检测技术第4章部分练习答案
- 格式:doc
- 大小:53.00 KB
- 文档页数:2
第四章电涡流传感器思考题与习题答案1. 单项选择题1)欲测量镀层厚度,电涡流线圈的激励源频率约为___D___。
而用于测量小位移的螺线管式自感传感器以及差动变压器线圈的激励源频率通常约为___B___。
A. 50~100HzB. 1~10kHzC.10~50kHzD. 50kHz~1MHz2)可以利用电涡流接近开关原理检测出___C___的靠近程度。
A. 人体B. 水C. 黑色金属零件D. 塑料零件3)电涡流探头的外壳用___B___制作。
A.不锈钢B.塑料C.黄铜D.玻璃4)当电涡流线圈靠近非磁性导体(铜)板材后,线圈的等效电感L___C___,调频转换电路的输出频率f___B___。
A. 不变B. 增大C. 减小5)欲探测埋藏在地下的金银财宝,应选择直径为___D___左右的电涡流探头。
欲测量油管表面和细小裂纹,应选择直径为___B___左右的探头。
A. 0.1mmB. 5mmC. 50mmD. 500mm6)用下图的电涡流方法测量齿数Z=60的齿轮的转速,测得f=400Hz,则该齿轮的转速n等于___A___r/min。
A. 400B. 3600C. 24000D. 60两种测量转速的方法a)电感b)磁电式(电磁感应式)1-被测旋转体(钢质齿轮)2-导磁铁心3-绕组4-永久磁铁5-汽车发动机曲轴转子z-齿数T-传感器输出脉冲的周期2. 用一电涡流式测振仪测量某机器主轴的轴向窜动,已知传感器的灵敏度为25mV/mm。
最大线性范围(优于2.5%)为5mm。
现将传感器安装在主轴的右侧,如图a 所示。
使用计算机记录仪记录下的振动波形如图b所示。
问:电涡流式测振仪测量示意图1)轴向振动a m sin t的振幅a m为____A____。
A. 1.6mmB. 3.2mmC. 8.0mmD. 4.0mm2)主轴振动的基频f是____A____Hz。
A. 50B. 100C. 40D. 204)为了得到较好的线性度与最大的测量范围,传感器与被测金属的静态安装距离l为____B____mm为佳。
4.1 传感器在测试系统中的作用是什么?传感器分类有哪些?作用:传感器能检测物理量、电量和化学量等信息,并把其转换成计算机能够理解额电信号。
分类:1.传感器按所属学科可分为物理型、化学型和生物型传感器等。
2.传感器按转换原理可分为电阻式、电感式、电容式、电磁式、光电式、热电式、压电式、霍尔式、微波式、激光式、超声式、光纤式及核辐射式传感器等。
3.传感器按用途可分为温度、压力、流量、重量、位移、速度、加速度、力、电压、电流、功率传感器等。
4.传感器按转换过程中的物理现象可分为结构型和物性型传感器等。
5.传感器按转换过程中的能量关系可分为能量转换型和能量控制型转换器等。
6.传感器按输出量的形式可分为模拟式和数字式传感器等。
7.传感器按功能可分为传统型和智能型传感器等。
8.传感器按输出参数可分为电阻型、电容型、电感型、互感型、电压(电势)型、电流型、电荷型及脉冲(数字)型传感器等。
9.传感器按输出阻抗大小可分为低输出阻抗型和高输出阻抗型传感器等。
4.2 总结本章,介绍各种传感器的工作原理、测量电路、结构及使用特点和应用实例。
1.机械式传感器工作原理:机械式传感器的输入量可以是力、压力、温度等物理量,而输出则为弹性元件本身的弹性变形,这种变形经放大后可带动仪表指针偏转,借助刻度指示出被测量的大小。
特点:结构简单、可靠、使用方便、价格低廉、读数直观等。
应用实例:用于测力或侧重的环形测力计、弹簧秤等;用于测量流体压力的波纹膜片、波纹管等;用于温度测量的双金属片等2.电阻式传感器工作原理:把被测量转换为电阻变化的一种传感器。
(1)电位器式电阻传感器如果电阻丝直径和材质一定时,则电阻值R随导线长度L的变化而变化。
特点:结构简单、尺寸小、性能稳定、受环境影响小、不需要放大、滑线变阻器式传感器精度可达0.1%。
应用实例:重量的自动检测-配料设备、煤气包储量检测等。
3.电容式传感器4.电感式传感器5.磁电式传感器磁电式传感器是利用电磁感应原理,将输入运动速度变换成感应电势输出的传感器。
第四章习题答案1.某电容传感器(平行极板电容器)的圆形极板半径)(4mm r =,工作初始极板间距离)(3.00mm =δ,介质为空气。
