流体力学计算公式
- 格式:pdf
- 大小:362.27 KB
- 文档页数:4
工程流体力学公式总结第二章流体得主要物理性质❖流体得可压缩性计算、牛顿内摩擦定律得计算、粘度得三种表示方法。
1.密度ρ= m/V2.重度γ= G /V3.流体得密度与重度有以下得关系:γ= ρg或ρ= γ/ g4.密度得倒数称为比体积,以υ表示υ= 1/ ρ= V/m5.流体得相对密度:d = γ流/γ水= ρ流/ρ水6.热膨胀性7.压缩性、体积压缩率κ8.体积模量9.流体层接触面上得内摩擦力10.单位面积上得内摩擦力(切应力)(牛顿内摩擦定律)11.、动力粘度μ:12.运动粘度ν:ν=μ/ρ13.恩氏粘度°E:°E = t 1 /t 2第三章流体静力学❖重点:流体静压强特性、欧拉平衡微分方程式、等压面方程及其、流体静力学基本方程意义及其计算、压强关系换算、相对静止状态流体得压强计算、流体静压力得计算(压力体)。
1.常见得质量力:重力ΔW = Δmg、直线运动惯性力ΔFI =Δm·a离心惯性力ΔFR =Δm·rω2、2.质量力为F。
:F= m·am= m(fxi+f yj+fzk)am =F/m = f xi+f yj+fzk为单位质量力,在数值上就等于加速度实例:重力场中得流体只受到地球引力得作用,取z轴铅垂向上,xoy为水平面,则单位质量力在x、y、z轴上得分量为fx= 0,fy=0 , fz=-mg/m= -g式中负号表示重力加速度g与坐标轴z方向相反3流体静压强不就是矢量,而就是标量,仅就是坐标得连续函数。
即:p=p(x,y,z),由此得静压强得全微分为:4.欧拉平衡微分方程式单位质量流体得力平衡方程为:5.压强差公式(欧拉平衡微分方程式综合形式)6.质量力得势函数7.重力场中平衡流体得质量力势函数积分得:U =-gz + c*注:旋势判断:有旋无势流函数就是否满足拉普拉斯方程:8.等压面微分方程式、fx dx+fy d y + fz d z =09.流体静力学基本方程对于不可压缩流体,ρ=常数。
1、单位质量力:mF f B B = 2、流体的运动粘度:ρμ=v (μ[动力]粘度,ρ密度) 3、压缩系数:dpd dp dV V ρρκ∙=∙-=11(κ的单位是N m 2)体积模量为压缩系数的倒数 4、体积膨胀系数:dTd dT dV V v ρρα∙-=∙=11(v α的单位是C K ︒1,1) 5、牛顿内摩擦定律:为液体厚)为运动速度,以应力表示为y u dy du dy du AT (,μτμ== 6、静止液体某点压强:为该点到液面的距离)h gh p z z g p p ()(000ρρ+=-+=7、静水总压力:)h (为受压面积,为受压面形心淹没深度为静水总压力,A p ghA A p p c ρ==8、元流伯努利方程;'2221112w h gp z g u g p z ++=++ρρ('w h 为粘性流体元流单位重量流体由过流断面1-1运动至过流断面2-2的机械能损失,z 为某点的位置高度或位置水头,gp ρ为测压管高度或压强水头,gu ρ2是单位流体具有的动能,u gh g p p g u 22'=-=ρ,u gh C gp p g C u 22'=-=ρC 是修正系数,数值接近于1) 9、总流伯努利方程:w h gv g p z g v g p z +++=++222221221111αραρ(α为修正系数通常取1) 10、文丘里流量计测管道流量:)21)(41()()(42122211g d d d k h k g p z g p z k Q -=∆=+-+=πμρρμ 11、沿程水头损失一般表达式:gv d l h f 22λ=(l 为管长,d 为管径,v 为断面平均流速,g 为重力加速度,λ为沿程阻力系数)12、局部水头损失一般表达式:对应的断面平均流速)为为局部水头损失系数,ςςςv gv h j (22= 13、圆管流雷诺数:为圆管直径)为运动粘度,为流速,d v (u vud R e = 14、非圆管道流雷诺数:χA R R v uR R e ==水力半径为水力半径,(A 为过流断面面积,x 为过流断面上流体与固体接触的周界,矩形断面明渠流的水力半径:hb bh R 2+=,b 为明渠宽度,h 为明渠水深) 15、均匀流动方程式:gRJ lh gR gR l gA l h f f ρρςρςρχς====000或(R 为水力半径,J 为水力坡度,l h J f=)16、流束的均匀流动方程:''J gR ρτ=(τ为所取流束表面的剪应力,'R 为所取流束的水力半径,'J 为所取流束的水力坡度,与总水流坡度相等)17、过流断面上的流速分布的解析式:)(4220r r gJ u -=μρ 18、平均流速:20208r gJ r Q A Q v μρπ===,断面平均流速与最大流速的关系:max 21u v = 19、沿程水头损失:为沿程摩阻系数其中λλ,22Re 6422gv d l g v d l h f ==,沿程摩阻系数:Re64=λ 20、谢才公式:RJ C RJ g v ==λ8(v 为断面平均流速,R 为水力半径,J 为水力坡度,C 为谢才系数) 21、曼宁公式:)(15.061s m R nC =(n 为综合反映壁面对水流阻滞作用的系数,称为粗糙系数,R 为水力半径)22、局部水头损失:22122211)1(,)1(-=-=A A A A ξξ,21,A A 分别为扩大前断面1-1和正常状态断面2-2的面积,21,ξξ分别为突然扩大前、后两个断面的平均流速对应的两个局部水头损失系数。
《流体力学与流体机械》(上)主要公式及方程式1.流体的体积压缩系数计算式:β1dρp=-1dVVdp=ρdp 流体的体积弹性系数计算式:E=-VdpdpdV=ρdρ 流体的体积膨胀系数计算式:βdVT=1VdT=-1dρρdT2.等压条件下气体密度与温度的关系式:ρ0t=ρ1+βt,其中β=1273。
