圆与方程测试题及答案
- 格式:doc
- 大小:91.50 KB
- 文档页数:4
高二上学期数学练习题(5)(圆与方程)班级 姓名 学号一.选择填空1. 已知实数x ,y 满足x 2+y 2-2x +4y -20=0,则x 2+y 2的最小值是( )A .30-10 5B .5-5C .5D .252.函数 y =|x | 的图象和圆x 2+y 2=4所围成的较小的面积是( )A .π4B .3π4C .3π2D .π3. 点P 是直线2x +y +10=0上的动点,直线P A 、PB 分别与圆x 2+y 2=4相切于A 、B 两点, 则四边形P AOB (O 为坐标原点)的面积的最小值等于( ) A .24 B .16 C .8 D .44. 方程1-x 2=x +k 有唯一解,则实数k 的范围是( )A .k =-2B .k ∈(-2,2)C .k ∈[-1,1)D .k =2或-1≤k <1 5.在平面直角坐标系中,A ,B 分别是x 轴和y 轴上的动点,若以AB 为直径的圆C 与直线2x +y -4=0 相切,则圆C 面积的最小值为( )A .45πB .34πC .(6-25)πD .54π6. 圆x 2+2x +y 2+4y -3=0上到直线x +y +1=0的距离为2的点共有( )A .4个B .3个C .2个D .1个7. 已知点A (x,1,2)和点B (2,3,4),且|AB |=26,则实数x 的值是( )A .-3或4B .6或2C .3或-4D .6或-28. 当a 为任意实数时,直线(a -1)x -y +a +1=0恒过定点C ,则以C 为圆心,5为半径的圆的方程为( ) A .x 2+y 2-2x +4y =0 B .x 2+y 2+2x +4y =0 C .x 2+y 2+2x -4y =0D .x 2+y 2-2x -4y =09. 直线l 1:y =x +a 和l 2:y =x +b 将单位圆C :x 2+y 2=1分成长度相等的四段弧,则a 2+b 2=( ) A . 2 B .2 C .1D .310. 直线y =kx +1与圆x 2+y 2=1相交于P ,Q 两点,且∠POQ =120°(其中O 为原点),则k 的值为( )A .-3或 3B .3C .-2或 2D . 211. 已知三点A (1,0),B (0,3),C (2,3),则△ABC 外接圆的圆心到原点的距离为( )A .53B .213C .253D .4312. 过点(3,1)作圆(x -1)2+y 2=1的两条切线,切点分别为A ,B ,则直线AB 的方程为( ) A .2x +y -3=0 B .2x -y -3=0 C .4x -y -3=0 D .4x +y -3=0二.填空题13.已知实数x ,y 满足x 2+y 2=1,则y +2x +1的取值范围为__________14.已知M ={(x ,y )|y =9-x 2,y ≠0},N ={(x ,y )|y =x +b },若M ∩N ≠∅,则实数b 的取值范围是________. 15.设集合A ={(x ,y )|(x -4)2+y 2=1},B ={(x ,y )|(x -t )2+(y -at +2)2=1},若存在实数t ,使得A∩B≠∅,则实数a的取值范围是________ .16.过点A(1,2)的直线l将圆(x-2)2+y2=4分成两段弧,当劣弧所对的圆心角最小时,直线l的斜率k=17.平面直角坐标系xOy中,以点(1,0)为圆心且与直线mx-y-2m-1=0(m∈R)相切的所有圆中,半径最大的圆的标准方程为__________18.已知点A(1,2,3),B(2,-1,4),点P在y轴上,且|P A|=|PB|,则点P的坐标是______三.解答题19.已知过点A(-1,0)的动直线l与圆C:x2+(y-3)2=4相交于P,Q两点,M是PQ的中点,l与直线m:x+3y+6=0相交于N.(1)求证:当l与m垂直时,l必过圆心C;(2)当|PQ|=23时,求直线l的方程.20.已知点(0,1),(3+22,0),(3-22,0)在圆C上.(1)求圆C的方程;(2)若圆C与直线x-y+a=0交于A,B两点,且OA⊥OB,求a的值.21.如下图,在平面直角坐标系xOy中,点A(0,3),直线l:y=2x-4.设圆C的半径为1,圆心在l上.(1)若圆心C也在直线y=x-1上,过点A作圆C的切线,求切线的方程;(2)若圆C上存在点M,使MA=2MO,求圆心C的横坐标a的取值范围.22.已知曲线C:x2+y2+2kx+(4k+10)y+10k+20=0,其中k≠-1.(1)求证:曲线C表示圆,并且这些圆心都在同一条直线上;(2)证明曲线C过定点;(3)若曲线C与x轴相切,求k的值.高二上学期数学练习题(5)(圆与方程)参考答案班级 姓名 学号 (第5—11页,共7页) 一.选择填空1. 已知实数x ,y 满足x 2+y 2-2x +4y -20=0,则x 2+y 2的最小值是( )A .30-10 5B .5-5C .5D .25[答案] A[解析]x 2+y 2为圆上一点到原点的距离.圆心(1,-2)到原点的距离d =5,已知园的半径为5,所以最小值为(5-5)2=30-10 5.2. y =|x |的图象和圆x 2+y 2=4所围成的较小的面积是( )A .π4B .3π4C .3π2 D .π[答案] D[解析] 数形结合,所求面积是圆x 2+y 2=4面积的14.3. 点P 是直线2x +y +10=0上的动点,直线P A 、PB 分别与圆x 2+y 2=4相切于A 、B 两点, 则四边形P AOB (O 为坐标原点)的面积的最小值等于( )A .24B .16C .8D .4[答案] C [解析] ∵四边形PAOB 的面积S =2×12|PA |×|OA |=2PA =2OP 2-OA 2=2OP 2-4,∴当直线OP 垂直直线2x +y +10=0时,其面积S 最小 4. 方程1-x 2=x +k 有唯一解,则实数k 的范围是( )A .k =-2B .k ∈(-2,2)C .k ∈[-1,1)D .k =2或-1≤k <1 [答案] D [解析] 由题意知,直线y =x +k 与半圆x 2+y 2=1(y ≥0只有一个交点. 结合图形易得-1≤k <1或k = 2.5.在平面直角坐标系中,A ,B 分别是x 轴和y 轴上的动点,若以AB 为直径的圆C 与直线2x +y -4=0 相切,则圆C 面积的最小值为( )A .45πB .34πC .(6-25)πD .54π[答案] A [解析] 原点O 到直线240x y +-=的距离为d ,则d =45,园C 圆心C 到直线2x +y -4=0的距离是圆的半径r ,由题知圆心C 是线段AB 的中点,又以斜边AB 为直径的圆过直角顶点,则在直角△AOB 中,圆C 过原点O ,即|OC |=r ,所以2r ≥d ,∴2d r ≥,所以r 最小为2d ==25,面积最小为4π5,故选A6. 圆x 2+2x +y 2+4y -3=0上到直线x +y +1=0的距离为2的点共有( )A .4个B .3个C .2个D .1个[答案] B[解析] 将圆的方程化为标准方程为(x +1)2+(y +2)2=(22)2,圆心(-1,-2)到直线x +y +1=0 的距离d =|-1-2+1|2=2,则到直线x +y +1=0的距离为2的两条平行线与圆的公共点的个数即为所求.由于圆的半径为22,所以到直线x +y +1=0的距离为2的平行线一条过圆心,另一条与圆相切,故这两条直线与圆有3个交点.7. 已知点A (x,1,2)和点B (2,3,4),且|AB |=26,则实数x 的值是( )A .-3或4B .6或2C .3或-4D .6或-2[答案] D[解析] 由空间两点间的距离公式得(x -2)2+(1-3)2+(2-4)2=26,解得x =6或x =-2. 8. 当a 为任意实数时,直线(a -1)x -y +a +1=0恒过定点C ,则以C 为圆心,5为半径的圆的方程为( ) A .x 2+y 2-2x +4y =0 B .x 2+y 2+2x +4y =0 C .x 2+y 2+2x -4y =0D .x 2+y 2-2x -4y =0[答案] C[解析] 由(a -1)x -y +a +1=0得a (x +1)-(x +y -1)=0,所以直线恒过定点(-1,2), 所以圆的方程为(x +1)2+(y -2)2=5,即x 2+y 2+2x -4y =0.9. 直线l 1:y =x +a 和l 2:y =x +b 将单位圆C :x 2+y 2=1分成长度相等的四段弧,则a 2+b 2=( ) A . 2 B .2 C .1D .3[答案] B[解析] 依题意,圆心(0,0)到两条直线的距离相等,且每段弧的长度都是圆周的14,即|a |2=|b |2,|a |2=1×cos45°=22,所以a 2=b 2=1,故a 2+b 2=2.10. 直线y =kx +1与圆x 2+y 2=1相交于P ,Q 两点,且∠POQ =120°(其中O 为原点),则k 的值为( )A .-3或 3B .3C .-2或 2D . 2[答案] A[解析] 方法1:∵|PQ |=2×1×sin60°=3(需作出弦心距), 圆心到直线的距离d =1-(32)2=12, ∴1k 2+1=12(注:用点到直线的距离公式表示弦心距),解得k =±3. 方法2:利用数形结合.如图所示,∵直线y =kx +1过定点(0,1),而点(0,1)在圆x 2+y 2=1上,故不妨设P (0,1),在等腰三角形POQ 中,∠POQ =120°,∴∠QPO =30°,故∠P AO =60°,∴k =3,即直线P A 的斜率为 3.同理可求得直线PB 的斜率为- 3.11. 已知三点A (1,0),B (0,3),C (2,3),则△ABC 外接圆的圆心到原点的距离为( )A .53B .213C .253D .43[答案] B[解析] △ABC 外接圆圆心在直线BC 垂直平分线上即在直线x =1上,设圆心D (1,b ),由DA =DB 得|b |=1+(b -3)2,解之得b =223,所以圆心到原点的距离d =12+(223)2=213.故选B .12. 过点(3,1)作圆(x -1)2+y 2=1的两条切线,切点分别为A ,B ,则直线AB 的方程为( ) A .2x +y -3=0 B .2x -y -3=0 C .4x -y -3=0 D .4x +y -3=0[答案] A[解析] 根据平面几何知识,直线AB 一定与点(3,1),(1,0)的连线垂直,这两点连线的斜率为12,故直线AB 的斜率一定是-2,只有选项A 中直线的斜率为-2.二.填空题13.已知实数x ,y 满足x 2+y 2=1,则y +2x +1的取值范围为__________[答案] [34,+∞)[解析] 设P (x ,y )是圆x 2+y 2=1上的点,则y +2x +1表示过P (x ,y )和Q (-1,-2)两点的直线PQ 的斜率,过点Q 作圆的两条切线QA ,QB ,由图可知QB ⊥x 轴,k QB 不存在,且k QP ≥k QA .。
高考数学圆的方程练习题附答案1.若圆c的半径为1,圆心在第一象限,且与直线4x-3y=0和x轴都相切,则该圆的标准方程是________.[分析]将圆心设为Ca,Ba>0,b>0,从问题的意义中得出b=1又圆心c到直线4x-3y=0的距离d==1,解决方案是a=2或a=-四舍五入所以该圆的标准方程为x-22+y-12=1.[答:]x-22+Y-12=12.2021·南京质检已知点p2,1在圆c:x2+y2+ax-2y+b=0上,点p关于直线x+y-1=0的对称点也在圆c上,则圆c的圆心坐标为________.【分析】因为点P相对于直线x+Y-1=0的对称点也在圆上,该直线过圆心,即圆心满足方程x+y-1=0,因此-+1-1=0,解为a=0,所以中心坐标为0,1[答案] 0,13.如果已知圆的中心位于直线y=-4x上,且圆在点P3,-2处与直线L:x+y-1=0相切,则圆的方程式为:___[解析] 过切点且与x+y-1=0垂直的直线为y+2=x-3,与y=-4x联立可求得圆心为1,-4.半径r=2,圆的方程式为X-12+y+42=8[答案] x-12+y+42=84.2022·江苏常州模拟知道实数x,y满足x2+y2-4x+6y+12=0,那么| 2x-y |的最小值为___[解析] x2+y2-4x+6y+12=0配方得x-22+y+32=1,令x=2+cosα,y=-3+sinα,然后| 2x-y |=|4+2cosα+3-sinα|=|7-sinα-φ|≥7-tanφ=2.[答:]7-5.已知圆x2+y2+4x-8y+1=0关于直线2ax-by+8=0a>0,b>0对称,则+的最小值是________.【分析】从圆的对称性来看,直线2aX by+8=0必须穿过圆的中心-2,4,因此a+B=2,+=+=++5≥ 2+5=9,from=,然后A2=4B2,再从a+B=2,所以当且仅当a=,B时取等号=[答案] 96.2022. 南京市和盐城市的第三次模拟考试是在平面直角坐标系xoy中进行的。
圆的方程习题(含答案)一、单选题1.以点P(2,-3)为圆心,并且与y轴相切的圆的方程是( )A.(x+2)2+(y-3)2=4B.(x+2)2+(y-3)2=9C.(x-2)2+(y+3)2=4D.(x-2)2+(y+3)2=92.当点在圆上运动时,连接它与定点,线段的中点的轨迹方程是()A.B.C.D.3.圆x2+y2-(4m+2)x-2my+4m2+4m+1=0的圆心在直线x+y-4=0上,那么圆的面积为( )A.9πB.πC.2πD.由m的值而定4.圆的半径是()A.B.2C.D.45.已知圆与圆相交于A、B两点,则线段AB的垂直平分线的方程为A.B.C.D.6.若点为圆上的一个动点,点,为两个定点,则的最大值为()A.B.C.D.7.已知直线:是圆的对称轴.过点作圆的一条切线,切点为,则()A.2B.C.6D.8.若直线l:ax+by+1=0经过圆M:的圆心则的最小值为A.B.5C.D.109.若均为任意实数,且,则的最小值为()A.B.C.D.二、填空题10.如图,扇形的圆心角为90°,半径为1,点是圆弧上的动点,作点关于弦的对称点,则的取值范围为____.11.已知x,y满足-4-4+=0, 则的最大值为____12.若直线l:与x轴相交于点A,与y轴相交于B,被圆截得的弦长为4,则为坐标原点的最小值为______.13.设直线与圆相交于两点,若,则圆的面积为________.14.已知圆的圆心在曲线上,且与直线相切,当圆的面积最小时,其标准方程为_______.15.在平面直角坐标系xOy中,已知过点的圆和直线相切,且圆心在直线上,则圆C的标准方程为______.16.已知圆的圆心在直线上,且经过,两点,则圆的标准方程是__________.17.在平面直角坐标系中,三点,,,则三角形的外接圆方程是__________.18.如图,O是坐标原点,圆O的半径为1,点A(-1,0),B(1,0),点P,Q分别从点A ,B 同时出发,圆O 上按逆时针方向运动.若点P 的速度大小是点Q 的两倍,则在点P 运动一周的过程中,的最大值是_______.三、解答题 19.设抛物线的焦点为,过且斜率为的直线与交于,两点,.(1)求的方程;(2)求过点,且与的准线相切的圆的方程. 20.已知圆内一点,直线过点且与圆交于,两点.(1)求圆的圆心坐标和面积; (2)若直线的斜率为,求弦的长;(3)若圆上恰有三点到直线的距离等于,求直线的方程.21.已知点在圆上运动,且存在一定点,点为线段的中点.(1)求点的轨迹的方程; (2)过且斜率为的直线与点的轨迹交于不同的两点,是否存在实数使得,并说明理由.22.已知圆经过()()2,5,2,1-两点,并且圆心在直线12y x =上。
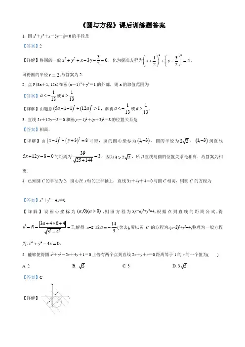
