一类函数项级数的求和
- 格式:pdf
- 大小:149.54 KB
- 文档页数:4
常见幂级数求和函数方法综述引言级数是高等数学体系的重要组成部分,它是在生产实践和科学实验推动下逐步形成和发展起来的。
中国魏晋时期的数学家刘徽早在公元263年创立了“割圆术”,其要旨是用圆内接正多边形去逐步逼近圆,从而求得圆的面积。
这种“割圆术”就已经建立了级数的思想方法,即无限多个数的累加问题。
而将一个函数展开成无穷级数的概念最早来自于14世纪印度的马徳哈瓦,他首先发展了幂级数的概念,对泰勒级数、麦克劳林级数、无穷级数的有理数逼近等做了研究。
同时,他也开始讨论判断无穷级数的敛散性方法。
到了19世纪,高斯、欧拉、柯西等各自给出了各种判别级数审敛法则,使级数理论全面发展起来。
中国传统数学在幂级数理论研究上可谓一枝独秀,清代数学家董祐诚、坎各达等运用具有传统数学特色的方法对三角函数、对数函数等初等函数幂级数展开问题进行了深入的研究。
而今,级数的理论已经发展的相当丰富和完整,在工程实践中有着广泛的应用,级数可以用来表示函数、研究函数的性质、也是进行数值计算的一种工具。
它在自然科学、工程技术和数学本身方面都有广泛的作用。
幂级数是一类最简单的函数项级数,在幂级数理论中,对给定幂级数分析其收敛性,求收敛幂级数的和函数是重要内容之一。
但很多人往往对这一内容感到困难。
产生这一问题的一个重要原因是教材对这一问题讨论较少,仅有的一两个例题使得我们对幂级数求和中的诸多类型问题感到无从下手。
事实上,求幂级数和函数的方法与技巧是多种多样的,一般要综合运用求导、拼凑、分解等来求解,因此它是一个难度较大、技巧较高的有趣的数学问题。
一、幂级数的基本概念(一)、幂级数的定义 [1] 1、设()(1,2,3)n u x n =是定义在数集E 上的一个函数列,则称12()()(),n u x u x u x x E ++++∈!为定义在E 上的函数项级数,简记为1()n n u x ∞=∑ 。
2、具有下列形式的函数项级数200102000()()()()n nn n n a x x a a x x a x x a x x ∞=-=+-+-++-+∑称为在点0x 处的幂级数。
函数项级数和函数列的区别函数项级数和函数列是数学中的两种重要概念,它们在数学分析和数值计算中有着广泛的应用。
虽然它们都涉及到无穷项的求和,但在定义和性质上有一些不同之处。
我们来看函数项级数。
函数项级数是指一系列函数按照一定的顺序进行求和的过程。
具体地说,给定一个函数项序列{an(x)},其中an(x)表示第n个函数项,函数项级数可以写成S(x) = a1(x) + a2(x) + a3(x) + ...的形式。
在函数项级数中,每一项都是一个函数,而求和的结果也是一个函数。
函数项级数的求和可以通过逐项求和的方式进行,即对每个函数项分别求和,并将结果相加得到函数项级数的和。
函数项级数的收敛性和性质可以通过一系列定理进行研究和判断。
与函数项级数相比,函数列是一系列函数按照一定的顺序排列的序列。
给定一个函数列{fn(x)},其中fn(x)表示第n个函数,我们可以将函数列写成f1(x), f2(x), f3(x), ...的形式。
函数列的性质和收敛性可以通过逐点收敛和一致收敛来刻画。
逐点收敛是指对于每个x值,函数列在该点处的极限存在,而一致收敛是指函数列在整个定义域上的极限存在且收敛速度足够快。
从定义上看,函数项级数和函数列有一些相似之处。
它们都是一系列函数按照一定的顺序排列的序列。
然而,它们的主要区别在于求和的方式和求和的结果。
函数项级数的求和结果是一个函数,而函数列的求和结果是一个极限值。
此外,函数项级数的求和是逐项进行的,而函数列的求和是对整个函数列进行的。
在应用上,函数项级数和函数列都有着重要的作用。
函数项级数在数学分析中常用于研究函数的性质和逼近问题,如泰勒级数和傅里叶级数。
函数列在数值计算中常用于逼近函数的值和求解方程,如插值方法和迭代法。
函数项级数和函数列是数学中的两个重要概念。
它们在定义和性质上有所不同,但在应用上具有相似之处。
函数项级数和函数列在数学分析和数值计算中有着广泛的应用,对于理解和研究函数的性质和逼近问题具有重要意义。
函数列和函数项级数的区别
函数列和函数项级数都是数学中的概念,但它们有着不同的定义和性质。
函数列是指由一系列函数所构成的序列,其中每一个函数都是在同一定义域上的函数。
函数列可以在点处或在整个定义域上收敛或发散。
函数列的极限可以是一个函数或不存在。
函数项级数是指由一系列函数项所构成的级数,其中每个函数项都是一个单独的函数,而级数的求和是对这些函数项在给定定义域上求和。
函数项级数的收敛与发散是关于级数求和的,而不是某个函数的极限。
因此,函数列和函数项级数的区别在于它们的定义和性质不同。
函数列是一系列函数的序列,而函数项级数是一系列函数项的级数求和。
- 1 -。
级数求和的常用方法摘要级数理论及应用无论对数学学科本身还是在其他科学技术及理论的发展中都有极为重要的影响和作用,而级数求和是级数理论及应用的主要内容之一.由于级数求和的方法比较多,技巧性很强,一般很难掌握其规律,是学习的一个难点,因此掌握一些常用的级数求和方法就显得尤为重要.通过例题,分别针对常用的数项级数和函数项级数求和进行分析和讨论,试图通过对例题的分析和解决,展示级数求和的常用方法和思想,进而探索级数求和的规律,理解级数理论即合理应用,打下良好的基础,为学习者起到抛砖引玉的方法.关键词:数项级数;函数项级数;求和;常用方法Summation of series method in common useAbstractProgression theory and application still are having the most important effect and function on the development of science and technology and theory disregarding logarithmic discipline per se, but summation of series is one of progression theory and applicative main content. Method of summation of series is comparatively many, the dexterity is very strong, in general very difficult to have its law in hand, be a difficult point studying, have some summation of series in common use method in hand therefore appearing especially important right away. Carry out analysis and discuss