求下图所示系统的传递函数
- 格式:docx
- 大小:101.88 KB
- 文档页数:6
1、求下图所示系统的传递函数C(s)/R(s)(本题满分20分)2、某闭环系统结构图如下图所示,τ取何值时,系统才能稳定?(本题满分20分)3、由电阻R、电感L和电容C组成无源网络如下图所示。
以u i输入,u o输出,求此系统的微分方程。
(本题满分15分)一、论述题(本题满分45分,共含5道小题)1、试分析下图所示水位自动控制系统的原理。
(本题满分10分)《控制工程基础》复习用《控制工程基础》复习用2、写出如何利用梅森(Mason )公式得到系统传递函数。
(本题满分10分)3、求取无源网络或电子调节器的传递函数,采用阻抗法求取更为方便。
写出下表中列出的电阻、电容和电感的阻抗的微分方程与传递函数。
(本题满分10分)4、对控制系统的“稳”的要求,具体是什么含义?对系统的“准”的要求,含义又是什么? (本题满分5分)5、解释闭环控制系统中比较元件、校正元件、执行元件、被控对象(或过程)的含义。
(本题满分10分)1、求系统传递函数C(s)/R(s)(本题满分10分)系统的开环传递函数成为闭环传递函数为2、化简如下所示系统框图,求化简后的传递函数2n2n n ()(2)f G s s s K sωζωω=++《控制工程基础》复习用求系统传递函数C(s)/R(s)(本题满分15分)2、系统结构图如图所示,τ取何值时,系统才能稳定 ?(本题满分10分)3、已知1[()]()(1)L f t F s s s ==+, 试求lim ()t f t ->∞。
(本题满分8分)解:1()(1)sF s s =+的极点位于左半s 平面,所以极限存在。
用终值定理 :001lim ()()lim ()limlim 1(1)1t s s s s f t f sF s s s s ->∞->->->=∞====++4、一个由弹簧-质量-阻尼器组成的机械平移系统如图所示。
m 为物体质量,k 为弹簧系数,f 为粘性阻尼系数,外力F(t)为输入量,位移x(t)为输出量。
自动控制原理考试复习题整理1.开环、闭环系统的最主要区别是()。
A.反馈 B.输入信号C.被控对象 D.干扰参考答案:A2.下图所示系统属于()。
A.恒值控制系统 B.开环系统C.程序控制系统 D.随动系统参考答案:D3.系统采用负反馈形式连接后,则 ( )。
A.一定能使闭环系统稳定B.系统动态性能一定会提高C.一定能使干扰引起的误差逐渐减小,最后完全消除D.需要调整系统的结构参数,才能改善系统性能参考答案:D4.直接对对象进行操作的元件称为()。
A.比较元件 B.给定元件C.执行元件 D.放大元件参考答案:C5.如果被调量随着给定量的变化而变化,这种控制系统叫()。
A.恒值调节系统B.随动系统C.连续控制系统D.数字控制系统参考答案:B6.随动系统对()要求较高。
A.快速性B.稳定性C.准确性D.振荡次数参考答案:A7.主要用于产生输入信号的元件称为()A.比较元件B.给定元件C.反馈元件D.放大元件参考答案:B8.自动控制系统的主要特征是()。
A.在结构上具有反馈装置并按负反馈组成系统,以求得偏差信号B.由偏差产生控制作用以便纠正偏差C.控制的目的是减少或消除偏差D.系统开环参考答案:ABC9.自动控制系统按输入信号特征可分为()。
A.恒值控制系统 B.程序控制系统C.线性系统 D.随动系统参考答案:ABD10.自动控制系统按描述元件的动态方程分()。
A.随动系统 B.恒值控制系统C.线性系统 D.非线性系统参考答案:CD11.自动控制系统的基本要求()。
A.稳定性 B.快速性C.准确性 D.安全性参考答案:ABC12.人工控制与自动控制系统最大的区别在于控制过程中是否有人参与。
()参考答案:√第二章控制系统的教学模型1.下图所示电路的微分方程是()。
A.B.C.D.参考答案:A2.下图所示电路的传递函数是()。
A.B.C.D.参考答案:A3.关于传递函数,错误的说法是()。
A 传递函数只适用于线性定常系统;B 传递函数不仅取决于系统的结构参数,给定输入和扰动对传递函数也有影响;C 传递函数一般是为复变量s的真分式;D 闭环传递函数的极点决定了系统的稳定性。
第二章习题课一. 求图示系统结构图的传递函数)()(s R s C ,)()(s N s C ,)()(s R s E ,)()(s N s E 。
二.T 型网络如下图所示,试绘出其动态结构图,并求出传递函数)()(s U s U i o 。