《圆与方程》课后训练题答案1. 圆x 2+y 2+x -3y -=0的半径是________________ 【答案】2【详解】将圆的一般223302x y x y ++--=,化为标准方程为2213422x y ⎛⎫⎛⎫++-= ⎪ ⎪⎝⎭⎝⎭, 可得圆的半径2r ,故答案为2.2. 点P(5a +1,12a)在圆(x -1)2+y 2=1的外部,则a 的取值范围为_______ 【答案】113a <-或113a > 【详解】由题意()()22511121a a +-+>,解得113a <-或113a >. 3. 直线5x +12y -8=0和圆(x -1)2+(y +3)2=8的位置关系是_______________ 【答案】相离.【详解】由()()22138x y -++=可得,圆的圆心坐标为()1,3-,圆的半径为22,()1,3-到直线51280x y +-=的距离为325144=+,因为322>,所以直线与圆的位置关系是相离.故答案为相离.4. 已知圆C 的半径为2,圆心在x 轴的正半轴上,直线3x +4y +4=0与圆C 相切,则圆C 的方程为_____________ 【答案】x 2+y 2-4x =0.【详解】设圆心坐标为(,0)(0)a a >,则圆方程为:(x −a )2+y 2=4,根据点到直线的距离公式,得223404234a d R +⨯+===+,解得a =2或143a =-(舍去),所以圆C 的方程为:(x −2)2+y 2=4,整理为一般方程为:2240x y x +-=.5. 能够使得圆x 2+y 2-2x +4y +1=0上恰有两个点到直线2x +y +c =0距离等于1的c 的一个值为( ) A. 2 B.5C. 3D. 35【答案】C【详解】由圆的标准方程()()22124x y -++=,可得圆心为()1,2-,半径为2,根据圆的性质可知,当圆心到直线的距离大于1且小于3时,圆上有两点到直线20x y c ++=的距离为1,由()1,35c d =∈可得()()35,55,35c ∈--⋃,经验证,()35,35c =∈,符合题意,故选C.6. 若x 2+y 2+(λ-1)x +2λy +λ=0表示圆,则λ的取值范围为___________________ 【答案】λ>1或15λ<【详解】根据二元二次方程表示圆的条件可得,()()221240λλλ-+->,化为25610λλ-+> 解得1λ>或15λ<,故答案为1λ>或15λ<. 7. 直线y =kx +2与圆x 2+y 2+2x =0只在第二象限有公共点,则 k 的取值范围是___________ 【答案】3,14⎡⎫⎪⎢⎣⎭【详解】画出直线与圆的图象,如图所示:直线2y kx =+与圆相切时223141k k k -=⇒=+,直线2y kx =+过()2,0-时,1k =,直线2y kx =+与圆2220x y x ++=只在第二象限有公共点,∴实数k 的取值范围是3,14⎡⎫⎪⎢⎣⎭,故答案为3,14⎡⎫⎪⎢⎣⎭.8. 圆x 2+y 2-4x -4y -10=0上的点到直线x +y -14=0的最大距离与最小距离的差为____ 【答案】6.【详解】试题分析:将圆的方程变形为,可知圆心,半径.圆心到直线的距离,所以圆上的点到直线的最大距离与最小距离的差为.故C 正确.9. 两圆C 1:x 2+y 2+4x -4y +7=0,C 2:x 2+y 2-4x -10y +13=0的公切线的条数为____条 【答案】3【详解】试题分析:圆O 1:x 2+y 2+4x -4y +7=0可变为()()22221x y ++-=,圆心为()2,2-,半径为11r =;圆O 2:x 2+y 2-4x -10y +13=0可变为()()222516x y -+-=,圆心为()2,5,半径为24r =;所以125O O ==,125r r +=,所以两圆相切;所以与两圆都相切的直线有3条.10. 已知圆C 与圆(x -1)2+y 2=1关于直线y =-x 对称,则圆C 的方程是__________【答案】()2211x y ++=【详解】圆()2211A x y -+=圆心为1,0A ,半径等于1,设圆心1,0A 关于直线y x =-对称点(),C m n ,则有()0111n m -⨯-=--,且0122n m ++=-,解得0,1m n ==-,故点()0,1C -,由于对称圆C 的半径与圆()22:11A x y -+=的半径相等,故圆C 的方程为()2211x y ++=,故答案为()2211x y ++=.11. 已知动点M 到定点(8,0)的距离等于M 到(2,0)的距离的2倍,那么点M 的轨迹方程___________________________ 【答案】x 2+y 2=16【详解】设(),M x y ,因为M 到定点()8,0的距离等于M 到 ()8,0的距离的2倍,所以2=,化简可得2216x y +=,故答案为2216x y +=.12. 过点P (-2,4)作圆O :(x -2)2+(y -1)2=25的切线l ,直线m :ax -3y =0与直线l 平行,则直线l 与m 的距离为________ 【答案】4【详解】将()2,4P -代入圆方程左边得:224316925+=+=,左边=右边,即P 在圆O 上,直线OP 的斜率为413224-=---,∴切线l 的斜率为43,即直线l 的方程为()4423y x -=+,整理得:43200x y -+=,直线:30m ax y -=与直线l 平行,433a ∴=,即4a =,∴直线m 方程为430x y -=,即430x y -=,直线l 与m4=,故答案为4. 13. 圆O 1:x 2+y 2-2x =0与圆O 2:x 2+y 2-4y =0的位置关系是_______ 【答案】相交.【详解】由圆221:20x y x O +-=与圆222:40O x y y +-=,分别得到标准方程()2211x y -+=和()2224x y +-=,则两圆坐标分别为()1,0和()0,2,半径分别为2,1R r ==,则两圆心之间的距离d ==2121-<<+,即1R r d R -<<+,∴故两圆的位置关系是相交,故答案为相交.14. 方程x 2+y 2+ax +2ay +a 2+a -1=0表示圆,则a 的取值范围是 _____ 【答案】a <1.【详解】方程22252104x y ax ay a a +++++-=表示圆,222544104a a a a ⎛⎫∴+-+-> ⎪⎝⎭,化为440a ->,解得1a <,故答案为1a <.15. 以点(2,-1)为圆心且与直线3x -4y +5=0相切的圆的方程为___________ 【答案】(x -2)2+(y +1)2=9 【详解】因圆以点(()2,1-为圆心且与直线3450x y -+=相切,所以圆心到直线的距离等于半径,即()()2232415334r d ⨯-⨯-+===+-,∴所求圆的方程为()()22219x y -++=,故答案为()()22219x y -++=.16. 若方程220x y x y m -++=+表示一个圆,则实数m 的取值范围是______. 【答案】1,2⎛⎫-∞ ⎪⎝⎭【详解】解:根据题意,方程220x y x y m -++=+表示一个圆,则有1140m +-⨯>, 解的12m <,即m 的取值范围为1,2⎛⎫-∞ ⎪⎝⎭;故答案为:1,2⎛⎫-∞ ⎪⎝⎭.17. 若圆C :x 2+y 2-4x -5=0,则过点P (1,2)的最短弦所在直线l 的方程是_________ 【答案】x -2y +3=0.【详解】将圆C 的一般方程化成标准方程为()2229x y -+=,所以()2,0C ,由题意知,过点()1,2P 的最短弦所在的直线l 应与PC 垂直,所以11PC k k ⋅=-,由20212PC k -==--,得112k =,所以直线l 的方程为()1212y x -=-,即230x y -+=,故答案为230x y -+=. 18. 过原点的直线与圆x 2+y 2+4x +3=0相切,若切点在第三象限,则该直线的方程是_____ 【答案】3y x =【详解】圆方程22430x y x +++=.化为2221x y ,圆心为()2,0-,半径为1,又因为过原点的直线与圆切点在第三象限,所以可设直线方程为()0y kx k =>由圆心到直线距离等于半径,223131k k k -=⇒=+或33k =-(舍去) 该直线的方程是33y x =,故答案为33y x =. 19. 若直线2x +ky -1=0(k ∈R)与圆x 2+(y +1)2=1相切,则k 的值为 _______ 【答案】32【详解】由于直线210x ky +-=与圆()2211x y ++=相切,因此有圆心()0,1到直线210x ky +-=的距离等于半径1,即2114k k --=+,解得32k,故答案为32. 20. 若直线y =x +b 与曲线y =有公共点,则b 的取值范围是______________【答案】{b |-2≤b ≤2} 【详解】试题分析:曲线表示以原点为圆心,半径为2的圆在x 轴以上的部分,结合图形可知当直线过点()2,0时,b 最小为-2,当直线与曲线相切时,b 最大,此时22b = 21. 已知点P(x, y)是圆(x -3)2+(y -)2=6上的动点,则的最大值为_______;【答案】23+【详解】由y x的几何意义知,OP y k P x =在圆()()22336x y -+-=上,当P 点是由O 点向圆作切线的切点时,yx取最值,设直线OP 的斜率为k ,直线OP 的方程为y kx =,圆心1O 的坐标为()3,3,半径为6,圆心1O 到直线OP 的距离等于6,则有23361k k-=+,解得1223,32k k =+=-(最小值,舍去),yx∴的最大值是23+,故答案为23+. 22. 若x ,y 满足x 2+y 2-2x +4y -20=0,则x 2+y 2的最小值是________ 【答案】30-105【详解】把圆的方程化为标准方程得:()()221225x y -++=,则圆心A 坐标为()1,2-,圆的半径=5r ,设圆上一点的坐标为(),x y ,原点O 坐标为()0,0,则22xy +表示圆上一点和原点之间的距离的平方根据图象可知圆心到原点距离的最小值为圆的半径r 减去圆心到原点的距离,求得5,5AO AB r ===,55BO AB OA ∴=-=-,则22x y +的最小值为()25530105-=-,故答案为30105-.23. 已知圆C :x 2+y 2-4y =0,直线l 过点P(0,1),则 ( )A. l 与C 相交B. l 与C 相切C. l 与C 相离D. 以上三个选项均有可能 【答案】A【详解】∵圆C 的圆心坐标为(0,2),半径r =2,∴|CP |=1<2,∴点P (0,1)在内部,∴直线l 与C 相交. 24. 以(-2,1)为圆心且与直线x +y =3相切的圆的方程为_____________ 【答案】(x +2)2+(y -1)2=8【详解】由所求的圆与直线30x y +-=相切,∴圆心()2,1-到直线30x y +-=的距离213222d -+-==,即圆的半径为22,∴所求圆的方程为()()22218x y ++-=,故答案为()()22218x y ++-=.25. 当a 为任意实数时,直线(1)10a x y a --++=恒过定点C ,则以点C 为圆心,半径为5的圆的方程为__________.【答案】22240x y x y ++-=详解:() a 1x y a 10--++=整理关于a 的表达式a x 1x y 10+-+-=()(),关于a 的方程各项为0,x 10x y 10+=+-=,,解得x 1y 2=-=,,恒过定点C 1,2-(),以C 为圆心,半径为的圆为:()()22125x y ++-=26. 直线1:l y x a =+和2:l y x b =+将单位圆22:1C x y +=分成长度相等的四段弧,则22a b +=__________.【答案】2【详解】试题分析:依题意,设与单位圆相交于两点,则∠°.如图,当时满足题意,所以.27. 设P 是圆22(3)(1)4x y -++=上动点,Q 是直线3x =-上动点,则||PQ 的最小值为__________. 【答案】4【详解】圆心为(3,1)-到直线3x =-的距离,3(3)6d =--=,min ||4PQ d r =-=.28. 若曲线C 1:x 2+y 2-2x =0与曲线C 2:y (y -mx -m )=0有四个不同的交点,则实数m 的取值范围是____________【答案】33,00,33⎛⎫⎛⎫- ⎪ ⎪ ⎪ ⎪⎝⎭⎝⎭【详解】因为()0y y mx m --=,所以0y =或0y mx m --=,当0y =时,显然2C 与圆2220x y x +-=有两个不同的交点,要使两曲线有四个不同的交点,只需0y mx m --=与圆2220x y x +-=有两个不同的交点,且0m ≠,由方程组2220y mx m x y x --=⎧⎨+-=⎩消去y ,得关于x 的一元二次方程, ()()22221220m x m x m ++-+=再令0∆>,可得2130m ->,解得33,00,33m ⎛⎫⎛⎫∈-⋃ ⎪ ⎪⎝⎭⎝⎭,故答案为33,00,m ⎛⎫⎛⎫∈-⋃ ⎪ ⎪⎝⎭⎝⎭.29. 若直线y =x +b 与曲线y =3-有公共点,则b 的取值范围是_________【答案】[1-2,3]【详解】试题分析:曲线即 (x ﹣2)2+(y ﹣3)2=4(1≤y≤3),表示以A (2,3)为圆心,以2为半径的一个半圆,由圆心到直线y=x+b 的距离等于半径2,解得 b=1+ b=1﹣.结合图象可得b 的范围.解:如图所示:曲线y=3﹣,即 (x ﹣2)2+(y ﹣3)2=4( 1≤y≤3,0≤x≤4),表示以A (2,3)为圆心,以2为半径的一个半圆. 由圆心到直线y=x+b 的距离等于半径2,可得 =2,∴b=1+,或b=1﹣.结合图象可得1﹣≤b≤3,故答案为[1﹣,3].30. 过点A (4,1)的圆C 与直线x -y-1=0相切于点B (2,1),则圆C 的方程为____【答案】22(3)2x y -+=【详解】∵直线x −y −1=0的斜率为1,∴过点B 直径所在直线方程斜率为−1, ∵B (2,1),∴此直线方程为y −1=−(x −2),即x +y −3=0,设圆心C 坐标为(a ,3−a ), ∵|AC |=|BC |,即2222(4)(31)(2)(2)a a a a =-+---+-,解得:a =3,则圆C 方程为22(3)2x y -+=. 31. 设O 为原点,点M 在圆C :(x -3)2+(y -4)2=1上运动,则|OM |的最大值为____. 【答案】6【详解】圆心C 的坐标为(3,4),∴|OC |=()()223040-+- =5,∴|OM |max =5+1=6.故答案为632. 已知圆C 的方程是(x -1)2+(y -1)2=4,直线l 的方程为y =x +m ,求当m 为何值时,(1)直线平分圆;(2)直线与圆相切.【答案】(1)m =0;(2)m =±22. 【详解】试题分析:(1)直线平分圆,即直线过圆心,将圆心坐标代入直线方程可得m 值(2)根据圆心到直线距离等于半径列方程,解得m 值试题解析:解:(1)∵直线平分圆,所以圆心在直线y =x +m 上,即有m =0.(2)∵直线与圆相切,所以圆心到直线的距离等于半径, ∴d =1122mm -+==2,m =±22.即m =±22时,直线l 与圆相切.33. 一圆与两平行直线x +3y -5=0和x +3y -3=0都相切,圆心在直线2x +y +1=0上,求圆的方程.【答案】22791=5510x y ⎛⎫⎛⎫++- ⎪ ⎪⎝⎭⎝⎭. 【详解】试题分析:根据直线和圆的位置关系,两平行线间的距离为直径,求出半径,设圆心为(),a b 则根据圆心在直线2x +y +1=0上,及圆心到直线的距离为半径,可得出圆心,即可得到圆的方程. 试题解析:两平行直线之间的距离为=,∴圆的半径为,设圆的方程为(x -a )2+(y -b )2=,则,解得.故所求圆的方程为2+2=.34. 已知圆()22:15C x y +-=,直线():10l mx y m m R -+-=∈.(1)判断直线l 与圆C 的位置关系;(2)设直线l 与圆C 交于A ,B 两点,若直线l 的倾斜角为120°,求弦AB 的长. 【答案】(1)直线l 与圆C 必相交 (2).【详解】(1)直线l 可变形为y -1=m (x -1),因此直线l 过定点D (1,1), 又=1<,所以点D 在圆C 内,则直线l 与圆C 必相交.(2)由题意知m ≠0,所以直线l 的斜率k =m ,又k =tan 120°=-,即m =-. 此时,圆心C (0,1)到直线l : x +y --1=0的距离d ==,又圆C 的半径r =,所以|AB |=2=2=.35. 已知圆2212280c x y x y +++-=:与圆222210240c x y x y +-+-=:相交于A ,B 两点. (1)求公共线AB 所在的直线的方程;(2)求圆心在直线y x =-上,且经过A,B 两点的圆的方程. 【答案】(1)x -2y +4=0.(2)⊙M :(x +3)2+(y -3)2=10.【详解】试题分析:(1)由两圆方程相减即得公共弦AB 所在的直线方程;(2)求出过12,C C 的直线与直线y=-x 的交点,可得圆心坐标,求出圆心到AB 的距离,可得半径,从而可得圆的方程 试题解析:(1)22222280{210240x y x y x y x y +++-=+-+-=⇒x -2y +4=0.(2)由(1)得x =2y -4,代入x 2+y 2+2x +2y -8=0中得:y 2-2y =0. ∴4{0x y =-=或02x y =⎧⎨=⎩,即A (-4,0),B (0,2),又圆心在直线y =-x 上,设圆心为M (x ,-x ), 则|MA|=|MB|,解得M (-3,3),∴⊙M :(x +3)2+(y -3)2=10.36. 已知圆C 过点A (0,-6),B (1,-5)且圆心C 在直线l :x -y +1=0上,求圆C 的方程. 【答案】(x +3)2+(y +2)2=25.【详解】试题分析:由已知圆心为C 的圆经过点A (0,6-),B (1,5-),知圆心C 在线段AB 的垂直平分线上,又圆心在直线l :10x y -+= 上,写出线段AB 的垂直平分线的方程与直线l 的方程联立方程组就可求出圆心的坐标,再由圆经过点A 就可求出其半径,从而就可写出所求圆的方程. 试题解析:因为点A (0,6-),B (1,5-),所以线段AB 的中点D 的坐标为,又直线AB 的斜率,因此线段AB 的垂直平分线的方程是:即;从而圆心C 的坐标是方程组的解,解此方程组得C(-3,-2);那么所求圆的半径,故圆心为C 的圆的标准方程是:.37. 一圆与两平行直线x +3y -5=0和x +3y -3=0都相切,圆心在直线2x +y +1=0上,求圆的方程.【答案】22791=5510x y ⎛⎫⎛⎫++- ⎪ ⎪⎝⎭⎝⎭.【详解】试题分析:根据直线和圆的位置关系,两平行线间的距离为直径,求出半径,设圆心为(),a b则根据圆心在直线2x+y+1=0上,及圆心到直线的距离为半径,可得出圆心,即可得到圆的方程.试题解析:两平行直线之间的距离为=,∴圆的半径为,设圆的方程为(x-a)2+(y-b)2=,则,解得.故所求圆的方程为2+2=.。