that by the fact that the example , difference are aimed at several progression and function item summation of series in common use, try to pass the analysis checking an example and solve, show summation of series method and thought in common use , probe and then the summation of series law , understand that progression theory is that reasonableness applies , lays down fine basis, in order the learner gets the method arriving at a modest spur to induce someone to come forward with his valuable contributions.Key words: Count progression; function series; Sue for peace; Method in common use目录引言................................................ 错误!未定义书签。
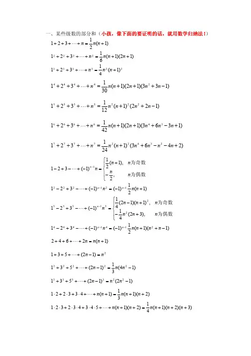
一、某些级数的部分和(小孩小孩,,像下面的要证明的话像下面的要证明的话,,就用数学归纳法就用数学归纳法!!) )1(21321+=++++n n n L)12)(1(613212222++=++++n n n n L223333)1(41321+=++++n n n L)133)(12)(1(30132124444−+++=++++n n n n n n L )122()1(1213212225555−++=++++n n n n n L )1363)(12)(1(421321346666+−+++=++++n n n n n n n L )2463()1(241321234227777+−−++=++++n n n n n n n L−+=−+−+−−为偶数为奇数n n n n n n ,2),1(21)1(3211L)1(21)1()1(321121222+−=−+−+−−−n n n n n L+−+−=−+−+−−为偶数为奇数n n n n n n n n ),32(41,)1)(12(41)1(3212231333L)1)(1(21)1()1(3212141444−++−=−+−+−−−n n n n n n n L)1(2642+=++++n n n L 2)12(531n n =−++++L)14(31)12(53122222−=−++++n n n L)12()12(531223333−=−++++n n n L)2)(1(31)1(433221++=+++⋅+⋅+⋅n n n n n L)3)(2)(1(41)2)(1(543432321+++=++++⋅⋅+⋅⋅+⋅⋅n n n n n n n L)4)(3)(2)(1(51)3)(2)(1(54324321++++=+++++⋅⋅⋅+⋅⋅⋅n n n n n n n n n L)!1()!1(21)()1(1−+++=++∑=n k n k k j j j nj L)53)(2)(1(121)1(12+++=+∑=n n n n j j nj)32)(3)(2)(1(101)2()1(12++++=++∑=n n n n n j j j nj)1(41)(22122−=−∑=n n j nj nj4)2(2)1(2211−+−=++=∑n n j j n nj j1111)1(1431321211+=+−=+++⋅+⋅+⋅n n n n n L)2)(1(2141)2)(1(1543143213211++−=++++⋅⋅+⋅⋅+⋅⋅n n n n n L )3)(2)(1(31181)3)(2)(1(1654315432143211+++−=+++++⋅⋅⋅+⋅⋅⋅+⋅⋅⋅n n n n n n n L)1(21214311)1)(1(1222+−−=−=−+∑∑==n n j j j nj nj12)12)(12(11+=+−∑=n nj j n j13)13)(23(11+=+−∑=n nj j nj)32)(12(41121)32)(12)(12(11++−=++−∑=n n j j j nj)43)(13(61241)43)(13)(23(11++−=++−∑=n n j j j nj)2)(1(212243)2)(1(121++++−=++−∑=n n n j j j j nj)3)(2)(1(34)3)(2(23313629)3)(1(21+++−++−+−=+++∑=n n n n n n j j j j nj2122)2)(1(211−+=++∑=−n j j j n nj j)2(34)1(32)2)(1(4112+−+=+++=∑n n j j j n nj jnnj jn j j j 2)1(112)1(21+−=++∑=nnj j n j j j 3)1(113)1(321+−=++∑=−+−+=−+−+−+++=++−∑1111111)1(2)1(131])1(2][)1(2[2)1(n n n nj j j j jj j−−+++++−=−++−++∑=b n a a a n b b b a b j a a a j b b b nj )1()1()()1(11)1()1()1()1(1L L L L二、乘法与因式分解公式(容易推导)ab x b a x b x a x +++=++)())((2 2222)(b ab a b a +±=± 3223333)(b ab b a a b a ±+±=± ))((22b a b a b a +−=− ))((2233b ab a b a b a +±=±m)())((122321为正整数n b ab b a b a a b a b a n n n n n n n −−−−−+++++−=−L )())((122321为偶数n b ab b a b a a b a b a n n n n n n n −−−−−−+−+−+=−L )())((122321为奇数n b ab b a b a a b a b a n n n n n n n −−−−−+−−+−+=+Lca bc ab c b a c b a 222)(2222+++++=++))((3222333ca bc ab c b a c b a abc c b a −−−++++=−++三、有关三角函数、指数函数、对数函数的不等式)0,1()1ln(1)0,1(1)0,1(11)0(11)0 