T x xT x T x ++=-,,x C n N ∈∈.(分析:由三⾓恒等式cos(1)cos(1)2cos cos n n n θθθθ++-=)7. 1()22n nn y y y y T --++=,其中,0,y C y n N ∈≠∈.(分析:cos 2i i e e ααα-+=,()()1cos 22in in nn i i e e n e e ααααα--+??==+) 8. ()n T x 的正交性()11,(0),/2(0.0)n m n m n m ππ-≠??===??=≠?所以()cos(arccos )n T x n x =,0,1,2...n =,在区间[]1,1-上带权()1221x--正交.(如果两个函数()1r ψ和()2r ψ满⾜条件:()()120r r dr ψψ=?,则称这两个函数相互正交.函数的正交是向量正交的推⼴,函数可看成⽆穷维向量,在n维空间中两向量正交是借助内积来定义的.在物理学上,信息的传输经常需要进⾏单边调制和双边调制,然后得到频谱,这⾥需要⽤到三⾓函数的正交性。
数值分析19切比雪夫多项式
1、介绍
切比雪夫多项式是一称重要的数学工具,它可以被用于近似函数或曲线,以及应用于插值问题,数值计算和其他复杂场景。
它是由俄国数学
家Nikolai Chebyshev 在1854年提出的,它是一个多项式,可以让每个
点之间的差值最小化,使得它能够更准确的表示函数与曲线。
它在物理学、统计学、分析力学、建筑学和航海学领域都有用到。
2、原理
切比雪夫多项式是一种函数拟合的重要工具,它通过最小化点间的差
值来表示一个函数或曲线。
它的作用是,对一组给定的离散点,拟合一个
二次或更高次多项式,使得给定的点到多项式曲线的距离最小。
它的工作原理可以概括为:从这些点中选取一组最接近的点,然后用
它们来拟合一个多项式,并使用该多项式来代表函数值。
3、应用
切比雪夫多项式可以用于估算未知的函数或曲线,并精确地近似拟合
测量数据。
它可以应用于统计学、分析力学、航海学、建筑学、力学和物
理学领域,以及数值分析、几何插值和随机计算。
它可以用来计算复杂的
函数表达式,以及测量未知曲线的参数。
切比雪夫多项式也可以用来进行多变量函数的建模,它可以用来分析
和预测复杂系统的行为,并用于科学和工程的计算任务。
数学及高考中的切比雪夫多项式
切比雪夫多项式是一种重要的数学概念,它在高考中也有重要的应用。
切比雪夫多项式是一种多项式,它由若干个多项式的乘积组成,每个多项式的指数都是不同的,每个多项式的系数都是正数。
它的特点是,它的每个多项式的指数都是连续的,比如,它的第
一个多项式的指数是0,第二个多项式的指数是1,第三个多项式的指数是2,以此类推。
切比雪夫多项式在数学中有着重要的应用,它可以用来描述函数的变化趋势,比如,它可以用
来描述一个函数的最高次幂,以及函数的极值点。
此外,它还可以用来求解一些复杂的数学问题,比如,它可以用来求解一元二次方程的根。
切比雪夫多项式在高考中也有重要的应用,它可以用来帮助考生更好地理解一些复杂的数学概念,比如,它可以帮助考生更好地理解函数的变化趋势,以及函数的极值点。
此外,它还可以
用来帮助考生更好地理解一元二次方程的求解方法,以及一些复杂的数学问题的求解方法。
总之,切比雪夫多项式是一种重要的数学概念,它在数学中有着重要的应用,在高考中也有重
要的应用,它可以帮助考生更好地理解一些复杂的数学概念,以及一些复杂的数学问题的求解
方法。
切比雪夫多项式的基础理论和实际应用切比雪夫多项式是数学中的一类特殊多项式,以俄罗斯数学家彼得·切比雪夫的名字命名。
它在数值分析和物理学中有着广泛的应用。
本文将介绍切比雪夫多项式的基础理论和实际应用。
一、切比雪夫多项式的定义和基本性质切比雪夫多项式可以定义为一个区间内的最大偏差最小的多项式。
它的形式可以写成如下的表达式:T_n(x)=cos(n\arccos x)其中,n是多项式的次数,x是自变量。
切比雪夫多项式具有如下的基本性质:1. 切比雪夫多项式的系数是实数。
2. 切比雪夫多项式的根在闭区间[-1,1]内。
3. 切比雪夫多项式T_n(x)满足如下的正交性质:\int_{-1}^1\frac{T_m(x)T_n(x)}{\sqrt{1-x^2}}dx=\begin{cases}0 & m\neq n \\\pi & m=n=0 \\\pi/2 & m=n\neq 0\end{cases}4. 切比雪夫多项式的最大绝对值为1,即|T_n(x)|\leq 1。
