2016年统计年鉴 15-13 分地区网上零售额(2015年)
- 格式:xls
- 大小:37.00 KB
- 文档页数:64
2015年网络零售市场出现拐点_报业拐点已出现今年上半年,我国GDP增速破8,只有7.8%,作为国民经济发展晴雨表的广告业也深受冲击,上半年传统媒体广告刊例价同比增速大幅度下滑,报业更是出现同比负增长。
2012年上半年报业广告同比负增长首先,根据CTR最新发布的《2012年上半年中国广告市场回顾》,中国市场传统媒体广告按刊例价计算,上半年同比增长仅为3.9%,创5年来的新低。
其中,电视同比增长5.3%,杂志同比增长10.0%,电台同比增长11.5%,户外同比增长2.4%,报纸同比增长-6.3%,为唯一负增长的媒体行业。
尤其值得指出的是,如果剔除刊例价的影响,上半年报业下降的速度会更大,基本会达到-15%,具体见表1。
此外,根据中国广告协会报刊分会和相关市场数据研究机构提供的数据,传统媒体广告5月增幅8.4%,6月增幅6.8%,表明传统媒体广告增速不仅同比下降,而且环比也下降。
表1:2012年上半年中国广告花费增长速度资料来源:CTR媒介智讯2012.1-2012.6 其次,根据慧聪研究报告,2012年1~5月份全国报纸广告按刊例价计算为3978023.76亿元,下降5.10%。
排名前10位的报纸除南方都市报和北京青年报出现增长外,其他都呈下降状态。
具体见表2、表3。
表2:2012年1~5月份平面媒体刊例广告市场总量资料来源:慧聪研究表3:2012年1~5月中国主要报纸月度累计广告收入资料来源:慧聪研究上半年报业广告同比负增长的原因首先,影响广告业的诸多因素增速趋缓。
一是我国GDP同比增速下滑,直接影响了广告的投放。
国家统计局发布的数据显示,今年上半年国内生产总值22.70万亿,按可比价格计算,同比增长7.8%;而一季度增长8.1%,二季度增长7.6%,出现环比趋缓现象。
二是作为党报广告投放大户的政府部门的财政收入增幅在放缓,也直接影响了广告的投放。
2012年1~7月,全国财政收入74467亿元,比去年同期增加7727亿元,增长11.6%,但是增幅同比回落18.9个百分点。
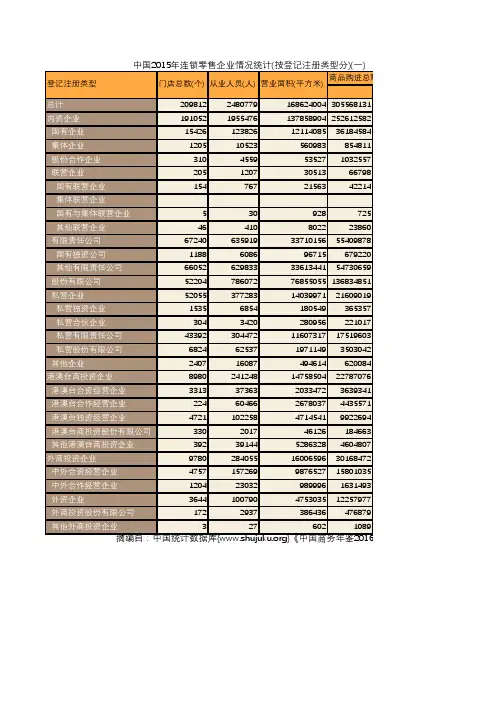
总计2098122480779168624004305568131内资企业1910521955476137858904252612582 国有企业154261238261211408536184584 集体企业120510523560983854811 股份合作企业3104559535271032557 联营企业20512073051366798 国有联营企业1547672156342214集体联营企业 国有与集体联营企业530928725 其他联营企业46410802223860 有限责任公司672406359193371015655409878 国有独资公司1188608696715679220 其他有限责任公司660526298333361344154730659 股份有限公司5220478607276855055136834851私营企业520553772831403997121609019 私营独资企业15356854180549365357 私营合伙企业3043420280956221017 私营有限责任公司433923044721160731717519603 私营股份有限公司68246253719711493503042 其他企业240716087494614620084港澳台商投资企业89802412481475850422787076 港澳台合资经营企业33133736320334723639341 港澳台合作经营企业2246046626780374435571 港澳台独资经营企业472110225847145419922694 港澳台商投资股份有限公司330201746126184663 其他港澳台商投资企业3923914452863284604807外商投资企业97802840551600659630168472 中外合资经营企业4757157269987652715801035 中外合作经营企业1204230329899961631493 外资企业3644100790475303512257977 外商投资股份有限公司1722937386436476879 其他外商投资企业3276021089摘编自:中国统计数据库{}《中国商务年鉴2016》中国2015年连锁零售企业情况统计(按登记注册类型分)(一)登记注册类型门店总数(个)从业人员(人)营业面积(平方米)商品购进总额()总额(万元)统一配送商品购进额2337986052003822373367846618259399406466798422147252386043313363380576429327871023768651917265328362122051815468015320049959743516560440183786444304436751458144527339614816855928962061310705865929199235530 016》。