为自然数,(!!21)0,1(11)0(121,104)1(sin 2031tan )0(61sin )0,(211cos 222sin )0(1sin cos 20tan sin 112332≠−><+<+≠−>+<≠−>−<+≠−>>++++>≠<−<≠+>≠<<<−<<<+>>−>≠∞<<−∞−><<−><<<<<<<<+−−x x x x xxx x x ex x e x xx x e x n n x x x e x x xe x x e x x x x x x x x x x x x x x x x x x x xx x xx x x x x xx x x xn xxx L ππππππππ 特别取)(1为自然数n nx =,有 nn n 111ln 11< +<+)0,1(1)1(210tan sin 21sec ln )0,0()1(ln )0,1(1)1ln()0(1ln 1>>+>+<<⋅<>>−≤≠<−<−−<>−≤x x x x xx x x n x n x x x xx x x x x x nααα四、组合公式C n k C k n C k n k C n n k C C C C C C C C C C CC C n k n k n k n k n k n k n n kn k n k n k n k n j k jj kn k n n jnj km nk m jn k jj k ==++=+−=−==+===−−+++−−+−+−−=++++=+−=∑∑∑1111111111100111五、、函数的概念与分类[函数与反函数] 设D 是给定的一个数集.若有两个变量x 和y ,当变量x 在D 中取某个特定值时,变量y 依确定的关系f 也有一个确定的值,则称y 是x 的函数,f 称为D 上的一个函数关系上的一个函数关系,,记为y =f (x ),x 称为自变量称为自变量,,y 称为因变量.当x 取遍D 中各数,对应的y 构成一数集R ,D 称为定义域或自变数域,R 称为值域或因变数域.反过来,若把y 视为自变量,x 视为因变量,用y 写出x 的表达式:x =ϕ(y ),则称y =f (x )与x =ϕ(y )互为反函数.例如例如::y = x + sin(x+3)[实变函数与复变函数] 当自变数域为实数域时,函数称为实变函数.当自变数域为复数域时,函数称为复变函数.[一元函数与多元函数] 只有一个自变量的函数称为一元函数.有两个或两个以上自变量的函数称为多元函数.[显函数与隐函数] 因变量可以由自变量用数学式子直接表示出来的函数称为显函数.例如例如::y = x + 3, 这就叫显式表示这就叫显式表示,,显函数若函数关系包含在一个方程式或一组方程式中,自变量与因变量无明显区分,则称为隐函数.例如例如::sin(x) + tg(2y) = 5, 这就叫隐式表示这就叫隐式表示,,隐函数[简单函数与复合函数] 若y 是u 的函数y =f (u ),而u 又是x 的函数,u =ϕ(x ),则y 称为x 的复合函数,u 称为中间变量,记作y =f [ϕ(x )],无中间变量的函数称为简单函数.例如例如::y = sin[exp(cos(x+2))][有界函数与无界函数] 若存在两个数m , M (m ≤M ),使m ≤f (x )≤M ,对定义域上的任意x 都成立,则称f (x )为定义域上的有界函数,m 为其下界,M 为其上界.若这样的数m 和M 至少有一个不存在,则称f (x )为定义域上的无界函数.例如例如::sin(x)就是有界函数就是有界函数,,{-1,1}[单调函数与非单调函数] 若对于区间[a , b ]中的任意x 1>x 2有f (x 1)≥f (x 2)[或f (x 1)≤f (x 2)],则称f (x )为[a , b ]中的递增函数(或递减函数).递增函数和递减函数通称为单调函数.不是递增(或递减)的函数称为非单调函数.换句话说换句话说::对于区间[a , b ],f’(x)>0,则为单调递增函数则为单调递增函数;;而f’(x)<0,递减函数[奇函数与偶函数] 若对于定义域中的任意x 恒有()()x f x f −=−,则称f (x )为奇函数;若对于定义域中的任意x 恒有()()x f x f =−,则称f (x )为偶函数.例如例如::sin(x),tg(x), ctg(x)是奇函数是奇函数、、而cos(x)是偶函数[周期函数与非周期函数] 若有一实数T ≠0,使对定义域中的任意x 恒有f (x +T )=f (x ),则f (x )称为以T 为周期的周期函数;否则称f (x )为非周期函数.孩子,注意周期的求法:按照定义来(保持T 为最小!!!) 例如:sin(x)=sin(2PI +x),所以,2PI 是函数sin(x)的周期Sin^2(x)=1/2[1-cos(2x)]=1/2[1-cos(2PI+2x)]=1/2[1-cos2(PI+x)]=sin^2(PI+x)所以,PI 是sin 平方的周期[单值函数与多值函数] 若对于自变量x 的一个值,因变量y 有一个而且只有一个值与其对应,则称y 为x 的单值函数.若对于自变量x 的一个值,与其对应的y 值不止一个,则称y 为x 的多值函数.[初等函数] 幂函数、指数函数、对数函数、三角函数、反三角函数通称为“基本初等函数”,凡是由基本初等函数经过有限次四则运算以及有限次的复合步骤而构成,并能用一个数学式子表示的函数都属于初等函数.[幂函数的图形与特征]方程与图形 特 征曲线通过点(0,0)和(1,1);当x >1时,α越大曲线上升越快.当α为偶数,函数为偶函数,在区间(0,∞)中为递增函数,在区间(-∞,0)中为递减函数.当α为奇数,函数为奇函数和递增函数.曲线通过点(1,1).当α为负偶数,函数为偶函数,在区间(-∞,0)中为递增函数,在区间(0, ∞)中为递减函数.当α为负奇数,函数为奇函数和递减函数.方程与图形 特 征指数函数曲线与y 轴相交于点A(0,1). 渐近线为y=0.曲线与x 轴相交于点A(1,0). 渐近线为x=0.[三角函数的图形与特征] 标准正弦曲线周期:π2=T与x 轴交点(同拐点):L ,2,1,0),0,(±±=k k B k π极值点(极大点或极小点):L ,2,1,0,)1(,21(±±=−+k k A k k π余弦曲线周期:π2=T与x 轴交点(同拐点):L ,2,1,0,0,)21(±±=+k k B k π极值点:L ,2,1,0),)1(,(±±=−k k A k k π 一般正弦曲线)sin(0ϕω+=x A y 周期:ωπ2=T式中A >0为振幅,ω为角频率,0ϕ为初相 与x 轴交点(同拐点):L ,2,1,0,0,0±±=−k k B k ωϕπ极值点:,)1(,21(0−−+A k A k k ωϕπL ,2,1,0±±=k 同时,)cos(1ϕω+=x A y 也属于一般正弦曲 它是将标准正弦曲线在y 轴方向上伸线(设210πϕϕ+=,可化为))2sin(1πϕω++x A 长A 倍,在x 轴方向上压缩ω倍,并向左平移ωϕ0一段距离而得到.