圆与方程试题及答案一、选择题1. 若圆心在原点,半径为5的圆的标准方程是()。
A. x^2 + y^2 = 25B. (x-5)^2 + y^2 = 25C. (x+5)^2 + y^2 = 25D. x^2 + y^2 - 10x - 10y = 0答案:A2. 已知圆的方程为(x-3)^2 + (y-4)^2 = 25,圆心坐标为()。
A. (3, 4)B. (-3, 4)C. (3, -4)D. (-3, -4)答案:A3. 圆x^2 + y^2 = 9与直线x + y = 0相交于两点,这两点之间的距离是()。
A. 2√2B. 3√2C. √2D. √3答案:A二、填空题4. 圆心在(2, -3),半径为4的圆的方程是______。
答案:(x-2)^2 + (y+3)^2 = 165. 若圆(x-1)^2 + (y+2)^2 = 9与直线y = 2x + 3相切,则圆心到直线的距离为______。
答案:√5三、解答题6. 已知圆C的方程为x^2 + y^2 - 6x - 8y + 24 = 0,求圆C的圆心坐标和半径。
答案:圆C的方程可以写成标准形式:(x-3)^2 + (y-4)^2 = 1。
所以圆心坐标为(3, 4),半径为1。
7. 求圆x^2 + y^2 - 4x + 6y + 9 = 0与圆x^2 + y^2 + 2x - 6y +8 = 0的公共弦所在直线的方程。
答案:将两个圆的方程相减得公共弦所在直线的方程为:-6x + 12y - 1 = 0,即3x - 6y + 1/2 = 0。
8. 已知圆x^2 + y^2 - 2x - 4y + 4 = 0,求过点(1, 2)的圆的切线方程。
答案:圆心坐标为(1, 2),半径为1。
过点(1, 2)的切线方程为x = 1或y - 2 = -(x - 1),即x = 1或x + y - 3 = 0。
圆与方程测试题及答案一、选择题1. 已知圆心在原点的圆的方程为 \( x^2 + y^2 = r^2 \),其中\( r \) 为圆的半径。
若圆的半径为5,则圆的方程为:A. \( x^2 + y^2 = 25 \)B. \( x^2 + y^2 = 5 \)C. \( x^2 + y^2 = 10 \)D. \( x^2 + y^2 = 50 \)2. 若圆的方程为 \( (x-3)^2 + (y-4)^2 = 16 \),该圆的圆心坐标为:A. (3, 4)B. (-3, 4)C. (3, -4)D. (-3, -4)二、填空题3. 圆心在点 \( P(2, -3) \) 上,半径为4的圆的标准方程为:\( (x-2)^2 + (y+3)^2 = \) ________。
4. 若圆的一般方程为 \( x^2 + y^2 + 2gx + 2fy + c = 0 \),其中\( g \) 和 \( f \) 分别为圆心的 \( x \) 和 \( y \) 坐标,则圆心坐标为:\( (-g, -f) \)。
三、解答题5. 已知圆 \( C \) 的圆心为 \( (2, -1) \),半径为3,求圆 \( C \) 的方程。
6. 给定圆的一般方程 \( x^2 + y^2 + 6x - 8y + 16 = 0 \),求圆心坐标和半径。
四、证明题7. 证明:若点 \( P(x_0, y_0) \) 在圆 \( (x-a)^2 + (y-b)^2 =r^2 \) 上,则 \( (x_0-a)^2 + (y_0-b)^2 = r^2 \)。
五、应用题8. 一个圆与 \( x \) 轴相切,圆心在直线 \( y = x \) 上,且圆经过点 \( A(2, 3) \)。
求该圆的方程。
答案:一、选择题1. A2. A二、填空题3. \( 16 \)4. \( (-g, -f) \)三、解答题5. 圆 \( C \) 的方程为 \( (x-2)^2 + (y+1)^2 = 9 \)。
圆与方程测试题一:选择题(本大题共10小题,每小题5分,共50分)1.方程x 2+y 2+2ax-by+c=0表示圆心为C (2,2),半径为2的圆,则a 、b 、c 的值 依次为(A )2、4、4; (B )-2、4、4; (C )2、-4、4; (D )2、-4、-42.直线3x-4y-4=0被圆(x-3)2+y 2=9截得的弦长为( )(A)22 (B)4 (C)24 (D)23.点4)()()1,1(22=++-a y a x 在圆的内部,则a 的取值范围是( )(A) 11<<-a (B) 10<<a (C) 11>-<a a 或 (D) 1±=a4.自点 1)3()2()4,1(22=-+--y x A 作圆的切线,则切线长为( ) (A) 5 (B) 3 (C) 10 (D) 55.已知M (-2,0), N (2,0), 则以MN 为斜边的直角三角形直角顶点P 的轨迹方程是( D )(A) 222=+y x (B) 422=+y x(C) )2(222±≠=+x y x (D) )2(422±≠=+x y x6.若直线(1+a)x+y+1=0与圆x 2+y 2-2x=0相切,则a 的值为A 、1,-1B 、2,-2C 、1D 、-17.过原点的直线与圆x 2+y 2+4x+3=0相切,若切点在第三象限,则该直线的方程是A 、x y 3=B 、x y 3-=C 、x y 33=D 、x y 33-= 8.过点A (1,-1)、B (-1,1)且圆心在直线x+y-2=0上的圆的方程是A 、(x-3)2+(y+1)2=4B 、(x+3)2+(y-1)2=4C 、(x-1)2+(y-1)2=4D 、(x+1)2+(y+1)2=49.直线0323=-+y x 截圆x 2+y 2=4得的劣弧所对的圆心角是A 、6πB 、4πC 、3πD 、2π 10.M (x 0,y 0)为圆x 2+y 2=a 2(a>0)内异于圆心的一点,则直线x 0x+y 0y=a 2与 该圆的位置关系是( )A 、相切B 、相交C 、相离D 、相切或相交二、填空题(本大题共5小题,每小题5分,共25分)11.以点A(1,4)、B(3,-2)为直径的两个端点的圆的方程为 .12.设A 为圆1)2()2(22=-+-y x 上一动点,则A 到直线05=--y x 的最大距离为______.13.过点P(-1,6)且与圆4)2()3(22=-++y x 相切的直线方程是________________.14.过圆x 2+y 2-x+y-2=0和x 2+y 2=5的交点,且圆心在直线3x+4y-1=0上的圆的方程为 .15.两圆221x y +=和22(4)()25x y a ++-=相切,则实数a 的值为三、解答题16.过原点O 作圆x 2+y 2-8x=0的弦OA 。
第四章综合检测题时间120分钟,满分150分。
一、选择题(本大题共12个小题,每小题5分,共60分,在每小题给出的四个选项中只有一个是符合题目要求的)1.下面表示空间直角坐标系的直观图中,正确的个数为( )A .1个B .2个C .3个D .4个2.若方程x 2+y 2-x +y +m =0表示圆,则实数m 的取值范围为( )A .m <12B .m <0C .m >12D .m ≤123.已知空间两点P 1(-1,3,5),P 2(2,4,-3),则|P 1P 2|等于( ) A.74 B .310C.14D.534.圆x 2+y 2+2x -4y =0的圆心坐标和半径分别是( )A .(1,-2),5B .(1,-2), 5C .(-1,2),5D .(-1,2), 55.圆心为(1,-1),半径为2的圆的方程是( )A .(x -1)2+(y +1)2=2B .(x +1)2+(y -1)2=4C .(x +1)2+(y -1)2=2D .(x -1)2+(y +1)2=46.直线l :x -y =1与圆C :x 2+y 2-4x =0的位置关系是( )A .相离B .相切C .相交D .无法确定7.当点P 在圆x 2+y 2=1上变动时,它与定点Q (3,0)连线段PQ 中点的轨迹方程是( )A .(x +3)2+y 2=4B .(x -3)2+y 2=1C.(2x-3)2+4y2=1 D.(2x+3)2+4y2=18.(2011~2012·北京东城区高三期末检测)直线l过点(-4,0),且与圆(x+1)2+(y-2)2=25交于A,B两点,如果|AB|=8,那么直线l 的方程为()A.5x+12y+20=0B.5x-12y+20=0或x+4=0C.5x-12y+20=0D.5x+12y+20=0或x+4=09.一束光线从点A(-1,1)发出,并经过x轴反射,到达圆(x-2)2+(y-3)2=1上一点的最短路程是()A.4 B.5C.32-1 D.2 610.(2012·广东卷)在平面直角坐标系xOy中,直线3x+4y-5=0与圆x2+y2=4相交于A,B两点,则弦AB的长等于() A.3 3 B.2 3C. 3 D.111.方程4-x2=lg x的根的个数是()A.0 B.1C.2 D.无法确定12.过点M(1,2)的直线l与圆C:(x-2)2+y2=9交于A、B两点,C为圆心,当∠ACB最小时,直线l的方程为()A.x=1 B.y=1C.x-y+1=0 D.x-2y+3=0二、填空题(本大题共4个小题,每小题5分,共20分,把正确答案填在题中横线上)13.点P(3,4,5)关于原点的对称点是________.14.已知△ABC的三个顶点为A(1,-2,5),B(-1,0,1),C(3,-4,5),则边BC上的中线长为________.15.已知圆C:(x-1)2+(y+2)2=4,点P(0,5),则过P作圆C 的切线有且只有________条.16.与直线x+y-2=0和曲线x2+y2-12x-12y+54=0都相切的半径最小的圆的标准方程是________.三、解答题(本大题共6个大题,共70分,解答应写出文字说明,证明过程或演算步骤)17.(本题满分10分)求经过点P(3,1)且与圆x2+y2=9相切的直线方程.[分析]提示一:将点P(3,1)代入圆的方程得32+12=10>9,所以点P在圆外,可设过点P的圆的切线斜率为k,写出点斜式方程再化为一般式.根据圆心到切线的距离等于圆的半径这一性质,由点到直线的距离公式列出含k的方程,由方程解得k,然后代回所设切线方程即可.提示二:直线与圆相切,就是直线与圆有唯一公共点,于是将两曲线方程联立所得的方程组有唯一解,从而方程判别式Δ=0,由此解得k值,然后回代所设切线方程即可.18.(本题满分12分)(2011~2012·宁波高一检测)如图,正方体ABCD-A1B1C1D1的棱长为a,M为BD1的中点,N在A1C1上,且|A1N|=3|NC1|,试求MN的长.19.(本小题满分12分)已知实数x、y满足方程(x-3)2+(y-3)2=6,求x+y的最大值和最小值.20.(本题满分12分)已知直线l1:x-y-1=0,直线l2:4x+3y +14=0,直线l3:3x+4y+10=0,求圆心在直线l1上,与直线l2相切,截直线l3所得的弦长为6的圆的方程.[分析]设出圆心坐标和半径,利用圆的几何性质求解.21.(本题满分12分)已知圆C:x2+y2+2x-4y+1=0,O为坐标原点,动点P在圆C外,过P作圆C的切线,设切点为M.(1)若点P运动到(1,3)处,求此时切线l的方程;(2)求满足条件|PM|=|PO|的点P的轨迹方程.[分析](1)对切线的斜率是否存在分类讨论;(2)设出P的坐标,代入平面内两点间的距离公式,化简得轨迹方程.22.(本题满分12分)已知圆P:(x-a)2+(y-b)2=r2(r≠0),满足:①截y轴所得弦长为2;②被x轴分成两段圆弧,其弧长的比为3:1.求在满足条件①②的所有圆中,使代数式a2-b2-2b+4取得最小值时,圆的方程.[分析]根据条件可以判断出圆P被x轴截得的劣弧的圆心角为90°,建立起r ,a ,b 之间的方程组,然后解出相应的a ,b ,r 间的关系,最后借助于一元二次函数解决.详解答案1[答案] C[解析] 根据空间直角坐标系的规定可知(1)(2)(4)都正确,(3)中,Oy 轴的正向应为负向,∴选C.2[答案] A[解析] (-1)2+12-4m >0,∴m <12,故选A.3[答案] A[解析] |P 1P 2|=(-1-2)2+(3-4)2+(5+3)2=74.4[答案] D[解析] 圆的方程化为标准方程为(x +1)2+(y -2)2=5,则圆心是(-1,2),半径为 5.5[答案] D[解析] 由圆的标准方程得圆的方程为(x -1)2+(y +1)2=4. 6[答案] C[解析] 圆C 的圆心为C (2,0),半径为2,圆心C 到直线l 的距离d =|2-1|2=22<2,所以圆与直线相交. 7[答案] C[解析] 设PQ 中点坐标为(x ,y ),则P (2x -3,2y )代入x 2+y 2=1得(2x -3)2+4y 2=1,故选C.8[答案] D[解析] 由题意,得圆心C (-1,2),半径r =5,当直线l 的斜率不存在时,直线l 的方程为x +4=0,解方程组⎩⎪⎨⎪⎧ (x +1)2+(y -2)2=25,x +4=0,得⎩⎪⎨⎪⎧ x =-4,y =-2或⎩⎪⎨⎪⎧x =-4,y =6,即此时与圆C 的交点坐标是(-4,-2)和(-4,6),则|AB |=8,即x +4=0符合题意;当直线l 的斜率存在时,设直线l 的方程为y =k (x +4),即kx-y +4k =0,圆心C 到直线l 的距离d =|-k -2+4k |k 2+1=|3k -2|k 2+1,又|AB |=2r 2-d 2,所以225-(|3k -2|k 2+1)2=8,解得k =-512,则直线l 的方程为-512x -y +4×(-512)=0,即5x +12y +20=0.9[答案] A[解析] 点A 关于x 轴的对称点是A ′(-1,-1),圆心C (2,3),半径r =1,则|A ′C |=(-1-2)2+(-1-3)2=5,则最短路程是|A ′C |-r =5-1=4.10[答案] B[解析] 圆x 2+y 2=4的圆心O (0,0)到直线3x +4y -5=0的距离d =|-5|5=1,弦AB 的长|AB |=2r 2-d 2=2 3.11[答案] B[解析] 设f (x )=4-x ,g (x )=lg x ,则方程根的个数就是f (x )与g (x )两个函数图象交点的个数.如图所示,在同一平面直角坐标系中画出这两个函数的图象.由图可得函数f (x )=4-x 2与g (x )=lg x 仅有1个交点,所以方程仅有1个根.12[答案] D[解析] 当CM ⊥l ,即弦长最短时,∠ACB 最小,∴k l ·k CM =-1,∴k l =12,∴l 的方程为:x -2y +3=0.[点评] 过⊙C 内一点M 作直线l 与⊙C 交于A 、B 两点,则弦AB 的长最短⇔弦AB 对的劣弧最短⇔弦对的圆心角最小⇔圆心到直线l 的距离最大⇔CM ⊥l ⇔弦AB 的中点为M ,故以上各种说法反映的是同一个问题.13[答案] (-3,-4,-5)[解析] ∵点P (3,4,5)与P ′(x ,y ,z )的中点为坐标原点, ∴P ′点的坐标为(-3,-4,-5).14[答案] 2[解析] BC 的中点为D (1,-2,3),则|AD |=(1-1)2+(-2+2)2+(5-3)2=2.15[答案] 2[解析] 由C (1,-2),r =2,则|PC |=12+(-2-5)2=52>r =2,∴点P 在圆C 外,∴过P 作圆C 的切线有两条.16[答案] (x -2)2+(y -2)2=2[解析] ∵⊙A :(x -6)2+(y -6)2=18的圆心A (6,6),半径r 1=32,∵A 到l 的距离52,∴所求圆B 的直径2r 2=22,即r 2= 2.