1i三.系统的微分方程组为)()()(1t c t r t x -=)()()(21121t x t x k dtt dx T -=)()()(323t c k t x t x -=)()()(322t x k t c dtt dc T =+式中32121,,,,k k k T T 均为正的常数,系统的输入量为)(t r ,输出量为)(t c ,试画出动态结构图,并求)()(s R s C 。
四.求下图所示系统的传递函数。
五.用结构图化简法求系统传递函数)()(s R s Y 。
)(s六.系统动态结构图如图所示,试确定系统的闭环传递函数)()(s R s C第二章习题课一. 求图示系统结构图的传递函数)()(s R s C ,)()(s N s C ,)()(s R s E ,)()(s N s E 。
1、求)()(s R s C )1(1)1()()(5412152545421G G H G G G G G G G G GG s R s C -++--=2、求)()(s N s C))1)(1()1)(()()(5221545432G G H G G G G G G G G s N s C ++--+=)1(11)()(5412152545254G G H G G G G G G G G G G s R s E -++-+-=)1(1))(1()()(5412152543254G G H G G G G G G G G G G H s N s E -++-+--=二.T 型网络如下图所示,试绘出其动态结构图,并求出传递函数)()(s U s U i o 。
自动控制原理习题一、(20分)试用结构图等效化简求下图所示系统的传递函数)()(s R s C 。
解:所以:32132213211)()(G G G G G G G G G G s R s C +++= 二.(10分)已知系统特征方程为06363234=++++s s s s ,判断该系统的稳定性,若闭环系统不稳定,四.(121m -=222K K-0=1K ⇒=,s = 所以当1K >时系统稳定,临界状态下的震荡频率为ω五.(20分)某最小相角系统的开环对数幅频特性如下图所示。
要求(1) 写出系统开环传递函数; (2) 利用相角裕度判断系统的稳定性;(3) 将其对数幅频特性向右平移十倍频程,试讨论对系统性能的影响。
解(1)由题图可以写出系统开环传递函数如下:(2)系统的开环相频特性为截止频率1101.0=⨯=c ω相角裕度:︒=+︒=85.2)(180c ωϕγ故系统稳定。
(3)将其对数幅频特性向右平移十倍频程后,可得系统新的开环传递函数其截止频率10101==c c ωω而相角裕度︒=+︒=85.2)(18011c ωϕγγ= 故系统稳定性不变。
由时域指标估算公式可得)11(4.016.0-+=σoo=o o 1σ(1(2(2)121)(=s G 2函数。
1、的输出量不会对系统的控制量产生影响。
开环控制结构简单、成本较低、系统控制精度取决于系统元部件、抗干扰能力较差。
(2分)2、根轨迹简称为根迹,它是开环系统某一参数从零变到无穷时,闭环特征方程式的根在s 平面上变化的轨迹。
(3分)系统根轨迹起始于开环极点,终至于开环零点。
(2分)二、看图回答问题(每小题10分,共20分)1、解:结论:稳定(2分)理由:由题意知系统位于s 右半平面的开环极点数0=P ,且系统有一个积分环节,故补画半径为无穷大,圆心角为2122πππ-=⨯-=-v 的圆弧,则奈奎斯特曲线如图1示,(3分)由图可知系统奈奎斯特曲线包围(-1,j0)点的圈数为000=-=-=-+N N N ,(3分)由奈奎斯特稳定判据,则系统位于s 右半平面的闭环极点数02=-=N P Z ,(2分)故闭环系统稳定。
第一部分:单选题1.自动控制系统的反馈环节中必须具有[ ] a.给定元件 b .检测元件 c .放大元件 d .执行元件2. 在直流电动机的电枢回路中,以电流为输出,电压为输入,两者之间的传递函数是[ ] a .比例环节 b .积分环节 c .惯性环节 d .微分环节3. 如果系统不稳定,则系统 [ ]a.不能工作 b .可以工作,但稳态误差很大c .可以工作,但过渡过程时间很长d .可以正常工作4. 在转速、电流双闭环调速系统中,速度调节器通常采用[ ]调节器。