正切曲线周期:π=T与x 轴交点(同拐点):L ,2,1,0),0,(±±=k k A k π,该点切线斜率为1.渐近线:π21(+=k x余切曲线周期:π=T与x 轴交点(同拐点): L ,2,1,0,0,)21(±±=+k k A k π,该点切线斜率为-1.渐近线:πk x =y =tan x正割曲线周 期:π2=T极大点:)1,)12((−+πk A k 极小点:L ,2,1,0),1,2(±±=k k B k π渐近线:π)21(+=k x余割曲线周 期:π2=T极大点:−+1,232(πk A k极小点:+1,)212(πk B kL ,2,1,0±±=k渐近线:πk x =反三角函数的图形与特征]反正弦曲线 反余弦曲线拐点(同曲线对称中心): 拐点(同曲线对称中心):)0,0(O ,该点切线斜率为12,0(πA ,该点切线斜率为-1反正切曲线 反余切曲线拐点(同曲线对称中心): 拐点:)0,0(O ,该点切线斜率为1 )2,0(πA ,该点切线斜率为-1渐进线:2π±=y曲线对称中心:)2,0(πA渐近线:π==y y ,0反正割曲线反余割曲线顶点:),1(),0,1(π−B A 顶点:)2,1(),2,1(ππ−−B A渐近线:2π=y渐近线:0=y六、双曲函数1. 双曲函数的定义、图形与特征[双曲函数的图形与特征]双曲正弦曲线 双曲余弦曲线x y sh =x y ch =曲线关于原点对称. 曲线关于y 轴对称. 拐点(同曲线对称中心): 顶点(同极小值点):)1,0(A )0,0(O ,该点切线斜率为1双曲正切曲线 双曲余切曲线 x y th =x y cth =曲线关于原点对称.曲线关于原点对称. 拐点(同曲线对称中心): 不连续点:0=x)0,0(O ,该点切线斜率为1 渐近线:1,0±==y x 渐近线:1±=y双曲正割曲线 双曲余割曲线 x y sech =x y csch =曲线关于y 轴对称. 曲线关于原点对称.顶点(同极大点):)1,0(A 不连续点:0=x拐点:22,22th Ar B 渐近线:0,0==y x−22,22th Ar C 渐近线:0=y1csch cth ,1th sech ,1sh ch 1cth th ,cth sh ch ,th ch sh 222222=−=+=−===x x x x x x x x x xxx x x [双曲函数基本公式]和差的双曲函数y x yx y x y x y x y x y x y x y x yx y x y x cth cth cth cth 1)cth(th th 1th th )th(sh sh ch ch )ch(sh ch ch sh )sh(±±=±±±=±±=±±=±双曲函数的和差yx y x y x y x y x y x yx y x y x yx y x y x yx y x y x sh sh )sh(cth cth ch ch )sh(th th 2sh2sh 2ch ch 2ch2ch 2ch ch 2ch 2sh2sh sh ±±=±±=±−+=−−+=+±=±m倍 元 公 式 x xx x x x x x x x x x x x x x x x cth 2cth 12cth th 1th 22th ch 3ch 43ch ch sh 2ch sh 4sh 33sh ch sh 22sh 223223+=+=−=+=+== 半 元 公 式xx x x x x x x x x x x x x x x sh 1ch 1ch sh 2cth 1ch sh sh 1ch 2th 21ch 2ch,0,021ch 2sh +=−=+=−=+=<>−±=取负号取正号[反双曲函数的图形与特征] 反双曲正弦曲线 反双曲余弦曲线 x y sh Ar =x y ch Ar =曲线关于原点对称. 曲线关于x 轴对称. 拐点(同曲线对称中心):顶点:)0,1(A)0,0(O ,该点切线斜率为1反双曲正切曲线 反双曲余切曲线 x y th Ar =x y cth Ar =曲线关于原点对称. 曲线关于原点对称. 拐点(同曲线对称中心): 不连续点:1±=x )0,0(O ,该点切线斜率为1 渐近线:1,0±==x y反双曲正割曲线 反双曲余割曲线 x y sech Ar =x y csch Ar =曲线关于x 轴对称. 曲线关于原点对称.顶点:)0,1(A不连续点:0=x拐点: 22th Ar ,22B 渐近线:0,0==y x和−22th Ar ,22C4. 反双曲函数的相互关系与基本公式[基本公式]xyy x y x y x xy y x x y y x y x ±±=±−−±=±+±+=±1thAr th Ar th Ar ])1)(1(ch[Ar ch Ar ch Ar )11sh(Ar sh Ar sh Ar 2222。
函数项级数求和方法探讨
函数项级数求和是一种常用的数学计算方法,它可以求出一组数
据的精确结果。
它根据函数定义或它的关系式,通过将一系列函数项
之和,从而求出函数的总和。
一般情况下,函数项级数求和的常用计
算公式如下:求和公式:A=∑f(n)
其中A 为无限级数的和,∑ 代表求和,f(n)是函数序列,n
为函数的步长。
此外,将函数序列f(n)表示为多项式的形式,则求和公式也可以写成:A=∑an,其中a 为多项式的系数,n 为多项式的指数项。
函数项级数求和可以用来解决许多实际问题,特别是求微积分时,也可以用该方法解决某些问题。
例如,用函数项级数求和可以求出某
类函数的总和,实际上就是求积分的方法。
此外,函数项级数求和有很多计算工具,可以更方便快捷地求出
无限级数的和。
例如,Matlab 中包括多项式函数用于求和计算,而Maple 也有专门的函数来计算级数和。
需要指出的是,函数项级数求和不仅可以用来解决数学问题,而
且也被广泛应用于物理,经济等数学应用领域。
它使得计算更加简单,精确,可靠。
高数级数求和公式高数中的级数求和公式是非常重要的一部分,通过这些公式我们可以快速计算很多常见级数的和。
在这篇文章中,我将详细介绍几个常见的级数求和公式。
等差级数是指首项为a,公差为d的序列,其求和公式为:Sn=n/2*(2a+(n-1)d)其中,Sn表示前n项的和,a表示首项,d表示公差。
这个公式非常简单且易于理解,可以通过将等差级数化为相同项数的等差数列求和来证明。
等比级数是指首项为a,公比为r的序列,其求和公式为:Sn=a*(1-r^n)/(1-r)其中,Sn表示前n项的和,a表示首项,r表示公比。
这个公式可以通过将等比级数乘以公比然后减去原等比级数来证明。
幂级数是指以x为自变量的项为x^n的级数,其求和公式为:S(x)=a/(1-x)其中,S(x)表示幂级数的和,a表示首项。
这个公式的证明可以通过对幂级数进行收敛性分析得到。
调和级数是指以倒数为自变量的项为1/n的级数Sn = ln n + γ + 1/2n - 1/12n^2 + 1/120n^4 - ...其中,Sn表示前n项的和,ln表示自然对数,γ表示欧拉常数。