设B (m ,n ),则由BA ⊥l 得n -6m -6=1, 又∵B 到l 距离为2,∴|m +n -2|2=2, 解出m =2,n =2.故其方程为(x -2)2+(y -2)2=2.17[解析] 解法一:当过点P 的切线斜率存在时,设所求切线的斜率为k ,由点斜式可得切线方程为y -1=k (x -3),即kx -y -3k +1=0, ∴|-3k +1|k 2+1=3,解得k =-43. 故所求切线方程为-43x -y +4+1=0,即4x +3y -15=0.当过点P 的切线斜率不存在时,方程为x =3,也满足条件. 故所求圆的切线方程为4x +3y -15=0或x =3.解法二:设切线方程为y -1=k (x -3),将方程组⎩⎪⎨⎪⎧y -1=k (x -3),x 2+y 2=9,消去y 并整理得 (k 2+1)x 2-2k (3k -1)x +9k 2-6k -8=0.因为直线与圆相切,∴Δ=0,即[-2k (3k -1)]2-4(k 2+1)(9k 2-6k -8)=0.解得k =-43.所以切线方程为4x +3y -15=0.又过点P (3,1)与x 轴垂直的直线x =3也与圆相切,故所求圆的切线方程为4x +3y -15=0或x =3.[点评] 若点在圆外,所求切线有两条,特别注意当直线斜率不存在时的情况,不要漏解.18[解析] 以D 为原点建立如图所示坐标系,则B (a ,a,0),A 1(a,0,a ),C 1(0,a ,a ),D 1(0,0,a ).由于M 为BD 1的中点,所以M (a 2,a 2,a 2),取A 1C 1中点O 1,则O 1(a 2,a 2,a ),因为|A 1N |=3|NC 1|,所以N 为O 1C 1的中点,故N (a 4,34a ,a ).由两点间的距离公式可得:|MN |=(a 2-a 4)2+(a 2-34a )2+(a 2-a )2=64a .[点评] 空间中的距离可以通过建立空间直角坐标系通过距离公式求解.19[解析] 设x +y =t ,则直线y =-x +t 与圆(x -3)2+(y -3)2=6有公共点∴|3+3-t |2≤6,∴6-23≤t ≤6+2 3 因此x +y 最小值为6-23,最大值为6+2 3.20[解析] 设圆心为C (a ,a -1),半径为r ,则点C 到直线l 2的距离d 1=|4a +3(a -1)+14|5=|7a +11|5.点C 到直线l 3的距离是d 2=|3a +4(a -1)+10|5=|7a +6|5. 由题意,得⎩⎨⎧|7a +11|5=r ,(|7a +6|5)2+32=r 2.解得a =2,r =5,即所求圆的方程是(x -2)2+(y -1)2=25. 21[解析] 把圆C 的方程化为标准方程为(x +1)2+(y -2)2=4, ∴圆心为C (-1,2),半径r =2.(1)当l 的斜率不存在时,此时l 的方程为x =1,C 到l 的距离d =2=r ,满足条件.当l 的斜率存在时,设斜率为k ,得l 的方程为y -3=k (x -1),即kx -y +3-k =0, 则|-k -2+3-k |1+k2=2,解得k =-34. ∴l 的方程为y -3=-34(x -1),即3x +4y -15=0.综上,满足条件的切线l 的方程为x =1或3x +4y -15=0.(2)设P (x ,y ),则|PM |2=|PC |2-|MC |2=(x +1)2+(y -2)2-4, |PO |2=x 2+y 2,∵|PM |=|PO |.∴(x +1)2+(y -2)2-4=x 2+y 2,整理,得2x -4y +1=0,∴点P 的轨迹方程为2x -4y +1=0.22[解析] 如下图所示,圆心坐标为P (a ,b),半径为r ,则点P 到x 轴,y 轴的距离分别为|b |,|a |. ∵圆P 被x 轴分成两段圆弧,其弧长的比为3:1,∴∠APB =90°.取AB的中点D,连接PD,则有|PB|=2|PD|,∴r=2|b|.取圆P截y轴的弦的中点C,连接PC,PE.∵圆截y轴所得弦长为2,∴|EC|=1,∴1+a2=r2,即2b2-a2=1.则a2-b2-2b+4=b2-2b+3=(b-1)2+2.∴当b=1时,a2-b2-2b+4取得最小值2,此时a=1,或a=-1,r2=2.对应的圆为:(x-1)2+(y-1)2=2,或(x+1)2+(y-1)2=2.∴使代数式a2-b2-2b+4取得最小值时,对应的圆为(x-1)2+(y-1)2=2,或(x+1)2+(y-1)2=2.[点评](1)当直线与圆相离时,圆上的点到直线的最大距离为d +r,最小距离为d-r,其中d为圆心到直线的距离.(2)当直线与圆相交时,设弦长为l,弦心距为d,半径为r,则有(l2)2+d2=r2.。
圆与方程一、选择题1. 已知直线ax +by +c =0(abc ≠0)与圆x 2+y 2=1相切,则三条边长分别为|a |,|b |,|c |的三角形( )A.是锐角三角形B.是直角三角形C.是钝角三角形D.不存在2. 圆2x 2+2y 2=1与直线x sin θ+y -1=0(θ∈R ,θ≠2π+k π,k ∈Z )的位置关系是( )A.相交B.相切C.相离D.不确定的3. 若直线(1+a )x +y +1=0与圆x 2+y 2-2x =0相切,则a 的值为( ) A.1,-1 B.2,-2 C.1 D.-14. 圆(x -1)2+y 2=1的圆心到直线y =33x 的距离是( ) A.21B.23C.1D.35. 若直线l :y =kx 3-与直线2x +3y -6=0的交点位于第一象限,则直线l 的倾斜角的取值范围是( )A.)3,6[ππB.)2,6(ππ C.)2,3(ππD.]2,6[ππ 6. 给定四条曲线:①x 2+y 2=25,②4922y x +=1,③x 2+42y =1,④42x +y 2=1.其中与直线x +y -5=0仅有一个交点的曲线是( )A.①②③B.②③④C.①②④D.①③④7. 过点A (1,-1)、B (-1,1)且圆心在直线x +y -2=0上的圆的方程是( )A.(x -3)2+(y +1)2=4B.(x +3)2+(y -1)2=4C.(x -1)2+(y -1)2=4D.(x +1)2+(y +1)2=48.设A 、B 是x 轴上的两点,点P 的横坐标为2且|PA |=|PB |,若直线PA 的方程为x -y +1=0,则直线PB 的方程是( )A.x +y -5=0B.2x -y -1=0C.2y -x -4=0D.2x +y -7=09. 下列方程的曲线关于x =y 对称的是( ) A.x 2-x +y 2=1 B.x 2y +xy 2=1C.x -y =1D.x 2-y 2=110. 过原点的直线与圆x 2+y 2+4x +3=0相切,若切点在第三象限,则该直线的方程是( )A.y =3xB.y =-3x C.y =33x D.y =-33x 11. 曲线x 2+y 2+22x -22y =0关于( )A.直线x =2轴对称B.直线y =-x 轴对称C.点(-2,2)中心对称D.点(-2,0)中心对称12. 直线y =33x 绕按逆时针原点方向旋转30°后所得直线与圆(x -2)2+y 2=3的位置关系是( )A.直线过圆心B.直线与圆相交,但不过圆心C.直线与圆相切D.直线与圆没有公共点13. 直线3x +y -23=0截圆x 2+y 2=4得的劣弧所对的圆心角为( )A.6πB.4πC .3π D.2π14. 已知直线x =a (a >0)和圆(x -1)2+y 2=4相切,那么a 的值是( ) A.5 B.4 C.3 D.215. 如果直线l 将圆x 2+y 2-2x -4y =0平分,且不通过第四象限,那么直线l 的斜率的取值范围是( )A.[0,2]B.[0,1]C.[0,21] D.[0,21) 16. 下列四个命题中的真命题是( )A.经过定点P 0(x 0,y 0)的直线都可以用方程y -y 0=k (x -x 0)表示B.经过任意两个不同的点P 1(x 1,y 1)、P 2(x 2,y 2)的直线都可以用方程(y -y 1)·(x 2-x 1)=(x -x 1)(y 2-y 1)表示C.不经过原点的直线都可以用方程1=+bya x 表示 D.经过定点A (0,b )的直线都可以用方程y =kx +b 表示17. 圆x2+y2-2x=0和x2+y2+4y=0的位置关系是()A.相离B.外切C.相交D.内切二、填空题18. 直线y=1与直线y=3x+3的夹角为_____.19. 若经过两点A(-1,0)、B(0,2)的直线l与圆(x-1)2+(y-a)2=1相切,则a=_____.20. 圆x2+y2-2x-2y+1=0上的动点Q到直线3x+4y+8=0距离的最小值为.21. 已知P是直线3x+4y+8=0上的动点,PA,PB是圆x2+y2-2x-2y+1=0的两条切线,A、B是切点,C是圆心,那么四边形PACB面积的最小值为.22. 已知圆x2+(y-1)2=1的圆外一点P(-2,0),过点P作圆的切线,则两条切线夹角的正切值是.23. 已知圆(x+1)2+y2=1和圆外一点P(0,2),过点P作圆的切线,则两条切线夹角的正切值是.24. 圆心在直线y=x上且与x轴相切于点(1,0)的圆的方程为 .25. 集合A={(x,y)|x2+y2=4},B={(x,y)|(x-3)2+(y-4)2=r2},其中r>0,若A∩B中有且仅有一个元素,则r的值是_____.26. 设圆x2+y2-4x-5=0的弦AB的中点为P(3,1),则直线AB的方程是 .27 . 以点C(-2,3)为圆心且与y轴相切的圆的方程是 .三、解答题28. 设A(-c,0),B(c,0)(c>0)为两定点,动点P到A点的距离与到B点的距离的比为定值a(a>0),求P点的轨迹.29.已知点P到两个定点M(-1,0)、N(1,0)距离的比为2,点N到直线PM的距离为1.求直线PN的方程.30. 设圆满足:(1)截y轴所得弦长为2;(2)被x轴分成两段圆弧,其弧长的比为3∶1.在满足条件(1)、(2)的所有圆中,求圆心到直线l:x-2y=0的距离最小的圆的方程.31. 已知过原点O的一条直线与函数y=lo g8x的图象交于A、B两点,分别过点A、B作y轴的平行线与函数y=lo g2x的图象交于C、D两点.(1)证明点C、D和原点O在同一条直线上.(2)当BC平行于x轴时,求点A的坐标.32. 在直角坐标系中,设矩形OPQR的顶点按逆时针顺序依次为O(0,0),P(1,t),Q(1-2t,2+t),R(-2t,2),其中t∈(0,+∞).(1)求矩形OPQR在第一象限部分的面积S(t).(2)确定函数S(t)的单调区间,并加以证明.33. 已知直角坐标平面上点Q(2,0)和圆C:x2+y2=1,动点M到圆C的切线长与|MQ|的比等于常数λ(λ>0).求动点M的轨迹方程,说明它表示什么曲线.答案解析1.答案:B解析:圆心坐标为(0,0),半径为1.因为直线和圆相切.利用点到直线距离公式得:d =22||b a c +=1,即a 2+b 2=c 2.所以,以|a |,|b |,|c |为边的三角形是直角三角形.评述:要求利用直线与圆的基本知识,迅速找到a 、b 、c 之间的关系,以确定三角形形状.2.答案:C解析:圆2x 2+2y 2=1的圆心为原点(0,0)半径r 为22,圆心到直线x sin θ+y -1=0的距离为:1sin 11sin |1|22+=+=θθd∵θ∈R ,θ≠2π+k π,k ∈Z∴0≤sin 2θ<1 ∴d >22∴d >r ∴圆2x 2+2y 2=1与直线x sin θ+y -1=0(θ∈R ,θ≠2π+k π,k ∈Z )的位置关系是相离.3.答案:D解析:将圆x 2+y 2-2x =0的方程化为标准式:(x -1)2+y 2=1 ∴其圆心为(1,0),半径为1,若直线(1+a )x +y +1=0与该圆相切,则圆心到直线的距离d 等于圆的半径r∴11)1(|11|2=++++a a ∴a =-14.答案:A解析:先解得圆心的坐标(1,0),再依据点到直线距离的公式求得A 答案. 5.答案:B方法一:求出交点坐标,再由交点在第一象限求得倾斜角的范围⎪⎪⎩⎪⎪⎨⎧+-=++=⇒⎩⎨⎧=-+-=k k y kx y x kx y 3232632)32(306323图7—3∵交点在第一象限,∴⎩⎨⎧>>0y x∴⎪⎪⎩⎪⎪⎨⎧>+->++032326032)32(3kk k∴k ∈(33,+∞)∴倾斜角范围为(2,6ππ)方法二:如图7—4,直线2x +3y -6=0过点A (3,0),B (0,2),直线l 必过点(0,-3),当直线过A 点时,两直线的交点在x 轴,当直线l 绕C 点逆时针旋转时,交点进入第一象限,从而得出结果. 6.答案:D解析:联立方程组,依次考查判别式,确定D. 7.答案:C解析一:由圆心在直线x +y -2=0上可以得到A 、C 满足条件,再把A 点坐标(1,-1)代入圆方程.A 不满足条件.∴选C.解析二:设圆心C 的坐标为(a ,b ),半径为r ,因为圆心C 在直线x +y -2=0上,∴b =2-a .由|CA |=|CB |,得(a -1)2+(b +1)2=(a +1)2+(b -1)2,解得a =1,b =1因此所求圆的方程为(x -1)2+(y -1)2=4 8.答案:A解析:由已知得点A (-1,0)、P (2,3)、B (5,0),可得直线PB 的方程是x +y -5=0. 评述:本题考查直线方程的概念及直线的几何特征. 9.答案:B解析:∵点(x ,y )关于x =y 对称的点为(y ,x ),可知x 2y +xy 2=1的曲线关于x =y 对称. 10.答案:C解析一:圆x 2+y 2+4x +3=0化为标准式(x +2)2+y 2=1,圆心C (-2,0).设过原点的直线方程为y =kx ,即kx -y =0.由1|2|2+-k k =1,解得k =±33,∵切点在第三象限, ∴k >0,所求直线方程为y =33x . 解析二:设T 为切点,因为圆心C (-2,0),因此CT =1,OC =2,△OCT 为Rt △.如图7—5,∴∠CO T=30°,∴直线OT 的方程为y =33x .11.答案:B 12.答案:C图7— 4 图7—5解析:直线y =33x 绕原点逆时针旋转30°所得的直线方程为:y =3x .已知圆的圆心(2,0)到y =3x 的距离d =3,又因圆的半径r =3,故直线y =3x 与已知圆相切.评述:本题考查直线的斜率和倾斜角以及直线与圆的位置关系. 13.答案:C解析:如图7—7所示, 由⎪⎩⎪⎨⎧=+=-+432322y x y x消y 得:x 2-3x +2=0 ∴x 1=2,x 2=1 ∴A (2,0),B (1,3)∴|AB |=22)30()12(-+-=2又|OB |=|OA |=2∴△AOB 是等边三角形,∴∠AOB =3π,故选C.14.答案:C解析:方程(x -1)2+y 2=4表示以点(1,0)为圆心,2为半径的圆,x =a 表示与x 轴垂直且与圆相切的直线,而此时的切线方程分别为x =-1和x =3,由于a >0,取a =3.故选C.评述:本题考查圆的方程、圆的切线方程及图象.利用数形结合较快完成此题.15.答案:A解析:圆的标准方程为:(x -1)2+(y -2)2=5.圆过坐标原点.直线l 将圆平分,也就是直线l 过圆心C (1,2),从图7—8看到:当直线过圆心与x 轴平行时,或者直线同时过圆心与坐标原点时都不通过第四象限,并且当直线l 在这两条直线之间变化时都不通过第四象限.当直线l 过圆心与x 轴平行时,k =0, 当直线l 过圆心与原点时,k =2. ∴当k ∈[0,2]时,满足题意. 16.答案:B解析:A 中过点P 0(x 0,y 0)与x 轴垂直的直线x =x 0不能用y -y 0=k (x -x 0)表示,因为其斜率k 不存在;C 中不过原点但在x 轴或y 轴无截距的直线y =b (b ≠0)或x =a (a ≠0)不能用方程bya x +=1表示;D 中过A (0,b )的直线x =0不能用方程y =kx +b 表示.17.答案:C解析:将两圆方程分别配方得(x -1)2+y 2=1和x 2+(y -2)2=4,两圆圆心分别为图7—7图7—8O 1(1,0),O 2(0,2),r 1=1,r 2=2,|O 1O 2|=52122=+,又1=r 2-r 1<5<r 1+r 2=3,故两圆相交,所以应选C. 18.答案:60°解析:因为直线y =3x +3的倾斜角为60°,而y =1与x 轴平行,所以y =1与y =3x +3的夹角为60°.19.