问:(1)如果极板间距离变化量)(1m μδ±=∆,电容的变化量C ∆是多少?(2)如果测量电路的灵敏度)(1001pF mV k =,读数仪表的灵敏度52=k (格/mV )在)(1m μδ±=∆时,读数仪表的变化量为多少?解:(1)根据公式SSSd C d d d d d dεεε∆∆=-=⋅-∆-∆ ,其中S=2r π (2)根据公式112k k δδ∆=∆ ,可得到112k k δδ⋅∆∆==31001100.025-⨯⨯= 2.寄生电容与电容传感器相关联影响传感器的灵敏度,它的变化为虚假信号影响传感器的精度。
试阐述消除和减小寄生电容影响的几种方法和原理。
解:电容式传感器内极板与其周围导体构成的“寄生电容”却较大,不仅降低了传感器的灵敏度,而且这些电容(如电缆电容)常常是随机变化的,将使仪器工作很不稳定,影响测量精度。
因此对电缆的选择、安装、接法都有要求。
若考虑电容传感器在高温、高湿及高频激励的条件下工作而不可忽视其附加损耗和电效应影响时,其等效电路如图4-8所示。
图中L 包括引线电缆电感和电容式传感器本身的电感;C 0为传感器本身的电容;C p 为引线电缆、所接测量电路及极板与外界所形成的总寄生电容,克服其影响,是提高电容传感器实用性能的关键之一;R g 为低频损耗并联电阻,它包含极板间漏电和介质损耗;R s 为高湿、高温、高频激励工作时的串联损耗电组,它包含导线、极板间和金属支座等损耗电阻。
此时电容传感器的等效灵敏度为2200220/(1)(1)g e e k C C LC k d d LC ωω∆∆-===∆∆- (4-28)当电容式传感器的供电电源频率较高时,传感器的灵敏度由k g 变为k e ,k e 与传感器的固有电感(包括电缆电感)有关,且随ω变化而变化。
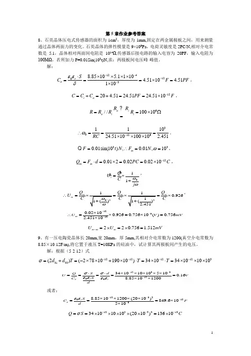
第5章作业参考答案8、石英晶体压电式传感器的面积为1cm 2,厚度为1mm,固定在两金属极板之间,用来测量通过晶体两面力的变化。
石英晶体的弹性模量是9×109Pa ,电荷灵敏度是2PC/N,相对介电常数是5.1,晶体相对两面间电阻是1014Ω,传感器后接电路的输入电容为20PF ,输入电阻为100MΩ,若所加力F=0.01Sin(103t)N,求:两极板间电压峰-峰值。
解:12412038.8510 5.1110 4.5110 4.51110r a S C F PF εεδ----⋅⨯⨯⨯⨯===⨯=⨯, 1220 4.5124.5124.5110i a C C C PF F -=+=+==⨯,6//10010a ia i i R R R R R R ==⨯Ω=30126111024.511010010 2.451RC ω-∴===⨯⨯⨯。
330.01sin(10),0.01,10m F t N F N ω=∴== , 120.0120.020.0210m m Q F d PC C -=⋅=⨯==⨯,11iQ U C j ωω=⨯+ ,0.926mmm m Q Q Q U CCC∴===⨯,1230.02100.9260.75610()0.7562.45110mU V mV --⨯∴=⨯=⨯=⨯220.756 1.512m m m U U mV -=⨯=⨯=9、有一压电陶瓷晶体长20mm,宽20mm ,厚5mm,其相对介电常数为1200(真空介电常数为8.85×10-12F/m),将它置于液压T=10KPa 的硅油中,试计算其两极板间产生的电压。
解:根据(5-2-12)式1212121233133(2)(2781019010)341034101010d d T T T σ----=+=-⨯⨯+⨯⋅=⨯⋅=⨯⨯⨯12331200341010105100.168.85101200r a r Q S d U V S C dσσεεεε---⋅⋅⨯⨯⨯⨯⨯=====⨯⨯或者:123212038.85101200(2010)849.610510r a SC F d εε----⨯⨯⨯⨯===⨯⨯123321234101010(2010)13610Q S C σ---==⨯⨯⨯⨯⨯=⨯1360.16849.6a Q U V C ∴===10、试证明热电偶的中间温度定律和标准电极定律。