3T=±μAdudy 或τ=TduA=±μdy 恩氏粘度与运动粘度的转换式:ν=(0.0731E-0.0631E)⨯10-4f1∂p⎫x-ρ∂x=0⎪fr-1∂p=0⎫⎪ρ∂r⎪⎪4.欧拉平衡微分方程式: f⎪y-1∂pρ∂y=0⎪⎬和fθ-1∂pρ=0⎬ f1∂p⎪r∂θρ∂z=0⎪⎪⎪⎭f1∂p⎪z-z-ρ∂z=0⎪⎭欧拉平衡微分方程的全微分式:dp=ρ(fxdx+fydy+fzdz) dp=ρ(frdr+fθrdθ+fzdz) 5 fxdx+fydy+fzdz=0frdr+fθrdθ+fzdz=06pγ+z=C 或 p1γ+zp21=γ+z2 或p1+ρgz1=p2+ρgz2相对于大气时:pm+(ρ-ρa)gz=C 或pm1+(ρ-ρa)gz1=pm2+(ρ-ρa)gz27p=p0+γh,其中p0为自由液面上的压力。
8.水平等加速运动液体静压力分布式:p=p0-ρ(ax+gz);等压面方程式:ax+gz=C;自由液面方程式:ax+gz=0。
注意:p0为自由液面上的压力。
1 9.等角速度旋转液体静压力分布式:p=p0+γ(ω2r22g-z);等压面方程式:ω2r22-gz=C;自由液面方程式:ω2r22-gz=0。
注意:p0为自由液面上的压力。
10.静止液体作用在平面上的总压力计算式:P=(p0+γhc)A=pcA,其中p0为自由液面上的相对压力。
压力中心计算式:yD=yc+γsinαIxc (p0+γycsinα)AIxcycA或yD-yc=IxcycA。
当自由液面上的压力为大气压时:yD=yc+矩形截面的惯性矩Ixc计算式:Ixc=圆形截面的惯性矩Ixc计算式:Ixc11bh3;三角形截面的惯性矩Ixc计算式:Ixc=bh3 1236π4=d 6411.静止液体作用在曲面上的总压力的垂直分力计算式:Pz=p0Az+γVP,注意:式中p0应为自由液面上的相对压力。
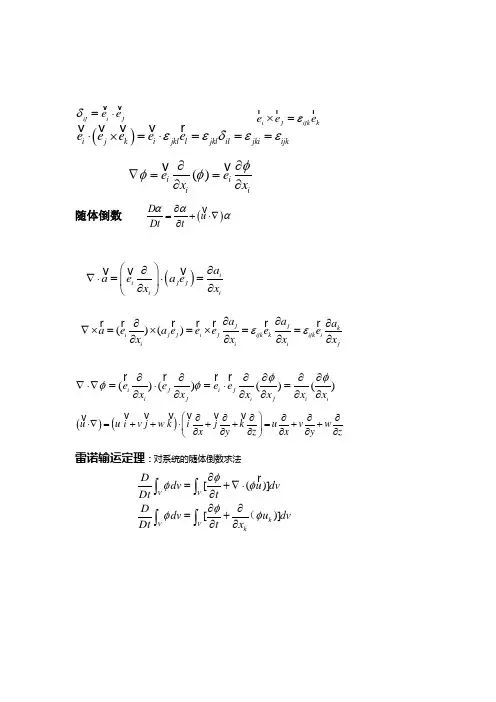
随体倒数()D u D ttααα∂=+⋅∇∂()()u u i v j w k i j k u v w x y z x y z ⎛⎫∂∂∂∂∂∂⋅∇=++⋅++=++ ⎪∂∂∂∂∂∂⎝⎭雷诺输运定理:对系统的随体倒数求法[()][)]VVk V VkD dv u dv D t t Ddv u dvD ttx φφφφφφ∂=+∇⋅∂∂∂=+∂∂⎰⎰⎰⎰(iji je e δ=⋅ ()i j k i jkl l jkl il jki ijke e e e e εεδεε⋅⨯=⋅===i j ijk ke e e ε⨯= ()()()()i j i j i j i j i ie e e e x x x x x x φφφφ∂∂∂∂∂∂∇⋅∇=⋅=⋅=∂∂∂∂∂∂ ()i ii ie e x x φφφ∂∂∇==∂∂ ()i i j j i ia a e a e x x ⎛⎫∂∂∇⋅=⋅=⎪∂∂⎝⎭()()j j ki j j i j ijk k ijk ii i i ja a a a e a e e e e e x x x x εε∂∂∂∂∇⨯=⨯=⨯==∂∂∂∂1、ij u x ⎡⎤∂⎢⎥∂⎢⎥⎣⎦:速度梯度张量 应变率张量:表示微团的变形运动112211221122ij u u v u w xy x z x v u v v w s x y yz y w u w v w x z y z z ⎛⎫⎛⎫∂∂∂∂∂⎛⎫++ ⎪⎪⎪∂∂∂∂∂⎝⎭⎝⎭ ⎪⎪⎛⎫⎛⎫∂∂∂∂∂⎪=++ ⎪ ⎪∂∂∂∂∂ ⎪⎝⎭⎝⎭ ⎪⎛⎫∂∂∂∂∂⎛⎫⎪++ ⎪⎪ ⎪∂∂∂∂∂⎝⎭⎝⎭⎝⎭旋转张量:表示旋转32312100 0ij a ωωωωωω-⎛⎫ ⎪= ⎪ ⎪-⎝⎭-质量守恒:()0k ku t x ρρ∂∂+=∂∂0k ku D D tx ρρ∂+=∂第二那诺雷诺输运定律:VVD D dv dv D tD tαραρ=⎰⎰动量守恒定律:() u u u ftρρρ∂+⋅∇=∇⋅+∂σij i i jD u f D tx σρρ∂=+∂ij i i ji jju u u f tx x σρρρ∂∂∂+=+∂∂∂ D u f D tρρ=∇⋅+σ能量守恒定律:()1 2i i i j ij i i ii q D e u u u u f D t x x ρσρ∂∂⎛⎫+=+- ⎪∂∂⎝⎭231a ω=-312a ω=-123a ω=-ij ijk ka εω=-内能守恒:j i kijkiiu q e e u tx x x ρρσ∂∂∂∂+=-∂∂∂∂N -S 方程:22j j j jiDu u p f Dtx x ρμρ∂∂=-++∂∂ (0μ=时为欧拉方程)内能方程:kk j ju D eTp kD t x x x ρφ⎛⎫∂∂∂=-++ ⎪ ⎪∂∂∂⎝⎭φ为耗损函数,表示流体变形时粘性应力对单位体积流体的作功功率内能方程其他形式:j jD sTT kD t x x ρφ⎛⎫∂∂=+ ⎪ ⎪∂∂⎝⎭j j D h D p T k D t D t x xρφ⎛⎫∂∂=++ ⎪ ⎪∂∂⎝⎭注意这里:11Tds de pd dh dp ρρ⎛⎫=+=-⎪⎝⎭基本方程组: ()20 k kj j k i j j j k i j i k k k j j k u t x D u u u u p f D t x x x x x x u u D e T p k D t x x x x ρρρλμρρλ∂∂+=∂∂⎡⎤⎛⎫∂⎛⎫∂∂∂∂∂=-++++⎢⎥ ⎪ ⎪ ⎪∂∂∂∂∂∂⎢⎥⎝⎭⎝⎭⎣⎦⎛⎫⎛⎫∂∂∂∂=-++ ⎪ ⎪ ⎪∂∂∂∂⎝⎭⎝⎭()(), ,j j i j i i u u u x x x p p T e e T μρρ⎛⎫∂∂∂++ ⎪ ⎪∂∂∂⎝⎭== ⎧⎪⎪⎪⎪⎪⎪⎪⎨⎪⎪⎪⎪⎪⎪⎪⎪⎩ 液液分界面条件:(1)(2)12110nn nn R R σσσ⎛⎫-++= ⎪⎝⎭(1)(2n n ττσσ= 自由面的运动学边界条件: (,,,)0F x y z t = 0D F D t=定律()()i i C t C t D u D D u dr dx D tD tD tΓ=⋅=⋅⎰⎰对任何流体都成立正压流体即 密度仅仅是压力的函数:pdpρρ∇=∇⎰()0A t D ndA D tΩ⋅=⎰开尔文定律:对于正压,体积力单值有势的理想流体流动,沿任意封闭的物质周线上的速度环量和通过任一物质面的涡通量在运动过程中守恒.