答案:a =4±5解析:因过A (-1,0)、B (0,2)的直线方程为:2x -y +2=0.圆的圆心坐标为C (1,a ),半径r =1.又圆和直线相切,因此,有:d =5|22|+-a =1,解得a =4±5. 20.答案:2解析:圆心到直线的距离d =5|843|++=3 ∴动点Q 到直线距离的最小值为d -r =3-1=2 21.答案:22解法一:∵点P 在直线3x +4y +8=0上.如图7—9. ∴设P (x ,432-- x ),C 点坐标为(1,1), S 四边形PACB =2S △PAC=2·21·|AP |·|AC |=|AP |·|AC |=|AP | ∵|AP |2=|PC |2-|AC |2=|PC |2-1∴当|PC |最小时,|AP |最小,四边形PACB 的面积最小. ∴|PC |2=(1-x )2+(1+2+43x )2=9)145(1025162522++=++x x x ∴|PC |min =3 ∴四边形PACB 面积的最小值为22.解法二:由法一知需求|PC |最小值,即求C 到直线3x +4y +8=0的距离,∵C (1,1),∴|PC |=5|843|++=3,S PACD =22. 22.答案:34 解法一:圆的圆心为(0,1)设切线的方程为y =k (x +2).如图7—10.图7—9图7—10∴kx +2k -y =0 ∴圆心到直线的距离为1|12|2+-k k =1∴解得k =34或k =0, ∴两切线交角的正切值为34. 解法二:设两切线的交角为α∵tan212=α,∴tan α=3441112tan 12tan22=-=-αα. 23.答案:34 解析:圆的圆心为(-1,0),如图7—11.当斜率存在时,设切线方程为y =kx +2 ∴kx -y +2=0 ∴圆心到切线的距离为1|2|2++-k k =1 ∴k =43, 即tan α=43 当斜率不存在时,直线x =0是圆的切线 又∵两切线的夹角为∠α的余角 ∴两切线夹角的正切值为34 24.答案:(x -1)2+(y -1)2=1 解析一:设所求圆心为(a ,b ),半径为r . 由已知,得a =b ,r =|b |=|a |.∴所求方程为(x -a )2+(y -a )2=a 2又知点(1,0)在所求圆上,∴有(1-a )2+a 2=a 2,∴a =b =r =1.故所求圆的方程为:(x -1)2+(y -1)2=1. 解析二:因为直线y =x 与x 轴夹角为45°. 又圆与x 轴切于(1,0),因此圆心横坐标为1,纵坐标为1,r =1. 25.答案:3或7解析:当两圆外切时,r =3,两圆内切时r =7,所以r 的值是3或7. 26.答案:x +y -4=0解析一:已知圆的方程为(x -2)2+y 2=9,可知圆心C 的坐标是(2,0),又知AB 弦的图7—11中点是P (3,1),所以k CP =2301--=1,而AB 垂直CP ,所以k AB =-1.故直线AB 的方程是x +y -4=0.解析二:设所求直线方程为y -1=k (x -3).代入圆的方程,得关于x 的二次方程:(1+k 2)x 2-(6k 2-2k +4)x +9k 2-6k -4=0,由韦达定理:x 1+x 2=221426kk k ++-=6,解得k =1.解析三:设所求直线与圆交于A 、B 两点,其坐标分别为A (x 1,y 1)、B (x 2,y 2),则有⎪⎩⎪⎨⎧=+-=+-9)2(9)2(22222121y x y x ②-①得(x 2+x 1-4)(x 2-x 1)+(y 2-y 1)(y 2+y 1)=0又AB 的中点坐标为(3,1),∴x 1+x 2=6,y 1+y 2=2. ∴1212x x y y --=-1,即AB 的斜率为-1,故所求方程为x +y -4=0.27.答案:(x +2)2+(y -3)2=4 解析:因为圆心为(-2,3),且圆与y 轴相切,所以圆的半径为2.故所求圆的方程为(x +2)2+(y -3)2=4.28.解:设动点P 的坐标为P (x ,y )由||||PB PA =a (a >0),得2222)()(yc x y c x +-++=a ,化简,得:(1-a 2)x 2+2c (1+a 2)x +c 2(1-a 2)+(1-a 2)y 2=0.当a ≠1时,得x 2+221)1(2aa c -+x +c 2+y 2=0.整理, 得:(x -1122-+a a c )2+y 2=(122-a ac )2当a =1时,化简得x =0.所以当a ≠1时,P 点的轨迹是以(1122-+a a c ,0)为圆心,|122-a ac |为半径的圆;当a =1时,P 点的轨迹为y 轴.29.解:设点P 的坐标为(x ,y ),由题设有2||||=PN PM ,即2222)1(2)1(y x y x +-⋅=++.整理得 x 2+y 2-6x +1=0. ①① ②因为点N 到PM 的距离为1,|M N|=2, 所以∠PMN =30°,直线PM 的斜率为±33, 直线PM 的方程为y =±33(x +1).② 将②式代入①式整理得x 2-4x +1=0. 解得x =2+3,x =2-3.代入②式得点P 的坐标为(2+3,1+3)或(2-3,-1+3);(2+3,-1-3)或(2-3,1-3). 直线PN 的方程为y =x -1或y =-x +1.30.解:设所求圆的圆心为P (a ,b ),半径为r ,则P 到x 轴、y 轴的距离分别为|b |、|a |.由题设圆P 截x 轴所得劣弧所对圆心角为90°,圆P 截x 轴所得弦长为2r ,故r 2=2b 2,又圆P 截y 轴所得弦长为2,所以有r 2=a 2+1,从而有2b 2-a 2=1又点P (a ,b )到直线x -2y =0距离为d =5|2|b a -, 所以5d 2=|a -2b |2=a 2+4b 2-4ab ≥a 2+4b 2-2(a 2+b 2)=2b 2-a 2=1当且仅当a =b 时上式等号成立,此时5d 2=1,从而d 取得最小值, 由此有⎩⎨⎧=-=1222a b ba 解方程得⎩⎨⎧==11b a 或⎩⎨⎧-=-=11b a由于r 2=2b 2,知r =2,于是所求圆的方程为(x -1)2+(y -1)2=2或(x +1)2+(y +1)2=2 31.(1)证明:设A 、B 的横坐标分别为x 1,x 2,由题设知x 1>1,x 2>1,点A (x 1,lo g 8x 1),B (x 2,lo g 8x 2).因为A 、B 在过点O 的直线上,所以228118log log x x x x =, 又点C 、D 的坐标分别为(x 1,lo g 2x 1),(x 2,lo g 2x 2) 由于lo g 2x 1=2log log 818x =3lo g 8x 1,lo g 2x 2=2log log 828x =3lo g 8x 2,所以OC 的斜率和OD 的斜率分别为228222118112log 3log ,log 3log x x x x k x x x x k OD OC ====. 由此得k OC =k OD ,即O 、C 、D 在同一条直线上.(2)解:由BC 平行于x 轴,有lo g 2x 1=lo g 8x 2,解得 x 2=x 13将其代入228118log log x x x x =,得x 13lo g 8x 1=3x 1lo g 8x 1. 由于x 1>1,知lo g 8x 1≠0,故x 13=3x 1,x 1=3,于是点A 的坐标为(3,lo g 83).32.解:(1)当1-2t >0即0<t <21时,如图7—13,点Q 在第一象限时,此时S (t )为四边形OPQK 的面积,直线QR 的方程为y -2= t (x +2t ).令x =0,得y =2t 2+2,点K 的坐标为(P ,2t 2+2).t t t S S S OKR OPQR OPQK 2)22(21)1(2222⋅+-+=-=)1(232t t t -+-=当-2t +1≤0,即t ≥21时,如图7—14,点Q 在y 轴上或第二象限,S (t )为△OP L的面积,直线PQ 的方程为y -t =-t1(x -1),令x =0得y =t +t 1,点L 的坐标为(0,t +t 1),S △OPL =1)1(21⋅+t t)1(21tt += 所以S (t )=⎪⎪⎩⎪⎪⎨⎧≥+<<-+-21 )1(21210 )1(232t t t t t t t(2)当0<t <21时,对于任何0<t 1<t 2<21,有S (t 1)-S (t 2)=2(t 2-t 1)[1-(t 1+t 2)+(t 12+t 1t 2+t 22)]>0,即S (t 1)>S (t 2),所以S (t )在区间(0,21)内是减函数. 图7—13图7—14当t ≥21时,对于任何21≤t 1≤t 2,有S (t 1)-S (t 2)=21(t 1-t 2)(1-211t t ), 所以若21≤t 1≤t 2≤1时,S (t 1)>S (t 2);若1≤t 1≤t 2时,S (t 1)<S (t 2),所以S (t )在区间[21,1]上是减函数,在区间[1,+∞)内是增函数,由2[121+(21)2-(21)3]=45=S (21)以及上面的证明过程可得,对于任何0<t 1<21≤t 2<1,S (t 2)<45≤S (t 1),于是S (t )的单调区间分别为(0,1]及[1,+∞),且S (t )在(0,1]内是减函数,在[1,+∞)内是增函数.33.解:如图7—15,设直线MN 切圆于N ,则动点M 组成的集合是:P ={M ||MN |=λ|MQ |},(λ>0为常数)因为圆的半径|ON |=1,所以|MN |2=|MO |2-|ON |2=|MO |2-1.设点M 的坐标为(x ,y ),则2222)2(1y x y x +-=-+λ整理得(λ2-1)(x 2+y 2)-4λ2x +(1+4λ2)=0当λ=1时,方程化为x =45,它表示一条直线,该直线与x 轴垂直,交x 轴于点(45,0); 当λ≠1时,方程化为(x -1222-λλ)2+y 2=)1(3122-+λλ它表示圆心在(1222-λλ,0),半径为|1|3122-+λλ的圆.图7—15。
圆与方程试题及答案1.圆(x+2)^2+y^2=5关于原点P(0,0)对称的圆的方程为(B)x+(y-2)^2=5.2.若P(2,-1)为圆(x-1)^2+y^2=25的弦AB的中点,则直线AB的方程是(A)x-y-3=0.3.圆x+y-2x-2y+1=0上的点到直线x-y=2的距离最大值是(C)1+√2.4.将直线2x-y+λ=0,沿x轴向左平移1个单位,所得直线与圆x^2+y^2+2x-4y=0相切,则实数λ的值为(B)-2或8.5.在坐标平面内,与点A(1,2)距离为1,且与点B(3,1)距离为2的直线共有(C)3条。
6.圆x+y-4x=0在点P(1,3)处的切线方程为(B)x+3y-4=0.二、填空题1.若经过点P(-1,0)的直线与圆x^2+y^2+4x-2y+3=0相切,则此直线在y轴上的截距是(2)2.2.由动点P向圆x^2+y^2=1引两条切线PA,PB,切点分别为A,B,∠APB=60,则动点P的轨迹方程为(x^2+y^2-1)^2=3(x^2+y^2).3.圆心在直线2x-y-7=0上的圆C与y轴交于两点A(-2,-4)、B(2,4),则圆C的方程为(x-3)^2+(y+1)^2=9.4.已知圆(x-3)^2+y^2=4和过原点的直线y=kx的交点为P,Q,则OP·OQ的值为2,则圆C的方程为(x-3)^2+(y-kx)^2=4+k^2.三、解答题1.点P(a,b)在直线x+y+1=0上,求a^2+b^2-2a-2b+2的最小值。
解:因为点P在直线x+y+1=0上,所以a+b+1=0,即a=-b-1.将a=-b-1代入a^2+b^2-2a-2b+2中,得到a^2+b^2-2a-2b+2=2b^2+2b+4,这是关于b的二次函数,因此最小值为该函数的顶点,即b=-1,此时a=0,所以最小值为6.2.求以A(-1,2)、B(5,-6)为直径两端点的圆的方程。
解:圆的直径AB的中点为M(2,-2),半径为AM的长度,即√((2-(-1))^2+(-2-2)^2)=√26/2,所以圆的方程为(x-2)^2+(y+2)^2=13.3.求过点A(1,2)和B(1,10)且与直线x-2y-1=0相切的圆的方程。
高一数学圆的标准方程与一般方程试题答案及解析1.对于a∈R,直线(a-1)x-y+a+1=0恒过定点C,则以C为圆心,以为半径的圆的方程为()A.x2+y2-2x+4y=0B.x2+y2+2x+4y=0C.x2+y2+2x-4y=0D.x2+y2-2x-4y=0【答案】C【解析】将直线整理为,联立,可得直线恒过定点P(-1,2)因此以P为圆心,为半径的圆的方程是化成一般式可得x2+y2+2x-4y=0故选:C【考点】圆的方程2.已知圆C的方程(1)若点在圆C的内部,求m的取值范围;(2)若当时①设为圆C上的一个动点,求的最值;.②问是否存在斜率是1的直线l,使l被圆C截得的弦AB,以AB为直径的圆经过原点,若存在,写出直线l的方程;若不存在,说明理由.【答案】(1)m>-5 (2)①4 ②存在直线l,其方程为y=x-4或y=x+1【解析】(1)根据圆C的标准方程可得m>-5.再根据点A(m,-2)在圆C的内部,可得,由此求得m的范围.(2)①表示圆C上的点P(x,y)到点H(4,2)的距离的平方,求得|HC|=5,故的最大值为HC加上半径后的平方,的最小值为HC减去半径后的平方.②假设存在直线l满足题设条件,设l的方程为y=x+m,则AB中点N是两直线x-y+m=0与y+2=-(x-1)的交点,即N(−),以AB为直径的圆经过原点,求得|AN|=,|ON|=,由|AN|=|ON|,解得m的值,可得结论.试题解析:(1),∴m>-5.(2)①当m=4时,圆C的方程即,而表示圆C上的点P (x,y)到点H(4,2)的距离的平方,由于|HC|==5,故的最大值为(5+3)2=64,的最小值为(5-3)2=4.②法一:假设存在直线l满足题设条件,设l的方程为y=x+m,圆C化为,圆心C (1,-2),则AB中点N是两直线x-y+m=0与y+2=-(x-1)的交点即N,以AB为直径的圆经过原点,∴|AN|=|ON|,又CN⊥AB,|CN|=,∴|AN|=.又|ON|=由|AN|=|ON|,解得m=-4或m=1.∴存在直线l,其方程为y=x-4或y=x+1.法二:假设存在直线l,设其方程为:由得:①设A(),B()则:∴又∵OA⊥OB∴∴解得b=1或把b=1和分别代入①式,验证判别式均大于0,故存在b=1或∴存在满足条件的直线方程是:【考点】直线与圆的位置关系;点与圆的位置关系.3.已知曲线C:(1)当为何值时,曲线C表示圆;(2)在(1)的条件下,若曲线C与直线交于M、N两点,且,求的值.(3)在(1)的条件下,设直线与圆交于,两点,是否存在实数,使得以为直径的圆过原点,若存在,求出实数的值;若不存在,请说明理由.【答案】(1) (2)(3)存在,【解析】(1)根据圆的一般式可知, ,可得范围;(2)将(1)中圆变形为标准方程,可知存在于半径中,所以根据圆中,先求出圆心到直线的距离,即可求半径得.(3)假设存在,则有,设出两点坐标,可得.根据直线与圆的位置关系是相交,所以联立后首先根据初步判断的范围,而后利用根与系数的关系用表示出,将其带入解之,如有解且在的范围内,则存在,否则不存在.(1)由,得.(2),即,所以圆心,半径,圆心到直线的距离.又,在圆中,即,.(3)假设存在实数使得以为直径的圆过原点,则,所以.设,则有,即.由得,,即,又由(1)知,故根据根与系数的关系知:,故存在实数使得以为直径的圆过原点,【考点】圆的一般方程的判断,直线与圆的位置关系的应用, 的使用.4.求圆心在直线上,与轴相切,且被直线截得的弦长为的圆的方程.【答案】或【解析】设圆心,由题意可得半径,求出圆心到直线的距离d,再利用垂径定理,解得的值,从而得到圆心坐标和半径,由此求出圆的方程.试题解析:解:设所求圆的圆心为,半径为,依题意得:且,(2分)圆心到直线的距离,(4分)由“,,半弦长”构成直角三角形,得,(6分)解得:,(7分)当时,圆心为,半径为,所求圆的方程为;当时,圆心为,半径为,所求圆的方程为;(11分)综上所述,所求圆的方程为或.(12分)【考点】求圆的方程5.已知圆经过点和,且圆心在直线上.(1)求圆的方程;(2)若点为圆上任意一点,求点到直线的距离的最大值和最小值.【答案】(1);(2).【解析】(1)求圆的方程只要找出圆心和半径即可,本题圆心为线段AB的中垂线和已知直线x-y=0的交点,求出圆心后再求出半径即可;(2)圆上点P到直线的距离最大值为圆心到直线距离加半径.试题解析:(1) 的中点坐标为,∴圆心在直线上, 1分又知圆心在直线上,∴圆心坐标是,圆心半径是, 4分∴圆方程是; 7分(2)设圆心到直线的距离,∴直线与圆相离, 9分∴点到直线的距离的最大值是, 12分最小值是. 15分【考点】圆的方程,圆的性质,点到直线距离.6.已知半径为3的圆与轴相切,圆心在直线上,则此圆的方程为 .【答案】或【解析】依题意设圆心为,因为圆与轴相切,所以,所以。