a .比例 b .比例积分 c .比例微分 d .比例积分微分5.单位阶跃函数1(t)的拉氏变换式L[1(t)]为[ ]:a .S b. S 1c. 21Sd. S 26. 在直流电动机的电枢回路中,以电流为输出,电压为输入,两者之间的传递函数是[ ] A .比例环节 B .积分环节 C .惯性环节 D .微分环节 7.如果系统不稳定,则系统 [ ]A. 不能工作 B .可以工作,但稳态误差很大C .可以工作,但过渡过程时间很长D .可以正常工作8. 已知串联校正网络(最小相位环节)的渐近对数幅频特性如下图所示。
试判断该环节的相位特性是[ ]:[ ]调节器。
[ ]:C. 相位滞后-超前D. 相位超前-滞后12. 开环增益K 增加,系统的稳定性( ):A .变好 B. 变坏 C. 不变 D. 不一定13. 开环传递函数的积分环节v 增加,系统的稳定性( ):A .变好 B. 变坏 C. 不变 D. 不一定14. 已知 f(t)=0.5t+1,其L[f(t)]=( ):A .S+0.5S 2 B. 0.5S 2 C. S S1212 D. S 2115.自动控制系统的反馈环节中必须具有( ):A.给定元件 B .检测元件 C .放大元件 D .执行元件16.PD 调节器是一种( )校正装置。
A .相位超前 B. 相位滞后 C. 相位滞后-超前 D. 相位超前-滞后17.已知最小相位系统的开环对数幅频特性曲线的渐近线如下图所示,试确定其开环增益K ( )。
1《自动控制原理》试卷(A 卷)一、 用运算放大器组成的有源电网络如图所示,试采用复数阻抗法写出它的传递函数。
(10分)(1图 )(3图)二、假设某系统对于单位阶跃输入信号的响应为t t e e t y 10602.12.01)(---+= 。
(a) 求该系统的闭环传递函数。
(b) 确定该系统的阻尼系数。
(10分)三、试用梅逊增益公式求图中系统的闭环传递函数。
(写出步骤)(10分)四、控制系统的结构如图所示,设 r(t ) = t ⋅ 1(t ) ,p (t ) = 1(t )定义e (t ) = r(t ))(t y -,试求系统的稳态误差。
(10分)(4图)五、试确定题图所示系统参数K 和ξ的稳定域。
(写步骤)(10分)(5图)六、设单位反馈控制系统的开环传递函数为(1) 绘制根轨迹,并加以简要说明。
(2) 当系统的阻尼振荡频率s rad /1d =ω时试确定闭环主导极点的值与相应的增益值。
(15分)七、最小相位系统的开环对数幅频特性的渐近线如图所示,确定系统的开环传递函数。
(10分)八、已知最小相位系统校正前后系统的折线对数幅频特性如图所示,其中Lo(ω)为校正前特性,L开(ω)为校正后特性。
(1)试作出校正装置的对数幅频特性Lc(ω)(折线);(2)试写出校正装置的传递函数Gc(s);(3)计算校正后系统的相位裕度γ。
(15分)cp为s右半平面上的开环根的个数,v为开九、设开环系统的奈氏曲线如下图所示,其中,环积分环节的个数,试判别闭环系统的稳定性。
(10分)(a)(b)2《自动控制原理》试卷(B 卷)一、 求下图所示系统的传递函数)(/)(0s U s U i 。
(10分)(1图) (3图)二、假设某系统对于单位阶跃输入信号的响应为t t e e t y 10602.12.01)(---+= 。
(a) 求该系统的闭环传递函数。
(b) 确定该系统的阻尼系数。
(10分)三、系统的信号流图如图所示,求输出C (S )的表达式。
第二章1. 在转速、电流双闭环调速系统中,速度调节器通常采用[ B ]调节器。
a.比例 b.比例积分c.比例微分 d.比例积分微分2. 在直流电动机的电枢回路中,以电流为输出,电压为输入,两者之间的传递函数是[ A ]A.比例环节 B.积分环节C.惯性环节 D.微分环节3. 在转速、电流双闭环调速系统中,速度调节器通常采用[ B ]调节器。
A.比例 B.比例积分C.比例微分 D.比例积分微分4. 振荡环节的传递函数为( a )。
A. ωn /(S2+2ξωn S+1) (0<ξ<1) ;B. ωn /(S2+2ξωn S+1) (ξ=1);5.函数b + ce-at(t≥0)的拉氏变换是( c )。
A、bS + c/(S+1) ;B、 bS – c/(S+a) ;C、 b/S + c/(S+a) ;D、 b/S + c/(S-a)6.某机械平移系统如图所示,则其传递函数的极点数P 为( )。
A. 3 ; B. 4 ; C.5 ; D. 67. cos2t 的拉普拉斯变换式是 〔 〕 A. S 1B.442+SC.42+S SD. 21S8. 已知 f(t)=0.5t+1,其L[f(t)]=( ): A .S+0.5S 2 B. 0.5S 2 C.S S1212+ D. S 21 9.下列函数既可用初值定理求其初值又可用终值定理求其终值的为:( )。