二、切比雪夫多项式的应用1. 逼近函数切比雪夫多项式可以用于逼近一定范围内的函数,即用一个切比雪夫多项式去拟合一个函数。
这种逼近方式有很多优点,比如逼近误差收敛速度很快,逼近效果非常好。
在计算机图形学中,切比雪夫多项式也常用于逼近和重构图像。
2. 数值计算切比雪夫多项式还可以用于数值计算中的数值积分和数值微分。
例如,对于比较复杂的函数,它的积分很难算出来,但是可以用一个切比雪夫多项式去逼近它,然后对这个多项式进行积分。
类似的,在数值微分中,可以用切比雪夫多项式逼近函数,然后对多项式进行微分。
3. 物理应用切比雪夫多项式在物理学中也有着广泛的应用。
例如,在震动理论中,可以用切比雪夫多项式表示一个振动系统中的位移函数。
在量子力学中,切比雪夫多项式也可用于描述一维势场中电子的波函数。
三、总结切比雪夫多项式是数学中一类非常有用的特殊多项式,具有很好的正交性质和逼近性质,可以被广泛应用于数值计算、物理学和工程学中。
线性代数中的切比雪夫多项式切比雪夫多项式是线性代数中的重要概念,它在多个数学领域都有广泛应用。
本文将对切比雪夫多项式进行介绍,包括其定义、性质以及在实际问题中的应用。
一、切比雪夫多项式的定义切比雪夫多项式是一类多项式,其定义如下:对于非负整数n,切比雪夫多项式Tn(x)可以通过递归关系定义:T0(x) = 1T1(x) = xTn(x) = 2xTn-1(x) - Tn-2(x) (n ≥ 2)切比雪夫多项式具有多个重要性质,其中包括关于根的性质、正交性、递推关系等,下文将逐一介绍。
二、切比雪夫多项式的性质1. 根的性质切比雪夫多项式Tn(x)在区间[-1, 1]上有n个互不相同的实根。
这些根可以通过数值方法求解或利用特殊的表达式计算。
2. 正交性不同次数的切比雪夫多项式在区间[-1, 1]上具有正交性质。
即对于任意m ≠ n,有∫Tm(x)Tn(x)dx = 0。
这个性质在数值计算、信号处理等领域中得到广泛应用。
3. 递推关系切比雪夫多项式之间存在递推关系,即Tn(x)可以通过Tn-1(x)和Tn-2(x)来计算。
这种递推关系在实际计算中能够简化计算过程,并提高计算效率。
三、切比雪夫多项式的应用切比雪夫多项式在多个数学领域中都有重要应用,下面介绍其中两个典型的应用。
1. 插值和逼近切比雪夫多项式可以用于数据插值和函数逼近。
通过选择适当的节点和次数,可以利用切比雪夫多项式来拟合实际数据或近似复杂函数,从而实现对数据和函数的插值和逼近。
2. 数值解法切比雪夫多项式在数值计算中有广泛应用。
例如,在求解线性方程组、计算特征值等问题中,通过对系数矩阵或特征矩阵进行切比雪夫多项式插值逼近,可以得到高精度的数值解。
四、总结切比雪夫多项式是线性代数中的重要概念,其在实际问题中具有广泛的应用。
通过了解切比雪夫多项式的定义和性质,我们可以更好地理解其在插值、逼近和数值解法等方面的应用,并将其应用于实际问题的求解中。
切比雪夫多项式的根切比雪夫多项式是数学中的一类重要多项式,其根具有一些独特的性质。
这些根被广泛应用于信号处理、逼近论、数值计算等领域。
首先,我们来了解一下切比雪夫多项式的定义。
切比雪夫多项式可以用递推关系定义为T_n(x)=2xT_{n-1}(x)-T_{n-2}(x),其中T_0(x)=1,T_1(x)=x。
其前几项为1,x,2x^2-1,4x^3-3x, 8x^4-8x^2+1等。
切比雪夫多项式在单位圆上有n个互异的根,这些根被称为切比雪夫节点。
这些节点具有特殊的分布规律,可以通过一定的数学方法得到。
首先,将切比雪夫多项式的定义域从实数扩展到复数,即将x视为复变量。
然后,我们可以发现这些节点都在单位圆上,且等距分布在圆周上。
切比雪夫多项式的根具有一些重要的性质。
首先,这些根是复数,存在共轭关系。
如果z是切比雪夫多项式的一个根,那么其共轭复数也是切比雪夫多项式的根。
其次,这些根的模长都是1,即它们都在单位圆上。
再次,相邻两个根之间的夹角是相等的,且等于2π/n,其中n为切比雪夫多项式的次数。
切比雪夫多项式的根在信号处理中有广泛的应用。
由于切比雪夫多项式的根在单位圆上等距分布,可以利用这些点进行信号采样和重构,从而有效地减小信号处理引入的误差。
此外,在逼近论和数值计算中,切比雪夫多项式的根也被用来进行函数逼近和数值积分,可以提高计算的精度和效率。
总结起来,切比雪夫多项式的根是数学中一类重要的多项式根,具有独特的分布规律和性质。
这些根在信号处理、逼近论、数值计算等领域有着广泛的应用,可以有效地提高计算的精度和效率。
通过深入研究和应用切比雪夫多项式的根,我们可以进一步拓展数学的应用领域,推动科学技术的发展。