圆的方程专项测试题一、选择题1.若直线4x-3y -2=0与圆x 2+y 2-2ax+4y +a 2-12=0总有两个不同交点,则a 的取值范围是( )A.-3<a <7 B .-6<a <4 C.-7<a <3 D.-21<a <192.圆(x-3)2+(y -3)2=9上到直线3x+4y -11=0的距离等于1的点有( ) A.1个 B.2个 C.3个 D.4个3.使圆(x-2)2+(y +3)2=2上点与点(0,-5)的距离最大的点的坐标是( ) A.(5,1) B.(3,-2) C.(4,1)D.(2 +2,2-3)4.若直线x+y =r 与圆x 2+y 2=r(r >0)相切,则实数r 的值等于( ) A.22B.1C.2D.25.若曲线x 2+y 2+a 2x +(1–a 2)y –4=0关于直线y –x =0的对称曲线仍是其本身,则实数a =( B ) A .21± B .22± C .2221-或D .2221或-6.直线x-y +4=0被圆x 2+y 2+4x-4y +6=0截得的弦长等于( ) A.8B.4C.22D.427.圆9)3()3(22=-+-y x 上到直线3 x + 4y -11=0的距离等于1的点有( C ) A .1个 B .2个 C .3个 D .4个8.圆(x-3)2+(y +4)2=2关于直线x+y =0的对称圆的标准方程是( ) A.(x+3)2+(y -4)2=2 B.(x-4)2+(y +3)2=2 C.(x+4)2+(y -3)=2 D.(x-3)2+(y -4)2=29.点P(5a+1,12a)在圆(x-1)2+y 2=1的内部,则实数a 的取值范围是( ) A.|a |<1B.|a |<51 C.|a |<121D.|a |<131 10.关于x,y 的方程Ax 2+Bx y +C y 2+Dx+E y +F=0表示一个圆的充要条件是( ) A.B=0,且A=C ≠0 B.B=1且D 2+E 2-4AF >0 C.B=0且A=C ≠0,D 2+E 2-4AF ≥0 D.B=0且A=C ≠0,D 2+E 2-4AF >0 11.过点P(-8,-1),Q(5,12),R(17,4)三点的圆的圆心坐标是( ) A.(314,5) B.(5,1) C.(0,0) D.(5,-1)12.若两直线y =x+2k 与y =2x+k+1的交点P 在圆x 2+2=4的内部,则k 的范围是( ) A.-51<k <-1B.-51<k <1C.-31<k <1 D.-2<k <2二、填空题13.圆x 2+y 2+ax=0(a ≠0)的圆心坐标和半径分别是 .14.若实数x,y 满足x 2+y 2-2x+4y =0,则x-2y 的最大值是 .15.若集合A={(x 、y )|y =-|x |-2},B={(x,y )|(x-a)2+y 2=a 2}满足A ∩B=ϕ,则实数a 的取值范围是 .16.过点M(3,0)作直线l 与圆x 2+y 2=16交于A 、B 两点,当θ= 时,使△AOB 的面积最大,最大值为 (O 为原点).三、解答题17.求圆心在直线2x-y -3=0上,且过点(5,2)和(3,-2)的圆的方程.18. 过圆(x -1)2+(y -1)2=1外一点P(2,3),向圆引两条切线切点为A 、B. 求经过两切点的直线l 方程.19. 已知圆02422=++-+m y x y x 与y 轴交于A 、B 两点,圆心为P ,若︒=∠90APB .求m 的值.20.已知直角坐标平面内点Q(2,0),圆C :x 2+y 2=1,动点M 到圆C 的切线长与|MQ |的比等于常数λ(λ>0),求动点M 的轨迹方程,并说明轨迹是什么曲线.21.自点A (-3,3)发出的光线L 射到x 轴上,被x 轴反射,其反射光线m 所在直线与圆C :x 2+ y 2 -4x -4y +7 = 0相切,求光线L 、m 所在的直线方程.22.已知圆C :044222=-+-+y x y x ,是否存在斜率为1的直线L ,使L 被圆C 截得的弦AB 为直径的圆过原点,若存在求出直线L 的方程,若不存在说明理由.参考答案:1.B2.C3.B4.D5.B6.C7.C8.B9.D 10.D 11.D 12.B 13.(-2a ,0), 2a 14.10 15.-2(2+1)<a <2(2+1)16.θ=arccot22 或π-arccot22, 817.(x-2)2+(y -1)2=10 10.3x+4y +1=0或4x+3y -1=0 ;18. 解:设圆(-1)2+(y -1)2=1的圆心为1O ,由题可知,以线段P 1O 为直径的圆与与圆1O 交于AB 两点,线段AB 为两圆公共弦,以P 1O 为直径的圆方程5)20()23(22=-+-y x ①已知圆1O 的方程为(x-1)2+(y -1)2=1 ② ①②作差得x+2y -41=0, 即为所求直线l 的方程。
温馨提示:高考题库为Word 版,请按住Ctrl ,滑动鼠标滚轴,调节适宜的观看比例,点击右上角的关闭按钮可返回目录。
【考点27】圆与程〔含直线与圆、圆与圆的位置关系〕2021年考题1.〔2021高考〕圆C 与直线x -y=0 及x -y -4=0都相切,圆心在直线x+y=0上, 那么圆C 的程为〔 〕〔A 〕22(1)(1)2x y ++-= (B) 22(1)(1)2x y -++= (C) 22(1)(1)2x y -+-= (D) 22(1)(1)2x y +++=【解析】选B.圆心在x +y =0上,排除C 、D,再结合图象,或者验证A 、B 中圆心到两直线的距离等于半径2即可.2.〔2021高考〕三角形的三边长分别为3,4,5,那么它的边与半径为1的圆的公共点个数最多为〔 〕A .3B .4C .5D .6 【解析】选B.由于3,4,5构成直角三角形S ,故其切圆半径为r=34512+-=,当该圆运动时,最多与直角三角形S 的两边也有4个交点。
3.〔2021高考〕.过圆22(1)(1)1C x y -+-=:的圆心,作直线分别交x 、y 正半轴于 点A 、B ,AOB ∆被圆分成四局部〔如图〕,假设这四局部图形面积满足|||,S S S S I ∏+=+ 那么直线AB 有〔 〕〔A 〕 0条 〔B 〕 1条 〔C 〕 2条 〔D 〕 3条【解析】选B.由,得:,IV II III I S S S S -=-,第II ,IV 局部的面积是定值,所以,IV IIS S -为定值,即,III I S S -为定值,当直线AB 绕着圆心C 移动时,只可能有一个位置符合题意,即直线AB 只有一条,应选B 。
4.〔2021高考〕圆1C :2(1)x ++2(1)y -=1,圆2C 与圆1C 关于直线10x y --=对称,那么圆2C 的程为〔 〕〔A 〕2(2)x ++2(2)y -=1 〔B 〕2(2)x -+2(2)y +=1〔C 〕2(2)x ++2(2)y +=1 〔D 〕2(2)x -+2(2)y -=1【解析】选B.设圆2C 的圆心为〔a ,b 〕,那么依题意,有111022111a b b a -+⎧--=⎪⎪⎨-⎪=-⎪+⎩,解得:22a b =⎧⎨=-⎩,对称圆的半径不变,为1,应选B.5.〔2021高考〕过原点且倾斜角为60︒的直线被圆2240x y y +-=所截得的弦长为〔A 〕3 〔B 〕2 〔C 〕6 〔D 〕23 【解析】选D.过原点且倾斜角为60°的直线程为222230,243021,R 2412331x y x y d d -=+-=⨯-==--=+圆()的圆心(0,2)到直线的距离为因此弦长为26.〔2021高考〕直线1y x =+与圆221x y +=的位置关系为〔 〕 A .相切B .相交但直线不过圆心C .直线过圆心D .相离【解析】选B.圆心(0,0)为、到直线1y x =+,即10x y -+=的距离222d ==,而201<<,选B 。
第四章测试(时间:120分钟总分:150分)一、选择题(本大题共12小题,每小题5分,共60分.在每小题给出的四个选项中,只有一项是符合题目要求的)1.已知两圆的方程是x2+y2=1和x2+y2-6x-8y+9=0,那么这两个圆的位置关系是()A.相离B.相交C.外切D.内切解析将圆x2+y2-6x-8y+9=0,化为标准方程得(x-3)2+(y-4)2=16.∴两圆的圆心距(0-3)2+(0-4)2=5,又r1+r2=5,∴两圆外切.答案 C2.过点(2,1)的直线中,被圆x2+y2-2x+4y=0截得的最长弦所在的直线方程为()A.3x-y-5=0 B.3x+y-7=0C.x+3y-5=0 D.x-3y+1=0解析依题意知所求直线通过圆心(1,-2),由直线的两点式方程,得y+2 1+2=x-12-1,即3x-y-5=0.答案 A3.若直线(1+a)x+y+1=0与圆x2+y2-2x=0相切,则a的值为() A.1,-1 B.2,-2C .1D .-1解析 圆x 2+y 2-2x =0的圆心C (1,0),半径为1,依题意得|1+a +0+1|(1+a )2+1=1,即|a +2|=(a +1)2+1,平方整理得a =-1.答案 D4.经过圆x 2+y 2=10上一点M (2,6)的切线方程是( ) A .x +6y -10=0 B.6x -2y +10=0 C .x -6y +10=0D .2x +6y -10=0解析 ∵点M (2,6)在圆x 2+y 2=10上,k OM =62, ∴过点M 的切线的斜率为k =-63. 故切线方程为y -6=-63(x -2). 即2x +6y -10=0. 答案 D5.垂直于直线y =x +1且与圆x 2+y 2=1相切于第一象限的直线方程是( ) A .x +y -2=0 B .x +y +1=0 C .x +y -1=0D .x +y +2=0解析 由题意可设所求的直线方程为y =-x +k ,则由|k |2=1,得k =±2.由切点在第一象限知,k = 2.故所求的直线方程y =-x +2,即x +y -2=0.答案 A6.关于空间直角坐标系O -xyz 中的一点P (1,2,3)有下列说法: ①点P 到坐标原点的距离为13; ②OP 的中点坐标为⎝⎛⎭⎪⎫12,1,32;③与点P关于x轴对称的点的坐标为(-1,-2,-3);④与点P关于坐标原点对称的点的坐标为(1,2,-3);⑤与点P关于坐标平面xOy对称的点的坐标为(1,2,-3).其中正确的个数是()A.2 B.3C.4 D.5解析点P到坐标原点的距离为12+22+32=14,故①错;②正确;点P关于x轴对称的点的坐标为(1,-2,-3),故③错;点P关于坐标原点对称的点的坐标为(-1,-2,-3),故④错;⑤正确.答案 A7.已知点M(a,b)在圆O:x2+y2=1处,则直线ax+by=1与圆O的位置关系是()A.相切B.相交C.相离D.不确定解析∵点M(a,b)在圆x2+y2=1外,∴a2+b2>1,又圆心(0,0)到直线ax+by=1的距离d=1a2+b2<1=r,∴直线与圆相交.答案 B8.与圆O1:x2+y2+4x-4y+7=0和圆O2:x2+y2-4x-10y+13=0都相切的直线条数是()A.4 B.3C.2 D.1解析两圆的方程配方得,O1:(x+2)2+(y-2)2=1,O2:(x-2)2+(y-5)2=16,圆心O1(-2,2),O2(2,5),半径r1=1,r2=4,∴|O1O2|=(2+2)2+(5-2)2=5,r1+r2=5.∴|O1O2|=r1+r2,∴两圆外切,故有3条公切线.答案 B9.直线l将圆x2+y2-2x-4y=0平分,且与直线x+2y=0垂直,则直线l的方程是()A.2x-y=0 B.2x-y-2=0C.x+2y-3=0 D.x-2y+3=0解析依题意知直线l过圆心(1,2),斜率k=2,∴l的方程为y-2=2(x-1),即2x-y=0.答案 A10.圆x2+y2-(4m+2)x-2my+4m2+4m+1=0的圆心在直线x+y-4=0上,那么圆的面积为()A.9π B.πC.2π D.由m的值而定解析∵x2+y2-(4m+2)x-2my+4m2+4m+1=0,∴[x-(2m+1)]2+(y-m)2=m2.∴圆心(2m+1,m),半径r=|m|.依题意知2m+1+m-4=0,∴m=1.∴圆的面积S=π×12=π.答案 B11.当点P在圆x2+y2=1上变动时,它与定点Q(3,0)的连结线段PQ的中点的轨迹方程是()A.(x+3)2+y2=4 B.(x-3)2+y2=1C.(2x-3)2+4y2=1 D.(2x+3)2+4y2=1解析 设P (x 1,y 1),Q (3,0),设线段PQ 中点M 的坐标为(x ,y ), 则x =x 1+32,y =y 12,∴x 1=2x -3,y 1=2y . 又点P (x 1,y 1)在圆x 2+y 2=1上, ∴(2x -3)2+4y 2=1.故线段PQ 中点的轨迹方程为(2x -3)2+4y 2=1. 答案 C12.曲线y =1+4-x 2与直线y =k (x -2)+4有两个交点,则实数k 的取值范围是( )A .(0,512) B .(512,+∞) C .(13,34]D .(512,34] 解析 如图所示,曲线y =1+4-x 2变形为x 2+(y -1)2=4(y ≥1), 直线y =k (x -2)+4过定点(2,4), 当直线l 与半圆相切时,有 |-2k +4-1|k 2+1=2,解得k =512. 当直线l 过点(-2,1)时,k =34. 因此,k 的取值范围是512<k ≤34. 答案 D二、填空题(本大题共4小题,每小题5分,共20分.把答案填在题中横线上) 13.圆x 2+y 2=1上的点到直线3x +4y -25=0的距离最小值为____________.解析 圆心(0,0)到直线3x +4y -25=0的距离为5, ∴所求的最小值为4. 答案 414.圆心为(1,1)且与直线x +y =4相切的圆的方程是________. 解析 r =|1+1-4|2=2,所以圆的方程为(x -1)2+(y -1)2=2.答案 (x -1)2+(y -1)2=215.方程x 2+y 2+2ax -2ay =0表示的圆,①关于直线y =x 对称;②关于直线x +y =0对称;③其圆心在x 轴上,且过原点;④其圆心在y 轴上,且过原点,其中叙述正确的是__________.解析 已知方程配方,得(x +a )2+(y -a )2=2a 2(a ≠0),圆心坐标为(-a ,a ),它在直线x +y =0上,∴已知圆关于直线x +y =0对称.故②正确.答案 ②16.直线x -2y -3=0与圆(x -2)2+(y +3)2=9相交于A ,B 两点,则△AOB (O 为坐标原点)的面积为________.解析 圆心坐标(2,-3),半径r =3,圆心到直线x -2y -3=0的距离d =5,弦长|AB |=2r 2-d 2=4.又原点(0,0)到AB 所在直线的距离h =35,所以△AOB 的面积为S =12×4×35=655.答案 655三、解答题(本大题共6小题,共70分.解答时应写出必要的文字说明、证明过程或演算步骤)17.(10分)自A (4,0)引圆x 2+y 2=4的割线ABC ,求弦BC 中点P 的轨迹方程. 解 解法1:连接OP ,则OP ⊥BC ,设P (x ,y ),当x ≠0时,k OP ·k AP =-1,即y x ·yx -4=-1.即x2+y2-4x=0.①当x=0时,P点坐标为(0,0)是方程①的解,∴BC中点P的轨迹方程为x2+y2-4x=0(在已知圆内).解法2:由解法1知OP⊥AP,取OA中点M,则M(2,0),|PM|=12|OA|=2,由圆的定义,知P点轨迹方程是以M(2,0)为圆心,2为半径的圆.故所求的轨迹方程为(x-2)2+y2=4(在已知圆内).18.(12分)已知圆M:x2+y2-2mx+4y+m2-1=0与圆N:x2+y2+2x+2y-2=0相交于A,B两点,且这两点平分圆N的圆周,求圆M的圆心坐标.解由圆M与圆N的方程易知两圆的圆心分别为M(m,-2),N(-1,-1).两圆的方程相减得直线AB的方程为2(m+1)x-2y-m2-1=0.∵A,B两点平分圆N的圆周,∴AB为圆N的直径,∴AB过点N(-1,-1).∴2(m+1)×(-1)-2×(-1)-m2-1=0.解得m=-1.故圆M的圆心M(-1,-2).19.(12分)点M在圆心为C1的方程x2+y2+6x-2y+1=0上,点N在圆心为C2的方程x2+y2+2x+4y+1=0上,求|MN|的最大值.解把圆的方程都化成标准形式,得(x+3)2+(y-1)2=9,(x+1)2+(y+2)2=4.如图所示,C 1的坐标是(-3,1),半径长是3;C 2的坐标是(-1,-2),半径长是2.