不努力方程沿同一根流线或者涡线:22dpuG C ρ++=⎰而且为定常势流:()2dpG f t t φφφρ∂∇⋅∇+++=∂⎰同一个瞬时全场为常数2pu u e G C ρ⋅+++= 当流动为等熵,定常且外力有势时,总能量沿流线不变。
1、单位质量力:mF f B B = 2、流体的运动粘度:ρμ=v (μ[动力]粘度,ρ密度) 3、压缩系数:dpd dp dV V ρρκ•=•-=11(κ的单位是N m 2)体积模量为压缩系数的倒数 4、体积膨胀系数:dTd dT dV V v ρρα•-=•=11(v α的单位是C K ︒1,1) 5、牛顿内摩擦定律:为液体厚)为运动速度,以应力表示为y u dydu dy du A T (,μτμ== 6、静止液体某点压强:为该点到液面的距离)h gh p z z g p p ()(000ρρ+=-+=7、静水总压力:)h (为受压面积,为受压面形心淹没深度为静水总压力,A p ghA A p p c ρ==8、元流伯努利方程;'2221112w h gp z g u g p z ++=++ρρ('w h 为粘性流体元流单位重量流体由过流断面1-1运动至过流断面2-2的机械能损失,z 为某点的位置高度或位置水头,gp ρ为测压管高度或压强水头,gu ρ2是单位流体具有的动能,u gh g p p g u 22'=-=ρ,u gh C gp p g C u 22'=-=ρC 是修正系数,数值接近于1) 9、总流伯努利方程:w h gv g p z g v g p z +++=++222221221111αραρ(α为修正系数通常取1) 10、文丘里流量计测管道流量:)21)(41()()(42122211g d d d k h k g p z g p z k Q -=∆=+-+=πμρρμ 11、沿程水头损失一般表达式:gv d l h f 22λ=(l 为管长,d 为管径,v 为断面平均流速,g为重力加速度,λ为沿程阻力系数)12、局部水头损失一般表达式:对应的断面平均流速)为为局部水头损失系数,ςςςv gv h j (22= 13、圆管流雷诺数:为圆管直径)为运动粘度,为流速,d v (u vud R e = 14、非圆管道流雷诺数:χA R R v uR R e ==水力半径为水力半径,(A 为过流断面面积,x 为过流断面上流体与固体接触的周界,矩形断面明渠流的水力半径:h b bh R 2+=,b 为明渠宽度,h 为明渠水深)15、均匀流动方程式:gRJ lh gR gR l gA l h f f ρρςρςρχς====000或(R 为水力半径,J 为水力坡度,l h J f=)16、流束的均匀流动方程:''J gR ρτ=(τ为所取流束表面的剪应力,'R 为所取流束的水力半径,'J 为所取流束的水力坡度,与总水流坡度相等)17、过流断面上的流速分布的解析式:)(4220r r gJ u -=μρ 18、平均流速:20208r gJ r Q A Q v μρπ===,断面平均流速与最大流速的关系:max 21u v = 19、沿程水头损失:为沿程摩阻系数其中λλ,22Re 6422gv d l g v d l h f ==,沿程摩阻系数:Re64=λ 20、谢才公式:RJ C RJ g v ==λ8(v 为断面平均流速,R 为水力半径,J 为水力坡度,C 为谢才系数) 21、曼宁公式:)(15.061s m R nC =(n 为综合反映壁面对水流阻滞作用的系数,称为粗糙系数,R 为水力半径)22、局部水头损失:22122211)1(,)1(-=-=A A A A ξξ,21,A A 分别为扩大前断面1-1和正常状态断面2-2的面积,21,ξξ分别为突然扩大前、后两个断面的平均流速对应的两个局部水头损失系数。
流体力学计算公式流体力学是研究流体的运动规律和性质的一门学科,广泛应用于工程和科学领域中。
在流体力学的研究过程中,有许多重要的计算公式和方程被提出和应用。
下面是一些重要的流体力学计算公式。
1.压力力学方程:压力力学方程是描述流体力学中流体静压力分布和变化的方程。
对于稳定的欧拉流体,方程为:∇P=-ρ∇φ其中,P是压力,ρ是流体的密度,φ是流体的势函数。
2.欧拉方程:欧拉方程用于描述流体的运动,它是流体运动的基本方程之一:∂v/∂t+v·∇v=-1/ρ∇P+g其中,v是流体的速度,P是压力,ρ是流体的密度,g是重力加速度。
3.奇异体流动方程:奇异体流动是流体与孤立涡流动的一种类型,其方程为:D(D/u)/Dt=0其中,D/Dt是对时间的全导数,u是速度向量。
4.麦克斯韦方程:5.纳维-斯托克斯方程:纳维-斯托克斯方程是描述流体的动力学行为的方程,它是流体力学中最重要的方程之一:∂v/∂t+v·∇v=-1/ρ∇P+μ∇²v其中,v是速度矢量,P是压力,ρ是密度,μ是动力黏度。
6.贝努利方程:贝努利方程描述了在不可压缩流体中流体静力学的变化。
贝努利方程给出了伯努利定律,即沿着一条流线上的速度增加,压力将降低,反之亦然。
贝努利方程的公式为:P + 1/2ρv^2 + ρgh = const.其中,P是压力,ρ是密度,v是流体速度,g是重力加速度,h是流体高度。