这个公式的证明可以通过泰勒级数展开以及对调和级数进行收敛性分析得到。
泰勒级数是指将函数在其中一点处展开成幂级数,其求和公式为:f(x)=f(a)+f'(a)(x-a)/1!+f''(a)(x-a)^2/2!+...其中,f(x)表示函数的值,f(a)表示函数在a点的值,f'(a)表示函数在a点的一阶导数,f''(a)表示函数在a点的二阶导数,以此类推。
这个公式可以通过对函数进行泰勒展开得到。
以上是几个常见的级数求和公式,它们在高数中是非常重要的工具,可以帮助我们快速计算很多级数的和。
在实际应用中,我们需要结合具体题目来选择合适的求和公式,并注意对级数的收敛性进行分析。
级数求和的若干方法级数求和是高等数学中的一个重要内容。
本文主要分为数项级数求和与函数项级数求和两部分。
在数项级数求和的若干方法中,主要讨论了级数收敛定义求和法,傅里叶级数求和法,阿贝耳定理法,利用幂级数求数项级数的和。
其中,用级数收敛定义法是基础,包括裂项相消,错位相减等九种常见方法。
在函数项级数求和的若干方法中,则选取特殊的幂级数与三角函数项级数,讨论了幂级数性质法,逐项求导法与逐项积分法,转换成微分方程法等。
并采用讲述和举例相结合的方式,选取一些典型题目进行分析,体会理解方法。
无穷级数理论是高等数学中的一个重要组成部分。
它是研究函数的性质,函数的表达,进行数值计算的有力工具,其应用是随着微积分理论的发展而发展起来的,无论是在数学学科还是在其他科学技术中都有广泛的应用,其理论的发展也起到了极其重要的影响和作用。
求收敛级数的和是研究级数的任务之一。
无穷级数求和是一个综合性的问题,涉及到的数学理论知识和方法很多,技巧性也比较强,一般很难掌握遵循的规律和解题的要领,是学习的重点也是难点,所以归纳总结一些级数求和的常用方法显得尤为重要。
在大多数教材或者其他数学书籍中,大量的介绍了级数的有关概念以及判断级数敛散性的定理,级数求和的常用方法,并且很多文献对级数求和进行了深层的探讨,数项级数求和法一般归纳为三类:一是基本方法,包括利用等比数列的求和公式,裂项,组合及错位相减等方法;二是常用方法,包括逐项微分和逐项积分法,利用初等函数的幂级数展开式,利用函数的傅里叶级数展开式等;三是特殊方法,包括交换求和顺序等;幂级数求和法归纳为两类:一是利用幂级数的性质法,包括幂级数的运算,逐项微分与逐项积分;二是把幂级数转化成微分方程法。
这些方法之间是相互联系的。
例如,待定系数法中,把待定的系数求出后再用裂项相消法。
多数方法所解决的一类题目都是有共同特点的,比如说求部分和子序列法对非正项级数常常是行之有效的。
但并不是每一道题目,只能用那一种方法,很多题目可以有多种不同的解法。
高等数学中的级数求和一、引言高等数学是大学数学的重要组成部分,其中级数求和是一个重要的概念和方法。
本文将从级数的定义入手,逐步介绍级数求和的基本原理和方法,以及一些常见的级数求和公式和技巧。
二、级数的定义与性质1. 级数的定义级数是由一列数按照一定次序相加得到的无穷和。
形式上,级数可以表示为:S = a1 + a2 + a3 + ... + an + ...2. 级数的收敛与发散级数的收敛与发散是判断级数求和是否有意义的关键。
我们可以通过一些判别法来判断级数的收敛性,如比较判别法、比值判别法、根值判别法等。
3. 级数求和的基本性质级数求和具有一些基本的性质,如可加性、可乘性、绝对收敛与条件收敛等。
这些性质为我们进行级数求和提供了基础。
三、常见级数求和公式1. 等差级数求和等差级数是一种常见的级数形式,其求和公式为:Sn = (n/2)(a1 + an),其中n为项数,a1为首项,an为末项。
2. 等比级数求和等比级数是一种比值具有固定比例的级数形式,其求和公式为:Sn = a1(1 -q^n)/(1 - q),其中a1为首项,q为公比。
3. 幂级数求和幂级数是一种以幂函数形式展开的级数,其求和公式为:S = a0 + a1x + a2x^2 + ... + anx^n + ...,其中x为自变量,ai为系数。
四、级数求和的技巧与方法1. 部分和法部分和法是一种通过求级数的部分和逐步逼近级数的求和值的方法。
通过适当选择部分和的项数,可以得到级数求和的近似值。
2. 积分法积分法是一种利用积分运算求解级数求和的方法。
通过对级数进行适当的积分变换,可以将级数求和问题转化为函数积分求解。
3. 递推关系法递推关系法是一种通过构造递推关系式来求解级数求和的方法。
通过递推关系式,可以将级数的求和问题转化为递推关系的求解问题。
五、应用与拓展级数求和在实际问题中有广泛的应用,如物理学、工程学、经济学等领域。
通过将实际问题转化为级数求和问题,可以得到一些重要的结论和解决方案。
函数项级数的收敛性函数项级数是数学中的一个重要概念,它由一系列函数项相加而成。
在研究函数项级数的性质时,我们经常关注其是否收敛。
本文将探讨函数项级数的收敛性,并给出相应的定义和判定条件。
一、函数项级数的定义函数项级数可以表示为:\[ \sum_{n=1}^{\infty} f_n(x) \]其中,$f_n(x)$是定义在某个集合上的函数序列,$x$是集合中的一个元素。
函数项级数的求和是对函数序列$f_n(x)$进行加法运算,得到一个新的函数。
二、函数项级数的部分和函数项级数的部分和表示为:\[ S_n(x)=\sum_{k=1}^{n} f_k(x) \]三、函数项级数的收敛性判定函数项级数的收敛性判定是判断函数项级数的部分和序列$S_n(x)$是否收敛。
常见的收敛性判定方法有以下几种:1. Cauchy收敛准则对于任意给定的正数$\epsilon$,存在正整数N,使得对于任意的$m > n > N$和任意的$x$,都有:\[ |S_m(x)-S_n(x)|< \epsilon \]当满足上述条件时,函数项级数在集合中的每一个元素$x$处一致收敛。
2. Weierstrass判别法如果存在正数列$b_n$,使得对于任意的$n$和$x$,都有:\[ |f_n(x)|\leq b_n \]并且级数$\sum b_n$收敛,则函数项级数在集合中的每一个元素$x$处一致收敛。
3. Abel判别法若存在正数$M$,使得对于任意的$n$和$x$,都有:\[ |S_n(x)|\leq M \]且函数序列$f_n(x)$单调,即对于任意的$x$,都存在$n_0$,当$n\geq n_0$时,有:\[ |f_n(x)|\geq |f_{n+1}(x)| \]则函数项级数在集合中的每一个元素$x$处一致收敛。
四、函数项级数的应用函数项级数在数学和物理等领域有广泛的应用。
例如,在数学分析中,利用函数项级数的收敛性,可以证明一些重要的数学定理,如傅里叶级数的收敛性定理。