所以,|C 1C 2|=(-3+1)2+(1+2)2=13.因此,|MN |的最大值是13+5.20.(12分)已知圆C :x 2+y 2+2x -4y +3=0,从圆C 外一点P 向圆引一条切线,切点为M ,O 为坐标原点,且有|PM |=|PO |,求|PM |的最小值.解 如图:PM 为圆C 的切线,则CM ⊥PM ,∴△PMC 为直角三角形,∴|PM |2=|PC |2-|MC |2.设P (x ,y ),C (-1,2),|MC |= 2. ∵|PM |=|PO |,∴x 2+y 2=(x +1)2+(y -2)2-2.化简得点P 的轨迹方程为2x -4y +3=0.求|PM |的最小值,即求|PO |的最小值,即求原点O 到直线2x -4y +3=0的距离,代入点到直线的距离公式可求得|PM |最小值为3510.21.(12分)已知圆C :x 2+y 2-4x -14y +45=0及点Q (-2,3), (1)若点P (m ,m +1)在圆C 上,求PQ 的斜率;(2)若点M 是圆C 上任意一点,求|MQ |的最大值、最小值;(3)若N (a ,b )满足关系:a 2+b 2-4a -14b +45=0,求出t =b -3a +2的最大值.解 圆C :x 2+y 2-4x -14y +45=0可化为(x -2)2+(y -7)2=8. (1)点P (m ,m +1)在圆C 上,所以m 2+(m +1)2-4m -14(m +1)+45=0,解得m =4,故点P (4,5).所以PQ 的斜率是k PQ =5-34+2=13;(2)如图,点M 是圆C 上任意一点,Q (-2,3)在圆外, 所以|MQ |的最大值、最小值分别是 |QC |+r ,|QC |-r . 易求|QC |=42,r =22, 所以|MQ |max =62,|MQ |min =2 2.(3)点N 在圆C :x 2+y 2-4x -14y +45=0上,t =b -3a +2表示的是定点Q (-2,3)与圆上的动点N 连线l 的斜率. 设l 的方程为y -3=k (x +2), 即kx -y +2k +3=0. 当直线和圆相切时,d =r ,即|2k -7+2k +3|k 2+1=22,解得k =2±3.所以t =b -3a +2的最大值为2+ 3.22.(12分)已知曲线C :x 2+y 2+2kx +(4k +10)y +10k +20=0,其中k ≠-1. (1)求证:曲线C 表示圆,并且这些圆心都在同一条直线上; (2)证明曲线C 过定点;(3)若曲线C 与x 轴相切,求k 的值.解 (1)证明:原方程可化为(x +k )2+(y +2k +5)2=5(k +1)2. ∵k ≠-1,∴5(k +1)2>0.故方程表示圆心为(-k ,-2k -5),半径为5|k +1|的圆.设圆心的坐标为(x ,y ),则⎩⎨⎧x =-k ,y =-2k -5.消去k ,得2x -y -5=0.∴这些圆的圆心都在直线2x -y -5=0上. (2)证明:将原方程变形为(2x +4y +10)k +(x 2+y 2+10y +20)=0, ∵上式对于任意k ≠-1恒成立,∴⎩⎨⎧2x +4y +10=0,x 2+y 2+10y +20=0.解得⎩⎨⎧x =1,y =-3.∴曲线C 过定点(1,-3). (3)∵圆C 与x 轴相切,∴圆心(-k ,-2k -5)到x 轴的距离等于半径. 即|-2k -5|=5|k +1|.两边平方,得(2k +5)2=5(k +1)2. ∴k =5±3 5.。
第四章圆与方程一、选择题1.圆C1 : x2+y2+2x+8y-8=0与圆C2 : x2+y2-4x+4y-2=0的位置关系是().A.相交B.外切C.内切D.相离2.两圆x2+y2-4x+2y+1=0与x2+y2+4x-4y-1=0的公共切线有().A.1条B.2条C.3条D.4条3.若圆C与圆(x+2)2+(y-1)2=1关于原点对称,则圆C的方程是().A.(x-2)2+(y+1)2=1 B.(x-2)2+(y-1)2=1C.(x-1)2+(y+2)2=1 D.(x+1)2+(y-2)2=14.与直线l : y=2x+3平行,且与圆x2+y2-2x-4y+4=0相切的直线方程是().A.x-y±错误!未找到引用源。
=0 B.2x-y+错误!未找到引用源。
=0C.2x-y-错误!未找到引用源。
=0 D.2x-y±错误!未找到引用源。
=05.直线x-y+4=0被圆x2+y2+4x-4y+6=0截得的弦长等于().A.错误!未找到引用源。
B.2 C.2错误!未找到引用源。
D.4错误!未找到引用源。
6.一圆过圆x2+y2-2x=0与直线x+2y-3=0的交点,且圆心在错误!未找到引用源。
轴上,则这个圆的方程是().A.x2+y2+4y-6=0 B.x2+y2+4x-6=0C.x2+y2-2y=0 D.x2+y2+4y+6=07.圆x2+y2-4x-4y-10=0上的点到直线x+y-14=0的最大距离与最小距离的差是().A.30 B.18 C.6错误!未找到引用源。
D.5错误!未找到引用源。
8.两圆(x-a)2+(y-b)2=r2和(x-b)2+(y-a)2=r2相切,则().A.(a-b)2=r2B.(a-b)2=2r2C.(a+b)2=r2D.(a+b)2=2r29.若直线3x-y+c=0,向右平移1个单位长度再向下平移1个单位,平移后与圆x2+y2=10相切,则c的值为().A.14或-6 B.12或-8 C.8或-12 D.6或-1410.设A(3,3,1),B(1,0,5),C(0,1,0),则AB的中点M到点C的距离|CM|=().A.错误!未找到引用源。
圆与方程测试题一、选择题1.若圆C的圆心坐标为(2,-3),且圆C经过点M(5,-7),则圆C的半径为().A.B.5 C.25 D.2.过点A(1,-1),B(-1,1)且圆心在直线x+y-2=0上的圆的方程是().A.(x-3)2+(y+1)2=4 B.(x+3)2+(y-1)2=4C.(x-1)2+(y-1)2=4 D.(x+1)2+(y+1)2=43.以点(-3,4)为圆心,且与x轴相切的圆的方程是().A.(x-3)2+(y+4)2=16 B.(x+3)2+(y-4)2=16C.(x-3)2+(y+4)2=9 D.(x+3)2+(y-4)2=194.若直线x+y+m=0与圆x2+y2=m相切,则m为().A.0或2 B.2 C.D.无解5.圆(x-1)2+(y+2)2=20在x轴上截得的弦长是().A.8 B.6 C.6 D.46.两个圆C1:x2+y2+2x+2y-2=0与C2:x2+y2-4x-2y+1=0的位置关系为().A.内切B.相交C.外切D.相离7.圆x2+y2-2x-5=0与圆x2+y2+2x-4y-4=0的交点为A,B,则线段AB的垂直平分线的方程是().A.x+y-1=0 B.2x-y+1=0C.x-2y+1=0 D.x-y+1=08.圆x2+y2-2x=0和圆x2+y2+4y=0的公切线有且仅有().A.4条B.3条C.2条D.1条9.在空间直角坐标系中,已知点M(a,b,c),有下列叙述:点M关于x轴对称点的坐标是M1(a,-b,c);点M关于y oz平面对称的点的坐标是M2(a,-b,-c);点M关于y轴对称的点的坐标是M3(a,-b,c);点M关于原点对称的点的坐标是M4(-a,-b,-c).其中正确的叙述的个数是().A.3 B.2 C.1 D.010.空间直角坐标系中,点A(-3,4,0)与点B(2,-1,6)的距离是().A.2 B.2 C.9 D.二、填空题11.圆x2+y2-2x-2y+1=0上的动点Q到直线3x+4y+8=0距离的最小值为.12.圆心在直线y=x上且与x轴相切于点(1,0)的圆的方程为.13.以点C(-2,3)为圆心且与y轴相切的圆的方程是.14.两圆x2+y2=1和(x+4)2+(y-a)2=25相切,试确定常数a的值.15.圆心为C(3,-5),并且与直线x-7y+2=0相切的圆的方程为.16.设圆x2+y2-4x-5=0的弦AB的中点为P(3,1),则直线AB的方程是.三、解答题17.求圆心在原点,且圆周被直线3x+4y+15=0分成1∶2两部分的圆的方程.18.求过原点,在x轴,y轴上截距分别为a,b的圆的方程(ab≠0).19.求经过A(4,2),B(-1,3)两点,且在两坐标轴上的四个截距之和是2的圆的方程.20.求经过点(8,3),并且和直线x=6与x=10都相切的圆的方程.圆与方程参考答案一、选择题1.B圆心C与点M的距离即为圆的半径,=5.2.C解析一:由圆心在直线x+y-2=0上可以得到A,C满足条件,再把A点坐标(1,-1)代入圆方程.A不满足条件.∴选C.解析二:设圆心C的坐标为(a,b),半径为r,因为圆心C在直线x+y-2=0上,∴b=2-a.由|CA|=|CB|,得(a-1)2+(b+1)2=(a+1)2+(b-1)2,解得a=1,b=1.因此圆的方程为(x-1)2+(y-1)2=4.3.B解析:∵与x轴相切,∴r=4.又圆心(-3,4),∴圆方程为(x+3)2+(y-4)2=16.4.B解析:∵x+y+m=0与x2+y2=m相切,∴(0,0)到直线距离等于.∴=,∴m=2.5.A解析:令y=0,∴(x-1)2=16.∴x-1=±4,∴x1=5,x2=-3.∴弦长=|5-(-3)|=8.6.B解析:由两个圆的方程C1:(x+1)2+(y+1)2=4,C2:(x-2)2+(y-1)2=4可求得圆心距d=∈(0,4),r1=r2=2,且r 1-r 2<d<r 1+r2故两圆相交,选B.7.A解析:对已知圆的方程x2+y2-2x-5=0,x2+y2+2x-4y-4=0,经配方,得(x-1)2+y2=6,(x+1)2+(y-2)2=9.圆心分别为C1(1,0),C2(-1,2).直线C1C2的方程为x+y-1=0.8.C解析:将两圆方程分别配方得(x-1)2+y2=1和x2+(y+2)2=4,两圆圆心分别为O1(1,0),O2(0,-2),r1=1,r2=2,|O1O2|==,又1=r2-r1<<r1+r2=3,故两圆相交,所以有两条公切线,应选C.9.C解:①②③错,④对.选C.10.D解析:利用空间两点间的距离公式.二、填空题11.2.解析:圆心到直线的距离d==3,∴动点Q到直线距离的最小值为d-r=3-1=2.12.(x-1)2+(y-1)2=1.解析:画图后可以看出,圆心在(1,1),半径为1.故所求圆的方程为:(x-1)2+(y-1)2=1.13.(x+2)2+(y-3)2=4.解析:因为圆心为(-2,3),且圆与y轴相切,所以圆的半径为2.故所求圆的方程为(x+2)2+(y-3)2=4.14.0或±2.解析:当两圆相外切时,由|O1O2|=r1+r2知=6,即a=±2.当两圆相内切时,由|O1O2|=r1-r2(r1>r2)知=4,即a=0.∴a的值为0或±2.15.(x-3)2+(y+5)2=32.解析:圆的半径即为圆心到直线x-7y+2=0的距离;16.x+y-4=0.解析:圆x2+y2-4x-5=0的圆心为C(2,0),P(3,1)为弦AB的中点,所以直线AB与直线CP垂直,即k AB·k CP=-1,解得k AB=-1,又直线AB过P(3,1),则直线方程为x+y-4=0.三、解答题17.x2+y2=36.解析:设直线与圆交于A,B两点,则∠AOB=120°,设所求圆方程为:x2+y2=r2,则圆心到直线距离为,所以r=6,所求圆方程为x2+y2=36.18.x2+y2-ax-by=0.解析:∵圆过原点,∴设圆方程为x2+y2+Dx+Ey=0.∵圆过(a,0)和(0,b),∴a2+Da=0,b2+bE=0.又∵a≠0,b≠0,∴D=-a,E=-b.故所求圆方程为x2+y2-ax-by=0.19.x2+y2-2x-12=0.解析:设所求圆的方程为x2+y2+Dx+Ey+F=0.∵A,B两点在圆上,代入方程整理得:D-3E-F=10 ①4D+2E+F=-20 ②设纵截距为b1,b2,横截距为a1,a2.在圆的方程中,令x=0得y2+Ey+F=0,∴b1+b2=-E;令y=0得x2+Dx+F=0,∴a1+a2=-D.由已知有-D-E=2.③①②③联立方程组得D=-2,E=0,F=-12.所以圆的方程为x2+y2-2x-12=0.20.解:设所求圆的方程为(x-a)2+(y-b)2=r2.根据题意:r==2,圆心的横坐标a=6+2=8,所以圆的方程可化为:(x-8)2+(y-b)2=4.又因为圆过(8,3)点,所以(8-8)2+(3-b)2=4,解得b=5或b=1,所求圆的方程为(x-8)2+(y-5)2=4或(x-8)2+(y-1)2=4.。
高中数学圆与方程精选题目(附答案)1.在空间直角坐标系中,点P(3,4,5)关于yOz平面对称的点的坐标为()A.(-3,4,5)B.(-3,-4,5)C.(3,-4,-5) D.(-3,4,-5)解析:选A纵、竖坐标相同.故点P(3,4,5)关于yOz平面对称的点的坐标为(-3,4,5).2.已知圆O以点(2,-3)为圆心,半径等于5,则点M(5,-7)与圆O的位置关系是() A.在圆内B.在圆上C.在圆外D.无法判断解析:选B点M(5,-7)到圆心(2,-3)的距离d=(5-2)2+(-7+3)2=5,故点M 在圆O上.3.直线x+y-1=0被圆(x+1)2+y2=3截得的弦长等于()A. 2 B.2C.2 2 D.4解析:选B由题意,得圆心为(-1,0),半径r=3,弦心距d=|-1+0-1|12+12=2,所以所求的弦长为2r2-d2=2,选B.4.若点P(1,1)为圆x2+y2-6x=0的弦MN的中点,则弦MN所在直线的方程为() A.2x+y-3=0 B.x-2y+1=0C.x+2y-3=0 D.2x-y-1=0解析:选D由题意,知圆的标准方程为(x-3)2+y2=9,圆心为A(3,0).因为点P(1,1)为弦MN的中点,所以AP⊥MN.又AP的斜率k=1-01-3=-12,所以直线MN的斜率为2,所以弦MN所在直线的方程为y-1=2(x-1),即2x-y-1=0.5.已知圆M:x2+y2=2与圆N:(x-1)2+(y-2)2=3,那么两圆的位置关系是() A.内切B.相交C.外切D.外离解析:选B∵圆M:x2+y2=2的圆心为M(0,0),半径为r1=2;圆N:(x-1)2+(y-2)2=3的圆心为N(1,2),半径为r2=3;|MN|=12+22=5,且3-2<5<2+3,∴两圆的位置关系是相交.6.(2016·全国卷Ⅱ)圆x2+y2-2x-8y+13=0的圆心到直线ax+y-1=0的距离为1,则a=()A.-43B.-34C. 3 D .2解析:选A 因为圆x 2+y 2-2x -8y +13=0的圆心坐标为(1,4),所以圆心到直线ax +y -1=0的距离d =|a +4-1|a 2+1=1,解得a =-43.7.半径长为6的圆与x 轴相切,且与圆x 2+(y -3)2=1内切,则此圆的方程为( ) A .(x -4)2+(y -6)2=6 B .(x ±4)2+(y -6)2=6 C .(x -4)2+(y -6)2=36D .(x ±4)2+(y -6)2=36解析:选D ∵半径长为6的圆与x 轴相切,设圆心坐标为(a ,b ),则b =6.再由a 2+32=5,可以解得a =±4,故所求圆的方程为(x ±4)2+(y -6)2=36.8.经过点M (2,1)作圆x 2+y 2=5的切线,则切线方程为( ) A.2x +y -5=0 B.2x +y +5=0 C .2x +y -5=0D .2x +y +5=0解析:选C ∵M (2,1)在圆上,∴切线与MO 垂直. ∵k MO =12,∴切线斜率为-2.又过点M (2,1),∴y -1=-2(x -2),即2x +y -5=0.9.把圆x 2+y 2+2x -4y -a 2-2=0的半径减小一个单位则正好与直线3x -4y -4=0相切,则实数a 的值为( )A .-3B .3C .-3或3D .以上都不对解析:选C 圆的方程可变为(x +1)2+(y -2)2=a 2+7,圆心为(-1,2),半径为a 2+7,由题意得|-1×3-4×2-4|(-3)2+42=a 2+7-1,解得a =±3. 10.如图,一座圆弧形拱桥,当水面在如图所示的位置时,拱顶离水面2米,水面宽12米,当水面下降1米后,水面宽度为( )A .14米B .15米 C.51米D .251米解析:选D 如图,以圆弧形拱桥的顶点为原点,以过圆弧形拱桥的顶点的水平切线为x 轴,以过圆弧形拱桥的顶点的竖直直线为y 轴,建立平面直角坐标系.设圆心为C ,水面所在弦的端点为A ,B , 则由已知可得A (6,-2), 设圆的半径长为r ,则C (0,-r ), 即圆的方程为x 2+(y +r )2=r 2.