楚香凝2019北京行测资料分析真题解析一.根据以下资料,回答下列116~120题。
116.“十二五”(2011—2015年)期间,我国总共举办了约多少万场展览会?【北京2019】A、3.2 B、3.9 C、4.5 D、5.0楚香凝解析:考查加和计算;由图表第二行,0.68+0.72+0.73+0.8+0.93≈3.9,选B117.2009~2015年间,有几个年份平均每个出境参展项目的参展净面积超过400平方米?【北京2019】A.3B.4C.5D.6楚香凝解析:考查平均值的比较;由图表第五行和第六行,满足(400×出境参展项目数<出境参展净面积)的有2011年、2012年、2013年、2014年、2015年,选C118.2010~2015年间,我国展览会展出面积同比增速最快的一年,展览会展出面积较上年约增加了()。
【北京2019】A.28%B.37%C.43%D.49%楚香凝解析:考查增长率的比较;由图表第三行,观察可得2010年增长率最大、增长率=(7440-4990)/4990≈2440/5000=48.8%,选D119.以下哪项的折线图可以准确表现2011~2014年间,我国会展业总产值同比增量的变化情况(单位:亿元)?【北京2019】楚香凝解析:考查增长量的计算比较;解法一:由图表第四行,可得2011年会展业总产值的同比增量为3016-2482=534亿元,只有A 项满足,选A解法二:由图表第四行,取前三位,可得2011~2014年会展业总产值的同比增量分别为302-248=54、350-302=48、387-350=37、418-387=31,同比增量依次递减,选A120.能够从上述资料中推出的是()。
【北京2019】A.2010年我国出境参展企业数较上年增加了两成多B.2009~2015年间,我国出境参展企业和出境参展项目数量最多的年份相同C.2011年平均每场展览会展出面积比上年扩大了10%以上D.2013~2015年,我国平均每天举办的展览会数量超过20场楚香凝解析:从D项开始依次进行检验;D项,由图表第二行,可得2013年我国平均每天举办的展览会数量=7319/365>20,同理可得2014和2015年平均每天举办的展览会数量也大于20,所以2013~2015年我国平均每天举办的展览会数量超过20场,说法正确,选DC项,考查平均增长率;由图表第二行和第三行,2011年展览会展出面积的增长率R=1(812-744)/744≈9%、2011年展览会数量的增长率R=(683-620)/620=10%,平均增长率2=(R-R)/(1+R)=(9%-10%)/(1+10%)≈(-0.9%),排除;221B项,由图表最后一行,2009~2015年间我国出境参展企业最多的年份是2014年;由图表第五行,出境参展项目数量最多的年份是2012年;排除;A项,由图表最后一行,2010年我国出境参展企业数的同比增长率=(360-302)/302=58/302<20%,排除;二. 根据以下资料,回答下列121~125题。
2019年国家公务员考试行测真题及答案注意事项1.这项测验共有五个部分,总时限为120分钟。
2.请用黑色字迹的钢笔或签字笔将姓名与准考证号在指定位置上填写清楚。
3.当监考人员宣布考试正式开始时,你才可以答题。
4.当监考老师宣布考试结束时,你应立即停止作答。
待监考人员允许离开后,方可离开考场。
5.在这项测验中,可能有一些试题较难,因此你不要在某一道题上思考太长时间,遇到不会答的题目,可先跳过去。
否则,你可能没有时间完成后面的题目。
第一部分常识判断(共20题参考时限15分钟)根据题目要求,在四个选项中选出一个最恰当的答案。