级数求和的常用方法摘要级数理论及应用无论对数学学科本身还是在其他科学技术及理论的发展中都有极为重要的影响和作用,而级数求和是级数理论及应用的主要内容之一.由于级数求和的方法比较多,技巧性很强,一般很难掌握其规律,是学习的一个难点,因此掌握一些常用的级数求和方法就显得尤为重要.通过例题,分别针对常用的数项级数和函数项级数求和进行分析和讨论,试图通过对例题的分析和解决,展示级数求和的常用方法和思想,进而探索级数求和的规律,理解级数理论即合理应用,打下良好的基础,为学习者起到抛砖引玉的方法.关键词:数项级数;函数项级数;求和;常用方法Summation of series method in common useAbstractProgression theory and application still are having the most important effect and function on the development of science and technology and theory disregarding logarithmic discipline per se, but summation of series is one of progression theory and applicative main content. Method of summation of series is comparatively many, the dexterity is very strong, in general very difficult to have its law in hand, be a difficult point studying, have some summation of series in common use method in hand therefore appearing especially important right away. Carry out analysis and discuss that by the fact that the example , difference are aimed at several progression and function item summation of series in common use, try to pass the analysis checking an example and solve, show summation of series method and thought in common use , probe and then the summation of series law , understand that progression theory is that reasonableness applies , lays down fine basis, in order the learner gets the method arriving at a modest spur to induce someone to come forward with his valuable contributions.Key words: Count progression; function series; Sue for peace; Method in common use目录引言................................................ 错误!未定义书签。
浅谈求幂级数的和函数的方法以《浅谈求幂级数的和函数的方法》为标题,写一篇3000字的中文文章一、什么是幂级数幂级数(power series)是一类函数序列,它表示由多个单项式组成的函数,可以有效地表示很多常见的数学函数,如正弦函数、余弦函数、指数函数和对数函数等。
公式:$f(x)=sum_{n=0}^infty a_n x^n$其中,$a_n$是幂级数的系数,$n$是整数,并且$x$是一个变量,表示函数值的自变量。
二、什么是求幂级数的和函数求幂级数的和函数(power series summation function)是一种求幂级数的和的函数,它的定义如下:$F(x)=sum_{n=0}^N a_n x^n$其中,$a_n$是幂级数的系数,$N$是一个正整数,表示求和的最大项数,$x$是一个变量,表示函数值的自变量。
这里的$N$是一个有限的正整数,它有助于确定求和函数的形式。
三、求幂级数的和函数的方法(1)泰勒展开法泰勒展开法是求幂级数的和函数的基本方法,它是根据泰勒展开式指数函数的多项式展开来求解幂级数和函数的一种方法,它可以有效地求解某些简单的幂级数和函数。
它的基本公式为:$F(x)=sum_{n=0}^N a_n x^n = sum_{n=0}^N frac{f^{(n)}(x)}{n!} x^n$其中,$f^{(n)}$表示函数$f$的$n$阶导数。
(2)几何级数和函数的求和方法几何级数函数是求幂级数和函数的重要方法,它是根据几何级数求和公式求解幂级数和函数的一种方法,它可以有效地求解某些复杂的幂级数和函数,并且可以计算出任意项数的求和结果。
它的基本公式为:$F(x)=sum_{n=0}^N a_n x^n = frac{a_0}{1-x} + sum_{n=1}^N frac{(a_n-a_{n-1}) x^n}{1-x}$其中,$a_n$是任意项的系数,$x$是函数的自变量,$N$是求和的最大项数,$a_0$是求和的最小项的系数。
第2"卷第1期2021年1月高等数学研究STUDIES IN COLLEGE MATHEMATICSVol.2",No.1Jan. , 2021doi:10. 3969/j. issn. 1008-1399. 2021. 01. 004一类含三角函数级数求和的极限问题赵月,沈荣鑫(泰州学院数理学院,江苏泰州225300)摘要设f和g是两个互素的正整数,a=上疋.本文讨论了极限lim1' [sinia]的取值,证明了 :(1)如果g为奇D" i= 1数,则该极限值为一2*(2)如果g为偶数,则该极限值为一2^2.2q2q关键词函数极限;取整函数;正弦函数;级数中图分类号〇172 文献标识码A文章编号1008 - 1399(2021)01 - 0011 - 0"Limit of Sums of a Class of Trigonometric SeriesZHAO Yue and SHEN Rongxin(Department of Mathematics and Physics,Taizhou University,Taizhou 225300,China)p1 ".q—1 Abstract Let p,q be two relatively prime numbers,and a=—*.The limit of lim —'[sinz'a] i s—^ i fq n i= 12q _2q i s o dd; or _^ i f q i s even.2qKeywords limit of function,integral function,sine function,series1引言众所周知,关于三角函数的级数求和及其极限是数学分析中的重要内容&b3].