7.流量方程:流量方程用于描述流体在管道或通道中的流动。
Q=A·v其中,Q是流量,A是截面积,v是流速。
8.弗朗脱方程:弗朗脱方程是描述管道中流体流动的方程,其中考虑了摩擦阻力的影响:hL=f(L/D)(v^2/2g)其中,hL是管道摩擦阻力头损失,f是阻力系数,L是管道长度,D 是管道直径,v是流速,g是重力加速度。
以上是一些重要的流体力学计算公式。
这些公式和方程在流体力学中具有广泛的应用,是工程和科学领域中进行流体流动分析和计算的基础。
质量流量计算公式;1、液体压强计算计算公式;AP = pgH液体压强;在液体容器低、内壁、内部中,由液体所产生的液体压强,简称液压2、喷嘴射流速度及流量深度△ Z 液体密度P 岀口直径D 流量系数CDensity p AZ出口速度计算公式;体积流量计算公式;3、限孔流场计算入口直径Di岀口直径Do压力差△ p流体密度P入口速度计算公式;出口速度计算公式;体积流量计算公式;质量力量计算公式;4、运动粘度运动粘度卩密度P运动粘度计算公式;运动粘度;运动粘度即流体的运动粘度与同温度下该流体密度P之比。
动力粘度;M动力粘度【Pa。
s】或【N。
S/m2】或【kg/(m。
s)】;也被称为动态粘度、绝对粘度或简单粘度,定义为应力与应变速率之比,其数值上等于面积为1m2相距1m的两平板,以1m/s的速度作为相对运动时, 因之存在的流体互相作用所产生的内摩擦力。
5、雷诺数特征速度v特征长度L运动粘度V动力粘度卩密度p雷诺数;雷诺数计算公式;一种可用来表征流体流动情况的无量纲数。
利用雷诺数可区分为流体的流动是层流或湍流,也可用来确定物体在流体中流动所受的阻力。
6、韦伯数流体密度P 特征速度v特征长度L秒面张力b韦伯数计算公式;韦伯数韦伯数是流体力学中的一个无量纲数。
当不同的流体之间有交界面时,尤其在多相流中交界面的曲率较大时,它用来分析流体运动。
7、马赫数流体速度v 马赫数计算公式;马赫数;流体力学中表征流体可压缩程度的一个重要的无量纲参数,定义为流场中某点的速度v同该点的当地声速c之比。
8、水力半径和水力直径流动截面积A圆周Pw水力半径计算公式水力直径计算公式水力半径;是水力学中的一个专有名称,指某输水断面的过流面积与输水断水面和接触的边长(圆周)之比,与断面形状有关,常用于计算渠道隧道的输水能力。
水力直径;是在关内流动中引入的,其目的是为了给非圆管流动取一个合适的特征长度来计算其雷诺数。
常用表达式是;2A/P,即二倍的横截面积(A)除以圆周长度(P)。
1、液体压强计算计算公式;液体压强;在液体容器低、内壁、内部中,由液体所产生的液体压强,简称液压。
2、喷嘴射流速度及流量深度△Z 液体密度ρ出口直径D 流量系数C出口速度计算公式;体积流量计算公式;质量流量计算公式;3、限孔流场计算入口直径Di 出口直径Do 压力差△p 流体密度ρ入口速度计算公式;出口速度计算公式;体积流量计算公式;质量力量计算公式;4、运动粘度运动粘度μ密度ρ运动粘度计算公式;运动粘度;运动粘度即流体的运动粘度与同温度下该流体密度ρ之比。
动力粘度;Μ动力粘度【Pa。
s】或【N。
S/m²】或【kg/(m。
s)】;也被称为动态粘度、绝对粘度或简单粘度,定义为应力与应变速率之比,其数值上等于面积为1m²相距1m的两平板,以1m/s的速度作为相对运动时,因之存在的流体互相作用所产生的内摩擦力。
5、雷诺数特征速度v 特征长度L 运动粘度V 动力粘度μ密度ρ雷诺数计算公式;雷诺数;一种可用来表征流体流动情况的无量纲数。
利用雷诺数可区分为流体的流动是层流或湍流,也可用来确定物体在流体中流动所受的阻力。
6、韦伯数流体密度ρ特征速度v 特征长度L 秒面张力σ韦伯数计算公式;韦伯数韦伯数是流体力学中的一个无量纲数。
当不同的流体之间有交界面时,尤其在多相流中交界面的曲率较大时,它用来分析流体运动。
7、马赫数流体速度v马赫数计算公式;马赫数;流体力学中表征流体可压缩程度的一个重要的无量纲参数,定义为流场中某点的速度v同该点的当地声速c之比。
8、水力半径和水力直径流动截面积A圆周Pw水力半径计算公式水力直径计算公式水力半径;是水力学中的一个专有名称,指某输水断面的过流面积与输水断水面和接触的边长(圆周)之比,与断面形状有关,常用于计算渠道隧道的输水能力。
水力直径;是在关内流动中引入的,其目的是为了给非圆管流动取一个合适的特征长度来计算其雷诺数。
常用表达式是;2A/P,即二倍的横截面积(A)除以圆周长度(p)。
流体力学流速计算公式一、伯努利方程推导流速公式(理想不可压缩流体定常流动)1. 伯努利方程。
- 对于理想不可压缩流体作定常流动时,在同一条流线上有p+(1)/(2)ρ v^2+ρ gh = C(p是流体压强,ρ是流体密度,v是流速,h是高度,C是常量)。
- 假设水平流动(h_1 = h_2),则方程变为p_1+(1)/(2)ρ v_1^2=p_2+(1)/(2)ρ v_2^2。
- 由此可推导出流速公式v_2=√(v_1^2)+(2(p_1 - p_2))/(ρ)。
2. 适用条件。
- 理想流体(无粘性),实际流体在粘性较小时可近似使用。
- 不可压缩流体,像水在大多数情况下可视为不可压缩流体,气体在低速流动时也可近似为不可压缩流体。
- 定常流动,即流场中各点的流速等物理量不随时间变化。
3. 示例。
- 已知水管中某点1处的压强p_1 = 2×10^5Pa,流速v_1 = 1m/s,另一点2处的压强p_2 = 1.5×10^5Pa,水的密度ρ = 1000kg/m^3。
- 根据v_2=√(v_1^2)+(2(p_1 - p_2))/(ρ),将数值代入可得:- v_2=√(1^2)+frac{2×(2×10^{5-1.5×10^5)}{1000}}- 先计算括号内的值:2×(2×10^5-1.5×10^5)=2×5×10^4=10^5。
