药物合成反应(第三版_闻韧)第二章课后答案
- 格式:pdf
- 大小:109.23 KB
- 文档页数:6
《药物合成反应(闻韧主编第三版)》人名反应整理一、卤化反应1、Hunsdriecke反应(汉斯狄克反应):羧酸银盐和溴或碘反应,脱去二氧化碳,生成比原反应物少一个碳原子的卤代烃。
2、Sandmeyer反应(桑德迈尔反应):用氯化亚铜或溴化亚铜在相应的氢卤酸存在下,将芳香重氮盐转化成卤代芳烃。
3、Gattermann反应(加特曼反应):将Sandmeyer反应条件改为铜粉和氢卤酸。
4、Schiemann反应(席曼反应):将芳香重氮盐转化成不溶性的重氮氟硼酸盐或氟磷酸盐,或将芳胺直接用亚硝酸钠和氟硼酸进行重氮化,此重氦盐再经热分解(有时在氟化钠或铜盐存在下加热),就可以制得较好收率的氟代芳烃。
二、烃化反应5、Willamson合成(威廉姆森合成):醇在碱(钠,氢氧化钠,氢氧化钾等) 存在下与卤代烃反应生成醚的反应。
6、Gabriel合成(盖布瑞尔合成):将氨先制备成邻苯二甲酰亚胺,利用氮上氢的酸性,先与氢氧化钾形成钾盐,然后与卤代烃作用,得N-烃基邻苯二甲酰亚胺,肼解或酸水解即可得纯伯胺。
7、Delepine反应(德勒频反应):用卤代烃与环六亚甲基四胺(乌洛托品Methenamine)反应得季铵盐,然后水解可得伯胺。
8、Leuckart-Wallach反应(鲁卡特-瓦拉赫反应):用甲酸及其铵盐可以对醛酮进行还原烃化,得各类胺。
9、Ullmann反应(沃尔曼反应):卤代芳烃与芳香伯胺在铜或碘化铜及碳酸钾存在并加热的条件下可得二苯胺及其同系物。
三、酰化反应10、Friedel-Crafts反应(傅列德尔-克拉夫茨反应,也称傅-克酰基化反应):羧酸及羧酸衍生物在质子酸或Lewis酸的催化下,对芳烃进行亲电取代生成芳酮的反应。
11、Hoesch反应(赫施):腈类化合物与氯化氢在Lewis 酸催化剂ZnCl2的存在下与烃基或烷氧基取代的芳烃进行反应可生成相应的酮亚胺,再经水解则羟基或烷氧基取代的芳香酮。
12、Gattemann反应(伽特曼反应):将羟基或烷氧基取代的芳烃在AlCl3、ZnCl2催化下与氰化氢及氯化氢反应生成牙胺盐酸盐,再经水解生成相应芳香醛的反应。
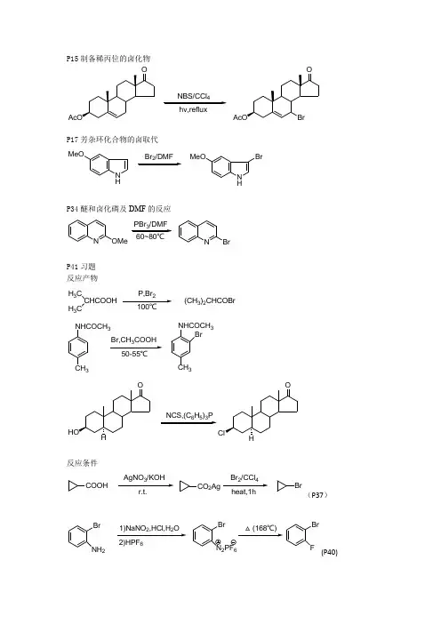
P15制备稀丙位的卤化物4hv,refluxP17芳杂环化合物的卤取代N HMeOBr /DMFN HMeOBrP34醚和卤化磷及DMF 的反应NOMe3NBrP41习题 反应产物 H 3C CHCOOHH 3CP,Br (CH 3)2CHCOBrCH 3NHCOCH 3Br,CH COOH 50-55℃CH 3NHCOCH 3Br653反应条件COOHAgNO /KOHCO 2AgBr /CCl Br(P37)Br NH 21)NaNO ,HCl,H O Br F2)HPF 6Br N 2PF 6△(168℃)(P40)P52有位阻或螯合酚的烃化O HOO OH OMeOMeOO OHOMeP54 DCC缩合法HOR HHOArNHCONH+ArORP56伯胺的制备——Gabriel反应(肼解法)NH OO KOH/EtOHNOOK NOORNH NHOONHNH+RNH2P62还原烃化法的应用NH23N CHMeH/Raney NiNHCH2CH3P63 Ullmann反应:芳胺的N-芳烃化CF3NH2+ClCOOH无水K23105-110℃F3CNHHO2CP65 芳烃的烃化:Friedel-Crafts反应R1+R C AlCl3XR'R''R'CR''RRAlCl3XR1CR'R R''+AlCl3+HXP79稀胺的C-烃化N H +OCH3NCH3P84习题反应产物KNO O+OON OOPhHN OOPhHN OONH222.2+OOBrOMeSnCl0℃OOMeO反应条件2OLi(P77 )P853(P77)O原子上的酰化反应P92羧酸为酰化剂——伯醇酯的制备+NO2CO2HDEAD/Ph3r.t.,1h2N CO22NNHOO P95活性酯用于大环内脂合成NS SN/PPh3PhH/r.t.HOP98酸酐为酰化剂H 3C NCH 3OH1)(CH 3CH 2CO)2O/Py2)HClH 3C NCH 3OCOCH 2CH 3.HCl(Anadol)P101酰氯为酰化剂——仲醇的酰化NNNO OHNClClONNCH 3.HClpy/CH 2Cl 2NNNON ClONN OCH 3(Zopiclone)N 原子上的酰化反应P107 酸酐为酰化剂O O O+PhCH 2CHCOOHNH 2Tol refiux,2hN