含有取整函数的极限亦是高等数学中有趣的教学和研究课题["b6].本 文将讨论一类三角函数与取整函数复合的函数级数,考虑到取整函数的不连续性,我们用离散的处理 方法来计算、估计这一类级数的部分和.本文中,符 号表示取整函数.设正实数a是圆周率*的有理数倍,我们利用正弦函数的周期性,在极限意义下实现了对级数部分和'[sina ]的估值,并分情况收稿日期:2020 - 03 - 28 修改日期2020- 06 - 12基金项目:国家自然科学基金(11501404),江苏省高等教育教改研究立项重点课题(2017;!S;IG490).作者筒介:赵月(1998 —),女,江苏扬州人,本科在读,泰州学院数学与应用数学(师范)•Email:4〇8846615@.沈荣鑫(1981 —),男,江苏泰州人,博士,教授,主要从事拓扑学研究•Email:srx20212021@163. com.得出 lim 1' [sim’a]的值.2 正文引理1设p和q是两个互素的正整数,a =如果p为偶数,q为奇数,则'[sina]= —q—1证明 显然[sinqa ]= [sinpTr ]二 0.如 q 二 1,则结论显然成立.下面设q $ 1,我们来证明几个断 言.断言 I :任一 i ) {1,2,…,q—1},sina * 0.设i) {1,2,…,q—1},如果sink = 0,则存在正整数々使ia =々*,即i -= 々*,从而p = q々.q由于p和q互素,所以q整除i,这与i) +,2,…,q —1}矛盾,说明断言I成立.断言-:任一 i) +,2,…,q—1},sina * 1.12高等数学研究2021年1月设f ) {1,2,…!一1},如果sinfa = 1,则存在非负整数々使得k 5 *C2々*,即f •= *C2 q22々*整理化简得2z> = (1 +"々%,这与9是奇数矛盾,故断言n成立.断言.:任一 f )+,2,…,f},sinza • sin(q 一f f a〈 0.设 f) {1,2,…,q 一 1,由断言 I 知 sink *0,sin(q —f)a *0,故 sina •sin(q —f)a *0.我们注意到a+$—f% = a 5由于夕是偶数,故i a和sin(q—f)a 互为相反数,从而 sinOz • sin(q—f)a〈 0,故断言.成立.由断目n知任一f)+,2,…,q—1},[sina]的取值只能为0或一 1.由断言.知指标集J ={f |f) {1,2,…,q —1},sin?a〈0}的元素个数为q 一 1,即f |f) {1,2,…,q —1},[sin?a]=—1}的元素个数为,一1,故q-1'[sina]='sina q —1定理1设 2 p q是两个互素的正整数,a 5 f*如果满数,q为雜则lim 1' [sinza ____ i n<^•q1 2q证明 对于正整数n (q,由带余除法知存在唯一的正整数K w)和非负整数r(W),使〃=K w)q+厂(n)且 0 "厂(n)〈 q.n t(n)q n于是'[sina ]5 ' [sina ]+'f-1 f-1又由于引理1可知道-*(n)q+1t(n)q'[sinza f-1*(n)—1k q C q''[sina]k-0f-k q C1*(n)—1q''[sin(kq +i)a]k-0@-1t(n)一1q''[sin(kf * C@a)]k-0@-1S s a]-—('q—1t n注意到|r(n) |〈 q,所以lim r()n%!n2从一 t(n)- = lim q丨一r(n)]5imn%!竹n%!丄[1 —lim#q n%!n进而tin)q'[sina ]lim ^------- - 1i m(q—1)(n)2q —12q •又因为|'[sina ] |"q,故t(n)q C1sinzai i m f-t(n)q+1n%! n0.综上,我们有1i m1' [sin?a ]- 1i m(-____-a <^ ____tin)q'[sinaz'[sina ]-t(n)q C1______)-一q—12q •引理2 设f p q是两个互素的正整数,a -如果f为奇数,q为奇数,则'[sina]- —q+1.q「1证明 显然[sinqi]二[sinft]二0, [sin2a]二[sin2f*] -0.如q -1,则结论显然成立.下设q>1,我们来证明几个断言.断目 I任一 f) {1,2,…,q—1,q +1,…,2q —1},sinza * 0.设f ){1,2,…,q —1},如果sinfa -0,则存在正整数k使得a - k*即f•- k*从而有f -qkq.由于f和q互素,所以q整除f,这与f){1,2,…,q—1}矛盾,故任一 f ){1,2,…,q—1},sinia *0.我们注意到 a+(2q —f)a 二 2qa 二 2f*,故sinfa和sin(2q —f)a互为相反数,从而任一 f ){q+1,…,2q—1},s i r n’a*0.故断言 I 成立.断言 n :任一 f ){12,…,2q},sinfa * 1.设f ){1,2,…,2q},如果sinfa - 1,则存在非负整数 k 使得a - *+2k*,即f• f*- 2k* +*,2 q2整理化简得2zf -(1 +4k)q,这与q是奇数矛盾,n.断言任一f ) U,2,…,q—1},sina • sin(2q —f)a〈 0 .设f){1,2,…,q — 1},由断目I中证明知,sinia和sin(2q —f)a互为相反数,且sinia *0,由此第24卷第1期赵 月,沈荣鑫:一类含三角函数级数求和的极限问题13可知sinfa - sin(2g —f)a # 0,所以断言瓜成立.由断言-知任一 z ) {1,2,…,一1,+1,…,2g —1},[sinia]的取值只为0或一1.由断目.知:指标集 + I{1,2,…g —1,+1,…,2g —1},sinza # 0}中的元素个数为g—1,即+ |Z ) {1,2,■",g—1,+1,…,2g—1},[sinia] =—1}中的元素2g个数为 g—1,所以'[sinza]=—g +1.i~1定理2设f p g是两个互素的正整数,a =I*.g如果I为奇数,g为奇数,则lim 1' [sin,]=一^一一12g证明对于正整数2g,由带余除法知存在唯一的正整数K")和非负整数r(")使"=2i(")g +厂(")且 0 "厂(")# 2g.n2t(n)g n于是'[sin,]=' [sin,]+'[sin,].又i= 1i= 1i= 2t(n~)g+1由于引理2可知道2t(n)g'[sin,*(n)—12k q-\-2g''[sin,k=0i= 2k gC1t(n)一1 2g''[sin(2kg +@)a]k=0 @= 1*(n)—1 2g=''[sin(2k加+@a)] k=0 @=1t(n)一1 2g=''[sinj'a]k=0 @=1=—(g —1)(n).