《临床生物化学检验技术》第四章练习题及答案第四章酶学检验技术A型题1.酶能加速化学反应速度是因为()A.向反应体系提供能量B.降低反应的自由能变化C. 降低反应的活化能D. 降低底物能量水平E.降低产物的能量水平2. 下列关于酶定量测定叙述错误的是()A. 是测定酶的活性浓度B.一般不直接测酶蛋白的含量C.是测定酶催化反应的速度D. 测定酶活性浓度时要选择好各种条件E.任何情况下酶促反应速度与酶浓度成正比例3.何种情况下的酶促反应速度与酶量成正比()A.最适温度B.最适pHc.底物浓度足够大D.酶量足够大时E.以上都不是4.酶促反应进程曲线通常可用于确定()A.酶反应线性范围B.适宜的pHC.适宜的酶量范围D. 反应线性的时间范围E.底物的浓度5.为保证酶动力学分析,要求底物浓度必须是()A.大于Km值10倍以上B.与K m值相同C.等于1/2K mD.小于1/2K m值E.小于1/10K m值6.酶活力浓度连续监测法测定对耦联酶反应的要求为()A.一级B.二级C.零级D.混合级E.反应级别和第一步反应的级别一致7.关于同工酶的正确叙述是()A.催化的反应相同B. 催化的功能不同C.分子结构相同D.电泳迁移率相同E.K m相同8.连续监测法测定AIT話性浓度常用的波长是()A. 630nmB.280nmD. 340nmC. 500nmE 405nm9. LDH同工酶的四聚体组成为()A.M4B.H4C. H1M3D. H3M1E.H2M210.常用来分析同工酶的方法是()A.电泳法B.层析法C.沉淀法D.热失活分析法E.蛋白酶水解法11. 目前我国临床实验室测定酶活性浓度推荐温度为()A. (25±0.1) ℃B. (37±0.1) ℃C. (37 ±0.5) ℃D.(37±0.3) ℃E. (37±1) ℃12,下列关于LDH叙述错误的是()A.红细胞中含量比血清高100倍B. 有5种同工酶C.主要存在于细胞质中D.温度对全血标本测定结果影响不大E. LDH可以协助诊断急性心肌梗死13. 下列关于酶催化活性浓度测定的叙述不正确的是()A. 可测定产物生成量B.可测定底物消耗量C. 需最适pHD.需最适温度E.应尽量减少底物量14. 连续监测法进行酶学测定中不引起干扰的是()A.样本本身含有其他酶和物质干扰B. 工具酶中混有其他酶的污染C.分析容器的污染与沉淀形成D.使用双试剂B. 非酶反应的干扰15.测定酶的催化活性方法,除了以下哪项因素外,都应与酶活性成正比()A.产物生成速度B.最大反应速度C.初速度E.底物消耗速度D.试剂用量16.温度对酶活性影响不正确的叙述是()A. 高温能使大多数酶变性B.低温保存不会破坏酶活性C.反复冻融会使酶蛋白变性D一定温度范围内,温度升高,酶促反成速度加快E.酶都有一个最适反应温度,是酶的特征常数之一17.下列不影响酶活性测定的因素是()A.最适pHB.比色皿光径C.激活剂浓度D.反应温度E缓冲液的种类18. 酶促反应般不包括下列哪期()A.延滞期B.零级反应期C.一级反应期D. 二级反应期E.预孵育期9.关于同工酶的正确叙述是()A.催化的反应相同,但生理意义不一定相同B.催化的功能不同C,分子结构相同D. 电泳迁移率相同E.K m相同20.连续监测法测定酶活性浓度应该在时间反应进程的什么期()A.延滞期B.性期C.非线性期D预孵育期E. 一级期B型题(1~5题共用备选答案)A.ALTB. ALPC LPS D. ChEE. CK-MB1.多用于有机磷中毒诊断的酶是()2.多用于急性心肌梗死诊断的酶是()3. 多用于肝脏疾患诊断的酶是()4.多用于骨疾患诊断的酶是()5.多用于胰腺炎诊断的酶是()(6~10题共用备选答案)A. GODB. PODC H292 D. GluE.00nm6. Tinder 反应的底物是()7: Tinder反应的催化酶()8. Trinder 反应的检测波长是()9.可以用Trinder 反应进行检测的物质是()10.可以耦联Trinder反应的酶是()。
第一章单元测试1、单选题:用以标定的仪器,直接的测量出某一待测未知量的量值称为()。
选项:A:动态测量B:直接测量C:接触式测量D:间接测量答案: 【直接测量】2、单选题:下列哪项不是闭环控制型现代测试系统的优点()。
选项:A:实时数据采集B:远距离传输C:实时判断决策D:实时控制答案: 【远距离传输】3、多选题:下列属于测量过程的是()。
选项:A:测量误差B:测试方法C:被测对象D:数值和计量单位答案: 【测量误差;测试方法;被测对象;数值和计量单位】4、判断题:水银温度计测量体温属于直接式测量。