1.我国宪法对非公有制经济的规定进行了几次修改,按时间先后排序正确的是()①允许发展私营经济,采取“引导、监督、管理”的方针②在法律规定范围内的个体经济、私营经济等非公有制经济,是社会主义市场经济的重要组成部分③鼓励、支持和引导非公有制经济的发展,并对非公有制经济依法实行监督和管理④非公有制经济仅限于个体经济,不包括私营经济,且个体经济处于补充地位A.①②④③B.①③②④C.④①③②D.④①②③2.下列关于“三农”问题的说法错误的是()A.民政部门是农民专业合作社登记机关B.征地补偿费的使用、分配方案,经村民会议讨论决定方可办理C.深入推进农业供给侧结构性改革是当前和今后一个时期农业农村工作的主线D.村民委员会作出的决定侵害村民合法权益的,受侵害的村民可以申请人民法院予以撤销3.关于2015年中央军委改革工作会议召开以来进行的改革,下列说法错误的是()A.全面停止军队有偿服务活动B.组建中央军委联勤保障部队C.军委机关由多部门制改为总部制D.成立陆军领导机构和战略支援部队4.下列金融机构与其可以从事的金融业务对应正确的是()A.商业银行——股票承销业务B.人寿保险公司——医疗责任保险业务C.小额贷款公司——城乡居民储蓄存款业务D.中国出口信用保险公司——海外投资保险业务5.下列研究课题与其查阅的主要参考文献对应错误的是()A.商周时代的艺术成就——《中国青铜时代》B.南宋都城的城市建设——《从平城到洛阳》C.晚清的政治改良运动——《从甲午到戊戌》D.明末中西文化交流史——《利玛窦与中国》6.某高校学生会干事小王负责策划一个民族文化展示周活动,下列哪个设计方案不合适()A.请维吾尔族学生表演手鼓舞B.请蒙古族学生制作奶茶C.请朝鲜族学生展示唐卡D.请彝族学生展示花腰刺绣7.美国社会学家帕森斯认为,在公元前的第一个千年之内,“哲学的突破”以截然不同的方式分别发生在希腊、以色列、印度和中国等地。
所给出的图、表、文字或综合性资料均有若干个问题要你回答。
你应根据资料提供的信息进行分析、比较、计算和判断处理。
一、根据以下资料,回答1~5题。
2016年“一带一路”沿线64个国家GDP 之和约为12.0万亿美元,占全球G DP的16。
0%;人口总数约为32.1亿,占全球总人口的43。
4%;对外贸易总额(进口额+出口额)约为71885.6亿美元,占全球贸易总额的21。
7%。
2016年“一带一路”沿线国家情况1.2016年全球贸易总额约为多少万亿美元( ) A.28 B.33 C .40 D.75【解析】B .根据问题“2016年全球贸易总额",结合材料“占全球贸易总额的21。
7%”,可判定此题为现期比重问题。
定位文字材料“对外贸易总额(进口额+出口额)约为71885。
6亿美元,占全球贸易总额的21.7%”,可得2016年全球贸易总额=21.7%71885.6≈0.2272000≈330000(亿美元)=33(万亿美元).因此B项当选。
2.2016年“一带一路”沿线国家中,东欧20国的人均GDP 约是中亚5国的多少倍( ) A.2。
5 B.3.6 C .5。
3 D.11。
7 【解析】A。
材料已知时间为2016年,求“2016年……是……的多少倍”,可知本题为现期倍数问题。
定位表格:“东欧20国的人口为32161.9万人,GDP 为26352.1亿美元,中亚5国的人口为6946。
7万人,GDP 为2254.7亿美元”,可得东欧20国的人均GDP =万人亿美元32161.926352.1,中亚5国的人均GDP =万人亿美元6946.72254.7,故2016年“一带一路”沿线国家中,东欧20国的人均GDP 约是中亚5国的万人亿美元32161.926352.1÷万人亿美元6946.72254.7≈2。
5(倍)。
因此A 项当选。
3.“一带一路”沿线主要区域中,2016年进口额与出口额数值相差最大的是( ) A.东南亚11国 B .南亚8国 C .西亚、北非19国 D .东欧20国 【解析】D 。
【电商数据】2016年中国快速消费品行业和零售业报告作者: 凯度中国来源: 凯度中国我们连续12次定期对四万个中国家庭购物行为进行研究,获得了对中国市场消费者和零售趋势的深度洞察。
我们为每户样本家庭配备了条码扫描仪,即时收集消费者的实际购物记录,而非仅仅通过他们口头描述来记录购物行为。
这种独特的调研方法为我们清晰展示了消费者在26个快消品类的购买行为。
我们通过比较不同品类的表现可以了解双速前行的现状。
尽管中国经济不景气,但个人护理用品,如洗发水和牙膏,在2016上半年有所反弹,增幅达到9%。
这主要来源于超过通货膨胀率的平均售价的涨幅,我们称之为“高端化”现象。
而家庭护理用品,例如厨房清洁用品,则一直保持了较高的销量增长,在2016年上半年销量增长2.9%,对比2015年同期的2.3%(见图3)。
但其平均售价仅上涨了0.8%,低于通货膨胀率,我们称此现象为“大众化”。
图1:自2014年年底以来,快速消费品行业的包装食品和饮料以及个人和家庭护理品类的增长轨迹呈现分化的趋势图2:在销量下滑和价格增长缓慢的形势下,快速消费品的整体增长率约为3%图3:个人和家庭护理用品在2016年第一季度出现微量反弹诸多包装食品和饮料品类则面临着业绩下滑(见图4)。