A. 5/(S 2+25);B.5/(S 2+16);C. 1/(S-2);D.1/(S+2)10.函数b + ce -at (t ≥0)的拉氏变换是( )。
A 、 bS + c/(S+1) ;B 、bS – c/(S+a) ;C 、b/S + c/(S+a) ;D 、b/S + c/(S-a)11.振荡环节的传递函数为( )。
A.ωn /(S 2+2ξωn S+1) (0<ξ<1) ;B.ωn /(S 2+2ξωn S+1)(ξ=1);C. T 2/(T 2S 2+2ξTS+1) (0<ξ<1) ;D.1/[S (TS+1)]12.下列函数既可用初值定理求其初值又可用终值定理求其终值的为:( )。
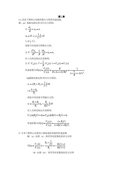
第二章2-1试求下图所示电路的微分方程和传递函数。
解:(a )根据电路定律,列写出方程组:001L i R c L R C di L u u dtu R i i dt Ci i i ⋅+==⋅==+⎰ 消除中间变量可得微分方程:20002i d u du L L C u u dt R dt⋅⋅+⋅+= 对上式两边取拉氏变换得:2000()()()()i L L C U s s U s s U s U s R⋅⋅⋅+⋅⋅+= 传递函数为022()1()()1i U s R G s L U s R Ls LCRs s LCs R ===++++ (b)根据电路定律,列写出方程组:12011()i i u i R R idt C u u i R =++-=⎰消除中间变量可得微分方程:121012i R R R u u idt R R C+=-⎰ 对上式两边取拉氏变换得:2012()(1)()(1)i U s R Cs U s R Cs R Cs +=++ 传递函数为0212()1()()1i U s R Cs G s U s R Cs R Cs+==++2—3求下图所示运算放大器构成的电路的传递函数.解:(a )由图(a ),利用等效复数阻抗的方法得22111(s)1(s)()1o i R U R Cs Cs G U s R R Cs ++==-=-+ (b )由图(b ),利用等效复数阻抗的方法得222121211221211111(s)()1(s)1()1o i R U C s R R C C s R C R C s G U s R C s R C sR C s ++++==-=-+ 2—5试简化下图中各系统结构图,并求传递函数()()C s R s 。
2-6试求下图所示系统的传递函数11()()C s R s ,21()()C s R s ,12()()C s R s 及22()()C s R s 。
第一章作业1-2什么叫闭环控制系统?是比较开环与闭环系统各自的优缺点。
解答:被控制量参与系统控制的控制方式称为闭环控制。
在闭环控制中,在给定值和被控量之间,除了有一条从给定值到被控量方向传递信号的前向通道外,还有一条从被控量到比较元件传递信号的反馈通道。
控制信号沿着前向通道和反馈通道循环传递,故闭环控制又称为反馈控制。
与开环系统相比较:闭环系统从原理上提供了实现高精度控制的可能性,它对控制元件的要求比开环系统的低。
但闭环系统设计比较麻烦,结构也比较复杂,因而成本较高。
第二章 作业2-1用拉式变换法求解下列微分方程,初始条件为零。
(1)T (t)+x(t)=r(t) (其中r(t) 分别为(t) ,1(t) 和t 1(t) )(2) (t)+2(t)+x(t)=1(t) 解答: (1)对微分方程进行拉式变换得:)()()0()(s r s x T s x T x s =++将 )(1)(t t r =, ss r 1)(= 代入式中得)(1)()1(s Tx ss x Ts +=+ 1)0()1)((1)(+++=Ts Tx s T s s xTs x ts s s x 1)0(11)(+++-=等式两边进行拉式变换得:ττtte x e x --+-=)0(1)t (又因为x(0)=0,(2)对微分方程两边进行拉氏变换得:ss x s s 1)()12(2=++22)1(1)12(1)(+=++=s s s s s s x 等式两边进行拉氏变换得:])10(1[)(0t e e t x t ---=- )1(1t e t +-=-2-4 简化图2-25所示系统的结构图,并求传递函数C(s)/R(s)。