选项:A:错B:对答案: 【对】5、单选题:测试技术与传感技术被称为信息技术系统的()。
选项:A:感官B:大脑C:神经答案: 【感官】第二章单元测试1、单选题:下列非线性补偿方法中属于软件补偿的是()。
选项:A:开环式B:闭环式C:拟合法D:差动式答案: 【拟合法】2、判断题:A类标准不确定度是用非统计方法得到的不确定度。
选项:A:对B:错答案: 【错】3、判断题:真值在实际测量中是可以确切获知的。
选项:A:错B:对答案: 【错】4、判断题:相对误差是绝对误差与测量仪表量程之比。
选项:A:对B:错答案: 【错】5、单选题:将63.73501四舍五入,保留两位小数为()。
选项:A:63.00B:64.00C:63.74D:63.73答案: 【63.74】第三章单元测试1、判断题:直流电桥可以测量电容的变化。
选项:A:错B:对答案: 【错】2、单选题:全桥接法的灵敏度是半桥双臂接法的几倍()。
选项:A:1B:2C:4D:8答案: 【2】3、判断题:半导体式应变片比金属丝式应变片的灵敏度高。
选项:A:对B:错答案: 【对】4、判断题:丝式应变片采用栅状结构是为了获得大的电阻变化量。
选项:A:对B:错答案: 【对】5、单选题:下列哪项不是半导体应变片的优点()。
选项:A:灵敏度高B:体积小C:温度稳定性能好D:易于集成化答案: 【温度稳定性能好】第四章单元测试1、单选题:下列哪项是电容式传感器的缺点()。
第一部分思考题与习题答案1.单项选择题1)某压力仪表厂生产的压力表满度相对误差均控制在0.4%~0.6%,该压力表的精度等级应定为C级,另一家仪器厂需要购买压力表,希望压力表的满度相对误差小于0.9%,应购买B级的压力表。
A. 0 .2B. 0 .5C. 1 .0D. 1.52)某采购员分别在三家商店购买100kg大米、10kg苹果、1kg巧克力,发现均缺少约0.5kg,但该采购员对卖巧克力的商店意见最大,在这个例子中,产生此心理作用的主要因素是B。
A.绝对误差B.示值相对误差C.满度相对误差D.精度等级3)在选购线性仪表时,必须在同一系列的仪表中选择适当的量程。
这时必须考虑到应尽量使选购的仪表量程为欲测量的C左右为宜。
A.3倍B.10倍C.1.5倍D.0.75倍4)用万用表交流电压档(频率上限仅为5kHz)测量频率高达500kHz、10V左右的高频电压,发现示值还不到2V,该误差属于D。
用该表直流电压档测量5号干电池电压,发现每次示值均为1.8V,该误差属于A。
A.系统误差B.粗大误差C.随机误差D.动态误差5)重要场合使用的元器件或仪表,购入后需进行高、低温循环老化试验,其目的是为了D。
A.提高精度B.加速其衰老C.测试其各项性能指标D.提高可靠性2.各举出两个非电量电测的例子来说明1)静态测量;2)动态测量;3)直接测量;4)间接测量;5)接触式测量;6)非接触式测量;7)在线测量;8)离线测量。
3.有一温度计,它的测量范围为0~200℃,精度为0.5级,试求:1)该表可能出现的最大绝对误差为A。
A. 1℃B. 0.5℃C. 10℃D. 200℃2)当示值为20℃时的示值相对误差为B,100℃时的示值相对误差为C。
A. 1℃B. 5%C. 1%D. 10%4.欲测240V左右的电压,要求测量示值相对误差的绝对值不大于0.6%,问:若选用量程为250V电压表,其精度应选B级。
若选用量程为300V,其精度应选C级,若选用量程为500V的电压表,其精度应选C级。
第4章压电式传感器一、填空题1.压电元件一般有三类:第一类是石英晶体;第二类是压电陶瓷;第三类是高分子压电材料。
2.压电效应可分为正压电效应和逆压电效应。
3.将超声波(机械振动波)转换成电信号是利用压电材料的压电效应;蜂鸣器中发出“嘀…嘀…”声的压电片发声原理是利用压电材料的逆压电效应。
4.在实验室作检验标准用的压电仪表应采用sio2压电材料;能制成薄膜,粘贴在一个微小探头上、用于测量人的脉搏的压电材料应采用PVDF。
5.使用压电陶瓷制作的力或压力传感器可测量动态的力或压力。
6.动态力传感器中,两片压电片多采用并联接法,可增大输出电荷量;在电子打火机和煤气灶点火装置中,多片压电片采用串联接法,可使输出电压达上万伏,从而产生电火花。
7.用于厚度测量的压电陶瓷器件利用了逆压电效应原理。