OOCHCOOH CH 2PhC 原子上的酰化反应P113 Friedel-Crafts 反应(芳烃取代成芳酮)S+H 3COOO CH 3H PO reflux,2hSOCH 3O O O+CH 3AlCl 390℃,3hCO 2HOCH 3NEtO 2CCO 2EtBF 20℃,15minNEtO 2COP116 Vilsmeier-Haack 反应(芳环引入醛基)N HDMF/POCl CH 2Cl 2H ON HCHOP122利用烯胺化进行的C-酰化反应ON HONOCOClEt 3NOO2P123习题 反应产物N Boc+HNDCC/CH Cl N BocN反应条件OHCH 3OOCOPhCH 3OOHOO OONP124H 3CO H 3CONHCOCH 3POCl 3,toluene△H 3CO H 3CON CH 3Ac O,py H 3CO H 3CON CH 2COCH 3P133 Robinson 环化法OCH 3+OO CH 3CH 3O OHCH 3O -H 2OCH 3Oα-羟烷基化(Aldol 缩合) P136 Reformatsky 反应 O+BrCF 2COOC 2H 5OHCF 2COC 2H 5OP138 Grignard 反应O1)BrMg PhOHPhα-卤烷基化(Blanc 反应) P139反应通式+H OH+HClZnCl Cl+H 2Oα-氨烷基化(Mannich 反应) P143 Pictet-Spengler 反应H323NH 2OCH 3N H 3CO3羰基烯化反应(Wittig 反应) P148反应机理148R (C 6H 5)3C R1R 2+(C 6H 5PCR1R 2CR 4R 3CR3R 4C R 1R 2(C 6H 5)3C C R 1R 2R 4R 3+(C 6H 5)3POP149 制备环外烯键化合物3Ph P=CH 3P150 制备共轭多烯化合物CHO+(C 6H 5)3PCOOC 2H 5COOC 2H 5LiAlH CH 2OHP165 习题 反应产物+NO 220℃NO 2C 到C 重排Wagner-Meerwein 重排P170 胺与亚硝酸作用生成碳正离子C CH 3H 3C CH 3CH 2NH 2HNO 2C CH 3H 3C CH 3CH 2N N2C CH 3H 3C CH 32P171CH 3NH 2HO 2C2HO 2CHHH 3C OHPinacol 重排P175制备环状酮(Tiffenfan 扩环) OH C Ph PhOH H SO /Et Or.t./3h2O Ph PhOH OH0.2molSnCl /HC(OMe)OWoff 重排(α-重氮酮生成烯酮) P182ON 22240min/-78℃/-N 2C Ohv,O /CH Cl -78℃~-10℃/20minOC 到杂重排Beckmann 重排(肟生成取代酰胺) P185立体专一性NH 2ONOHHNOSchmidt 反应 (叠氮酸) P191叠氮酸与羧酸生成伯胺HOOCCH 3CH 3COOH NaN /H SO /CHCl HOOCCH 3CH 3NH 2Baeyer-villiger 反应(酮与过氧酸重排成酯) P193HC OCH 333HO C OCH 3机理HC OCH 3HO C OCH 3HH C OHCH 33O C OPhC OH3-HCO O 2N33O 2NCO O机理CO O 2NCH 3CO 3H/AcOHO 2NCO OHCOH O 2N O 2C OH OC OCH 3C OOH O 2N-Hσ-键迁移重排P199 Claisen 重排(烯丙基芳基醚重排为邻烯丙基酚)O C C C ROH C C C R机理C RCO C HC C ROH C C C RP200脂肪族Claisen 重排OOOCO 2EtOCO 2EtP202 cope 重排Ph Ph150℃Ph PhCH 2CH2350℃习题 反应产物 P205OHHO CH 3COOH H 2SO 4OP207OCH 3CHOOOCH 3CHOOH(P199烯丙基重排到对位)醇类的氧化P220 氯铬酸吡啶鎓盐(PPC )氧化法OO CH 2OHCH 2Cl 2OO CHOP222 DMSO-DCC 氧化法OHON HNO CH 3OOAc 34r.t.ON HN OCH 3OOAcOHCP225 1,2-二醇的氧化HOOH4OO醛酮的氧化P226 Dakin 反应OH CHOC H COOHOH O C OHOH OH烯键化合物的氧化P229 不与羰基共轭的烯键的环氧化t-BuOOH 6OP232顺式羟基化OOsO OHHOH