解答:将A 点顺时移动,并将前向通路进行串联,将其化简为:将两条反馈通路并联,得下图:再进行化简则有:由此可知传递函数第三章 习题与答案3-5单位反馈系统的开环传递函数为 求能使系统闭环后稳定的开环放大系数K 的范围。
2-1若i x 为输入位移,o x 为输出位移, 试列写出下图所示机械系统的微分方程式,并求出传递函数。
2-2下图所示系统中电压1U 和位移1x 为系统输入量,电压2U 和位移2x 为输出量,k 为弹簧弹性系数,f 为阻尼器的阻尼系数,试分别列写图示系统的传递函数)()(12s U s U 和)()(12s X s X ,并将其写成典型环节相串联的形式。
2-3试求下图所示有源网络的传递函数。
2-4试用信号流图求出下图所示四端网络的传递函数)()()(12s U s U s G .2-5试绘制下图所示RC 回路的方块图,并根据方块图,并根据方块图写出传递函数)()(s U s U r c 。
2-6 试绘制下图所示电路的结构图,并求传递函数)()(12s U s U 。
2-7 给定一速度调节器的电路如图所示,试求U(s)与)(,)(0s U s U t 之间的关系式。
2-8 下图为由运算放大器组成的控制系统的模拟图,试求其闭环传递函数。
2-9 某RC 网络为下图所示,其中21U U 、分别为网络的输入量和输出量,试求:(1)画出网络相应的结构图(即函数方框图);(2)求传递函数)()(12S U S U (化成标准形式);(3)讨论元件2121,,,C C R R 参数选择是否响应网络的绝对稳定性。
2-10 本题包括以下内容:1.已知由试验得出的环节输出时间特性如下(题图(1)):(1)试确定各环节的传递函数.(2)试确定各环节在s 平面上的零点.极点分部.(3)试画出各环节的伯德(Bode)图.2.设有如下环节(题图(2)):已知: 54321,,,,R R R R R 各为电阻值, 210,,C C C 各为电容值。
(1)试确定各环节的输入与输出的关系。
(2)试画出该环节的结构图。
3.在题图(3)所示系统中,i x :输入位移,0x :输出位移,f:阻尼器的阻尼系数,21k k 、各为弹簧系数.且假定系统是集中参数系统,输出端的负载效应可乎略.试求出图中所示机械系统传递函数。
第一讲1、什么是计算机数字控制系统?一般由哪几部分组成?请用框图形式给出实例,并简单说明其工作原理。
计算机控制系统就是利用计算机(通常称为工业控制机)来实现生产过程自动控制的系统;一般由计算机和生产过程两部分组成;计算机控制系统由工业控制计算机主体(包括硬件、软件与网格结构)和生产过程两大部分组长。
其中硬件系统有主机、输入输出通道、外部设备、检测与执行机构组成;三个步骤原理:①实时数据采集:对来自测量变送装置的被控量的瞬时值进行检测和输入。
②实时控制决策:对采集到的被控量进行分析和处理,并按已定的控制规律,决定将要采取的控制行为。
③实时控制输出:根据控制决策,适时地对执行机构发出控制信号,完成控制任务。
2、实时、在线方式、离线方式的含义是什么?实时:指信号的输入、计算和输出都要在一定的时间范围内完成,亦即计算机对输入信息,以足够快的速度进行控制,超出了这个时间,就失去了控制的时机,控制也就失去了意义。
在线方式:在线方式亦称为联机方式,是指生产过程和计算机直接连接,并受计算机控制的方式称为。
离线方式:离线方式亦称为脱机方式,是指生产过程不和计算机相连,且不受计算机控制,而是靠人进行联系并做相应操作的方式。
3、简述计算机数字控制系统的发展趋势。
计算机数值控制系统的发展趋势有控制系统的网络化、扁平化、只能化、综合化。
第二讲1、简述计算机控制系统中过程通道的基本类型及其作用。
数字量输入通道:接受外部装置或产生过程的状态信号,同时将状态信号经转换、保护、滤波、隔离等措施转换成计算机能够接收的逻辑信号;数字量输出通道:把计算机输出的微弱数字信号转换成能对生产过程进行控制的数字驱动信号;模拟量输入通道:把被控对象的过程参数如温度、压力、流量、液位重量等模拟信号转换成计算机可以接收的数字量信号;模拟量输出通道:把计算机处理后的数字量信号转换成模拟量电压或电流信号,去驱动相应的执行器,从而达到控制的目的。
2、简述计算机控制系统抗干扰技术的基本措施。
考试科目:《机械工程控制基础》(第一章、第二章)(总分100分) 时间:90分钟学习中心(教学点) 批次: 层次: 专业: 学号: 身份证号: 姓名: 得分:一、单项选择题(本题共15小题,每小题2分,共30分。