二、综合题1.简述压电式加速度传感器的结构及原理。
压电式加速度传感器一般由壳体及装在壳体内的弹簧、质量块、压电元件和固定安装的基座组成。
压电元件一般由两片压电片组成,并在压电片的两个表面镀银,输出端由银层或两片银层之间所夹的金属块上引出,输出端的另一根引线就直接和传感器的基座相连。
在压电片上放置一个质量块,然后用硬弹簧对质量块预加载荷,然后将整个组件装在一个基座的金属壳体内。
为了隔离基座的应变传递到压电元件上去,避免产生假信号输出,增加传感器的抗干扰能力,基座一般要加厚或者采用刚度较大的材料制造。
使用时,将传感器基座与试件刚性固定在一起,当其感受振动时,由于弹簧的刚度相当大,质量块的质量相对较小,可以认为质量块的惯性很小。
因此可以认为质量块感受到与传感器基座相同的振动,并受到与加速度方向相反的惯性力作用,这样,质量块就有一个正比于加速度的作用力作用在压电片上。
通过压电片的压电效应,在压电片的表面上就会产生随振动加速度变化的电压,当振动频率远低于传感器的固有频率时,传感器输出的电压与作用力成正比,即与传感器感受到的加速度成正比。
传感器与检测技术(第二版)参考答案第1章 检测技术基本知识1.1单项选择:1.B2.D3. A4.B1.2见P1;1.3见P1-P3;1.4见P3-P4;1.5 见P5;1.6 (1)1℃(2)5﹪,1﹪ ;1.7 0.5级、0.2级、0.2级;1.8 选1.0级的表好。
0.5级表相对误差为25/70=3.57﹪, 1.0级表相对误差为1/70=1.43﹪;1.9见P10-P11;1.10见P11- P12;1.11 见P13-P14第2章 电阻式传感器及应用2.1 填空1.气体接触,电阻值变化;2.烧结型、厚膜型;3.加热器,加速气体氧化还原反应;4.吸湿性盐类潮解,发生变化2.2 单项选择1.B 2. C 3 B 4.B 5.B 6. A2.3 P17;2.4 P17;2.5P24;2.6 P24;2.7 P24-P25;2.8 P25;2.9 P26;2.10 P30-312.11 应变片阻值较小;2.12P28,注意应变片应变极性,保证其工作在差动方式;2.16 Uo=4m V ;2.17 P34;2.18 P34;2.19 (1) 桥式测温电路,结构简单。
(2)指示仪表 内阻大些好。
(3)RB:电桥平衡调零电阻。
2.20 2.21 线性范围内,希望传感器的灵敏度越高越好;传感器的延迟时间越短越好;传感器的线性范围越宽,则其量程越大,并且能保证一定的测量精度。
2.23 P44;2.33 P45第3章 电容式传感器及应用3.1 P53-P56;3.2 变面积传感器输出特性是线性的。
3.3 P58-P59;3.4 P59-P613.5 当环境相对湿度变化时,亲水性高分子介质介电常数发生改变,引起电容器电容值的变化。
属于变介电常数式。
3.6 参考变面积差动电容传感器工作原理。
参考电容式接近开关原理。
3.8 (1)变介电常数式;(2)参P62 电容油料表原理第4章 电感式传感器及应用4.1 单项选择1.B;2.A4.2 P65;4.3 P68;4.4 螺线管式电感传感器比变隙式电感传感器的自由行程大。
《检测技术》部分习题答案第2章2-1 二阶系统的频率特性受阻尼比ξ的影响较大。
分析表明,ξ越小,系统对输入扰动容易发生超调和振荡,对使用不利。
在ξ=0.6-0.7时,系统在宽广的频率范围内由于幅频特性和相频特性而引起的失真小,系统可以获得较为合适的综合特性。
比如二阶系统在单位阶跃激励下时,如果阻尼比ξ选择在0.6-0.7范围内,则最大超调量不超过10%,且当误差允许在(5-2)%时趋于“稳态”的调整时间也最短。
2-2 频率特性是指测试系统反映出来的输出与输入幅值之比和两者之相位差是输入频率的函数的这样一个特性。
当测试系统的输入为正弦信号时,将该信号的输出与输入之比定义为频响函数。
工作频带是指测试装置的适用频率范围,在该频率范围内,仪器装置的测试结果均能保证达到其它相关的性能指针。
2-3 不失真测试要求测试系统的输出波形和输入波形精确相一致,只是幅值相对增大和时间相对延迟。
而实际的测试系统很难做到无限频带上完全符合不失真测试的条件,即使测取一个理想的三角波,在某一频段范围内,也难以完全理想地实现不失真测试。
三角波呈周期性变化,其测试装置的非线性度必然引起波形的畸变,导致输出失真。