- 则v_2=√(1 + 100)= √(101)≈10.05m/s。
二、连续性方程推导流速公式(不可压缩流体定常流动)1. 连续性方程。
- 对于不可压缩流体的定常流动,有S_1v_1 = S_2v_2(S_1、S_2分别是流管中两个截面的面积,v_1、v_2是相应截面处的流速)。
- 由此可推导出流速公式v_2=(S_1)/(S_2)v_1。
2. 适用条件。
- 不可压缩流体,如液体或低速流动的气体。
流体力学1. 密度ρ: 单位体积流体所具有的质量。
SI 单位:kg/m3a) 液体密度:主要影响因素为温度和压力。
i.压力的影响较小,通常可忽略。
ii.温度升高,密度减小。
b) 气体密度:在工程中,低压、高温下的真实气体可近视为理想气体。
i. 气体密度随温度、压力的变化有明显的改变。
ii.压力升高,密度增大;温度升高,密度减小。
2. 压强p :流体垂直作用在单位面积上的力。
SI 单位:Pa 或N/m 2a) 1atm =101.3kPa =760mmHg =10.33mH 2O =1.033at = 1.033kgf/cm 21bar =105Pab) 表压=绝压-大气压 真空度=大气压-绝压★当压力用表压或真空度表示时,需注明。
例如:20kPa (表压)3. 流体静力学基本方程式:a) 等压面概念:在静止、连续的同一种流体内部,处在同一水平面上的各点的压力均相等。
(即静压强仅与垂直高度有关,而与水平位置无关。
)Vm=ρRTpM V m ==ρAFp =ghP P ρ+=0b) 传递定律:同一种流体内部,如果一点的压力发生变化,则其他各点的压力将发生同样大小和方向的变化。
c)可以改写成 即液柱高度可以用来表示静压强大小,但须注明是何种液体。
在静止、连续的同一种流体内部,任一截面的压力仅与其所处的深度有关,而与底面积无关 。
d) 方程是以不可压缩流体推导出来的,对于可压缩性的气体,只适用于压强变化不大的情况。
(±20%)4. 流量:单位时间内流过管道任一截面的流体量。
a) 体积流量:流量用体积来计量,一般用Q 表示;SI 单位:m 3/s b) 质量流量:流量用质量来计量,用W S 表示; SI 单位:kg/sc)5. 流速:单位时间内流体在流动方向上流过的距离,称为平均流速。
以u 表示,SI 单位:m/s 。
质量流速:单位时间内流体流过管道单位面积的质量流量,SI 单位:kg/(m 2.S)。
经常用到的给排水流体力学计算公式:
1、h f=(λL/d)*(v2/2g)
h f ——流段的沿程水头损失(m液柱或气柱)
L——流段的长度(m)
d——管段的直径(m)
v——流体的流动速度(m/s)
λ——沿程阻力系数(或摩擦阻力系数),在层流运动中,该值可根据λ=64/Re求出。
给水工程经常采用钢管和铸铁管,由于管内壁容易锈蚀和积垢,所以管壁的粗糙度按旧钢管和铸铁管考虑,并为一个常数。
管内水流温度一般为10℃左右,运动粘度也可以为一个常数。
这样是的沿程阻力系数λ的经验计算公式比较简单,在紊流区内:
v<1.2 m/s时,λ=(0.0179/d0.3)*(1+0.867/ v)0.3
v≥1.2 m/s时,λ=0.021/ d0.3
上式中,d为管道的内径(m),不是公称直径;v为流速(m/s)。
2、v=(1/n)R2/3i1/2
n——粗糙系数
R——过流断面的水利半径(m)
i——渠底或管底的坡度
常用材料的粗糙系数n值。
流体力学常用公式流体力学(Fluid Mechanics)是研究流体(液体和气体)运动规律的科学。
它在物理学和工程学中都有广泛的应用。
以下是流体力学常用的一些公式:1.流体速度和流量:在流体运动中,流速(Velocity)是指单位时间内流体通过一些截面的体积。
流量(Flow rate)是指单位时间内通过一些截面的质量或体积。
流速和流量的关系由以下公式给出:流量=流速×截面积Q=Av其中,Q表示流量,A表示截面积,v表示流速。
2.可压缩流体速度和流量:对于可压缩流体,流速和流量的关系由以下公式给出:流量=流速×截面积×密度Q=Avρ其中,Q表示流量,A表示截面积,v表示流速,ρ表示流体密度。
3.连续性方程:连续性方程描述了流体的质量守恒原理,即在稳态流动和不可压缩条件下,流体质量在流动过程中是不会凭空消失或增加的。
连续性方程可以表示为:流量的入口=流量的出口A1v1=A2v2其中,A1和A2分别表示入口和出口的截面积,v1和v2分别表示入口和出口的流速。
4.压力方程:压力方程是描述压强(Pressure)随深度变化的方程,可通过以下公式表达:ΔP = ρgh其中,ΔP表示在高度h上的压力变化,ρ表示流体密度,g表示重力加速度。
5.伯努利方程:伯努利方程描述了在理想流动条件下,流体的能量守恒原理,即在没有外力作用的情况下,流体速度、压力和高度之间存在关系。
伯努利方程可以表示为:P + 1/2ρv² + ρgh = 常数其中,P表示压力,v表示速度,ρ表示密度,g表示重力加速度,h 表示高度。
6.流动的雷诺数:雷诺数(Reynolds Number)是用来判断流体的流动状态的参数,可通过以下公式计算:Re=(ρvL)/μ其中,Re表示雷诺数,ρ表示密度,v表示速度,L表示特征长度,μ表示动力粘度。
7.流体的扩散:流体的扩散可以通过热量传递或质量传递来实现。
扩散速率可以使用以下公式计算:质量传递速率=D×A×(C2-C1)/L其中,D表示扩散系数,A表示扩散面积,C2和C1分别表示扩散物质在两个位置上的浓度,L表示扩散路径的长度。
流体主要计算公式流体是液体和气体的统称,具有流动性和变形性。
流体力学是研究流体静力学和动力学的学科,其中主要涉及到流体的力学性质、运动规律和力学方程等内容。