)1、控制论的中心思想是( )。
A 、系统是由元素或子系统组成的B 、机械系统与生命系统乃至社会和经济系统等都有一个共同的特点,即通过信息的传递、加工处理,并利用反馈进行控制C 、有些系统可控,有些系统不可控D 、控制系统有两大类,即开环控制系统和闭环控制系统 2、机械系统之所以表现动态特性主要原因是( )。
A 、机械系统是又由机械部件组成的 B 、存在阻尼元件 C 、存在弹性元件 D 、存在内反馈 3、以下关于系统模型说法正确的是( )。
A 、每个系统只能有一种数学模型B 、系统动态模型在一定条件下可简化为静态模型C 、动态模型比静态模型好D 、静态模型比动态模型好4、以下几个微分方程表示的系统中,属于线性定常系统的是( )。
A 、x 02+2x 0+2=2x i B 、x 0’’+2x 0’+2t=2x iC 、x 0’’+2x 0’+2x 0=2x i D 、x 02+2x 0+2t=2x i5、某典型环节的传递函数为G(s)=1/s ,则该环节为( )。
A 、惯性环节 B 、积分环节 C 、微分环节 D 、比例关节6、设一系统的传递函数为s e s τ-•+121则该系统可看成为由( )串联而成。
A 、惯性环节与延时环节 B 、比例环节、惯性环节与延时环节 C 、惯性环节与导前环节 D 、比例环节、惯性环节与导前环节 7、闭环自动控制的工作过程是( )。
A 、测量系统输出的过程B 、检测系统偏差的过程C 、检测偏差并消除偏差的过程D 、使系统输出不变的过程 8、系统和输入为已知,求输出,并对系统动态特性进行研究,称为( )。
A、系统综合B、系统分析C、系统辨识D、系统设计9、对控制系统的首要要求是()。
一、求下图所示系统的传递函数)(/)(0s U s U i 。
(10分) )1()()(3132320+++-=CS R R R R CS R R s U s U i 一、控制系统方块图如图所示:
(1)当a =0时,求系统的阻尼比ξ,无阻尼自振频率n ω和单位斜坡函数输入时的稳态误差;
(2)当ξ=0.7时,试确定系统中的a 值和单位斜坡函数输入时系统的稳态误差;
系统的开环传函为
s
a s s G )82(8)(2++=闭环传函为8)82(8)()(2+++=s a s s R s Y 25.0 83.2 36.0===ss n e ωξ4 25.0==ss e a
设某控制系统的开环传递函数为
)
22()(2++=s s s k s G 试绘制参量k 由0变至∞时的根轨迹图,并求开环增益临界值。
(15分)
1)j p j p p --=+-==110
321 2)πππϕσ3
5,,332=-=a a (10分) 3)ω=j 2±,c k =4,开环增益临界值为K=2
设某系统的特征方程为23)(2
34+--+=s s s s s D ,试求该系统的特征根。
列劳斯表如下 000022
0112311
23
4
s s s s ---(4分)
得辅助方程为0222=+-s ,解得1,
121-==s s (4分) 最后得1,243=-=s s
设某控制系统的开环传递函数为
)()(s H s G =)10016()12.0(752+++s s s s 试绘制该系统的Bode 图,并确定剪切频率c ω的值
剪切频率为s rad c /75.0=ω
某系统的结构图和Nyquist 图如图(a)和(b)所示,图中
2)1(1)(+=s s s G 23
)
1()(+=s s s H 试判断闭环系统稳定性,并决定闭环特征方程正实部根的个数。
(16分)
解:由系统方框图求得内环传递函数为:
s
s s s s s s H s G s G +++++=+23452
474)1()()(1)((3分) 内环的特征方程:04742345=++++s s s s s (1分)
由Routh 稳定判据:
01:0
310:
16:
044:
171:
01234s s s s s
七、设某二阶非线性系统方框图如图所示,其中 4 , 2.0 , 2.00===K M e 及s T 1=,试画出输入信号)(12)(t t r ⋅=时系统相轨迹的大致图形,设系统原处于静止状态。
(16分)
解:根据饱和非线性特性,相平面可分成三个区域,运动方程分别为
区)
(区)
(区)
(III 2.0 08.0II 2.0 08.0I 2.0|| 04-<=-+>=++<=++e e e e e e e e e e (9分)
相轨迹大致图形为
(7分)
什么是闭环主导极点?