饮料销售额增长从2015年的5.6%放缓到2016年上半年的3.2%,并且连续三年在销量上呈现负增长。
饮料的平均售价在2016年上半年仅增长了3.3%,而2015年的增长率为6.2%。
这些趋势部分是受中国政府以服务业为主导、促进传统制造业转型升级的“新常态”政策的影响。
制造业正逐渐向越南和孟加拉等低工资的国家进行转移,传统上以蓝领为主要客群的品类销售额下滑明显。
这群消费者在消费支出上也更为谨慎。
尽管2016年上半年大多数饮料产品呈现负增长,但包装水品类则例外。
这主要是因为包装水价格逐渐被大众所接受,以及人们对健康的关注。
这是所有消费者,而不仅仅只是富裕人群的诉求。
生活事件量表(LES)指导语:下面是每个人都有可能遇到的一些日常生活事件,究竟是好事还是坏事,可根据个人情况自行判断。
这些事件可能对个人有精神上的影响(体验为紧张、压力、兴奋或苦恼等),影响的轻重程度是各不相同的。
影响持续的时间也不一样。
请你根据自己的情况,LES的使用方法和计算方法LES是自评量表,含有48余我国较常见的生活事件,包括三个方面的问题。
一是家庭生活方面(有28条),二:是工作学习方面(有13条),三是社交及其他方面(7条)。
另设有2条空白项目.供填写当事者自己经历而表中并未列出的某些事件。
填写者须仔细阅读和领会指导语.然后将某一时间范围内(通常为一年内)的事件记录下来。
有的事件虽然发生在该时间范围之前,如果影响深远并延续至今,可作为长期性事件记录。
对于表上已列出但未经历的事件应一—注明“未经历”,不留空白.以防遗漏。
然后,由填写者根据自身的实际感受而不是按常理或伦理道德观念去判断那些经历过的事件对本人来说是好事或是坏事?影响程度如何?影响的持续时间有多久?—次性的事件如流产、失窃要记录发生次数,长期性事件,如住房拥挤、夫妻分居等不到半年记为1次,超过半年记为2次。
影响程度分为5级,从毫无影响到影响极重分别记0,l。
2,3,4分;影响持续时间分之月内,半年内、一年内、一年以上共4个等级,分别记1、2、3、4分。
生活事件刺激量的计算方法:1.某事件刺激量=该事件影响程度分×该事件持续时间分×该事件发生次数2.正性事件刺激量=全部好事刺激量之和3.负性事件刺激量=全部坏事刺激量之和4.生活事件总刺激量=正性事件刺激量十负性事件刺激量另外,还可以根据研究或诊断治疗需要,按家庭问题、工作学习问题和社交等问题进行分类统计。
LES结果解释及应用价值LES总分越高反映个体承受的精神压力越大。
95%的正常人一年内的LES总分不超过10分,99%的不超过32分。
负性事件的分值越高对心身健康的影响越大,正性事件分值的意义尚待进一步的研究。
【第 12 季-数资】2020 国考行测模考大赛第十二季解析课—数资(讲义)数量关系61.老王家原有一正方形菜园,现对菜园重新规划,将其中一组对边边长减少 20%,另一组对边边长增加 2 米,得到一长方形菜园。
长方形菜园的面积与原正方形菜园的面积相等,求原正方形菜园的面积是多少平方米?A.36B.49C.64D.8162.某工厂加工一批零件,若甲车间单独工作可比规定时间提前 10 小时完成,乙车间单独工作则要超过规定时间 30 小时。
如果两个车间一起工作 20 小时后,剩下的由乙车间单独加工,那么刚好在规定时间完成。
现在这批零件由甲、乙车间一起加工需要多少小时可以完成?A.48B.50C.52D.5463.某手机品牌专卖店销售一款畅销手机,顾客可选择一次性付款或者分期付款。
若顾客一次性付款,专卖店可获得利润 300 元;若顾客选择分期付款,专卖店可获得利润 350 元。
现有甲、乙、丙三位顾客购买该款手机,若每位顾客选择分期付款的概率均为 0.6,则专卖店获得的利润不超过 950 元的概率是多少?A.0.064B.0.648C.0.288D.0.35264.某公司为进一步拓展业务,现将所有销售人员分成线上、线下两支小分队。
其中,线下男、女员工比例为 3:4,线上总人数比线下总人数少 20%,女员工总人数比男员工总人数多 25%,线下女员工人数比线上男员工多 7 人。
则线上男员工人数比线上女员工:A.少1 人B.多1 人C.少2 人D.多2 人65.甲、乙两个盒子中原来各有若干个小球,如果从甲盒子中拿出 5 个小球放到乙盒子中,则乙盒子中小球的数量是甲盒子中的 2 倍;如果从乙盒子中拿出若干个小球放到甲盒子中,则甲盒子中小球的数量是乙盒子中的 4 倍。