在流体力学的研究中,有一些重要的计算公式被广泛应用。
下面将介绍一些常见的流体力学计算公式。
1.流体静力学公式:(1)压力计算公式:P=F/A-P表示压力-F表示作用力-A表示受力面积(2)液体静力学公式:P=hρg-P表示液体压力-h表示液体高度-ρ表示液体密度-g表示重力加速度2.流体动力学公式:(1)流体流速公式:v=Q/A-v表示流速-Q表示流体流量-A表示流体截面积(2)流体流量公式:Q=Av-Q表示流体流量-A表示流体截面积-v表示流速(3)连续方程:A1v1=A2v2-A1和A2表示流体截面积-v1和v2表示流速(4) 流体动能公式:E = (1/2)mv^2-E表示流体动能-m表示流体质量-v表示流速(5)流体的浮力公式:Fb=ρVg-Fb表示浮力-ρ表示液体密度-V表示浸泡液体的体积-g表示重力加速度3.流体阻力公式:(1)层流阻力公式:F=μAv/L-F表示阻力-μ表示粘度系数-A表示流体截面积-v表示流速-L表示流动长度(2)湍流阻力公式:F=0.5ρACdV^2-F表示阻力-ρ表示流体密度-A表示物体的受力面积-Cd表示阻力系数-V表示物体相对于流体的速度4.比力计算公式:(1)应力计算公式:τ=F/A-τ表示应力-F表示力-A表示受力面积(2)压力梯度计算公式:ΔP/Δx=ρg-ΔP/Δx表示压力梯度-ρ表示流体密度-g表示重力加速度(3) 万斯压力计算公式:P = P0 + ρgh-P表示压力-P0表示参考压力-ρ表示流体密度-g表示重力加速度-h表示液体的高度以上是一些流体力学中常见的计算公式,涉及到压力、流速、阻力、浮力以及比力等方面的运算。
这些公式在解决流体力学问题时非常有用,可以帮助我们理解和分析流体的运动和力学性质。
1、液体压强计算计算公式;液体压强;在液体容器低、内壁、内部中,由液体所产生的液体压强,简称液压。
2、喷嘴射流速度及流量深度△Z 液体密度ρ出口直径D 流量系数C出口速度计算公式;体积流量计算公式;质量流量计算公式;3、限孔流场计算入口直径Di 出口直径Do 压力差△p 流体密度ρ入口速度计算公式;出口速度计算公式;体积流量计算公式;质量力量计算公式;4、运动粘度运动粘度μ密度ρ运动粘度计算公式;运动粘度;运动粘度即流体的运动粘度与同温度下该流体密度ρ之比。
动力粘度;Μ动力粘度【Pa。
s】或【N。
S/m²】或【kg/(m。
s)】;也被称为动态粘度、绝对粘度或简单粘度,定义为应力与应变速率之比,其数值上等于面积为1m²相距1m的两平板,以1m/s的速度作为相对运动时,因之存在的流体互相作用所产生的内摩擦力。
5、雷诺数特征速度v 特征长度L 运动粘度V 动力粘度μ密度ρ雷诺数计算公式;雷诺数;一种可用来表征流体流动情况的无量纲数。
利用雷诺数可区分为流体的流动是层流或湍流,也可用来确定物体在流体中流动所受的阻力。
6、韦伯数流体密度ρ特征速度v 特征长度L秒面张力σ韦伯数计算公式;韦伯数韦伯数是流体力学中的一个无量纲数。
当不同的流体之间有交界面时,尤其在多相流中交界面的曲率较大时,它用来分析流体运动。
7、马赫数流体速度v马赫数计算公式;马赫数;流体力学中表征流体可压缩程度的一个重要的无量纲参数,定义为流场中某点的速度v同该点的当地声速c 之比。
8、水力半径和水力直径流动截面积A圆周Pw水力半径计算公式水力直径计算公式水力半径;是水力学中的一个专有名称,指某输水断面的过流面积与输水断水面和接触的边长(圆周)之比,与断面形状有关,常用于计算渠道隧道的输水能力。
水力直径;是在关内流动中引入的,其目的是为了给非圆管流动取一个合适的特征长度来计算其雷诺数。
常用表达式是;2A/P,即二倍的横截面积(A)除以圆周长度(p)。
流体力学是研究流体运动和力学的学科,涉及流体的运动规律、压力、密度等物理性质。
在流体力学的研究中,三大方程公式是非常重要的理论基础,它们分别是连续方程、动量方程和能量方程。
本文将对这三大方程公式及其符号含义进行详细介绍。
一、连续方程连续方程是描述流体连续性的重要方程,它表达了流体在运动过程中质点的连续性。
连续方程的数学表达式为:\[ \frac{\partial \rho}{\partial t} + \nabla \cdot (\rho \mathbf{v}) = 0 \]其中,符号和含义说明如下:1.1 ∂ρ/∂t:表示密度随时间的变化率,ρ为流体密度。
1.2 ∇·(ρv):表示流体质量流动率的散度,∇为Nabla算子,ρv为流体的质量流速矢量。
这一方程表明了在运动的流体中,质量是守恒的,即单位体积内的质量永远不会减少,这也是连续方程的基本原理。
二、动量方程动量方程描述了流体运动过程中动量的变化和传递,是流体力学中的核心方程之一。
其数学表达式为:\[ \frac{\partial (\rho \mathbf{v})}{\partial t} + \nabla \cdot (\rho \mathbf{v} \mathbf{v}) = -\nabla p + \nabla \cdot \mathbf{\tau} + \mathbf{f} \]其中,符号和含义说明如下:2.1 ∂(ρv)/∂t:表示动量随时间的变化率。
2.2 ∇·(ρv⃗v):表示动量流动率的散度。
2.3 -∇p⃗:表示流体受到的压力梯度力。
2.4 ∇·τ⃗:表示应力张量的散度,τ为流体的粘性应力张量。
2.5 f⃗:表示单位体积内流体受到的外力。
动量方程描述了流体内部和外部力之间的平衡关系,它是研究流体运动规律和动力学行为的重要方程。
三、能量方程能量方程描述了流体在运动过程中的能量变化规律,包括内能、压力能和动能等能量形式。