将点A 的坐标代入上述方程可得r =10, 所以圆的方程为x 2+(y +10)2=100,当水面下降1米后,水面弦的端点为A ′,B ′,可设A ′(x 0,-3)(x 0>0),代入x 2+(y +10)2=100,解得x 0=51, ∴水面宽度|A ′B ′|=251米.11.过点(3,1)作圆(x -1)2+y 2=1的两条切线,切点分别为A ,B ,则直线AB 的方程为( )A .2x +y -3=0B .2x -y -3=0C .4x -y -3=0D .4x +y -3=0解析:选A 设点P (3,1),圆心C (1,0).已知切点分别为A ,B ,则P ,A ,C ,B 四点共圆,且PC 为圆的直径.故四边形PACB 的外接圆圆心坐标为⎝⎛⎭⎫2,12,半径长为12(3-1)2+(1-0)2=52.故此圆的方程为(x -2)2+⎝⎛⎭⎫y -122=54.① 圆C 的方程为(x -1)2+y 2=1.②①-②得2x +y -3=0,此即为直线AB 的方程.12.已知在平面直角坐标系xOy 中,圆C 的方程为x 2+y 2=-2y +3,直线l 经过点(1,0)且与直线x -y +1=0垂直,若直线l 与圆C 交于A ,B 两点,则△OAB 的面积为( )A .1B.2 C .2 D .2 2解析:选A 由题意,得圆C 的标准方程为x 2+(y +1)2=4,圆心为(0,-1),半径r =2.因为直线l 经过点(1,0)且与直线x -y +1=0垂直,所以直线l 的斜率为-1,方程为y -0=-(x -1),即为x +y -1=0.又圆心(0,-1)到直线l 的距离d =|0-1-1|2=2,所以弦长|AB |=2r 2-d 2=24-2=2 2.又坐标原点O 到弦AB 的距离为|0+0-1|2=12,所以△OAB 的面积为12×22×12=1.故选A.13.已知圆M 与直线x -y =0及x -y +4=0都相切,圆心在直线y =-x +2上,则圆M 的标准方程为____________________.解析:由圆心在y =-x +2上,设圆心为(a,2-a ), ∵圆M 与直线x -y =0及x -y +4=0都相切,∴圆心到直线x -y =0的距离等于圆心到直线x -y +4=0的距离, 即|2a -2|2=|2a +2|2,解得a =0, ∴圆心坐标为(0,2),r =|2a -2|2=2,∴圆M 的标准方程为x 2+(y -2)2=2. 答案:x 2+(y -2)2=214.已知空间直角坐标系中三点A ,B ,M ,点A 与点B 关于点M 对称,且已知A 点的坐标为(3,2,1),M 点的坐标为(4,3,1),则B 点的坐标为______________.解析:设B 点的坐标为(x ,y ,z ),则有x +32=4,y +22=3,z +12=1,解得x =5,y =4,z =1,故B 点的坐标为(5,4,1). 答案:(5,4,1)15.圆O :x 2+y 2-2x -2y +1=0上的动点Q 到直线l :3x +4y +8=0的距离的最大值是________.解析:∵圆O 的标准方程为(x -1)2+(y -1)2=1,圆心(1,1)到直线l 的距离为|3×1+4×1+8|32+42=3>1,∴动点Q 到直线l 的距离的最大值为3+1=4.答案:416.(2016·全国卷Ⅰ)设直线y =x +2a 与圆C :x 2+y 2-2ay -2=0相交于A ,B 两点,若|AB |=23,则圆C 的面积为________.解析:圆C :x 2+y 2-2ay -2=0化为标准方程为x 2+(y -a )2=a 2+2,所以圆心C (0,a ),半径r =a 2+2,因为|AB |=23,点C 到直线y =x +2a ,即x -y +2a =0的距离d =|0-a +2a |2=|a |2,由勾股定理得⎝⎛⎭⎫2322+⎝⎛⎭⎫|a |22=a 2+2,解得a 2=2,所以r =2,所以圆C 的面积为π×22=4π. 答案:4π17.(本小题满分10分)已知正四棱锥P -ABCD 的底面边长为4,侧棱长为3,G 是PD 的中点,求|BG |.解:∵正四棱锥P -ABCD 的底面边长为4,侧棱长为3, ∴正四棱锥的高为1.以正四棱锥的底面中心为原点,平行于AB ,BC 所在的直线分别为y 轴、x 轴,建立如图所示的空间直角坐标系,则正四棱锥的顶点B ,D ,P 的坐标分别为B (2,2,0),D (-2,-2,0),P (0,0,1).∴G 点的坐标为G ⎝⎛⎭⎫-1,-1,12 ∴|BG |=32+32+14=732.18.(本小题满分12分)已知圆C 的圆心为(2,1),若圆C 与圆O :x 2+y 2-3x =0的公共弦所在直线过点(5,-2),求圆C 的方程.解:设圆C 的半径长为r ,则圆C 的方程为(x -2)2+(y -1)2=r 2,即x 2+y 2-4x -2y +5=r 2,圆C 与圆O 的方程相减得公共弦所在直线的方程为x +2y -5+r 2=0,因为该直线过点(5,-2),所以r 2=4,则圆C 的方程为(x -2)2+(y -1)2=4.19.(本小题满分12分)已知从圆外一点P (4,6)作圆O :x 2+y 2=1的两条切线,切点分别为A ,B.(1)求以OP 为直径的圆的方程; (2)求直线AB 的方程.解:(1)∵所求圆的圆心为线段OP 的中点(2,3), 半径为12|OP |= 12(4-0)2+(6-0)2=13,∴以OP 为直径的圆的方程为(x -2)2+(y-3)2=13.(2)∵PA ,PB 是圆O :x 2+y 2=1的两条切线, ∴OA ⊥PA ,OB ⊥PB ,∴A ,B 两点都在以OP 为直径的圆上.由⎩⎪⎨⎪⎧x 2+y 2=1,(x -2)2+(y -3)2=13,得直线AB 的方程为4x +6y -1=0. 20.(本小题满分12分)已知圆过点A (1,-2),B (-1,4). (1)求周长最小的圆的方程;(2)求圆心在直线2x -y -4=0上的圆的方程.解:(1)当线段AB 为圆的直径时,过点A ,B 的圆的半径最小,从而周长最小, 即以线段AB 的中点(0,1)为圆心,r =12|AB |=10为半径.则所求圆的方程为x 2+(y -1)2=10. (2)法一:直线AB 的斜率k =4-(-2)-1-1=-3,则线段AB 的垂直平分线的方程是y -1=13x即x -3y +3=0.由⎩⎪⎨⎪⎧x -3y +3=0,2x -y -4=0,解得⎩⎪⎨⎪⎧x =3,y =2,即圆心的坐标是C (3,2).∴r 2=|AC |2=(3-1)2+(2+2)2=20. ∴所求圆的方程是(x -3)2+(y -2)2=20. 法二:设圆的方程为(x -a )2+(y -b )2=R 2.则⎩⎪⎨⎪⎧(1-a )2+(-2-b )2=R 2,(-1-a )2+(4-b )2=R 2,2a -b -4=0⇒⎩⎪⎨⎪⎧a =3,b =2,R 2=20.∴所求圆的方程为(x -3)2+(y -2)2=20.21.(本小题满分12分)已知圆x 2+y 2-4ax +2ay +20a -20=0. (1)求证:对任意实数a ,该圆恒过一定点; (2)若该圆与圆x 2+y 2=4相切,求a 的值.解:(1)证明:圆的方程可整理为(x 2+y 2-20)+a (-4x +2y +20)=0, 此方程表示过圆x 2+y 2-20=0和直线-4x +2y +20=0交点的圆系.由⎩⎪⎨⎪⎧x 2+y 2-20=0,-4x +2y +20=0得⎩⎪⎨⎪⎧x =4,y =-2.∴已知圆恒过定点(4,-2).(2)圆的方程可化为(x -2a )2+(y +a )2=5(a -2)2. ①当两圆外切时,d =r 1+r 2, 即2+5(a -2)2=5a 2, 解得a =1+55或a =1-55(舍去); ②当两圆内切时,d =|r 1-r 2|, 即|5(a -2)2-2|=5a 2, 解得a =1-55或a =1+55(舍去). 综上所述,a =1±55.22.(本小题满分12分)(2017·全国卷Ⅲ)在直角坐标系xOy 中,曲线y =x 2+mx -2与x 轴交于A ,B 两点,点C 的坐标为(0,1),当m 变化时,解答下列问题:(1)能否出现AC ⊥BC 的情况?说明理由;(2)证明过A ,B ,C 三点的圆在y 轴上截得的弦长为定值. 解:(1)不能出现AC ⊥BC 的情况,理由如下: 设A (x 1,0),B (x 2,0),则x 1,x 2满足x 2+mx -2=0, 所以x 1x 2=-2. 又C 的坐标为(0,1),故AC 的斜率与BC 的斜率之积为-1x 1·-1x 2=-12,所以不能出现AC ⊥BC 的情况.(2)证明:由(1)知BC 的中点坐标为⎝⎛⎭⎫x 22,12,可得BC 的中垂线方程为y -12=x 2⎝⎛⎭⎫x -x 22. 由(1)可得x 1+x 2=-m , 所以AB 的中垂线方程为x =-m2.联立⎩⎨⎧x =-m 2,y -12=x 2⎝⎛⎭⎫x -x 22,x 22+mx 2-2=0,可得⎩⎨⎧x =-m2,y =-12.所以过A ,B ,C 三点的圆的圆心坐标为⎝⎛⎭⎫-m 2,-12,半径r =m 2+92.故圆在y 轴上截得的弦长为2r 2-⎝⎛⎭⎫m 22=3,即过A ,B ,C 三点的圆在y 轴上截得的弦长为定值.。
圆与方程测试题
一、选择题
1.若圆C的圆心坐标为(2,-3),且圆C经过点M(5,-7),则圆C的半径为().
A.5B.5 C.25 D.10
2.过点A(1,-1),B(-1,1)且圆心在直线x+y-2=0上的圆的方程是().
A.(x-3)2+(y+1)2=4 B.(x+3)2+(y-1)2=4
C.(x-1)2+(y-1)2=4 D.(x+1)2+(y+1)2=4
3.以点(-3,4)为圆心,且与x轴相切的圆的方程是().
A.(x-3)2+(y+4)2=16 B.(x+3)2+(y-4)2=16
C.(x-3)2+(y+4)2=9 D.(x+3)2+(y-4)2=19
4.若直线x+y+m=0与圆x2+y2=m相切,则m为().
A.0或2 B.2 C.2D.无解
5.圆(x-1)2+(y+2)2=20在x轴上截得的弦长是().
A.8 B.6 C.62D.43
6.两个圆C1:x2+y2+2x+2y-2=0与C2:x2+y2-4x-2y+1=0的位置关系为().
A.内切B.相交C.外切D.相离
7.圆x2+y2-2x-5=0与圆x2+y2+2x-4y-4=0的交点为A,B,则线段AB的垂直平分线的方程是().
A.x+y-1=0 B.2x-y+1=0
C.x-2y+1=0 D.x-y+1=0
8.圆x2+y2-2x=0和圆x2+y2+4y=0的公切线有且仅有().
A.4条B.3条C.2条D.1条
9.在空间直角坐标系中,已知点M(a,b,c),有下列叙述:
点M关于x轴对称点的坐标是M1(a,-b,c);
点M关于y oz平面对称的点的坐标是M2(a,-b,-c);
点M关于y轴对称的点的坐标是M3(a,-b,c);
点M关于原点对称的点的坐标是M4(-a,-b,-c).
其中正确的叙述的个数是().
A.3 B.2 C.1 D.0
10.空间直角坐标系中,点A(-3,4,0)与点B(2,-1,6)的距离是().
A.243B.221C.9 D.86
二、填空题
11.圆x2+y2-2x-2y+1=0上的动点Q到直线3x+4y+8=0距离的最小值为.
12.圆心在直线y=x上且与x轴相切于点(1,0)的圆的方程为.
13.以点C(-2,3)为圆心且与y轴相切的圆的方程是.
14.两圆x2+y2=1和(x+4)2+(y-a)2=25相切,试确定常数a的值.
15.圆心为C(3,-5),并且与直线x-7y+2=0相切的圆的方程为.
16.设圆x2+y2-4x-5=0的弦AB的中点为P(3,1),则直线AB的方程是.
三、解答题
17.求圆心在原点,且圆周被直线3x+4y+15=0分成1∶2两部分的圆的方程.
18.求过原点,在x轴,y轴上截距分别为a,b的圆的方程(ab≠0).
19.求经过A(4,2),B(-1,3)两点,且在两坐标轴上的四个截距之和是2的圆的方程.20.求经过点(8,3),并且和直线x=6与x=10都相切的圆的方程.
圆与方程 参考答案
一、选择题
1.B 圆心C 与点M 的距离即为圆的半径,227+3-+
5-2)()(=5. 2.C 解析一:由圆心在直线x +y -2=0上可以得到A ,C 满足条件,再把A 点坐标
(1,-1)代入圆方程.A 不满足条件.∴选C .
解析二:设圆心C 的坐标为(a ,b ),半径为r ,因为圆心C 在直线x +y -2=0上,∴b =2-a .由|CA |=|CB |,得(a -1)2+(b +1)2=(a +1)2+(b -1)2,解得a =1,b =1.因此圆的方程为(x -1)2+(y -1)2=4. 3.B 解析:∵与x 轴相切,∴r =4.又圆心(-3,4),∴圆方程为(x +3)2+(y -4)2=16. 4.B 解析:∵x +y +m =0与x 2+y 2=m 相切,∴(0,0)到直线距离等于m .∴
2
m =m ,∴m =2.
5.A 解析:令y =0,∴(x -1)2=16.∴ x -1=±4,∴x 1=5,x 2=-3.∴弦长=|5-(-3)|=8. 6.B 解析:由两个圆的方程C 1:(x +1)2+(y +1)2=4,C 2:(x -2)2+(y -1)2=4可求得圆心距d =13∈(0,4),r 1=r 2=2,且r 1-r 2<d <r 1+r 2故两圆相交,选B .
7.A 解析:对已知圆的方程x 2+y 2-2x -5=0,x 2+y 2+2x -4y -4=0,经配方,得(x -1)2+y 2=6, (x +1)2+(y -2)2=9.圆心分别为 C 1(1,0),C 2(-1,2).直线C 1C 2的方程为x +y -1=0.
8.C 解析:将两圆方程分别配方得(x -1)2+y 2=1和x 2+(y +2)2=4,两圆圆心分别为O 1(1,0),O 2(0,-2),r 1=1,r 2=2,|O 1O 2|=222+1=5,又1=r 2-r 1<5<r 1+r 2=3,故两圆相交,所以有两条公切线,应选C .
9.C 解:①②③错,④对.选C .
10.D 解析:利用空间两点间的距离公式. 二、填空题
11.2.解析:圆心到直线的距离d =5
8
+4+3=3,∴动点Q 到直线距离的最小值为d -r =3-1=2.
12.(x -1)2+(y -1)2=1.解析:画图后可以看出,圆心在(1,1),半径为 1. 故所求圆的方程为:(x -1)2+(y -1)2=1.
13.(x +2)2+(y -3)2=4.解析:因为圆心为(-2,3),且圆与y 轴相切,所以圆的半径为2.故所求圆的方程为(x +2)2+(y -3)2=4.
14.0或±25.解析:当两圆相外切时,由|O 1O 2|=r 1+r 2知22+4a =6,即a =±25. 当两圆相内切时,由|O 1O 2|=r 1-r 2(r 1>r 2)知22+4a =4,即a =0.∴a 的值为0或±25. 15.(x -3)2+(y +5)2=32.解析:圆的半径即为圆心到直线x -7y +2=0的距离;
16.x +y -4=0.解析:圆x 2+y 2-4x -5=0的圆心为C (2,0),P (3,1)为弦AB 的中点,所以直线AB 与直线CP 垂直,即k AB ·k CP =-1,解得k AB =-1,又直线AB 过P (3,1),则直线方程为x +y -4=0. 三、解答题 17.x 2+y 2=36.解析:设直线与圆交于A ,B 两点,则∠AOB =120°,设 所求圆方程为:x 2+y 2=r 2,则圆心到直线距离为5
15
2
r
,所 以r =6,所求圆方程为x 2+y 2=36.
18.x2+y2-ax-by=0.
解析:∵圆过原点,∴设圆方程为x2+y2+Dx+Ey=0.∵圆过(a,0)和(0,b),∴a2+Da=0,b2+bE=0.
又∵a≠0,b≠0,∴D=-a,E=-b.故所求圆方程为x2+y2-ax-by=0.19.x2+y2-2x-12=0.
解析:设所求圆的方程为x2+y2+Dx+Ey+F=0.
∵A,B两点在圆上,代入方程整理得:
D-3E-F=10 ①
4D+2E+F=-20 ②
设纵截距为b1,b2,横截距为a1,a2.在圆的方程中,
令x=0得y2+Ey+F=0,∴b1+b2=-E;
令y=0得x2+Dx+F=0,∴a1+a2=-D.
由已知有-D-E=2.③①②③联立方程组得D=-2,E=0,F=-12.
所以圆的方程为x2+y2-2x-12=0.
20.解:设所求圆的方程为(x-a)2+(y-b)2=r2.
根据题意:r=
26
10
=2,圆心的横坐标a=6+2=8,
所以圆的方程可化为:(x-8)2+(y-b)2=4.
又因为圆过(8,3)点,所以(8-8)2+(3-b)2=4,
解得b=5或b=1,
所求圆的方程为(x-8)2+(y-5)2=4或(x-8)2+(y-1)2=4.。