则甲盒子中原来最少有多少个小球?A.10B.15C.5D.206. 某市直机关组织员工参加周末公益活动,该单位 46 名员工中,报名参加周六活动的有 22 人,周六周日两天都不参加的有 14 人,只参加周日活动与两天活动都参加的人数之比是 5:3。
目录一、行政区划、地理、自然资源行政区划、地理、气候、自然资源概况 (3)1-1 行政区划 (4)1-2 地理、自然资源 (5)1-3 主要山脉 (6)1-4 主要河流 (7)1-5 建市以来气候与森林资源情况 (8)主要统计指标解释 (8)二、综合2-1 国民经济和社会发展总量与速度指标 (11)2-2 国民经济和社会发展主要指标指数(上年=100) (19)2-3 国民经济和社会发展结构指标 (31)2-4 国民经济和社会发展主要指标占全省比重 (33)2-5 建市以来地区生产总值、工农业总产值 (35)2-6 地区生产总值、工农业总产值指数(1949年=100) (38)2-7 国民经济和社会发展比例指标 (44)主要统计指标解释 (45)三、国民经济核算3-1 阳江市地区生产总值(1994-2016年) (49)3-2 阳江市地区生产总值指数(1994-2016年) (50)3-3 各县(市、区)地区生产总值(1994-2016年) (51)3-4 各县(市、区)地区生产总值指数(1994-2016年) (52)3-5 各县(市、区)人均地区生产总值(1994-2016年) (53)3-6 各县(市、区)人均地区生产总值指数(1994-2016年) (54)3-7 总产出(2016年) (55)3-8 收入法GDP构成项目(2016年) (56)3-9 各县(市、区)地区生产总值(2015年) (57)3-10 各县(市、区)地区生产总值(2016年) (58)3-11 按可比口径计算的地区生产总值 (59)3-12 支出法地区生产总值 (60)3-13 民营增加值 (60)主要统计指标解释 (61)四、人口4-1 户籍人口及其变动情况 (65)4-2 常住人口情况表(1990-2016年) (66)4-3 各镇(街道办事处)年末户籍人口数 (67)4-4 建市以来户数、人口情况 (69)主要统计指标解释 (72)五、劳动工资5-1 全社会就业人员年末人数 (75)5-2 城镇单位就业人员年末人数 (76)5-3 城镇单位就业人员年平均人数 (77)5-4 城镇单位就业人员工资总额 (78)5-5 城镇单位就业人员年平均工资 (79)5-6 各县(市、区)城镇在岗职工人数与工资 (80)主要统计指标解释 (82)六、固定资产投资6-1 固定资产投资 (85)6-2 固定资产投资按行业分类 (87)6-3 各县(市、区)固定资产投资主要情况 (88)6-4 房地产开发企业财务状况情况 (89)6-5 房地产开发投资情况 (90)6-6 房地产开发和销售面积情况 (91)6-7 房地产待售面积和销售情况 (92)6-8 建市以来固定资产投资情况 (93)主要统计指标解释 (96)七、能源7-1 能源平衡表(2016年) (101)7-2 分行业能源终端消费量(2016年) (103)7-3 各县(市、区)能源平衡表 (105)7-4 2016年分行业产值能耗表(等价热值) (106)7-5 规模以上工业企业能源购进量 (107)7-6 规模以上工业企业能源消费量 (107)7-7 各县(市、区)规模以上工业企业能源购进、消费 (108)7-8 能源加工转换情况(2016年) (108)主要统计指标解释 (109)八、财政、金融、保险8-1 地方一般公共预算收入 (113)8-2 地方一般公共预算支出 (114)8-3 各县(市、区)一般公共预算收支情况 (115)8-4 金融机构数 (117)8-5 金融机构存贷款情况 (118)8-6 建市以来财政、金融保险主要情况 (119)主要统计指标解释 (122)九、物价9-1 2016年各月居民消费价格环比指数 (125)9-2 2016年各月居民消费价格累计比指数 (127)9-3 2016年各月居民消费价格同期比指数 (129)9-4 2016年各月居民消费价格定基比指数 (131)9-5 2016年各月居民消费价格以上年12月为100的指数 (133)9-6 2016年各月商品零售价格环比指数 (135)9-7 2016年各月商品零售价格累计比指数 (137)9-8 2016年各月商品零售价格同期比指数 (139)9-9 2016年各月商品零售价格定基比指数 (141)9-10 2016年各月商品零售价格以上年12月为100的指数 (143)9-11 建市以来物价指数 (145)主要统计指标解释 (145)十、人民生活10-1 阳江市城乡居民收支情况 (149)10-2 阳江市分县(市、区)城乡居民收支情况 (150)主要统计指标解释 (151)十一、农业11-1 农村基本情况 (155)11-2 农田水利建设 (156)11-3 水利建设投资及化肥农药施用量 (157)11-4 林业情况 (158)11-5 农业总产值 (159)11-6 农业物播种面积、亩产、总产量 (160)11-7 水果、桑、茶叶、蚕茧、橡胶面积及产量 (161)11-8 牲畜存栏、禽蛋产量及水产品产量 (162)11-9 各县(市、区)粮食播种面积及产量 (163)11-10 各县(市、区)稻谷播种面积及产量 (164)11-11 各县(市、区)蕃薯播种面积及产量 (165)11-12 各县(市、区)大豆、花生、糖蔗、水果播种面积及产量 (166)11-13 各县(市、区)生猪饲养、存栏量及肉类、水产品总产量 (167)11-14 各县(市、区)海、淡水养殖面积及产量 (168)11-15 建市以来农业基本情况 (169)11-16 建市以来水利建设、化肥、农药施用、农村用电及机械动力 (172)11-17 建市以来农业总产值 (175)11-18 建市以来主要农作物播种面积 (178)11-19 建市以来主要农作物总产量 (181)11-20 建市以来水果、茶叶、橡胶、蚕茧、水产养殖面积及产量 (184)11-21 建市以来牛、猪、羊存(出)栏及肉类总产量与乡镇企业主要情况 (187)主要统计指标解释 (190)十二、工业12-1 工业企业个数、人数、工业总产值 (193)12-2 规模以上工业增加值、总产值(按经济类型分类) (194)12-3 规模以上工业增加值、总产值(按行业分类) (195)12-4 规模以上工业企业经济主要指标 (196)12-5 规模以上工业企业主要经济效益指标 (198)12-6 规模以上国有控股工业企业主要经济指标 (199)12-7 规模以上集体工业企业主要经济指标 (201)12-8 规模以上股份制工业企业主要经济指标 (203)12-9 规模以上“三资”工业企业主要经济指标 (205)12-10 规模以上私营工业企业主要经济指标 (207)12-11 规模以上大中型工业企业主要经济指标 (209)12-12 规模以上先进制造业主要经济指标 (211)12-13 规模以上高技术制造业主要经济指标 (213)12-14 规模以上优势传统产业主要经济指标 (215)12-15 2009-2016年全市现代产业增加值及增长情况 (217)12-16 分县区规模以上工业企业个数、从业人员数 (218)12-17 各县(市、区)工业总产值 (219)12-18 各县(市、区)工业增加值 (220)12-19 分县区规模以上销售产值及出口交货值 (221)12-20 各县(市、区)规模以上工业增加值按行业分 (222)12-21 各县(市、区)规模以上工业产值按行业分 (223)12-22 各县(市、区)规模以上工业财务主要指标 (224)12-23 规模以上产品产量 (225)12-24 建市以来工业企业单位数 (226)12-25 建市以来工业总产值(当年价) (229)12-26 建市以来工业总产值构成及指数 (232)12-27全市2000-2016年规模以上工业总产值、增加值及指数 (235)12-28 建市以来规模以上工业主要产品产量 (237)主要统计指标解释 (240)十三、建筑业13-1 建筑企业个数和竣工产值 (247)13-2 建筑企业从业人员情况 (248)13-3 建筑企业生产、财务基本情况 (249)13-4 建筑业总产值 (250)13-5 全市及各县(市、区)建筑业总产值主要情况 (251)主要统计指标解释 (252)十四、交通、运输、邮电14-1 公路、桥梁情况 (255)14-2 车辆拥有量 (256)14-3 客、货运量及客、货周转量 (257)14-4 邮政、电信情况 (258)14-5 建市以来交通及运输工具拥有量 (259)14-6 建市以来客、货运量及邮政、电信业务情况 (265)主要统计指标解释 (268)十五、国内贸易15-1 2016年按行业分贸易企事业单位数及从业人员数 (271)15-2 社会消费品零售总额 (272)15-3 各县(市、区)社会消费品零售总额 (272)15-4 批发零售贸易业商品销售总额分组情况 (273)15-5 各县(市、区)贸易业商品销售总额(2015年) (274)15-6 各县(市、区)贸易业商品销售总额(2016年) (274)15-7 限额以上批发和零售业法人企业商品购销存综合表 (275)15-8 限额以上住宿业和餐饮业法人企业经营情况综合表 (278)15-9 限额以上批发和零售业法人单位主要财务状况综合表 (280)15-10 限额以上住宿和餐饮业法人企业主要财务状况综合表 (295)15-11 建市以来国内贸易业主要情况 (307)主要统计指标解释 (310)十六、对外经济与旅游16-1 进出口总额 (313)16-2 利用外资情况 (313)16-3 对主要国家(地区)出口额 (314)16-4 旅游部门基本情况 (315)16-5 接待旅游者情况 (316)16-6 旅游业经营情况 (317)16-7 各县(市、区)接待旅游者情况 (318)16-8 各县(市、区)旅游业总收入 (318)16-9 建市以来对外贸易、利用外资及旅游主要情况 (319)主要统计指标解释 (322)十七、教育、科技、文化、体育17-1 学校及教职员工人数 (325)17-2 专任教师及招生人数 (326)17-3 在校学生、毕业生人数 (327)17-4 学生升学率及校舍面积情况 (328)17-5 大中型工业企业科技活动情况 (329)17-6 取得技术职称人员情况 (330)17-7 文化事业机构、从业人员数及影剧院和藏书情况 (331)17-8 文物、档案、广播、电视、体育 (332)17-9 建市以来科技、教育主要情况 (333)17-10 建市以来文化、体育主要情况 (336)主要统计指标解释 (339)十八、卫生、环保、社会福利、司法、市政18-1 卫生事业机构、床位及工作人员数 (343)18-2 卫生工作人员分类 (344)18-3 各县(市、区)卫生、计划生育情况 (345)18-4 环境保护基本情况 (346)18-5 工业“三废”排放、处理、利用情况 (347)18-6 律师、公证、基层司法 (348)18-7 社会福利、婚姻情况 (349)18-8 市政公用事业 (350)18-9 建市以来卫生、律师、公证、基层司法情况 (351)18-10 市政公用事业及供电情况 (354)主要统计指标解释 (357)十九、建市以来各县(市、区)主要指标19-1 各县(市、区)户数、人口 (361)19-2 各县(市、区)乡镇劳动力、耕地 (364)19-3 各县(市、区)地区生产总值(当年价) (367)19-4 各县(市、区)地区生产总值(不变价) (370)19-5 各县(市、区)工农业总产值、农业总产值 (373)19-6 各县(市、区)居民人均可支配收入 (376)19-7 各县(市、区)主要农作物播种面积 (379)19-8 各县(市、区)主要农作物总产量 (388)19-9 各县(市、区)生猪存、出栏、肉类产量 (397)19-10 各县(市、区)水产品产量 (400)19-11 各县(市、区)工业总产值(当年价) (403)19-12 各县(市、区)工业总产值(不变价) (406)19-13 各县(市、区)客、货运量周转量、邮电业务总量 (408)19-14 各县(市、区)固定资产投资 (411)19-15 各县(市、区)社会消费品零售总额、外贸出口、财政收支 (414)19-16 各县(市、区)职工年末人数、职工工资 (417)19-17 各县(市、区)教育、卫生主要情况 (420)。
【电商大数据】2016年中国网络零售交易总额增长26%作者: 陈梦凡来源: 财新网【订阅DT电商官方微信“DT电商网”,更多行业数据等着你】2016年,中国网络零售交易总额达5.16万亿元,同比增长26.2%。
其中,实物商品的网络零售交易总额为4.19万亿元,同比增长25.6%,比同期社会消费品零售总额增速高出15.2个百分点。
2月9日,商务部新闻发言人孙继文在例行新闻发布会上披露了上述数据。
孙继文用“保持中高速增长”形容2016年的网络零售市场。
国家统计局此前的数据显示,2014年中国网上零售总额同比增长49.7%,2015年网上零售总额同比增长33.3%。
尽管网购增速放缓,但还是跑赢了其他业态。
商务部对重点零售企业的监测结果显示,网络零售业态增速为25.4%,远高于百货店、超市和购物中心等其他零售业态的增速。
网络零售的渗透也在持续,2016年实物商品网络零售交易额占社会消费品零售总额的12.6%,较去年同期上升1.8个百分点。
B2C模式的优势逐步增强,在网络零售交易额中的占比超过55%。
网络促销更加规范有序,大型电子商务平台不再主打“价格战”、“公关战”,而是推出高品质服务,组织演艺、直播等活动。
线上线下的融合也在持续。
零售巨头通过联盟形成优势互补的融合模式,推动零售业资源优化配置。
商务部发布的数据显示,2016年O2O市场规模同比增长约45%。
另一方面,云计算、无人仓、无人机、无人车、大数据、人工智能、虚拟现实和增强现实等新技术的应用正在推动电商平台的服务升级。