《流体力学与流体机械》(上)主要公式及方程式1.流体的体积压缩系数计算式:pp V V d d 1d d 1p ρρβ=-= 流体的体积弹性系数计算式:ρρd d d d pV p VE =-= 流体的体积膨胀系数计算式:TT V V d d 1d d 1T ρρβ-==2.等压条件下气体密度与温度的关系式:t βρρ+=10t , 其中2731=β。
3.牛顿内摩擦定律公式:y u AT d d μ±= 或 yuA T d d μτ±== 恩氏粘度与运动粘度的转换式:410)0631.00731.0(-⨯-=EE ν 4.欧拉平衡微分方程式: ⎪⎪⎪⎭⎪⎪⎪⎬⎫=∂∂-=∂∂-=∂∂-010101z p f y p f x pf z y x ρρρ 和 ⎪⎪⎪⎭⎪⎪⎪⎬⎫=∂∂-=∂∂-=∂∂-010101z pf r p f r p f z r ρθρρθ 欧拉平衡微分方程的全微分式: )d d d (d z f y f x f p z y x ++=ρ )d d d (d z f r f r f p z r ++=θρθ 5.等压面微分方程式: 0d d d =++z f y f x f z y x0d d d =++z f r f r f z r θθ6.流体静力学基本方程式:C z p=+γ或2211z p z p +=+γγ或2211z g p z g p ρρ+=+相对于大气时:Cz g p a m =-+)(ρρ 或2211)()(z g p z g p a m a m ρρρρ-+=-+7.水静力学基本方程式:h p p γ+=0,其中0p 为自由液面上的压力。
8.水平等加速运动液体静压力分布式:)(0gz ax p p +-=ρ;等压面方程式:C z g ax =+;自由液面方程式:0=+z g ax 。
注意:p 0为自由液面上的压力。
9.等角速度旋转液体静压力分布式:)2(220z gr p p -+=ωγ;等压面方程式:C z g r =-222ω;自由液面方程式:0222=-z g r ω。
第一章 绪论单位质量力:mF f B m= 密度值:3mkg 1000=水ρ,3mkg13600=水银ρ,3mkg29.1=空气ρ牛顿内摩擦定律:剪切力:dy du μτ=, 内摩擦力:dy du A T μ= 动力粘度:ρυμ= 完全气体状态方程:RT P =ρ压缩系数:dpd 1dp dV 1ρρκ=-=V (Nm2) 膨胀系数:TTV V V d d 1d d 1ρρα-==(1/C ︒或1/K)第二章 流体静力学+流体平衡微分方程:01;01;01=∂∂-=∂∂-=∂∂-zp z y p Y x p X ρρρ 液体平衡全微分方程:)(zdz ydy xdx dp ++=ρ液体静力学基本方程:C =++=gp z gh p p 0ρρ或 绝对压强、相对压强与真空度:a abs P P P +=;v a abs P P P P -=-= 压强单位换算:水银柱水柱mm 73610/9800012===m m N at 2/1013251m N atm =注:hgPP →→ρ ; P N at →→2m /98000乘以 2/98000m N P a =平面上的静水总压力:(1)图算法 Sb P = 作用点e h y D +=αsin 1)()2(32121h h h h L e ++=若01=h ,则压强为三角形分布,32L e y D==注:①图算法适合于矩形平面;②计算静水压力首先绘制压强分布图,且用相对压强绘制。
(2)解析法A gh A p P c c ρ== 作用点Ay I y yC xc C D+= 矩形123bL Ixc= 圆形644d I xc π=曲面上的静水总压力: x c x c x A gh A p P ρ==;gV P z ρ= 总压力z x P P P+= 与水平面的夹角xzP P arctan=θ潜体和浮体的总压力:0=x P 排浮gV F P z ρ==第三章 流体动力学基础质点加速度的表达式⎪⎪⎪⎩⎪⎪⎪⎨⎧∂∂+∂∂+∂∂+∂∂=∂∂+∂∂+∂∂+∂∂=∂∂+∂∂+∂∂+∂∂=z u u y u u x u u t u a z u u y u u x u u t u a z u u y u u x u u t u a zz z y z x z z y z y y y x y y x z x y x x x x AQV Q Q Q Q Q G A====⎰断面平均流速重量流量质量流量体积流量g u d Am ρρ流体的运动微分方程:tz t y t x d du z p z d du y p Y d du x p X =∂∂-=∂∂-=∂∂-ρρρ1;1;1不可压缩流体的连续性微分方程 :0zu yu xu z y x=∂∂+∂∂+∂∂恒定元流的连续性方程:dQ A A ==2211d u d u 恒定总流的连续性方程:Q A A ==2211νν无粘性流体元流伯努利方程:g 2ug p z g 2u g p z 22222111++=++ρρ 粘性流体元流伯努利方程:w 22222111'h g2u g p z g 2u g p z +++=++ρρ恒定总流的伯努利方程:w 2222221111h g2g p z g 2g p z +++=++ναρναρ 气流伯努利方程:w 22212211P 2)()(2++=--++ρνρρρνP z z g Pa 有能量输入或输出的伯努力方程w 2222221111h g2g p z g 2g p z +++=±++ναρναρm H 总流的动量方程:()∑-=1122Q F νβνβρ 投影式⎪⎩⎪⎨⎧-=-=-=∑∑∑)()()(112211221122z z zy y y x x x v v Q F v V Q F v v Q F ββρββρββρ动能修正系数α:11.105.1Av dAu 33=-==⎰ααα,一般,较均匀流动A动量修正系数β:105.102.1Av