OH习题 反应条件 P248CH 33.2CH 3O (p218 Collins 试剂 烯丙酮的制备)3333(P229 过氧酸环烯烃环氧化)羰基的还原P263 Clemmensen 反应(酸性锌汞齐还原醛酮为甲基亚甲基) Ph C OCH 2CH 2COOHZn-Hg/HCl/TolCH 2CH 2CH 2COOHPhC H C HPh COOEtZn-Hg/HCl PhCH 2CH 2COOEtP264 Wolff-kishner-黄鸣龙还原反应OR R'H NNH NNH 2R R'R CH 2R'+N 2P265 腙还原为烃CO H NNH CN NH 2DMSOC HHP272 Leuckart-Wallach 反应O NCH 3CH 3HCON(CH )OHN(CH 3)2CHO HCOOHOHNH(CH 3)22N(CH 3)2HCOOH 中间体羧酸及衍生物的还原 P278 金属复氢化物的还原CNNO 325℃NO 3CH 2NH 2含氮化合物的还原P281 Benoxaprofen 中间体制备 O 2NHC CN CH 34H 2NHC CH 3CNP282 HOO 2N NO 224HOH 2N NO 2习题 反应产物 P290FCHO +NHFHC NFH 2C N2Zn(BH )反应条件 P291COClNO 2O 2NCHONO 2O 2NLiAlH[OC(CH )](三叔丁氧基氢化铝锂/甘醇二甲醚) H 3COC NH 3COCHODIBAL-H /H 2SO 4(氢化二异丁基铝/硫酸)4hv,refluxN HMeOBr /DMFN HMeOBrNOMe3NBrH 3C CHCOOHH 3CP,Br 100℃(CH 3)2CHCOBrCH 3NHCOCH 3Br,CH COOH 50-55℃CH 3NHCOCH 3BrHNCS,(C 6H 5)3PHCOOHAgNO /KOHr.t.CO 2AgBr /CCl heat,1hBrBr NH 21)NaNO ,HCl,H O Br F2)HPF 6Br N 2PF 6△(168℃)OHO O OHOMeMeI/NaOHOMeO O OHOMeNNHORHN HHOArNH O N O OK RX/DMFN O ORNH 23N CHMeH /Raney NiNHCH 2CHCF 3NH 2+ClCOOH无水K 23105-110℃F 3C NHHO 2C N H+O CH 3NCH 3KNOO+O DMFNO O PhHNOOPhH NNH.2+OOBrOMeSnCl 0℃OOMeO2OLiN CHON CHO3+NO 2CO 2HDEAD/Ph 3r.t.,1h2NCO 22NNHO OHOOHNS S N/PPh 3PhH/r.t.HOOHH 3C NCH 3OH1)(CH 3CH 2CO)2O/Py2)HClH 3C NCH 3OCOCH 2CH 3.HCl(Anadol)NNNO OHNClClONNCH 3.HClpy/CH 2Cl 2NNNO N ClONN OCH 3(Zopiclone)O O O+PhCH 2CHCOOHNH 2Tol refiux,2hN OOCHCOOH CH 2PhS+H 3COO O CH 3H PO reflux,2hSO CH 3O O O+CH 3AlCl 390℃,3hCO 2HOCH 3NEtO 2CCO 2EtBF 320℃,15minNEtO 2CON HDMF/POCl CH 2Cl 2H 2ON HCHOON HONOCOClEt 3NOO2N Boc+HNDCC/CH Cl N BocNOHCH3 O ClCOPhOCOPhCH3OOHO ONH3COH3CONHCOCH3POCl3,toluene△H3COH3CONCH3OCH3+O OCH3CH3OAldol缩合OHCH3OO+BrCF2COOC2H5OHCF2COC2H5OO1)BrMg PhOHPh+HOH+HClZnCl Cl+H2OH32CHO3 NH2OCH3NH3COCH3148R(C6H5)3P CR1R2(C6H5)P CR1R2CR4R3R3R4CR1R2(C6H5)3CCR1R2R4R3+3Ph3P=CH23CHO+(C6H5)3P COOC2H5COOC2H5LiAlH4+NO220℃NO2CCH3H3CCH3CH2NH2HNO2CCH3H3CCH3CH N2CCH3H3CCH32CH3NH2HO2C2HO2CHHH3C OHOH C Ph PhOH H SO /Et Or.t./3h2O Ph PhOH OH0.2molSnCl /HC(OMe)-20℃/5minOON 