由此只能努力使波形失真限制在一个允许的误差范围内,即做到工程意义上的不失真测量。
2-4 系统的总灵敏度为:90×0.005×20=9mm/Mpa 偏移量为:9×3.5=31.5mm2-5 由 ,得用该装置测量频率为50Hz 的正弦信号时, ,即幅值误差为1.3%相角差为:2-6()[]()()t10t 1000/t 2e 39.0t 40cos 05.0t 40sin 01.0t 4cos 34.0t 4sin 86.0e 39.096.75t 40sin 048.080.21t 4sin 93.0sin et sin )(1A )t (y ---+-+-=+-+-=-++=ϕϕωωττk ()()()()ωτϕωϕωωωωarctan a e t sin a 1)t (y s a s 1s Y 22at 2222-=++++=++=-注:设输入t Asin )t (x ω=2-7 由得输入信号的频率范围是:2-8 环节一的灵敏度为: 1.5/5=0.3 环节二的灵敏度为: 41故串联后的灵敏度为:0.3×41=12.32-9 由测量频率为400Hz 变化的力参量时 : 若装置的阻尼比为0.7,则:2-10第5章5-1 单侧厚度测量利用X射线在被测物体表面反射的强度与被测件的材料有关,且随被测件厚度的增大而增大的原理。
第4章电感式传感器四、简答题 1、 答:工作原理:假设:初级绕组W 1a =W 1b =W 1,次级绕组和W 2a =W 2b =W 2。
两个初级绕组的同名端顺向串联,两个次级绕组的同名端则反相串联。
当没有位移时,衔铁C 处于初始平衡位置,它与两个铁芯的间隙有δa 0=δb 0=δ0,则绕组W 1a 和W 2a 间的互感M a 与绕组W 1b 和W 2b 的互感M b 相等,致使两个次级绕组的互感电势相等,即e 2a =e 2b 。
由于次级绕组反相串联,因此,差动变压器输出电压U o =e 2a -e 2b =0。
当被测体有位移时,与被测体相连的衔铁的位置将发生相应的变化,使δa ≠δb ,互感Ma≠M b ,两次级绕组的互感电势e 2a ≠e 2b ,输出电压U o =e 2a -e 2b ≠0,即差动变压器有电压输出, 此电压的大小与极性反映被测体位移的大小和方向。
知识点:差动变隙式电感传感器2、答:变隙式电感传感器的输出特性与衔铁的活动位置、供电电源、线圈匝数、铁芯间隙iU Bo变隙式差动变压器结构有关。
知识点:变隙式电感传感器3、答:为改善变隙式电感传感器的非线性可采用差动结构。
如果变压器的供电电源稳定,则传感器具有稳定的输出特性;另外,电源幅值的适当提高可以提高灵敏度,但要以变压器铁芯不饱和以及允许温升为条件。
增加次级线圈和初级线圈的匝数比值和减小铁芯间隙都能使灵敏度提高。
知识点:变隙式电感传感器4、答:差动变压器式传感器主要有变隙式差动传感器和螺线管式差动变压器两种结构形式。
差动变压器式传感器根据输出电压的大小和极性可以反映出被测物体位移的大小和方向。
螺线管式差动变压器如采用差动整流电路,可消除零点残余电压,根据输出电压的符号可判断衔铁的位置,但不能判断运动的方向;如配用相敏检波电路,可判断位移的大小和方向。
知识点:差动变压器式传感器5、答:零点残余电压的产生原因:传感器的两次极绕组的电气参数与几何尺寸不对称,导致它们产生的感应电势幅值不等、相位不同,构成了零点残余电压的基波;由于磁性材料磁化曲线的非线性(磁饱和,磁滞),产生了零点残余电压的高次谐波(主要是三次谐波)。
测量技术与检测综合训练江苏大学智慧树知到答案2024年第一章测试1.以下哪一项不是检测技术的基本任务()A:建立统一的计量单位,并复制成为标准形式,确保量值传递; B:拟定合理的测量方法,并采用相应的测量器具使其实现; C:测量零件尺寸,并绘制零件图 D:对测量方法的精度进行分析和估计,正确处理测量所得的数据软件是一种逻辑实体,具有抽象性;答案:C2.图中圆弧半径可以采用的测量方法为()A:间接测量; B:两种都可以 C:直接测量;答案:A3.以下哪种量具或量仪只能使用接触法测量()A:游标卡尺; B:光切显微镜; C:三种都可以 D:工具显微镜;答案:A4.以下哪种量具或量仪属于机械式量具和量仪()A:三种都是 B:内径百分表; C:游标卡尺; D:外径千分尺;答案:B5.按测量器具的示值是否为被测尺寸的实际值,分()。