dAu 22=-==⎰βββ,一般,较均匀流动A水力坡度dldh dl dH J w =-= 测压管水头线坡度dl dh dl dH J w p=-= 第四章 流动阻力和水头损失圆管沿程水头损失:gv d l h f22λ= ⎪⎭⎫ ⎝⎛==2g 8Re64C λλ;紊流层流 局部水头损失:gvh j22ξ=⎪⎪⎪⎪⎪⎪⎪⎩⎪⎪⎪⎪⎪⎪⎪⎨⎧==-=⎪⎪⎪⎪⎩⎪⎪⎪⎪⎨⎧-=-==-==0.15.015.0v v g 2v v h 1g 2v h 1g 2v h 12221j 2122222j 2211211j出入;管道出口注:管道入口)(用细管流速(突缩管—其余管用断面平均流速—弯管)()(,)(,突然扩大管ζζζζζζζA A A A A A 雷诺数:⎪⎪⎩⎪⎪⎨⎧======575R e e 2300d e d e c cR R c c υνυνυνυνR R R R R ,非圆管,圆管 流态判别⎪⎩⎪⎨⎧=><,流动为临界流为紊流,为层流,cc c Re Re 流动Re e 流动Re e R R 谢才公式:RJ C V = 谢才系数:λg C 8= ; 曼宁公式:611R n C =均匀流动方程式:lh gR gRJ f 0ρρτ== 圆管过流断面上剪应力分布:0ττr r =圆管层流:(1)流速分布式)r (r 4g u 220-=μρJ (2)最大流速20max r 4g u μρJ =(3)断面平均流速:2u v max = (4)Re 64=λ紊流剪应力包括:粘性剪应力和附加剪应力,即21τττ+=,dyu d x1μτ=,y x 2u u ''-=ρτ 紊流流速分布一般表达式:C +=Iny k1u*ν 非圆管当量直径:)4Re ;2(42υυλR v vd gv d l h R d e e fe ==== 绕流阻力: A U C D D 220ρ=第五章 孔口、管嘴出流和有压管流薄壁小孔口恒定出流: 02gH v ϕ=2gH A Q μ= 97.0=ϕ 62.0==ϕεμ AA c =ε-0H 作用水头,自由出流gv H H 22000α+=,若00≈v ,H H =0;淹没出流g v g v H H H 22222211210αα-+-=,若021≈≈v v ,H H H H =-=210孔口变水头出流:)(2221H H gA Ft -=μ,若02=H ,放空时间max1222Q V gA H Ft ==μ 圆柱形外管嘴恒定出流:02gH v n ϕ=;2gH A Q n μ=; 82.0==n n μϕ;μμ32.1=n ;075.0H gP v =ρ简单管道:5228,d g a a alQ h H f πλ=-==比阻,(62/m s )串联管道:ii ni i i ni i i i ni fi l a S Q S Q l a h H i ====∑∑∑===阻抗,12121并联管道:233322222111321,Q l a Q l a Q l a h h h f f f ==== 注:串联、并联管道有时需结合节点流量方程求解。
C3.6.2 达西摩擦因子
为了确定λ与Re 的关系,人们作了大量实验和理论研究,下面介绍有代表性的结果。
1.尼古拉兹实验
尼古拉兹(J.Nikuradse,1932)分析了达西的圆管沿程阻力实验数据后,发现壁面粗糙度对λ的影响很大,决定用人工粗糙度方法实现对粗糙度的控制。
他用当地黄砂砂粒经筛选后分类均匀粘贴在管内壁上,相对粗糙度ε/d 从1/30—1/1014分6种,测得λ与Re 的关系,得到尼古拉兹图(图C3.6.1)。
2. 常用计算公式
从尼古拉兹图中看到在不同Re 数和ε/d 值的区域,λ有不同的变化规律。
图C3.6.1
(1)层流区
由泊肃叶定律推导的沿程水头损失(C3.4.10)式可得
代入达西公式(C3.6.3)式,可得层流区λ的解析式
上式表明层流区λ与管壁粗糙度无关,写成常用对数形式为
上式在双对数坐标系中是一条直线,与尼古拉兹图吻合。
(2)过渡区
该区是层流向湍流的转捩区(2000<Re <4000),实验数据分散,无明确规律。
(3)湍流光滑管区
当湍流的粘性底层厚度大于壁面粗糙度(δ>ε)时(图C3.6.2)摩擦因子同壁面粗糙度无关,称为湍流光滑管区。
布拉修斯(P.Blasius,1911)运用1/ 7次指数律速度分布式,结合实验数据导出经验公式:
上式称为布拉修斯公式,适用范围为4000<Re <105,其优点是显式。
普朗特(L.Prandtl,1933)运用对数律速度分布式(C3.5.18),结合尼古拉兹的实验数据导
(C3.6.4)
(C3.6.5)
(C3.6.6)
出
上式称为普朗特-史里希廷公式,适用范围为3000<Re < 4×10 6,比布拉修斯公式的适用范围更宽。
(4)湍流完全粗糙管区
卡门(Von.Karman,1921)根据湍流脉动相似性假设,结合尼古拉兹的实验数据导出
上式称为冯卡门公式, 适用范围为Re > 4160 (d / 2ε) 0.85
(5)湍流过渡粗糙管区
科尔布鲁克(C.F.Colebrook,1939)将普朗特-史里希廷公式(C3.6.10)式改写为
将冯卡门公式(C3.6.11)式改写为
然后将上两式合并, 得到
△ 上式称为科尔布鲁克公式,适用范围为4000<Re <10 8 。
当ε= 0 时科尔布鲁克公式转化为普朗
(C3.6.10)
(C3.6.11)
(C3.6.12)
(C3.6.13)
(C3.6.14)
特-史里希廷公式,当Re足够大时 时则转化为冯卡门公式。
大量实验结果表明科尔布鲁克公式与实际商用圆管的阻力实验结果基本吻合,不仅包含了光滑管区和完全粗糙管区,而且覆盖了整个过渡粗糙区。
而尼古拉兹图在过渡粗糙区与实际商用管的实验结果偏差较大。
[思考题C3.6.2]。