22240min/-78℃/-N 2C Ohv,O /CH Cl -78℃~-10℃/20minONH 2ONOHHOOCCH 3CH 3COOH NaN /H SO /CHCl r.t.,25hHOOCCH 3CH 3NH 2HC OCH 333HO C OCH 3HC OCH 3HO C OCH 3HHC OHCH 33O C OPhC OH3-HCO O2N CH3CO3H/AcOHO2NCOOCOO2N33O2N C O OHCOHO2NO2COOHO2N-HO C C CRheatOHC C C RO OOCO2EtOCO2EtPhPh150℃PhPhCH2CH2350℃1hOHHO 3H 2SO 4OOCH 3CHOOOCH 3CHOOHOO CH 2OHCH 2Cl 2OOCHOOHON HNO CH 3OOAc34r.t.ON HN OCH 3OOAcOHCHOOH4(60%)OOOH CHOC H COOHOHO C OHOH OHt-BuOOH 6OOOsO4OHHOHOHCH3CrO(Py)CH3OOH333OH3Ph COCH2CH2COOHZn-Hg/HCl/TolCH2CH2CH2COOHPhCHCHPh COOEtZn-Hg/HClheatPhCH2CH2COOEtORR'H NNHNNH2RR'RCH2R'+N2 CO H NNHCNNH2DMSO ON3CH3HCON(CH)OHN(CH3)2CHOHCOOHOHNH(CH3)2 2N(CH3)2HCOOHCNNO 3B H /THF25℃NO 3CH 2NH 2O 2NHC CN CH 3495℃,1.5hH 2NHC CH 3CNHOO 2N NO 22480~85℃HOH 2N NO 2FCHO +NHFHCNF2Zn(BH )COClNO 2O 2NCHONO 2O 2NGlymeLiAlH[OC(CH )]H 3COC NH 3COCHODIBAL-H /H 2SO 4。
#2.10打卡# 李骅轩完成学习目标烃化反应定义:用烃基取代有机分子中的某些功能基上的氢原子得到烃化产物的反应都称为烃化反应。
烃基:饱和、不饱和、脂肪、芳香分类1)按被烃化物不同C-OH(醇或酚羟基)变为-OR醚;C-N(NH3) 变为伯、仲、叔胺;C-C2)按烃化剂的种类分类卤代烷:RX 最常用;硫酸酯、磺酸酯;醇;烯烃;环氧烃:发生羟乙基化;CH2N2:很好的重氮化试剂3)按反应历程分类:SN1 SN2 亲电取代一醇的O-烃化1 卤代烷为烃化剂2 磺酸酯3 环氧乙烷类作烃化剂4 烯烃作为烃化剂5 醇作为烃化剂6 其它烃化剂二酚的O-烃化1 烃化剂2 多元酚的选择性烃化一醇的O-烃化1 卤代烷为烃化剂在碱的条件下与卤代烷生成醚:SN1伯卤代烷RCH2X按SN2历程;随着与X相连的C的取代基数目的增加越趋向SN1。
影响因素 a RX的影响ii)活性:RI>RBr>RCl>RFb 醇的影响苯海拉明合成可采用的两种方法。
可以看到,由于醇羟基氢原子的活性不同,进行烃化反应时所需的条件也不同。
前一反应醇的活性低,要先制成醇钠;而二苯甲醇中,由于苯基的吸电子效应,羟基中氢原子的活性增大,在反应中加入氢氧化钠作除酸剂即可。
显然后一反应优于前一反应,因此苯海拉明的合成采用了后一种方式c催化剂的影响催化剂:醇钠、Na、NaH、NaOH、KOH有机碱:六甲基磷酰胺(HMPA)、N,N-二甲基苯胺(DMA)有些有旋光活性的醇,如果加金属钠制成醇钠,再与卤代烃反应,产物比较复杂,如用氢化钠,则可立体专一性地得到相应的甲醚。
d溶剂影响溶剂: 过量醇(既是反应物又是溶剂)非质子溶剂:苯、甲苯(Tol)、二甲苯(xylene)、DMF、DMSO无水条件下质子性溶剂:有助于R-CH2X 解离,但是与RO-易发生溶剂化,因此通常不用质子性溶剂。
副反应消除反应2 磺酸酯为烃化剂:主要指芳磺酸酯,引入较大的烃基3环氧乙烷类作烃化剂:反应机理:a 酸催化R为供电子基或苯,在a处断裂R'为吸电子基得b处断裂产物b 碱催化SN2 双分子亲核取代,开环单一,立体位阻原因为主,反应发生在取代较少的碳原子上。
药物合成反应习题及答案一、举例解释下列概念:1,官能团保护;为什么保护?当分子中有多个官能团,想在某一官能团进行转换反应,为了不使其他官能团影响反应,需对这些官能团进行衍生化,这就是官能团的保护。
达到反应目的后再还原这些官能团。
理想保护基:试剂易得、无毒,保护基稳定,引入和脱去反应选择性好,收率高。
2,相转移催化剂; 一种与水相中负离子结合的两性物质,可以把亲核试剂转移到有机相进行亲核反应。
相转移催化剂优点:克服溶剂化作用;不需无水操作;可用无机碱代替有机金属碱;降低反应温度。