A:相对测量 B:绝对测量 C:接触测量 D:非接触测量答案:AB6.()可以在测量中用作标准量。
A:角度规 B:极限量规 C:量块 D:半径规答案:ACD7.以下哪几种量具和量仪属于螺旋类量具()A:内径千分尺 B:游标卡尺 C:游标高度尺 D:外径千分尺答案:AD8.量块是机械制造中常用的标准量。
()A:对 B:错答案:A9.使用游标卡尺测量轴的直径属于间接测量法。
()A:错 B:对答案:A10.使用极限量规检验零件时,既可以判断零件是否合格,又可以得出零件尺寸、形状和位置误差的具体数值。
()A:对 B:错答案:B第二章测试1.尺寸测量实验中,应用投影立式光学计测量轴的直径,所采用的测量方法是()。
A:非接触测量 B:动态测量 C:相对测量 D:绝对测量答案:C2.尺寸测量实验中,应用投影立式光学计测量外尺寸实验中,()作为标准量来校对仪器零位。
A:内径百分表 B:外径千分尺 C:塞规 D:量块答案:D3.尺寸测量实验中,内径百分表刻度值为()。
A:0.001毫米 B:0.01毫米 C:1毫米 D:0.1毫米答案:B4.尺寸测量实验中,根据实验室所提供的量块,若被测塞规的公称尺寸为25.5mm,采用的量块组合是()。
题目:简述燃料消耗量道路试验包括内容
选项A:燃料消耗量道路试验包括不控制的道路试验、控制的道路试验和道路循环试验。
选项B:燃料消耗量道路试验包括等速百公里油耗、循环百公里油耗和加速百公里油耗。
选项C:燃料消耗量道路试验包括制动系技术状况的判断方法、转向系技术状况的判断方法、传动系技术状况的判断方法、行驶系技术状况的判断方法和发动机技术状况的判断方法。
选项D:燃料消耗量道路试验包括直接挡全节气门加速燃料消耗量试验、等速燃料消耗量试验、限定条件下的平均使用燃料消耗量试验和多工况燃料消耗量试验。
答案:燃料消耗量道路试验包括不控制的道路试验、控制的道路试验和道路循环试验。
题目:汽车燃料经济性是指汽车以最低的消耗费用完成运输工作的
选项A:时间
选项B:能力
选项C:条件
选项D:效率
答案:能力
题目:道路循环试验指的是汽车完全按规定的车速—时间规范进行的
选项A:测量
选项B:检查
选项C:检测
选项D:试验
答案:试验
1。
第一章测试1【多选题】(20分)相对误差的几种表现形式()A.引用相对误差B.实际相对误差C.示值相对误差D.开真值相对误差2【多选题】(20分)传感器的组成包括一下哪些部分()A.转换元件B.转换电路C.敏感元件D.被测量3【多选题】(20分)系统误差的常用判断方法()A.残差观察B.理论计算C.残差校验D.实验对比4【多选题】(20分)传感器的静态性能指标()A.灵敏度B.温度漂移C.线性度D.重复性5【多选题】(20分)传感器频率响应指标有()A.截止频率B.固有频率C.通频带D.时间常数第二章测试1【单选题】(20分)按照输出信号的性质分类,应变式位移传感器是一种()A.计数型B.开关型C.代码型D.模拟型2【单选题】(20分)描述金属电阻应变片工作原理的是()A.dR/R=dL/L-dS/SB.dR/R=dL/LC.dR/R=Kε3【单选题】(20分)在电子秤中常使用()式力传感器。
A.电阻应变B.自感C.光纤4【单选题】(20分)直流电桥平衡时,电桥相对两臂电阻值的乘积()。
A.不等B.相等C.为零5【单选题】(20分)利用相邻双臂桥检测的应变式传感器,为使其灵敏度高、非线性误差小()A.两个桥臂应当分别用应变量变化相同的工作应变片B.两个桥臂都应当用大电阻值工作应变片C.两个桥臂应当分别用应变量变化相反的工作应变片D.两个桥臂都应当用两个工作应变片串联第三章测试1【单选题】(20分)单线圈螺线管式自感传感器广泛用于测量()A.小量程角位移B.小量程直线位移C.大量程角位移D.大量程直线位移2【单选题】(20分)利用差动变压器式位移传感器进行测量时,为了辨别输入位移的方向,测量电路中必须有()A.滤波环节B.整流环节C.放大环节D.相敏检波环节3【单选题】(20分)下列传感器不适合于静态位移测量的是()A.压阻式位移传感器B.压电式位移传感器C.涡流式位移传感器D.电感式位移传感器4【单选题】(20分)变隙式差动变压器零点残余电压产生的主要原因是()A.两次级线圈的电气参数和几何尺寸不对称B.活动衔铁的初始位置不合适C.磁性材料饱和5【单选题】(20分)用电容式传感器测量液位时,应该选用()A.变隙式B.变介电常数C.变面积第四章测试1【单选题】(20分)光电管和光电倍增管是利用()制成的光电器件。