所有闭环极点距离虚轴最近的极点 周围没有闭环零点 而其他闭环极点又远离虚轴这样的极点为闭环极点
对自动控制系统的基本要求有哪些?时域中的动态性能指标有哪些?
要求:准确性 快速性 稳定性 指标: 延迟时间td 上开时间tr 峰值时间tp 调节时间ts 超调&%
什么是参量根轨迹?
随着开环传递函数种某一参数的变化 这一参数出去开环增益 闭环极点在S 平面的变化轨迹成为参量根轨迹
设控制系统(图) 若要求系统在单位斜坡输入信号作用时,位置输出稳态误差ess (正无穷)≤0.
1、 常见的建立数学模型的方法有哪几种?各有什么特点?
2、 PD 属于什么性质的校正?它具有什么特点?
3、 幅值裕度,相位裕度各是如何定义的?
4、 举例说明什么是闭环系统?它具有什么特点?
1、有以下三种:
1. 机理分析法:机理明确,应用面广,但需要对象特性清晰
2. 实验测试法:
不需要对象特性清晰,只要有输入输出数据即可,但适用面受限
3. 以上两种方法的结合
通常是机理分析确定结构,实验测试法确定参数,发挥了各自的优点,克
服了相应的缺点
2、 超前校正。
可以提高系统的快速性,改善稳定性。
3、 |
)()(|1`g g g jw H jw G K = , 。
180)()(-=∠g g jw H jw G 1|)()(| ),()(180)=∠+=c c c c c jw H jw G jw H jw G w 。
(γ
4、 既有前项通道,又有反馈通道,输出信号对输入信号有影响。
存在系统稳定性问题。
(例子任意)
系统如图2所示
求:
(1))
()()(s E s Y s G == (2))()()(s R s C s =φ=1
1)(0+==TS S G T S
设单位反馈系统的开环传递函数为
1
2 )1()(23++++=s s s s K s G α 若系统以2rad/s 频率持续振荡,试确定相应的K 和α值
五、(10分)
理想PID 算式为:
)1
(dt
de T edt T e K P D I P ⎰++=, 试推导出离散PID 的增量式算式。
(1))()()()()()(21s H s G s G s E s Y s G ==
(2))
()()(1)()()()()(2121s H s G s G s G s G s R s C s +==ϕ 四、(15分)
2=K ,75.0=α ,可以利用Routh 判据或其它方法解答 五))2((211---+-++-=∆n n n s
D n I s n n c n e e e T T e T T e e K P 二、 某控制系统的方框图如图所示,欲保证阻尼比ξ=0.7和响应单位斜坡函数的稳态误差为
ss e =0.25,试确定系统参数K 、τ。
(15分)
二、解:s
τK s K s G k )2()(2++= (2分) K
s τK s K s R s C +++=)2()()(2 (2分) K
s τK s s τK s s R s E +++++=)2()2()()(22 (2分) 25.02=+=K
K e ss τ,(2分) K n =ω,τξωK n +=22 (4分) 综合上面的式子,得
31=
=τ
K
.
36
.0
,
186。