3,重排反应;重排反应是指在同一分子内,某一原子或基团从一个原子迁移至另一原子而形成新分子的反应。
按反应机理可分为亲电重排、亲核重排、自由基重排和协同重排。
4,合成子;合成子:组成靶分子或中间体骨架的各个单元结构的活性形式.包括:离子合成子、自由基或周环反应所需的中性分子。
离子合成子:包括 d 合成子和a合成子d 合成子: 亲核性的离子合成子d---donor of electrond 合成子等价试剂a合成子:氧化性或亲电性的离子合成子a合成子:等价试剂5,协同反应协同反应:在反应过程中,若有两个或两个以上的化学键破裂和形成时,都必须相互协调地在同一步骤中完成。
6, 非均相催化氢化: 催化剂、反应物、试剂和氢供体在两项或多项中反应,催化剂自成一相,称为非均相催化氢化。
催化剂自成一相称为非均相催化剂如Pd/C为催化剂,氢气为氢供体,在反应液中还原双键的反应。
1) DMAP2) DMF3) DCC4) TBAF1) Aromatic Electrophilic Substitution; 芳香亲电取代2) Phase-transfer catalyst; 相转移催化剂3) Carbocations; 碳负离子4) trifluoroacetic anhydride.三氟乙酸酐Ryoji Noyori was awarded the Nobel Prize in 2001, What did he discover?Ryoji Noyori日本名古屋大学的野伊良治因在手性催化氢化反应方面做出了突出贡献而被授予2001年Nobel化学奖。
第一章 卤化反应习题及答案1. 根据以下指定原料、试剂和反应条件,写出其合成反应的主要产物。
(1)(CH 3)2NCH 2CH 2OHSOCl 2(2)CuCl 24(3)P, Br 2o(4)CH 2CHCOOCH 3干燥 HBr 2 (5)CH 3CH 2CH 2CH 2CH 2COOHSOCl 24o(6)S CH 32266(7)H 3C CH 3NBS, H 2SO 43o(8)NHCOCH 3CH 3Br 2,CH 3COOH o(9)OHC CH 3CH 2t -BuOCl, CHCl 3o(10)NBS, (C 6H 5)3P(11)KI, H 3PO 4武汉工程大学化工与制药学院(12)C 6H 5H 3Br 2,Cl 4o (13)CH 3CH CH CH 3232(14)(CH 3)3CCH 2OHHBr(15)OOP2(16)NBS, Et 3N ·3HF 22o(17)OHBr 24o(18)O23o2. 在下列指定原料和产物的反应式中分别填入必需的化学试剂(或反应物)和反应条件。
(1)CH 3CH 2CH 2CH 2CH CHCH 3CH 3CH 2CH 2CHCHCHCH 3Br(2)COOHBr(3)(4)OHBr(5)2CH 2BrBr(6)(7)(CH 3)3CCH 2OH(CH 3)3CCH 2Br(8)OOBocHNO OBocHNBr(9)OOBr OO BrBr2. 在下列指定原料和产物的反应式中分别填入必需的化学试剂(或反应物)和反应条件。
(参考答案)题号答案注释(1) NBS/(PhCO)2O, CCl4, △(2) Br2/HgO/tetrachloroethaneNaNO2, HCl, H2O; 2. HPF6; 3. △ (168℃)(3) 1.(4) Ph3P, Br2, CH3CN, △ (200-340℃)(5) NBS/(PhCO)2O, CCl4refluxing (10min. )acetone,(6) NaI,(7) Bu3P, Br2, DMF(8) NBS/hv, CCl4(9) NBS/(PhCO)2O, CCl4, reflux3. 阅读(翻译)以下有关反应操作的原文,请在理解基础上写出:(1)此反应的完整反应式(原料、试剂和主要反应条件);(2)此反应的反应机理(历程)。
1、About 216–224 g. (1.62–1.68 moles) of powdered anhydrous aluminum chloride is added to a 1Lthree-necked flask.在1L的三口烧瓶中加入大约216-224g(1.62–1.68 moles)的无水三氯化铝。
While the free-flowing catalyst is stirred (Note 3), 81 g. (0.67 mole) of acetophenone is added from the dropping funnel in a slow stream over a period of 20–30 minutes. 自由流动的催化剂边搅拌边用滴液漏斗缓慢滴加81g苯乙酰。