题4.3 应变式压力变送器测压原理是什么?金属应变片和半导体应变片有什么不同点? 解:将金属应变片贴在弹性元件上,当被测压力作用在弹性元件上时产生弹性变形,则应变电阻同时产生应变,从而引起电阻值发生变化,最后通过测量电路将其转换为相应的电压或电流信号,则被测压力与输出电信号成对应关系。
金属应变片的原理是应变效应,主要通过改变金属丝的长度和截面积改变阻值。
半导体应变片的原理是压阻效应,主要通过改变半导体电阻率改变阻值。
题4.9 若被测压力变化范围为0.5~1.4MPa ,要求测量误差不大于压力示值的5±%。
可供选择的压力表规格有:量程为0~1.6MPa ,0~2.5MPa ,0~4MPa ,精度等级为:1.0,1.5,2.5级三种。
试选择合适量程和精度的压力表?(注:压力表精度等级均指满度误差,共9个规格仪表。
)解:压力测量范围P 为0.5~1.4MPa ,测量误差为压力示值的5%在测量下限时绝对误差最小,∆P min =0.5⨯5%=0.025 MPa解1:因压力表均为满度误差,故0~1.6MPa 最接近被测量程,应选0~1.6MPa 压力表。
考虑经济性先选2.5级表:∆P 1=1.6⨯2.5%=0.04 MPa ,不符合要求。
再考虑1.5级表:∆P 1=1.6⨯1.5%=0.024 MPa<∆P min ,符合要求。
故最后应选择1.5级表,0~1.6MPa 压力表。
(从经济性考虑)解2:选择0~2.5MPa 时,根据∆P min =0.5⨯5%=0.025 MPa ,只有1.0级满足要求。
(从不超过满量程3/4考虑)题4.11 已知球平面电容差压变送器输出电流C HL H L I C C C C I +-=,其中C I 为恒流源。
如题图4.11所示。
感压膜片电极1的挠度y 与差压成正比)(L H y p p K y -=,y K 为比例系数,2、3为球面形固定电极。
试证明输出电流I 与差压L H p p p -=∆成正比。
第四章电涡流传感器思考题与习题答案
1. 单项选择题
1)欲测量镀层厚度,电涡流线圈的激励源频率约为___D___。
而用于测量小位移的螺线管式自感传感器以及差动变压器线圈的激励源频率通常约为___B___。
A. 50~100Hz
B. 1~10kHz
C.10~50kHz
D. 50kHz~1MHz
2)可以利用电涡流接近开关原理检测出___C___的靠近程度。
A. 人体
B. 水
C. 黑色金属零件
D. 塑料零件
3)电涡流探头的外壳用___B___制作。
A.不锈钢
B.塑料
C.黄铜
D.玻璃
4)当电涡流线圈靠近非磁性导体(铜)板材后,线圈的等效电感L___C___,调频转换电路的输出频率f___B___。
A. 不变
B. 增大
C. 减小
5)欲探测埋藏在地下的金银财宝,应选择直径为___D___左右的电涡流探头。
欲测量油管表面和细小裂纹,应选择直径为___B___左右的探头。
A. 0.1mm
B. 5mm
C. 50mm
D. 500mm
6)用下图的电涡流方法测量齿数Z=60的齿轮的转速,测得f=400Hz,则该齿轮的转速n等于___A___r/min。
A. 400
B. 3600
C. 24000
D. 60
两种测量转速的方法
a)电感b)磁电式(电磁感应式)
1-被测旋转体(钢质齿轮)2-导磁铁心3-绕组4-永久磁铁5-汽车发动机曲轴转子
z-齿数T-传感器输出脉冲的周期
2. 用一电涡流式测振仪测量某机器主轴的轴向窜动,已知传感器的灵敏度为25mV/mm。
最大线性范围(优于2.5%)为5mm。
现将传感器安装在主轴的右侧,如图a 所示。
使用计算机记录仪记录下的振动波形如图b所示。
问:
电涡流式测振仪测量示意图
1)轴向振动a m sin t的振幅a m为____A____。
A. 1.6mm
B. 3.2mm
C. 8.0mm
D. 4.0mm
2)主轴振动的基频f是____A____Hz。
A. 50
B. 100
C. 40
D. 20
4)为了得到较好的线性度与最大的测量范围,传感器与被测金属的静态安装距离l为____B____mm为佳。
A. 5mm
B. 2.5mm
C. 10mm
D. 1mm。