值得一提的是,农村网购正在成为新的消费驱动力,来自中西部地区和三线以下城市的订单增速明显高于平均增速。
孙继文提到,2014至2017年,中央1号文件连续四年提出要发展农村电子商务。
2017年,商务部将从农村电商公共服务体系建设、提升农村产品电商发展水平、电商精准扶贫、加强经验总结和推广等方面推动农村电商的发展。
在提升农村产品电商发展水平上,商务部将加强农产品分等定级、包装、冷链物流、仓储配送等基础设施建设,并提供品控、溯源、品牌培育等服务,推动农产品线上销售。
2016年全国各省市区社会消费品零售总额对比表2016年,全年全国社会消费品零售总额332316亿元,同比增长10.4%,增速比上年同期下降0.3个百分点。
社会消费品零售总额在全国排前三位的是广东、山东、江苏,分别为34739亿元(10.2%)、30645.8亿元(10.4%)、28707.1亿元(10.9%)。
社会消费品零售总额增速在全国排前三位的是重庆、贵州、西藏,分别为13.2%、13%、12.5%。
当前中国经济已经从高速增长向中高速增长转变,而拉动中国经济增长“三驾马车”中的外贸出口和投资近年来表现困乏,这样,作为拉动内需的消费端,在稳定我国经济增长显得尤为重要。
国家统计局的数据显示:2016年,最终消费支出对经济增长的贡献率为64.6%,高于2015年4.9个百分点,高于2014年15.8个百分点。
消费对经济增长的贡献率不断提高。
社消总额保持两位数增长社会消费品零售总额是指批发和零售业、住宿和餐饮业,以及其他行业直接售给城乡居民和社会集团的消费品零售额。
据中商产业研究院大数据库数据显示:2016年12月份,社会消费品零售总额31757亿元,同比增长10.9%。
2016年1-12月份,社会消费品零售总额332316亿元,同比增长10.4%。
近年来,我国社会消费品零售总额整体增速虽然有下滑趋势,但依旧保持在两位数以上,可谓十分亮眼,已在2015年就超过了30万亿大关。
社消总额“万亿户”有14个成员据统计,在消费总额上,目前已有14个省市突破了万亿大关。
安徽成为2016年迈入万亿户的新增成员,社会消费品零售总额10000.2亿元,排名第14。
作为第一经济体的广东依旧霸据榜首的位置,社消总额达到了34739亿元。
而总额突破3万亿的还有第三经济大省山东。
值得一提的是,2016年广东的社消总额居然后十位省份(西藏、青海、宁夏、海南、新疆、甘肃、贵州、天津、云南、山西)相加之和还多。
2016年全国各省市社会消费品零售总额排行榜注:黑龙江省暂未公布数据9省份人均消费总额突破3万元总量大,但人口多的话,也无法真实的表现消费能力的强弱。
数据丨2016年中国网络购物行业监测报告概述:1. 2015年中国网络购物市场渗透率达12.6%;2. B2C市场天猫和京东继续保持领先优势;3. 2015年移动端交易规模占比达55.5%;4. 生鲜食品、快递物流等领域是热点投资领域;5. 网购企业的定位将向综合和垂直两端发展。
中国网络购物行业发展现状2015年中国网络购物交易规模保持稳定增长,市场渗透率达12.6%根据艾瑞咨询2015年中国网络购物市场数据,2015年中国网络购物市场交易规模达3.8万亿元,较去年增长36.2%,仍然保持稳定的增长水平。
根据国家统计局社会消费品零售总额数据,2015年网络购物交易规模大致占社会消费品零售总额的12.6%,线上渗透率增长2个百分点。
艾瑞分析认为,网络购物行业发展日益成熟,各家电商企业除了继续不断扩充品类、优化物流及售后服务外,也在积极发展跨境网购、下沉渠道发展农村电商。
在综合电商格局已定的情况下,一些企业瞄准母婴、医疗、家装等垂直电商领域深耕,这些将成为网络购物市场发展新的促进点。
2015年各季度网购规模同比增速在三、四成,增速略有放缓2015Q4网络购物市场实现交易规模12378.5亿元,同比增长30.7%,环比增长34.5%,交易规模首次突破万亿大关。
受到“双十一”、“双十二”等网络造节的影响,第四季度交易规模仍相比前三季度较高。
2015年各季度网络购物交易规模同比增速虽然有所放缓,但增速仍保持在30%以上,艾瑞分析认为,未来网络购物交易规模还有较大增长空间。
B2C市场天猫和京东继续保持领先优势,其他各主要典型企业竞争激烈从市场份额来看,B2C市场中,天猫的市场份额位居第一,京东占比有所增长。
与2014年相比,京东、苏宁易购、唯品会、国美在线的份额有所增加。
从增速来看,京东、苏宁易购、唯品会、国美在线的增速高于B2C行业56.6%的整体增速。
2015年网络购物市场格局较为稳定从2014Q1到2015Q4的B2C市场份额变化来看,天猫始终位居第一,京东位居第二。