Considerable heat is evolved, and, if the drops of ketone are not dispersed, darkening or charring occurs. 放热反应,假如滴加的酮不能被分散,就会变黑或是碳化。
When about one-third of the acetophenone has been added, the mixture becomes a viscous ball-like mass that is difficult to stir.当三分之一的乙酰苯被滴加,反应混合物变成一个很难搅拌的粘性的球状团块。
Turning of the stirrer by hand or more rapid addition of ketone is necessary at this point. 在这时,改用手动搅拌或快速滴加酮是非常必要的。
The addition of ketone, however, should not be so rapid as to produce a temperature above 180°. 然而,速度不能太快,当反应温度超过180℃时。
《药物合成反应》综合习题与答案(答案附后)一、判断题。
1.NBS是N-氯代丁二酰亚胺。
2.烃化试剂如R-Br,一般提供烃化反应的负电中心。
3.酰化试剂一般提供酰化反应的正电中心,表现在羰基的碳原子上。
4.SN1反应的典型特征是生成构型反转的产物。
5.Friedel-Crafts烷基化底物中苯环上存在给电子基团,会促进反应的发生。
6.LiAlH4的还原性弱于NaBH4。
7.卤仿反应为甲基酮类化合物在酸性条件下发生的α-H的多次卤代水解。
8.还原反应是有机分子中增加H的反应。
9.氰基是一种吸电子能力极强的基团,这种能力强于硝基。
10.不饱和烃与卤素的加成反应中,Cl2易按桥型卤正离子机理进行。
二、选择题。
1. 药物合成反应的主要任务是。
A. 研究药物的毒性反应B. 研究药物的生物活性C. 研究药物合成及修饰方法D. 研究药物的剂型改造2.下列碳正离子稳定性最弱的是。
A. RCH2+B. H3C+C. R2CH+D. R3C+3.以下有关Friedel-Crafts烷基化反应的影响因素正确的是。
A.底物芳环上存在吸电子基团,有助于反应的发生B.底物芳环上存在给电子基团,有助于反应的发生C.质子酸的催化活性强于Lewis酸D. HF的催化活性弱于磷酸4.氰基还原得到的产物类型是。
A. 酰胺B. 脂肪胺C. 羟基D.亚甲基5.以下基团的吸电子能力最强的是。
A. 硝基B. 苯基C. 磺酰基D. 酯基6.亲核反应、亲电反应最主要的区别是。
A. 反应的动力学不同B. 反应要进攻的活性中心的电荷不同C. 反应的热力学不同D. 反应的立体化学不同7.共轭二烯烃与烯烃、炔烃(亲二烯)进行环化反应,生成环己烯衍生物的反应称为。
A. Diels-Alder反应B. Perkin反应C. Michael反应D. Blanc反应8.由羧酸为原料制备酰氯的过程中,最常的优良试剂是。
A. PCl5B. SOCl2C.PCl3D. POCl39. 自由基反应的条件通常是。
第二章烃化反应习题及答案1. 根据以下指定原料、试剂和反应条件,写出其合成反应的主要产物(1)+3432(2)Br BrCH3Li(3)NO2CH2BrCO2CH3OCH323(4)KNO O+DMF H2NNH22Oo(5)INH2O+DABCO, DMF(6)MeO OMe OMe2NH, MeOH(7)MeO NHSO2NO22323(8)PhCH2CH2MgBr +N CHO THF武汉工程大学化工与制药学院(9)511O K 511(10)OOBrOMe+SnCl4o2. 在下列指定原料和产物的反应式中分别填入必需的化学试剂(或反应物)和反应条件。
(1)CH 2CO 2Me(2)R (3)CH 2(CO 2Et)2CO 2H CO 2H(4)HOH 22OH PhH 2COH 22OCH 2Ph(5)2(6)OTfCl+MePh(7)O SO2Ph OPh(8)N NCHO3(9)(10)MeO MeBrMeOMeHNHex2. 在下列指定原料和产物的反应式中分别填入必需的化学试剂(或反应物)和反应条件。