注意到|r(n) |<2g,故lim ^^ = 0,从而n%! n)^[n—r(n)]lim 心=lim 2----------n%! n%!1[1—limn2g n%! n2g进而2t(n)g'[sin,lim -------n%! n又为lim—(g —1)(n)ng —12g •'[ i= 2j(n)g+1s i n i,]"2g,故lim 1-2《n)g+1综上,我们有lim — ' [sin,2n%! n i=1g —12g •引理3 设|P g是两个互素的正整数,,=如果夕为奇数,g为偶数,贝[sin,]=—g +2.g i=1证明 显然[sin,] = [sin^*] = 0,[sin2,]= [sin2|*] = 0.下面我们来证明几个断言.断目 I:任一 i) {1,2,…,g—1,g +1,…,2g—1},sin,* 0.设i )+,2,…,g —1},如果sin,= 0,则存在正整数k使得,=k*即i-上* = k*从而有| =gkg.由于|和g互素,所以g整除i,这与i) {1,2贝•.,g—1}矛盾,故任一i){1,2贝•.,g—1},sin,*0.我们注意到,+(2g —i),= 2g,= 2夕*,故sin,和sin(2g —i)互为相反数,从而任一 i ) {g+1贝",2g—1},sin,*0.故断言 I 成立.断言-存在唯一 i) +,2,…,2g},使sin,=1.2tin)g n'[sin,]'[sin,]lim(i=-------+i=*C n)^1-------)先证存在性.设i ) {1,2,…,2g},当z= 2时,sin i, = sin n sin晏*当!Sin i,2-=sin 2*•由于1是奇数,所以sin 1.注意到sin 和sin当,互为相反数,故有sin g,= 1或sin =,= 1成立.再证唯一性.假设存在两个不同的正整数rn,n ) {1,2,…,2g}使得 sin/,= sin,= 1,则存在正整数*使得|肌一n,= 2*,所以,=^---*~#.* |m—n\/2注意到有理数,只有唯一的既约分数表示1,故*Dm—n必须是g的倍数,然而由m,){1,2,…,2g}知1m—n <g,故矛盾.所以断言-成立.断言任一i) {1,2贝"g—1},sin,- sin(2g —i),<0 .i ){1 2 !… !D— 1}!I 中知 ! sin,和sin(2g —i)互为相反数,且sin,*0,由此 可知sin,- sin(2g —i)<0,所以断言.成立.由断言-知任一 z) {1,2,…,g—1,+1,…,14高等数学研究2021年1月2g — 1},[sima]的取值可以为0,1,一1.并且指标集 及 5 + I f ) +,2,…! 一 1,g + 1,…,2g — 1, [sinza] = 1}中的元素个数为1.断言豇告诉我们: 指标集尺二 + | f ) {1,2,…!一1,+ 1,…,2g — 1},sinza <0}的元素个数为 g —1,即+ | f ) {1,2, …g —1,+ 1,…,2g —1} [sinia ] =— 1}的元素个!q数为 g — 1,故'[sinfa ] =— q + 2.设_q 是两个~雜-整数,a = f *如果^为奇数,q 为偶数,则lim 1'____■v t'4sinzaq — !2q •证明对于正整数w (2q ,由带余除法知存在 唯一的正整数Kra)和非负整数r(?z )使= 2f(w)q +r(w)且 0 " r(w ) < 2q.于是2t (n ) q'[sin,] = ' [sin,] +f =1 f =1又由于引理3可知道Vf = 2j (r a )q +12 t (n ~)q '[sin,t (n )—1 2 k q C 2 q ''[sin,k =0f = kq C 1t (n ~)—1 2 q''[sin( 2 kq +>)a ]k = 0 @ = 1 t (n )—1 2 q=''[sin( 2 k p * C @a )]k =0 @=1t (r i )—1 2 q=''[sinja ] =— (q — 2k =0 @=1注意到 | r(r a ) | < 2q ,故lim ^^ = 0,从而limr a %! 7Z r a %! r a q[r a — r(r a )]lim 进而1[1 —lim#!qr a %! r a!q!t(ra )q [sinza]lim------- = lim —( — 2t r a =—q —1.r a %! ra r a %! ra 2q又为sinzaf = 2t (n ~) q +1r a I ' [sink ] | " 2q ,故lim ff = 2t (n )qC 1 r a %!综上,我们有!t $r a )q r ar a ' [ s i n a z ] ' [sinazlim 丄公[sina ] = lim(二#--------C ------q — 22q •以上三个定理是本文的主要结果,它们表明,对于a = P ^(p 、q 互素),当ra充分大时,级数部分和q'[sinza]的近似值只与ra和q 有关:当q 为奇数f =1时,该近似值为—气一1);当q 为偶数时,该近似!q 值为ra(q — 2)2q3 未解决的问题和猜想本文在,是有理数的情况下,讨论了极限*lim 1 [sinia ]的取值,但我们还不知道如果,r a %! r a f =1 *不是有理数!im [sina]是否存在?如果存在r a %! r a f = 1的话取值如何?特别地!i m 1' [sim]取值如何?r a %! r a f =1可以肯定的是当,不是有理数时,本文中所使 *用的计算技巧不再适用于求此极限.也许我们应该 换一个角度来看这个问题:由于此时[sirna ]的取值 只会出现0和一1两种情况,并且出现概率一样,那 么不妨考虑将其看作为一个平均的两点分布,由大 数定律知,样本的值会以概率收敛于总体均值,因此我们猜想当,不是有理数时!i m 1' [sinia]的值. r a %! r a 为一1.我们非常期待有兴趣的读者能给出证明.参考文献[]华东师范大学数学系.数学分析[M ]. 4版.北京:高等教育出版社,2010.[]裴礼文.数学分析中的典型问题与方法[M ].北京:高等教育出版社!993.[]文生兰,刘倩.从正交分解看傳里叶级数[].高等数学研究,2017,20(3):20 - 22.[]赵天玉.取整函数的性质和应用[].高等数学研究,2004,7(5):45 - 47.[]谭毓澄.取整函数及其生成的数列[].高等数学研究,2011,14(5):22 - 24.[]何桂添,田艳.取整函数的性质在极限概念教学中的应用[J ].高等数学研究,2015,18(5):34 - 36.[]王小胜,郭海英,李丽华.任意随机变量序列的一个强极限定理[].大学数学,2007,23(1): 130 - 132.[]钱国旗.关于关联随机变量序列的极限收敛定理[J ].应用概率统计!992,8(2): 173 - 180.。