(参考答案)题号答案注释(1) 1. Na; 2. BrCH2CO2Me(2) 1. 2 LDA, 2. RX(3) 1,2-dibromoethane,TEBA,OH-(4) NaH,PhCH2Br, THF(5) PhCH2Cl, K2CO3, DMF(6) Cat.Pd(OAc)2, (±)-BINAP, Cs2CO3, THF, 70℃(7) PhC≡CH, i-PrMgCl, ZnBr2, THF(8) MeI,NaH,THF(9) 1.LDA,THF,-78℃; 2. MeI, -78 to 25℃(10) HexNH2, Pd2(dba)3 (±)-BINAP, t-BuONa, toluene Hex= Hexyldba= dibenzylideneacetone3. 阅读(翻译)以下有关反应操作的原文,请在理解基础上写出:(1)此反应的完整反应式(原料、试剂和主要反应条件);(2)此反应的反应机理(历程)。
第二章 烃化反应习题参考答案一、简述题1.何谓烃化反应?常用的烃化剂是哪种类型化合物?参考答案:用烃基取代有机分子中的氢原子,包括某些官能团(如羟基、氨基、巯基等)及碳架上的氢原子,均称为烃化反应。
引入的烃基包括饱和的、不饱和的、脂肪的、芳香的,以及许多具有各种取代基的烃基。
最长用的烃化剂为卤代烃及硫酸酯类化合物。
2.以液氨为反应介质,炔离子与卤代烷反应进行炔烃的烃基化时的主要副反应分析(分别举例说明)?参考答案:卤代烃消除;卤代烃氨解;3.对活性亚甲基化合物烃基化时,极性非质子性溶剂例如DMF 或DMSO 能明显增加烃化反应速度,但也增加了副反应O-烃化发生的程度。
为什么?参考答案:非质子极性溶剂由于其结构上的特性,有利于氧负离子亲核能力(氧负离子在质子性溶剂中易与溶剂分子作用)。
4.活性亚甲基化合物双烃化时,两个烃基引入的次序可直接影响产品的纯度和收率。
若引入两个不同的烃基都是伯烃基,应先引入较大的伯烃基,后引入较小的伯烃基;若引入的两个烃基一为伯烃基一为仲烃基,则应先引入伯烃基再引入仲烃基。
请解释其理由。
参考答案:参见P895.试比较酮在酸催化下的α C-烃化与经烯胺的α C-烃化的方法特点,及各自的优缺点。
参考答案:酮在酸催化下可以与醛缩合,但一般不能直接与卤代烃等烃化试剂直接进行α-碳烃化,但在碱催化下才可发生此类烃化反应,对不对称酮往往得到混合产物。
酮也可经烯胺化再与烃化试剂反应,该反应可以避免使用强碱,并且烯胺生成过程的立体化学可用于烃化的区域选择性。
参阅p90和p92~93。
6.通常用卤代烃和镁屑反应制备格氏试剂的方法不适用于氟代烃,请予以解释,并提出一种改进措施使氟代烃可用于制备相应的格式试剂。
参考答案:氟代烃中由于氟-碳键的键能较大,比较稳定,不易金属镁反应生成相应的格式试剂。
使用新还原出来的活性镁可以提高其制备格式试剂的反应活性,对某些氟代烃也具有反应活性。
另外,使用四氢呋喃作溶剂相对于乙醚也可提高制备格式试剂的反应活性。
《药物合成反应(闻韧主编第三版)》人名反应整理一、卤化反应1、Hunsdriecke反应(汉斯狄克反应):羧酸银盐和溴或碘反应,脱去二氧化碳,生成比原反应物少一个碳原子的卤代烃。
☆☆☆☆☆2、Sandmeyer反应(桑德迈尔反应):用氯化亚铜或溴化亚铜在相应的氢卤酸存在下,将芳香重氮盐转化成卤代芳烃。
☆☆3、Gattermann反应(加特曼反应):将Sandmeyer反应条件改为铜粉和氢卤酸。
☆☆4、Schiemann反应(席曼反应):将芳香重氮盐转化成不溶性的重氮氟硼酸盐或氟磷酸盐,或直接将芳胺用亚硝酸钠和氟硼酸进行重氮化,此重氮盐再经热分解(有时在氟化钠或铜盐存在下加热),就可以制得较好收率的氟代芳烃。
☆二、烃化反应5、Willamson合成(威廉姆森合成):醇在碱(钠、氢氧化钠、氢氧化钾等)存在下与卤代烃反应生成醚的反应。
☆☆☆☆6、Gabriel合成(盖布瑞尔合成):将氨先制备成邻苯二甲酰亚胺,利用氮上氢的酸性,先与氢氧化钾形成钾盐,然后与卤代烃作用,得N-烃基邻苯二甲酰亚胺,再经过肼解或酸水解即可得纯伯胺。
☆☆☆☆☆7、Delepine反应(德勒频反应):用卤代烃与环六亚甲基四胺(乌洛托品Methenamine)反应得季铵盐,然后水解即可得伯胺。
8、Leuckart-Wallach反应(鲁卡特-瓦拉赫反应):用甲酸及其铵盐可对醛酮进行还原烃化,得各类胺。
☆9、Ullmann反应(沃尔曼反应):卤代芳烃与芳香伯胺在铜或碘化铜及碳酸钾存在并加热的条件下可得二苯胺及其同系物。
三、酰化反应10、Friedel-Crafts反应(傅列德尔-克拉夫茨反应,也称傅-克酰基化反应):羧酸及羧酸衍生物在质子酸或Lewis酸的催化下,对芳烃进行亲电取代生成芳酮的反应。
☆☆☆☆☆11、Hoesch反应(赫施反应):腈类化合物与氯化氢在Lewis酸催化剂ZnCl2等的存在下与烃基或烷氧基取代的芳烃进行反应可生成相应的酮亚胺,再经水解则得到羟基或烷氧基取代的芳香酮。
第一章 卤化反应习题及答案1. 根据以下指定原料、试剂和反应条件,写出其合成反应的主要产物。
(1)(CH 3)2NCH 2CH 2OHSOCl 2(2)CuCl 24(3)P, Br 2o(4)CH 2CHCOOCH 3干燥 HBr 2 (5)CH 3CH 2CH 2CH 2CH 2COOHSOCl 24o(6)S CH 32266(7)H 3C CH 3NBS, H 2SO 43o(8)NHCOCH 3CH 3Br 2,CH 3COOH o(9)OHC CH 3CH 2t -BuOCl, CHCl 3o(10)NBS, (C 6H 5)3P(11)KI, H 3PO 4武汉工程大学化工与制药学院(12)C 6H 5H 3Br 2,Cl 4o (13)CH 3CH CH CH 3232(14)(CH 3)3CCH 2OHHBr(15)OOP2(16)NBS, Et 3N ·3HF 22o(17)OHBr 24o(18)O23o2. 在下列指定原料和产物的反应式中分别填入必需的化学试剂(或反应物)和反应条件。
(1)CH 3CH 2CH 2CH 2CH CHCH 3CH 3CH 2CH 2CHCHCHCH 3Br(2)COOHBr(3)(4)OHBr(5)2CH 2BrBr(6)(7)(CH 3)3CCH 2OH(CH 3)3CCH 2Br(8)OOBocHNO OBocHNBr(9)OOBr OO BrBr2. 在下列指定原料和产物的反应式中分别填入必需的化学试剂(或反应物)和反应条件。
(参考答案)题号答案注释(1) NBS/(PhCO)2O, CCl4, △(2) Br2/HgO/tetrachloroethaneNaNO2, HCl, H2O; 2. HPF6; 3. △ (168℃)(3) 1.(4) Ph3P, Br2, CH3CN, △ (200-340℃)(5) NBS/(PhCO)2O, CCl4refluxing (10min. )acetone,(6) NaI,(7) Bu3P, Br2, DMF(8) NBS/hv, CCl4(9) NBS/(PhCO)2O, CCl4, reflux3. 阅读(翻译)以下有关反应操作的原文,请在理解基础上写出:(1)此反应的完整反应式(原料、试剂和主要反应条件);(2)此反应的反应机理(历程)。
1、About 216–224 g. (1.62–1.68 moles) of powdered anhydrous aluminum chloride is added to a 1Lthree-necked flask.在1L的三口烧瓶中加入大约216-224g(1.62–1.68 moles)的无水三氯化铝。
While the free-flowing catalyst is stirred (Note 3), 81 g. (0.67 mole) of acetophenone is added from the dropping funnel in a slow stream over a period of 20–30 minutes. 自由流动的催化剂边搅拌边用滴液漏斗缓慢滴加81g苯乙酰。
Considerable heat is evolved, and, if the drops of ketone are not dispersed, darkening or charring occurs. 放热反应,假如滴加的酮不能被分散,就会变黑或是碳化。
When about one-third of the acetophenone has been added, the mixture becomes a viscous ball-like mass that is difficult to stir.当三分之一的乙酰苯被滴加,反应混合物变成一个很难搅拌的粘性的球状团块。
Turning of the stirrer by hand or more rapid addition of ketone is necessary at this point. 在这时,改用手动搅拌或快速滴加酮是非常必要的。
The addition of ketone, however, should not be so rapid as to produce a temperature above 180°. 然而,速度不能太快,当反应温度超过180℃时。